高考数学真题分类汇编专题05平面向量理
- 格式:doc
- 大小:663.00 KB
- 文档页数:8
一.基础题组1. 【江苏省诚贤中学2014届高三数学月考试题】A ,B 是半径为1的圆O 上两点,且∠AOB=π3.若点C 是圆O 上任意一点,则→OA ▪→BC 的取值范围为 .2. 【江苏省灌云高级中学2013-2014学年度高三第一学期期中考试】已知向量(1,3),(4,2)a b =-=- ,若()//a b b λ+ ,则λ= .3.【南京市、盐城市2014届高三第一次模拟考试】 在ABC ∆中,2BC =,23A π=,则AB AC ⋅的最小值为 .【答案】23- 【解析】4. 【江苏省通州高级中学2013-2014学年度秋学期期中考试】 在ABC ∆中,已知9=⋅,C A B sin cos sin ⋅=,6=∆ABC S ,P 为线段AB 上的点,且||||CB y CA x +=xy 的最大值为 ▲_ .5. 【江苏省扬州中学2013—2014学年第一学期月考】 已知||1a = ,||2b =,a 与b 的夹角为120︒,0a c b ++= ,则a 与c的夹角为 .6. 【苏州市2014届高三调研测试】已知两个单位向量a ,b 的夹角为60°,c = t a +(1 - t )b ,若b ·c = 0,则实数t 的值为 ▲ .7. 【江苏省兴化市安丰高级中学2014届高三12月月考】AC 为平行四边形ABCD 的一条对角线,(2,4),(1,3),AB AC AD ===则 .8. 【江苏省兴化市安丰高级中学2014届高三12月月考】 在平面直角坐标系xOy 中,已知(1,0)A ,(0,1)B ,点C 在第一象限内,6AOC π∠=,且2OC =,若O C O A O B λμ=+,则λ+μ的值是 .1 【解析】试题分析:根据平面向量基本定理,cos 2cos6OC AOC πλ=∠==,sin 2sin16OC AOC πμ=∠==,所以1λμ+=.考点:平面向量基本定理.9. 【江苏省兴化市安丰高级中学2014届高三12月月考】若向量a ,b 满足1=a ,2=b ,且a ,b 的夹角为3π,则+=a b .10. 【江苏省扬州中学2013—2014学年第一学期月考】 设向量),cos ,(sin x x =),sin 3,(sin x x =x ∈R ,函数)2()(x f +⋅=.(1)求函数)(x f 的单调递增区间;(2)求使不等式()2f x '≥成立的x 的取值集合.试题解析:(1) )2()(x f +⋅=222sin cos 2(sin cos )x x x x x =++二.能力题组1. 【江苏省灌云高级中学2013-2014学年度高三第一学期期中考试】设O 是ABC ∆的三边中垂线的交点,,,a b c 分别为角,,A B C 对应的边,已知2220b b c -+=,则BC AO --→--→⋅的范围是_____________.2220,c b b =->解得02b <<,结合2BC AD b b ⋅=- 可求得1<24BC AD -≤⋅ ,考点:1.向量数量积;2.二次函数的性质2. 【苏北四市2014届高三第一次质量检测】在平面四边形ABCD 中,已知3AB =,2DC =,点,E F 分别在边,AD BC 上,且3AD AE = ,3BC BF = ,若向量AD 与DC的夹角为060,则AB EF ⋅的值为 .3. 【苏北四市2014届高三第一次质量检测】 已知向量(cos ,sin )θθ=a ,(2,1)=-b .(1)若⊥a b ,求sin cos sin cos θθθθ-+的值;(2)若2-=a b ,(0,)2θπ∈,求sin()4θπ+的值.三.拔高题组1.2.3.。
2021年高考数学分项汇编专题5 平面向量(含解析)理一.基础题组1. 【xx全国卷Ⅰ,理6】设a、b、c是单位向量,且a·b=0,则(a-c)·(b-c)的最小值为()A.-2B.C.-1D.【答案】:D2. 【xx全国1,理3】在中,,.若点满足,则()A.B.C.D.【答案】A.3. 【xx课标Ⅰ,理15】已知为圆上的三点,若,则与的夹角为_______.【答案】.4. 【xx全国,理13】已知向量a,b夹角为45°,且|a|=1,|2a-b|=,则|b|=__________.【答案】:5. 【xx高考新课标1,理7】设为所在平面内一点,则()(A) (B)(C) (D)【答案】A【考点定位】平面向量的线性运算二.能力题组1. 【xx全国,理9】设平面向量a1,a2,a3的和a1+a2+a3=0.如果平面各量b1,b2,b3满足│b i│=2│a i│,且a i的顺时针旋转后与b i同向,其中i-1,2,3,则()(A)-b1+b2+b3=0 (B)b1-b2+b3=0(C)b1+b2-b3=0 (D)b1+b2+b3=0【答案】D2. 【xx课标全国Ⅰ,理13】已知两个单位向量a,b的夹角为60°,c=t a+(1-t)b.若b·c=0,则t =__________.【答案】:2三.拔高题组1. 【2011全国,理12】设向量a,b,c满足|a|=|b|=1,,〈a-c,b-c〉=60°,则|c|的最大值等于( )A.2 B. C. D.1【答案】:A20493 500D 倍 gT25851 64FB 擻24874 612A 愪35674 8B5A 譚35228 899C 覜 31294 7A3E 稾n33973 84B5 蒵36567 8ED7 軗&。
专题05平面解析几何(选择题、填空题)考点三年考情(2022-2024)命题趋势考点1:直线方程与圆的方程2022年全国II卷、2022年全国甲卷(文)2022年全国乙卷(理)近三年高考对解析几何小题的考查比较稳定,考查内容、频率、题型难度均变化不大,备考时应熟练以下方向:(1)要重视直线方程的求法、两条直线的位置关系以及点到直线的距离公式这三个考点.(2)要重视直线与圆相交所得弦长及相切所得切线的问题.(3)要重视椭圆、双曲线、抛物线定义的运用、标准方程的求法以及简单几何性质,尤其是对离心率的求解,更是高考的热点问题,因方法多,试题灵活,在各种题型中均有体现.考点2:直线与圆的位置关系2024年北京卷、2022年全国甲卷(理)2022年天津卷、2022年北京卷2023年全国Ⅰ卷、2024年北京卷考点3:圆与圆的位置关系2022年全国I卷考点4:轨迹方程及标准方程2023年北京卷、2023年天津卷2024年全国Ⅱ卷、2022年天津卷2022年全国甲卷(文)考点5:椭圆的几何性质2022年全国I卷2023年全国甲卷(理)2023年全国甲卷(文)考点6:双曲线的几何性质2022年北京卷2023年全国乙卷(理)考点7:抛物线的几何性质2024年北京卷、2024年天津卷2023年全国乙卷(理)2023年天津卷、2023年全国Ⅱ卷2024年全国Ⅱ卷、2022年全国I卷考点8:弦长问题2022年全国乙卷(理)2023年全国甲卷(理)考点9:离心率问题2024年全国Ⅰ卷、2022年全国甲卷(文)2023年全国Ⅰ卷、2022年浙江卷2022年全国乙卷(理)2024年全国甲卷(理)2023年全国Ⅰ卷、2022年全国甲卷(理)考点10:焦半径、焦点弦问题2022年全国II卷、2023年北京卷考点11:范围与最值问题2022年全国II卷2024年全国甲卷(文)2023年全国乙卷(文)考点12:面积问题2024年天津卷、2023年全国Ⅱ卷2023年全国Ⅱ卷考点13:新定义问题2024年全国Ⅰ卷考点1:直线方程与圆的方程1.(2022年新高考全国II 卷数学真题)已知直线l 与椭圆22163x y +=在第一象限交于A ,B 两点,l 与x 轴,y 轴分别交于M ,N 两点,且||||,||23MA NB MN ==l 的方程为.2.(2022年高考全国甲卷数学(文)真题)设点M 在直线210x y +-=上,点(3,0)和(0,1)均在M 上,则M 的方程为.3.(2022年高考全国乙卷数学(理)真题)过四点(0,0),(4,0),(1,1),(4,2)-中的三点的一个圆的方程为.考点2:直线与圆的位置关系4.(2024年北京高考数学真题)若直线()3y k x =-与双曲线2214xy -=只有一个公共点,则k 的一个取值为.5.(2022年高考全国甲卷数学(理)真题)若双曲线2221(0)x y m m-=>的渐近线与圆22430x y y +-+=相切,则m =.6.(2022年新高考天津数学高考真题)若直线()00x y m m -+=>与圆()()22113x y -+-=相交所得的弦长为m ,则m =.7.(2022年新高考北京数学高考真题)若直线210x y +-=是圆22()1x a y -+=的一条对称轴,则=a ()A .12B .12-C .1D .1-8.(2023年新课标全国Ⅰ卷数学真题)过点()0,2-与圆22410x y x +--=相切的两条直线的夹角为α,则sin α=()A .1B .154C .104D 649.(2024年北京高考数学真题)圆22260x y x y +-+=的圆心到直线20x y -+=的距离为()A 2B .2C .3D .32考点3:圆与圆的位置关系10.(2022年新高考全国I 卷数学真题)写出与圆221x y +=和22(3)(4)16x y -+-=都相切的一条直线的方程.考点4:轨迹方程及标准方程11.(2023年北京高考数学真题)已知双曲线C 的焦点为(2,0)-和(2,0),离心率为2,则C 的方程为.12.(2023年天津高考数学真题)已知双曲线22221(0,0)x y a b a b-=>>的左、右焦点分别为12F F 、.过2F 向一条渐近线作垂线,垂足为P .若22PF =,直线1PF 的斜率为24,则双曲线的方程为()A .22184x y -=B .22148x y -=C .22142x y -=D .22124x y -=13.(2022年新高考天津数学高考真题)已知抛物线21245,,y F F =分别是双曲线22221(0,0)x y a b a b-=>>的左、右焦点,抛物线的准线过双曲线的左焦点1F ,与双曲线的渐近线交于点A ,若124F F A π∠=,则双曲线的标准方程为()A .22110x y -=B .22116y x -=C .2214y x -=D .2214x y -=14.(2022年高考全国甲卷数学(文)真题)已知椭圆2222:1(0)x y C a b a b+=>>的离心率为13,12,A A 分别为C 的左、右顶点,B 为C 的上顶点.若121BA BA ⋅=-,则C 的方程为()A .2211816x y +=B .22198x y +=C .22132x y +=D .2212x y +=15.(2024年新课标全国Ⅱ卷数学真题)已知曲线C :2216x y +=(0y >),从C 上任意一点P 向x 轴作垂线段PP ',P '为垂足,则线段PP '的中点M 的轨迹方程为()A .221164x y +=(0y >)B .221168x y +=(0y >)C .221164y x +=(0y >)D .221168y x +=(0y >)考点5:椭圆的几何性质16.(2022年新高考全国I 卷数学真题)已知椭圆2222:1(0)x y C a b a b+=>>,C 的上顶点为A ,两个焦点为1F ,2F ,离心率为12.过1F 且垂直于2AF 的直线与C 交于D ,E 两点,||6DE =,则ADE V 的周长是.17.(2023年高考全国甲卷数学(理)真题)设O 为坐标原点,12,F F 为椭圆22:196x yC +=的两个焦点,点P 在C 上,123cos 5F PF ∠=,则||OP =()A .135B .302C .145D .35218.(2023年高考全国甲卷数学(文)真题)设12,F F 为椭圆22:15x C y +=的两个焦点,点P 在C 上,若120PF PF ⋅=,则12PF PF ⋅=()A .1B .2C .4D .5考点6:双曲线的几何性质19.(2022年新高考北京数学高考真题)已知双曲线221x y m +=的渐近线方程为3y =,则m =.20.(2023年高考全国乙卷数学(理)真题)设A ,B 为双曲线2219y x -=上两点,下列四个点中,可为线段AB 中点的是()A .()1,1B .()1,2-C .()1,3D .()1,4--考点7:抛物线的几何性质21.(2024年北京高考数学真题)抛物线216y x =的焦点坐标为.22.(2024年天津高考数学真题)圆22(1)25-+=x y 的圆心与抛物线22(0)y px p =>的焦点F 重合,A 为两曲线的交点,则原点到直线AF 的距离为.23.(2023年高考全国乙卷数学(理)真题)已知点(5A 在抛物线C :22y px =上,则A 到C 的准线的距离为.24.