河北省大名县第一中学2020-2021学年高一上学期第一次月考数学试题
- 格式:doc
- 大小:204.96 KB
- 文档页数:13
河北省邯郸市大名县第一中学2020—2021学年高一数学3月月考试题第I 卷(选择题)一、单选题(每题5分,共40分)1. 在平行四边形ABCD 中,BC CD BA -+等于 ( ) A .BC B .DA C .AB D .AC2.下列说法正确的是( ).A .平行向量是指方向相同或相反的两个非零向量B .零向量是C .长度相等的向量叫做相等向量D .共线向量是在一条直线上的向量3。
已知平面向量(1,2)=a ,(2,)y =b ,且//a b ,则2+a b =( ) A .(5,6)- B .(3,6) C .(5,4) D .(5,10) 4. 在△ABC 中,a =4,b =43,角A =30°,则角B 等于( )A .30° B.30°或150° C.60° D.60°或120°5.设向量错误!=e 1,错误!=e 2,若e 1与e 2不共线,且点P 在线段AB 上,|错误!|∶|错误!|=2,则错误!=( )A 。
错误!e 1-错误!e 2 B.错误!e 1+错误!e 2 C.错误!e 1+错误!e 2 D 。
错误!e 1-错误!e 2(2+→a →b )6。
已知向量()2,1=→a ,()1,0=→b ,()2,-=→k c ,若⊥→c ,则k =( )A.2B.2-C.8D.8-7.在△ABC 中,设错误!2-错误!2=2错误!·错误!,那么动点M 的轨迹必通过△ABC 的( )A .垂心B .内心C .外心D .重心8。
若ABC ∆为钝角三角形,三边长分别为2,3,x ,则x 的取值范围是 ( ) (A ))5,1( (B ))5,13((C))13,5( (D))5,13()5,1(二、多项选择题(本题共4小题,每题5分,共20分.全选对得5分,选对但不全对得3分,有选错的得0分)9给出以下说法,其中不正确的是 ( ) A. 若()b a R λλ=∈,则//a b ; B. 若//a b ,则存在实数λ,使b a λ=;C. 若a b 、是非零向量,R λμ∈、,那么00a b λμλμ+=⇔==; D. 平面内任意两个非零向量都可以作为表示平面内任意一个向量的一组基底。
河北省大名县一中2020-2021学年高一上学期第一次月考数学试题含答案2020届高一第一次月考数学试卷考试时间:90分钟一.单项选择题:每题5分,共计40分.1。
已知集合M={-1,0,1},N={0,1,2},则M∪N=()A.{-1,0,1}B.{-1,0,1,2}C.{-1,0,2} D.{0,1}2.设A是方程2x2+ax+2=0的解集,且2∈A,则实数a的值为()A.-5 B.-4C.4 D.53。
不等式(x+1)(x-2)≤0的解集为()A.{x|-1≤x≤2} B.{x|-1<x<2}C.{x|x≥2或x≤-1}D。
{x|x>2或x<-1}4。
集合{y|y=-x2+6,x,y∈N}的真子集的个数是()A.9 B.8C.7 D.65.函数y=错误!(x〉1)的最小值是()A.2错误!+2 B.2错误!-2C.2错误!D.26.如图,已知全集U=R,集合A={x|x<-1或x>4},B={x|-2≤x≤3},那么阴影部分表示的集合为()A.{x|-2≤x<4}B.{x|x≤3或x≥4}C.{x|-2≤x≤-1}D.{x|-1≤x≤3}7.若-1<α<β<1,则下列各式中恒成立的是()A.-2<α-β<0 B。
-2<α-β<-1C.-1<α-β<0 D.-1<α-β<18。
已知正实数a,b满足a+b=3,则错误!+错误!的最小值为()A.1 B。
错误!C.98 D.2二.多项选择题:全部选对得5分,部分选对得3分,有选错的得0分.共计20分9.(多选)下列说法错误的是()A.在直角坐标平面内,第一、三象限的点的集合为{(x,y)|xy>0}B.方程x-2+|y+2|=0的解集为{-2,2}C.集合{(x,y)|y=1-x}与{x|y=1-x}是相等的D.若A={x∈Z|-1≤x≤1},则-1.1∈A10。
(多选)满足M⊆{a1,a2,a3,a4},且M∩{a1,a2,a3}={a1,a2}的集合M可能是()A.{a1,a2}B.{a1,a2,a3}C.{a1,a2,a4}D.{a1,a2,a3,a4}11。
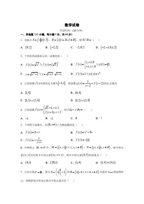
数学试卷考试时间:120分钟;一、单选题(12小题,每小题5分,共60分)1.设集合{}3A x x =<,{}2,B x x k k ==∈Z ,则AB =( ) A .{}0,2 B .{}2,2-C .2,0,2D .{}2,1,0,1,2-- 2.下列各组函数表示同一函数的是( )A .()2f x x =()2f x x = B .(),0,0x x f x x x ≥⎧=⎨-<⎩与()g t t = C .21y x =-11y x x =+-D .()1f x =与()0g x x = 3.已知函数()1f x +的定义域为[]2,1-,则函数()()122g x f x x =+--的定义域为 A .[1,4] B .[0,3] C .[1,2)(2,4]⋃ D .[1,2)(2,3]⋃4.已知函数1,2()(3),2x x f x f x x ⎧≥⎪=⎨+<⎪⎩,则(1)(9)f f -=( ) A .1- B .2- C .6 D .75.下列四个函数中,在()0,∞+上为增函数的是( ).A .()3f x x =-B .()23f x x x =-C .()11f x x =-+D .()f x x =-6.在映射f :M N →中,(){},,,M x y x y x y R =<∈,(){},,N x y x y R =∈,M 中的元素(),x y 对应到N 中的元素(),xy x y +,则N 中的元素()4,5的原象为( ) A .()4,1 B .()20,1C .()1,4D .()1,4和()4,1 7.已知全集U =R ,集合91A x x ⎧⎫=>⎨⎬⎩⎭和{}44,B x x x Z =-<<∈关系的Venn 图如图所示,则阴影部分所表示集合中的元素共有( )A .3个B .4个C .5个D .无穷多个 8.函数24y x x -+ )A .(],4-∞B .(],2-∞C .[]0,2D .[]0,49.已知函数()()()22,12136,(1)x ax x f x a x a x ⎧-+⎪=⎨--+>⎪⎩,若()f x 在(),-∞+∞上是增函数,则实数a 的取值范围是( )A .1(,1]2 B .1(,)2+∞ C .[1,)+∞ D .[1,2]10.函数()f x 是奇函数,且在∞(0,+)内是增函数,(3)0f -=,则不等式()0xf x <的解集为( )A .∞(-3,0)(3,+)B .∞(-,-3)(0,3)C .∞∞(-,-3)(3,+)D .(-3,0)(0,3)11.已知函数24y x x =-+-的最小值为( )A .6B .2-C .6-D .212.已知()f x 是定义在[]1,1-上的奇函数,对任意的1x ,[]21,1x ∈-,均有()()()()11221221x f x x f x x f x x f x +≥+.且当[]0,1x ∈时,()25x f f x ⎛⎫= ⎪⎝⎭,()()11f x f x =--,那么表达式1901913193202020202020202020f f f f ⎛⎫⎛⎫⎛⎫⎛⎫-+-++-+-= ⎪ ⎪ ⎪ ⎪⎝⎭⎝⎭⎝⎭⎝⎭( ) A .654- B .65- C .1314- D .1312-二、填空题(共4小题,每小题5分,共20分)13.已知幂函数()f x 的图象经过3,3),则函数2)f =_____14.已知函数f(x),g(x)分别由下表给出:则满足f(g(x))=g(f(x))的x 的值为________. x 1 23 4f(x)1 3 1 3 g(x)3 2 3 215.已知32()(2)5f x m x nx =+++是定义在[,4]n n +上的偶函数,则2m n +等于_______. 16.某同学在研究函数 f (x )=1x x+(x ∈R ) 时,分别给出下面几个结论: ①等式f (-x )=-f (x )在x ∈R 时恒成立;②函数f (x )的值域为(-1,1);③若x 1≠x 2,则一定有f (x 1)≠f (x 2);④方程f (x )=x 在R 上有三个根.其中正确结论的序号有______.(请将你认为正确的结论的序号都填上)三、解答题(共70分)17(10分).已知集合{|121}A x a x a =-<<+,{}B 03x x =<≤,U =R . (1)若12a =,求A B ⋃;()U A C B ⋂. (2)若A B φ⋂=,求实数a 的取值范围. 18(12分).设函数()1,00,01,0x D x x x >⎧⎪==⎨⎪-<⎩,()()()42D x f x x =-.(1)写出x ∈R 时分段函数()f x 的解析式;(2)当()f x 的定义域为[]3,3-时,画出()f x 图象的简图并写出()f x 的单调区间.19(12分).已知函数2()21f x x ax a =-++-,(1)若2a =,求()f x 在区间[0,3]上的最小值;(2)若()f x 在区间[0,1]上有最大值3,求实数a 的值.20(12分).已知函数()m f x x x=+,()12f =. (1)判定函数()f x 在[)1,+∞的单调性,并用定义证明;(2)若()a f x x -<在()1,+∞恒成立,求实数a 的取值范围.21(12分).已知函数()1f x x x =-(1)求()f x 单调区间(2)求[0,]x a ∈时,函数的最大值.22(12分).已知()f x 是定义在R 上的奇函数,且当0x >时,2()2f x x x =+. (1)求(0)f 的值;(2)求此函数在R 上的解析式;(3)若对任意t R ∈,不等式22(2)(2)0f t t f k t -+-<恒成立,求实数k 的取值范围. 23(12分).函数()f x 的定义域为R ,且对任意,x y R ∈,有()()()f x y f x f y +=+,且当0x >时()()0,12f x f <=-.(1)证明:()f x 是奇函数;(2)证明:()f x 在R 上是减函数;(3)求()f x 在区间[]3,3-上的最大值和最小数学试卷参考答案1.C{}{}333A x x x x =<=-<<,{}2,B x x k k ==∈Z ,因此,{}2,0,2A B =-. 故选:C.2.B选项A :()f x =R ,()2f x =的定义域为[)0+,∞,两函数的定义域不同,故不是同一函数.选项B :()00t t g t t t t ≥⎧==⎨-<⎩和函数(),0,0x x f x x x ≥⎧=⎨-<⎩的定义域、法则和值域都相同,故是同一函数.选项C :y =(][)11+-∞-⋃∞,,,y =的定义域为[)1+∞,,两函数的定义域不同,故不是同一函数.选项D :()1f x =的定义域为R ,()0g x x =的定义域为{}|0x x ≠,两函数的定义域不同,故不是同一函数.故选:B【点睛】本题考查判断两个函数是否是同一函数,属于基础题.3.C【解析】【分析】首先求得()f x 定义域,根据分式和复合函数定义域的要求可构造不等式求得结果.【详解】()1f x +定义域为[]2,1- 112x ∴-≤+≤,即()f x 定义域为[]1,2-由题意得:20122x x -≠⎧⎨-≤-≤⎩,解得:12x ≤<或24x <≤ ()g x ∴定义域为:[)(]1,22,4本题正确选项:C本题考查函数定义域的求解问题,关键是能够通过复合函数定义域确定()f x 定义域,从而利用分式和复合函数定义域的要求构造不等式.4.A【解析】【分析】由题意结合函数的解析式分别求得()()19,f f 的值,然后求解两者之差即可.【详解】由题意可得:()()1413f f ===,()914f ==, 则(1)(9)341f f -=-=-.故选A.【点睛】求分段函数的函数值,要先确定要求值的自变量属于哪一段区间,然后代入该段的解析式求值,当出现f (f (a ))的形式时,应从内到外依次求值.5.C【解析】【分析】A ,B 可直接通过一次函数的单调性和二次函数的单调性进行判断;C 利用1y x =-以及平移的思路去判断;D 根据y x =-的图象的对称性判断.【详解】A .()3f x x =-在R 上是减函数,不符合;B .()23f x x x =-在3,2⎛⎫-∞ ⎪⎝⎭上是减函数,在3,2⎛⎫+∞ ⎪⎝⎭上是增函数,不符合; C .()11f x x =-+可认为是1y x=-向左平移一个单位所得,所以在()1,-+∞上是增函数,符合; D .()f x x =-图象关于y 轴对称,且在(),0-∞上是增函数,在()0,∞+上是减函数,不符合;【点睛】(1)一次函数()0y kx b k =+≠、反比例函数()0k y k x=≠的单调性直接通过k 的正负判断; (2)二次函数的单调性判断要借助函数的对称轴和开口方向判断;(3)复杂函数的单调性判断还可以通过平移、翻折等变换以及图象进行判断.6.C【解析】【分析】由题意得4 5xy x y =⎧⎨+=⎩,再由x y <,能求出N 中元素()45,的原像. 【详解】由题意得4 5xy x y =⎧⎨+=⎩,解得1 4x y =⎧⎨=⎩或4 1x y =⎧⎨=⎩, ∵x y <,∴N 中元素()45,的原像为()1,4, 故选:C .【点睛】本题考查象的原象的求法,考查映射等基础知识,考运算求解能力,考查函数与方程思想. 7.B【解析】【分析】先解分式不等式得集合A ,再化简B ,最后根据交集与补集定义得结果.【详解】 因为91(0,9)A x x ⎧⎫=>=⎨⎬⎩⎭,{}{}44,3,2,1,0,1,2,3B x x x Z =-<<∈=---, 所以阴影部分所表示集合为(){0,1,2,3}U C A B =---,元素共有4个,故选B【点睛】 本题考查分式不等式以及交集与补集定义,考查基本分析求解能力,属基础题.【解析】【分析】配方即可得到()224=24x x x -+--+,从而得出≤2,即得出y 的范围,从而得出原函数的值域.【详解】∵()224=24x x x -+--+,∴0≤()224x --+≤4;∴≤2;∴函数y =的值域为[0,2].故选:C .【点睛】本题考查函数的值域,利用配方法即可,属于简单题.9.D【解析】【分析】根据分段函数单调性的性质进行求解即可.