代数式经典培优试题汇编
- 格式:doc
- 大小:27.50 KB
- 文档页数:7
代数式真题汇编含答案解析一、选择题1.若(x+1)(x+n)=x2+mx﹣2,则m的值为()A.﹣1 B.1 C.﹣2 D.2【答案】A【解析】【分析】先将(x+1)(x+n)展开得出一个关于x的多项式,再将它与x2+mx-2作比较,即可分别求得m,n的值.【详解】解:∵(x+1)(x+n)=x2+(1+n)x+n,∴x2+(1+n)x+n=x2+mx-2,∴12n m n+=⎧⎨=-⎩,∴m=-1,n=-2.故选A.【点睛】本题考查了多项式乘多项式的法则以及类比法在解题中的运用.2.观察等式:2+22=23-2;2+22+23=24-2;2+22+23+24=25-2;已知按一定规律排列的一组数:250、251、252、、299、2100,若250=a,用含a的式子表示这组数的和是()A.2a2-2a B.2a2-2a-2 C.2a2-a D.2a2+a【答案】C【解析】【分析】由等式:2+22=23-2;2+22+23=24-2;2+22+23+24=25-2,得出规律:2+22+23+…+2n=2n+1-2,那么250+251+252+…+299+2100=(2+22+23+…+2100)-(2+22+23+…+249),将规律代入计算即可.【详解】解:∵2+22=23-2;2+22+23=24-2;2+22+23+24=25-2;…∴2+22+23+…+2n=2n+1-2,∴250+251+252+…+299+2100=(2+22+23+...+2100)-(2+22+23+ (249)=(2101-2)-(250-2)=2101-250,∴2101=(250)2•2=2a 2,∴原式=2a 2-a .故选:C .【点睛】本题是一道找规律的题目,要求学生通过观察,分析、归纳发现其中的规律,并应用发现的规律解决问题.解决本题的难点在于得出规律:2+22+23+…+2n =2n+1-2.3.下列各式中,运算正确的是( )A .632a a a ÷=B .325()a a =C .=D =【答案】D【解析】【分析】利用同底数幂的除法、幂的乘方、二次根式的加法和二次根式的除法法则计算.【详解】解:A 、a 6÷a 3=a 3,故不对;B 、(a 3)2=a 6,故不对;C 、和不是同类二次根式,因而不能合并;D 、符合二次根式的除法法则,正确.故选D .4.下列运算正确的是( ).A .()2222x y x xy y -=--B .224a a a +=C .226a a a ⋅=D .()2224xy x y = 【答案】D【解析】【分析】直接利用合并同类项法则以及积的乘方法则、同底数幂的乘法法则、完全平方公式分别化简求出答案.【详解】解:A.、()2222x y x xy y -=-+,故本选项错误;B.、2222a a a +=,故本选项错误;C.、224a a a ⋅=,故本选项错误;D 、 ()2224xy x y =,故本选项正确;【点睛】本题主要考查合并同类项、积的乘方、同底数幂的乘法、完全平方公式,熟练掌握相关的计算法则是解题的关键.5.下列运算正确的是( )A .232235x y xy x y +=B .()323626ab a b -=-C .()22239a b a b +=+D .()()22339a b a b a b +-=- 【答案】D【解析】【分析】根据合并同类项的法则、积的乘方,完全平方公式以及平方差公式分别化简即可.【详解】A .22x y 和3xy 不是同类项,不能合并,故该选项计算错误,不符合题意;B .()323628ab a b -=-,故该选项计算错误,不符合题意;C .()222396a b a ab b +=++,故该选项计算错误,不符合题意;D .()()22339a b a b a b +-=-,故该选项计算正确,符合题意. 故选D .【点睛】本题主要考查了合并同类项、幂的运算性质以及乘法公式,熟练掌握相关公式及运算法则是解答本题的关键.6.将正整数按如图所示的规律排列下去,若有序实数对(n ,m )表示第n 排,从左到右第m 个数,如(4,2)表示9,则表示58的有序数对是( )A .(11,3)B .(3,11)C .(11,9)D .(9,11) 【答案】A【解析】 试题分析:根据排列规律可知从1开始,第N 排排N 个数,呈蛇形顺序接力,第1排1个数;第2排2个数;第3排3个数;第4排4个数根据此规律即可得出结论.解:根据图中所揭示的规律可知,1+2+3+4+5+6+7+8+9+10=55,所以58在第11排;偶数排从左到右由大到小,奇数排从左到右由小到大,所以58应该在11排的从左到右第3个数.故选A .考点:坐标确定位置.7.观察下列图形:( )它们是按一定规律排列的,依照此规律,那么第7个图形中共有五角星的个数为( ) A .20B .21C .22D .23【答案】C【解析】【分析】设第n 个图形共有a n (n 为正整数)个五角星,根据各图形中五角星个数的变化可找出变化规律“a n =3n +1(n 为正整数)”,再代入n =7即可得出结论.【详解】解:设第n 个图形共有a n (n 为正整数)个五角星,∵a 1=4=3×1+1,a 2=7=3×2+1,a 3=10=3×3+1,a 4=13=3×4+1,…,∴a n =3n +1(n 为正整数),∴a 7=3×7+1=22.故选:C .【点睛】本题考查了规律型:图形的变化类,根据各图形中五角星个数的变化,找出变化规律“a n =3n +1(n 为正整数)”是解题的关键.8.下列运算正确的是 ( )A .()236a a a -⋅=-B .632a a a ÷=C .()2222a a =D .()326a a =【答案】D【解析】【分析】 根据幂的乘方与积的乘方的运算法则和同底数幂的乘除法运算法则对各选项进行计算,最后进一步判断即可.【详解】A :()523a a a -⋅=-,计算错误;B :633a a a ÷=,计算错误;C :()2224a a =,计算错误;D :()326a a =,计算正确;故选:D.【点睛】比特主要考查了幂的乘方与积的乘方的运算和同底数幂的运算,熟练掌握相关运算法则是解题关键.9.计算3x 2﹣x 2的结果是( )A .2B .2x 2C .2xD .4x 2【答案】B【解析】【分析】根据合并同类项的法则进行计算即可得.【详解】3x 2﹣x 2=(3-1)x 2=2x 2,故选B .【点睛】本题考查合并同类项,解题的关键是熟练掌握合并同类项法则.10.把三角形按如图所示的规律拼图案,其中第①个图案中有4个三角形,第②个图案中有6个三角形,第③个图案中有8个三角形,…,按此规律排列下去,则第⑦个图案中三角形的个数为( )A .12B .14C .16D .18【答案】C【解析】【分析】观察第1个、第2个、第3个图案中的三角形个数,从而可得到第n 个图案中三角形的个数为2(n+1),由此即可得.【详解】∵第1个图案中的三角形个数为:2+2=4=2×(1+1);第2个图案中的三角形个数为:2+2+2=6=2×(2+1);第3个图案中的三角形个数为:2+2+2+2=8=2×(3+1);……∴第n 个图案中有三角形个数为:2(n+1)∴第7个图案中的三角形个数为:2×(7+1)=16,故选C.【点睛】本题考查图形的变化规律,找出图形之间的联系,得出数字之间的运算规律,从而计算出正确结果是解题的关键.11.若(x+4)(x﹣1)=x2+px+q,则()A.p=﹣3,q=﹣4 B.p=5,q=4C.p=﹣5,q=4 D.p=3,q=﹣4【答案】D【解析】【分析】根据整式的运算法则即可求出答案.【详解】解:∵(x+4)(x﹣1)=x2+3x﹣4∴p=3,q=﹣4故选:D.【点睛】考查整式的运算,解题的关键是熟练运用整式的运算法则.12.如果(x2+px+q)(x2-5x+7)的展开式中不含x2与x3项,那么p与q的值是() A.p=5,q=18 B.p=-5,q=18C.p=-5,q=-18 D.p=5,q=-18【答案】A【解析】试题解析:∵(x2+px+q)(x2-5x+7)=x4+(p-5)x3+(7-5p+q)x2+(7-5q)x+7q,又∵展开式中不含x2与x3项,∴p-5=0,7-5p+q=0,解得p=5,q=18.故选A.13.填在下面各正方形中的四个数之间都有相同的规律,根据这种规律,m的值应是()A.110 B.158 C.168 D.178【答案】B【解析】根据排列规律,10下面的数是12,10右面的数是14,∵8=2×4−0,22=4×6−2,44=6×8−4,∴m=12×14−10=158.故选C.14.5. 某企业今年3月份产值为万元,4月份比3月份减少了10%,5月份比4月份增加了15%,则5月份的产值是( )A .(-10%)(+15%)万元B .(1-10%)(1+15%)万元C .(-10%+15%)万元D .(1-10%+15%)万元【答案】B【解析】列代数式.据3月份的产值是a 万元,用a 把4月份的产值表示出来a (1-10%),从而得出5月份产值列出式子a 1-10%)(1+15%).故选B .15.下列计算正确的是( )A .2571a a a -÷=B .()222a b a b +=+C .2222+=D .()235a a =【答案】A【解析】 分析:直接利用完全平方公式以及二次根式加减运算法则和幂的乘方运算法则分别计算得出答案.详解:A 、2571a a a-÷=,正确; B 、(a+b )2=a 2+2ab+b 2,故此选项错误;C 、2,无法计算,故此选项错误;D 、(a 3)2=a 6,故此选项错误;故选:A .点睛:此题主要考查了完全平方公式以及二次根式加减运算和幂的乘方运算,正确掌握相关运算法则是解题关键.16.下列运算正确的是( )A .2352x x x +=B .()-=g 23524x x xC .()222x y x y +=-D .3223x y x y xy ÷=【答案】B【解析】【分析】A 不是同类项,不能合并,B 、D 运用单项式之间的乘法和除法计算即可,C 运用了完全平方公式.【详解】A 、应为x 2+x 3=(1+x )x 2;B 、(-2x )2•x 3=4x 5,正确;C 、应为(x+y )2= x 2+2xy+y 2;D 、应为x 3y 2÷x 2y 3=xy -1.故选:B .【点睛】本题考查合并同类项,同底数幂的乘法,完全平方公式,单项式除单项式,熟练掌握运算法则和性质是解题的关键.17.已知x=2y+3,则代数式9-8y+4x 的值是( )A .3B .21C .5D .-15【答案】B【解析】【分析】直接将已知变形进而代入原式求出答案.【详解】解:∵x=2y+3∴x-2y=3∴98494(2y x y x -+=--⨯)=9-4(-3)=21故选:B【点睛】此题主要考查了整式的加减以及代数式求值,正确将原式变形是解题关键.18.下面的图形都是由同样大小的棋子按照一定的规律组成,其中第①个图形有1颗棋子,第②个图形有6颗棋子,第③个图形有15颗棋子,第④个图中有28颗棋子,…,则第6个图形中棋子的颗数为( )A .63B .64C .65D .66【答案】D【解析】【分析】 根据图形中棋子的个数找到规律,从而利用规律解题.【详解】解:∵通过观察可以发现:第1个图形中棋子的个数为()11211=⨯⨯-;第2个图形中棋子的个数为()62221=⨯⨯-;第3个图形中棋子的个数为()153231=⨯⨯-;第4个图形中棋子的个数为()284241=⨯⨯-;L L第n 个图形中棋子的个数为()21n n -∴第6个图形中棋子的个数为()626166⨯⨯-=.故选:D【点睛】本题考查了图形变化规律的问题,能找出第n 个图形棋子的个数的表达式是解题的关键.19.下列计算正确的是()A .4482a a a +=B .236a a a •=C .4312()a a =D .623a a a ÷=【答案】C【解析】【分析】根据合并同类项、同底数幂的乘除法公式、幂的乘方公式逐项判断,即可求解.【详解】A 、4442a a a +=,故错误;B 、235a a a •=,故错误;C 、4312()a a =,正确;D 、624a a a ÷=,故错误;故答案为:C.【点睛】本题考查了整式的运算,解题的关键是熟练掌握合并同类项的运算法则、同底数幂的乘除法公式、幂的乘方公式.20.通过计算大正方形的面积,可以验证的公式是( )A.B.C.D.【答案】C【解析】【分析】根据大正方形的面积=3个小正方形的面积+6个矩形的面积,分别计算长结果,即可得答案.【详解】∵大正方形的面积=3个小正方形的面积+6个矩形的面积,∴(a+b+c)2=a2+b2+c2+2ab+2bc+2ac,故选C.【点睛】本题考查了完全平方公式的几何背景,明确大正方形的面积=3个小正方形的面积+6个矩形的面积是解题关键.。
四、整式的加减4.1代数式例1.用代数式表示:比a、b两数和的3倍还多2的数.1.“甲数为x,乙数为y,用甲数的3倍与乙数的差去除甲数与乙数2倍的和”用代数式表示为_______.1 2.某市出租车收费标准是:起步价7元,当路程超过4千米时,超出部分每千米收费1.5元,如果某出租车行驶p(p>4)千米,则司机应收费______元.3.体育委员小金带了500元钱去买体育用品,已知一个足球x元,一个篮球y元.则代数500-3x-2y表示的实际意义是_____________________________________________4.若在数列“△,△,△,△,7,△,△,△,47”中,每个△都代表一个数,而且从第三项起,每个数都等于前面两个数之和,求数列中全部9个数之和.例2 一组数据为:x,−2x2,4x3,−8x4,…观察其规律,推断第n个数据应为_________________.5.若a、b、c分别表示一个三位数的百、十、个位上的数字,且a≤b≤c,求|a-b|+|b-c|+|c-a|可能取得的最大值.6.已知学生x人,每10人为一组,其中有两组各少1人,则学生共有_____组.24.2 单项式 例1−2π2x 2y3是系数为_______的_________次单项式.1.指出下列各单项式的系数和次数:−2xy 23, -mx, 3πx 22, 710xy z 2, 27.2下列说法错误的是( ). A.单项式a 的系数和次数都是1 B.数字1是单项式C .−xy3是系数为−13的二次单项式 D .2a 是单项式3.如果12a 2b (2k-1)是5次单项式,那么实数k 的值为__________.例2 已知am+2b3与56x 5y 2n−3都是八次单项式,求(1m +1n )2(m+n )2的值.4.系数是1,含有并且只有字母a 、b 、c 的七次单项式共有多少个?5.已知m 、n 都为正整数,−a2b m c n2是六次单项式,求m 、n 的值.6下面每个表格中的四个数都是按相同规律填写的:根据此规律确定x 的值为( ).A.135B.170C.209D.25234.3 多项式例1 在代数式5x,−x +13,π,3x 2-x-2,-ab,3x 2y 8,12x 3+x 2中,单项式有______________________________,多项式有_________________________________.1.在代数式−13, 0, 5x 2-8x+1, -ab,x +y 3, 12x +7,1x +y ,87x中,单项式有______________________________,多项式有_________________________________.2.多项式x 3-3x 2y+3xy 3+y 3是___________次__________项式.3.单项式−53x 2y 3与多项式23x y m +2x −3的次数相同,求m 的值,并指出多项式的一项.例2 已知关于x,y 的多项式x 8y −x m y 2+x 3y 4是按x 降幂排列的,求整数m 的值.4.若a 、b 在数轴上所对应的点到原点的距离分别为2、4.试确定关于x 的多项式 5x a-1-x 3a+b -3x 13-2b 是几次几项式.5.如果关于x 的多项式ax 4+4x 2−12与3x b +5x 是同次多项式,求12b 3-2b 2+ 3b-4的值.6.有一个多项式为x 8-x 7y+x 6y 2-x 5y 3+…,按这种规律写下去,请你写出它的第7项和最后一项,这个多项式是几次几项式?44.4 同类项例1 已知32a n b 10与-a 6b 2m 是同类项,求5m ×20n +102m+1的值.1.在代数式-2x 2,3,52x,x 2y,−32yx ,-7中,是同类项的有______________.2.如果2x a+1y 与x 2y b-1是同类项,那么ab 的值是( ).A .12 B .32 C.1 D.33.已知a =2,b =3,则( ).A.ax 3y 2与bm 3n 2是同类项B. ax a y 3与bx 3y 3是同类项C.bx 2a+1y 4与ax 5y b+1是同类项D.5m 2b n 5a 与6n 2b m 5a 是同类项例2 若2010x n+7和1996x 2m+3是同类项,则(2m −n )2=____________________.4.若关于a 、b 的代数式a 2m-1与a 5b m+n 是同类项,那么(mn+5)2018等于( ). A.0 B.1 C.-1 D.520185.若76x 2a y 与−47x 4y |b+1|是同类项,求a+b 的值.6.若-3a |m|cd 与2c ⅆa m3是同类项,则m 的取值范围是( ).A.m >0B.m <0C.m >0或m =0D.m <0或m =054.5 合并同类项例1 若2x 2−3x +m 与−x 2+mx +2的和中不存在含x 的项,试求m 的值,写出他们的和,并说明不论x 为何值,它的值总为正实数.1.合并同类项:−53xy 3+2x 3y −12x 2y-xy 3−12x 2y-x 3y.2.若单项式38x 5m+2n+2y 3与−23x 6y 3m-2n-1的和仍是一个单项式,则m+n =_________________.3.已知A 、B 都是五次多项式,根据下列要求,直接写出多项式A 、B. (要求:每小题中的A 、B 各写出一个即可) (1)A-B 为常数;(2)A-B 仍是五次的多项式;(3)A-B 是次数低于五次的整式,但不是常数;(4)根据以上你举的例子,用一句话概括“两个五次多项式的差的特征”.例2 多项式5x 2−2mxy −3y 2+4xy −3x +1中不含xy 的项,求−m 3+2m 2−m +12的值.4.化简:(a-b)2m -(b-a)2m-1-(b-a)2m -(a-b)2m-1(m 为正整数)的结果是________________.5已知关于x 、y 的多项式6mx 2+4nxy+2x+2xy-x 2+y+4不含二次项,求6m-2n+2的值.6.已知两个多项式A 和B, A =nx n+4+x 3-n -x 3+x-3, B =3x n+4-x 4+x 3+nx 2-2x-1,试判断是否存在整数n,使得A-B 为五次六项式.64.6 化简求值例1 求多项式的值:a 2−3ab +5+2b 2−3a 2+2ab −2b 2,其中a =−2,b =4.1.求多项式的值:6.5a 5-0.98a 7+1.5a 5-1.02a 7,其中a =2.2.合并同类项并求值:5(x-y)2-(x-y)-8(x-y)2-3(x-y),其中x =y-1.3.求多项式的值:5ab −12a 3b 2−94ab +52a 3b 2+54ab-a 3b 2,其中a =-2,b =5.例2 若整式y 2+y+3的值为7,则整式2y 2+2y-3的值为__________________.4.已知y =ax 5+bx 3+cx-1,且当x =-2时,y =5.那么,当x =2时,y 的值是__________________.5.如果对于某一特定范围内x 的任意允许值,P =|1-2x|+|1-3x|+|1-4x|+…+|1-9x|+|1-10x|的值恒为一常数,试求出这个常数.6.一列自然数0,1,2,3,…,100.依次将该列数中的每一个数平方后除以100,得到一列新数.则下列结论正确的是( ).A.原数与对应新数的差不可能等于零B.原数与对应新数的差,随着原数的增大而增大C.当原数与对应新数的差等于21时,原数等于30D.当原数取50时,原数与对应新数的差最大74.7 去括号例1 先去括号,再合并同类项:5a 2-[a 2+(5a 2-2a)-2(a 2-3a)].1.化简:(4x-2y)-[5x-(8y-2x-x-y)]+x.2.先去括号,再合并同类项:-(3x-2y+z)-[5x-(x-2y+z)-3x].3.先化简,再求值:12x 2y −[32x 2y-2(3xyx-x 2z)-4x 2z]-3xyx,其中x =-1,y =-3,z =12.例2 已知多项式(2ax 2−x 2+3x +2)−(5x 2−4x 2+3x )的值与x 无关,求2a 3−[3a 2+(4a −5)+a ]的值.4.若a+b >0,b+c >0,c+d >0,d+a <0,则下列代数式中最大的是( ). A.(a+b)-[(c+d)+(b+c)-(d+a)] B.(c+d)-[(a+b)-(d+a)+(b+c)] C.(a+b)-[(b+c)-(c+d)+(d+a)] D.(c+d)+[(a+b)-(b+c)+(d+a)]5.嘉淇准备完成题目:化简(□x 2+6x+8)-(6x+5x 2+2).但他发现系数□印刷不清楚. (1)他把“□”猜成3,请你化简:(3x 2+6x+8)-(6x+5x 2+2);(2)他妈妈说:“你猜错了,我看到该题标准答案的结果是常数.”通过计算说明原题中“□”是几?86. 若a+b+c =0,求a(1b +1c )+b(1c +1a )+c(1a +1b)+3的值.4.8整式的加减(一)例1 已知A =3x 3−2x +1,B =3x 2+2x −1,C =2x 3+1,求A −B −C .1.