(2023年天津高考数学真题)已知过原点O 的一条直线l 与圆22:(2)3C x y ++=相切,且l 与抛物线22(0)y px p =>交于点,O P 两点,若8OP =,则p =.25.(多选题)(2024年新课标全国Ⅱ卷数学真题)抛物线C :24y x =的准线为l ,P 为C 上的动点,过P 作22:(4)1A x y +-=⊙的一条切线,Q 为切点,过P 作l 的垂线,垂足为B ,则()A .l 与A 相切B .当P ,A ,B 三点共线时,||15PQ =C .当||2PB =时,PA AB⊥D .满足||||PA PB =的点P 有且仅有2个26.(多选题)(2022年新高考全国I 卷数学真题)已知O 为坐标原点,点(1,1)A 在抛物线2:2(0)C x py p =>上,过点(0,1)B -的直线交C 于P ,Q 两点,则()A .C 的准线为1y =-B .直线AB 与C 相切C .2|OP OQ OA⋅>D .2||||||BP BQ BA ⋅>27.(多选题)(2023年新课标全国Ⅱ卷数学真题)设O 为坐标原点,直线)31y x =--过抛物线()2:20C y px p =>的焦点,且与C 交于M ,N 两点,l 为C 的准线,则().A .2p =B .83MN =C .以MN 为直径的圆与l 相切D .OMN 为等腰三角形考点8:弦长问题28.(2022年高考全国乙卷数学(理)真题)设F 为抛物线2:4C y x =的焦点,点A 在C 上,点(3,0)B ,若AF BF =,则AB =()A .2B .22C .3D .3229.(2023年高考全国甲卷数学(理)真题)已知双曲线2222:1(0,0)x y C a b a b-=>>5C 的一条渐近线与圆22(2)(3)1x y -+-=交于A ,B 两点,则||AB =()A 55B .255C .355D .455考点9:离心率问题30.(2024年新课标全国Ⅰ卷数学真题)设双曲线2222:1(0,0)x y C a b a b-=>>的左右焦点分别为12F F 、,过2F 作平行于y 轴的直线交C 于A ,B 两点,若1||13,||10F A AB ==,则C 的离心率为.31.(2022年高考全国甲卷数学(文)真题)记双曲线2222:1(0,0)x y C a b a b -=>>的离心率为e ,写出满足条件“直线2y x =与C 无公共点”的e 的一个值.32.(2023年新课标全国Ⅰ卷数学真题)已知双曲线2222:1(0,0)x y C a b a b -=>>的左、右焦点分别为12,F F .点A 在C 上,点B 在y 轴上,11222,3F A F B F A B ⊥=- ,则C 的离心率为.33.(2022年新高考浙江数学高考真题)已知双曲线22221(0,0)x y a b a b -=>>的左焦点为F ,过F 且斜率为4b a的直线交双曲线于点()11,A x y ,交双曲线的渐近线于点()22,B x y 且120x x <<.若||3||FB FA =,则双曲线的离心率是.34.(多选题)(2022年高考全国乙卷数学(理)真题)双曲线C 的两个焦点为12,F F ,以C 的实轴为直径的圆记为D ,过1F 作D 的切线与C 交于M ,N 两点,且123cos 5F NF ∠=,则C 的离心率为()A 52B .32C .132D .17235.(2024年高考全国甲卷数学(理)真题)已知双曲线的两个焦点分别为()()0,4,0,4-,点()6,4-在该双曲线上,则该双曲线的离心率为()A .4B .3C .2D 236.(2023年新课标全国Ⅰ卷数学真题)设椭圆2222122:1(1),:14x x C y a C y a +=>+=的离心率分别为12,e e .若213e e =,则=a ()A 233B 2C 3D 637.(2022年高考全国甲卷数学(理)真题)椭圆2222:1(0)x y C a b a b+=>>的左顶点为A ,点P ,Q 均在C上,且关于y 轴对称.若直线,AP AQ 的斜率之积为14,则C 的离心率为()A 32B .22C .12D .13考点10:焦半径、焦点弦问题38.(多选题)(2022年新高考全国II 卷数学真题)已知O 为坐标原点,过抛物线2:2(0)C y px p =>焦点F 的直线与C 交于A ,B 两点,其中A 在第一象限,点(,0)M p ,若||||AF AM =,则()A .直线AB 的斜率为26B .||||OB OF =C .||4||AB OF >D .180OAM OBM ∠+∠<︒39.(2023年北京高考数学真题)已知抛物线2:8C y x =的焦点为F ,点M 在C 上.若M 到直线3x =-的距离为5,则||MF =()A .7B .6C .5D .4考点11:范围与最值问题40.(2022年新高考全国II 卷数学真题)设点(2,3),(0,)A B a -,若直线AB 关于y a =对称的直线与圆22(3)(2)1x y +++=有公共点,则a 的取值范围是.41.(2024年高考全国甲卷数学(文)真题)已知直线20ax y a ++-=与圆2241=0C x y y ++-:交于,A B 两点,则AB 的最小值为()A .2B .3C .4D .642.(2023年高考全国乙卷数学(文)真题)已知实数,x y 满足224240x y x y +---=,则x y -的最大值是()A .3212+B .4C .132+D .7考点12:面积问题43.(2024年天津高考数学真题)双曲线22221()00a x y a bb >-=>,的左、右焦点分别为12.F F P 、是双曲线右支上一点,且直线2PF 的斜率为2.12PF F △是面积为8的直角三角形,则双曲线的方程为()A .22182y x -=B .22184x y -=C .22128x y -=D .22148x y -=44.(2023年新课标全国Ⅱ卷数学真题)已知直线:10l x my -+=与()22:14C x y -+= 交于A ,B 两点,写出满足“ABC 面积为85”的m 的一个值.45.(2023年新课标全国Ⅱ卷数学真题)已知椭圆22:13x C y +=的左、右焦点分别为1F ,2F ,直线y x m =+与C 交于A ,B 两点,若1F AB △ 面积是2F AB △ 面积的2倍,则m =().A .23B 23C .23D .23-考点13:新定义问题46.(多选题)(2024年新课标全国Ⅰ卷数学真题)设计一条美丽的丝带,其造型可以看作图中的曲线C 的一部分.已知C 过坐标原点O .且C 上的点满足:横坐标大于2-,到点(2,0)F 的距离与到定直线(0)x a a =<的距离之积为4,则()A .2a =-B .点(22,0)在C 上C .C 在第一象限的点的纵坐标的最大值为1D .当点()00,x y 在C 上时,0042y x ≤+。
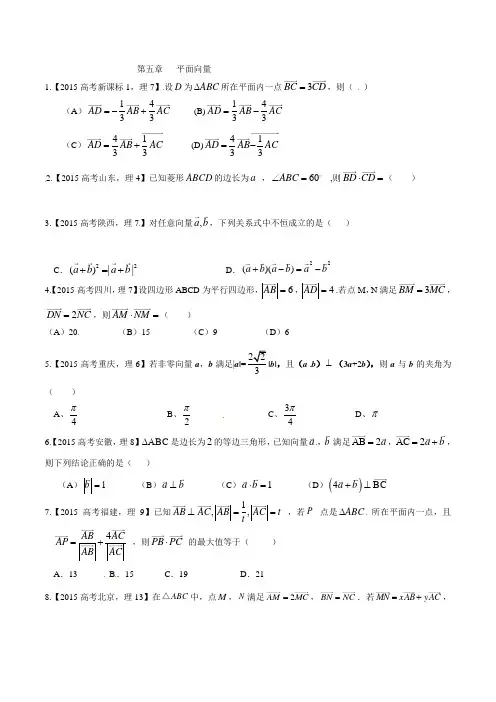
第五章 平面向量1.【2015高考新课标1,理7】设D 为ABC ∆所在平面内一点3BC CD =,则( )(A )1433AD AB AC =-+ (B)1433AD AB AC =- (C )4133AD AB AC =+ (D)4133AD AB AC =- 2.【2015高考山东,理4】已知菱形ABCD 的边长为a ,60ABC ∠= ,则BD CD ⋅=( )3.【2015高考陕西,理7】对任意向量,a b ,下列关系式中不恒成立的是( )C .22()||a b a b +=+D .22()()a b a b a b +-=-4.【2015高考四川,理7】设四边形ABCD 为平行四边形,6AB =,4AD =.若点M ,N 满足3BM MC =,2DN NC =,则AM NM ⋅=( )(A )20 (B )15 (C )9 (D )65.【2015高考重庆,理6】若非零向量a ,b 满足|a |=223|b |,且(a -b )⊥(3a +2b ),则a 与b 的夹角为 ( ) A 、4π B 、2π C 、34π D 、π6.【2015高考安徽,理8】C ∆AB 是边长为2的等边三角形,已知向量a ,b 满足2a AB =,C 2a b A =+,则下列结论正确的是( )(A )1b = (B )a b ⊥ (C )1a b ⋅= (D )()4C a b +⊥B7.【2015高考福建,理9】已知1,,AB AC AB AC t t⊥== ,若P 点是ABC ∆ 所在平面内一点,且4AB AC AP ABAC=+,则PB PC ⋅ 的最大值等于( )A .13B .15C .19D .218.【2015高考北京,理13】在ABC △中,点M ,N 满足2AM MC =,BN NC =.若MN xAB yAC =+,10.【2015高考天津,理14】在等腰梯形ABCD 中,已知//,2,1,60AB DC AB BC ABC ==∠= ,动点E和F 分别在线段BC 和DC 上,且,1,,9BE BC DF DC λλ==则AE AF ⋅的最小值为 . 11.【2015高考浙江,理15】已知12,e e 是空间单位向量,1212e e ⋅=,若空间向量b 满足1252,2b e b e ⋅=⋅=,且对于任意,x y R ∈,12010200()()1(,)b xe ye b x e y e x y R -+≥-+=∈,则0x = ,0y = ,b = .13.【2015江苏高考,14】设向量a k (cos ,sin cos )(0,1,2,,12)666k k k k πππ=+=,则11k =∑(a k a k+1)的值为 .14.【2015江苏高考,6】已知向量a =)1,2(,b=)2,1(-, 若m a +n b =)8,9(-(R n m ∈,), 则n m -的值为______.。
第五章 平面向量一、选择题1.(2018年浙江卷)已知a ,b ,e 是平面向量,e 是单位向量.若非零向量a 与e 的夹角为,向量b 满足b 2−4e·b+3=0,则|a −b|的最小值是( )A .B .C .2D . 【答案】A【解析】设, 则由得,由得 因此的最小值为圆心到直线的距离减去半径1,为选A.2.(2017年浙江卷)如图,已知平面四边形ABCD ,AB ⊥BC ,AB =BC =AD =2,CD =3,AC 与BD 交于点O ,记 ,,,则A .I 1<I 2<I 3B .I 1<I 3<I 2C .I 3< I 1<I 2D .I 2<I 1<I 3【答案】C【解析】 因为,,,所以,故选C .二、填空题3.(2019年浙江卷)已知正方形ABCD 的边长为1,当每个(1,2,3,4,5,6)i i λ=取遍±1时,123456||AB BC CD DA AC BD λλλλλλ+++++的最小值是________;最大值是_______.【答案】 (1). 0 (2). 【解析】()()12345613562456AB BC CD DA AC BD AB AD λ+λ+λ+λ+λ+λ=λ-λ+λ-λ+λ-λ+λ+λ 要使123456AB BC CD DA AC BD λ+λ+λ+λ+λ+λ的最小,只需要135562460λ-λ+λ-λ=λ-λ+λ+λ=,此时只需要取1234561,1,1,1,1,1λ=λ=-λ=λ=λ=λ= 此时123456min 0AB BC CD DA AC BD λ+λ+λ+λ+λ+λ=等号成立当且仅当1356,,λ-λλ-λ均非负或者均非正,并且2456,,λ-λλ+λ均非负或者均非正。
比如1234561,1,,1,1,11λλλ=-λλ=-=λ===则123456max AB BC CD DA AC BD λ+λ+λ+λ+λ+λ==4.(2017年浙江卷)已知向量a,b 满足1,2a b ==,则a b a b ++-的最小值是___________,最大值是______。