【详解】∵当1x ≤时,函数f (x )的对称轴为x a =,又()f x 在(),-∞+∞上为增函数, ∴ 1210125a a a a ≥⎧⎪-⎨⎪-+≤-⎩>,即1122a a a ≥⎧⎪⎪>⎨⎪≤⎪⎩,得1≤a 2≤, 故选D .【点睛】本题主要考查函数单调性的应用,根据分段函数单调性的性质建立不等式关系是解决本题的关键,注意分段处保证单调递增.10.D【解析】【分析】易判断f (x )在(-∞,0)上的单调性及f (x )图象所过特殊点,作出f (x )的草图,根据图象可解不等式.【详解】∵f (x )在R 上是奇函数,且f (x )在(0,+∞)上是增函数,∴f (x )在(﹣∞,0)上也是增函数,由f (-3)=0,得f (﹣3)=﹣f (3)=0,即f (3)=0,作出f (x )的草图,如图所示:由图象,得()0xf x <()()0000x x f x f x ><⎧⎧⇔⎨⎨<>⎩⎩或 解得0<x <3或﹣3<x <0,∴xf (x )<0的解集为:(﹣3,0)∪(0,3),故选D .【点睛】本题考查函数奇偶性、单调性的综合应用,考查数形结合思想,灵活作出函数的草图是解题关键.11.D【解析】【分析】用绝对值三角不等式求得最小值.【详解】24(2)(4)2y x x x x =-+-≥---=,当且仅当(2)(4)0x x --≤,即24x ≤≤时取等号.所以min 2y =.故选:D .【点睛】本题考查绝对值三角不等式,利用绝对值三角不等式可以很快求得其最值,本题也可以利用绝对值定义去掉绝对值符号,然后利用分段函数性质求得最值.12.C【解析】【分析】由()f x 是定义在[1-,1]上的奇函数,且()1(1)f x f x =--,推出()1f ,12f ⎛⎫ ⎪⎝⎭,再结合当(0,1)x ∈时,2()()5xf f x =,推出1()5f ,1()25f ,4()5f ,4()25f ,由题意可得x 对任意的1x ,2[1x ∈-,1],均有2121()(()())0x x f x f x --,进而得1903193201()()()2020202020204f f f =⋯===,再由奇函数的性质()()f x f x -=-算出最终结果.【详解】解:由()()11f x f x =--,令0x =,得()11f =,令12x =,则1122f ⎛⎫= ⎪⎝⎭﹐ 当[]0,1x ∈时,()25x f f x ⎛⎫= ⎪⎝⎭,()152x f f x ⎛⎫∴= ⎪⎝⎭, 即()1111522f f ⎛⎫== ⎪⎝⎭,111125254f f ⎛⎫⎛⎫== ⎪ ⎪⎝⎭⎝⎭, 且4111552f f ⎛⎫⎛⎫=-= ⎪ ⎪⎝⎭⎝⎭,414125254f f ⎛⎫⎛⎫== ⎪ ⎪⎝⎭⎝⎭, 11903204252020202025<<<, 19031932012020202020204f f f ⎛⎫⎛⎫⎛⎫==== ⎪ ⎪ ⎪⎝⎭⎝⎭⎝⎭ 对任意的1x ,[]21,1x ∈-,均有()()()()21210x x f x f x --≥,190120204f ⎛⎫∴= ⎪⎝⎭,同理19031932012020202020204f f f ⎛⎫⎛⎫⎛⎫====⎪ ⎪ ⎪⎝⎭⎝⎭⎝⎭.()f x 是奇函数, 1901913193202020202020202020f f f f ⎛⎫⎛⎫⎛⎫⎛⎫∴-+-++-+- ⎪ ⎪ ⎪ ⎪⎝⎭⎝⎭⎝⎭⎝⎭19019131932013120202020202020204f f f f ⎡⎤⎛⎫⎛⎫⎛⎫⎛⎫=-++++=- ⎪ ⎪ ⎪ ⎪⎢⎥⎝⎭⎝⎭⎝⎭⎝⎭⎣⎦, 故选:C 【点睛】本题考查函数的奇偶性,函数值计算,属于中档题. 13.2 【解析】 【分析】设幂函数()f x x α=,将点代入求出α,即可求解.【详解】设()f x x α=,()f x 的图象经过,23,2,(),2f x x f αα=∴==∴=.故答案为:2. 【点睛】本题考查幂函数的定义以及函数值,属于基础题. 14.2或4 【解析】 【分析】对于x 的任一取值,分别计算()()f g x 和()()g f x 的值若两个值相等,则为正确的值. 【详解】当1x =时,()()()()()()131,113f g f g f g ====,不合题意.当2x =时,()()()()()()223,233f g f g f g ====,符合题意.当3x =时,()()()()()()331,313f g f g f g ====,不合题意.当4x =时,()()()()()()423,433f g f g f g ====,符合题意.故填2或4.【点睛】本小题主要考查函数的对应法则,考查复合函数求值.在计算这类型题目的过程中,往往先算出内部函数对应的函数值,再计算外部函数的函数值.属于基础题. 15.-6 【解析】 【分析】由函数是偶函数,则定义域关于原点对称、()()f x f x -=即可求出参数m 、n 的值; 【详解】解:已知32()(2)5f x m x nx =+++是定义在[,4]n n +上的偶函数,所以40n n ++=,解得2n =-,又()()f x f x -=,()3232(2)5(2)5m x nx m x nx ∴+-++=+++302(2)m x +=∴解得2m =-,所以26m n +=- 故答案为:6- 【点睛】本题考查函数的奇偶性的应用,属于基础题. 16.①②③ 【解析】 【分析】由奇偶性的定义判断①正确,由分类讨论结合反比例函数的单调性求解②;根据单调性,结合单调区间上的值域说明③正确;由1xx x=+只有0x =一个根说明④错误. 【详解】对于①,任取x ∈R ,都有()()11x xf x f x x x--==-=-+-+,∴①正确;对于②,当0x >时,()()110,111x f x x x==-∈++, 根据函数()f x 的奇偶性知0x <时,()()1,0f x ∈-, 且0x =时,()()()0,1,1f x f x =∴∈-,②正确; 对于③,则当0x >时,()111f x x=-+, 由反比例函数的单调性以及复合函数知,()f x 在()1,-+∞上是增函数,且()1f x <;再由()f x 的奇偶性知,()f x 在(),1-∞-上也是增函数,且()1f x >12x x ∴≠时,一定有()()12f x f x ≠,③正确;对于④,因为1xx x=+只有0x =一个根, ∴方程()f x x =在R 上有一个根,④错误. 正确结论的序号是①②③. 故答案为:①②③. 【点睛】本题通过对多个命题真假的判断,综合考查函数的单调性、函数的奇偶性、函数的图象与性质,属于难题.这种题型综合性较强,也是高考的命题热点,同学们往往因为某一处知识点掌握不好而导致“全盘皆输”,因此做这类题目更要细心、多读题,尽量挖掘出题目中的隐含条件,另外,要注意从简单的自己已经掌握的知识点入手,然后集中精力突破较难的命题. 17.(1)1|32AB x x ⎧⎫=-<≤⎨⎬⎩⎭,()1|02U AC B x x ⎧⎫⋂=-<≤⎨⎬⎩⎭;(2)1|24a a a ⎧⎫≤-⎨⎬⎩⎭≥或. 【解析】 【分析】 (1)当12a =,求出集合A ,按交集、并集和补集定义,即可求解; (2)对A 是否为空集分类讨论,若A =∅,满足题意,若A ≠∅,由A B φ⋂=确定集合A 的端点位置,建立a 的不等量关系,求解即可. 【详解】(1)若12a =时1|22A x x ⎧⎫=-<<⎨⎬⎩⎭,{}|03B x x =<≤, ∴1|32AB x x ⎧⎫=-<≤⎨⎬⎩⎭,由{|0U C B x x =≤或3}x >,所以()1|02U A C B x x ⎧⎫⋂=-<≤⎨⎬⎩⎭(2)由AB =∅知当A =∅时121a a -≥+∴2a ≤-当A ≠∅时21113a a a +>-⎧⎨-≥⎩或211210a a a +>-⎧⎨+≤⎩∴4a ≥或122a -<≤-综上:a 的取值范围是1|24a a a ⎧⎫≤-⎨⎬⎩⎭≥或. 【点睛】本题考查集合间的运算,以及集合间的关系求参数范围,不要忽略了空集讨论,属于基础题.18.(1)()48,04,04,02x x f x x x x ⎧⎪->⎪==⎨⎪⎪<-⎩; (2)图见解析;单调递增区间为(]0,3,单调递减区间为[)3,0- 【解析】 【分析】(1)代入()1,00,01,0x D x x x >⎧⎪==⎨⎪-<⎩求解即可. (2)根据一次函数与分式函数的图像画图,再根据图像判断单调区间即可. 【详解】(1)()48,0 4,04,02x xf x xxx⎧⎪->⎪==⎨⎪⎪<-⎩;(2)()f x的图象如下图所示:单调递增区间为(]0,3,单调递减区间为[)3,0-.【点睛】本题主要考查了分段函数的应用与一次函数、分式函数的图像与性质等.属于基础题. 19.(1)min()(0)1f x f==-;(2)2a=-或3a=.【解析】试题分析:(1)先求函数对称轴,再根据对称轴与定义区间位置关系确定最小值取法(2)根据对称轴与定义区间位置关系三种情况分类讨论最大值取法,再根据最大值为3,解方程求出实数a的值试题解析:解:(1)若2a=,则()()224123f x x x x=-+-=--+函数图像开口向下,对称轴为2x=,所以函数()f x在区间[]0,2上是单调递增的,在区间[]2,3上是单调递减的,有又()01f=-,()32f=()()min01f x f∴==-(2)对称轴为x a =当0a ≤时,函数在()f x 在区间[]0,1上是单调递减的,则 ()()max 013f x f a ==-=,即2a =-;当01a <<时,函数()f x 在区间[]0,a 上是单调递增的,在区间[],1a 上是单调递减的,则()()2max 13f x f a a a ==-+=,解得21a =-或,不符合;当1a ≥时,函数()f x 在区间[]0,1上是单调递增的,则()()max 11213f x f a a ==-++-=,解得3a =;综上所述,2a =-或3a =点睛:(1)已知函数的奇偶性求参数,一般采用待定系数法求解,根据()()0f x f x ±-=得到关于待求参数的恒等式,由系数的对等性得参数的值或方程(组),进而得出参数的值;(2)已知函数的奇偶性求函数值或解析式,首先抓住奇偶性讨论函数在各个区间上的解析式,或充分利用奇偶性得出关于()f x 的方程,从而可得()f x 的值或解析式. 20.(1)单调递增,证明见解析.(2)3a ≤ 【解析】 【分析】(1)先根据()12f =求得m 的值,得函数解析式.进而利用作差法证明函数单调性即可. (2)构造函数()()g x f x x =+.根据(1)中函数单调性,结合y x =的单调性,可判断()g x 的单调性,求得()g x 最小值后即可求得a 的取值范围. 【详解】(1)函数()mf x x x=+,()12f = 代入可得211m=+,则1m = 所以()1f x x x =+函数()1f x x x=+在[)1,+∞上单调递增.证明:任取12,x x 满足121x x ≤<,则()()21f x f x -212111x x x x ⎛⎫⎛⎫=+-+ ⎪ ⎪⎝⎭⎝⎭212111x x x x =-+- 122112x x x x x x -=-+()()2112121x x x x x x --=因为121x x ≤<,则21120,10x x x x ->->所以()()21121210x x x x x x -->,即()()210f x f x ->所以()()21f x f x > 函数()1f x x x=+在[)1,+∞上单调递增. (2)若()a f x x -<在()1,+∞恒成立 则()a f x x <+, 令()()g x f x x =+ 由(1)可知()1f x x x=+在()1,+∞上单调递增,y x =在()1,+∞上单调递增 所以()()g x f x x =+在()1,+∞上单调递增 所以()()13g x g >=所以3a ≤即可满足()a f x x -<在()1,+∞恒成立 即a 的取值范围为3a ≤ 【点睛】本题考查了利用定义证明函数单调性的方法,根据函数单调性解决恒成立问题,属于基础题.21.(1)单调增区间是()11,2∞∞-+,和,单调减区间为112(,);(2)当10a 2<<时,函数的最大值为()2f a a a =-+., 当112a 2+≤≤时,函数的最大值为11f 24⎛⎫= ⎪⎝⎭, 当12a +≥时,函数的最大值为()2f a a a =-. 【解析】 【分析】(1)对函数()f x 去绝对值,表示成分段函数模型并作出图像,由函数图像进行判断. (2)令()12f x f ⎛⎫= ⎪⎝⎭(1x >),解出122x +=,对实数a 的范围分类讨论求解. 【详解】(1)()22,1f x ,1x x x x x x ⎧-+≤=⎨->⎩, 由分段函数的图象知,函数的单调增区间是()11,2∞∞-+,和,单调减区间为112(,). (2)当10a 2<<时,函数的最大值为()2f a a a =-+ 当112a 22+≤≤时,函数的最大值为11f 24⎛⎫= ⎪⎝⎭; 当12a +>()2f a a a =-. 【点睛】(1)考查了分段函数单调性问题,结合分段函数图像可直接判断单调区间.(2)主要考查了分类讨论思想,结合分段函数图像,对区间端点的范围讨论,自变量的范围不同,对应的函数的最值也不同.22.(1);(2);(3).【解析】试题分析:(1)利用奇函数的特性,定义在的奇函数必过原点,易得值;(2)当,则,根据函数为奇函数及当时,,可得函数在时的解析式,进而得到函数在上的解析式;(3)根据奇函数在对称区间上单调性相同,结合二次函数图象和性质,可分析出函数的单调性,进而将原不等式变形,解不等式可得实数的取值范围.试题解析:(1)为上的奇函数,;(2)设,则,,又为奇函数,,即,.(3)在上为增函数,且,为上的奇函数,为上的增函数,原不等式可变形为:即,对任意恒成立,(分离参数法)另法:即,对任意恒成立,∴解得:,取值范围为.考点:函数的奇偶性;函数的解析式;解不等式. 【方法点晴】(1)由奇函数的特性,在时必有,,故定义在的奇函数必过原点;(2)当,则,根据函数为奇函数及当时,,可得函数在时的解析式,进而得到函数在上的解析式;(3)根据奇函数在对称区间上单调性相同,结合二次函数图象和性质,可分析出函数的单调性,进而将原不等式变形,解不等式可得实数的取值范围.23.(1)证明见解析;(2)证明见解析;(3) 最大值是6,最小值是-6. 【解析】 【分析】(1)令x =y =0,则可得f (0)=0;y =﹣x ,即可证明f (x )是奇函数,(2)设x 1>x 2,由已知可得f (x 1﹣x 2)<0,再利用f (x +y )=f (x )+f (y ),及减函数的定义即可证明.(3)由(2)的结论可知f (﹣3)、f (3)分别是函数y =f (x )在[﹣3、3]上的最大值与最小值,故求出f (﹣3)与f (3)就可得所求值域. 【详解】(1)因为()f x 的定义域为R ,且()()()f x y f x f y +=+,令y x =-得()()()f x x f x f x +-=+-⎡⎤⎣⎦,所以()()()0f x f x f +-=; 令0x y ==,则()()()0000f f f +=+,所以()00f =,从而有()()0f x f x +-=,所以()()f x f x -=-,所以()f x 是奇函数. (2)任取,x y R ∈,且12x x <,则()()()()121121f x f x f x f x x x -=-+-⎡⎤⎣⎦()()()()112121f x f x f x x f x x =-+-=--⎡⎤⎣⎦,因为12x x <,所以210x x ->,所以()210f x x -<,所以()210f x x -->, 所以()()12f x f x >,从而()f x 在R 上是减函数.(3)由于()f x 在R 上是减函数,故()f x 在区间[]3,3-上的最大值是()3f -,最小值是()3f ,由于12f ,所以()()()()()()()31212111f f f f f f f =+=+=++()()31326f ==⨯-=-,由于()f x 为奇函数知, ()()3-36f f -==,从而()f x 在区间[]3,3-上的最大值是6,最小值是-6.【点睛】本题考查了抽象函数的奇偶性和单调性,深刻理解函数奇偶性和单调性的定义及充分利用已知条件是解决问题的关键.。