化简求值:13(-3ax 2-ax+3)-(-ax 2-12ax-1),其中a =-2,x =3.2. 若一个多项式减去12ab-3b 2的差是a 2+ab+b 2,求这个多项式.3.解决问题.一张长方形桌子可坐6人,按如图方式将桌子拼在一起.(1)2张桌子拼在一起可坐_____人,3张桌子拼在一起可坐______人,…,n 张桌子拼在一起可坐_____人.(2)一家餐厅有40张这样的长方形桌子,按照上图方式每5张桌子拼成1张大桌子,则40张桌子可拼成8张大桌子,共可坐_____人.例2 已知多项式A=2x2+3xy−2x−1,B=−x2−xy−1,且3A+6B的值与x无关,求y的值.4.若m=x3-3x2y+2xy2+3y2,n=x3-2x2y+xy2-5y2,则2x3-7x2y+ 5xy2+14y2等于().A.m-nB.n+2mC.m+nD.3m-n9 5.已知A=2x3-xyz,B=y3-z2+xyz,C=-x3+2y2-xyz,且(x+1)2+ |y-1|+|z|=0,求A-[2B-3(C-A)]的值.6.若3x2-2x+b与x2+bx-1的和中不存在含x的项,试求b的值,写出它们的和,并说明不论x取什么值,它的值总是正数.4.9整式的加减(二)例1 先化简再求代数式的值:9x-{103-[4x-(8y-2x)-10y]+2x}.其中x8.y=-1.1.求下列式子的值:2(a3-3a2+2a-1)-3(2a3+2a2-4a-5),其中a=2.102.先化简,再求值:−12a −2(a −12b 2)-(32a −13b 2),其中a =-2,b =23.3.化简:-[y 2-(-x 2+3xy −12y 2)]-[(−12x 2+4xy −32y 2)+(12xy-x 2)].例2 有这样一道题:“当a =2,b =−2”时,求多项式3a 3b 3−12a 2b +b −(4a 3b 3−14a 2b −b 2)+(a 3b 3+14a 2b)−2b 2+3的值.甲同学做题时把a =2错抄成a =−2,乙同学没抄错题,但他们作出的结果却都一样,你知道这是怎么回事吗?4. 先化简,再求值:2(m 2n +12mn 2-(5m 2n-2mn 2)-3(mn 2-2m 2n),其中(m+1)2+|n −13|=0.5.把(x-3)2-2(x-3)-5(x-3)2+(x-3)中的(x-3)看成一个因式合并同类项,结果应是( ). A.-4(x-3)2+(x-3) B.4(x-3)2-x(x-3) C.4(x-3)2-(x-3) D.-4(x-3)2-(x-3)6.已知x 2+xy =a,y 2-xy =b,用含a 、b 的式子表示x 2-3xy+4y 2.114.10 专题七:整数的多项式表示法例1 一个三位数的个位数是3,若把个位数字移作百位数字,把原百位数字移作十位数字,原十位数字移作个位数字,则所构成的新数比原数少171,求原来的数是几?1.若有一个六位数1abcde ̅̅̅̅̅̅̅̅̅̅,乘以3后变成abcde1̅̅̅̅̅̅̅̅̅̅,则这个六位数是_____________-____.2.一个四位数,等于抹去它的首位数字后,剩下的三位数的3倍减去42,这个四位数是_______.3.有一个同学他没弄懂a n 的意义,把2x 9y 看成是四位数2x9y̅̅̅̅̅̅̅,说来也巧,结果完全正确,试求x 、y 的值.例2 一个四位数在它的左边写上400后是整数的平方,求这样的四位数.12 4.有一个四位数,已知其十位数字减去2等于个位数字,其个位数字加上2等于其百位数字,把这个四位数的四个数字反着次序排列所成的数与原数之和等于9988,求这个四位数.5.在一种室内游戏中,魔术师要求一个参加者想好一个三位数abc̅̅̅̅̅.然后,魔术师要求他再记下五个数acb̅̅̅̅̅、bca̅̅̅̅̅、bac̅̅̅̅̅、cab̅̅̅̅̅、cba̅̅̅̅̅,并把它们加起来,求出和N,只要讲出N的大小,魔术师就能识别出原数abc̅̅̅̅̅是什么.如果N=3194,试求abc̅̅̅̅̅.6.圆上有9个数码,已知从某一位起把这些数码按顺时针方向记下,得到的是一个9位数并且能被27整除.证明:如果从任何一位起把这些数码按顺时针方向记下的话,那么所得的一个9位数也能被27整除.13 四、整式的加减4.1代数式例1.用代数式表示:比a、b两数和的3倍还多2的数. 3(a+b)+21.“甲数为x,乙数为y,用甲数的3倍与乙数的差去除甲数与乙数2倍的和”用代数式表示为x+2y3x−y..2.某市出租车收费标准是:起步价7元,当路程超过4千米时,超出部分每千米收费1.5元,如果某出租车行驶p(p>4)千米,则司机应收费7+1.5(p-4)元.3.体育委员小金带了500元钱去买体育用品,已知一个足球x元,一个篮球y元.则代数500-3x-2y表示的实际意义是体育委员买了3个足球、2个篮球后剩余的经费.4.若在数列“△,△,△,△,7,△,△,△,47”中,每个△都代表一个数,而且从第三项起,每个数都等于前面两个数之和,求数列中全部9个数之和. 122.提示:设开头两数为x、y,则9个数为x,y,x+y,x+2y,2x+3y=7,3x+5y,5x+8y,8x+13y,13x+21y=47.由上述关系可得:x=2,y=1,故9个数之和为34x+54y=122.例2 一组数据为:x,−2x2,4x3,−8x4,…观察其规律,推断第n个数据应为(−2)n−1x n.5.若a、b、c分别表示一个三位数的百、十、个位上的数字,且a≤b≤c,求|a-b|+|b-c|+|c-a|可能取得的最大值.166.已知学生x人,每10人为一组,其中有两组各少1人,则学生共有x+210组.4.2 单项式例1 −2π2x2y3是系数为−23π2的3次单项式.1.指出下列各单项式的系数和次数:−2xy23, -mx,3πx22, 710xy z2, 27.−2xy23的系数是−23,次数是3;-mx的系数是-1,次数是2;3πx22的系数是3π2,次数是2;710xyz2的系数是710,次数是4;27的系数是27,次数是0.2.下列说法错误的是(D).A.单项式a的系数和次数都是1B.数字1是单项式C.−xy3是系数为−13的二次单项式D.2a是单项式3.如果12a2b(2k-1)是5次单项式,那么实数k的值为2.例2 已知a m+2b3与56x5y2n−3都是八次单项式,求(1m+1n)2(m+n)2的值.由题意可得,m+2+3=8,则m=3;5+2n−3=8,则n=3.当m=3,n=3时,(1m+1n)2(m+n)2=(13+13)2(3+3)2=1814.系数是1,含有并且只有字母a、b、c的七次单项式共有多少个?15个5.已知m、n都为正整数,−a2b m c n2是六次单项式,求m、n的值.146下面每个表格中的四个数都是按相同规律填写的:根据此规律确定x 的值为( C ).A.135B.170C.209D.252左上依次为1,2,3,4,…;左下依次为2,3,4,5,…;右上依次为4,6,8,10,…;而右下各数依次“右下=(左下+1)(右上-1)“计算所得的结果.图中x 处在第九个田字格中,所以a =9,b =10,故 x =(10+1)(20-1)=209.4.3 多项式例1 在代数式5x,−x +13,π,3x 2-x-2,-ab,3x 2y 8,12x 3+x 2中,单项式有5x,π,-ab,3x 28,多项式有−x +13,3x 2-x-2,12x 3+x 2.1.在代数式−13, 0, 5x 2-8x+1, -ab, x +y3, 12x +7,1x +y ,87x中, 单项式有−13,0,-ab ,多项式有5x 2-8x+1,x +y 3,12x +7.2.多项式x 3-3x 2y+3xy 3+y 3是四次四项式.3.单项式−53x 2y 3与多项式23x y m +2x −3的次数相同,求m 的值,并指出多项式的一项.因为单项式−53x 2y 3的次数为5,所以多项式23x y m+2x −3的次数也是5,则m+1=5,m =4,故多项式为23xy 4+2x-3,共有三项,分别为:23xy 4,2x,-3.例2 已知关于x,y 的多项式x 8y −x m y 2+x 3y 4是按x 降幂排列的,求整数m 的值.3≤m ≤8,又因为m 是整数,则m 的值为3,4,5,6,7,8.4.若a 、b 在数轴上所对应的点到原点的距离分别为2、4.试确定关于x 的多项式 5x a-1-x 3a+b -3x 13-2b 是几次几项式. 十次三项式或二十一次三项式.提示:由题意可知,a-1>0,a =2,b =4或b =-4;所以,当a =2,b =4时,5x-x 10-3x 5是关于x 的十次三项式;当a =2,b =-4时,5x-x 2-3x 21是关于x 的二十一次三项式.5.如果关于x 的多项式ax 4+4x 2−12与3x b +5x 是同次多项式,求12b 3-2b 2+ 3b-4的值.-2或8.由题意知,若a =0,则b =2;若a ≠0,则b =4.当b =2时,12b 3-2b 2+3b −4=12×8−2×4+3×2−4=−2;当b =4时,12b 3-2b 2+3b−4=12×64−2×16+3×4−4=8.6.有一个多项式为x 8-x 7y+x 6y 2-x 5y 3+…,按这种规律写下去,请你写出它的第7项和最后一项,这个多项式是几次几项式?这个多项式的第7项是x 2y 6,最后一项是y 8.这个多项式是八次九项式4.4 同类项例1 已知32a n b 10与-a 6b 2m 是同类项,求5m ×20n +102m+1的值.n=6,m=5.原式=3×1011.1.在代数式-2x 2,3,52x,x 2y,−32yx ,-7中,是同类项的有3和-7.15 2.如果2x a+1y与x2y b-1是同类项,那么ab的值是(A).A.12B.32C.1D.3因为2x a+1y与x2y b-1是同类项,所以a+1=2,b-1=1,解得a=1,b=2.所以ab=12.故选:A.3.已知a=2,b=3,则(C).A.ax3y2与bm3n2是同类项B. ax a y3与bx3y3是同类项C.bx2a+1y4与ax5y b+1是同类项D.5m2b n5a与6n2b m5a是同类项例2 若2010x n+7和1996x2m+3是同类项,则(2m−n)2=16.n+7=2m+3,得2m−n=4.整体代入得(2m−n)2=16.4.若关于a、b的代数式a2m-1与a5b m+n是同类项,那么(mn+5)2018等于(B).A.0B.1C.-1D.52018由题意知,2m-1=5,m+n=1,所以,m=3,n=-2,故(mn+5)2018=(-6+5)2018=1.5.若76x2a y与−47x4y|b+1|是同类项,求a+b的值.0或26.若-3a|m|cd与2cⅆa m3是同类项,则m的取值范围是(C).A.m>0B.m<0C.m>0或m=0D.m<0或m=04.5 合并同类项例1 若2x2−3x+m与−x2+mx+2的和中不存在含x的项,试求m的值,写出他们的和,并说明不论x为何值,它的值总为正实数.2x2−3x+m+(−x2+mx+2)=x2+(m−3)x+m+2,由于其中不含有存在x的项,所以m−3=0,即m=3,此时的和为x2+5.因为不论x为何实数,x2总是非负的,所以x2+5的值总是正实数.1.合并同类项:−53xy3+2x3y−12x2y-xy3−12x2y-x3y.原式=x3y-x2y−83xy3.2.若单项式38x5m+2n+2y3与−23x6y3m-2n-1的和仍是一个单项式,则m+n=12.提示:因为单项式38x5m+2n+2y3y3与−23x6y3m-2n-1的和仍是一个单项式,为同类项,即{5m+2n=43m−2n=4,解得m=1,将m=1代入可求得n=−12,m+n=12.3.已知A、B都是五次多项式,根据下列要求,直接写出多项式A、B.(要求:每小题中的A、B各写出一个即可)(1)A-B为常数;(2)A-B仍是五次的多项式;(3)A-B是次数低于五次的整式,但不是常数;(4)根据以上你举的例子,用一句话概括“两个五次多项式的差的特征”.(1)A可以是x5+3x+5,B可以是x5+3x-8;(2)A可以是x5+3x+5,B可以是-2x5+3x-8;(3)A可以是x5+3x+5,B可以是x5+2x2-3x-8;(结果是单项式但不是常数也可以)(4)两个五次多项式的差是一个次数不高于5次的整式.(说明:本题的答案不唯一,只符合要求即可)例2 多项式5x2−2mxy−3y2+4xy−3x+1中不含xy的项,求−m3+2m2−m+12的值.m=2,原式=−32.4.化简:(a-b)2m-(b-a)2m-1-(b-a)2m-(a-b)2m-1(m为正整数)的结果是0.16 5已知关于x、y的多项式6mx2+4nxy+2x+2xy-x2+y+4不含二次项,求6m-2n+2的值.4提示:因为多项式6mx2+4nxy+2x+2xy-x2+y+4=(6m-1)x2+(4n+2)xy+2x+y+4不含二次项,即二次项系数为0,所以6m-1=0,4n+2=0,所以m=16,n=−12,故6m-2n+2=4.6.已知两个多项式A和B,A=nx n+4+x3-n-x3+x-3,B=3x n+4-x4+x3+nx2-2x-1,试判断是否存在整数n,使得A-B为五次六项式.-2.提示:A-B=(n-3)x n+4+x3-n+x4-2x3-nx2+3x-2.当n+4=5,即n=1时,A-B=-2x5+x4-2x3+3x-2,而它是五次五项式,不合题意.当3-n=5,即n=-2时,A-B=-5x2+x5+x4-2x3+2x2+3x-2=x5+x4-2x3-3x2+3x-2.符合题意,因此存在n=-2,使得A-B为五次六项式.4.6 化简求值例1 求多项式的值:a2−3ab+5+2b2−3a2+2ab−2b2,其中a=−2,b=4.原式=−2a2−ab+5.代入求得原式=5.1.求多项式的值:6.5a5-0.98a7+1.5a5-1.02a7,其中a=2. 0原式=8a5-2a7=0.2.合并同类项并求值:5(x-y)2-(x-y)-8(x-y)2-3(x-y),其中x=y-1.原式=-3(x-y)2-4(x-y).当x=y-1时,x-y=-1,原式=-3×(-1)2-4×(-1)=1.3.求多项式的值:5ab−12a3b2−94ab+52a3b2+54ab-a3b2,其中a=-2,b=5.-240.提示:原式=a3b2+4ab=-240.例2 若整式y2+y+3的值为7,则整式2y2+2y-3的值为5.4.已知y=ax5+bx3+cx-1,且当x=-2时,y=5.那么,当x=2时,y的值是-7.5.如果对于某一特定范围内x的任意允许值,P=|1-2x|+|1-3x|+|1-4x|+…+|1-9x|+|1-10x|的值恒为一常数,试求出这个常数. 3提示:因为代数式中绝对值内含x的项的和为-2x-3x-…-10x=-54x,而8x+9x+10x=27x,所以当x≤17时,P=|1-2x|+|1-3x|+|1-4x|+…+|1-9x|+|1-10x|=(1-2x)+(1-3x)+…+(1-7x)-(1-8x)-(1-9x)-(1-10x)=6-3=3.6.一列自然数0,1,2,3,…,100.依次将该列数中的每一个数平方后除以100,得到一列新数.则下列结论正确的是(D).A.原数与对应新数的差不可能等于零B.原数与对应新数的差,随着原数的增大而增大C.当原数与对应新数的差等于21时,原数等于30D.当原数取50时,原数与对应新数的差最大提示:设原数为a,则新数为1100a2,设新数与原数的差为y则y=a−1100a2=−1100a2+a.易得,当a=0时,y=0,则A错误.因为−1100<0所以当a=−12×(−1100)=50时,y有最大值.B错误,D正确.当y=21时,−1100a2+a=21解得a1=30,a2=70,则C错误.故选:D.17 4.7 去括号例1 先去括号,再合并同类项:5a2-[a2+(5a2-2a)-2(a2-3a)].原式=a2−4a.1.化简:(4x-2y)-[5x-(8y-2x-x-y)]+x.5y-3x.提示:原式=4x-2y-[5x-(7y-3x)]+x=4x-2y-(5x-7y+3x)+x=4x-2y-(8x-7y)+x=4x-2y-8x+7y+x=5y-3x.2.先去括号,再合并同类项:-(3x-2y+z)-[5x-(x-2y+z)-3x].-4x.提示:-(3x-2y+z)-[5x-(x-2y+z)-3x]=-3x+2y-z-5x+x-2y+z+3x=-4x.3.先化简,再求值:12x2y−[32x2y-2(3xyx-x2z)-4x2z]-3xyx,其中x=-1,y=-3,z=12.提示:12x2y−[32x2y-2(3xyx-x2x)-4x2x]-3xyx=12x2y−32x2y+2(3xyz-x2x)+4x2x-3xyx =-x2y+6xyx-2x2x+4x2x-3xyx=-x2y+2x2z+3xyz.当x=-1,y=-3,z=12时,-x2y+2x2x+3xyz=(-1)2×(-3)+2×(-1)2×1/2+3×(-1)×(-3)×1/2 =3+1+92=172.例2 已知多项式(2ax2−x2+3x+2)−(5x2−4x2+3x)的值与x无关,求2a3−[3a2+(4a−5)+a]的值.a=1. 原式=-1.4.若a+b>0,b+c>0,c+d>0,d+a<0,则下列代数式中最大的是(C).A.(a+b)-[(c+d)+(b+c)-(d+a)]B.(c+d)-[(a+b)-(d+a)+(b+c)]C.(a+b)-[(b+c)-(c+d)+(d+a)]D.(c+d)+[(a+b)-(b+c)+(d+a)]5.嘉淇准备完成题目:化简(□x2+6x+8)-(6x+5x2+2).但他发现系数□印刷不清楚.(1)他把“□”猜成3,请你化简:(3x2+6x+8)-(6x+5x2+2);(2)他妈妈说:“你猜错了,我看到该题标准答案的结果是常数.”通过计算说明原题中“□”是几?(1)(3x2+6x+8)-(6x+5x2+2)=3x2+6x+8-6x-5x2-2=-2x2+6;(2)设□“是a,则原式=(ax2+6x+8)-(6x+5x2+2)=ax2+6x+8-6x-5x2-2=(a-5)x2+6.因为标准答案的结果是常数,所以a-5=0,解得:a=5.6. 若a+b+c=0,求a(1b+1c)+b(1c+1a)+c(1a+1b)+3的值.0提示:原式=ab+ac+bc+ba+ca+cb+aa+bb+cc=a+b+ca+a+b+cb+a+b+cc=(a+b+c)(1a+1b+1c),因为a+b+c=0,所以原式=0.4.8整式的加减(一)例1 已知A=3x3−2x+1,B=3x2+2x−1,C=2x3+1,求A−B−C.解析整式加减的实质就是去括号和合并同类项,计算结果一般按某一字母的降或升幂排列.原式=(3x3-2x+1)-(3x2+2x-1)-(2x3+1)=3x3-2x+1-3x2-2x+1-2x3-1 =x3-3x2-4x+1.18 1.化简求值:13(-3ax2-ax+3)-(-ax2-12ax-1),其中a=-2,x=3. 1.原式=-ax2−13ax+1+ax2+12ax+1=16ax+2,当a=-2,x=3时,16ax+2=16×(-2)×3+2=1.2. 若一个多项式减去12ab-3b2的差是a2+ab+b2,求这个多项式.a2+32ab-2b2.由题意得:(12ab-3b2)+(a2+ab+b2)=12ab-3b2+a2+ab+b2=a2+32ab-2b2.3.解决问题.一张长方形桌子可坐6人,按如图方式将桌子拼在一起.(1)2张桌子拼在一起可坐8人,3张桌子拼在一起可坐10人,…,n张桌子拼在一起可坐(4+2n)人.(2)一家餐厅有40张这样的长方形桌子,按照上图方式每5张桌子拼成1张大桌子,则40张桌子可拼成8张大桌子,共可坐112人.因为5张桌子拼在一起,40张可拼40÷5=8(张)大桌子,再利用字母公式,得出40张大桌子共坐8×(4+ 2×5)=112(人).例2 已知多项式A=2x2+3xy−2x−1,B=−x2−xy−1,且3A+6B的值与x无关,求y的值.3y−6=0,y=2.4.若m=x3-3x2y+2xy2+3y2,n=x3-2x2y+xy2-5y2,则2x3-7x2y+ 5xy2+14y2等于(D).A.m-nB.n+2mC.m+nD.3m-n5.已知A=2x3-xyz,B=y3-z2+xyz,C=-x3+2y2-xyz,且(x+1)2+ |y-1|+|z|=0,求A-[2B-3(C-A)]的值.11提示:由题意(x+1)2+|y-1|+|z|=0,可得:x=-1,y=1,z=0,故A=-2,B=1,C=3;则原式=-2A-2B+3C=11.6.若3x2-2x+b与x2+bx-1的和中不存在含x的项,试求b的值,写出它们的和,并说明不论x取什么值,它的值总是正数.(3x2-2x+b)+(x2+bx-1)=3x2-2x+b+x2+bx-1=4x2+(b-2)x+b-1,由于和中不存在含x的项,故有b-2=0,即b=2,此时的和为4x2+1.因为不论x取什么值,x2总是非负的,所以4x2+1的值总是正数.4.9整式的加减(二)例1 先化简再求代数式的值:9x-{103-[4x-(8y-2x)-10y]+2x}.其中x8.y=-1.解析当代数式中含有多重括号时,一般可从“内”向“外”逐层去掉括号并合并同项;也可以从“外”向“内”逐层去掉括号,最后合并同类项.9x-(103-[4x-(8y-2x)-10y]+2x} =9x-{103-[4x-8y+2x-10y]+2x} =9x-{103-6x+18y+2x} =9x-103+4x-18y =13x-18y-103.当x=8,y=-1时,原式=13×8-18×(-1)-103=19.1.求下列式子的值:2(a3-3a2+2a-1)-3(2a3+2a2-4a-5),其中a=2. -35.