专题05 平面解析几何1.【2021年新高考1卷】已知1F ,2F 是椭圆C :22194x y+=的两个焦点,点M 在C 上,则12MF MF ⋅的最大值为( )A .13B .12C .9D .6【答案】C【分析】本题通过利用椭圆定义得到1226MF MF a +==,借助基本不等式212122MF MF MF MF ⎛+⎫⋅≤ ⎪⎝⎭即可得到答案.【解析】由题,229,4a b ==,则1226MF MF a +==,所以2121292MF MF MF MF ⎛+⎫⋅≤= ⎪⎝⎭(当且仅当123MF MF ==时,等号成立). 故选:C .2.【2021年新高考2卷】抛物线22(0)y px p =>的焦点到直线1y x =+的距离为2,则p =( ) A .1 B .2 C .22 D .4【答案】B【分析】首先确定抛物线的焦点坐标,然后结合点到直线距离公式可得p 的值. 【解析】抛物线的焦点坐标为,02p ⎛⎫⎪⎝⎭,其到直线10x y -+=的距离:012211pd -+==+,解得:2p =(6p =-舍去).故选:B. 3.【2022年新高考1卷】已知O 为坐标原点,点在抛物线上,过点的直线交C 于P ,Q 两点,则( )A .C 的准线为B .直线AB 与C 相切 C .D .【答案】BCD【分析】求出抛物线方程可判断A ,联立AB 与抛物线的方程求交点可判断B ,利用距离公式及弦长公式可判断C、D.【解析】将点的代入抛物线方程得,所以抛物线方程为,故准线方程为,A错误;,所以直线的方程为,联立,可得,解得,故B正确;设过的直线为,若直线与轴重合,则直线与抛物线只有一个交点,所以,直线的斜率存在,设其方程为,,联立,得,所以,所以或,,又,,所以,故C正确;因为,,所以,而,故D正确.故选:BCD 4.【2022年新高考2卷】已知O为坐标原点,过抛物线焦点F的直线与C交于A,B两点,其中A在第一象限,点,若,则()A.直线的斜率为B.C.D.【答案】ACD【分析】由及抛物线方程求得,再由斜率公式即可判断A选项;表示出直线的方程,联立抛物线求得,即可求出判断B选项;由抛物线的定义求出即可判断C选项;由,求得,为钝角即可判断D选项.【解析】对于A,易得,由可得点在的垂直平分线上,则点横坐标为,代入抛物线可得,则,则直线的斜率为,A 正确;对于B ,由斜率为可得直线的方程为,联立抛物线方程得,设,则,则,代入抛物线得,解得,则,则,B 错误;对于C ,由抛物线定义知:,C 正确;对于D ,,则为钝角, 又,则为钝角,又,则,D 正确.故选:ACD.5.【2021年新高考1卷】已知点P 在圆()()225516x y -+-=上,点()4,0A 、()0,2B ,则( )A .点P 到直线AB 的距离小于10 B .点P 到直线AB 的距离大于2C .当PBA ∠最小时,32PB =D .当PBA ∠最大时,32PB =【答案】ACD【分析】计算出圆心到直线AB 的距离,可得出点P 到直线AB 的距离的取值范围,可判断AB 选项的正误;分析可知,当PBA ∠最大或最小时,PB 与圆M 相切,利用勾股定理可判断CD 选项的正误.【解析】圆()()225516x y -+-=的圆心为()5,5M ,半径为4,直线AB 的方程为142x y +=,即240x y +-=,圆心M 到直线AB 的距离为2252541111545512+⨯-==>+,所以,点P 到直线AB 的距离的最小值为115425-<,最大值为1154105+<,A 选项正确,B 选项错误;如下图所示:当PBA ∠最大或最小时,PB 与圆M 相切,连接MP 、BM ,可知PM PB ⊥,()()22052534BM =-+-4MP =,由勾股定理可得2232BP BM MP =-=CD 选项正确.故选:ACD.【点睛】结论点睛:若直线l 与半径为r 的圆C 相离,圆心C 到直线l 的距离为d ,则圆C 上一点P 到直线l 的距离的取值范围是[],d r d r -+.6.【2021年新高考2卷】已知直线2:0l ax by r +-=与圆222:C x y r +=,点(,)A a b ,则下列说法正确的是( )A .若点A 在圆C 上,则直线l 与圆C 相切B .若点A 在圆C 内,则直线l 与圆C 相离 C .若点A 在圆C 外,则直线l 与圆C 相离D .若点A 在直线l 上,则直线l 与圆C 相切 【答案】ABD【分析】转化点与圆、点与直线的位置关系为222,a b r +的大小关系,结合点到直线的距离及直线与圆的位置关系即可得解. 【解析】圆心()0,0C 到直线l的距离2d =若点(),A a b 在圆C 上,则222a b r +=,所以2d r =,则直线l 与圆C 相切,故A 正确;若点(),A a b 在圆C 内,则222a b r +<,所以2d r =,则直线l 与圆C 相离,故B 正确;若点(),A a b 在圆C 外,则222a b r +>,所以2d r =,则直线l 与圆C 相交,故C 错误;若点(),A a b 在直线l 上,则2220a b r +-=即222=a b r +,所以2d r ,直线l 与圆C 相切,故D 正确.故选:ABD.7.【2020年新高考1卷(山东卷)】已知曲线22:1C mx ny +=.( ) A .若m >n >0,则C 是椭圆,其焦点在y 轴上 B .若m =n >0,则CC .若mn <0,则C是双曲线,其渐近线方程为y = D .若m =0,n >0,则C 是两条直线 【答案】ACD【分析】结合选项进行逐项分析求解,0m n >>时表示椭圆,0m n =>时表示圆,0mn <时表示双曲线,0,0m n =>时表示两条直线.【解析】对于A ,若0m n >>,则221mx ny +=可化为22111x y m n +=, 因为0m n >>,所以11m n<, 即曲线C 表示焦点在y 轴上的椭圆,故A 正确;对于B ,若0m n =>,则221mx ny +=可化为221x y n+=, 此时曲线C 表示圆心在原点,半径为nn的圆,故B 不正确; 对于C ,若0mn <,则221mx ny +=可化为22111x y m n +=,此时曲线C 表示双曲线, 由220mx ny +=可得my x n=±-,故C 正确; 对于D ,若0,0m n =>,则221mx ny +=可化为21y n=, ny n=±,此时曲线C 表示平行于x 轴的两条直线,故D 正确; 故选:ACD.【点睛】本题主要考查曲线方程的特征,熟知常见曲线方程之间的区别是求解的关键,侧重考查数学运算的核心素养. 8.【2022年新高考1卷】写出与圆和都相切的一条直线的方程________________. 【答案】或或【分析】先判断两圆位置关系,分情况讨论即可. 【解析】圆的圆心为,半径为,圆的圆心为,半径为,两圆圆心距为,等于两圆半径之和,故两圆外切,如图,当切线为l时,因为,所以,设方程为O到l的距离,解得,所以l的方程为,当切线为m时,设直线方程为,其中,,由题意,解得,当切线为n时,易知切线方程为,故答案为:或或.9.【2022年新高考1卷】已知椭圆,C的上顶点为A,两个焦点为,,离心率为.过且垂直于的直线与C交于D,E两点,,则的周长是________________.【答案】13【分析】利用离心率得到椭圆的方程为,根据离心率得到直线的斜率,进而利用直线的垂直关系得到直线的斜率,写出直线的方程:,代入椭圆方程,整理化简得到:,利用弦长公式求得,得,根据对称性将的周长转化为的周长,利用椭圆的定义得到周长为.【解析】∵椭圆的离心率为,∴,∴,∴椭圆的方程为,不妨设左焦点为,右焦点为,如图所示,∵,∴,∴为正三角形,∵过且垂直于的直线与C交于D,E两点,为线段的垂直平分线,∴直线的斜率为,斜率倒数为,直线的方程:,代入椭圆方程,整理化简得到:,判别式,∴,∴,得,∵为线段的垂直平分线,根据对称性,,∴的周长等于的周长,利用椭圆的定义得到周长为.故答案为:13.10.【2022年新高考2卷】设点,若直线关于对称的直线与圆有公共点,则a的取值范围是________.【答案】【分析】首先求出点关于对称点的坐标,即可得到直线的方程,根据圆心到直线的距离小于等于半径得到不等式,解得即可;【解析】解:关于对称的点的坐标为,在直线上,所以所在直线即为直线,所以直线为,即;圆,圆心,半径,依题意圆心到直线的距离,即,解得,即;故答案为:11.【2022年新高考2卷】已知直线l 与椭圆在第一象限交于A ,B 两点,l 与x轴,y 轴分别交于M ,N 两点,且,则l 的方程为___________.【答案】【分析】令的中点为,设,,利用点差法得到,设直线,,,求出、的坐标,再根据求出、,即可得解; 【解析】解:令的中点为,因为,所以,设,,则,,所以,即所以,即,设直线,,,令得,令得,即,,所以, 即,解得或(舍去),又,即,解得或(舍去),所以直线,即;故答案为:12.【2021年新高考1卷】已知O 为坐标原点,抛物线C :22y px =(0p >)的焦点为F ,P为C 上一点,PF 与x 轴垂直,Q 为x 轴上一点,且PQ OP ⊥,若6FQ =,则C 的准线方程为______. 【答案】32x =-【分析】先用坐标表示P Q ,,再根据向量垂直坐标表示列方程,解得p ,即得结果. 【解析】抛物线C :22y px = (0p >)的焦点,02p F ⎛⎫⎪⎝⎭,∵P 为C 上一点,PF 与x 轴垂直, 所以P 的横坐标为2p ,代入抛物线方程求得P 的纵坐标为p ±,不妨设(,)2pP p ,因为Q 为x 轴上一点,且PQ OP ⊥,所以Q 在F 的右侧, 又||6FQ =,(6,0),(6,)2pQ PQ p ∴+∴=- 因为PQ OP ⊥,所以PQ OP ⋅=2602pp ⨯-=, 0,3p p >∴=,所以C 的准线方程为32x =-故答案为:32x =-.【点睛】利用向量数量积处理垂直关系是本题关键.13.【2021年新高考2卷】若双曲线22221x y a b -=的离心率为2,则此双曲线的渐近线方程___________.【答案】y =【分析】根据离心率得出2c a =,结合222+=a b c 得出,a b 关系,即可求出双曲线的渐近线方程.【解析】由题可知,离心率2ce a==,即2c a =,又22224a b c a +==,即223b a =,则ba=故此双曲线的渐近线方程为y =.故答案为:y =.14.【2020年新高考1卷(山东卷)C :y 2=4x 的焦点,且与C 交于A ,B 两点,则AB =________. 【答案】163【分析】先根据抛物线的方程求得抛物线焦点坐标,利用点斜式得直线方程,与抛物线方程联立消去y 并整理得到关于x 的二次方程,接下来可以利用弦长公式或者利用抛物线定义将焦点弦长转化求得结果.【解析】∵抛物线的方程为24y x =,∴抛物线的焦点F 坐标为(1,0)F , 又∵直线AB 过焦点F 且斜率为3,∴直线AB 的方程为:3(1)y x =- 代入抛物线方程消去y 并化简得231030x x -+=,解法一:解得121,33x x == ,所以212116||1||13|3|33AB k x x =+-=+⋅-=解法二:10036640∆=-=>,设1122(,),(,)A x y B x y ,则12103x x +=, 过,A B 分别作准线1x =-的垂线,设垂足分别为,C D 如图所示. 12||||||||||11AB AF BF AC BD x x =+=+=+++1216+2=3x x =+故答案为:163【点睛】本题考查抛物线焦点弦长,涉及利用抛物线的定义进行转化,弦长公式,属基础题. 15.【2022年新高考1卷】已知点在双曲线上,直线l 交C 于P ,Q 两点,直线的斜率之和为0.(1)求l 的斜率; (2)若,求的面积.【答案】(1);(2).【分析】(1)由点在双曲线上可求出,易知直线l的斜率存在,设,,再根据,即可解出l的斜率;(2)根据直线的斜率之和为0可知直线的倾斜角互补,再根据即可求出直线的斜率,再分别联立直线与双曲线方程求出点的坐标,即可得到直线的方程以及的长,由点到直线的距离公式求出点到直线的距离,即可得出的面积.【解析】(1)因为点在双曲线上,所以,解得,即双曲线易知直线l的斜率存在,设,,联立可得,,所以,,.所以由可得,,即,即,所以,化简得,,即,所以或,当时,直线过点,与题意不符,舍去,故.(2)不妨设直线的倾斜角为,因为,所以,因为,所以,即,即,解得,于是,直线,直线,联立可得,,因为方程有一个根为,所以,,同理可得,,.所以,,点到直线的距离,故的面积为.16.【2022年新高考2卷】已知双曲线的右焦点为,渐近线方程为.(1)求C的方程;(2)过F的直线与C的两条渐近线分别交于A,B两点,点在C上,且.过P且斜率为的直线与过Q且斜率为的直线交于点M.从下面①②③中选取两个作为条件,证明另外一个成立:①M在上;②;③.注:若选择不同的组合分别解答,则按第一个解答计分.【答案】(1);(2)见解析【分析】(1)利用焦点坐标求得的值,利用渐近线方程求得的关系,进而利用的平方关系求得的值,得到双曲线的方程;(2)先分析得到直线的斜率存在且不为零,设直线AB的斜率为k,M(x0,y0),由③|AM|=| BM|等价分析得到;由直线和的斜率得到直线方程,结合双曲线的方程,两点间距离公式得到直线PQ的斜率,由②等价转化为,由①在直线上等价于,然后选择两个作为已知条件一个作为结论,进行证明即可.【解析】(1)右焦点为,∴,∵渐近线方程为,∴,∴,∴,∴,∴.∴C的方程为:;(2)由已知得直线的斜率存在且不为零,直线的斜率不为零,若选由①②推③或选由②③推①:由②成立可知直线的斜率存在且不为零;若选①③推②,则为线段的中点,假若直线的斜率不存在,则由双曲线的对称性可知在轴上,即为焦点,此时由对称性可知、关于轴对称,与从而,已知不符;总之,直线的斜率存在且不为零.