2021届河北省大名县第一中学高三(普通班)上学期第一次月考数学(文)试题注意:1.本试卷分第Ⅰ卷(选择题)和第Ⅱ卷(非选择题)两部分,满分150分,时间120分钟.2.每小题选出答案后,用2B 铅笔把答题卡上对应题目的答案标号涂黑,如需改动,用橡皮擦干净后,再选涂其他答案标号,在试题卷上作答无效。
第Ⅰ卷一.选择题(本大题共l5小题,每小题4分,共60分。
在每小题给出的四个选项中,只有一项是符合题目要求的。
)1. 设集合{}0322≥--=x x x A ,{}22<≤-=x x B ,则=⋂B A ( ) A. []1,2--B. [)2,1-C. []1,1-D. [)2,12. 对于非零向量b a ,,“0=+b a ”是b a //的( ) A. 充分不必要条件 B. 必要不充分条件 C. 充要条件D. 既不充分也不必要条件3. 命题“∈∀x R ,∃∈n N ,使得2x n ≥”的否定形式是( ) A. ∈∀x R ,∃∈n N ,使得2x n < B. ∈∀x R ,∀∈n N ,使得2x n < C. ∈∃x R ,∃∈n N ,使得2x n <D. ∈∃x R ,∀∈n N ,使得2x n <4. 已知函数()x f 的定义域为()0,1-,则函数()12+x f 的定义域为( ) A. ()1,1-B. ⎪⎭⎫ ⎝⎛--21,1 C. ()0,1-D. ⎪⎭⎫ ⎝⎛1,215. 下列各组函数中,表示同一函数的是( ) A. ()()()2,x x g x x f ==B. ()()()221,+==x x g x x fC. ()()x x g x x f ==,2 D. ()()x x x g x f -+-==11,06. 已知弧度数为2的圆心角对对的弦长为2,则这个圆心角所对的弧长是( ) A. 2B. 1sin 2C.1sin 2 D. 2sin7.已知312-=a ,31log 2=b ,31log 21=c 则( )A. c b a >>B. b c a >>C. b a c >>D. a b c >>8. 若实数y x ,满足01ln1=--yx ,则y 关于x 的函数的图像大致形状是( )9. 已知()()x g x f ,分别是定义在R 上的偶函数和奇函数,且()()123++=-x x x g x f ,则()()=+11g f ( ) A. 3-B. 1-C. 1D. 310. 函数x x x y 2cos 23cos sin +=的最小正周期和振幅分别是( ) A. π,1B. π,2C. π2,1D. π2,211. 已知02≠=b a ,且关于x 的函数()x b a x a x x f ⋅++=32131在R 上有极值,则a 与b 的夹角的范围是( ) A. ⎥⎦⎤⎢⎣⎡6,0πB. ⎥⎦⎤⎝⎛ππ,6C. ⎥⎦⎤⎝⎛ππ,3 D. ⎪⎭⎫⎝⎛ππ32,3 12. 设βα,都是锐角,且()53sin ,55cos =+=βαα,则=βcos ( )A.2552 B.552 C.2552或552 D.55或25513. 函数()()xe x xf 23-=的单调递增区间是( )A. ()0,∞-B. ()+∞,0C. ()3,∞-和()+∞,1D.()1,3-14. 已知函数()423-+-=ax x x f 在2=x 处取得极值,若[]1,1,-∈n m ,则()()n f m f '+的最小值是( )A. 13-B. 15-C.10D.1515. 设函数()2323t tx x h t -=,若有且仅有一个正实数0x ,使得()()07x h x h t ≥对任意的正数t 都成立,则0x 等于( ) A. 5B. 5C. 3D. 7第Ⅱ卷二、填空题(本大题共5小题,每小题4分,共20分,把答案填在答题卡的相应位置) 16.曲线xxe y =在点()e ,1处切线的斜率为 .17.设()()1,1,2,1==,b k a c +=,若c b ⊥,则实数k 的值为 . 18.在函数①x y 2cos =,②x y cos =,③⎪⎭⎫⎝⎛+=62cos πx y ,④⎪⎭⎫⎝⎛-=32tan πx y 中,最小正周期为π的所有函数为 .(填写正确的序号)19. 设函数()()1sin 122+++=x xx x f 的最大值为M ,最小值为m ,则M m += .20.设1>a ,则函数()()a e x x f x-+=21在[]a ,1-上零点的个数为 个.三、解答题:(本大题共6小题,共70分.解答时应写出相应的文字说明,证明过程或演算步骤)21、在锐角ABC ∆中,,,a b c 分别为角,,A B C 2sin c A =.(1)确定角C 的大小;(2)若c =ABC ∆a b +的值. 22、某大学艺术专业400名学生参加某次测评,根据男女学生人数比例,使用分层抽样的方法从中随机抽取了100名学生,记录他们的分数,将数据分成7组:[20,30),[30,40),┄,[80,90],并整理得到如下频率分布直方图:(Ⅰ)从总体的400名学生中随机抽取一人,估计其分数小于70的概率;(Ⅱ)已知样本中分数小于40的学生有5人,试估计总体中分数在区间[40,50)内的人数;(Ⅲ)已知样本中有一半男生的分数小于70,且样本中分数不小于70的男女生人数相等.试估计总体中男生和女生人数的比例.23、如图,四棱锥P ABCD -中,侧面PAD 为等边三角形且垂直于底面ABCD ,01,90.2AB BC AD BAD ABC ==∠=∠= (1)证明:直线//BC 平面PAD ;(2)若△PAD 面积为27,求四棱锥P ABCD -的体积.24、已知曲线C 上任意一点到直线2-=x 的距离比到点()0,1的距离大1. (1)求曲线C 的方程;(2)过曲线C 的焦点F ,且倾斜角为 60的直线交C 于点M (M 在x 轴上方),l 为C 的准线,点N 在l 上且l MN ⊥,求M 到直线NF 的距离.25、已知函数()()x x a ax x f ln 22++-=.(1)当1=a 时,求()x f 在区间[]e ,1上的最小值;(2)若对任意()+∞∈,0,21x x ,21x x <,且()()221122x x f x x f +<+恒成立,求a 的取值范围.选做题(请考生在26、27两题中任选其一解答,多选按第一题给分)26.(选修4-4 坐标系与参数方程) 以平面直角坐标系的原点为极点,x 轴的正半轴为极轴建立极坐标系,设曲线C 的参数方程为⎩⎨⎧==ααsin 3cos 2y x (α是参数),直线l 的极坐标方程为326cos =⎪⎭⎫ ⎝⎛+πθρ.(1)求直线l 的直角坐标方程和曲线C 的普通方程;(2)设点P 为曲线C 上任意一点,求点P 到直线l 的距离的最大值.27.(选修4-5 不等式选讲)已知函数()2-++=x a x x f .(I)当3-=a 时,求不等式()3≥x f 的解集;(II)若()4-≤x x f 的解集包含[]2,1,求a 的取值范围.2021届河北省大名县第一中学高三(普通班)上学期第一次月考数学(文)试题参考答案AADBC CCBCA CADAD 16. 2e 17 . 23- 18. ①②③ 19. 2 20. 121. (1)由32sin a c A =及正弦定理得,2sin sin sin 3a A Ac C ==, ∵sin 0A ≠, ∴3sin 2C =. ∵ABC ∆是锐角三角形,∴3C π=.(2)∵7,3c C π==,由面积公式得133sin 232ab π=,即6ab =....① 由余弦定理得222cos73a b ab π+-=,即227a b ab +-=,∴()273a b ab +=+....②,由①②得()225a b +=,故5a b +=.22、 (Ⅰ)根据频率分布直方图可知,样本中分数不小于70的频率为(0.020.04)100.6+⨯=,所以样本中分数小于70的频率为10.60.4-=.所以从总体的400名学生中随机抽取一人,其分数小于70的概率估计为0.4.(Ⅱ)根据题意,样本中分数不小于50的频率为(0.010.020.040.02)100.9+++⨯=,分数在区间[40,50)内的人数为1001000.955-⨯-=所以总体中分数在区间[40,50)内的人数估计为540020100⨯=.23.24、 (1);x y 42(2)25. 解:(1)-2; (2)设,即,只要在上单调递增即可,而, 8分当时,,此时在上单调递增; 9分当时,只需在上恒成立,因为,只要,则需要,对于函数,过定点,对称轴,只需11分即,综上,. 12分2627.。
2020-2021学年高一(上)第一次月考数学试卷一、单选题(本大题共8小题,每小题5分,共40分在每小题给出的四个选项中,只有一项是符合题目要求的)1. 下列关系正确的是()A.{0}∈{0, 1, 2}B.{0, 1}≠{1, 0}C.{0, 1}⊆{(0, 1)}D.⌀⊆{0, 1}2. 已知集合A={1, 3a},B={a, b},若A∩B={13},则a2−b2=()A.0B.43C.89D.2√233. 设x>0,y>0,M=x+y1+x+y ,N=x1+x+y1+y,则M,N的大小关系是()A.M=NB.M<NC.M>ND.不能确定4. 若实数a,b满足a≥0,b≥0,且ab=0,则称a与b互补,记φ(a, b)=√a2+b2−a−b,那么φ(a, b)=0是a与b互补的()A.必要不充分条件B.充分不必要条件C.充要条件D.既不充分也不必要条件5. 已知不等式ax2−bx−1≥0的解集是{x|−12≤x≤−13},则不等式x2−bx−a<0的解集是()A.{x|2<x<3}B.{x|x<2或x>3}C.{x|13<x<12} D.{x|x<13x>12}6. 若a>0,b>0且a+b=7,则4a +1b+2的最小值为()A.89B.1 C.98D.102777. 关于x的不等式x2−(a+1)x+a<0的解集中恰有两个整数,则实数a的取值范围是()A.−2<a≤−1或3≤a<4B.−2≤a≤−1或3≤a≤4C.−2≤a<−1或3<a≤4D.−2<a<−1或3<a<48. 下列说法正确的是()A.若命题p,¬q都是真命题,则命题“(¬p)∨q”为真命题B.命题“若x+y≠5,则x≠2或y≠3”与命题“若x=2且y=3,则x+y=5”真假相同C.“x=−1”是“x2−5x−6=0”的必要不充分条件D.命题“∀x>1,2x>0”的否定是“∃x0≤1,2x0≤0”二、多选题(本大题共4小题,每小题5分,共20分在每小题给出的四个选项中,有多项是符合题目要求的,全部选对得5分,部分选对的得3分,有选错的得0分)1.下列各不等式,其中不正确的是()A.a2+1>2a(a∈R)B.|x+1x|≥2(x∈R,x≠0)C.√ab ≥2(ab≠0) D.x2+1x2+1>1(x∈R)2.下列不等式中可以作为x2<1的一个充分不必要条件的有()A.x<1B.0<x<1C.−1<x<0D.−1<x<13. 下列命题正确的是()A.∃a,b∈R,|a−2|+(b+1)2≤0B.∀a∈R,∃x∈R,使得ax>2C.ab≠0是a2+b2≠0的充要条件D.若a≥b>0,则a1+a ≥b1+b4. 给定数集M,若对于任意a,b∈M,有a+b∈M,且a−b∈M,则称集合M为闭集合,则下列说法中不正确的是()A.集合M={−4, −2, 0, 2, 4}为闭集合B.正整数集是闭集合C.集合M={n|n=3k, k∈Z}为闭集合D.若集合A1,A2为闭集合,则A1∪A2为闭集合三、填空题(本大题共4小题,每小题5分,共20分)1. 已知集合A={x∈Z|x2−4x+3<0},B={0, 1, 2},则A∩B=________.2. 若“x>3”是“x>a“的充分不必要条件,则实数a的取值范围是________.3.若不等式ax2+2ax−4<0的解集为R,则实数a的取值范围是________.4.已知x>0,y>0,且x+3y=xy,若t2+t<x+3y恒成立,则实数t的取值范围是________四、解答题:(本大题共6小题,共70分。