原式=2a3-6a2+4a-2-6a3-6a2+12a+15=-4a3-12a2+16a+13,当a=2时,原式=-4×8-12×4+32+13=-35.2.先化简,再求值:−12a−2(a−12b2)-(32a−13b2),其中a=-2,b=23.81627.原式=−4a+43b2;当a=-2,b=23时,原式=81627.19 3.化简:-[y2-(-x2+3xy−12y2)]-[(−12x2+4xy−32y2)+(12xy-x2)].12x2−32xy.原式=-y2+(-x2+3xy−12y2)-(−12x2+4xy−32y2)-(12xy-x2)=-y2-x2+3xy−12y2+12x2−4xy+32y2−12xy+x2=12x2−32xy.例2 有这样一道题:“当a=2,b=−2”时,求多项式3a3b3−12a2b+b−(4a3b3−14a2b−b2)+(a3b3+14a2b)−2b2+3的值.甲同学做题时把a=2错抄成a=−2,乙同学没抄错题,但他们作出的结果却都一样,你知道这是怎么回事吗?化简后得b−b2+3,因为它不含字母a,所以代数式的值与a无关.4. 先化简,再求值:2(m2n+12mn2-(5m2n-2mn2)-3(mn2-2m2n),其中(m+1)2+|n−13|=0.1因为(m+1)2+|n−13|=0,所以m+1=0,n−13=0,即m=-1,n=13.2(m2n+12mn2)-(5m2n-2mnn2)-3(mm2-2m2n)=2m2n+mn2-5m2n+2mn2-3mn2+6m2n=3m2n.又因为m=-1,n=13,所以,原式=3×(-1)2×13=1.5.把(x-3)2-2(x-3)-5(x-3)2+(x-3)中的(x-3)看成一个因式合并同类项,结果应是(D).A.-4(x-3)2+(x-3)B.4(x-3)2-x(x-3)C.4(x-3)2-(x-3)D.-4(x-3)2-(x-3)6.已知x2+xy=a,y2-xy=b,用含a、b的式子表示x2-3xy+4y2.x2-3xy+4y2=x2+xy-4xy+4y2=(x2+xy)+4(y2-xy),将x2+xy=a,y2-xy=b代入上式,得x2-3xy+4y2=a+4b.4.10 专题七:整数的多项式表示法例2一个三位数的个位数是3,若把个位数字移作百位数字,把原百位数字移作十位数字,原十位数字移作个位数字,则所构成的新数比原数少171,求原来的数是几?解:设原来数为ab3̅̅̅̅̅,则新数为3ab̅̅̅̅̅.由题意可得:ab3̅̅̅̅̅-3ab̅̅̅̅̅=171,整理得,10a+b=52,b=52-10a,且1≤a≤9,0≤b≤9,则a=5,b=2.所以,原来的三位数是523.1.若有一个六位数1abcde̅̅̅̅̅̅̅̅̅̅,乘以3后变成abcde1̅̅̅̅̅̅̅̅̅̅,则这个六位数是142 857.提示:设abcde̅̅̅̅̅̅̅̅=x,则3(100000+x)=10x+1,解得x=42857.2.一个四位数,等于抹去它的首位数字后,剩下的三位数的3倍减去42,这个四位数是1521.提示:设四位数为1000×x+y,得1000x+y=3y-42.即500x=y-21,因为100<y<1000,所以x=1,y=521,故所求的四位数为1521.3.有一个同学他没弄懂a n的意义,把2x9y看成是四位数2x9y̅̅̅̅̅̅̅,说来也巧,结果完全正确,试求x、y的值.因为2x9y是偶数,知y为偶数且只可能为2或4.当y=2时,2x·81=2x92̅̅̅̅̅̅̅,所以x=5;当y=4时,94=6561不可能.所以x=5,y=2.例2 一个四位数在它的左边写上400后是整数的平方,求这样的四位数.解:设所求的四位数是abcd̅̅̅̅̅̅̅,由题意可得400abcd̅̅̅̅̅̅̅̅̅̅̅̅=20lm̅̅̅̅̅̅̅2,0≤l≤9,0≤m≤9,且l,m为整数,即400×104+abcd̅̅̅̅̅̅̅=(20×102+10l+m)2,所以abcd̅̅̅̅̅̅̅=4000(10l+m)+(10l+m)2,∴1=0,m=1或2.20 4.有一个四位数,已知其十位数字减去2等于个位数字,其个位数字加上2等于其百位数字,把这个四位数的四个数字反着次序排列所成的数与原数之和等于9988,求这个四位数. 1997.提示:设所求的四位数为a×103+b×102+c×10+d,依题意得:(a×103+b×102+c×10+d)+(d×103+c×102+b×10+a)=9988,所以(a+d)×103+(b+c)×102+(b+c)×10+(a+d)=9988.比较等式两边首、末两位数字,得a+d=8,于是b+c=18,又因为c-2=d,d+2=b,所以b-c=0,从而解得:a=1,b=9,c=9,d=7,故所求的四位数为1997.5.在一种室内游戏中,魔术师要求一个参加者想好一个三位数abc̅̅̅̅̅.然后,魔术师要求他再记下五个数acb̅̅̅̅̅、bca̅̅̅̅̅、bac̅̅̅̅̅、cab̅̅̅̅̅、cba̅̅̅̅̅,并把它们加起来,求出和N,只要讲出N的大小,魔术师就能识别出原数abc̅̅̅̅̅是什么.如果N=3194,试求abc̅̅̅̅̅.abc̅̅̅̅̅=358.提示:因为acb̅̅̅̅̅+bac̅̅̅̅̅+bca̅̅̅̅̅+cab̅̅̅̅̅+cba̅̅̅̅̅+abc̅̅̅̅̅=N+abc̅̅̅̅̅, ①则100(2a+2b+2c)+10(2a+2b+2c)+(2a+2b+2c)=3194+abc̅̅̅̅̅.222(a+b+c)=222×14+86+abc̅̅̅̅̅, ②所以,86+abc̅̅̅̅̅能被222整除.于是设86+abc̅̅̅̅̅=222n,即abc̅̅̅̅̅=222n-86,abc̅̅̅̅̅为三位数,由题意,n依次可取1、2、3、4,可得abc̅̅̅̅̅为136, 358、580、802,回头观察②式,不难发现,其中隐含着222(a+b+c)>222×14,即a+b+c>14,故可确定abc̅̅̅̅̅=358.6.圆上有9个数码,已知从某一位起把这些数码按顺时针方向记下,得到的是一个9位数并且能被27整除.证明:如果从任何一位起把这些数码按顺时针方向记下的话,那么所得的一个9位数也能被27整除.设从某一位起按顺时针方向记下的9位数为:a1a2a3⋯a9̅̅̅̅̅̅̅̅̅̅̅̅̅̅̅̅,依题意得:a1a2a3⋯a9̅̅̅̅̅̅̅̅̅̅̅̅̅̅̅̅,=a1×108+a2×107+…+a8×10+a9能被27整除.为了证明题目结论,只要证明从其相邻一位读起的数:a2a3a4⋯a9a1̅̅̅̅̅̅̅̅̅̅̅̅̅̅̅̅̅̅̅,也能被27整除即可.因为a2a3a4⋯a9a1̅̅̅̅̅̅̅̅̅̅̅̅̅̅̅̅̅̅̅=a2×108+a3×107+…+a9×10+a1,则10·a1a2a3⋯a9̅̅̅̅̅̅̅̅̅̅̅̅̅̅̅̅−a2a3a4⋯a9a1̅̅̅̅̅̅̅̅̅̅̅̅̅̅̅̅̅̅̅=10(a1×108+a2×107+…+a8×10+a9)-(a2×108+a3×107+…+a9×10+a1)=a1×109+a2×108+a3×107++a9×10-(a2×108+a3×107+…+a9×10+a1)=a1×109-a1=(109-1)a1=(10003-1)a1.因为10003-1=(1000-1)(10002+1000+1)=999(10002+1000+1),而999能被27整除,所以10003- 1也能被27整除.因此,a2a3a4⋯a9a1̅̅̅̅̅̅̅̅̅̅̅̅̅̅̅̅̅̅̅,能被27整除.从而问题得证.。
一、初一数学代数式解答题压轴题精选(难)1.某超市在十一长假期间对顾客实行优惠,规定如下:________元:小明妈妈一次性购300元的衣服,她实际付款________元:如果他们两人合作付款,则能少付________元. (2)小芳奶奶在该超市一次性购物x元生活用品,当x大于或等于500时,她们实际付款________元(用含x的式子表示,写最简结果)(3)如果小芳奶奶两次购物货款合计900元,第一次购物的货款为a元(200<a<300),两次购物小芳奶奶实际付款多少元?(用含a的式子表示)(4)如何能更省钱,请给出一些建议.【答案】(1)190;280;10(2)(0.8x+60)(3)解:100+0.9(a-100)+100+0.9×(500-100)+0.8(900-a-500)=(0.1a+790)元. 答:两次购物小芳奶奶实际付款(0.1a+790)元。
(4)解:一次性购物能更省钱。
【解析】【解答】(1)解:小明的爷爷一次性购200元的保健食品,他实际付款100+0.9×(200-100)=190元:小明妈妈一次性购300元的衣服,她实际付款100+0.9×(300-100)=280元:如果他们两人合作付款,则能少付190+280-[100+0.9×(200+300-100)]=10元.故答案为:190;280;10( 2 )解:小芳奶奶在该超市一次性购物x元生活用品,当x大于或等于500时,她们实际付款100+360+0.8(x-500)=(0.8x+60)元.故答案为:(0.8x+60)【分析】(1)根据优惠办法"少于100元不予优惠,超过100元但低于500元,超过100元部分给予九折优惠"可球得实际付款;(2)由"少于100元不予优惠,超过100元但低于500元,超过100元部分给予九折优惠,超过500元的,超过500元部分给予八折优惠"可列出代数式;(3)分别求出两次购物小芳奶奶实际付款的钱数,相加即可求解;(4)通过计算可知一次性购物能更省钱.2.请观察图形,并探究和解决下列问题:(1)在第n个图形中,每一横行共有________个正方形,每一竖列共有________个正方形;(2)在铺设第n个图形时,共有________个正方形;(3)某工人需用黑白两种木板按图铺设地面,如果每块黑板成本为8元,每块白木板成本6元,铺设当n=5的图形时,共需花多少钱购买木板?【答案】(1)(n+3);(n+2)(2)(n+2)(n+3)(3)解:当n=5时,有白木板5×(5+1)=30块,黑木板7×8-30=26块,共需花费26×8+30×6=388(元).【解析】【解答】⑴第n个图形的木板的每行有(n+3)个,每列有n+2个,故答案为:(n+3)、(n+2);⑵所用木板的总块数(n+2)(n+3),故答案为:(n+2)(n+3);【分析】本题主要考查的是探索图形规律,并根据所找到的规律求值;根据所给图形找出正方形个数的规律是解决问题的关键.3.某服装厂生产一种夹克和T恤,夹克每件定价100元,T恤每件定价60元.厂方在开展促销活动期间,向客户提供两种优惠方案:① 买一件夹克送一件T恤;② 夹克和T恤都按定价的80%付款.现某客户要到该服装厂购买夹克30件,T恤x件(x >30).(1)若该客户按方案①购买,夹克需付款________元,T恤需付款________元(用含x的式子表示);若该客户按方案②购买,夹克需付款________元,T恤需付款________元(用含x的式子表示);(2)若x=40,通过计算说明按方案①、方案②哪种方案购买较为合算?(3)若两种优惠方案可同时使用,当x=40时,你能给出一种更为省钱的购买方案吗?试写出你的购买方案,并说明理由.【答案】(1)3000;;2400;(2)解:当x=40时,方案①3000+60(40-30)=3600元方案②2400+48×40=4320元因为3600<4320,所以按方案①合算(3)解:先买30套夹克,此时T恤共有30件,剩下的10件的T恤用方案②购买,此时10件的T恤费用为:10×60×0.8=480,∴此时共花费了:3000+480=3480<3600 所以按方案①买30套夹克和T恤,再按方案②买10件夹克和T恤更省钱【解析】【解答】解:(1)方案①:夹克的费用:30×100=3000元,T恤的费用为:60(x-30)元;方案②:夹克的费用:30×100×0.8=2400元,T恤的费用为:60×0.8x=48x元;故答案为:(1)3000,60(x-30),2400,48x;【分析】(1)夹克每件定价100元,T恤每件定价60元根据向客户提供两种优惠方案,分别列式计算可求解。
七年级上册第三章整式的加减3.3.1 单项式一.选择题(共10小题,3*10=30) 1.下列式子中不是单项式的是( ) A .ab B. 12ab C.1x D .-52.在0,a 2,2a ,a +b2,-mn 2,x ,ab +1中,单项式有( ) A .2个 B .4个 C .6个 D .7个 3.下列说法正确的是( )A. m 3和3m 都是单项式 B .单项式-πx 2的系数是-1,次数是3 C .-23是三次单项式 D .a 和1都是单项式 4.下列说法正确的是( )A .0不是单项式B .单项式2x 3y 的系数是2,次数是3C .单项式a 的系数和次数都是1D .23x 2是五次单项式 5.下列各式中,是四次单项式的为( ) A .4xy B .x 4y C .-x 2yz D .x 4+y 4 6.下列说法错误的是( )A .-32x 2y 5的系数是-95 B .πx 是二次单项式 C.23πab 的系数是23π D .-52m 2n 37是五次单项式 7.若单项式-35x 2y n 是五次单项式,则n 的值为( ) A .1 B .2 C .3 D .48.下列各组单项式中,次数相同的是( )A .3ab 与-4xy 2B .3π与aC .-13x 2y 2与xy D .a 3与xy 29.如果单项式-xy m z n 和5a 4b n 都是五次单项式,那么m ,n 的值分别为( ) A .m =2,n =3 B .m =3,n =2 C .m =4,n =1 D .m =3,n =1 10.七(1)班学生共有学生m 人,女生人数是男生人数的35,则男生人数为( ) A. 58m B. 38m C. 35m D. 25m二.填空题(共8小题,3*8=24)11.单项式-2ab 2c 43的系数是_______,次数是_______. 12.如果单项式-4x 3y 4与单项式12x 2y 2n-1的次数相同,那么n 的值为________.13.如果-(m -1)xy n 是关于x ,y 的单项式,且其系数为2,次数为3,则m =____,n =___.14.一列单项式:-x2,3x3,-5x4,7x5,……按此规律,则第7个单项式为:_________. 15.请你按单项式次数和系数的正负性将下列各式分类.①12ab 2;②-x 3y 2;③3a 2b 3;④-2xyz ;⑤8a 2bc 2;⑥53ab 2.按单项式的次数分为:__________与_______________ (只填序号). 16. 同时含有字母a ,b ,c 且系数为1的五次单项式有_______个.17. 三个单项式:①πx ;②-12xy ;③-103x 3.按次数由小到大排列为____________.(填序号) 18. 若-mx 2y |n -3|是关于x ,y 的十次单项式,且系数是8,则m +n=__________.三.解答题(共7小题,46分)19. (6分) 列出单项式,并指出它们的系数和次数. (1)长方形的长为x ,宽为y ,则长方形的面积为多少?(2)邮购一种图书,每册定价为a 元,另加价10%作为邮费,那么购书n 册需要费用多少元?20. (6分)已知(m -2)x 4y |m|+1是关于x ,y 的七次单项式.试求m 2+2m -3的值.21. (6分) 已知(a -2)x 2y |a|+1是关于x ,y 的五次单项式,求a 的值.小明的解答过程是这样的:因为|a|+1+2=5,所以|a|=2,所以a =±2,即a 的值为±2.上述解答过程有没有错误?若有错误,错在哪里?并说明理由.22. (6分)已知单项式-23xy2m-1与-22x2y2的次数相同.(1)求m的值;(2)求当x=-9,y=-2时单项式-23xy2m-1的值.23. (6分) 家家乐超市出售一种商品,其原价a元,现有三种调价方案:①先提价20%,再降价20%;②先降价20%,再提价20%;③先提价15%,再降价15%.问:(1)用这三种方案调价结果是否一样?(2)最后是不是都恢复了原价?24. (8分)观察下列单项式的特点:1 2x 2a,-14x2a2,18x2a3,-116x2a4,….(1)请照此规律写出第8个单项式,它是几次单项式?(2)试猜想第n个单项式是什么?它的系数是多少?次数是多少?25. (8分) 观察下列单项式:x2,-3x4,5x6,-7x8,9x10,…,回答下列问题:(1)这组单项式的系数的符号规律是什么?(2)这组单项式的次数的规律是什么?(3)根据上面的归纳,你可以猜想出第n个单项式是(只能填写一个式子)什么?(4)请你根据猜想,请写出第2 018,2 019个单项式.3.3.2多项式及整式一.选择题(共10小题,3*10=30) 1.下列式子中不是多项式的是( )A .x +1 B.a +b2 C .π-3 D .x 2+2x +1 2.下列式子中不是整式的是( ) A .2ab 2 B.x 2+1 C .-12 D.2x +1 3.多项式-3x 2+2x -1的各项分别是( )A .3x 2,2x ,1B .-3x 2,-2x ,-1C .-3x 2,2x ,-1D .-3x 2,2x ,1 4.多项式1+2xy -3xy 2的次数及最高次项的系数分别是( ) A .3,-3 B .2,-3 C .5,-3 D .2,35.下列式子:a +2b ,3,a -b 2,x ,1a ,13(x 2-y 2),x -2x ,1a -1.其中整式有( ) A .1个 B .3个 C .5个 D .7个6.如果多项式(a +1)x 4-12x b -3x 2+x -54是关于x 的三次四项式,则ab 的值是( ) A .4 B .-4 C .3 D .-3 7.下列说法正确的是( )A .多项式x +32的次数是2B .多项式-x 2+2x -1的项为x 2,2x ,-1C .多项式x -24的常数项为-2 D .多项式2x 2y -x 是三次二项式 8.如果一个多项式是五次多项式,那么它任何一项的次数( ) A .都小于5 B .都等于5 C .都不小于5 D .都不大于59.已知a 是两位数,b 是一位数,把a 写在b 的后面,就成为一个三位数,这个三位数可表示成( )A .10b +aB .baC .100b +aD .b +10a10.如图,一个窗户的上部是由4个相同的扇形组成的半圆形,下部是由边长为a 的4个完全相同的小正方形组成的长方形,则做这个窗户需要的材料总长为( ) A .15a B .15a +πa C .15a +πr D .πa +6a二.填空题(共8小题,3*8=24)11. 多项式12x +3x 2-53的次数最高的项是___,一次项系数是_____,常数项是_______, 它是______次______项式.12.一个关于x 的二次三项式,一次项的系数是1,二次项的系数和常数项都是-12,则这个二次三项式为____________.13.若a ,b 分别表示长方形的长和宽,则长方形的周长l =__________,面积S =______. 当a =5 cm ,b =3 cm 时,l =_____cm ,S =____cm 2.14.下列式子:①2a 2b ,②x -y ,③x +2a ,④a +b 2,⑤-2x -1,⑥x +1x ,⑦a +b2,⑧-m 2.其中是多项式的是_____________(填序号)15.如果整式x n -2-5x +2是关于x 的三次三项式,那么n=________.16. 若(m -3)x 2-2x -(m +2)是关于x 的一次多项式,则m =___;若它是关于x 的二次二项式,则m =____.17.有一组多项式:a +b 2,a 2-b 4,a 3+b 6,a 4-b 8,….请观察它们的构成规律,用你发现的规律写出第10个多项式为_________.18.如图是一组有规律的图案,第1个图案由4个▲组成,第2个图案由7个▲组成,第3个图案由10个▲组成,第4个图案由13个▲组成,…,则第n(n 为正整数)个图案由___________个▲组成.三.解答题(共7小题,46分)19. (6分) 已知下列式子:①-ab ;②-2a 2-3a +1;③x +1y ;④-4x 2y 3;⑤1m ;⑥x 2-xy -xy 2;⑦a ;⑧3x -5y2.(1)其中哪些是单项式?分别指出它们的系数和次数; (2)其中哪些是多项式?分别指出它们的项和次数.20. (6分)已知关于x ,y 的多项式-5x 2a +1y 2-14x 3y 3+13x 4y.(1)求多项式中各项的系数和次数;(2)若多项式是7次多项式,求a 的值.21. (6分) 如图是一个工件的横截面及其尺寸(单位:cm). (1)用含a ,b 的代数式表示它的面积S ;(2)当a =15,b =8时,求S 的值.(π取3.14,精确到0.01)22. (6分) 已知多项式a 3+12ab 4-a m +1b -6是六次四项式,单项式2x 7-m y 3n 与该多项式的次数相同.(1)求m 2+n 2的值;(2)若a =-1,b =-2,求多项式的值.23. (6分) 如图,将边长为m 的正方形纸板沿虚线剪成两个小正方形和两个矩形,拿掉边长为n 的小正方形纸板后,将剩下的三块拼成新的矩形. (1)用含m 或n 的代数式表示拼成矩形的周长; (2)m =7,n =4,求拼成矩形的面积.24. (8分) 新学期,两摞规格相同的数学课本整齐地叠放在讲台上,请根据图中所给出的数据信息,解答下列问题:(1)每本书的高度为____cm,课桌的高度为____cm;(2)当课本数为x(本)时,请写出同样叠放在桌面上的一摞数学课本高出地面的距离;(用含x的代数式表示)(3)桌面上有56本与(1)中相同的数学课本,整齐地叠放成一摞,若从中取走14本,求余下的数学课本高出地面的距离.25.(8分) 有一个多项式a10-a9b+a8b2-a7b3+…按这样的规律写下去,你知道第7项是什么吗?最后一项呢?这是一个几次几项式?