设直线的斜率为,直线方程为,则条件①在上,等价于;两渐近线的方程合并为,联立消去y并化简整理得:设,线段中点为,则,设,则条件③等价于,移项并利用平方差公式整理得:,,即,即;由题意知直线的斜率为, 直线的斜率为,∴由,∴,所以直线的斜率,直线,即,代入双曲线的方程,即中,得:,解得的横坐标:,同理:,∴∴, ∴条件②等价于,综上所述:条件①在上,等价于;条件②等价于;条件③等价于;选①②推③:由①②解得:,∴③成立;选①③推②:由①③解得:,,∴,∴②成立;选②③推①:由②③解得:,,∴,∴,∴①成立.17.【2021年新高考1卷】在平面直角坐标系xOy 中,已知点()117,0F -、()21217,02F MF MF -=,,点M 的轨迹为C .(1)求C 的方程; (2)设点T 在直线12x =上,过T 的两条直线分别交C 于A 、B 两点和P ,Q 两点,且TA TB TP TQ ⋅=⋅,求直线AB 的斜率与直线PQ 的斜率之和.【答案】(1)()221116y x x -=≥;(2)0. 【分析】(1) 利用双曲线的定义可知轨迹C 是以点1F 、2F 为左、右焦点双曲线的右支,求出a 、b 的值,即可得出轨迹C 的方程;(2)方法一:设出点的坐标和直线方程,联立直线方程与曲线C 的方程,结合韦达定理求得直线的斜率,最后化简计算可得12k k +的值. 【解析】(1) 因为12122217MF MF F F -=<=,所以,轨迹C 是以点1F 、2F 为左、右焦点的双曲线的右支,设轨迹C 的方程为()222210,0x y a b a b -=>>,则22a =,可得1a =,2174b a =-=,所以,轨迹C 的方程为()221116y x x -=≥.(2)[方法一] 【最优解】:直线方程与双曲线方程联立,如图所示,设1(,)2T n ,设直线AB 的方程为112211(),,(2,(),)y n k x A x y B x y -=-.联立1221()2116y n k x y x ⎧-=-⎪⎪⎨⎪-=⎪⎩,化简得22221111211(16)(2)1604k x k k n x k n k n -+---+-=.则22211112122211111624,1616k n k n k k n x x x x k k +-+-+==--.故12,11||)||)22TA x TB x --.则222111221(12)(1)11||||(1)()()2216n k TA TB k x x k ++⋅=+--=-.设PQ 的方程为21()2y n k x -=-,同理22222(12)(1)||||16n k TP TQ k ++⋅=-. 因为TA TB TP TQ ⋅=⋅,所以22122212111616k k k k ++=--,化简得22121717111616k k +=+--,所以22121616k k -=-,即2212k k =.因为11k k ≠,所以120k k +=.[方法二] :参数方程法设1(,)2T m .设直线AB 的倾斜角为1θ,则其参数方程为111cos 2sin x t y m t θθ⎧=+⎪⎨⎪=+⎩,联立直线方程与曲线C 的方程2216160(1)x y x --≥=,可得222221111cos 116(cos )(sin 2sin )1604t m t t mt θθθθ+-++-=+,整理得22221111(16cos sin )(16cos 2sin )(12)0t m t m θθθθ-+--+=.设12,TA t TB t ==,由根与系数的关系得2212222111(12)12||||16cos sin 117cos t m m TA TB t θθθ-++⋅===--⋅.设直线PQ 的倾斜角为2θ,34,TP t TQ t ==,同理可得2342212||||117cos m T T t P Q t θ+⋅==-⋅ 由||||||||TA TB TP TQ ⋅=⋅,得2212cos cos θθ=.因为12θθ≠,所以12s o o s c c θθ=-.由题意分析知12θθπ+=.所以12tan tan 0θθ+=, 故直线AB 的斜率与直线PQ 的斜率之和为0. [方法三]:利用圆幂定理因为TA TB TP TQ ⋅=⋅,由圆幂定理知A ,B ,P ,Q 四点共圆.设1(,)2T t ,直线AB 的方程为11()2y t k x -=-,直线PQ 的方程为21()2y t k x -=-,则二次曲线1212()()022k kk x y t k x y t --+--+=. 又由22116y x -=,得过A ,B ,P ,Q 四点的二次曲线系方程为:221212()()(1)0(0)2216k k y k x y t k x y t x λμλ--+--++--=≠,整理可得:[]2212121212()()()()16k x y k k xy t k k k k k x μμλλλλ++--+++-12(2)02y k k t m λ++-+=,其中21212()42k k t m t k k λμ⎡⎤=+-+-⎢⎥⎣⎦. 由于A ,B ,P ,Q 四点共圆,则xy 项的系数为0,即120k k +=.【整体点评】(2)方法一:直线方程与二次曲线的方程联立,结合韦达定理处理圆锥曲线问题是最经典的方法,它体现了解析几何的特征,是该题的通性通法,也是最优解; 方法二:参数方程的使用充分利用了参数的几何意义,要求解题过程中对参数有深刻的理解,并能够灵活的应用到题目中.方法三:圆幂定理的应用更多的提现了几何的思想,二次曲线系的应用使得计算更为简单.18.【2021年新高考2卷】已知椭圆C 的方程为22221(0)x y a b a b +=>>,右焦点为F ,(1)求椭圆C 的方程;(2)设M ,N 是椭圆C 上的两点,直线MN 与曲线222(0)x y b x +=>相切.证明:M ,N ,F 三点共线的充要条件是||MN =【答案】(1)2213x y +=;(2)证明见解析.【分析】(1)由离心率公式可得a =2b ,即可得解;(2)必要性:由三点共线及直线与圆相切可得直线方程,联立直线与椭圆方程可证MN充分性:设直线():,0MN y kx b kb =+<,由直线与圆相切得221b k =+,联立直线与椭圆方=1k =±,即可得解.【解析】(1)由题意,椭圆半焦距c =c e a ==,所以a = 又2221b a c =-=,所以椭圆方程为2213x y +=;(2)由(1)得,曲线为221(0)x y x +=>,当直线MN 的斜率不存在时,直线:1MN x =,不合题意; 当直线MN 的斜率存在时,设()()1122,,,M x y N x y , 必要性:若M ,N ,F三点共线,可设直线(:MN y k x =即0kx y --=,由直线MN 与曲线221(0)x y x +=>1=,解得1k =±,联立(2213y x x y ⎧=±⎪⎨⎪+=⎩可得2430x -+=,所以1212324x x x x +=⋅=,所以MN 所以必要性成立;充分性:设直线():,0MN y kx b kb =+<即0kx y b -+=, 由直线MN 与曲线221(0)x y x +=>1=,所以221b k =+,联立2213y kx b x y =+⎧⎪⎨+=⎪⎩可得()222136330k x kbx b +++-=, 所以2121222633,1313kb b x x x x k k -+=-⋅=++,所以MN ==()22310k -=,所以1k =±, 所以1k b =⎧⎪⎨=⎪⎩或1k b =-⎧⎪⎨=⎪⎩:MN y x=y x =-,所以直线MN 过点F ,M ,N ,F 三点共线,充分性成立; 所以M ,N ,F 三点共线的充要条件是||MN = 【点睛】关键点点睛:解决本题的关键是直线方程与椭圆方程联立及韦达定理的应用,注意运算的准确性是解题的重中之重.19.【2020年新高考1卷(山东卷)】已知椭圆C :22221(0)x y a b a b +=>>过点()2,1A . (1)求C 的方程:(2)点M ,N 在C 上,且AM AN ⊥,AD MN ⊥,D 为垂足.证明:存在定点Q ,使得DQ 为定值.【答案】(1)22163x y +=;(2)详见解析.【分析】(1)由题意得到关于,,a b c 的方程组,求解方程组即可确定椭圆方程.(2)方法一:设出点M ,N 的坐标,在斜率存在时设方程为y kx m =+, 联立直线方程与椭圆方程,根据已知条件,已得到,m k 的关系,进而得直线MN 恒过定点,在直线斜率不存在时要单独验证,然后结合直角三角形的性质即可确定满足题意的点Q 的位置. 【解析】(1)由题意可得:22222411c aa b a b c ⎧=⎪⎪⎪+=⎨⎪=+⎪⎪⎩,解得:2226,3a b c ===,故椭圆方程为:22163x y +=.(2)[方法一]:通性通法 设点()()1122,,,M x y N x y ,若直线MN 斜率存在时,设直线MN 的方程为:y kx m =+, 代入椭圆方程消去y 并整理得:()222124260kxkmx m +++-=,可得122412km x x k +=-+,21222612m x x k -=+,因为AM AN ⊥,所以·0AM AN =,即()()()()121222110x x y y --+--=, 根据1122,kx m y kx m y =+=+,代入整理可得:()()()()22121212140x x km k x x km ++--++-+=,所以()()()22222264121401212m km k km k m k k -⎛⎫++---+-+= ⎪++⎝⎭, 整理化简得()()231210k m k m +++-=,因为(2,1)A 不在直线MN 上,所以210k m +-≠,故23101k m k ++=≠,,于是MN 的方程为2133y k x ⎛⎫=-- ⎪⎝⎭()1k ≠,所以直线过定点直线过定点21,33P ⎛⎫- ⎪⎝⎭.当直线MN 的斜率不存在时,可得()11,N x y -, 由·0AM AN =得:()()()()111122110x x y y --+---=, 得()1221210x y -+-=,结合2211163x y +=可得:2113840x x -+=, 解得:123x =或22x =(舍).此时直线MN 过点21,33P ⎛⎫- ⎪⎝⎭. 令Q 为AP 的中点,即41,33Q ⎛⎫⎪⎝⎭,若D 与P 不重合,则由题设知AP 是Rt ADP △的斜边,故12DQ AP =, 若D 与P 重合,则12DQ AP =,故存在点41,33Q ⎛⎫⎪⎝⎭,使得DQ 为定值. [方法二]【最优解】:平移坐标系将原坐标系平移,原来的O 点平移至点A 处,则在新的坐标系下椭圆的方程为22(2)(1)163x y +++=,设直线MN 的方程为4mx ny .将直线MN 方程与椭圆方程联立得224240x x y y +++=,即22()2()0x mx ny x y mx ny y +++++=,化简得22(2)()(1)0n y m n xy m x +++++=,即2(2)()(1)0y y n m n m x x ⎛⎫⎛⎫+++++= ⎪ ⎪⎝⎭⎝⎭.设()()1122,,,M x y N x y ,因为AM AN ⊥则1212AM AN y y k k x x ⋅=⋅112m n +==-+,即3m n =--. 代入直线MN 方程中得()340n y x x ---=.则在新坐标系下直线MN 过定点44,33⎛⎫-- ⎪⎝⎭,则在原坐标系下直线MN 过定点21,33P ⎛⎫- ⎪⎝⎭.又AD MN ⊥,D 在以AP 为直径的圆上.AP 的中点41,33⎛⎫⎪⎝⎭即为圆心Q .经检验,直线MN 垂直于x 轴时也成立.故存在41,33Q ⎛⎫ ⎪⎝⎭,使得1||||2DQ AP =.[方法三]:建立曲线系 A 点处的切线方程为21163x y ⨯⨯+=,即30x y +-=.设直线MA 的方程为11210k x y k --+=,直线MB 的方程为22210k x y k --+=,直线MN 的方程为0kx y m -+=.由题意得121k k .则过A ,M ,N 三点的二次曲线系方程用椭圆及直线,MA MB 可表示为()()22112212121063x y k x y k k x y k λ⎛⎫+-+--+--+= ⎪⎝⎭(其中λ为系数). 用直线MN 及点A 处的切线可表示为()(3)0kx y m x y μ-+⋅+-=(其中μ为系数).即()()22112212121()(3)63x y k x y k k x y k kx y m x y λμ⎛⎫+-+--+--+=-++- ⎪⎝⎭. 