高一数学周测试题一、单选题(每小题5分,共40分)1.函数()112xf x x ⎛⎫=-- ⎪⎝⎭的零点的大致区间为( ) A .10,2⎛⎫ ⎪⎝⎭B .1,12⎛⎫ ⎪⎝⎭C .31,2⎛⎫ ⎪⎝⎭D .3,22⎛⎫⎪⎝⎭2.已知0.22a =,0.812b -⎛⎫= ⎪⎝⎭,52log 2c =,则a ,b ,c 的大小关系为( )A .c a b <<B .c b a <<C .a b c <<D .b a c <<3.已知函数()()3log 1f x x =-的反函数为1()f x -,则1(2)f -= ( ). A. 2 B. 5 C. 10 D. 94.函数21()ln x f x x-=的图象大致为( )A . B. C . D .5.函数223x xy -=的值域为( )A .()0,∞+B .[)1,-+∞C .[)3,+∞D .1,3⎡⎫+∞⎪⎢⎣⎭6.一元二次方程02=+-k kx x 一根大于0,一根小于0,则实数k 的取值范围为( ) A .()0,4B .(,0)(4,)-∞+∞ C .(,0)-∞ D .(4,)+∞7.()42,1log ,12a f x R a a x x x x ⎧⎪=⎨⎛⎫--≤ ⎪⎪⎝>⎭⎩若是上的增函数,则实数的取值范围为(). A .(1,)+∞B .(8,)+∞C .[4,8)D .(1,8)8.已知函数21()log 11xf x x -=++,若1()2f a =,则()f a -=( ).A .32B .32-C .12D .12-二、多选题(每小题5分,共20分。
全部选对得5分,有选错的得0分,部分选对得3分))正确的是(的反函数,则下列结论且是函数)0.0()(..9≠>==a a a y x f y x)(2)(.A 2x f x f = )2()()2(.B f x f x f += )2()()21(..C f x f x f -= )(2)2(.D x f x f = .),1,0)(1(log )(),1(log )(.10)则(已知函数≠>-=+=a a x x g x x f a a ()1,1)()(.A -+的定义域为函数x g x f 轴对称的图像关于函数y x g x f )()(.B + 0)()(.C 在定义域上有最小值函数x g x f + ()上是减函数在区间函数1,0)()(.D x g x f -11.若函数(1)x y a b =-+(0a >且1a ≠)的图像过第一、三、四象限,则必有( ). A .01a <<B .1a >C .0b >D .0b <12.已知0a >,0b >且1a ≠,1b ≠,若log 1a b >,则下列不等式可能正确的是( ). A .(1)()0b b a --> B .(1)()0a a b --> C .(1)(1)0a b --< D .(1)()0a b a --> 三、填空题(每小题5分,共20分)13.已知函数()22,0log ,0x x f x x x -⎧≤=⎨>⎩,则()3f x ≥的解集是______.14.若函数2()4f x x x m =-+有4个零点,实数m 的取值范围为________.15.函数22log ,04()2708,433x x f x x x x ⎧<≤⎪=⎨-+>⎪⎩,若a ,b ,c ,d 互不相同,且()()()()f a f b f c f d ===,则abcd 的取值范围是________.16.函数()()log 2a f x ax =-在[]0,1上是x 的减函数,则实数a 的取值范围是______. 四、解答题(17题10分,其他小题各12分,共70分) 17.(1)计算331log 2327lg50lg 2+++;(2)1222309273(9.6)482--⎛⎫⎛⎫⎛⎫---+ ⎪ ⎪⎪⎝⎭⎝⎭⎝⎭;(3)已知23a =,46b =,求2b a -的值.18.已知函数()22()log 2,f x x ax a =-+∈R .(1)当()f x 是偶函数时,求a 的值并求函数的值域.(2)若函数()f x 在区间[2,3]上单调递增,求实数a 的取值范围19.已知函数2()(1)1(0)x g x a a -=++>的图像恒过定点A ,且点A 又在函数())f x x a =+的图像上.(1)求实数a 的值; (2)解不等式()f x a <;(3)(2)22g x b +-=有两个不等实根时,求b 的取值范围.20.新冠肺炎疫情造成医用防护服紧缺,当地政府决定为防护服生产企业A 公司扩大生产提供[]0(0),1x x ∈(万元)的专项补贴,并以每套80元的价格收购其生产的全部防护服.A 公司在收到政府x (万元)补贴后,防护服产量将增加到12(6)4t k x =⋅-+(万件),其中k 为工厂工人的复工率[]0.)1(5,k ∈,A 公司生产t 万件防护服还需投入成本()20850x t ++(万元). (1)将A 公司生产防护服的利润y (万元)表示为补贴x (万元)的函数;(2)对任意的[]0,10x ∈(万元),当复工率k 达到多少时,A 公司才能不产生亏损?(精确到0.01)21.已知函数()()2210g x ax ax b a =-++>在区间[]2,3上有最大值4和最小值1,设()()g x f x x=. (1)求,a b 的值; (2)若不等式()220x x f k -⋅≥在区间[]1,1-上恒成立,求实数k 的取值范围.22.已知定义域为R 的函数2()2xx b f x a-=+是奇函数.(1)求a ,b 的值;(2)用定义证明()f x 在(,)-∞+∞上为减函数;(3)若对于任意t R ∈,不等式22(2)(2)0f t t f t k -+-<恒成立,求k 的范围.参考答案1.C 因为()112xf x x ⎛⎫=-- ⎪⎝⎭,显然单调递增, 所以()01001202f ⎛⎫=--=-< ⎪⎝⎭,1211111022222f ⎛⎫⎛⎫=--=--< ⎪ ⎪⎝⎭⎝⎭,()11111022f =--=-<,3233111022224f ⎛⎫⎛⎫=--=-> ⎪ ⎪⎝⎭⎝⎭,所以函数()112xf x x ⎛⎫=-- ⎪⎝⎭的零点的大致区间为31,2⎛⎫ ⎪⎝⎭. 2.A 因为2xy =在R 上为单调递增函数,所以0.0.2080.8221122b -⎛⎫==>⎪> ⎭=⎝,即1b a >>,又5log y x =在(0,)+∞上为单调递增函数,所5552log 2log 4log 51c ==<=,3.10 由()3log 1y x =-得31y x =+,即函数()()3log 1f x x =-的反函数为1()31x f x -=+,因此12(2)3110f -=+=.4.B首先()()f x f x -===,是偶函数,排除A ;01x <<时,()0f x <,排除C ;当0x >且0x →1→,而ln x →-∞,0ln x→,排除D .5. D()222111x x x -=--≥-,2211333xxy --∴=≥=, 因此,函数223xxy -=的值域为1,3⎡⎫+∞⎪⎢⎣⎭.6. C 方程02=+-k kx x 一根大于0,一根小于0,即函数()2f x x kx k =-+与x 轴有两个交点,且位于0的两侧,所以只需()00f <,可得0k <.7. 7.C 因为log ,1()42,12a x x f x a x x >⎧⎪=⎨⎛⎫--≤ ⎪⎪⎝⎭⎩是R 上的增函数,所以140242log 12a a aa⎧⎪>⎪⎪->⎨⎪⎪--≤⎪⎩,解得48a ≤<,所以实数a 的取值范围为[4,8).8.A 设()()21log ,1,11x g x x x -=∈-+,则()()2211log log 11x xg x g x x x+--==-=--+, 所以()g x 为奇函数,又()1()12f a g a =+=,所以()12g a =-,所以()()12g a g a -=-=所以()13()1122f ag a -=-+=+=.9.ABC 10.AB11.BC 若01a <<,则(1)x y a b =-+的图像必过第二象限,而函数(1)x y a b =-+(0a >且1a ≠)的图像过第一、三、四象限,所以1a >.当1a >时,要使(1)x y a b =-+的图像过第一、三、四象限,则11b +>,即0b >. 12.AD ∵log 1log a a b a >=,∴若1a >,则b a >,即1b a >>. ∴(1)()0b b a -->,故A 正确.(1)()0a b a -->,故D 正确.若01a <<,则01b a <<<,∴(1)()0a a b --<,(1)(1)0a b -->,故BC 错误, 13.(][)2,log 38,-∞-⋃+∞ 当0x ≤时,()23xf x -=≥,可得2log 3x -≥,解得2log 3x ≤-,此时2log 3x ≤-;当0x >时,()2log 3f x x =≥,可得8x ≥,此时8x ≥.综上所述,不等式()3f x ≥的解集(][)2,log 38,-∞-⋃+∞. 14.40m -<<2()4f x x x m =-+有4个零点,∴方程()0f x =有4个根,得到24x x m -=-,则函数24y x x =-与直线y m =- 有4个交点,作出函数24y x x =-的图像如下:由图像可知,当04m <-<,即40m -<<时,函数24y x x =-与直线y m =- 有4个交点. 故答案为:40m -<<.15.(32,35). 由()f x 的解析式知()f x 在(0,1)和(4,6)上递减,在(1,4)和(6,)+∞上递增,作函数()f x 的图象,再作一直线y m =与()f x 的图象有四个交点,横坐标从小到大依次为a b c d ,,,,由图知22log log a b -=,2log 0ab =,1ab =,12c d +=,45c <<, ∴22(12)12(6)36abcd c c c c c =-=-+=--+,此函数在()4,5上递增, ∴()23263635c <--+<,即(32,35)abcd ∈.16.()1,2 函数()()log 2a f x ax =-,所以真数位置上的20ax ->在[]0,1x ∈上恒成立, 由一次函数保号性可知,2a <,当01a <<时,外层函数log a y t =为减函数, 要使()()log 2a f x ax =-为减函数,则2t ax =-为增函数,所以0a ->,即0a <,所以a ∈∅,当1a >时,外层函数log a y t =为增函数, 要使()()log 2a f x ax =-为减函数,则2t ax =-为减函数, 所以0a -<,即0a >,所以1a >,综上可得a 的范围为()1,2. 17.(1)31log 23327lg50lg 223log1002327+++=++=++=. (2)由题意,根据指数幂的运算性质, 可得1222309273(9.6)482--⎛⎫⎛⎫⎛⎫---+ ⎪ ⎪⎪⎝⎭⎝⎭⎝⎭22338212273⎛⎫⎛⎫=--+ ⎪ ⎪⎝⎭⎝⎭3441299=--+12=. (3)由23a =,得2log 3a =,又由46b =,即226b =,得22log 6b =, 所以2222log 6log 3log 21b a -=-==.18.解:(1)由()f x 是偶函数可得()()f x f x -=,即()()2222log 2log 2x ax x ax -+=++,则2222x ax x ax -+=++,即20ax =恒成立,所以0a =.经验证,0a =时,()22()log 2f x x =+为R 上的偶函数,符合题意.因为222x ≥+,所以()()222log 2log 21f x x =+≥=,故函数()f x 的值域是[1,)+∞.(2)因为函数()f x 在区间[2,3]上单调递增,且2log y t =为定义域上的增函数, 所以22t x ax =-+在[2,3]上单调递增,且[2,3]x ∈时,220x ax -+>,根据二次函数的性质,可得2222220a a ⎧≤⎪⎨⎪-+>⎩,解得3a <.19.解:(1)函数()g x 的图像恒过定点A ,A 点的坐标为(2, 2)又因为A 点在()f x 上,则:3(2)log (2)2231f a a a =+=⇒+=⇒= (2)由题意知:33log (1)log 1x +<,而3logx 在定义域上单调递增,知011x <+<,即10x -<<∴不等式的解集为{|10}x x -<<(3)由(2)22g x b +-=知:212xb -=,方程有两个不等实根 若令()|21|g x x =-,()2h x b =有它们的函数图像有两个交点,如图示,由图像可知:021b <<,故b 的取值范围为10,2⎛⎫ ⎪⎝⎭20.解:(1)因为A 公司生产t 万件防护服还需投入成本()20850x t ++,政府以每套80元的价格收购其生产的全部防护服,且提供x (万元)的专项补贴, 所以,A 公司生产防护服的利润121280(6)20850(6)44y x k x k x x ⎡⎤=+--++-⎢⎥++⎣⎦3601807204kk x x =---+; (2)为使A 公司不产生亏损,只需利润36018072004ky k x x =---≥+在[]0,10x ∈上恒成立;即()()72041802x x k x ++≥+在[]0,10x ∈上恒成立;因为()()()()()2272047220212748801272202222x x x x x x x x x x x ++++++++===+++++++,令2t x =+,因为[]0,10x ∈,所以[]2,12t ∈,记()12720g t t t=++, 任取12212t t ≤<≤,则()()()()2112121212121212127207207t t g t g t t t t t t t t t -⎛⎫⎛⎫-=++-++=-+ ⎪ ⎪⎝⎭⎝⎭()1212127t t t t ⎛⎫=-- ⎪⎝⎭,因为120t t -<,124144t t <<,所以12121234t t <=,即121270t t ->, 所以()12121270t t t t ⎛⎫--< ⎪⎝⎭,即()()12g t g t <,所以函数()12720g t t t =++在[]2,12t ∈上单调递增;因此()()max 12105g t g ==,即()()72042x x x +++的最大值为105;所以只需180105k ≥,即0.58k ≥.21.解:(1)()()2g x a x 11b a =-++-,因为a 0>,所以()g x 在区间[]23,上是增函数,故()()21{34g g ==,解得1{0a b ==.(2)由已知可得()12=+-f x x x ,所以()20-≥x f kx 可化为12222+-≥⋅x x x k , 化为2111+222-⋅≥x x k (),令12=x t ,则221≤-+k t t ,因[]1,1∈-x ,故1,22⎡⎤∈⎢⎥⎣⎦t , 记()221=-+h t t t ,因为1,22⎡⎤∈⎢⎥⎣⎦t ,故()0=min h t ,所以k 的取值范围是(],0∞-. 22.解:(1)()f x 为R 上的奇函数,(0)0f ∴=,可得1b =又(1)(1)f f -=- ∴11121222a a----=-++,解之得1a = 经检验当1a =且1b =时,12()21xx f x -=+,满足()()f x f x -=-是奇函数.(2)由(1)得122()12121x x x f x -==-+++, 任取实数1x 、2x ,且12x x <,则21121212222(22)()()2121(21)(21)x x x x x x f x f x --=-=++++ 12x x <,可得1222x x <,且12(21)(21)0x x ++>12()()0f x f x ∴->,即12()()f x f x >,函数()f x 在(,)-∞+∞上为减函数;(3)根据(1)(2)知,函数()f x 是奇函数且在(,)-∞+∞上为减函数.∴不等式22(2)(2)0f t t f t k -+-<恒成立,即222(2)(2)(2)f t t f t k f t k -<--=-+也就是:2222t t t k ->-+对任意的t R ∈都成立. 变量分离,得232k t t <-对任意的t R ∈都成立,2211323()33t t t -=--,当13t =时有最小值为13-,13k ∴<-,即k 的范围是1(,)3-∞-.。