有什么规律?3.3.3升幂排列和降幂排列一、单选题1.对于多项式22m2+3m﹣1,下列说法正确的是()A.它是关于m的四次三项式B.它的常数项是1C.它是按m的降幂排列D.它是按m的升幂排列2.多项式﹣x+x3+1﹣x2按x的升幂排列正确的是()A.x2﹣x+x3+1B.1﹣x2+x+x3C.1﹣x﹣x2+x3D.x3﹣x2+1﹣x3.多项式﹣6y3+4xy2﹣x2+3x3y是按()排列.A.x的升幂B.x的降幂C.y的升幂D.y的降幂4.2x4+x3y﹣6x2+2xy是()A.按x的降幂排列B.按x的升幂排列C.按y的降幂排列D.按y的升幂排列5.把多项式5x﹣3x3﹣5+x2按x降幂排列后,第三项是()A.5xB.x2C.﹣5D.﹣3x36.将多项式﹣2x﹣x3+2x2+5按降幂排列,正确的是()A.x3﹣2x+2x2+5B.5﹣2x+2x2﹣x3C.﹣x3+2x2+2x+5D.﹣x3+2x2﹣2x+57.将多项式2a3+ ﹣b3﹣5ab2按字母b的降幂排列是()A.2a3﹣b3﹣5ab2+B.﹣b3﹣5ab2+2a3C.﹣b3﹣5ab2+ +2a3D.﹣b3+ ﹣5ab2+2a38.多项式﹣6y4+5x2y3﹣4x3+ax4y3是()A.按字母π的降幂排列的B.按字母y的升幂排列的C.按字母x的升幂排列的D.按字母y的降幂排列的9.下列各式按字母x的降幂排列的是()A.﹣5x2﹣x2+2x2B.ax3﹣2bx+cx2C.﹣x2y﹣2xy2+y2D.x2y﹣3xy2+x3﹣2y210.把多项式3x2+5﹣2x3﹣4x按x降幂排列,它的第三项是()A.2x3B.﹣2x3C.4xD.﹣4x二、填空题11.把多项式x2﹣1+4x3﹣2x按x的降幂排列为________.12.把多项式4a3b﹣3ab2+a4﹣5b5按字母b的升幂排列是________.13.将多项式﹣2x+3x3﹣6+5x2按x降幂排列:________.14.把多项式5x4﹣x﹣1+2x2+3x3按字母x降幂排列是________.15.把多项式5x2﹣2x3+3x﹣1按x的降幂排列________.16.把多项式5﹣3x2+x按字母x降幂排列是________.17.多项式a2b﹣a3﹣b2+a按字母a的降幂排列为________.18.把多项式x2﹣1﹣2x+x3按x的升幂排列得:________.19.多项式按x的降幂排列为________.20.将多项式2x3y﹣4y2+3x2﹣x按x的降幂排列为:________.三、解答题21.将多项式按字母x的降幂排列.22.把多项式m3﹣2m2+2n2﹣n3里的三次项结合起来,放在前面带有“﹣”号的括号里,同时把二次项结合起来,放在前面带“+”号的括号里,并将多项式按字母m降序排列.四、综合题23.已知多项式5x4y2+xy﹣2x2y6﹣y7﹣x6.(1)把它按x的降幂排列;(2)把它按y的升幂排列.24.已知多项式3x2y2﹣xy3+5x4y﹣7y5+y4x6,回答下列问题:(1)它是几次几项式?(2)把它按x的升幂重新排列;(3)把它按y的升幂重新排列.七年级上册第三章整式的加减3.4.2 合并同类项一.选择题(共10小题,3*10=30)1.下列各式中,与-7x 2y 是同类项的是( ) A .-7x 3y B. x 2y C .-7xy D. -7x 2y 22.若-x 3y a 与x b y 是同类项,则a +b 的值为( ) A .2 B .3 C .4 D .5 3.如果2x a +1y 与x 2y b-1是同类项,那么ab 的值是( )A.12B.32 C .1 D .34.下列各式中运算结果正确的是( )A .2a +3b =5abB .3m 2-2m 2=1C .x +x =x 2D .x 2y -3yx 2=-2x 2y 5.下列合并同类项正确的是( )A .4a 3+3a 3=7a 6B .4a 3-3a 3=1C .-4a 3+3a 3=-a 3D .4a 3-3a 3=a6.小明阅读一本书,第一天看了全书的13,第二天看了全书的29,若全书共x 页,则还剩( )页没有看.A. 29xB. 13xC. 49xD. 59x7. 若单项式a m -1b 2与12a 2b n 的和仍是单项式,则n m 的值是( ) A .3 B .6 C .8 D .98. 如果多项式3x 3-4x 2+x +k 2x 2-5中不含x 2项,则k 的值为( ) A .2 B .-2 C .2或-2 D .09.某服装店以每套a 元的价格购进100套西服,然后将进价提高20%作为销售价,销售50套后,余下部分按销售价的8折出售,售完后,获得的利润是( ) A .6a 元 B .8a 元 C .10a 元 D .12a 元10.下列化简:①5xy -x =5y ;②5ab -5ba =0;③2a 2+3a 2=5a 4;④-5m 2n +8nm 2=3m 2n.其中正确的有( )A .1个B .2个C .3个D .4个二.填空题(共8小题,3*8=24)11.合并同类项:(1) a -3a =___________;(2)3a 2b -a 2b =___________; (3)12a 3b 2+13a 3b 2-56a 3b 2=_____________12.三个连续的偶数,中间一个是2n ,其余两个分别为____________,这三个数的和是____. 13.将多项式3x 3y 2-xy 4+6x 4y 3+2x 2y -5按x 的降幂排列为___________________________,按y 的升幂排列为_______________________________.14.若单项式-12x 2y a +3与2x b -2y 3的和仍为单项式,则这两个单项式的和为______________. 15.某校艺术班同学,每人都会弹钢琴或古筝,其中会弹钢琴的人数比会弹古筝的人数多10人,两种都会的有7人.设会弹古筝的有m 人,则该班同学共有__________人.(用含有m 的代数式表示)16.若将x -y 看成一个整体,则化简(x -y)2-3(x -y)-4(x -y)2+5(x -y)的结果是__________________.17.当k =_______时,多项式x 2-3kxy -3y 2-13xy -8中不含xy 项. 18. 如果单项式-xy b+1与12x a -2y 3是同类项,那么(a -b)2019=____.三.解答题(共7小题,46分) 19. (6分) 合并下列各式的同类项:(1)15x +4x -10x; (2)-p 2-p 2-p 2;(3)6x -10x 2+12x 2-5x ;(4)x 2y -3xy 2+2yx 2-y 2x.20. (6分) 已知多项式3-2x 2+3x +3x 2-5x -x 2-7.(1)合并该多项式中的同类项;(2)当x =-12时,求这个多项式的值.21. (6分) 把(a +b)和(a -b)各看成一个字母,对下列各式合并同类项:(1)1.2(a +b)+6(a -b)-(a +b)-5(a -b)+0.8(a +b);(2)6(a +b)2-7(a +b)-(a +b)2+(a +b)-4(a +b)2.22. (6分) 先合并同类项,再求多项式的值:(1)4a 2-4a +1-4+12a -9a 2,其中a =-1;(2)5x 2y 2+14xy -2x 2y 2-16xy -3x 2y 2,其中x =1,y =2.23. (6分) 小王购买了一套经济适用房,他准备将地面铺上地砖,地面结构如图所示.根据图中的数据(单位:m),解答下列问题:(1)用含x ,y 的式子表示地面总面积;(2)当x =4,y =2时,若铺1 m 2地砖的平均费用为30元,那么铺地砖的费用是多少元?24. (8分)把如图①的四张形状大小完全相同的小长方形卡片不重叠地放在一个底面为长方形(长为m cm,宽为n cm)的盒子底部,如图②,盒子底面未被卡片覆盖的部分用阴影表示,试求图②中两块阴影部分的周长和.25. (8分) 有这样一道题:“当a=999,b=9999时,求多项式7a3-6a3b+3a2b+3a3+6a3b-3a2b-10a3的值.”小明说:本题中a,b的值这么大,怎么好算呢?小强说:本题中a=999,b=9999是多余的条件;小红马上反对说:这不可能,多项式中每一项都含有a和b,不给出a,b的值怎么能求出多项式的值呢?你同意谁的观点?请说明理由.3.4.3 去括号一.选择题(共10小题,3*10=30)1.化简-2a+(2a-1)的结果是( )A.4a-1 B.-4a-1 C.1 D.-12.三个连续奇数,最小的一个是2n+1(n为自然数),则这三个连续奇数的和为() A.6n+6 B.2n+9 C.6n+9 D.6n+33.长方形的一边等于3m+2n,另一边比它大m-n,则这个长方形的周长是() A.14m+6n B.7m+3n C.4m+n D.6n+34.下列运算正确的是( )A.-2(3x-1)=-6x-1 B.-2(3x-1)=-6x+1C.-2(3x-1)=-6x-2 D.-2(3x-1)=-6x+25. 化简14(-4x +8)-3(4-5x)的结果是( )A .-16x -10B .14x -10C .56x -40D .-16x -46.一个长方形的周长为4m ,一边长为m -n ,则另一边长为( )A .3m +nB .2m +2nC .m +nD .m +3n7.化简[x -(y -z)]-[(x -y)-z]得( )A .2yB .2zC .-2yD .-2z8.下列各式与x 3-5x 2-4x +9相等的是( )A .(x 3-5x 2)-(-4x +9)B .x 3-5x 2-(4x +9)C .-(-x 3+5x 2)-(4x -9)D .x 3+9-(5x 2-4x)9.有理数a ,b 在数轴上的位置如图所示,则|a +b|-2|a -b|化简后为( )A .b -3aB .-2a -bC .2a +bD .-a -b10. 已知x -2y =3,则代数式6-2x +4y 的值为( )A .0B .-1C .-3D .3二.填空题(共8小题,3*8=24)11.去括号:(1)a +(b -c)=___________;(2)(a -b)+(c -d)=_______________;(3)(a +b)-(-c +d)=_______________.12. 去括号,合并同类项:-3(a +b)+(2a -b)= _________________=_________.13. 某校三个班开展了为灾区献爱心捐款活动,一班捐了x 元,二班比一班捐的2倍少15元,三班捐的比一班捐的一半多32元,则这三个班一共捐款____________元.14.(1)若m ,n 互为相反数,则8m +(8n -3)的值是____;(2)已知当x =1时,2ax 2+bx 的值为3,则当x =2时,ax 2+bx 的值为__.15.如图所示是两种长方形铝合金窗框,已知窗框的长都是y 米,窗框宽都是x 米,若一用户需(1)型的窗框2个,(2)型的窗框5个,则共需铝合金_________________米.16.如果当x =1时,代数式2ax 3+3bx +4的值是5,那么当x =-1时,代数式2ax 3+3bx +4的值是____.17.若a 2-ab =9,且ab -b 2=6,则a 2-b 2=____,a 2-2ab +b 2=____.18. 已知x +4y =-1,xy =5,则(6xy +7y)+[8x -(5xy -y +6x)]的值是___________..三.解答题(共7小题,46分)19. (6分) 化简:(1)(x +2y)-(-2x +y); (2)(-b +3a)-2(a -b);(3)3a 2+2(a 2-a)-4(a 2-3a); (4)2(-3a 2+2a -1)-2(a 2-3a -5).20. (6分) 先化简,再求值:(1)(4x 2-3x)-2(x 2+2x -1)-(x 2+x -1),其中x =-3;(2)-3(13n -mn)+2(mn -12m),其中m +n =-3,mn =2.21. (6分) 一艘轮船在武汉和南京两港之间航行,若轮船在静水中的航速为a千米/时,水流速度为12千米/时.(1)轮船顺流航行5小时的行程是多少?(2)轮船逆流航行4小时的行程是多少?(3)两个行程相差多少?22. (6分)嘉淇准备完成题目:化简:(■x2+6x+8)-(6x+5x2+2).发现系数“■”印刷不清楚.(1)他把“■”猜成3,请你化简:(3x2+6x+8)-(6x+5x2+2);(2)他妈妈说:“你猜错了,我看到该题标准答案的结果是常数.”通过计算说明原题中“■”是几?23. (6分)观察下列各式:(1)-a+b=-(a-b);(2)2-3x=-(3x-2);(3)5x+30=5(x+6);(4)-x-6=-(x+6).探索以上四个式子中括号的变化情况,它和去括号法则有什么不同?利用你探索出来的规律,解答题目:已知a2+b2=5,1-b=-2,求-1+a2+b+b2的值.24. (8分)化简求值:(1)2(a2-ab)-3(2a2-ab),其中a=-2,b=3;(2)a-2[3a+b-2(a+b)],其中a=-20,b=10.25. (8分)有理数a,b,c在数轴上的位置如图所示,化简:|a+c|-|a-b-c|+2|b-a|-|b+c|.23. (6分) 有理数a,b,c在数轴上的位置如图所示,化简|a+c|-|a-b-c|+2|b-a|-|b+c|.25. (8分) (1) 有一道题是计算一个多项式减去2x2-5x-3,马小虎同学由于粗心,把减号当作加号,所得结果是5x2-7x+6,求原题的正确答案.(2)已知A=2x2+3ax-2x-1,B=-x2+ax-1,且3A+6B的值与x无关,求a的值.七年级上册第三章整式的加减3.4.4 整式的加减一.选择题(共10小题,3*10=30)1.化简5(2x-3)+4(3-2x)的结果为( )A.2x-3 B.2x+9 C.8x-3 D.18x-32.化简a-(5a-3b)+(2b-a)的结果是()A.7a-b B.-5a+5b C.7a+5b D.-5a-b3. 若a-b=2,b-c=-3,则a-c等于( )A.1 B.-1 C.5 D.-54.已知A=5a-3b,B=-6a+4b,则A-B等于()A.-a+b B.11a+b C.11a-7b D.-a-7b5.一个多项式与x2-2x+1的和是3x-2,则这个多项式为( )A.x2-5x+3 B.-x2+x-1 C.-x2+5x-3 D.x2-5x-136.用2a+5b减去4a-4b的一半,应当得到( )A.4a-b B.b-a C.a-9b D.7b7.如果(3x2-2)-(3x2-y)=-2,那么代数式(x+y)+3(x-y)-4(x-y-2)的值是() A.4B.20C.8D.-68.若P是三次多项式,Q也是三次多项式,P+Q一定是()A.三次多项式B.六次多项式C.不高于三次的多项式或单项式D.单项式9.多项式36x2-3x+5与3x3+12mx2-5x+7相加后,不含二次项,则常数m的值是( ) A.2 B.-3 C.-2 D.-810.一家商店以每包a元的价格买进30包甲种茶叶,又以每包b元的价格买进60包乙种茶叶.如果以每包a+b2的价格卖出这两种茶叶,那么卖完后,这家商店( )A.赚了B.赔了C.不赔不赚D.不能确定赔或赚二.填空题(共8小题,3*8=24)11.化简:(x2+y2)-3(x2-2y2)=________________.12.一个长方形的一边长是2a+3b,另一边的长是a+b,则这个长方形的周长是________. 13.某客车上原有(4a-2b)人,中途有一半人下车,又上来若干人,这时车上共有乘客(10a-6b)人,则中途上车的乘客有_____________人.14.三个小队植树,第一队种x 棵,第二队种的树比第一队种的树的2倍多8棵,第三队种的树比第二队种的树的一半少6棵,三队共种树____________棵.15.三角形的周长为48,第一边长为4a +3b ,第二边比第一边的2倍少2a -b ,则第三边的长为_______________.16. 如果关于x 的多项式(8x 2-2nx +14)-(8x 1-m -6x +5)的值与x 无关,则m +n =___.17.已知小明的年龄是m 岁,小红的年龄比小明的年龄的2倍少4岁,小华的年龄比小红年龄的12还多1岁,则这三名同学的年龄之和是____________.18. 已知两个完全相同的大长方形,长为a ,各放入四个完全一样的白色小长方形后,得到图(1)、图(2),那么,图(1)阴影部分的周长与图(2)阴影部分的周长的差是______________. (用含a 的代数式表示)三.解答题(共7小题,46分)19. (6分) 化简:(1)(9x -6y)-(5x -4y); (2)2(m 2+2m)-(5m -m 2); (3)3(2x 2-y 2)-2(3y 2-2x 2).20. (6分)化简,再求值:(1)(x 3-2x 2+x -4)-2(x 3-x 2+2x -2),其中x =-2;(2)3x 2y -[2xy 2-2(xy -32x 2y)]+3xy 2-xy ,其中x =3,y =-13.21. (6分) 计算:(1)(x2-y2)-3(x2-2y2);(2)(9a-2b)-[8a-(5b-2a)]+2c;(3)2a2-3[2a-2(-a2+2a-1)-4].22. (6分)黑板上有一道题,是一个多项式减去3x2-5x+1,某同学由于大意,将减号抄成了加号,得出的结果是5x2+3x-7,求出这道题的正确结果.23. (6分)某校有A,B,C三个课外活动小组,A小组有学生(x+2y)名,B小组学生人数是A小组学生人数的3倍,C小组比A小组多3名学生,问A,B,C三个课外活动小组共有多少名学生?24. (8分)已知多项式A,B,其中B=5x2+3x-4,马小虎同学在计算“3A+B”时,误将“3A +B”看成了“A+3B”,求得的结果为12x2-6x+7.求正确答案.25. (8分)老师在黑板上书写了一个正确的演算过程,随后用手掌捂住了一个多项式,形式如下:+(-3x2+5x-7)=-2x2+3x-6.(1)求所捂的多项式;(2)若x为正整数,任取几个x值并求出所捂多项式的值,你能发现什么规律?(3)若所捂多项式的值为144,请直接写出正整数x的取值.26. (8分) 如图所示是两种长方形铝合金窗框.已知窗框的长都是y米,窗框的宽都是x 米,若一用户需(1)型的窗框2个,(2)型的窗框5个,则共需铝合金多少米?27. (8分) 某工厂第一车间有m人,第二车间的人数比第一车间的2倍少5人,第三车间的人数比第一车间的3倍还多7人,则第三车间的人数比第一、第二车间的人数的和多还是少?请说明理由.28. (8分)在数轴上表示有理数a,b,c的点的位置如图所示,求式子|a|-|a+b|+|c-a|+|b-c|化简后的结果.。
一、初一数学代数式解答题压轴题精选(难)1.如图所示,在边长为a米的正方形草坪上修建两条宽为b米的道路.(1)为了求得剩余草坪的面积,小明同学想出了两种办法,结果分别如下:方法①:________ 方法②:________请你从小明的两种求面积的方法中,直接写出含有字母a,b代数式的等式是:________(2)根据(1)中的等式,解决如下问题:①已知:,求的值;②己知:,求的值.【答案】(1)(a-b)2;a2-2ab+b2;(a-b)2=a2-2ab+b2(2)解:①把代入∴,∴②原式可化为:∴∴∴【解析】【解答】解:(1)方法①:草坪的面积=(a-b)(a-b)= .方法②:草坪的面积= ;等式为:故答案为:,;【分析】(1)方法①是根据已知条件先表示出矩形的长和宽,再根据矩形的面积公式即可得出答案;方法②是正方形的面积减去两条道路的面积,即可得出剩余草坪的面积;根据(1)得出的结论可得出;(2)①分别把的值和的值代入(1)中等式,即可得到答案;②根据题意,把(x-2018)和(x-2020)变成(x-2019)的形式,然后计算完全平方公式,展开后即可得到答案.2.先阅读下面文字,然后按要求解题.例:1+2+3+…+100=?如果一个一个顺次相加显然太繁,我们仔细分析这100个连续自然数的规律和特点,可以发现运用加法的运算律,是可以大大简化计算,提高计算速度的.因为1+100=2+99=3+98=…=50+51=101,所以将所给算式中各加数经过交换、结合以后,可以很快求出结果.解:1+2+3+…+100=(1+100)+(2+99)+(3+98)+…+(50+51)= =5050.(1)补全例题解题过程;(2)计算a+(a+b)+(a+2b)+(a+3b)+…+(a+99b).【答案】(1)解:101×50(2)解:原式=50×(2a+99b)=100a+4950b.【解析】【分析】(1)根据算式可得共有50个101,据此解答即可.(2)仿照(1)利用加法的交换律和结合律进行计算即可.3.根据数轴和绝对值的知识回答下列问题(1)一般地,数轴上表示数m和数n两点之间的距离我们可用│m-n│表示。