对比xy 项、x 项及y 项系数得()()()121212(1),4(3),21(3).k k k k k m k k k m λμλμλμ⎧+=-⎪++=-⎨⎪+-=+⎩①②③将①代入②③,消去,λμ并化简得3210m k ++=,即2133m k =--.故直线MN 的方程为2133y k x ⎛⎫=-- ⎪⎝⎭,直线MN 过定点21,33P ⎛⎫- ⎪⎝⎭.又AD MN ⊥,D 在以AP 为直径的圆上.AP 中点41,33⎛⎫⎪⎝⎭即为圆心Q .经检验,直线MN 垂直于x 轴时也成立.故存在41,33Q ⎛⎫ ⎪⎝⎭,使得1||||2DQ AP ==.[方法四]:设()()1122,,,M x y N x y .若直线MN 的斜率不存在,则()()1111,,,M x y N x y -. 因为AM AN ⊥,则0AM AN ⋅=,即()1221210x y -+-=.由2211163x y +=,解得123x =或12x =(舍).所以直线MN 的方程为23x =.若直线MN 的斜率存在,设直线MN 的方程为y kx m =+,则()()()222122()6120x kx m k x x x x ++-=+--=.令2x =,则()()1222(21)(21)2212k m k m x x k +-++--=+.又()()221221262y m y y y y y k k -⎛⎫⎛⎫+-=+-- ⎪ ⎪⎝⎭⎝⎭,令1y =,则()()122(21)(21)1112k m k m y y k +--+---=+.因为AM AN ⊥,所以()()()()12122211AM AN x x y y ⋅=--+--2(21)(231)12k m k m k +-++=+0=,即21m k =-+或2133m k =--.当21m k =-+时,直线MN 的方程为21(2)1y kx k k x =-+=-+.所以直线MN 恒过(2,1)A ,不合题意;当2133m k =--时,直线MN 的方程为21213333y kx k k x ⎛⎫=--=-- ⎪⎝⎭,所以直线MN 恒过21,33P ⎛⎫- ⎪⎝⎭.综上,直线MN 恒过21,33P ⎛⎫- ⎪⎝⎭,所以||3AP =又因为AD MN ⊥,即AD AP ⊥,所以点D 在以线段AP 为直径的圆上运动.取线段AP 的中点为41,33Q ⎛⎫ ⎪⎝⎭,则1||||2DQ AP =.所以存在定点Q ,使得||DQ 为定值.【整体点评】(2)方法一:设出直线MN 方程,然后与椭圆方程联立,通过题目条件可知直线过定点P ,再根据平面几何知识可知定点Q 即为AP 的中点,该法也是本题的通性通法; 方法二:通过坐标系平移,将原来的O 点平移至点A 处,设直线MN 的方程为4mx ny ,再通过与椭圆方程联立,构建齐次式,由韦达定理求出,m n 的关系,从而可知直线过定点P ,从而可知定点Q 即为AP 的中点,该法是本题的最优解;方法三:设直线:MN y kx m =+,再利用过点,,A M N 的曲线系,根据比较对应项系数可求出,m k 的关系,从而求出直线过定点P ,故可知定点Q 即为AP 的中点;方法四:同方法一,只不过中间运算时采用了一元二次方程的零点式赋值,简化了求解()()1222--x x 以及()()1211y y --的计算.20.【2020年新高考2卷(海南卷)】已知椭圆C :22221(0)x y a b a b +=>>过点M (2,3),点A 为其左顶点,且AM 的斜率为12 , (1)求C 的方程;(2)点N 为椭圆上任意一点,求△AMN 的面积的最大值.【答案】(1)2211612x y +=;(2)18.【分析】(1)由题意分别求得a ,b 的值即可确定椭圆方程;(2)首先利用几何关系找到三角形面积最大时点N 的位置,然后联立直线方程与椭圆方程,结合判别式确定点N 到直线AM 的距离即可求得三角形面积的最大值. 【解析】(1)由题意可知直线AM 的方程为:13(2)2y x -=-,即24-=-x y .当y =0时,解得4x =-,所以a =4,椭圆()2222:10x y C a b a b+=>>过点M (2,3),可得249116b +=,解得b 2=12.所以C 的方程:2211612x y +=.(2)设与直线AM 平行的直线方程为:2x y m -=,如图所示,当直线与椭圆相切时,与AM 距离比较远的直线与椭圆的切点为N ,此时△AMN 的面积取得最大值.联立直线方程2x y m -=与椭圆方程2211612x y +=,可得:()2232448m y y ++=, 化简可得:2216123480y my m ++-=,所以()221444163480m m ∆=-⨯-=,即m 2=64,解得m =±8,与AM 距离比较远的直线方程:28x y -=, 直线AM 方程为:24-=-x y ,点N 到直线AM 的距离即两平行线之间的距离, 利用平行线之间的距离公式可得:12514d ==+由两点之间距离公式可得||AM =.所以△AMN 的面积的最大值:1182⨯=.【点睛】解决直线与椭圆的综合问题时,要注意:(1)注意观察应用题设中的每一个条件,明确确定直线、椭圆的条件;(2)强化有关直线与椭圆联立得出一元二次方程后的运算能力,重视根与系数之间的关系、弦长、斜率、三角形的面积等问题.【】专题05 平面解析几何1.【2021年新高考1卷】已知1F ,2F 是椭圆C :22194x y+=的两个焦点,点M 在C 上,则12MF MF ⋅的最大值为( )A .13B .12C .9D .62.【2021年新高考2卷】抛物线22(0)y px p =>的焦点到直线1y x =+的距离为2,则p =( ) A .1B .2C .22D .43.【2022年新高考1卷】已知O 为坐标原点,点在抛物线上,过点的直线交C 于P ,Q 两点,则( )A .C 的准线为B .直线AB 与C 相切 C .D .4.【2022年新高考2卷】已知O 为坐标原点,过抛物线焦点F 的直线与C 交于A ,B 两点,其中A 在第一象限,点,若,则( ) A .直线的斜率为B .C .D .5.【2021年新高考1卷】已知点P 在圆()()225516x y -+-=上,点()4,0A 、()0,2B ,则( )A .点P 到直线AB 的距离小于10 B .点P 到直线AB 的距离大于2C .当PBA ∠最小时,32PB =D .当PBA ∠最大时,32PB =6.【2021年新高考2卷】已知直线2:0l ax by r +-=与圆222:C x y r +=,点(,)A a b ,则下列说法正确的是( )A .若点A 在圆C 上,则直线l 与圆C 相切B .若点A 在圆C 内,则直线l 与圆C 相离 C .若点A 在圆C 外,则直线l 与圆C 相离D .若点A 在直线l 上,则直线l 与圆C 相切7.【2020年新高考1卷(山东卷)】已知曲线22:1C mx ny +=.( ) A .若m >n >0,则C 是椭圆,其焦点在y 轴上 B .若m =n >0,则C nC .若mn <0,则C 是双曲线,其渐近线方程为my x n=±- D .若m =0,n >0,则C 是两条直线 8.【2022年新高考1卷】写出与圆和都相切的一条直线的方程________________. 9.【2022年新高考1卷】已知椭圆,C 的上顶点为A ,两个焦点为,,离心率为.过且垂直于的直线与C 交于D ,E 两点,,则的周长是________________. 10.【2022年新高考2卷】设点,若直线关于对称的直线与圆有公共点,则a 的取值范围是________.11.【2022年新高考2卷】已知直线l 与椭圆在第一象限交于A ,B 两点,l 与x轴,y 轴分别交于M ,N 两点,且,则l 的方程为___________.12.【2021年新高考1卷】已知O 为坐标原点,抛物线C :22y px =(0p >)的焦点为F ,P 为C 上一点,PF 与x 轴垂直,Q 为x 轴上一点,且PQ OP ⊥,若6FQ =,则C 的准线方程为______.13.【2021年新高考2卷】若双曲线22221x y a b -=的离心率为2,则此双曲线的渐近线方程___________.14.【2020年新高考1卷(山东卷)】斜率为3的直线过抛物线C :y 2=4x 的焦点,且与C 交于A ,B 两点,则AB =________. 15.【2022年新高考1卷】已知点在双曲线上,直线l 交C 于P ,Q 两点,直线的斜率之和为0.(1)求l 的斜率; (2)若,求的面积.16.【2022年新高考2卷】已知双曲线的右焦点为,渐近线方程为.(1)求C 的方程;(2)过F 的直线与C 的两条渐近线分别交于A ,B 两点,点在C 上,且.过P 且斜率为的直线与过Q 且斜率为的直线交于点M .从下面①②③中选取两个作为条件,证明另外一个成立: ①M 在上;②;③.注:若选择不同的组合分别解答,则按第一个解答计分.17.【2021年新高考1卷】在平面直角坐标系xOy 中,已知点()1F 、)2122F MF MF -=,,点M 的轨迹为C .(1)求C 的方程; (2)设点T 在直线12x =上,过T 的两条直线分别交C 于A 、B 两点和P ,Q 两点,且TA TB TP TQ ⋅=⋅,求直线AB 的斜率与直线PQ 的斜率之和.18.【2021年新高考2卷】已知椭圆C 的方程为22221(0)x y a b a b +=>>,右焦点为F ,(1)求椭圆C 的方程;(2)设M ,N 是椭圆C 上的两点,直线MN 与曲线222(0)x y b x +=>相切.证明:M ,N ,F 三点共线的充要条件是||MN =19.【2020年新高考1卷(山东卷)】已知椭圆C :22221(0)x y a b a b +=>>过点()2,1A . (1)求C 的方程:(2)点M ,N 在C 上,且AM AN ⊥,AD MN ⊥,D 为垂足.证明:存在定点Q ,使得DQ 为定值.20.【2020年新高考2卷(海南卷)】已知椭圆C :22221(0)x y a b a b +=>>过点M (2,3),点A 为其左顶点,且AM 的斜率为12 , (1)求C 的方程;(2)点N 为椭圆上任意一点,求△AMN 的面积的最大值.【】三年专题05 立体几何(选择题、填空题)(理科专用)1.【2022年新高考1卷】南水北调工程缓解了北方一些地区水资源短缺问题,其中一部分水蓄入某水库.已知该水库水位为海拔时,相应水面的面积为;水位为海拔时,相应水面的面积为,将该水库在这两个水位间的形状看作一个棱台,则该水库水位从海拔上升到时,增加的水量约为()()A.B.C.D.【答案】C【解析】【分析】根据题意只要求出棱台的高,即可利用棱台的体积公式求出.【详解】依题意可知棱台的高为(m),所以增加的水量即为棱台的体积.棱台上底面积,下底面积,∴.故选:C.2.【2022年新高考1卷】已知正四棱锥的侧棱长为l,其各顶点都在同一球面上.若该球的体积为,且,则该正四棱锥体积的取值范围是()A.B.C.D.【答案】C【解析】【分析】设正四棱锥的高为,由球的截面性质列方程求出正四棱锥的底面边长与高的关系,由此确定正四棱锥体积的取值范围. 【详解】 ∵ 球的体积为,所以球的半径,设正四棱锥的底面边长为,高为,则,,所以,所以正四棱锥的体积,所以,当时,,当时,,所以当时,正四棱锥的体积取最大值,最大值为, 又时,,时,,所以正四棱锥的体积的最小值为, 所以该正四棱锥体积的取值范围是.故选:C.3.【2022年新高考2卷】已知正三棱台的高为1,上、下底面边长分别为和,其顶点都在同一球面上,则该球的表面积为( ) A .B .C .D .【答案】A 【解析】 【分析】根据题意可求出正三棱台上下底面所在圆面的半径,再根据球心距,圆面半径,以及球的半径之间的关系,即可解出球的半径,从而得出球的表面积. 【详解】设正三棱台上下底面所在圆面的半径,所以,即,设球心到上下底面的距离分别为,球的半径为,所以,,故或,即或,解得符合题意,所以球的表面积为.故选:A .4.【2021年甲卷理科】2020年12月8日,中国和尼泊尔联合公布珠穆朗玛峰最新高程为8848.86(单位:m ),三角高程测量法是珠峰高程测量方法之一.如图是三角高程测量法的一个示意图,现有A ,B ,C 三点,且A ,B ,C 在同一水平面上的投影,,A B C '''满足45AC B ∠'''=︒,。