河北省大名县第一中学高一上学期第一次月考数学试题1. 设全集,集合,,则()A. B. C. D.2. 已知集合,则下列式子表示正确的有()①②③④A. 1个B. 2个C. 3个D. 4个3. 集合如图所示,则图中阴影部分所表示的集合是()A. B. C. D.4. 下面各组函数中为相等函数的是()A. ,B. ,C. ,D. ,5. 函数的定义域为()A. B. C. D.6. 已知,,等于()A. B. C. D.7. 已知函数的定义域是,则的定义域是()A. B. C. D.8. 已知,则()A. 2B. 3C. 4D. 59. 函数的图象是()10. 若函数在区间上是减函数,则实数的取值范围是()A. B. C. D.11. 已知函数的定义域为,则实数的值为()A. 5B. -5C. 10D. -1012. 将进货单价为80元的商品按90元一个出售时,能卖出400个,根据经验,该商品若每个涨(降)1元,其销售量就减少(增加)20个,为获得最大利润,售价应定为()A. 92元B. 94元C. 95元D. 88元二、填空题13. 若全集且,则集合的真子集共有__________个.14. 已知,则__________.16. 已知是定义在上是减函数,则的取值范围是__________.三、解答题17. 设集合,.(1)若,试判定集合与的关系;(2)若,求实数的取值集合.18. 设集合,集合,分别就下列条件求实数的取值范围:(1);(2).19. 已知函数,.(1)利用定义法判断函数的单调性;(2)求函数值域.20. 设函数,若(1)求函数的解析式;(2)画出函数的图象,并说出函数的单调区间;(3)若,求相应的值。
21. 某军工企业生产一种精密电子仪器的固定成本为20000元,每生产一台仪器需增加投入100元,已知总收益满足函数:R(x)= 其中x是仪器的月产量。
将利润表示为月产量的函数当月产量为何值时,公司所获利润最大?最大利润是多少元?(总收益=总成本+利润。
2024-2025学年高一上学期第一次月考数学试卷(基础篇)参考答案与试题解析第I卷(选择题)一、单项选择题:本题共8小题,每小题5分,共40分,在每小题给出的四个选项中,只有一项是符合要求的。
1.(5分)(24-25高一上·河北廊坊·开学考试)下列各组对象能构成集合的是()A.2023年参加“两会”的代表B.北京冬奥会上受欢迎的运动项目C.π的近似值D.我校跑步速度快的学生【解题思路】根据集合的定义依次判断各个选项即可.【解答过程】对于A:2023年参加“两会”的代表具有确定性,能构成集合,故A正确;对于B:北京冬奥会上受欢迎的运动项目,没有明确的标准,即对象不具有确定性,不能构成集合,故B 错误;对于C:π的近似值,没有明确的标准,即对象不具有确定性,不能构成集合,故C错误;对于D:我校跑步速度快的学生,没有明确的标准,即对象不具有确定性,不能构成集合,故D错误;故选:A.2.(5分)(23-24高一上·北京·期中)命题pp:∀xx>2,xx2−1>0,则¬pp是()A.∀xx>2,xx2−1≤0B.∀xx≤2,xx2−1>0C.∃xx>2,xx2−1≤0D.∃xx≤2,xx2−1≤0【解题思路】全称量词命题的否定为存在量词命题,求解即可.【解答过程】因为命题pp:∀xx>2,xx2−1>0,所以¬pp:∃xx>2,xx2−1≤0.故选:C.3.(5分)(23-24高二下·福建龙岩·阶段练习)下列不等式中,可以作为xx<2的一个必要不充分条件的是()A.1<xx<3B.xx<3C.xx<1D.0<xx<1【解题思路】利用必要不充分条件的意义,逐项判断即得.【解答过程】对于A,1<xx<3是xx<2的不充分不必要条件,A不是;对于B,xx<3是xx<2的一个必要不充分条件,B是;对于C,xx<1是xx<2的一个充分不必要条件,C不是;对于D,0<xx<1是xx<2的一个充分不必要条件,D不是.故选:B.4.(5分)(24-25高三上·山西晋中·阶段练习)下列关系中:①0∈{0},②∅ {0},③{0,1}⊆{(0,1)},④{(aa,bb)}= {(bb,aa)}正确的个数为()A.1 B.2 C.3 D.4【解题思路】根据元素与集合、集合与集合之间的关系分析判断.【解答过程】对于①:因为0是{0}的元素,所以0∈{0},故①正确;对于②:因为空集是任何非空集合的真子集,所以∅ {0},故②正确;对于③:因为集合{0,1}的元素为0,1,集合{(0,1)}的元素为(0,1),两个集合的元素全不相同,所以{0,1},{(0,1)}之间不存在包含关系,故③错误;对于④:因为集合{(aa,bb)}的元素为(aa,bb),集合{(bb,aa)}的元素为(bb,aa),两个集合的元素不一定相同,所以{(aa,bb)},{(bb,aa)}不一定相等,故④错误;综上所述:正确的个数为2.故选:B.5.(5分)(24-25高三上·江苏南通·阶段练习)若变量x,y满足约束条件3≤2xx+yy≤9,6≤xx−yy≤9,则zz=xx+2yy的最小值为()A.-7 B.-6 C.-5 D.-4【解题思路】利用整体法,结合不等式的性质即可求解.【解答过程】设zz=xx+2yy=mm(2xx+yy)+nn(xx−yy),故2mm+nn=1且mm−nn=2,所以mm=1,nn=−1,故zz=xx+2yy=(2xx+yy)−(xx−yy),由于3≤2xx+yy≤9,6≤xx−yy≤9,所以3+(−9)≤2xx+yy−(xx−yy)≤9+(−6),−6≤xx+2yy≤3,故最小值为−6,此时xx=4,yy=−5,故选:B.6.(5分)(23-24高二下·云南曲靖·期末)已知全集UU={1,3,5,7,9},MM=�xx|xx>4且xx∈UU},NN={3,7,9},则MM∩(∁UU NN)=()A.{1,5}B.{5}C.{1,3,5}D.{3,5}【解题思路】先求出MM,∁UU NN,再求MM∩(∁UU NN),【解答过程】因为UU={1,3,5,7,9},MM=�xx|xx>4且xx∈UU},所以MM={5,7,9},因为UU={1,3,5,7,9},NN={3,7,9},所以∁UU NN={1,5},所以MM∩(∁UU NN)={5}.故选:B.7.(5分)(23-24高一上·陕西渭南·期末)已知不等式aaxx2+bbxx+2>0的解集为{xx∣xx<−2或xx>−1},则不等式2xx2+bbxx+aa<0的解集为()A.�xx�−1<xx<12�B.{xx∣xx<−1或xx>12}C.�xx�−1<xx<−12�D.{xx∣xx<−2或xx>1}【解题思路】根据给定的解集求出aa,bb,再解一元二次不等式即得.【解答过程】由不等式aaxx2+bbxx+2>0的解集为{xx∣xx<−2或xx>−1},得−2,−1是方程aaxx2+bbxx+2=0的两个根,且aa>0,因此−2+(−1)=−bb aa,且−2×(−1)=2aa,解得aa=1,bb=3,不等式2xx2+bbxx+aa<0化为:2xx2+3xx+1<0,解得−1<xx<−12,所以不等式2xx2+bbxx+aa<0为{xx|−1<xx<−12}.故选:C.8.(5分)(24-25高三上·江苏徐州·开学考试)已知aa>bb≥0且6aa+bb+2aa−bb=1,则2aa+bb的最小值为()A.12 B.8√3C.16 D.8√6【解题思路】根据题意可知2aa+bb=32(aa+bb)+12(aa−bb),根据乘1法结合基本不等式运算求解. 【解答过程】因为aa>bb≥0,则aa+bb>0,aa−bb>0,且2aa+bb=32(aa+bb)+12(aa−bb),则2aa+bb=�32(aa+bb)+12(aa−bb)��6aa+bb+2aa−bb�=10+3(aa−bb)aa+bb+3(aa+bb)aa−bb≥10+2�3(aa−bb)aa+bb⋅3(aa+bb)aa−bb=16,当且仅当3(aa−bb)aa+bb=3(aa+bb)aa−bb,即aa=8,bb=0时,等号成立,所以2aa+bb的最小值为16.故选:C.二、多项选择题:本题共3小题,每小题6分,共18分,在每小题给出的四个选项中,有多项符合题目的要求,全部选对的得6分,部分选对的得部分分,有选错的得0分。
河北省大名县第一中学2021-2022高一数学9月半月考试试题一、选择题 (本大题共12个小题,每小题5分,共60分,在每小题给出的四个选项中,只有一项是符合题目要求的)1.已知集合{|20}A x x =-<,{}1,2,3B =,则A B =( )A .{}1,2,3B .{}1C .{}3D .∅2.设集合{}=1,2M ,则满足条件{}=1,2,3,4M N 的集合N 的个数是( )A .1B .3C .2D .43.下列函数中,在()0,2上为增函数的是( ) A .32y x =-+B .3y x=C .245y x x -=+D .23810y x x +=-4.若奇函数()f x 在[]3,7上是增函数,且最小值是1,则它在[7,3]--上是( ) A .增函数且最小值是1- B .增函数且最大值是1- C .减函数且最大值是1-D .减函数且最小值是1-5.已知集合{}|1P x y x ==+,集合{}|1Q y y x =-=,则P 与Q 的关系是( ) A .P Q = B .P Q ⊆ C .P Q ⊇D .P Q =∅6.设()()()F x f x f x =+-,x ∈R ,若,2π⎡⎤-π-⎢⎥⎣⎦是函数F (x )的单调递增区间,则一定是()F x 单调递减区间的是( ) A .,02π⎡⎤-⎢⎥⎣⎦B .,2π⎡⎤π⎢⎥⎣⎦C .23π⎡⎤π,⎢⎥⎣⎦D .,223π⎡⎤π⎢⎥⎣⎦7.已知函数()2f x x bx c =++的图象的对称轴为直线x =1,则( ) A .()()1(12)f f f <<- B .()()12()1f f f <<- C .()())211(f f f -<<D .()())112(f f f -<<8.图中的图象所表示的函数的解析式为( )A .()10322y x x =-≤≤ B .()1232032y x x --=≤≤ C .()10232y x x =-≤≤- D .()1012y x x =-≤≤- 此卷只装订不密封班级 姓名 准考证号 考场号 座位号9.已知()()121,2111,2x x x f x f x +≥⎧-<⎪⎪⎨⎪-⎪⎩=,则1746f f ⎛⎫⎛⎫+= ⎪ ⎪⎝⎭⎝⎭( ) A .16-B .16C .56 D .56-10.函数()y f x =是R 上的偶函数,且在(]0-∞,上是增函数,若()()2f a f ≤, 则实数a 的取值范围是( ) A .2a ≤B .2a ≥-C .22a -≤≤D .22a a ≤-≥或11.已知函数()()f x x ∈R 满足()(2)f x f x =-,若函数223y x x =--与()y f x =图像的交点为11(,)x y ,22(,)x y ,…,(,)m m x y ,则123m x x x x ++⋅⋅⋅+=( ) A .0B .mC .2mD .4m12.已知()32f x x =-,()22g x x x =-,()()()()()()(),,g x f x g x F x f x f x g x ⎧⎪≥<⎨⎪⎩=若若,则()F x 的最值是( )A .最大值为3,最小值1- B.最大值为7- C .最大值为3,无最小值 D .既无最大值,又无最小值二、填空题(本大题共4个小题,每小题5分,共20分,把正确答案填在题中横线上) 13.函数2y x =+________.14.有15人进家电超市,其中有9人买了电视,有7人买了电脑,两种均买了的有3人,则这两种都没买的有________人.15.若函数()f x 的定义域为[12]-,则函数2(3)f x -的定义域为________. 16.规定记号“∆”表示一种运算,即a b a b ∆=+,a ,b ∈R ,若13k ∆=, 则函数()f x k x ∆=的值域是________.三、解答题(本大题共6个小题,共70分,解答应写出文字说明,证明过程或演算步骤) 17.(10分)已知全集U =R ,集合{}|4A x x =>,{|66}B x x =-<<. (1)求AB 和A B ;(2)求U C B ;(3)定义{|,}A B x x A x B -=∈∉且,求A B -,()A A B --. 18.(12分)已知函数()211x f x x ++=. (1)判断函数()f x 在区间[1,)+∞上的单调性,并用定义证明你的结论; (2)求该函数在区间[1]4,上的最大值与最小值.19.(12分)已知全集U =R ,集合A ={x |x ≤-a -1},B ={x |x >a +2},C ={x |x <0或x ≥4}都是U 的子集. 若()UA B C ⊆,问这样的实数a 是否存在?若存在,求出a 的取值范围;若不存在,请说明理由.20.(12分)已知a ,b 为常数,且a ≠0,f (x )=ax 2+bx ,f (2)=0,方程f (x )=x 有两个相等实根.(1)求函数f (x )的解析式; (2)当]2[1x ∈,时,求f (x )的值域;(3)若F (x )=f (x )-f (-x ),试判断F (x )的奇偶性,并证明你的结论.21.(12分)设f (x )为定义在R 上的偶函数,当0≤x ≤2时,y =x ;当x >2时,y =f (x )的图象是顶点为4(3)P ,且过点2(2)A ,的抛物线的一部分.