第四章:代数式培优训练试题一.选择题:(本题共10小题,每小题3分,共30分)温馨提示:每一题的四个答案中只有一个是正确的,请将正确的答案选择出来!1.下列结论中正确的是( ) A .单项式24x y π的系数是14,次数是4 B .单项式m 的次数是1,无系数 C .多项式223x x y y ++是二次三项式 D .多项式2223x xy ++是三次三项式2.如果一个多项式的各项的次数都相同,那么这个多项式叫做齐次多项式.如:x 3+3xy 2+4xz 2+2y 3是 3 次齐次多项式,若 a x +3b 2﹣6ab 3c 2 是齐次多项式,则 x 的值为( ) A .-1B .0C .1D .23.一个多项式与x 2-2x +1的和是3x -2,则这个多项式为( )A .x 2-5x +3 B .-x 2+x -1 C .-x 2+5x -3 D .x 2-5x -13 4.如果单项式22+m y x 与y x n的和仍然是一个单项式,则m 、n 的值是( ) A .m =2,n =2B .m =﹣1,n =2C .m =﹣2,n =2D .m =2,n =﹣15.如图,直线上的四个点A ,B ,C ,D 分别代表四个小区,其中A 小区和B 小区相距am ,B 小区和C 小区相距200m ,C 小区和D 小区相距am ,某公司的员工在A 小区有30人,B 小区有5人.C 小区有20人,D 小区有6人,现公司计划在A ,B ,C ,D 四个小区中选一个作为班车停靠点,为使所有员工步行到停靠点的路程总和最小,那么停靠点的位置应设在( )A .A 小区B .B 小区C .C 小区D .D 小区6.若代数式的值与x 的取值无关,则的值为( ) A .6 B .-6 C .2 D .-2 7.已知有理数 , , 在数轴上的位置如图,且 ,则( )A .B .0C .D .8.当x =2时,代数式ax 3+bx +1的值是2020,则当x =﹣2时,代数式ax 3+bx ﹣3的值是( ) A .﹣2019B .﹣2020C .﹣2021D .﹣20229.如果M =x 2+6x +22,N =﹣x 2+6x ﹣3,那么M 与N 的大小关系是( ) A .M >NB .M <NC .M =ND .无法确定10.古希腊毕达哥拉斯学派的“三角形数”是一列点(或圆球)在等距的排列下可以形成正三角形的数,如1,3,6,10,15,….我国宋元时期数学家朱世杰在《四元玉鉴》中所记载的“垛积术”其中的“落一形”堆垛就是每层为“三角形数”的三角锥的锥垛(如图所示顶上一层1个球,下一层3个球,再下一层6个球),若一个“落一形”三角锥垛有10层,则该堆垛球的总个数为( ) A .55B .220C .285D .385二.填空题(本题共6小题,每题4分,共24分) 温馨提示:填空题必须是最简洁最正确的答案!11.若单项式213y x m -与单项式1321+n y x 是同类项,则m ﹣n =12.当1≤m <3时,化简|m ﹣1|﹣|m ﹣3|=13.已知关于x ,y 的多项式x 2+mx ﹣2y +n 与nx 2﹣3x +4y ﹣7的差的值与字母x 的取值无关,则n ﹣m =__________14.已知一列按规律排列的代数式:a 2,3a 4,5a 6,7a 8,…,则第9个代数式是_____________ 15.若a 2﹣ab =3,3ab ﹣b 2=4,则多项式2(a 2+ab ﹣b 2)+a 2﹣2ab +b 2的值是 16.数学真奇妙:两个有理数a 和b ,如果分别计算baab b a b a ,,,-+的值,发现有三个结果恰好相同,则_______=b三.解答题(共6题,共66分)温馨提示:解答题应将必要的解答过程呈现出来!17(本题6分).定义新运算“⊗”与“⊕”:2a b a b +⊗= , 2a ba b -⊕= (1)计算的值()()()3221⊗---⊕-⎡⎤⎡⎤⎣⎦⎣⎦;(2)若()()323A b a a b =⊗-+⊕-⎡⎤⎡⎤⎣⎦⎣⎦,()()()329B a b a b =⊗-+-⊕--⎡⎤⎡⎤⎣⎦⎣⎦ , 求A B +的值.18.先化简,再求值:(1)已知x 2﹣2y ﹣5=0,求3(x 2﹣2xy )﹣(x 2﹣6xy )﹣4y 的值. (2)已知多项式(2mx 2﹣x 2+3x +1)﹣(5x 2﹣4y 2+3x )化简后不含x 2项. 求多项式2m 3﹣[3m 3﹣(4m ﹣5)+m ]的值.19(本题8分).已知代数式A =﹣6x 2y +4xy 2﹣5,B =﹣3x 2y +2xy 2﹣3. (1)求A ﹣B 的值,其中|x ﹣1|+(y +2)2=0.(2)请问A ﹣2B 的值与x ,y 的取值是否有关系,试说明理由.20(本题10分).如图是由非负偶数排成的数阵:(1)写出图中“H ”形框中七个数的和与中间数的关系,(2)在数阵中任意做一个这样的“H ”形框,(1)中的关系任然成立吗?并写出理由(3)用这样的“H ”形框能框出和为2023的七个数吗?如果能,求出七个数的中间数;如果不能,请写出理由.21.(本题10分)(1)已知x +y =6,xy =﹣4,求:(5x +2y ﹣3xy )﹣(2x ﹣y +2xy )的值. (2)已知:xy x B y xy x A 24,223222+-=+-=,且02=++C B A . ①求C ;(用含x ,y 的代数式表示) ②若|x +2|+(y ﹣3)2=0,求(1)中C 的值.22(本题12分).学校决定为体育组添置一批体育器材.学校准备订购一批篮球和跳绳,经过市场调查后发现篮球每个定价120元,跳绳每条定价20元.某体育用品商店提供A 、B 两种优惠方案:A 方案:买一个篮球送一条跳绳;B方案:篮球和跳绳都按定价的90%付款.已知要购买篮球50个,跳绳x条(x>50).(1)若按A方案购买,一共需付款元;(用含x的代数式表示)若按B方案购买,一共需付款元.(用含x的代数式表示)(2)当x=100时,请通过计算说明此时用哪种方案购买较为合算?(3)当x=100时,你能给出一种更为省钱的购买方案吗?请写出你的购买方案,并计算需付款多少元?23.(本题12分)将9个数填入幻方的九个格中,使处于同一横行、同一竖列、同一斜对角线上的三个数的和相等,如图1所示.(1)如图2所示,求a的值;(2)如图3所示:①若A=2a,B=7a+5,C=6a﹣2,E=5a+1,求整式D;②若A=2a2+6,B=6a﹣3,D=﹣a2﹣2a,求这九个整式的和是多少.。
初中数学代数式全集汇编及答案解析一、选择题1.已知单项式2m 13a b -与n 7a b -互为同类项,则m n +为( )A .1B .2C .3D .4【答案】D【解析】【分析】根据同类项的概念求解.【详解】解:Q 单项式2m 13a b -与7a b n -互为同类项, n 2∴=,m 11-=,n 2∴=,m 2=.则m n 4+=.故选D .【点睛】本题考查了同类项的知识,解答本题的关键是掌握同类项定义中的两个“相同”:相同字母的指数相同.2.下列运算正确的是( ).A .()2222x y x xy y -=--B .224a a a +=C .226a a a ⋅=D .()2224xy x y = 【答案】D【解析】【分析】直接利用合并同类项法则以及积的乘方法则、同底数幂的乘法法则、完全平方公式分别化简求出答案.【详解】解:A.、()2222x y x xy y -=-+,故本选项错误;B.、2222a a a +=,故本选项错误;C.、224a a a ⋅=,故本选项错误;D 、 ()2224xy x y =,故本选项正确;故选:D .【点睛】本题主要考查合并同类项、积的乘方、同底数幂的乘法、完全平方公式,熟练掌握相关的计算法则是解题的关键.3.如果多项式4x 4+ 4x 2+ A 是一个完全平方式,那么A 不可能是( ).A .1B .4C .x 6D .8x 3【答案】B【解析】【分析】根据完全平方式的定义,逐一判断各个选项,即可得到答案.【详解】∵4x 4+ 4x 2+1=(2x+1)2,∴A=1,不符合题意,∵4x 4+ 4x 2+ 4不是完全平方式,∴A=4,符合题意,∵4x 4+ 4x 2+ x 6=(2x+x 3)2,∴A= x 6,不符合题意,∵4x 4+ 4x 2+8x 3=(2x 2+2x )2,∴A=8x 3,不符合题意.故选B .【点睛】本题主要考查完全平方式的定义,熟练掌握完全平方公式,是解题的关键.4.下列运算正确的是( )A .232235x y xy x y +=B .()323626ab a b -=-C .()22239a b a b +=+D .()()22339a b a b a b +-=- 【答案】D【解析】【分析】根据合并同类项的法则、积的乘方,完全平方公式以及平方差公式分别化简即可.【详解】A .22x y 和3xy 不是同类项,不能合并,故该选项计算错误,不符合题意;B .()323628ab a b -=-,故该选项计算错误,不符合题意;C .()222396a b a ab b +=++,故该选项计算错误,不符合题意;D .()()22339a b a b a b +-=-,故该选项计算正确,符合题意. 故选D .【点睛】本题主要考查了合并同类项、幂的运算性质以及乘法公式,熟练掌握相关公式及运算法则是解答本题的关键.A .222()a b a b -+=-+B .2224(2)a a a -+=-C .2353412a a a ⋅=D .()32626a a =【答案】C【解析】【分析】根据合并同类项,完全平方公式,同底数幂的乘法以及幂的乘方与积的乘方计算法则解答.【详解】A 、原式中的两项不是同类项,不能合并,故本选项错误;B 、原式=(a-1)2+2,故本选项错误;C 、原式=12a 5,故本选项正确;D 、原式=8a 6,故本选项错误;故选:C .【点睛】此题考查单项式的乘法,因式分解,解题关键在于熟记计算法则.6.下列运算正确的是()A .336a a a +=B .632a a a ÷=C .()235a a a -⋅=-D .()336a a = 【答案】C【解析】【分析】分别求出每个式子的值,3332a a a +=,633a a a ÷=,()235aa a -⋅=-,()339a a =再进行判断即可.【详解】解:A: 3332a a a +=,故选项A 错;B :633a a a ÷=,故选项B 错;C :()235aa a -⋅=-,故本选项正确; D.:()339a a =,故选项D 错误.故答案为C.【点睛】本题考查了同底数幂的乘除,合并同类项,幂的乘方和积的乘方的应用;掌握乘方的概念,即求n 个相同因数的乘积的运算叫乘方,乘方的结果叫做幂;分清()22n n a a -=,()2121n n a a ++-=-.A .236()a a =B .222()x y x y +=+C .01)1=D .61200 = 6.12×10 4 【答案】B【解析】【分析】【详解】A. ()326a a =正确,故此选项不合题意;B.()222 x y x 2y xy +=++,故此选项符合题意;C. )011=正确,故此选项不合题意; D. 61200 = 6.12×104正确,故此选项不合题意;故选B.8.(x 2﹣mx +6)(3x ﹣2)的积中不含x 的二次项,则m 的值是( )A .0B .23C .﹣23D .﹣32 【答案】C【解析】试题解析:(x 2﹣mx+6)(3x ﹣2)=3x 3﹣(2+3m )x 2+(2m+18)x ﹣12,∵(x 2﹣mx+6)(3x ﹣2)的积中不含x 的二次项,∴2+3m=0,解得,m=23-, 故选C .9.下列各计算中,正确的是( )A .2323a a a +=B .326a a a ⋅=C .824a a a ÷=D .326()a a =【答案】D【解析】【分析】本题主要考查的就是同底数幂的计算法则【详解】解:A 、不是同类项,无法进行合并计算;B 、同底数幂乘法,底数不变,指数相加,原式=5a ;C 、同底数幂的除法,底数不变,指数相减,原式=6a ;D 、幂的乘方法则,底数不变,指数相乘,原式=6a .【点睛】本题主要考查的就是同底数幂的计算法则.在运用同底数幂的计算的时候首先必须将各幂的底数化成相同,然后再利用公式来进行计算得出答案.同底数幂相乘,底数不变,指数相加;同底数幂相除,底数不变,指数相减;幂的乘方法则,底数不变,指数相乘.在进行逆运算的时候很多同学容易用错,例如:m n m n a a a +=+等等.10.计算的值等于( )A .1B .C .D .【答案】C【解析】【分析】 直接利用幂的乘方运算法则、积的乘方运算法则将原式变形进而得出答案.【详解】 原式= ==.故选C .【点睛】此题主要考查了幂的乘方运算以及积的乘方运算,正确将原式变形是解题关键.11.下列运算中,正确的是( )A .236x x x ⋅=B .333()ab a b =C .33(2)6a a =D .239-=-【答案】B【解析】【分析】分别根据同底数幂的乘法法则,积的乘方法则以及负整数指数幂的运算法则逐一判断即可.【详解】x 2•x 3=x 5,故选项A 不合题意;(ab )3=a 3b 3,故选项B 符合题意;(2a )3=8a 6,故选项C 不合题意; 3−2=19,故选项D 不合题意. 故选:B .【点睛】此题考查同底数幂的乘法,幂的乘方与积的乘方以及负整数指数幂的计算,熟练掌握幂的运算法则是解题的关键.12.下列运算正确的是( )A .2352x x x +=B .()-=g 23524x x xC .()222x y x y +=-D .3223x y x y xy ÷=【答案】B【解析】【分析】A 不是同类项,不能合并,B 、D 运用单项式之间的乘法和除法计算即可,C 运用了完全平方公式.【详解】A 、应为x 2+x 3=(1+x )x 2;B 、(-2x )2•x 3=4x 5,正确;C 、应为(x+y )2= x 2+2xy+y 2;D 、应为x 3y 2÷x 2y 3=xy -1.故选:B .【点睛】本题考查合并同类项,同底数幂的乘法,完全平方公式,单项式除单项式,熟练掌握运算法则和性质是解题的关键.13.下列运算正确的是A .32a a 6÷=B .()224ab ab =C .()()22a b a b a b +-=-D .()222a b a b +=+【答案】C【解析】根据整式的除法,幂的乘方与积的乘方运算法则和平方差公式,完全平方公式逐一计算作出判断:A 、322a a 2a ÷=,故选项错误;B 、()2224ab a b =,故选项错误;C 、选项正确;D 、()222a b a 2ab b +=++,故选项错误.故选C .14.有两个正方形A,B,现将B放在A的内部得图甲,将A,B并列放置后构造新的正方形得图乙.若图甲和图乙中阴影部分的面积分别为1和12,则正方形A,B的面积之和为()A.7 B.12 C.13 D.25【答案】C【解析】【分析】设正方形A的边长为a,正方形B的边长为b,根据图形列式整理得a2+b2−2ab=1,2ab =12,求出a2+b2即可.【详解】解:设正方形A的边长为a,正方形B的边长为b,由图甲得:a2−b2−2(a−b)b=1,即a2+b2−2ab=1,由图乙得:(a+b)2−a2−b2=12,即2ab=12,所以a2+b2=13,即正方形A,B的面积之和为13,故选:C.【点睛】本题主要考查了完全平方公式在几何图形中的应用,解题的关键是根据图形列出算式.15.已知多项式x-a与x2+2x-1的乘积中不含x2项,则常数a的值是()A.-1 B.1 C.2 D.-2【答案】C【解析】分析:先计算(x﹣a)(x2+2x﹣1),然后将含x2的项进行合并,最后令其系数为0即可求出a的值.详解:(x﹣a)(x2+2x﹣1)=x3+2x2﹣x﹣ax2﹣2ax+a=x3+2x2﹣ax2﹣x﹣2ax+a=x3+(2﹣a)x2﹣x﹣2ax+a令2﹣a=0,∴a=2.故选C.点睛:本题考查了多项式乘以多项式,解题的关键是熟练运用运算法则,本题属于基础题型.16.计算(0.5×105)3×(4×103)2的结果是( )A .13210⨯B .140.510⨯C .21210⨯D .21810⨯ 【答案】C【解析】根据同底数幂的乘法的性质,幂的乘方的性质,积的乘方的性质进行计算.解:(0.5×105)3×(4×103)2=0.125×1015×16×106=2×1021.故选C .本题考查同底数幂的乘法,幂的乘方,积的乘方,理清指数的变化是解题的关键.17.图(1)是一个长为2a ,宽为2()b a b >的长方形,用剪刀沿图中虚线(对称轴)剪开,把它分成四块形状和大小都一样的小长方形,然后按图(2)那样拼成一个正方形,则中间空的部分的面积是( )A .abB .2()a b +C .2()a b -D .22a b -【答案】C【解析】【分析】 图(2)的中间部分是正方形,边长为a-b ,根据图形列面积关系式子即可得到答案.【详解】中间部分的四边形是正方形,边长为:a+b-2b=a-b ,∴面积是2()a b -,故选:C.【点睛】此题考查完全平方公式的几何背景,观察图形得到线段之间的关系是解题的关键.18.在很小的时候,我们就用手指练习过数数,一个小朋友按如图所示的规则练习数数,数到2019时对应的指头是( )(说明:数1、2、3、4、5对应的指头名称依次为大拇指、食指、中指、无名指、小指)A .食指B .中指C .小指D .大拇指【答案】B【解析】【分析】 根据题意,观察图片,可得小指、大拇指所表示的数字的规律,及其计数的顺序,进而可得答案.【详解】解:∵大拇指对的数是1+8n ,小指对的数是5+8n .食指、中指、无名指对的数介于它们之间.又∵2019是奇数,201925283=⨯+,∴数到2019时对应的指头是中指.故选:B .【点睛】此题主要考查了数字变化类,只需找出大拇指和小指对应的数的规律即可.关键规律为:大拇指对的数是1+8n ,小指对的数是5+8n .食指、中指、无名指对的数介于它们之间.19.若x 2+2(m+1)x+25是一个完全平方式,那么m 的值( )A .4 或-6B .4C .6 或4D .-6【答案】A【解析】【详解】解:∵x 2+2(m+1)x+25是一个完全平方式,∴△=b 2-4ac=0,即:[2(m+1)]2-4×25=0整理得,m 2+2m-24=0,解得m 1=4,m 2=-6,所以m 的值为4或-6.故选A.20.小明在利用完全平方公式计算一个二项整式的平方时,不小心用墨水把最后一项染黑了,得到正确的结果变为2412a ab -+( ),你觉得这一项应是( )A .23bB .26bC .29bD .236b【答案】C【解析】【分析】根据完全平方公式的形式(a±b)2=a2±2ab+b2可得出缺失平方项.【详解】根据完全平方的形式可得,缺失的平方项为9b2故选C.【点睛】本题考查了整式的加减及完全平方式的知识,掌握完全平方公式是解决本题的关键.。
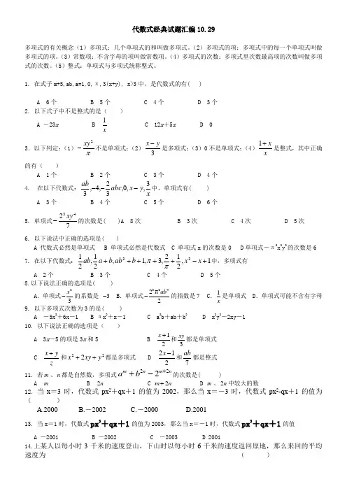
代数式经典试题汇编10.29多项式的有关概念(1)多项式:几个单项式的和叫做多项式。
(2)多项式的项:多项式中的每一个单项式叫做多项式的项。
(3)常数项:不含字母的项叫做常数项。
(4)多项式的次数:多项式里次数最高项的次数叫做多项式的次数。
(5)整式:单项式与多项式统称整式。
1. 在式子m+5,ab,a=1,0,π,3(x+y), x>3中,是代数式的有( )A 6个B 5个C 4个D 3个 2. 以下式子中不是整式的是( )A -23x Bx1C 12x +5xD 0 3.以下判定:(1)π2xy -不是单项式;(2)3y x -是多项式;(3)0不是单项式;(4)xx+1是整式,其中正确的有( )A 1个B 2个C 3个D 4个 4. 在以下代数式:xy x abc ab 3,,0,32,4,3---中,单项式有( ) A 3个 B 4个 C 5个 D 6个5. 单项式7243xy -的次数是( )A 8次 B 3次 C 4次 D 5次6. 以下说法中正确的选项是( )A 代数式必然是单项式B 单项式必然是代数式C 单项式x 的次数是0D 单项式-π2x 2y 2的次数是6 7. 在以下代数式:1,212,3,1,21,2122+-+++++x x b ab b a ab ππ中,多项式有 A 2个 B 3个 C 4个 D 5个8.以下说法正确的选项是( )A .单项式23x -的系数是 3-B .单项式3242π2ab -的指数是7C .1x是单项式 D .单项式可能不含有字母9. 以下多项式次数为3的是( )A -5x 2+6x -1B πx 2+x -1C a 2b +ab +b 2D x 2y 2-2xy -1 10. 以下说法正确的选项是( )A 3x -5的项是3x 和5 B21+x 和3xy都是单项式 C z y x +和222y xy x ++都是多项式 D 212-x 和7ab 都是整式11. 若m 、n 都是自然数,多项式222mnm na b ++-的次数是( )A mB 2nC 2m n +D m 、2n 中较大的数12. 当x =3时,代数式px 2+qx +1的值为2002,那么当x =-3时,代数式px 2-qx +1的值为( )A.2000B.-2002C.-2000D.200113. 当x =1时,代数式px3+qx +1的值为2003,那么当x =-1时,代数式px 3+qx +1的值A -2001B -2002C -2003D 200114.上某人以每小时3千米的速度登山,下山时以每小时6千米的速度返回原地,那么来回的平均速度为 ( )A.4千米/小时B.4.5千米/小时C.5千米/小时D.5.5千米/小时15.若m 1ab 6--是四次单项式,那么m 的值是 ,系数是 。
初一数学培优练习例题求解【例1】已知a+b=0,a ≠b,则化简b a (a+1)+a b(b+1)得( ). (第15届江苏省竞赛题) A.2a B.2b C.+2 D.-2【例2】已知x=2,y=-4时,代数式ax 3+12by+5=1997,求当x=-4,y=-12时,代数式3ax-24by 3+4986的值.【例3】已知关于x 的二次多项式a(x 3-x 2+3x)+b(2x 2+x)+x 3-5,当x=2时的值为-17,•求当x=-2时,该多项式的值. (“希望杯”邀请赛培训题)【例4】(1)已知:5│(x+9y)(x,y 为整数),求证:5│(8x+7y).【例5】已知,05322=--a a 求109124234-+-a a a 的值。
【例6】已知式子:431744+---+-x x x 的值恒为一个常数,求x 的取值范围。
【例7】已知关于x 的二次多项式5)2()3(3223-++++-x x x b x x x a ,当x=2时的值为-17,求当x=-2时,该多项式的值。