专题5平面向量1.【2014高考福建卷第8题】在下列向量组中,可以把向量()2,3=a 表示出来的是() A.)2,1(),0,0(21==e e B.)2,5(),2,1(21-=-=e e C.)10,6(),5,3(21==e e D.)3,2(),3,2(21-=-=e e2.【2014高考广东卷理第5题】已知向量()1,0,1a =-,则下列向量中与a 成60的是() A.()1,1,0- B.()1,1,0- C.()0,1,1- D.()1,0,1-3.【2014高考湖南卷第16题】在平面直角坐标系中,O 为原点,()),0,3(),3,0(,0,1C B A -动点D 满足CD =1,则OA OB OD ++的最大值是_________.4.【2014高考江苏卷第12题】如图在平行四边形ABCD 中,已知8,5AB AD ==,3,2CP PD AP BP =⋅=,则AB AD ⋅的值是 .5.【2014陕西高考理第13题】设20πθ<<,向量()()1cos cos 2sin ,,,θθθb a=,若b a //,则=θtan _______.6.【2014高考安徽卷理第10题】在平面直角坐标系xOy 中,已知向量,,1,0,a b a b a b ==⋅=点Q 满足2()OQ a b =+.曲线{cos sin ,02}C P OP a b θθθπ==+≤≤,区域{0,}P r PQ R r R Ω=<≤≤<.若CΩ为两段分离的曲线,则()A.13r R <<<B.13r R <<≤C.13r R ≤<<D.13r R <<<7.【2014高考北京版理第10题】已知向量a 、b 满足1||=a ,)1,2(=b ,且0b a =+λ(R λ∈),则||λ= .8.【2014高考湖北卷理第11题】设向量(3,3)a =,(1,1)b =-,若()()a b a b λλ+⊥-,则实数λ= .【答案】3± 【解析】10.【2014江西高考理第15题】已知单位向量1e 与2e 的夹角为α,且1cos 3α=,向量1232a e e =-与123b e e =-的夹角为β,则cos β= .11.【2014辽宁高考理第5题】设,,a b c 是非零向量,已知命题P :若0a b •=,0b c •=,则0a c •=;命题q :若//,//a b b c ,则//a c ,则下列命题中真命题是()A .p q ∨B .p q ∧C .()()p q ⌝∧⌝D .()p q ∨⌝12.【2014全国1高考理第15题】已知C B A ,,为圆O 上的三点,若()AC AB AO +=21,则AB 与的夹角为_______.13.【2014全国2高考理第3题】设向量a,b 满足|a+b |=10,|a-b |=6,则a ⋅b =() A.1B.2C.3D.514.【2014高考安徽卷理第15题】已知两个不相等的非零向量,,两组向量54321,,,,x x x x x 和54321,,,,y y y y y 均由2个和3个排列而成.记5544332211y x y x y x y x y x S ⋅+⋅+⋅+⋅+⋅=,min S 表示S 所有可能取值中的最小值.则下列命题的是_________(写出所有正确命题的编号). ①S 有5个不同的值. ②若,b a ⊥则min S a . ③若,∥则min S b 无关. a b >,则0min >S . ⑤若2min||2||,8||b a Sa ==,则与的夹角为4π2222min 34()8||cos 4||8||S S a b b a a a θ==⋅+=+=,∴2cos 1θ=,∴3πθ=,故⑤错误.所以正确的编号为②④.考点:1.平面向量的运算;2.平面向量的数量积.15.【2014四川高考理第7题】平面向量(1,2)a =,(4,2)b =,c ma b =+(m R ∈),且c 与a 的夹角等于c 与b 的夹角,则m =() A .2-B .1-C .1D .216.【2014浙江高考理第8题】记,max{,},x x y x y y x y ≥⎧=⎨<⎩,,min{,},y x y x y x x y≥⎧=⎨<⎩,设,a b 为平面向量,则()A.min{||,||}min{||,||}a b a b a b +-≤B.min{||,||}min{||,||}a b a b a b +-≥C.2222min{||,||}||||a b a b a b +-≥+ D.2222min{||,||}||||a b a b a b +-≤+17.【2014重庆高考理第4题】已知向量(,3),(1,4),(2,1)a k b c ===,且(23)a b c -⊥,则实数k =()9.2A -.0B .C 3D.15218.【2014天津高考理第8题】已知菱形ABCD 的边长为2,120BAD,点,E F 分别在边,BC DC 上,BEBC ,DF DC .若1AE AF ,23CE CF,则()(A )12(B )23(C )56(D )71219.【2014大纲高考理第4题】若向量,a b 满足:()()1,,2,a a b a a b b =+⊥+⊥则b =()A .2B .2C .1D .220.【2014高考陕西第18题】在直角坐标系xOy 中,已知点)2,3(),3,2(),1,1(C B A ,点),(y x P 在ABC ∆三边围成的 区域(含边界)上(1)若0=++PC PB PA OP ;(2)设),(R n m AC n AB m OP ∈+=,用y x ,表示n m -,并求n m -的最大值.考点:平面向量的线性运算;线性规划.21.【2014高考上海理科第16题】如图,四个棱长为1的正方体排成一个正四棱柱,AB 是一条侧棱,,...)2,1(=i P i 是上底面上其余的八个点,则...)2,1(=⋅→→i AP AB i 的不同值的个数为()(A )1(B)2(C)4(D)822.【2014高考上海理科第14题】已知曲线C :24x y =--l :x=6.若对于点A (m ,0),存在C 上的点P 和l 上的点Q 使得0AP AQ +=,则m 的取值范围为 .。
2012年高考数学全国各地高考真题专题分类汇编——平面向量F1 平面向量的概念及其线性运算4.H1、F1[2012·上海卷] 若d =(2,1)是直线l 的一个方向向量,则l 的倾斜角的大小为________(结果用反三角函数值表示).4.arctan 12[解析] 考查直线的方向向量、斜率与倾斜角三者之间的关系,关键是求出直线的斜率.由已知可得直线的斜率k =12,k =tan α,所以直线的倾斜角α=arctan 12.20.H5、F1、H1[2012·陕西卷] 已知椭圆C 1:x 24+y 2=1,椭圆C 2以C 1的长轴为短轴,且与C 1有相同的离心率.(1)求椭圆C 2的方程;(2)设O 为坐标原点,点A ,B 分别在椭圆C 1和C 2上,OB →=2OA →,求直线AB 的方程.20.解:(1)由已知可设椭圆C 2的方程为y 2a 2+x 24=1(a >2),其离心率为32,故a 2-4a =32,则a =4,故椭圆C 2的方程为y 216+x 24=1.(2)解法一:A ,B 两点的坐标分别记为(x A ,y A ),(x B ,y B ), 由OB →=2OA →及(1)知,O ,A ,B 三点共线且点A ,B 不在y 轴上, 因此可设直线AB 的方程为y =kx .将y =kx 代入x 24+y 2=1中,得(1+4k 2)x 2=4,所以x 2A =41+4k 2,将y =kx 代入y 216+x 24=1中,得(4+k 2)x 2=16,所以x 2B =164+k2,又由OB →=2OA →得x 2B =4x 2A ,即164+k 2=161+4k2,解得k =±1,故直线AB 的方程为y =x 或y =-x .解法二:A ,B 两点的坐标分别记为(x A ,y A ),(x B ,y B ), 由OB →=2OA →及(1)知,O ,A ,B 三点共线且点A ,B 不在y 轴上, 因此可设直线AB 的方程为y =kx .将y =kx 代入x 24+y 2=1中,得(1+4k 2)x 2=4,所以x 2A =41+4k2,由OB →=2OA →得x 2B =161+4k 2,y 2B =16k 21+4k2,将x 2B ,y 2B 代入y 216+x 24=1中,得4+k 21+4k 2=1,即4+k 2=1+4k 2,解得k =±1, 故直线AB 的方程为y =x 或y =-x .F2 平面向量基本定理及向量坐标运算13.F2、F3[2012·湖北卷] 已知向量a =(1,0),b =(1,1),则 (1)与2a +b 同向的单位向量的坐标表示为________; (2)向量b -3a 与向量a 夹角的余弦值为________.13.[答案] (1)⎝⎛⎭⎪⎫31010,1010 (2)-255 [解析] (1)由题意,2a +b =(3,1),所以与2a +b 同向的单位向量的坐标为⎝ ⎛⎭⎪⎫310,110,即⎝⎛⎭⎪⎫31010,1010. (2)因为a =(1,0),b =(1,1),所以b -3a =(-2,1).设向量b -3a 与向量a 的夹角为θ,则cos θ=b -3a a |b -3a ||a |=-2,,5×1=-255.3.F2[2012·广东卷] 若向量AB →=(1,2),BC →=(3,4),则AC →=( ) A .(4,6) B .(-4,-6) C .(-2,-2) D .(2,2)3.A [解析] 因为AC →=AB →+BC →=(1,2)+(3,4)=(4,6).所以选择A.9.F2[2012·全国卷] △ABC 中,AB 边的高为CD ,若CB →=a ,CA →=b ,a·b =0,|a |=1,|b |=2,则AD →=( )A.13a -13bB.23a -23bC.35a -35bD.45a -45b9.D [解析] 本小题主要考查平面向量的基本定理,解题的突破口为设法用a 和b 作为基底去表示向量AD →.易知a ⊥b ,|AB |=5,用等面积法求得|CD |=255,∵AD =AC 2-CD 2=455,AB =5,∴AD →=45AB →=45(a -b ),故选D.7.F2、C6[2012·陕西卷] 设向量a =(1,cos θ)与b =(-1,2cos θ)垂直,则cos2θ等于( )A.22B.12C .0D .-1 7.C [解析] 由向量垂直的充要条件可知,要使两向量垂直,则有-1+2cos 2θ=0,则cos2θ=2cos 2θ-1=0.故选C.6.F2、F3[2012·重庆卷] 设x ∈R ,向量a =(x,1),b =(1,-2),且a⊥b ,则|a +b |=( )A. 5B.10 C .2 5 D .106.B [解析] 因为a ⊥b ,所以a ·b =0,即x ·1+1·(-2)=0,解得x =2,所以a+b =(3,-1),|a +b |=32+-2=10,选B.F3 平面向量的数量积及应用12.F3[2012·上海卷] 在矩形ABCD 中,边AB 、AD 的长分别为2、1.若M 、N 分别是边BC 、CD 上的点,且满足|BM →||BC →|=|CN →||CD →|,则AM →·AN →的取值范围是________.12.[1,4] [解析] 令BM →=nBC →(0≤n ≤1),则DN →=(1-n )DC →,在矩形ABCD 中,AM →=AB →+nAD →,AN →=AD →+(1-n )AB →,所以AM →·AN →=(AB →+nAD →)·[AD →+(1-n )AB →]=(1-n )AB →2+nAD →2=4-3n ,而函数f (n )=4-3n 在[0,1]上是单调递减的,其值域为[1,4],所以AM →·AN →的取值范围是[1,4].1.F3[2012·辽宁卷] 已知向量a =(1,-1),b =(2,x ),若a ·b =1,则x =( )A .-1B .-12C.12 D .11.D [解析] 本小题主要考查向量数量积的坐标运算.解题的突破口为正确运用数量积的坐标运算公式.因为a ·b =(1,-1)·(2,x )=1×2-1·x =1⇒x =1,所以答案选D.15.F3[2012·课标全国卷] 已知向量a ,b 夹角为45°,且|a |=1,|2a -b |=10,则|b |=________.15.[答案] 3 2[解析] 因为|2a -b |=10,平方得4a 2-4a ·b +b 2=10,得4-4×|b |×22+|b |2=10,解得|b |=3 2.12.F3[2012·江西卷] 设单位向量m =(x ,y ),b =(2,-1).若m⊥b ,则|x +2y |=________.12. 5 [解析] 设c =(1,2) ,则c ⊥b ,∴c ∥m .∵| m |=1,∴|m·c |=|c |= 5.21.H5、H8、F3[2012·重庆卷] 如图,设椭圆的中点为原点O ,长轴在x 轴上,上顶点为A ,左、右焦点分别为F 1,F 2,线段OF 1,OF 2的中点分别为B 1,B 2,且△AB 1B 2是面积为4的直角三角形.(1)求该椭圆的离心率和标准方程;(2)过B 1作直线交椭圆于P ,Q 两点,使PB 2⊥QB 2,求△PB 2Q 的面积.21.解:(1)设所求椭圆的标准方程为x 2a 2+y 2b2=1(a >b >0),右焦点为F 2(c,0).因△AB 1B 2是直角三角形且|AB 1|=|AB 2|,故∠B 1AB 2为直角,从而|OA |=|OB 2|,即b =c 2.