(1)求函数f (x )在(),2-∞-上的解析式;(2)在图中的直角坐标系中画出函数f (x )的图象; (3)观察图像写出函数f (x )的值域和单调区间.22.(12分)定义在R 上的函数f (x ),满足当x >0时,f (x )>1,且对任意的x ,y ∈R ,有()()()·f x y f x f y +=,f (1)=2,且(0)0f ≠. (1)求f (0)的值;(2)求证:对任意x ∈R ,都有f (x )>0;(3)解不等式f (3-2x )>4.数学试题答案一、选择题(本大题共12个小题,每小题5分,共60分,在每小题给出的四个选项中,只有一项是符合题目要求的)1-5 BDDBC 6-10BBBAD 11-12BB二、填空题(本大题共4个小题,每小题5分,共20分,把正确答案填在题中横线上) 13.(]4-∞, 14.2 15.1,22⎡⎤⎢⎥⎣⎦16.(1,)+∞三、解答题(本大题共6个小题,共70分,解答应写出文字说明,证明过程或演算步骤) 17.(1)∵{}|4A x x =>,{|66}B x x =-<< ∴{|46}A B x x =<<,{}|6A B x x =>-.(2){|66}U Bx x x =≥≤-或.(3)∵定义{|,}A B x x A x B -=∈∉且, ∴(){|6}U A B AB x x -==≥,(){|46}A A B x x --=<<.18.(1)函数()f x 在[1,)+∞上是增函数. 证明:任取12,[,)1x x ∈+∞,且12x x <, 则()()()()121212121221211111x x x x f x f x x x x x ++--=+++=+-. 易知120x x -<,12()11(0)x x ++>,所以()()120f x f x -<,即()()12f x f x <, 所以函数()f x 在[1,)+∞上是增函数.(2)由(1)知函数()f x 在[1]4,上是增函数, 则函数()f x 的最大值为()945f =,最小值为()312f =.19.因为()UA B C ⊆,所以应分两种情况.(1)若() UAB =∅,则A ∪B =R ,因此a +2≤-a -1,即a ≤32-.(2)若() UAB ≠∅,则a +2>-a -1,即a >32-.又A ∪B ={x |x ≤-a -1或x >a +2},此卷只装订不密封班级 姓名 准考证号 考场号 座位号所以()|2{}1UA B x a x a -<≤=-+,又()UA B C ⊆,所以a +2<0或-a -1≥4,即2a <-或a ≤-5,即2a <-. 又a >32-,故此时a 不存在.综上,存在这样的实数a ,且a 的取值范围是3|2a a ⎧⎫-⎨⎩≤⎬⎭.20.(1)由f (2)=0,得4a +2b =0,即2a +b =0.①方程f (x )=x ,即ax 2+bx =x ,即ax 2+(b -1)x =0有两个相等实根, 且a ≠0,∴b -1=0,∴b =1,代入①得a =12-.∴f (x )=12-x 2+x .(2)由(1)知f (x )=12-(x -1)2+12.显然函数f (x )在[1]2,上是减函数,∴x =1时,f (x )max =12,x =2时,f (x )min =0. ∴]2[1x ∈,时,函数f (x )的值域是201⎡⎤⎢⎥⎣⎦,.(3)F (x )是奇函数.证明:()()2211()()(222)F x f x f x x x x x x ⎛⎫⎡⎤=--=-+----= ⎪⎢⎥⎝⎭⎣⎦+,∵F (-x )=2(-x )=-2x =-F (x ),∴F (x )是奇函数.21.(1)当x >2时,设f (x )=a (x -3)2+4.∵f (x )的图象过点A (2,2),∴f (2)=a (2-3)2+4=2,∴a =-2, ∴()23)24(f x x --+=-.设,2()x ∈∞--,则-x >2,∴()2()234f x x ---+=-. 又因为f (x )在R 上为偶函数,∴f (-x )=f (x ), ∴()23)24(f x x --+=-,即()23)24(f x x ++=-,,2()x ∈∞--. (2)图象如图所示.(3)由图象观察知f (x )的值域为{y |y ≤4}.单调增区间为(],3-∞-和[0]3,.单调减区间为[30]-,和[3,)+∞.22.(1)对任意x ,y ∈R ,()()()·f x y f x f y +=. 令x =y =0,得f (0)=f (0)·f (0),即f (0)·[f (0)-1]=0. 令y =0,得f (x )=f (x )·f (0),对任意x ∈R 成立, 所以f (0)≠0,因此f (0)=1.(2)证明:对任意x ∈R ,有2·2222()()02x x x x x f x f f f f ⎡⎤⎛⎫⎛⎫⎛⎫===≥ ⎪ ⎪ ⎪⎢⎥⎝⎭⎝⎭⎝⎭⎣⎦+. 假设存在x 0∈R ,使f (x 0)=0,则对任意x >0,有f (x )=f [(x -x 0)+x 0]=f (x -x 0)·f (x 0)=0.这与已知x >0时,f (x )>1矛盾.所以,对任意x ∈R ,均有f (x )>0成立. (3)令x =y =1有f (1+1)=f (1)·f (1), 所以f (2)=2×2=4.任取x 1,x 2∈R ,且x 1<x 2, 则f (x 2)-f (x 1)=f [(x 2-x 1)+x 1]-f (x 1)=f (x 2-x 1)·f (x 1) -f (x 1)=f (x 1)·[f (x 2-x 1)-1].∵x 1<x 2,∴x 2-x 1>0,由已知f (x 2-x 1)>1,∴f (x 2-x 1)-1>0. 由(2)知x 1∈R ,f (x 1)>0.所以f (x 2)-f (x 1)>0,即f (x 1)<f (x 2). 故函数f (x )在(,)-∞+∞上是增函数.由f (3-2x )>4,得f (3-2x )>f (2),即3-2x >2.解得x <12. 所以,不等式的解集是1,2⎛∞-⎫ ⎪⎝⎭.。
2021届河北省大名县第一中学高三(普通班)上学期第一次月考数学(理)试题注意:1.本试卷分第Ⅰ卷(选择题)和第Ⅱ卷(非选择题)两部分,满分150分,时间120分钟.2.每小题选出答案后,用2B铅笔把答题卡上对应题目的答案标号涂黑,如需改动,用橡皮擦干净后,再选涂其他答案标号,在试题卷上作答无效。
第Ⅰ卷一、选择题(本大题共l5小题,每小题4分,共60分。
在每小题给出的四个选项中,只有一项是符合题目要求的。
)1. 设集合,,则()A. B. C. D.【答案】A【解析】,.所以故选A.2. 已知命题对于任意R,总有;“”是“”的充分不必要条件,则下列命题为真命题的是()A. B. C. D.【答案】D【解析】因为命题p对任意x∈R,总有2x>0,根据指数函数的性质判断是真命题;命题q:“x>1”不能推出“x>2”;但是“x>2”能推出“x>1”所以:“x>1”是“x>2”的必要不充分条件,故q是假命题;所以p∧¬q为真命题;本题选择D选项.3. 命题“R,N,使得”的否定形式是()A. R,N,使得B. R,N,使得C. R,N,使得D. R,N,使得【答案】D【解析】因为全称命题的否定为特称命题,特称命题的否定为全称命题,所以命题“R,N,使得”的否定形式是R,N,使得. 故选D.4. 已知函数的定义域为,则函数的定义域为()A. B. C. D.【答案】B【解析】函数的定义域为,则函数中.解得.故函数的定义域为故选B.5. 下列各组函数中,表示同一函数的是()A. B.C. D.【答案】C【解析】∵(x∈R)与(x⩾0)两个函数的定义域不一致,∴A中两个函数不表示同一函数;∵两个函数的对应法则不一致,∴B中两个函数不表示同一函数;∵,且两个函数的定义域均为R∴C中两个函数表示同一函数;f(x)=0,(x=1)两个函数的定义域不一致,∴D中两个函数不表示同一函数;故选C.6. 下列函数中,满足“”的单调递增函数是()A. B. C. D.【答案】D【解析】A.,,,不满足f(x+y)=f(x)f(y),故A错;B.,,,不满足,故B错;C.在R上是单调减函数,故C错。
2015—2016学年第一学期第一次月考 高一数学试题本试卷满分150分,时间为120分钟第I 卷(选择题共60分)一、选择题(共12小题,每小题5分,共60分。
在每小题给出的四个选项中只有一...个.选项符合题意) 1.已知集合{|37},{|210}A x x B x x =≤<=<<,则()R C A B U = ( )A. {|37}x x ≤<B. {|210}x x <<C. {|2,10}x x x ≤≥或D. {|3,7}x x x <≥或 2.函数()131f x x x =-++-的定义域为( )A. {|31}x x -≤≤B. {|1}x x ≤C. {|3}x x ≥-D. {|31}x x x ≤-≥或 3. 设I 是全集,集合M ,N ,P 都是其子集,则下图中的阴影部分表示的集合为( ) A .I I P M (C N I )B .I I N M (C P I ) C .(I M C N I I C M I )D .)()(P M N M I Y I4.下列各组函数中,两个函数相等的一组是( )A .0)(x x f =与1)(=x g B . 1)(-=x x f 与1)(2-=xx x g C . 2)(x x f =与4)()(x x g = D . 2)(x x f =与36)(x x g =5. 函数()f x =21++x ax 在区间()2∞-,+上单调递增,则实数a 的取值范围是( ) A .(0,21) B .(21,+∞) C .()2∞-,+ D .())1(1∞⋃∞-,-,+ 6.已知函数(1),0()(1),0x x x f x x x x +≥⎧=⎨-<⎩.则((1))f f -= ( )A. 6-B. 2C.6D. 2-7. 已知定义域为R 的函数()f x 在区间(5)∞-,上单调递减,对任意实数t ,都有()5)5(f t f t +=-,那么下列式子一定成立的是( )()()( 911)3A f f f .<-< ()()1391()B f f f .<<-()() 1()913C f f f .-<< ()()(1319)D f f f .<-<8. 如果集合2210{|}A x ax x ==++中只有一个元素,则a 的值是 ( ) A .0B .0 或1C .1D .不能确定9. 设32<<=x x A ,a x x B <=,若B A ⊆则a 的取值范围是( ) A.3≥a B. 2≤a C. 3≤a D.2≥a 10.设,32352x y π==+-,集合{}|2,,M m m a b a Q b Q ==+∈∈,那么,x y 与集合M 的关系是( )A 、,x M y M ∈∈B 、,x M y M ∈∉C 、,x M y M ∉∈D 、,x M y M ∉∉11.函数2y ax bx =+与y ax b =+(0)ab ≠的图象只能是( )A B C D12. 已知()f x 在区间()∞∞-,+上是增函数,0a b a b ∈≤R 、且+,则下列不等式中正确的是( )()()()() A f a f b f a f b ≤.+-+ ()()()()B f a f b f a f b ≥.+-+ ()()()()C f a f b f a f b ≤.+-+-()()()()D f a f b f a f b ≥.+-+-第II 卷(非选择题共90分)二、填空题(本大题共4小题,每小题5分,共20分)13. 已知集合{}=0,1,2M ,{}=|2,N x x a a M =∈,则集合M N I = . 14.已知函数()22+-=ax x x f 在()+∞,1上是增函数,则a 的取值范围是15. 函数(3)y x x =--的递增区间为 . 16. 已知含有三个实数的集合既可表示成}1,,{aba ,又可表示成}0,,{2b a a +,则=+20042003b a .三、解答题(本大题共7个小题,写出必要的文字说明,推演步骤和证明过程) 17. (本小题满分10分)如图所示,动物园要建造一面靠墙的2间面积相同的矩形熊猫居室,如果可供建造围墙的材料总长是30m ,那么宽x (单位:m )为多少才能使建造的每间熊猫居室面积最大?每间熊猫居室的最大面积是多少?18.(本小题满分12分) 已知函数21)(xxx f +=.指出该函数在区间(0,1)上的单调性并证明;19.(本小题满分12分)已知函数xx x f ---=713)(的定义域为集合A ,{}102<<∈=x Z x B ,{}1+><∈=a x a x R x C 或(1)求A ,B A C R ⋂)(;(2)若R C A =⋃,求实数a 的取值范围。