【例8】三个有理数a 、b 、c ,其积是负数,其和是正数,当c c b b a a x ++=时,则代数式10289519+-x x 的值是多少?【例9】已知012=-+m m ,求1997223++m m 的值。
【例10】、x 为何值时,23++-x x 有最小值,并求出这个最小值。
【例11】已知0199101052)1(a x a x a x a x x ++++=+-ΛΛ, 则0910a a a +++ΛΛ的值是多少学力训练一、基础夯实:1.已知2a x b n-1与-3a2b2m是同类项,那么(2m-n)x=__________.(第12届江苏省竞赛题)2.已知代数式(2x2+ax-y+6)-(2bx2-3x+5y-1).(1)当a=_______,b=________时,此代数式的值与字母x的取值无关;(2)在(1)的条件下,多项式3(a2-2ab-b2)-(4a2+ab+b2)的值为__________.3.已知a=1999,则│3a3-2a2+4a-1│-│3a3-3a2+3a-2001│=_________.4.已知当x=-2时,代数式ax+bx+1的值为6,那么当x=2时,代数式ax3+bx+1•的值是_______.5.火车站和机场都为旅客提供打包服务,如果长、宽、高分别为x、y、z的箱子按如图的方式打包,则打包带的长至少为( ).A.4x+4y+10zB.x+2y+3zC.2x+4y+6zD.6x+8y+6z (2003年太原市中考题)6.同时都含有字母a、b、c,且系数为1的7次单项式共有( ).A.4个B.12个C.15个D.25个 (北京市竞赛题)7.已知-m+2n=5,那么5(m-2n)2+6n-3m-60的值为( )A.80B.10C.210D.408.把一个正方体的六个面分别标上字母A、B、C、D、E、F并展开如图所示,•已知:A=x2-4xy+3y2,C=3x2-2xy-y2,B=12(C-A),E=B-2C,•若正方体相对的两个面上的多项式的和都相等,求D、F.9.已知单项式0.25x b y c与单项式-0.125x m-1y2n-1的和为0.625ax n y m,求abc的值.二、能力拓展10.若a-b=2,b-c=-3,c-d=5,则(a-c)(b-d)÷(a-d)=________.11.当x=2时,代数式ax 3-bx+1的值等于-17,那么当x=-1时,代数式12ax-3bx 3-5•的值等于_________. (北京市“迎春杯”竞赛题)12.将1,2,3,……,100这100个自然数,任意分为50组,每组两个数,•现将每组的两个数中任一数值记作a,另一个记作b,代入代数式12(│a-b │+a+b)中进行计算,•求出其结果,50组数代入后可求得50个值,则这50个值的和的最大值是_______.13.计算1+2-3-4+5+6-7-8+9+10-11-12……+1993+1994-1995-1996+1997+1998-1999-2000,最后结果是( ).A.0B.-1C.1999D.-200014.已知a<-b 且a b>0,则│a │-│b │+│a+b │+│ab │等于( ). A.2a+2b+ab B.-ab ; C.-2a-2b+ab D.-2a+ab15.已知代数式25342()x ax bx cx x dx+++当x=1时,值为1,那么该代数式当x=-1时的值是( ). A.1 B.-1 C.0 D.2 (第11届“希望杯”邀请赛试题)16.x 、y 、z 均为整数,且11│7x+2y-5z,求证:11│3x-7y+12z.(北京市竞赛题)17、如果01223344555)12(a x a x a x a x a x a x +++++=-则543210a a a a a a -+-+-的值是多少。
七上数学第4章《代数式》单元培优测试题一、选择题(本大题有12小题,每小题3分,共36分) 下面每小题给出的四个选项中,只有一个是正确的. 1.在式子a 2+2,,ab 2,,﹣8x ,0中,整式有( )A. 3个B. 4个C. 5个D. 6个 2.计算2a-3a ,结果正确的是( )A. -1B. 1C. -aD. a3.某企业今年1月份产值为x 万元,2月份的产值比1月份减少了15%,则2月份的产值是( ) A. (1+15%)x 万元 B. (1-15%x)万元 C. (x-15%)万元 D. (1-15%)x 万元4.当a=-1 时,(-a 2)3 的结果是( )A. -1B. 1C. a 6D. 以上答案都不对5.小宜跟同学在某餐厅吃饭,如图为此餐厅的菜单.若他们所点的餐点总共为10份意大利面,x 杯饮料,y 份沙拉,则他们点了几份A 餐?( )A. B. C. D.6.下列结论中,正确的是( ) A. 单项式的系数是3,次数是2. B. 单项式m 的次数是1,没有系数.C. 单项式﹣xy 2z 的系数是﹣1,次数是4.D. 多项式5x 2-xy+3是三次三项式. 7.如果2x 3y n +(m-2)x 是关于x ,y 的五次二项式,则m ,n 的值为 ( )A. m=3.N=2B. m ≠ 2,n=2C. m 为任意数,n=2D. m#2,n=3 8.已知一个多项式与3x 2+9x 的和等于5x 2+4x ﹣1,则这个多项式是( ) A. 8x 2+13x ﹣1 B. ﹣2x 2+5x+1 C. 8x 2﹣5x+1 D. 2x 2﹣5x ﹣19.已知代数式x 2+ax -2y +7-(bx 2-2x +9y -1)的值与x 的取值无关,则a +b 的值为( ) A. -1 B. 1 C. -2 D. 210.已知a 是两位数,b 是一位数,把a 接写在b 的后面,就成为一个三位数.这个三位数可表示成( ) A. B. ba C. D.11.当x=1时,代数式x 3+x+m 的值是7,则当x=-1时,这个代数式的值是( ) A. 7 B. 3 C. 1 D. -712.把四张形状大小完全相同的小长方形卡片(如图①)不重叠地放在一个底面为长方形(长为mcm ,宽为ncm)的盒子底部(如图②)盒子底面未被卡片覆盖的部分用阴影表示,则图②中两块阴影部分的周长和是( )A. 4mcmB. 4ncmC. 2(m+n)cmD. 4(m-n)cm 二、填空题(本大题有6小题,每小题3分,共18分)13.写出一个含字母x ,y 的三次单项式________(只写出一个即可) 14.当x=1,y=31时,代数式x 2+2xy+y2的值是________. 15.单项式3x m+2n y 8与-2x 2y 3m+4n 的和仍是单项式,则m+n= ________ . 16.若+|n+3|=0,则m+n 的值为________ .17.某城市3年前人均收入为x元,预计今年人均收入是3年前的2倍多500元,那么今年人均收入将达________元.18.若x2+2x=1,则2x2+4x+3的值是________.三、解答题(本大题有7小题,共66分)解答应写出文字说明,证明过程或推演步骤19.(8分)先化简,再求值:(1),其中x=3,y=﹣.(2)已知a+b=7,ab=10,求代数式(5ab+4a+7b)+(6a﹣3ab)﹣(4ab﹣3b)的值.20.(6分)已知的平方根是±3,的立方根是2,求的平方根.21.(8分)填写下表,观察下列两个代数式的值的变化情况:用代入检验的方法说明取哪个整数时,哪个代数式的值先超过100?22.(10分)学校需要到印刷厂印刷x份材料,甲印刷厂提出:每份材料收0.2元印刷费,另收500元制版费;乙印刷厂提出:每份材料收0.4元印刷费,不收制版费。
第3章《代数式》培优检测卷(含答案) 一.选择题(每小题2分,共12分)1.下列说法不正确的是( )A .1,a -都是单项式B .28a -+是多项式C .0不是整式D .π,26a b +都是整式 2若单项式2m n x y -与单项式2312m n x y +-是同类项,那么这两个多项式的和是( ) A .4612x y B .2312x y C .2332x y D .233 2x y 3.一个两位数的个位数是a ,十位数比个位数大a ,则这个两位数为( )A .3aB .21aC .12aD .11a4.代数式3a 2-2a+6的值是8,则32a 2-a+1的值是( ). A .1 B .2 C .3 D .45.如果A 是3m 2﹣m+1,B 是2m 2﹣m ﹣7,且A ﹣B+C=0,那么C 是( )A .﹣m 2﹣8B .﹣m 2﹣2m ﹣6C .m 2+8D .5m 2﹣2m ﹣6 6.如图,两个面积分别为35,23的图形叠放在一起,两个阴影部分的面积分别为a ,b (a b >),则-a b 的值为( )A .6B .8C .12D .9二.填空题(每小题2分,共20分)7.写出一个整式,具备以下两个条件:()1它是一个关于字母x 的二次三项式;()2各项系数的和等于10;________.8.若两个单项式﹣3x m y 2与﹣12xy n 的和仍然是单项式,则这个和的次数是_____. 9.已知P=xy ﹣5x+3,Q=x ﹣3xy+2,当x≠0时,3P ﹣2Q=5恒成立,则y=______. 10.如图,是由两个半圆组成的图形,已知大的半圆的半径是a ,小的半圆的半径是b ,则图中阴影部分的面积是________. 11.已知226x xy +=,2329y xy +=,则22489x xy y ++的值为________.12. 某蓄水池装有A ,B 两根进水管,每小时可分别进水a 吨,b 吨,若单独开放A 进水管,p 小时可将该水池注满.如果A ,B 两根水管同时开放,那么能提前 小时将蓄水池注满.13.如图,数轴上四点O ,A ,B ,C ,其中O 为原点,且3AC =,OA OB =,若点C 表示的数为x ,则点B 表示的数为 ;14.某商店在甲批发市场以m 元/包的价格购进了30包茶叶,又在乙批发市场以n 元/包(m <n )的价格购进了相同的50包茶叶,并以2m n +元/包的价格将所购茶叶全部售出,那么该商家最终的盈亏情况是15.若实数x ,y ,z 满足132345x y z --+==,则代数式3x y z --=_______. 16.将9个数填入幻方的九个格中,使处于同一横行、同一竖列、同一斜对角线上的三个数的和相等,如表一.如表二:将满足条件的另外9个数中的三个数填入了表二,则这9个数的和为 (用含a 的整式表示)三.解答题(共68分)17.(6分)计算:(1)555322351132342224a b a a b a b b ⎛⎫---+- ⎪⎝⎭; (2)()()22224534a b ab a b ab ---18.(8分)先化简,再求值:(1)35(1)3(4)22m m m --+-,其中m 是最大的负整数.(2)()()232a b c a c b +----,其中a ﹣b=2,b ﹣c=﹣3,19.(10分)已知A=3a 2b ﹣2ab 2+abc ,小明同学错将“2A ﹣B”看成“2A+B”,算得结果为4a 2b ﹣3ab 2+4abc .(1)计算B 的表达式;(2)求出2A ﹣B 的结果;(3)小强同学说(2)中的结果的大小与c 的取值无关,对吗?若a=18,b=15,求(2)中式子的值.20.(8分)一个长方形窗户的宽为(a+2b )米,长比宽多(a ﹣2b )米,(1)求这个长方形的长及周长;(2)若长方形的宽为3,面积为18,求a 、b 的值.21.(8分)观察下列三行数: 2-,4,8-,16,32-,64,…1-,3,7-,17,31-,65,…12-,1,2-,4,8-,16… ()1第①行数按什么规律排列?()2第②、③与第①行数分别有什么关系?()3取每行的第10个数,计算这三个数的和.22. (8分)某商场销售一种西装和领带,西装每套定价200元,领带每条定价40元.国庆节期间商场决定开展促销活动,活动期间向客户提供两种优惠方案:方案一:买一套西装送一条领带;方案二:西装和领带都按定价的90%付款.现某客户要到该商场购买西装20套,领带x (20x >).(1)若该客户按方案一购买,需付款多少元(用含x 的式子表示)?若该客户按方案二购买,需付款多少元(用含x 的式子表示)?(2)若30x =,通过计算说明此时按哪种方案购买较为合算;(3)当30x =时,你能给出一种更为..省钱的购买方法吗?试写出你的购买方法和所需费用.23.(10分)如图所示,用三种大小不同的六个正方形和一个缺角的正方形拼成长方形ABCD ,其中,2GH cm =,2GK cm =,设BF xcm =.()1用含x 的代数式表示CM =________cm ,DM =________cm .()2当x=2时,求长方形ABCD 的面积.24.(10分)如图,有一个形如六边形的点阵,它的中心是一个点,算做第一层,第二层每边两个点,第三层每边三个点,以此类推.(1)填写下表 层数1 2 3 4 5 该层对应的点数 1 6 12(2)写出第n 层对应的点数(n≥2);(3)如果某层一共有72个点,请你求出对应的层数.一.选择题(每小题2分,共12分)1.下列说法不正确的是( )A .1,a -都是单项式B .28a -+是多项式C .0不是整式D .π,26a b+都是整式【答案】C【解析】A 、1,-a 都是单项式,该说法正确,故本选项错误;B 、-a 2+8是多项式,该说法正确,故本选项错误;C 、0是整式,该说法错误,故本选项正确;D 、π,26a b+都是整式,该说法正确,故本选项错误.故选C .2若单项式2m n x y -与单项式2312m n x y +-是同类项,那么这两个多项式的和是() A .4612x y B .2312x y C .2332x y D .2332x y【答案】B【解析】∵单项式x 2y m-n 与单项式-12x 2m+ny 3是同类项,∴223m n m n +=⎧⎨-=⎩,解得:5343m n ⎧=⎪⎪⎨⎪=-⎪⎩,则原式=x 2y 3-12x 2y 3=12x 2y 3,故选:B .3.一个两位数的个位数是a ,十位数比个位数大a ,则这个两位数为( )A .3aB .21aC .12aD .11a【答案】B【解析】这个两位数可表示为:20a +a =21a .故选B .4.代数式3a 2-2a+6的值是8,则32a 2-a+1的值是( ).A .1B .2C .3D .4【答案】B .【解析】试题分析:因为3a 2-2a+6=8,所以3a 2-2a =2,32a 2-a+1=()213212a a -+=1212⨯+=2. 故选:B .5.如果A 是3m 2﹣m+1,B 是2m 2﹣m ﹣7,且A ﹣B+C=0,那么C 是( )A .﹣m 2﹣8B .﹣m 2﹣2m ﹣6C .m 2+8D .5m 2﹣2m ﹣6 【答案】A【解析】解:A-B+C=3m 2﹣m+1-(2m 2﹣m ﹣7)+C=0,解得C=﹣m 2﹣8,故选:A. 6.如图,两个面积分别为35,23的图形叠放在一起,两个阴影部分的面积分别为a ,b (a b >),则-a b 的值为( )A .6B .8C .12D .9【答案】C 【解析】解:设重叠部分的面积为c ,∴()()352312a b a c b c -=+-+=-=;故选择:C.二.填空题(每小题2分,共20分)7.写出一个整式,具备以下两个条件:()1它是一个关于字母x 的二次三项式;()2各项系数的和等于10;________.【答案】28x x ++【解析】如x 2+x+8,该整式总共三项最高项是2次,各项系数和为:1+1+8=10.所以该整式满足条件.8.若两个单项式﹣3x m y 2与﹣12xy n 的和仍然是单项式,则这个和的次数是_____. 【答案】3 【解析】因为两个单项式-3x m y 2与-12xy n 的和仍然是单项式, 所以m=1,n=2, 所以这个和的次数是1+2=3,故答案为:39.已知P=xy ﹣5x+3,Q=x ﹣3xy+2,当x≠0时,3P ﹣2Q=5恒成立,则y=______.【答案】179【解析】∵P=xy-5x+3,Q=x-3xy+2,∴3P-2Q=3xy-15x+9-2x+6xy-4=9xy-17x+5,当9xy-17x=0,即y=179时,3P-2Q=5恒成立, 故答案为179. 10.如图,是由两个半圆组成的图形,已知大的半圆的半径是a ,小的半圆的半径是b ,则图中阴影部分的面积是________.【答案】221122a b ππ- 【解析】图中阴影部分的面积是12πa 2−12πb 2. 故答案为221122a b ππ- 11.已知226x xy +=,2329y xy +=,则22489x xy y ++的值为________.【答案】39【解析】∵2x 2+xy =6,3y 2+2xy =9,∴原式=2(2x 2+xy )+3(3y 2+2xy )=12+27=39.故答案为39.13. 某蓄水池装有A ,B 两根进水管,每小时可分别进水a 吨,b 吨,若单独开放A 进水管,p 小时可将该水池注满.如果A ,B 两根水管同时开放,那么能提前 小时将蓄水池注满.【答案】【解析】设两管同开注满水的时间为t ,则有t (a+b )=ap ,根据题意可得:t ,提前的时间就是:单开A 管的注水时间减去两管同开的注水时间 p , 故答案为.13.如图,数轴上四点O ,A ,B ,C ,其中O 为原点,且3AC =,OA OB =,若点C 表示的数为x ,则点B 表示的数为 ;【答案】-(x-3).【解析】解:∵AC=3,点C 表示的数为x ,∴AO=3+(-x )=3-x=-(x-3),∵OA=OB ,∴点B 表示的数为:-(x-3).故答案为:-(x-3).14.某商店在甲批发市场以m 元/包的价格购进了30包茶叶,又在乙批发市场以n 元/包(m <n )的价格购进了相同的50包茶叶,并以2m n +元/包的价格将所购茶叶全部售出,那么该商家最终的盈亏情况是【答案】盈利【解析】解:由题意得:总进价为:(30m+50n )元,共进了30+50=80(包), ∵商家以每包2m n +元的价格卖出, ∴总收入为:2m n +×80=(40m+40n )元, ∴利润为:(40m+40n )-(30m+50n )=40m+40n -30m -50n=10m -10n=10(m -n ), ∵m >n ,∴10(m -n )>0,∴盈利了.故答案为盈利 15.若实数x ,y ,z 满足132345x y z --+==,则代数式3x y z --=_______. 【答案】2【解析】解:设132345x y z k --+===, ∴31x k =+,43y k =+,52z k =-,∴()()()33314352x y z k k k --=+-+--=934352k k k +---+=2故答案为:2.16.将9个数填入幻方的九个格中,使处于同一横行、同一竖列、同一斜对角线上的三个数的和相等,如表一.如表二:将满足条件的另外9个数中的三个数填入了表二,则这9个数的和为 (用含a 的整式表示)【答案】9a+27【解析】如图所示:a+2a+5﹣x+3a+10﹣2x =a+a+7+x ,解得x =a+2,a+a+7+x =2a+7+a+2=3a+9,3(3a+9)=9a+27.故答案为9a+27.三.解答题(共68分)17.(6分)计算:(1)555322351132342224a b a a b a b b ⎛⎫---+- ⎪⎝⎭; (2)()()22224534a b ab a b ab ---【答案】(1)322328a b a b -;(2)22a b ab -.【解析】(1)原式55532235322323228328a b a a b a b b a b a b =--+-+=-.(2)原式2222224534a b ab a b ab a b ab =--+=-.18.(8分)先化简,再求值:(1)35(1)3(4)22m m m --+-,其中m 是最大的负整数. (2)()()232a b c a c b +----,其中a ﹣b=2,b ﹣c=﹣3,【答案】(1)17.(2) 1.【解析】(1)已知m 是最大的负整数,即m=-1()353513411231342222m m m m m m m ⎛⎫--+-=-++-=- ⎪⎝⎭m 1=-,13417m ∴-=(2)()()2322a 2b 2c 3a 3c 2a b c a c b b c a +----=+--+-=-a b 2b c 3==﹣,﹣﹣,a b b c 23∴+=-﹣﹣,a c 1-=-1c a ∴-=19.(10分)已知A=3a 2b ﹣2ab 2+abc ,小明同学错将“2A ﹣B”看成“2A+B”,算得结果为4a 2b ﹣3ab 2+4abc .(1)计算B 的表达式;(2)求出2A ﹣B 的结果;(3)小强同学说(2)中的结果的大小与c 的取值无关,对吗?若a=18,b=15,求(2)中式子的值. 【答案】(1)﹣2a 2b+ab 2+2abc ;(2) 8a 2b ﹣5ab 2;(3)对,0.【解析】解:(1)∵2A +B =4a 2b ﹣3ab 2+4abc ,∴B =4a 2b ﹣3ab 2+4abc -2A=4a 2b -3ab 2+4abc -2(3a 2b -2ab 2+abc)=4a 2b -3ab 2+4abc -6a 2b +4ab 2-2abc=-2a 2b +ab 2+2abc ;(2)2A -B =2(3a 2b -2ab 2+abc)-(-2a 2b +ab 2+2abc)=6a 2b -4ab 2+2abc +2a 2b -ab 2-2abc=8a 2b -5ab 2;(3)对,由(2)化简的结果可知与c 无关,将a =18,b =15代入,得 8a 2b -5ab 2=8×218⎛⎫ ⎪⎝⎭×15-5×18×21()5=0. 20.(8分)一个长方形窗户的宽为(a+2b )米,长比宽多(a ﹣2b )米,(1)求这个长方形的长及周长;(2)若长方形的宽为3,面积为18,求a 、b 的值.【答案】(1)长为2a ,周长为6a+4b ;(2)a=3,b=0.