结合c 2=a 2-b 2得4b 2=a 2-b 2,故a 2=5b 2,c 2=4b 2,所以离心率e =c a =255.在Rt △AB 1B 2中,OA ⊥B 1B 2,故S △AB 1B 2=12·|B 1B 2|·|OA |=|OB 2|·|OA |=c2·b =b 2, 由题设条件S △AB 1B 2=4得b 2=4,从而a 2=5b 2=20.因此所求椭圆的标准方程为:x 220+y 24=1.(2)由(1)知B 1(-2,0)、B 2(2,0).由题意,直线PQ 的倾斜角不为0,故可设直线PQ 的方程为:x =my -2.代入椭圆方程得(m 2+5)y 2-4my -16=0.(*)设P (x 1,y 1),Q (x 2,y 2),则y 1,y 2是上面方程的两根,因此y 1+y 2=4m m 2+5,y 1·y 2=-16m 2+5.又B 2P →=(x 1-2,y 1),B 2Q →=(x 2-2,y 2),所以 B 2P →·B 2Q →=(x 1-2)(x 2-2)+y 1y 2 =(my 1-4)(my 2-4)+y 1y 2=(m 2+1)y 1y 2-4m (y 1+y 2)+16=-m 2+m 2+5-16m 2m 2+5+16=-16m 2-64m 2+5,由PB 2⊥QB 2,知B 2P →·B 2Q →=0,即16m 2-64=0,解得m =±2.当m =2时,方程(*)化为:9y 2-8y -16=0,故y 1=4+4109,y 2=4-4109,|y 1-y 2|=8910,△PB 2Q 的面积S =12|B 1B 2|·|y 1-y 2|=16910.当m =-2时,同理可得(或由对称性可得)△PB 2Q 的面积S =16910.综上所述,△PB 2Q 的面积为16910.9.F3[2012·江苏卷] 如图1-3,在矩形ABCD 中,AB =2,BC =2,点E 为BC 的中点,点F 在边CD 上,若AB →·AF →=2,则AE →·BF →的值是________.图1-39. 2 [解析] 本题考查几何图形中的向量的数量积的求解,解题突破口为合理建立平面直角坐标系,确定点F 的位置.以点A 为坐标原点,AB 所在直线为x 轴建立平面直角坐标系,则AB →=(2,0). 设AF →=(x,2),则由条件得2x =2,得x =1,从而F (1,2),AE →=(2,1),BF →=(1-2,2),于是AE →·BF →= 2.15.F3[2012·湖南卷] 如图1-5,在平行四边形ABCD 中,AP ⊥BD ,垂足为P ,且AP=3,则AP →·AC →=________.图1-515.18 [解析] 本题考查平面向量的数量积和向量的表示,意在考查考生对数量积的掌握和向量相互转化能力;具体的解题思路和过程:把未知向量用已知向量来表示.AP →·AC →=AP →·(DB →+2BC →) =2AP →·BC →=2AP →·AD →=2|AP →|·|AP →|=18.[易错点] 本题易错一:找不到已知向量,无法把未知向量用已知向量表示;易错二:不会转化AD →=BC →,把向量放到同一个直角三角形中;易错三:发现不了AD →在向量AP →上的射影等于|AP →|.13.F2、F3[2012·湖北卷] 已知向量a =(1,0),b =(1,1),则 (1)与2a +b 同向的单位向量的坐标表示为________; (2)向量b -3a 与向量a 夹角的余弦值为________.13.[答案] (1)⎝ ⎛⎭⎪⎫31010,1010 (2)-255[解析] (1)由题意,2a +b =(3,1),所以与2a +b 同向的单位向量的坐标为⎝ ⎛⎭⎪⎫310,110,即⎝⎛⎭⎪⎫31010,1010. (2)因为a =(1,0),b =(1,1),所以b -3a =(-2,1).设向量b -3a 与向量a 的夹角为θ,则cos θ=b -3a a |b -3a ||a |=-2,,5×1=-255.10.F3[2012·广东卷] 对任意两个非零的平面向量α和β,定义α∘β=α∘ββ∘β.若两个非零的平面向量a ,b 满足a 与b 的夹角θ∈⎝ ⎛⎭⎪⎫π4,π2,且a ∘b 和b ∘a 都在集合⎩⎪⎨⎪⎧⎭⎪⎬⎪⎫ ⎪⎪⎪n 2n ∈Z 中,则a ∘b =( )A.52B.32 C .1 D.1210.D [解析] 根据新定义得:a ∘b =a ·b b ·b =|a ||b |cos θ|b ||b |=|a |cos θ|b |=n 2(n ∈Z ),(1)b ∘a =b ·a a ·a =|a ||b |cos θ|a ||a |=|b |cos θ|a |=m 2(m ∈Z ),(2)以上两式相乘得:cos 2θ=n ·m 4(n ,m ∈Z ).∵θ∈⎝ ⎛⎭⎪⎫π4,π2,∴cos 2θ∈⎝ ⎛⎭⎪⎫0,12,即n ·m 4<12,所以0<mn <2,又因为n ,m ∈Z ,所以m =n =1,所以a ∘b =12.所以选择D. 11.F3[2012·安徽卷] 设向量a =(1,2m ),b =(m +1,1),c =(2,m ),若(a +c )⊥b ,则|a |=________.11. 2 [解析] 因为a +c =(3,3m ),又b =(m +1,1),(a +c )⊥b, 所以(a +c )·b =0,即(3,3m )·(m +1,1)=6m +3=0,解得m =-12,则a =(1,-1).故|a |= 2.13.F3[2012·北京卷] 已知正方形ABCD 的边长为1,点E 是AB 边上的动点,则DE →·CB→的值为________,DE →·DC →的最大值为________.13.1 1 [解析] 本题考查平面向量的数量积,平面向量的投影等基础知识.法一:投影法:设向量DE →,DA →的夹角为θ,则DE →·CB →=DE →·DA →=|DE →|·|DA →|cos θ,由图可知,|DE →|cos θ=|DA →|,所以原式等于|DA →|2=1,要使DE →·DC →最大只要使向量DE →在向量DC→上的投影达到最大即可,因为DE →在向量DC →上的投影达到最大为|DC →|=1,所以(DE →·DC →)max =|DC →|2=1;法二:因为DE →=DA →+AE →且DA →⊥AE →,所以DE →·CB →=(DA →+AE →)·DA →=|DA →|2=1,DE →·DC →=(DA →+AE →)·AB →=AB →·AE →=|AB →||AE →|=|AE →|,所以要使DE →·DC →最大,只要|AE →|最大即可,明显随着E 点在AB 边上移动|AE →|max =1,故(DE →·DC →)max =1.法三:以D 为坐标原点,DC →与DA →所在直线分别为x ,y 轴 建立平面直角坐标系,如图所示,可知E (x,1),0≤x ≤1,所以DE →=(x,1),CB →=(0,1),可得DE →·CB →=x ×0+1×1=1.因为DC →=(1,0),所以DE →·DC →=x ,因为1≥x ≥0,所以(DE →·DC →)max =1.3.A2、F3[2012·福建卷] 已知向量a =(x -1,2),b =(2,1),则a⊥b 的充要条件是( )A .x =-12B .x =-1C .x =5D .x =03.D [解析] 因为a ⊥b ,所以a ·b =0,即(x -1)×2+2×1=0,解得x =0.8.F3[2012·天津卷] 在△ABC 中,∠A =90°,AB =1,AC =2,设点P ,Q 满足AP →=λAB →,AQ →=(1-λ)AC →,λ∈R .若BQ →·CP →=-2,则λ=( )A.13B.23C.43D .2 8.B [解析] BQ →·CP →=(AQ →-AB →)·(AP →-AC →)=[(1-λ)AC →-AB →]·(λAB →-AC →)=-(1-λ)AC →2-λAB →2=3λ-4=-2,解得λ=23.7.F3[2012·浙江卷] 设a ,b 是两个非零向量( ) A .若|a +b |=|a |-|b |,则a ⊥b B .若a ⊥b ,则|a +b |=|a |-|b |C .若|a +b |=|a |-|b |,则存在实数λ,使得b =λaD .若存在实数λ,使得b =λa ,则|a +b |=|a |-|b |7.C [解析] 本题考查对平面向量数量积理解及应用.法一:对于选项A ,若|a +b |=|a |-|b |可得a ·b =-|a ||b |,则a 与b 为方向相反的向量,A 不正确;对于选项B ,由a ⊥b ,得a ·b =0,由|a +b |=|a |-|b |得a ·b =-|a ||b |,故B 不正确;对于选项C ,若|a +b |=|a |-|b |可得a ·b =-|a ||b |,则a 与b 为方向相反的共线向量,∴b =λa ;对于选项D ,若b =λa ,当λ>0时,|a +b |=|a |+|b |,当λ<0时,可有|a +b |=|a |-|b |,故D 不正确.法二:特值验证排除,先取a =(2,0),b =(-1,0),满足|a +b |=|a |-|b |,但两向量不垂直,故A 错;再取a =(2,0),b =(1,0),满足a =λb ,但不满足|a +b |=|a |-|b |,故D 错;取a =(2,0),b =(0,-1),满足a ⊥b ,但不满足|a +b |=|a |-|b |,故B 错,所以答案为C.[点评] 由|a +b |=|a |-|b |判断a ,b 方向相反,且有|a |≥|b |是一个重要的结论,由此可以对各选项加以正确分析与应用.15.C8、F3[2012·浙江卷] 在△ABC 中,M 是线段BC 的中点,AM =3,BC =10,则AB →·AC →=________.15.-16 [解析] 本题主要考查平面几何的性质、平面向量的线性运算与数量积.法一:AB →·AC →=(AM →+MB →)·(AM →+MC →) =|AM →|2-|MB →|2=9-5×5=-16.法二:特例法:假设△ABC 是以AB 、AC 为腰的等腰三角形,如图,AM =3,BC =10,AB =AC =34,cos ∠BAC =34+34-1002×34=-817,AB →·AC →=|AB →|·|AC→|·cos∠BAC =-16.6.F2、F3[2012·重庆卷] 设x ∈R ,向量a =(x,1),b =(1,-2),且a⊥b ,则|a +b |=( )A. 5B.10 C .2 5 D .106.B [解析] 因为a ⊥b ,所以a ·b =0,即x ·1+1·(-2)=0,解得x =2,所以a+b =(3,-1),|a +b |=32+-2=10,选B.F4 单元综合7.F4[2012·四川卷] 设a 、b 都是非零向量.下列四个条件中,使a |a |=b|b |成立的充分条件是( )A .|a |=|b |且a ∥bB .a =-bC .a ∥bD .a =2b 7.D [解析] 要使得a |a |=b|b |,在a ,b 为非零向量的前提下,必须且只需a 、b 同向即可,结合四个选项,只有D 满足这一条件.16.C9、F4[2012·山东卷] 如图1-5,在平面直角坐标系xOy 中,一单位圆的圆心的初始位置在(0,1),此时圆上一点P 的位置在(0,0),圆在x 轴上沿正向滚动.当圆滚动到圆心位于(2,1)时,OP →的坐标为________.图1-516.(2-sin2,1-cos2) [解析] 本题考查向量坐标运算与三角函数,考查数据处理能力与创新意识,难题.根据题意可知圆滚动了2个单位弧长,点P 旋转了2弧度.结合图象,设滚动后圆与x轴的交点为Q ,圆心为C 2,作C 2M ⊥y 轴于M, ∠PC 2Q =2,∠PC 2M =2-π2,∴点P 的横坐标为2-1×cos ⎝⎛⎭⎪⎫2-π2=2-sin2,点P 的纵坐标为1+1×sin ⎝⎛⎭⎪⎫2-π2=1-cos2.2012模拟题1.[2012·湛江测试] 已知向量a =(1,3),b =(2,x ),且a ∥b ,则x =( )A .-23 B.23C .6D .-61. C [解析] 由a ∥b 则x -3×2=0,即x =6,选C.2.[2012·宁夏一中模拟] 若a ,b ,c 均为单位向量,且a·b =-12,c =x a +y b (x ,y∈R ),则x +y 的最大值是( )A .2 B. 3 C. 2 D .12.A [解析] 因为a ,b ,c 均为单位向量,且a ·b =-12,c =x a +y b (x ,y ∈R ),由|c |=1得x 2+y 2=xy +1,所以xy ≤1,而(x +y )2=x 2+y 2+2xy =3xy +1≤4,x +y ≤2,选A.3.[2012·三明普通高中联考] 关于x 的方程a x 2+b x +c =0(其中a 、b 、c 都是非零平面向量),且a 、b 不共线,则该方程的解的情况是( )A .至多有一个解B .至少有一个解C .至多有两个解D .可能有无数个解3.C [解析] 由已知,x 是实数.关于x 的方程a x 2+b x +c =0(其中a 、b 、c 都是非零向量)可化为c =-x 2a -xb ,a ,b 不共线且为非零平面向量,由平面向量的基本定理,存在唯一实数对(m ,n )使c =m a +n b .于是⎩⎪⎨⎪⎧ -x 2=m -x =n ⇒⎩⎪⎨⎪⎧x 2=-m ,x =-n ,至多有两个解.4.[2012·青岛期末] 设i 、j 是平面直角坐标系(坐标原点为O )内分别与x 轴、y 轴正方向相同的两个单位向量,且OA →=-2i +j ,OB →=4i +3j ,则△OAB 的面积等于________.4.5 [解析] 设OA →,OB →的夹角为α,则cos α=-2×4+1×35×5=-55,∴sin α=255,S △OAB =12×5×5×255=5.5.[2012·台州质量评估] 如图G5-1,扇形AOB 的弧的中点为M ,动点C ,D 分别在OA ,OB 上,且OC =BD .若OA =1,∠AOB =120°,则MC →·MD →的取值范围是________.图G5-1 5. ⎣⎢⎡⎦⎥⎤38,12 [解析] 设OC =BD =x ,MC →·MD →=(OC →-OM →)·(OD →-OM →)=OC →·OD →+OM →2-OM →·(OC →+OD →).∵∠COM =∠DOM =60°,∴MC →·MD →=x (1-x )cos120°+1-x cos60°-(1-x )cos60°=x 2-x +12,x ∈[0,1].。