20XX年高中测试高中试题试卷科目:年级:考点:监考老师:日期:高一数学试题 20XX.12一、单项选择(共12小题,每小题5分,共60分)1、已知集合{}1,2,3,4A =, {}|,B x x n n A ==∈,则A B ⋂=( ) A. {}1,2 B. {}1,4 C. {}2,3 D. {}9,162、一条直线与两条平行线中的一条为异面直线,则它与另一条( ) A. 相交 B. 异面 C. 相交或异面 D. 平行3、下列命题中正确的是( )A. 用一个平面去截棱锥,底面与截面之间的部分组成的几何体叫棱台B. 平行四边形的直观图是平行四边形C. 有两个面平行,其余各面都是平行四边行的几何体叫棱柱D. 正方形的直观图是正方形4、若直线l m ⊥∥平面,直线,则l m ⊥与a 的位置关系是( )A. l m ⊥∥aB. l m ⊥与a 异面C. l m ⊥与a 相交D. l m ⊥与a 没有公共点5、用一个平面去截正方体,则截面不可能是( )A. 直角三角形B. 等边三角形C. 正方形D. 正六边形 6、已知幂函数()f x 图象过点()3,3,则()9f =( ) A. 3 B. 9 C. -3 D. 17、设,αβ是两个不同的平面, ,l m 是两条不同的直线,且,l m αβ⊂⊂,下列命题正确的是( )A. 若l β⊥,则αβ⊥B. 若αβ⊥,则l m ⊥C. 若//l β,则//αβD. 若//αβ,则//l m 8、如图,是水平放置的的直观图,则的面积是( )A. 6B.C.D. 129、已知圆锥的底面半径为1,且它的侧面开展图是一个半圆,则这个圆锥的体积为( ) A.3π3 B. 3π C. 5π3D. 5π 10、在正四面体中,点分别是的中点,则下列结论错误的是( )A. 异面直线与所成的角为B. 直线与平面垂直C. 直线平面D. 平面垂直平面11、在正方体ABCD -A 1B 1C 1D 1中,E ,F 分别是线段A 1B 1,B 1C 1上的不与端点重合的动点,如果A 1E =B 1F ,有下面四个结论:①EF ⊥AA 1; ②EF ∥AC ; ③EF 与AC 异面; ④EF ∥平面ABCD. 其中一定正确的有( )A. ①②B. ②③C. ②④D. ①④ 12、已知12,x x 是函数()ln x f x e x -=-的两个零点,则( )A.1211x x e<< B.121x x e << C.12112x x e << D.12113x x e<< 二.填空题(共4小题,每小题5分,共20分)13、若函数()121f x x m =-+是奇函数,则实数m =________.14、在正方体1111ABCD A B C D -中,直线1AB 与直线1BD 所成角的大小为_________. 15、已知两条直线和三个平面,给出下面四个命题:①; ②;③;④.其中正确的命题是__________.(请填写所有正确命题的序号)16、已知一个正方体的所有顶点在一个球面上.若球的体积为,则正方体的棱长为.三、解答题(共6小题,第17题10分,第18—22题每题12分,共70分)17、如图,直角满足,,,将沿斜边旋转一周得到一个旋转体,试判断该旋转体的形状,并求这个旋转体的表面积和体积.18、如图,在棱长都相等的正三棱柱中,分别为的中点.(1)求证:平面;(2)求证:平面.19、已知函数.(1)求的定义域;(2)判断的奇偶性并予以证明;(3)求不等式的解集.20、如图,在矩形ABCD中,4AD=,E是CD的中点,以AE为折痕AB=,2将DAED AE⊥平面ABCE.D,且平面'∆向上折起,D变为'(Ⅰ)求证:'⊥;AD EB(Ⅱ)求点E到平面'ABD的距离d.21、已知函数对于一切,都有.(Ⅰ)求证:在R上是奇函数;(Ⅱ)若时,,求证在R上是减函数.22、如图,在底面是矩形的四棱锥中,⊥平面,,是的三等分点,(1)求证:平面;(2)求证:平面⊥平面;(3)求多面体的体积.参考答案一、单项选择1、【答案】A【解析】由题意可得{}{}1,2,3,2,1,2B A B =⋂=,选A. 2、【答案】C【解析】如下图所示,,,a b c 三条直线平行,a 与d 异面,而b 与d 异面,c 与d 相交,故选C.3、【答案】B【解析】分析:根据棱台与棱柱定义可判断A,C 真假,根据直观图的画法可得B,C 真假. 详解:用一个平行于底面的平面去截棱锥,底面与截面之间的部分组成的几何体叫棱台; 平行四边形的直观图是平行四边形;有两个面平行,其余各面都是平行四边行的几何体不一定是棱柱;正方形的直观图是平行四边形,所以正确的是B.点睛:本题考查学生对棱台与棱柱定义,以及直观图的画法的理解,考查学生识别知识能力. 4、【答案】D 【解析】因为直线,所以直线与平面没有交点,因为直线,所以直线与直线也没有交点,故选择D 考点:线与线的位置关系 5、【答案】A【解析】用一个平面去截正方体,则截面的情况为:①截面为三角形时,可以是锐角三角形、等腰三角形、等边三角形,但不可能是钝角三角形、直角三角形;②截面为四边形时,可以是梯形(等腰梯形)、平行四边形、菱形、矩形,但不可能是直角梯形;③截面为五边形时,不可能是正五边形; ④截面为六边形时,可以是正六边形. 故可选A . 6、【答案】A【解析】设幂函数f (x )=x α,把点(3,3)代入得,3α=3,解得α=12, 即f (x )=12x =x ,所以f (9)=9=3,故选A . 7、【答案】A【解析】l α⊂, m β⊂若l β⊥,则αβ⊥.该命题是两个平面垂直的判定定理,显然成立.故选A .两个平面垂直,一个平面内的直线不一定垂直另一个平面,故答案B 错误.依次判断答案C 、D 也是错误的.考点:有关平面与平面、直线与平面的命题判断. 8、【答案】D【解析】由直观图画法规则,可得是一个直角三角形,直角边,,故选D.9、【答案】A【解析】半径为R 的半径卷成一圆锥, 则圆锥的母线长为R , 设圆锥的底面半径为r , 则2ππr R =,即1r =, ∴圆锥的高223h R r -= ∴圆锥的体积13π123π3V =⋅=, 所以A 的选项是正确的.10、【答案】B【解析】如图过作,则为中点,连接,则,平面,故正确;正四面体中,在平面的射影为,则在上,并且为的中心,则直线与平面成的角为,又,即,,故错误;正四面体中,点分别是的中点,平面平面平面,故正确;几何体为正四面体,在底面的射影为底面的中心,平面平面平面平面,故正确,故选B.11、【答案】D【解析】如上图所示.由于AA 1⊥平面A 1B 1C 1D 1,EF ⊂平面A 1B 1C 1D 1,则EF ⊥AA 1,所以①正确; 当E ,F 分别不是线段A 1B 1,B 1C 1的中点时,EF 与AC 异面,所以②不正确;当E ,F 分别是线段A 1B 1,B 1C 1的中点时,EF ∥A 1C 1,又AC ∥A 1C 1,则EF ∥AC ,所以③不正确;由于平面A 1B 1C 1D 1∥平面ABCD ,EF ⊂平面A 1B 1C 1D 1,所以EF ∥平面ABCD ,所以④正确. 综上可得①④正确。
河北省邯郸市大名一中2021-2022高一数学10月月考试题(考试时间:120分钟 试卷满分:150分)一、选择题(共60分,每题5分)1.设集合{|32}M m m =∈-<<Z ,{|13}N n n M N =∈-≤≤⋂=Z ,则 A .{}01,B .{}101-,, C .{}012,,D .{}1012-,,,2.已知函数2,0()(3),0x x f x f x x ⎧≤=⎨->⎩,则(2)f =( )A.32B.12C.16D.1323.设M 为非空的数集,M ⊆{7,8,9,10},且M 中至少含有一个偶数元素,则这样的集合M 共有( )A .12个B .13个C .14个D .15个 4.若集合{}{(1)0,A x x x B y y =+≥==,则A .A=B B .A ⊆BC .A ∪B=RD .B ⊆A5.若函数f (x )=(21)(2)xx x a +-为奇函数,则a 等于( ) A .1 B .2 C .12 D .-126.已知432a =,254b =,1325c =,则( )A.b<a<cB.a<b<cC.b<c<aD.c<a<b7.已知函数()2x xf x ππ--=(其中π是圆周率, 3.1415926π=),则下列结论正确的是( )A.()f x 是偶函数,且()()012f f << B .()f x 是奇函数,且()()012f f << C.()f x 是偶函数,且()()210f f << D .()f x 是奇函数,且()()210f f << 8.已知f (x )是定义在[m ,n]上的奇函数,且f (x )在[m ,n]上的最大值为a ,则函数F (x )=f (x )+3在[m ,n]上的最大值与最小值之和为 ( )A .2a +3B .2a +6C .6-2aD .6[]29.22-2,2xy x =-函数在的图像大致为A. B.C. D.10.已知()f x 是定义在[]2,1b b -+上的偶函数,且在[]2,0b -上为增函数,则(1)(2)f x f x -≤的解集为( )A .21,3⎡⎤-⎢⎥⎣⎦B .11,3⎡⎤-⎢⎥⎣⎦C .[]1,1-D .1,13⎡⎤⎢⎥⎣⎦11.已知函数25,1(),1x ax x f x ax x ⎧---≤⎪=⎨>⎪⎩是R 上的增函数,则a 的取值范围是A .30a -≤≤B . 32a -≤≤-C .2a ≤-D .0a <12.设函数()21,25,2x x f x x x ⎧-⎪=⎨-+>⎪⎩,若互不相等的实数,,a b c 满足()()()f a f b f c ==,则222a b c ++的取值范围是( )A .()16,32 B .()18,34 C .()17,35 D .()6,7二、填空题(共20分,每题5分)13.函数11x y a -=+(0a >,1a ≠)的图象恒过定点P ,则点P 的坐标为__________. 14.若函数()f x _______________15.若集合A ={x|2≤x ≤3},集合B ={x|ax -2=0,a ∈Z},且B ⊆A ,则实数a =________.16.已知函数()f x 是定义在R 上的奇函数,且当0x 时,2()3f x x =,且不等式()24()f x m f x +对任意的[,2]x m m ∈+恒成立,则实数m 的取值范围是_____.三,解答题(共70分)17.(10分)已知集合{|2101}A x m x m =-<<-,{|26}B x x =<<. (1)若4m =,求AB ;(2)若A B ⊆,求m 的取值范围.18.(12分)计算()200.2523711()827()62----(2)已知:11223a a -+=,求12222a a a a --+++-19.(12分)已知函数2()22(0)f x ax ax a a =-++<,若()f x 在区间[]2,3上有最大值1.(1)求a 的值;(2)若()()g x f x mx =-在[2,4]上单调,求数m 的取值范围.[]()2,9x b f x x a +=∈-20.(12分)已知函数( x ),且57(),(3)223f f ==(1)求a,b 的值(2)判断()f x 的单调性,并用定义证明你的结论; (3)求()f x 的最大值和最小值.21.(12分)设函数()f x 的定义域为(﹣3,3),满足()= ()f x f x --,且对任意,x y 都有()()=()f x f y f x y --,当0x <时,()0,(1)2f x f >=-(1)求(2)f 的值;(2)判断()f x 的单调性,并证明;(3)若函数()(1)(32)g x f x f x =-+-,求不等式()0g x ≤的解集22.(12分)已知函数24()(0,1)2x xa a f x a a a a +-=>≠+且是定义在R 上的奇函数.(1)求a 的值;(2)求函数()f x 的值域;(3)当(0,1]x ∈时,()22xt f x ≥-恒成立,求实数t 的取值范围.参考答案1-5 B B A D A 6-10 A BDCB 11-12 BB 13.(12), 14.[]2,2- 15.0或1 16.答案:(,1][2,)-∞-+∞17.(1){}|23x x <<;(2)67m ≤≤或9m ≥. 【详解】(1)由题意,代入m 4=,求得结合{}{}A x 2x 3,B x 2x 6=-<<=<<, 所以{}A B x 2x 3⋂=<<. (2)因为A B ⊆①当A ,2m 10m 1∅=-≥-即,解得m 9≥,此时满足题意. ②A ,2m 10m 1,m 9∅≠-<-<当即且,则210216m m -≥⎧⎨-≤⎩则有6m 7≤≤,综上:6m 7≤≤或m 9≥. 18.(1)4;(3)15【详解】() 1原式3122441223212944=-⨯+-=-+-=;()112233a a-+=;112122()29a a a a --∴+=++=;17a a -∴+=;1222()249a a a a --∴+=++=; 2247a a -∴+=;1222912455a a a a --++∴==+-. 19.(1)-1;(2).【详解】因为函数的图象是抛物线,,所以开口向下,对称轴是直线,所以函数在单调递减,所以当时,,因为,, 所以,,在上单调, ,或. 从而,或所以,m 的取值范围是.20.(1)【详解】(2)()f x 在区间[]29,上是减函数 证明:设1x ,2x 是区间[]29,上的任意两个实数,且12x x <, 2+1x -因为f(x)=1则()()1212221(1)11f x f x x x -=+-+--()()()()()()()21211212212121111x x x x x x x x ----==----由1229x x ≤<≤,得210x x ->,()()12110x x -->, 于是()()120f x f x ->,即()()12f x f x > 所以,函数()21f x x =-是区间[]29,上的减函数 (3)由函数()f x 在区间[]29,上是减函数,所以当2x =时,()f x 取最大值()23f =;当9x =时,()f x 取最小值()594f =.21.(1)-4(2)单调递减(3)(0,2].试题解析:(1)在f(x)-f(y)=f(x-y)中,令x=2,y=1,代入得:f(2)-f(1)=f(1),所以f(2)=2f(1)=-4.(2)f(x)在(-3,3)上单调递减.证明如下:设-3<x1<x2<3,则x1-x2<0,所以f(x1)-f(x2)=f(x1-x2)>0,即f(x1)>f(x2),所以f(x)在(-3,3)上单调递减.(3)由g(x)≤0得f(x-1)+f(3-2x)≤0,所以f(x-1)≤-f(3-2x).又f(x)满足f(-x)=-f(x),所以f(x-1)≤f(2x-3),又f(x)在(-3,3)上单调递减,所以解得0<x≤2,故不等式g(x)≤0的解集是(0,2].22答案(1)2 ;(2);(3).【详解】函数是定义在上的奇函数,,解得.由得,又,,,,函数的值域.由可得,当时,,当时,恒成立,则等价于对时恒成立,令,,即,当时恒成立,即在上的最大值,易知在上单调递增,当时有最大值0,所以,故所求的t范围是:.【点睛】本题考查了奇函数的性质应用,恒成立问题以及转化思想和分离常数法求参数范围,难度较大.不等式恒成立问题常见方法:① 分离参数恒成立(即可)或恒成立(即可);② 数形结合(图象在上方即可);③ 讨论最值或恒成立.。
2020届高一第一次月考数学试卷考试时间 :90分钟一.单项选择题:每题5分,共计40分.1. 已知集合M ={-1,0,1},N ={0,1,2},则M ∪N =( )A .{-1,0,1}B .{-1,0,1,2}C .{-1,0,2}D .{0,1}2.设A 是方程2x 2+ax +2=0的解集,且2∈A ,则实数a 的值为( )A .-5B .-4C .4D .53.不等式(x +1)(x -2)≤0的解集为( )A .{x|-1≤x ≤2}B.{x|-1<x <2} C .{x|x ≥2或x ≤-1} D.{x|x >2或x <-1} 4.集合{y|y =-x 2+6,x ,y ∈N}的真子集的个数是( )A .9B .8C .7D .65.函数y =x 2+2x -1(x>1)的最小值是( ) A .23+2 B .23-2 C .2 3 D .2 6.如图,已知全集U =R ,集合A ={x|x <-1或x >4},B ={x|-2≤x ≤3},那么阴影部分表示的集合为( )A .{x|-2≤x <4}B .{x|x ≤3或x ≥4}C .{x|-2≤x ≤-1}D .{x|-1≤x ≤3}7.若-1<α<β<1,则下列各式中恒成立的是( )A .-2<α-β<0B.-2<α-β<-1 C .-1<α-β<0D.-1<α-β<18.已知正实数a ,b 满足a +b =3,则11+a +44+b的最小值为( ) A .1B.78C.98D.2二.多项选择题:全部选对得5分,部分选对得3分,有选错的得0分。