【解析】(1)长方形的长为(a+2b)+(a−2b)=2a ,这个长方形的长及周长为2[2a+(a+2b)]=6a+4b ;(2)∵长方形的宽为3,面积为18,∴长方形的长为18÷3=6,即2a=6,a=3,∵a+2b=3,∴b=0.21.(8分)观察下列三行数:2-,4,8-,16,32-,64,…1-,3,7-,17,31-,65,…12-,1,2-,4,8-,16… ()1第①行数按什么规律排列?()2第②、③与第①行数分别有什么关系?()3取每行的第10个数,计算这三个数的和.【答案】()1第一行的数是按(2)n -排列的;()2第二行的数是(2)1n-+,第三行的数是1(2)4n -⨯;()83921⨯+. 【解析】()1∵2-,4,8-,16,32-,64,…∴第一行的数是按(2)n -排列的;()2第二行的数是(2)1n -+,第三行的数是1(2)4n -⨯;()3第一行的第10个数是10(2)-;第一行的第10个数是10(2)1-+;第一行的第10个数是101(2)4-⨯; 所以1010101(2)(2)1(2)4-+-++-⨯ 8921=⨯+.23. (8分)某商场销售一种西装和领带,西装每套定价200元,领带每条定价40元.国庆节期间商场决定开展促销活动,活动期间向客户提供两种优惠方案:方案一:买一套西装送一条领带;方案二:西装和领带都按定价的90%付款.现某客户要到该商场购买西装20套,领带x (20x >).(1)若该客户按方案一购买,需付款多少元(用含x 的式子表示)?若该客户按方案二购买,需付款多少元(用含x 的式子表示)?(2)若30x =,通过计算说明此时按哪种方案购买较为合算;(3)当30x =时,你能给出一种更为..省钱的购买方法吗?试写出你的购买方法和所需费用. 【答案】(1)方案一:403200x +,方案二:360036x +;(2)按方案一购买更合算;见解析;(3)先按方案一购买20套西装(送20条领带),再按方案二购买10条领带更省钱,共花费4360元.【解析】(1)方案一购买,需付款:()202004020403200x x ⨯+-=+(元), 按方案二购买,需付款:()0.92020040360036x x ⨯⨯+=+(元);(2)把30x =分别代入:403200403032004400x +=⨯+=(元),360036360036304600x +=+⨯=(元). 因为44004600<,所以按方案一购买更合算;(3)先按方案一购买20套西装(送20条领带),再按方案二购买()20x -条领带,共需费用:()202000.94020363280x x ⨯+⨯-=+,当30x =时,363032804360⨯+=(元)∵436044004600<<,∴先按方案一购买20套西装(送20条领带),再按方案二购买10条领带更省钱,共花费4360元.23.(10分)如图所示,用三种大小不同的六个正方形和一个缺角的正方形拼成长方形ABCD ,其中,2GH cm =,2GK cm =,设BF xcm =.()1用含x 的代数式表示CM =________cm ,DM =________cm .()2当x=2时,求长方形ABCD 的面积.【答案】(1)()2;22x x ++;(2)140.【解析】解:(1)CM =(x +2)cm ,DM =MK =2(x +2)−2=2x +2(cm ), 故答案为(x +2),2x +2;(2)长方形的长为:x +x +x +x +2+x +2=14cm ,宽为:4x +2=4×2+2=10cm . 所以长方形ABCD 的面积为:14×10=140cm 2. 24.(10分)如图,有一个形如六边形的点阵,它的中心是一个点,算做第一层,第二层每边两个点,第三层每边三个点,以此类推.(1)填写下表(2)写出第n层对应的点数(n≥2);(3)如果某层一共有72个点,请你求出对应的层数.【答案】(1)18,24;(2) 6(n-1)(n≥2);见解析.(3)13.【解析】分析:(1)观察图形中点的排列规律得到第一层对应的点数为1,第二层对应的点数为6×2-6=6,第三层对应的点数为6×3-6=12,则第四层对应的点数为6×4-6=18,第五层对应的点数为6×5-6=24;(2)第n层对应的点数为6(n-1)(n≥2);(3)利用(2)的结论得到6(n-1)=72,然后解方程即可.详解:(1)第一层对应的点数为1,第二层对应的点数为6×2-6=6,第三层对应的点数为6×3-6=12,则第四层对应的点数为6×4-6=18,第五层对应的点数为6×5-6=24;故答案为18,24;(2)第n层对应的点数为6(n-1)(n≥2);(3)设72个点所对应的层数为n,根据(2)的结论得6(n-1)=72,解得n=13,即第13层对应的点数为72.。
一、初一数学代数式解答题压轴题精选(难)1.已知A=2x2+3xy-2x-1,B=x2-xy-1(1)化简:4A-(2B+3A),将结果用含有x、y的式子表示(2)若式子4A-(2B+3A)的值与字母x的取值无关,求的值【答案】(1)解:∵A=2x2+3xy-2x-1,B=x2-xy-1,∴4A-(2B+3A)=A-2B=2x2+3xy-2x-1-2(x2-xy-1)=5xy-2x+1(2)解:根据(1)得4A-(2B+3A)= 5xy-2x+1;∵4A-(2B+3A)的值与字母x的取值无关,∴4A-(2B+3A)=5xy-2x+1=(5y-2)x+1,5y-2=0,则y= .则y3+ A- B= y3+ (A-2B)= y3+ ×1= + = = .【解析】【分析】(1)先将4A-(2B+3A)化简,再将A,B的值分别代入代数式,去括号合并同类项化为最简形式即可;(2)根据(1)化简的结果,由4A-(2B+3A)的值与字母x的取值无关,得出5y-2=0,求解得出y的值,再将代数式中含A,B的项,逆用乘法分配律最后整体代入即可算出代数式的值。
2.如图,阶梯图的每个台阶上都标着一个数,从下到上的第1个至第4个台阶上依次标着-5,-2,1,9,且任意相邻四个台阶上数的和都相等.(1)求前4个台阶上数的和是多少?(2)求第5个台阶上的数是多少?(3)应用求从下到上前31个台阶上数的和.发现试用含k(k为正整数)的式子表示出数“1”所在的台阶数.【答案】(1)解:由题意得前4个台阶上数的和是-5-2+1+9=3(2)解:由题意得-2+1+9+x=3,解得:x=-5,则第5个台阶上的数x是-5(3)解:应用:由题意知台阶上的数字是每4个一循环,∵31÷4=7…3,∴7×3+1-2-5=15,即从下到上前31个台阶上数的和为15;发现:数“1”所在的台阶数为4k-1【解析】【分析】(1)由台阶上的数求出台阶上数的和即可;(2)根据题意和(1)的值,求出第5个台阶上的数x的值;(3)根据题意知台阶上的数字是每4个一循环,得到从下到上前31个台阶上数的和,得到数“1”所在的台阶数为4k-1.3.小明是个爱动脑筋的同学,在发现教材中的用方框在月历中移动的规律后,突发奇想,将连续的偶数2,4,6,8,…,排成如表,并用一个十字形框架框住其中的五个数,请你仔细观察十字形框架中的数字的规律,并回答下列问题:(1)十字框中的五个数的和与中间的数16有什么关系?(2)设中间的数为x,用代数式表示十字框中的五个数的和;(3)若将十字框上下左右移动,可框住另外的五个数,其他五个数的和能等于2016吗?如能,写出这五个数,如不能,说明理由.【答案】(1)解:十字框中的五个数的和为6+14+16+18+26=80=16×5,∴十字框中的五个数的和为中间的数16的5倍(2)解:设中间的数为x,则另外四个数分别为x﹣10、x﹣2、x+2、x+10,∴十字框中的五个数的和为(x﹣10)+(x+10)+(x﹣2)+(x+2)+x=5x(3)解:假设能够框出满足条件的五个数,设中间的数为x,根据题意得:5x=2016,解得:x=403.2.∵403.2不是整数,∴假设不成立,∴不能框住五个数,使它们的和等于2016.【解析】【分析】(1)算出十字框中的五个数的和,即可发现是16的5倍;(2)设中间的数为x,则另外四个数分别为x﹣10、x﹣2、x+2、x+10 ,利用整式加法法则即可算出十字框中的五个数的和;(3)假设能够框出满足条件的五个数,设中间的数为x ,根据(2)计算的结果及这五个数的和是2016,,列出方程,求解如解是整数即可,不是整数即不可。
一、初一数学代数式解答题压轴题精选(难)1.|a|的几何意义是数轴上表示数a的点与原点O的距离,例如:|3|=|3﹣0|,即|3﹣0|表示3、0在数轴上对应两点之间的距离.一般地,点A、B在数轴上分别表示数a、b,那么A、B之间的距离可表示为|a﹣b|,解决下面问题:(1)数轴上表示﹣1和2的两点之间的距离是________;数轴上P、Q两点的距离为6,点P表示的数是2,则点Q表示的数是________;(2)点A在数轴上表示数为x,点B、C在数轴上表示的数分别为多项式2m2n+mn﹣2的常数项和次数.________①若B、C两点分别以3个单位长度/秒和2个单位长度/秒的速度同时向右运动t秒.当OC =2OB时,求t的值;________②用含x的绝对值的式子表示点A到点B、点A到点C的距离之和为________,直接写出距离之和的最小值为________.【答案】(1)3;8或﹣4(2)解:∵多项式2m2n+mn﹣2的常数项是﹣2,次数是3,∴点B、C在数轴上表示的数分别为﹣2、3.;运动t秒,B点表示的数为﹣2+3t,C点表示的数为3+2t,∵OC=2OB,∴3+2t=2× ,∴3+2t=2(﹣2+3t),或3+2t=2(2﹣3t),解得t=,或t=,故所求t的值为或;;5.【解析】【解答】(1)解:数轴上表示﹣1和2的两点之间的距离是|2﹣(﹣1)|=3;设点Q表示的数是m,则|m﹣2|=6,解得m=8或﹣4,即点Q表示的数是8或﹣4.故答案为3,8或﹣4。
(2)解:②AB+AC=|﹣2﹣x|+|3﹣x|,其最小值为5.故答案为|﹣2﹣x|+|3﹣x|,5.【分析】(1)根据数轴上A、B两点之间的距离为|AB|=|a−b|,代入数值运用绝对值的性质即可求数轴上表示−1和2的两点之间的距离;设点Q表示的数是m,根据P、Q两点的距离为6列出方程|m−2|=6,解方程即可求解;(2)根据多项式的常数项与次数的定义求出点B、C在数轴上表示的数;①根据OC=2OB列出方程,解方程即可求解;②根据数轴上A、B两点之间的距离为|AB|=|a−b|即可表示AB+AC,然后可得距离之和的最小值.2.从2开始,连续的偶数相加时,它们的和的情况如下表:S和n之间有什么关系?用公式表示出来,并计算以下两题:(1)2a+4a+6a+…+100a;(2)126a+128a+130a+…+300a.【答案】(1)解:依题可得:S=n(n+1).2a+4a+6a+…+100a,=a×(2+4+6+…+100),=a×50×51,=2550a.(2)解:∵2a+4a+6a+…+126a+128a+130a+…+300a,=a×(2+4+6+…+300),=a×150×151,=22650a.又∵2a+4a+6a+…+124a,=a×(2+4+6+…+124),=a×62×63,=3906a,∴126a+128a+130a+…+300a,=22650a-3906a,=18744a.【解析】【分析】(1)根据表中规律可得出当n个连续偶数相加时,它们的和S=n(n+1);由此计算即可得出答案.(2)根据(1)中公式分别计算出2a+4a+……+300a和2a+4a+……+124a的值,再用前面代数式的值减去后面代数式的值即可得出答案.,3.已知x1, x2, x3,…x2016都是不等于0的有理数,若y1= ,求y1的值.当x1>0时,y1= = =1;当x1<0时,y1= = =﹣1,所以y1=±1(1)若y2= + ,求y2的值(2)若y3= + + ,则y3的值为________;(3)由以上探究猜想,y2016= + + +…+ 共有________个不同的值,在y2016这些不同的值中,最大的值和最小的值的差等于________.【答案】(1)解:∵ =±1, =±1,∴y2= + =±2或0(2)±1或±3(3)2017;4032【解析】【解答】解:(2)∵ =±1, =±1, =±1,∴y3= + + =±1或±3.故答案为±1或±3,( 3 )由(1)(2)可知,y1有两个值,y2有三个值,y3有四个值,…,由此规律可知,y2016有2017个值,最大值为2016,最小值为﹣2016,最大值与最小值的差为4032.故答案分别为2017,4032.【分析】(1)根据题意先求出=±1,=±1,就可求出y2的3个值。
2020-2021学年七年级上册数学第3章《代数式》培优练习一.选择题1.(2020春•沙坪坝区校级月考)按如图所示的运算程序,能使输出结果为25的是( )A .3x =-,4y =-B .3x =-,2y =C .3x =,2y =D .3x =,4y =-2.(2019秋•越秀区期末)与2ab 是同类项的是( )A .2a b B .2ab cC .2xyD .22ab -3.(2020春•高新区期末)在数学中,为了书写简便,18世纪数学家欧拉就引进了求和符号“∑”.如记1123(1)n k k n n ==+++⋯+-+∑,3()(3)(4)()nk x k x x x n =+=+++⋯++∑;已知22[()(1)]33nk x k x k xx m=+-+=+-∑,则m 的值是( )A .40-B .20C .24-D .20-4.计算(3331229)(++⋯+3332330)(++⋯+-3332329)(++⋯+3331230)++⋯+的结果是( ) A .2020B .20200C .2700D .270005.(2020•牡丹江)一列数1,5,11,19⋯按此规律排列,第7个数是( ) A .37B .41C .55D .716.(2020•聊城)人行道用同样大小的灰、白两种不同颜色的小正方形地砖铺设而成,如图中的每一个小正方形表示一块地砖.如果按图①②③⋯的次序铺设地砖,把第n 个图形用图?表示,那么第50个图形中的白色小正方形地砖的块数是( )A .150B .200C .355D .505二.填空题7.(2020春•龙湖区期末)将正整数按图所示的规律排列,若用有序数对(,)n m 表示第n 行从左到右第m 个数,如(4,3)表示整数9,则(11,5)表示的整数是 .8.(2020•东莞市校级二模)如果3m n -=,那么223m n --的值是 .9.(2020春•邕宁区校级期末)如图,由等圆组成的一组图中,第1个图由1个圆组成,第2个图由5个圆组成,第3个图由11个圆组成,⋯按照这样的规律排列下去,则第20个图形由 个圆组成.10.(2020•赤峰)一个电子跳蚤在数轴上做跳跃运动.第一次从原点O 起跳,落点为1A ,点1A 表示的数为1;第二次从点1A 起跳,落点为1OA 的中点2A ,第三次从2A 点起跳,落点为2OA 的中点3A ;如此跳跃下去⋯最后落点为2019OA 的中点2020A ,则点2020A 表示的数为 .11.(2020春•郑州期末)有一种数字游戏,操作步骤为:第一步,任意写一个自然数(以下简称为原数,原数中至少有一个偶数数字),且位数小于10;第二步,再写一个新三位数,它的百位数字是原数中偶数数字的个数,十位数字是原数中奇数数字的个数,个位数字是原数的位数.以下每一步都以上一步得到的数为原数按照第二步的规则进行重复操作,则重复第二步的操作2020次后得到的数是 .12.(2020•昆明)观察下列一组数:23-,69,1227-,2081,30243-,⋯,它们是按一定规律排列的,那么这一组数的第n 个数是 .13.(2019秋•锦江区校级期末)一列数按某规律排列如下1121231234,,,,,,,,,1213214321,⋯若第n 个数为56,则n = .14.(2019秋•茂名期中)观察下列数表的规律,第10行各数之和为 .15.(2018•资中县模拟)填在下面各正方形中的四个数之间都有相同的规律,根据这种规律n 的值为 .16.(2018•伊金霍洛旗一模)如图所示,下列各三角形中的三个数之间均具有相同的规律,根据此规律,最后一个三角形中y 与n 之间的关系式是 .三.解答题17.代数式|3|22||(1)3m m x y m x y x ---+是关于x ,y 的四次三项式,求m 的值.18.(2020•石家庄一模)数学老师给出这样一个题目:□2-⨯△22x x =-+.(1)若“□””与“△”相等,求“△”(用含有x 的代数式表示)(2)若“□”为2326x x --+,当1x =时,请你求出“△”的值.19.(2020•定兴县一模)如图1,给定一个正方形,要通过画线将其分割成若干个互不重叠的正方形.第1次画线分割成4个互不重叠的正方形,得到图2;第2次画线分割成7个互不重叠的正方形,得到图3⋯⋯以后每次只在上次得到图形的左上角的正方形中画线.尝试:第3次画线后,分割成 个互不重叠的正方形; 第4次画线后,分割成 个互不重叠的正方形.发现:第n 次画线后,分割成 个互不重叠的正方形;并求第2020次画线后得到互不重叠的正方形的个数.探究:若干次画线后,能否得到1001个互不重叠的正方形?若能,求出是第几次画线后得到的;若不能,请说明理由.20.(2020春•定远县期末)观察下列等式: ①2111313=-⨯ ②2112424=-⨯ ③2113535=-⨯⋯(1)根据以上规律写出第④个等式: ;(2)用含字母(m n 为正整数)的等式表示你发现的规律,并说明规律的正确性; (3)利用你发现的规律,计算:1111132435911+++⋯+⨯⨯⨯⨯.21.(2020春•竞秀区校级期末)仔细观察下列等式:第1个:225183-=⨯第2个:229587-=⨯第3个:22139811-=⨯第4个:221713815-=⨯⋯(1)请你写出第6个等式: ; (2)请写出第n 个等式,并加以验证;(3)运用上述规律,计算:8781183998403⨯+⨯+⋯+⨯+⨯.22.(2020•合肥三模)如图,下列各正方形中的四个数之间具有相同的规律.根据此规律,回答下列问题: (1)第5个图中4个数的和为 . (2)a = ;c = .(3)根据此规律,第n 个正方形中,2564d =,则n 的值为 .一.选择题1.(2020春•沙坪坝区校级月考)按如图所示的运算程序,能使输出结果为25的是( )A .3x =-,4y =-B .3x =-,2y =C .3x =,2y =D .3x =,4y =-【解答】解:当3x =-,4y =-时,22()(34)49x y +=--=, 当3x =-,2y =时,229413x y +=+=, 当3x =,2y =时,22()(32)25x y +=+=, 当3x =,4y =-时,22()(34)1x y +=-=. 故选:C .2.(2019秋•越秀区期末)与2ab 是同类项的是( )A .2a b B .2ab cC .2xyD .22ab -【解答】解:A 、2a b 与2ab 不是同类项,故本选项错误;B 、2ab c 与2ab 不是同类项,故本选项错误;C 、2xy 与2ab 不是同类项,故本选项错误;D 、22ab -与2ab 是同类项,故本选项正确;故选:D .3.(2020春•高新区期末)在数学中,为了书写简便,18世纪数学家欧拉就引进了求和符号“∑”.如记1123(1)n k k n n ==+++⋯+-+∑,3()(3)(4)()nk x k x x x n =+=+++⋯++∑;已知22[()(1)]33nk x k x k xx m=+-+=+-∑,则m 的值是( )A .40-B .20C .24-D .20-【解答】解:根据题意可知: 二次项的系数为3, 4n ∴=,∴22[()(1)](2)(1)(3)(2)(4)(3)33nk x k x k x x x x x x xx m=+-+=+-++-++-=+-∑,整理得:222222612332033x x x x x x x x x x m +-++-++-=+-=+-,则20m =. 故选:B .4.计算(3331229)(++⋯+3332330)(++⋯+-3332329)(++⋯+3331230)++⋯+的结果是( ) A .2020B .20200C .2700D .27000【解答】解:(3331229)(++⋯+3332330)(++⋯+-3332329)(++⋯+3331230)++⋯+ (=3332329)(++⋯+3332330)(++⋯++3332330)(++⋯+-3332329)(++⋯+3333332330)(2329)++⋯+-++⋯+ (=3332330)(++⋯+-3332329)++⋯+ 330=27000=.故选:D .5.(2020•牡丹江)一列数1,5,11,19⋯按此规律排列,第7个数是( ) A .37B .41C .55D .71【解答】解:1121=⨯-, 5231=⨯-, 11341=⨯-, 19451=⨯-,⋯第n 个数为(1)1n n +-, 则第7个数是:55. 故选:C .6.(2020•聊城)人行道用同样大小的灰、白两种不同颜色的小正方形地砖铺设而成,如图中的每一个小正方形表示一块地砖.如果按图①②③⋯的次序铺设地砖,把第n 个图形用图?表示,那么第50个图形中的白色小正方形地砖的块数是( )A .150B .200C .355D .505【解答】解:由图形可知:第1个图形12块白色小正方形,第2个图形19个白色小正方形,第3个图形26个白色小正方形则图?的白色小正方形地砖有(75)n +块, 当50n =时,753505355n +=+=. 故选:C .二.填空题7.(2020春•龙湖区期末)将正整数按图所示的规律排列,若用有序数对(,)n m 表示第n 行从左到右第m 个数,如(4,3)表示整数9,则(11,5)表示的整数是 60 .