专题5 平面向量1. 【2014高考福建卷第8题】在下列向量组中,可以把向量()2,3=a 表示出来的是( ) A.)2,1(),0,0(21==e e B .)2,5(),2,1(21-=-=e e2. 【2014高考广东卷理第5题】已知向量()1,0,1a =-,则下列向量中与a 成60的是( ) A.()1,1,0- B.()1,1,0- C.()0,1,1- D.()1,0,1-3. 【2014高考湖南卷第16题】在平面直角坐标系中,O 为原点,()),0,3(),3,0(,0,1C B A -动点D 满足CD =1,则OA OB OD ++的最大值是_________.5. 【2014陕西高考理第13题】设20πθ<<,向量()()1cos cos 2sin ,,,θθθb a=,若b a //,则=θtan _______.6. 【2014高考安徽卷理第10题】在平面直角坐标系xOy 中,已知向量,,1,0,a b a b a b ==⋅=点Q 满足2()OQ a b =+.曲线{cos sin ,02}C P OP a b θθθπ==+≤≤,区域{0,}P r PQ R r R Ω=<≤≤<.若CΩ为两段分离的曲线,则( )A.13r R <<<B.13r R <<≤C.13r R ≤<<D.13r R <<<7. 【2014高考北京版理第10题】已知向量a 、b 满足1||=a ,)1,2(=b ,且0b a =+λ(R λ∈),则||λ= .8. 【2014高考湖北卷理第11题】设向量(3,3)a =,(1,1)b =-,若()()a b a b λλ+⊥-,则实数λ= .【答案】3± 【解析】10. 【2014江西高考理第15题】已知单位向量1e 与2e 的夹角为α,且1cos 3α=,向量1232a e e =-与123b e e =-的夹角为β,则cos β= .11. 【2014辽宁高考理第5题】设,,a b c 是非零向量,已知命题P :若0a b •=,0b c •=,则0a c •=;命题q :若//,//a b b c ,则//a c ,则下列命题中真命题是( ) A .p q ∨ B .p q ∧ C .()()p q ⌝∧⌝ D .()p q ∨⌝12. 【2014全国1高考理第15题】已知C B A ,,为圆O 上的三点,若()AC AB AO +=21,则AB 与AC 的夹角为_______.13. 【2014全国2高考理第3题】设向量a,b 满足|a+b |=10,|a-b |=6,则a ⋅b = ( ) A. 1 B. 2 C. 3 D. 5①S 有5个不同的值. ②若,b a ⊥则min S 与a 无关. ③若,b a ∥则min S 与b 无关. ④若a b 4>,则0min >S . ⑤若2min||2||,8||b a S a ==,则a 与b 的夹角为4π考点:1.平面向量的运算;2.平面向量的数量积.15. 【2014四川高考理第7题】平面向量(1,2)a =,(4,2)b =,c ma b =+(m R ∈),且c 与a 的夹角等于c 与b 的夹角,则m =( ) A .2- B .1- C .1 D .216. 【2014浙江高考理第8题】记,max{,},x x y x y y x y ≥⎧=⎨<⎩,,min{,},y x yx y x x y≥⎧=⎨<⎩,设,a b 为平面向量,则( )A.min{||,||}min{||,||}a b a b a b +-≤B.min{||,||}min{||,||}a b a b a b +-≥C.2222min{||,||}||||a b a b a b +-≥+D.2222min{||,||}||||a b a b a b +-≤+17. 【2014重庆高考理第4题】已知向量(,3),(1,4),(2,1)a k b c ===,且(23)a b c -⊥,则实数k =( )9.2A - .0B .C 3 D.15218. 【2014天津高考理第8题】已知菱形ABCD 的边长为2,120BAD,点,E F 分别在边,BC DC 上,BEBC ,DF DC .若1AE AF ,23CE CF,则 ( )(A )12 (B )23 (C )56 (D )71219. 【2014大纲高考理第4题】若向量,a b 满足:()()1,,2,a a b a a b b =+⊥+⊥则b = ( )A .2B .2C .1D .2220. 【2014高考陕西第18题】在直角坐标系xOy 中,已知点)2,3(),3,2(),1,1(C B A ,点),(y x P 在ABC ∆三边围成的区域(含边界)上(2)设),(R n m AC n AB m OP ∈+=,用y x ,表示n m -,并求n m -的最大值.考点:平面向量的线性运算;线性规划.21.【2014高考上海理科第16题】如图,四个棱长为1的正方体排成一个正四棱柱,AB是一条侧棱,,...)2,1 (=iPi 是上底面上其余的八个点,则...)2,1(=⋅→→iAPABi的不同值的个数为()(A)1 (B)2 (C)4 (D)822.【2014高考上海理科第14题】已知曲线C :24x y =--,直线l :x=6.若对于点A (m ,0),存在C 上的点P 和l 上的点Q 使得0AP AQ +=,则m 的取值范围为 .。
第五章 平面向量一.基础题组1. 【2012年.浙江卷.理5】设a ,b 是两个非零向量,( )A .若|a +b |=|a |-|b |,则a ⊥bB .若a ⊥b ,则|a +b |=|a |-|b |C .若|a +b |=|a |-|b |,则存在实数λ,使得b =λaD .若存在实数λ,使得b =λa ,则|a +b |=|a |-|b | 【答案】C2. 【2012年.浙江卷.理15】在△ABC 中,M 是BC 的中点,AM =3,BC =10,则AB AC ⋅=u u u r u u u r__________.【答案】-16【解析】AB u u u r ·AC u u u r =(AM u u u u r +MB u u u r )·(AM u u u u r +MC u u u u r )=2AM u u u u r +AM u u u u r ·MC u u u u r +AM u u u u r ·MB u u u r +MB u u u r ·MC u u uu r =|AM u u u u r |2+(MB u u u r +MC u u u u r )·AM u u u u r +|MB u u u r ||MC u u uu r |cosπ=9-25=-16.3. 【2011年.浙江卷.理14】若平面向量αu r ,βu r 满足1α=u r ,1β≤u r ,且以向量αu r ,βu r为邻边的平行四边形的面积为12,则αu r 与βu r 的夹角θ的取值范围是 。
【答案】5[,]66ππ【解析】:1112sin ,1,1,sin 222αβθαβθ⨯==≤∴≥u r u r u r u r Q 又,又[0,],θπ∈Q 5[,]66ππθ∴∈4. 【2010年.浙江卷.理16】已知平面向量,(0,)αβααβ≠≠u r u r u r r u r u r 满足1β=u r ,且αu r 与βα-u r u r的夹角为120°,则αu r的取值范围是__________________ .【答案】2303⎛⎤⎥ ⎝⎦,5. 【2009年.浙江卷.理7】设向量a ,b 满足:||3=a ,||4=b ,0⋅=a b .以a ,b ,-a b 的模为边长构成三角形,则它的边与半径为1的圆的公共点个数最多为 ( )A .3 B .4 C .5D .6 【答案】:C6. 【2007年.浙江卷.理7】若非零向量a 、b 满足,则|a +b |=|b |(A )|2a |>|2a +b | (B )|2a |<|2a +b | (C )|2b |>|a +2b | (D )|2b |<|a +2b | 【答案】C7. 【2006年.浙江卷.理13】设向量,,a b c r r r 满足+0a b c +=r r r r ,(),,a b c a b -⊥⊥r r r r r 若1a =r ,则222a b c++r r r 的值是 【答案】4 【解析】二.能力题组1. 【2013年.浙江卷.理7】设△ABC ,P 0是边AB 上一定点,满足P 0B =14AB ,且对于边AB 上任一点P ,恒有PB u u u r ·PC uuu r ≥0P B u u u r ·0P C u u u r ,则( ).A .∠ABC =90° B.∠BAC =90°C .AB =ACD .AC =BC 【答案】:D2. 【2013年.浙江卷.理17】设e 1,e 2为单位向量,非零向量b =x e 1+y e 2,x ,y ∈R .若e 1,e 2的夹角为π6,则||||x b 的最大值等于__________.【答案】:23. 【2008年.浙江卷.理9】已知a r ,b r 是平面内两个互相垂直的单位向量,若向量c 满足()()0a c b c -⋅-=r r r r,则c r的最大值是(A )1 (B )2 (C )2 (D )22 【答案】C4. 【2005年.浙江卷.理10】已知向量a r ≠e r ,|e r |=1,对任意t ∈R ,恒有|a r -t e r |≥|a r -e r|,则(A) a r ⊥e r (B) a r ⊥(a r -e r ) (C) e r ⊥(a r -e r ) (D) (a r +e r )⊥(a r -e r )【答案】C三.拔高题组1. 【2014年.浙江卷.理8】记,max{,},x x y x y y x y ≥⎧=⎨<⎩,,min{,},y x yx y x x y≥⎧=⎨<⎩,设,a b r r 为平面向量,则( )A.min{||,||}min{||,||}a b a b a b +-≤B.min{||,||}min{||,||}a b a b a b +-≥C.2222min{||,||}||||a b a b a b +-≥+ D.2222min{||,||}||||a b a b a b +-≤+【答案】:D【解析】:根据向量运算的几何意义,即三角形法则,可知{}min ,a b a b +-r r r r 与{}min ,a b r r的大小不确定,由平行四边形法则及余弦定理可知,{}max ,a b a b +-r r r r所对的角大于或等于90︒,故{}2222max ,a b a b a b +-≥+r r r r r r ,故选D考点:向量运算的几何意义.2. 【2015高考浙江,理15】已知12,e e r r 是空间单位向量,1212e e ⋅=r r ,若空间向量b r 满足1252,2b e b e ⋅=⋅=r r r r ,且对于任意,x y R ∈,12010200()()1(,)b xe ye b x e y e x y R -+≥-+=∈r u r u u r r u r u u r u u u u r,则0x = ,0y = ,b =r.【答案】1,2,22.3.。