共计20分9.(多选)下列说法错误的是( )A .在直角坐标平面内,第一、三象限的点的集合为{(x ,y )|xy >0}B .方程x -2+|y +2|=0的解集为{-2,2}C .集合{(x ,y )|y =1-x }与{x |y =1-x }是相等的D .若A ={x ∈Z|-1≤x ≤1},则-1.1∈A10.(多选)满足M ⊆{a 1,a 2,a 3,a 4},且M ∩{a 1,a 2,a 3}={a 1,a 2}的集合M 可能是( )A .{a 1,a 2}B .{a 1,a 2,a 3}C .{a 1,a 2,a 4}D .{a 1,a 2,a 3,a 4}11.(多选)下列结论中正确的是( )A .“x 2>4”是“x <-2”的必要不充分条件B .在△ABC 中,“AB 2+AC 2=BC 2”是“△ABC 为直角三角形”的充要条件C .若a ,b ∈R ,则“a 2+b 2≠0”是“a ,b 不全为0”的充要条件D .“x 为无理数”是“x 2为无理数”的必要不充分条件12.(多选)二次不等式ax 2+bx +1>0的解集为⎩⎨⎧⎭⎬⎫x ⎪⎪⎪ -1<x <12,则下列结论成立的是( )A .a 2+b 2=5B.a +b =-3 C .ab =-2 D.ab =2三.每题5分,共计20分。
13.已知M ={x ∈R|x ≥22},a =π,有下列四个式子:①a ∈M ;②{a}⊆M ;③a ⊆M ;④{a}∈M ,其中正确的是________.14.若命题p :∃x ∈R ,x 2-4x +a =0为假命题,则实数a 的取值范围是________,p 的否定是________________.15.已知0,0>>y x ,若m m yx x y 2822+≥+恒成立,则实数m 的取值范围是 . 16.已知1≤a -b ≤2,2≤a +b ≤4,则4a -2b 的取值范围是________.四.解答题:17题10分,其余各题12分。
17. 设全集U =R ,已知集合A ={x|0<x +1≤4},B ={x|0≤x -1<5}.(1)求A ∩B ,A ∪B ;(2)求∁R (A ∩B),∁R (A ∪B)..18.若集合A ={x|x >-2},B ={x|x ≤b ,b ∈R},试写出:(1)A ∪B =R 的一个充要条件;(2)A ∪B =R 的一个必要不充分条件;(3)A ∪B =R 的一个充分不必要条件.19.已知关于x 的不等式2kx 2+kx -38<0.(1)若不等式的解集为⎩⎨⎧⎭⎬⎫x ⎪⎪⎪ -32<x <1,求实数k 的值; (2)若不等式的解集为R ,求实数k 的取值范围.20.已知x>0,y>0,且2x+8y-xy=0,求:(1)xy 的最小值.(2)x+y 的最小值21.设全集U =R ,集合A ={x|-5<x <4},集合B ={x|x <-6或x >1},集合C ={x|x -m <0},求实数m 的取值范围,使其同时满足下列两个条件.①C ⊇(A ∩B);②C ⊇(∁U A)∩(∁U B).22.某建筑公司用8 000万元购得一块空地,计划在该地块上建筑一栋至少12层,每层4 000平方米的楼房.经初步估计得知,如果将楼房建为x(x ≥12)层,则每平方米的平均建筑费用为s =3 000+50x(单位:元).为了使楼房每平方米的平均综合费用最少,该楼房应建为多少层?每平方米的平均综合费用的最小值是多少?注:平均综合费用=平均建筑费用+平均购地费用,平均购地费用=购地总费用建筑总面积高一第一次月考数学试卷一.单项选择题:每题5分,共计40分.1. 已知集合M={-1,0,1},N={0,1,2},则M∪N=( )A.{-1,0,1} B.{-1,0,1,2}C.{-1,0,2} D.{0,1}答案:B2.设A是方程2x2+ax+2=0的解集,且2∈A,则实数a的值为( )A.-5 B.-4C.4 D.5答案:A3.不等式(x+1)(x-2)≤0的解集为( )A.{x|-1≤x≤2} B.{x|-1<x<2}C.{x|x≥2或x≤-1} D.{x|x>2或x<-1}解析:选A 根据二次函数y=(x+1)(x-2)的图象(图略)可知,不等式的解是-1≤x≤2,故选A.4.集合{y|y=-x2+6,x,y∈N}的真子集的个数是( )A.9 B.8C .7D .6解析:选C 当x =0时,y =6,当x =1时,y =5,当x =2时,y =2,当x =3,y =-3.所以{y |y =-x 2+6,x ,y ∈N}={2,5,6},共3个元素,故其真子集的个数为23-1=7.5.函数y =x 2+2x -1(x >1)的最小值是( ) A .23+2 B .23-2 C .2 3 D .2解析:由y =x 2+2x -1=x 2-1+3x -1=(x +1)+3x -1=(x -1)+3x -1+2≥23+2. 等号成立的条件是x =1+3. 答案:A6.如图,已知全集U =R ,集合A ={x |x <-1或x >4},B ={x |-2≤x ≤3},那么阴影部分表示的集合为( )A .{x |-2≤x <4}B .{x |x ≤3或x ≥4}C .{x |-2≤x ≤-1}D .{x |-1≤x ≤3}解析:选D 由题意得,阴影部分所表示的集合为(∁U A )∩B ={x |-1≤x ≤4}∩{x |-2≤x ≤3}={x |-1≤x ≤3}.7.若-1<α<β<1,则下列各式中恒成立的是( )A .-2<α-β<0 B.-2<α-β<-1C .-1<α-β<0 D.-1<α-β<1解析:选A ∵-1<β<1,∴-1<-β<1.又-1<α<1,∴-2<α+(-β)<2,又α<β,∴α-β<0,即-2<α-β<0.故选A.8.已知正实数a ,b 满足a +b =3,则11+a +44+b 的最小值为( )A .1 B.78C.98D.2解析:选C ∵a +b =3,∴(1+a )+(4+b )=8.∴11+a +44+b =18[(1+a )+(4+b )]·⎝ ⎛⎭⎪⎫11+a +44+b =18⎣⎢⎡⎦⎥⎤5+4+b 1+a +4(1+a )4+b ≥18×⎣⎢⎢⎡⎦⎥⎥⎤5+24+b 1+a ·4(1+a )4+b =18×(5+4)=98,当且仅当a =53,b =43时,等号成立.故选C.二.多项选择题:全部选对得5分,部分选对得3分,有选错的得0分。
共计20分9.(多选)下列说法错误的是( )A .在直角坐标平面内,第一、三象限的点的集合为{(x ,y )|xy >0}B .方程x -2+|y +2|=0的解集为{-2,2}C .集合{(x ,y )|y =1-x }与{x |y =1-x }是相等的D .若A ={x ∈Z|-1≤x ≤1},则-1.1∈A答案:BCD10.(多选)满足M ⊆{a 1,a 2,a 3,a 4},且M ∩{a 1,a 2,a 3}={a 1,a 2}的集合M 可能是() A .{a 1,a 2} B .{a 1,a 2,a 3}C .{a 1,a 2,a 4}D .{a 1,a 2,a 3,a 4}答案:AC11.(多选)下列结论中正确的是( ) A .“x 2>4”是“x <-2”的必要不充分条件B .在△ABC 中,“AB 2+AC 2=BC 2”是“△ABC 为直角三角形”的充要条件C .若a ,b ∈R ,则“a 2+b 2≠0”是“a ,b 不全为0”的充要条件D .“x 为无理数”是“x 2为无理数”的必要不充分条件解析:选ACD x <-2⇒x 2>4,但x 2>4⇔x >2或x <-2,不一定有x <-2.故A 正确. AB 2+AC 2=BC 2⇒△ABC 为直角三角形,反之,若△ABC 为直角三角形,当B ,C 为直角时,不能推出AB 2+AC 2=BC 2,故B 错误.a 2+b 2≠0⇒a ,b 不全为0,反之,由a ,b 不全为0⇒a 2+b 2≠0,故C 正确. 当x 2为无理数时,x 为无理数,反之不成立,故D 正确.故选A 、C 、D.12. (多选)二次不等式ax 2+bx +1>0的解集为⎩⎨⎧⎭⎬⎫x ⎪⎪⎪ -1<x <12,则下列结论成立的是( )A .a 2+b 2=5B.a +b =-3 C .ab =-2D.ab =2 解析:选ABD 由题意,-1,12是方程ax 2+bx +1=0的根.由根与系数的关系,得⎩⎪⎨⎪⎧ -b a =-1+12,1a =-1×12,解得⎩⎪⎨⎪⎧a =-2,b =-1.∴ab =2,a +b =-3,a 2+b 2=5.故A 、B 、D 正确. 三.每题5分,共计20分。
13.已知M ={x ∈R|x ≥22},a =π,有下列四个式子:①a ∈M ;②{a }⊆M ;③a ⊆M ;④{a }∈M ,其中正确的是________.解析:π>22,根据符号“∈”与“⊆”的意义,易知①②正确,③④不正确.答案:①②14.若命题p :∃x ∈R ,x 2-4x +a =0为假命题,则实数a 的取值范围是________,p 的否定是________________.解析:若命题p 为假命题,则綈p :∀x ∈R ,x 2-4a +a ≠0为真命题,则Δ=(-4)2-4a <0,解得a >4.答案:{a |a >4} ∀x ∈R ,x 2-4x +a ≠015.已知0,0>>y x ,若m m yx x y 2822+≥+恒成立,则实数m 的取值范围是 . 【答案】. 【解析】因为0,0>>y x ,所以由基本不等式知,882282=⋅≥+y x x y y x x y ,当且仅当y x x y 82=即 x y 2=等号成立.问题m m y x x y 2822+≥+恒成立转化为m m y x x y 2822min +≥⎪⎪⎭⎫ ⎝⎛+,即m m 282+≥,由一元二次不等式解法知,42m -<<.16.已知1≤a -b ≤2,2≤a +b ≤4,求4a -2b 的取值范围令4a -2b =m (a -b )+n (a +b )=(m +n )a +(n -m )b ,则⎩⎪⎨⎪⎧ m +n =4,n -m =-2,解得⎩⎪⎨⎪⎧n =1,m =3. 所以5≤4a -2b ≤10.17. 解:(1)∵A ∪B ={x |-1<x <6},A ∩B ={x |1≤x ≤3},(2)∁R (A ∪B )={x |x ≤-1或x ≥6},∁R (A ∩B )={x |x <1或x >3}.18.若集合A ={x |x >-2},B ={x |x ≤b ,b ∈R},试写出:(1)A ∪B =R 的一个充要条件;(2)A ∪B =R 的一个必要不充分条件;(3)A ∪B =R 的一个充分不必要条件.解:集合A ={x |x >-2},B ={x |x ≤b ,b ∈R},(1)若A ∪B =R ,则b ≥-2,故A ∪B =R 的一个充要条件是b ≥-2.(2)由(1)知A ∪B =R 的充要条件是b ≥-2,所以A ∪B =R 的一个必要不充分条件可以是b ≥-3.(3)由(1)知A ∪B =R 的充要条件是b ≥-2,所以A ∪B =R 的一个充分不必要条件可以是b ≥-1.19.已知关于x 的不等式2kx 2+kx -38<0.(1)若不等式的解集为⎩⎨⎧⎭⎬⎫x ⎪⎪⎪ -32<x <1,求实数k 的值;(2)若不等式的解集为R ,求实数k 的取值范围.解:(1)若关于x 的不等式2kx 2+kx -38<0的解集为⎩⎨⎧⎭⎬⎫x ⎪⎪⎪-32<x <1,则-32和1是2kx 2+kx -38=0的两个实数根,由根与系数的关系可得-32×1=-382k ,求得k =18.(2)当k =0时,不等式等价于-38<0,显然成立.当k ≠0时,不等式等价于⎩⎪⎨⎪⎧ 2k <0,Δ=k 2+3k <0,解得-3<k<0.综上可得实数k的取值范围为-3<k≤0.20.已知x>0,y>0,且2x+8y-xy=0,求:(1)xy的最小值.(2)x+y的最小值.【解析】因为x>0,y>0,2x+8y-xy=0,(1)xy=2x+8y≥2,当且仅当2x=8y时取等号.所以≥8,所以xy≥64.故xy的最小值为64.(2)由2x+8y=xy,得:+=1,所以x+y=(x+y)·1=(x+y)=10++≥10+8=18,当且仅当x=2y时取等号.故x+y的最小值为1821.设全集U=R,集合A={x|-5<x<4},集合B={x|x<-6或x>1},集合C={x|x-m<0},求实数m的取值范围,使其同时满足下列两个条件.①C⊇(A∩B);②C⊇(∁U A)∩(∁U B).解:因为A={x|-5<x<4},B={x|x<-6或x>1},所以A∩B={x|1<x<4}.又∁U A={x|x≤-5或x≥4},∁U B={x|-6≤x≤1},所以(∁U A)∩(∁U B)={x|-6≤x≤-5}.而C={x|x<m},因为当C⊇(A∩B)时,m≥4,当C⊇(∁U A)∩(∁U B)时,m>-5,所以m≥4.即实数m的取值范围为{m|m≥4}.22.某建筑公司用8 000万元购得一块空地,计划在该地块上建筑一栋至少12层,每层4 000平方米的楼房.经初步估计得知,如果将楼房建为x(x≥12)层,则每平方米的平均建筑费用为s=3 000+50x(单位:元).为了使楼房每平方米的平均综合费用最少,该楼房应建为多少层?每平方米的平均综合费用的最小值是多少?注:平均综合费用=平均建筑费用+平均购地费用,平均购地费用=购地总费用建筑总面积[解] 设楼房每平方米的平均综合费用为y 元.依题意得y =s +8 000×10 0004 000x =50x +20 000x+3 000(x ≥12,x ∈N *). 因为y =50x +20 000x +3 000≥2× 50x ·20 000x+3 000=5 000, 当且仅当50x =20 000x,即x =20时取等号, 所以当x =20时,y 取得最小值5 000.所以为了使楼房每平方米的平均综合费用最少,该楼房应建为20层,每平方米的平均综合费用的最小值为5 000元.。