【解答】解:第一排最后一个数字为1, 第二排最后一个数字为312=+, 第三排最后一个数据6123=++, 第四排最后一个数字101234=+++,⋯⋯∴第十排最后一个数字为1231055+++⋯⋯+=,则第11行第5个数字为55560+=, 故答案为:60.8.(2020•东莞市校级二模)如果3m n -=,那么223m n --的值是 3 . 【解答】解:3m n -=,∴原式2()3m n =--233=⨯- 63=- 3=.故答案为:3.9.(2020春•邕宁区校级期末)如图,由等圆组成的一组图中,第1个图由1个圆组成,第2个图由5个圆组成,第3个图由11个圆组成,⋯按照这样的规律排列下去,则第20个图形由 419 个圆组成.【解答】解:根据图形的变化,发现第n 个图形的最上边的一排是1个圆,第二排是2个圆,第三排是3个圆,⋯,第n 排是n 个圆; 则第n 个图形的圆的个数是: 2(121)(21)n n ++⋯-+- 21n n =+-.当20n =时, 220201419+-=,故答案为:419.10.(2020•赤峰)一个电子跳蚤在数轴上做跳跃运动.第一次从原点O 起跳,落点为1A ,点1A 表示的数为1;第二次从点1A 起跳,落点为1OA 的中点2A ,第三次从2A 点起跳,落点为2OA 的中点3A ;如此跳跃下去⋯最后落点为2019OA 的中点2020A ,则点2020A 表示的数为 201912 .【解答】解:第一次落点为1A 处,点1A 表示的数为1; 第二次落点为1OA 的中点2A ,点2A 表示的数为12;第三次落点为2OA 的中点3A ,点3A 表示的数为21()2;⋯则点2020A 表示的数为20191()2,即点2020A 表示的数为201912;故答案为:201912.11.(2020春•郑州期末)有一种数字游戏,操作步骤为:第一步,任意写一个自然数(以下简称为原数,原数中至少有一个偶数数字),且位数小于10;第二步,再写一个新三位数,它的百位数字是原数中偶数数字的个数,十位数字是原数中奇数数字的个数,个位数字是原数的位数.以下每一步都以上一步得到的数为原数按照第二步的规则进行重复操作,则重复第二步的操作2020次后得到的数是123.【解答】解:第一步,任意写一个自然数2004,第二步,2004的偶数数字是2、0、0、4,有四个数字,∴新三位数的百位数字是4,2004的奇数数字有0个,∴新三位数的十位数字是0,2004由四位数组成,∴新三位数的个位数字是4,∴新三位数是404;第三步,404的偶数数字是4、0、4,有三个数字,∴新三位数的百位数字是3,404的奇数数字有0个,∴新三位数的十位数字是0,404由三位数组成,∴新三位数的个位数字是3,∴新三位数是303;第四步,303的偶数数字是0,有一个数字,∴新三位数的百位数字是1,303的奇数数字有2个,∴新三位数的十位数字是2,303由三位数组成,∴新三位数的个位数字是3,∴新三位数是123;第五步,123的偶数数字是2,有一个数字,∴新三位数的百位数字是1,123的奇数数字有2个,∴新三位数的十位数字是2,123由三位数组成,∴新三位数的个位数字是3, ∴新三位数是123; ∴这个数是123.故重复第二步的操作2020次后得到的数是123. 故答案为:123.12.(2020•昆明)观察下列一组数:23-,69,1227-,2081,30243-,⋯,它们是按一定规律排列的,那么这一组数的第n 个数是 (1)(1)3nn n n ⨯+-. .【解答】解:观察下列一组数: 121233⨯-=-, 262393⨯=, 31234273⨯-=-,42045813⨯=, 530562433⨯-=-,⋯,它们是按一定规律排列的,那么这一组数的第n 个数是:(1)n-(1)3n n n ⨯+.故答案为:(1)n-(1)3n n n ⨯+.13.(2019秋•锦江区校级期末)一列数按某规律排列如下1121231234,,,,,,,,,1213214321,⋯若第n 个数为56,则n = 50 .【解答】解:1121231234,,,,,,,,,1213214321,⋯∴可写成11,1(2,2)1,1(3,22,3)1,1(4,23,32,4)1,⋯∴分母为10开头到分母为1的数有10个,分别为12345678910,,,,,,,,, 10987654321,∴第n个数为56,则12349550 n=++++⋯++=,故答案为:50.14.(2019秋•茂名期中)观察下列数表的规律,第10行各数之和为1729.【解答】解:由条件知:第10行一共有:210119⨯-=个数,第10行的所有数为:82,83,84,85,⋯,97,98,99,100;∴第10行各数之和为:821001917292+⨯=;故答案为1729.15.(2018•资中县模拟)填在下面各正方形中的四个数之间都有相同的规律,根据这种规律n的值为234.【解答】解:分析前三个正方形可知,规律为右上和左下两个数的积加上左上的数与2的和的3倍,且左上,右上,左下,三个数是相邻的奇数.因此,图中阴影部分的两个数分别是右上是13,左下是15.右下13153(112)234=⨯+⨯+=,234n∴=,故答案为234.16.(2018•伊金霍洛旗一模)如图所示,下列各三角形中的三个数之间均具有相同的规律,根据此规律,最后一个三角形中y与n之间的关系式是2ny n=+.【解答】解:观察可知:各三角形中左边第一个数的数字规律为:1,2,⋯,n , 右边第二个数的数字规律为:2,22,⋯,2n,下边第三个数的数字规律为:12+,222+,⋯,2nn +,∴最后一个三角形中y 与n 之间的关系式是2ny n =+. 故答案为2ny n =+. 三.解答题(共6小题)17.代数式|3|22||(1)3m m x y m x y x ---+是关于x ,y 的四次三项式,求m 的值. 【解答】解:由题意得: ①|3|24m -+=, 解得:1m =或5, 10m -≠,且||24m +,解得:1m ≠,22m -, 1m ∴=或5不合题意,舍去;②||24m +=, 解得:2m =±,10m -≠,且|3|24m -+,解得:1m ≠,15m , 2m ∴=,综上所述:2m =.18.(2020•石家庄一模)数学老师给出这样一个题目:□2-⨯△22x x =-+.(1)若“□””与“△”相等,求“△”(用含有x 的代数式表示)(2)若“□”为2326x x --+,当1x =时,请你求出“△”的值.【解答】解:(1)由题意得:□2-⨯△22x x =-+,∴-△22x x =-+,∴△22x x =-;(2)“□”为2326x x --+,□2-⨯△22x x =-+,2∴△2223262446x x x x x x =--++-=-+,∴△2223x x =-+,当1x =时,原式2233=-+=.19.(2020•定兴县一模)如图1,给定一个正方形,要通过画线将其分割成若干个互不重叠的正方形.第1次画线分割成4个互不重叠的正方形,得到图2;第2次画线分割成7个互不重叠的正方形,得到图3⋯⋯以后每次只在上次得到图形的左上角的正方形中画线.尝试:第3次画线后,分割成 10 个互不重叠的正方形; 第4次画线后,分割成 个互不重叠的正方形.发现:第n 次画线后,分割成 个互不重叠的正方形;并求第2020次画线后得到互不重叠的正方形的个数.探究:若干次画线后,能否得到1001个互不重叠的正方形?若能,求出是第几次画线后得到的;若不能,请说明理由. 【解答】解:尝试:33110⨯+=, 34113⨯+=;故答案为:11,13; 发现:通过尝试可知:第n 次画线后,分割成的正方形为:31n +;当2020n =时,316061n +=,即第2020次画线后得到互不重叠的正方形的个数是6061; 故答案为:(31)n +; 探究:不能.设每次画线后得到互不重叠的正方形的个数为m ,则31m n =+. 若1001m =,则100131n =+.解得13333n =.这个数不是整数,所以不能.20.(2020春•定远县期末)观察下列等式: ①2111313=-⨯ ②2112424=-⨯ ③2113535=-⨯⋯(1)根据以上规律写出第④个等式: 2114646=-⨯ ;(2)用含字母(m n 为正整数)的等式表示你发现的规律,并说明规律的正确性; (3)利用你发现的规律,计算:1111132435911+++⋯+⨯⨯⨯⨯. 【解答】解:(1)第④个等式为2114646=-⨯;(2)得出第n 个等式为:211(2)2n n n n =-++; (3)原式11111111111(1)()()()232242352911=-+-+-+⋯+- 1111(1)221011=+-- 3655=. 故答案为:2114646=-⨯.21.(2020春•竞秀区校级期末)仔细观察下列等式:第1个:225183-=⨯第2个:229587-=⨯第3个:22139811-=⨯第4个:221713815-=⨯⋯(1)请你写出第6个等式: 222521823-=⨯ ;(2)请写出第n 个等式,并加以验证;(3)运用上述规律,计算:8781183998403⨯+⨯+⋯+⨯+⨯. 【解答】解:(1)根据式子的特点,可知第6个等式是: 222521823-=⨯;故答案为:222521823-=⨯;(2)第n 个等式是:22(41)(43)8(41)n n n +--=-.验证:左边22(41)(43)n n =+--22168116249n n n n =++-+- 328n =-8(41)n =-=右边;(3)8781183998403⨯+⨯+⋯+⨯+⨯2222222295139401397405401=-+-+⋯+-+- 224055=- (40550)(4055)=+- 410400=⨯ 164000=.22.(2020•合肥三模)如图,下列各正方形中的四个数之间具有相同的规律.根据此规律,回答下列问题:(1)第5个图中4个数的和为 152- . (2)a = ;c = .(3)根据此规律,第n 个正方形中,2564d =,则n 的值为 . 【解答】解:(1)第5个图形中的4个数分别是16-,32-,28-,76- 4个数的和为:16322876152----=-.(2)1(1)2n n a -=-;2(1)2n n b a ==-, 4(1)24n n c b =+=-+.(3)根据规律知道,若25640d =>, 则n 为偶数, 当n 为偶数时12n a -=,2n b =,24n c =+,122242564n n n-+++=,依题意有12222560n n n -++=,解得10n =.故答案为:152-;1(1)2n n --;(1)24n n -+;10.。
代数式培优训练1◆随堂检测一、选择题:1.下列属于代数式的是( )A 、S=abB 、a 2-b 2=(a +b )(a -b )C 、2a +3D 、S=πR 2 2.在-2,π,2x ,x +1,2xy中,代数式有( ) A 、2个 B 、3个 C 、4个 D 、5个 3.“a 的相反数与a 的2倍的差”,用代数式表示为( )A 、a -2aB 、-a -2aC 、a +2aD 、-a +2a 4.下列代数式书写规范的是( )A 、a ×2B 、121a C 、(5÷3)a D 、2a 2 5.下列式子书写正确的有( )①2×b;②m ÷3;③0050x ;④122ab ;⑤90-cA,1个 B, 2个 C, 3个 D,4个 6.“m 与n 的差的平方”,用代数式表示为 。
7.“a 的 3 倍与 b 的34的和”用代数式表示为 8.被 3 除商为 n 余 1 的数是9.某电影院第一排有x 个座位,后面每一排都比前一排多2个座位,则第n 排有 个座位。
10.某市的出租车的起步价为5元(行驶不超过7千米),以后每增加1千米,加价1.5元,现在某人乘出租车行驶P 千米的路程(P >7)所需费用是 。
11.用代数式表示(1)比a 的倒数与b 的倒数的和大1的数 (2)a 与3的和的20%(3)比x 与y 的积的倒数的4倍小3的数 (4)a ,b 两数的平方和除以a ,b 两数的和的平方12.用语言叙述代数式22a b -, 。
13.说出下列代数式的意义(1)2()a b + (2)22a b + (3)11m n- (4)()()x y x y +-◆拓展提高1.用代数式表示:(1)如果两数之和为20,其中一个数用字母x 表示,那么这两个数的积为 。
(2)设n 为整数,则三个连续的偶数: 。
(3)比a 的平方大3的数 。
(4)某产品的生产成品由x 元下降5%后是 元(5)梯形的上底是m ,下底是上底的2倍,高比上底小1,则这个梯形的面积为 。
一、初一数学代数式解答题压轴题精选(难)1.用1块A型钢板可制成2块C型钢板和1块D型钢板;用1块B型钢板可制成1块C 型钢板和3块D型钢板.现购买A、B型钢板共100块,并全部加工成C、D型钢板.设购买A型钢板x块(x为整数)(1)可制成C型钢板块(用含x的代数式表示);可制成D型钢板块[用含x的代数式表示).(2)出售C型钢板每块利润为100元,D型钢板每块利润为120元.若将C、D型钢板全部出售,通过计算说明此时获得的总利润.(3)在(2)的条件下,若20≤x≤25,请你设计购买方案使此时获得的总利润最大,并求出最大的总利润.【答案】(1)解:设购买A型钢板x块(x为整数),则购买B型钢板(100﹣x)块,根据题意得:可制成C型钢板2x+(100﹣x)=(x+100)块,可制成D型钢板x+3(100﹣x)=(﹣2x+300)块.故答案为:x+100;﹣2x+300(2)解:设获得的总利润为w元,根据题意得:w=100(x+100)+120(﹣2x+300)=﹣140x+46000(3)解:∵k=﹣140<0,∴w值随x值的增大而减小,又∵20≤x≤25,∴当x=20时,w取最大值,最大值为43200,∴购买A型钢板20块、B型钢板80块时,可获得的总利润最大,最大的总利润为43200元.【解析】【分析】(1)设购买A型钢板x块(x为整数),则购买B型钢板(100﹣x)块,根据“ 用1块A型钢板可制成2块C型钢板和1块D型钢板;用1块B型钢板可制成1块C型钢板和3块D型钢板”从而用含x的代数式表示出可制成C型钢板及D型钢板的数量.(2)设获得的总利润为w元,根据总利润=100×制成C型钢板的数量+120×制成D型钢板的数量,从而得出结论.(3)利用一次函数的性质求出最大利润及购买方案即可.2.从2012年4月1日起厦门市实行新的自来水收费阶梯水价,收费标准如下表所示:②.以上表中的价格均不包括1元/吨的污水处理费(1)某用户12月份用水量为20吨,则该用户12月份应缴水费是多少?(2)若某用户的月用水量为m吨,请用含m的式子表示该用户月所缴水费.【答案】(1)解:该用户12月份应缴水费是15×2.2+5×3.3+20=69.5(元)(2)解:①m≤15吨时,所缴水费为2.2m元,②15<m≤25吨时,所缴水费为2.2×15+(m﹣15)×3.3=(3.3m﹣16.5)元,③m>25吨时,所缴水费为2.2×15+3.3×(25﹣15)+(m﹣25)×4.4=(4.4m﹣110)元.【解析】【分析】(1)该用户12月份应缴水费三两部分构成:不超过15吨的水费+超过15吨不超过25吨的9吨的水费+20吨的污水处理费,列代数式求解即可。
代数式经典培优试题汇编
代数表达式的经典问题是由10.29
多项式(1)的相关概念汇编而成的:几个单项式的和称为多项式(2)多项式项:多项式中的每个单项称为多项式项(3)不变项目:没有字母的项目称为不变项目(4)多项式次数:多项式中最高次项的次数称为多项式次数(5)代数表达式:单项式和多项式统称为代数表达式
1。
在公式m+5中,ab,a=1,0,π,3(x+y),x>3,有()
A 6
B 5
C 4
D 3 2代数表达式。
在下列表达式中,非代数表达式有() a-23 x b
1 c 1
2 x+5 x d 0 x 3。
以下判断:(1)?xy2?不是单项的;(2)
x?y1?x是多项式;(3)0不是单项式;(4)是一个代数表达式,其中正确的3x是()
A 1
B 2
C 3
D 4 4。
在下面的代数表达式中:
ab23,?4,?abc,0,x?y,中间,单项式有()33xA 3 B 4 C 5 D 6 23xy45。
单项式?次数是()A 8 B 3 C 4 D 5
76。
下面的陈述是正确的()
222
A代数表达式必须是单项式b单项式必须是代数表达式c单项式x 的次数是0 D单项式-π xy的次数是6 7。
在下列代数表达式中: 1121ab,a?ab2?b?1,??3?,x2?x?在1中,多项式有22?
2A 2 B 3 C 4 D 5
8。
以下陈述是正确的()
x223π 2ab41a。
偏执狂?的系数是多少?3b .单项形式?的指数是7。
它是单项式d。
单项式可能不包含字母
x239。
下列3次多项式为()
222
a-5x+6x-1 bπx+x-1 ca b+ab+bdxy-2 xy-110。
以下陈述是正确的()
x?1xy和都是单项式32x?y2x?1ab22C和x?2xy?y是多项式D,代数表达式
z27a3x-5的项是3x,而5 B
11。
如果m和n是自然数,多项式A?b?2的次数是()
A m
B 2n
C m?2n中较大的数
22
12D m和2n。
当x = 3时,代数表达式px+qx+1的值是2002,当x =-3时,代数表达式px-qx+1的值是
m2nm?2n()
a . 2000 b-2002 c-2000d . 2001
13。
当x = 1时,代数表达式px
3
+qx+1的值为2003,当x =-1时,代数表达式px3+qx+1的值为
a-2001 b-2002 c-2003d 2001
14。
有人以每小时3公里的速度爬山,下山时以每小时6公里的速度
返回他原来的地方。
那么
的平均往返速度是()
a . 4公里/小时4.5/小时5公里/小时5.5/小时
abm?115.如果?6是一个四次单项式,那么m的值是,系数是16。
某一商品的购买价格为人民币1元,零售商店将提价30%。
销售旺季过后,该店将以20%的价格推出促销活动。
这时,商品的价格是
ab2c417。
偏执狂?318.如果单项式
的系数是,次数是,多项式3x2y?8x2y2?9的最高分项是
?n?2?x2y1?如果n是x和y的立方单项式,那么n?
219。
当2y-x = 5,5(x?2y)?3(?x?2y)?100的值是
2 (a?b)4(a )?b)a?b?20.已知值有?3、代数表达式a?b3(a?b)a?B21。
什么时候?1、何时斧头?bx?cx?1?3,当x??1、何时ax535?bx3?cx?1?
22。
一种商品每件售价一元。
定价成本增加了25%。
由于仓库存货过多,它以92%的价格售出。
也可以赚取
23。
众所周知,多项式(a-1)x
5
+x | b+2 |-2x+b是二次三项式,那么a = _ _ _,b = _ _ _ _ _
24。
如果一艘船的第一公里运费是25元,每增加一公里运费将增加5元。
现在有人包租
行驶S公里(S为整数,s≥1),所需运费表示为_ _ _ _ _ _ _ _ _ _ _。
当S = 6公里时,运费为_ _ _ _ _ _ _ _ _ _ _
34 x 2
25。
已知的多项式-6xy-7x3m-1y2+-xy-5是七次多项式,并且计算m 值。
3
26。
已知的等式9?6y?4y?7,2y?3y?7的值是
27。
什么时候?2、代数表达式ax
43223?bx?1的值等于吗?17,那么什么时候x??1,代数表达式12ax?3bx3?5的值
28。
已知的代数表达式ax?bx?cx?dx?3,当x?当为2时,其值为20;什么时候??当2,它的值是16,找到x?2、代数表达式
2ax4?cx2?3的值是
xy3x?5xy?3y?329.已知的代数表达式值x?y。
x?3xy?y
2222m?2mn?n5xy?n?3y?2??30.如果多项式是一个关于x值y的四次二项式,则求
m
31。
已知的单项式?
22???5x?2m?1x??2?3n?x?当1不包含第二项和第一项时,求m和n的值。
32.当多项式的次数为
143xy和多项式a2?早上8点?1b?a2b2的数目是相同的,并且获得m的值。
2
33。
有一系列单项式:-x,2x2
,-3x,4x,?,- 19x,20x 341190
.1你能说出他们的规则是
吗?______(2)写2017年的单项式是_ _ _ _ _ _(3)写n的单项式是_ _ _ _ _ _第(n+1)个单项式是_ _ _ _ _ _
34。
水坝的横截面是等腰梯形。
顶层用块甲铺砌,每层再铺一块,底层用块乙铺砌,共n层。
总共铺了多少块?当a = 20,b = 40,n = 17时,大坝的这一段有多少块石头?
35的几何意义。
|a|是:从a点到数轴原点的距离;| a-b |的几何意义是:数轴上a和b两点之间的距离。
如果| x-5 | = 3,x的值是_ _ _ _ _ _ 如果| x+1 |+| 2-x | =如果| x+2 |+| x-3 | > 5,则x的取值范围为_ _ _ _ _ _ _ _ _ _
36。
图1是一个三角形,分别连接三角形三条边的中点,得到图2;然后分别连接图3-4 (2)中间小三角形三条边的中点,得到图3。
继续用这种方法,请根据每个图中三角形的数量规则完成下列问题
(1)在下表中填入具有完整数字1 1 2 5 3 9 4 5??
(2)第n个图形中有_ _ _ _ _ _ _ _ _ _ _ _ _ _ _ _ _ _ _ _ _ _ _个三角形(用包含n的公式表示)
37。
观察下图中有多少三角形。
你发现三角形的数量有什么规律?①
③
?
个三角形3个三角形...三角形...三角形?第n位
38。
把棱长为a的立方体做成图形,从上到下数,一个在第一层,三个在第二层??根据这个规则,五楼的立方体数是
19939。
正六边形黑白地砖按照图中所示的规则组合成若干个图案:(1)第四个图案中有白色地砖;(2)在第n个图案中有白色底砖
第一
第二
第三
??
40。
如图11所示,小明是在用火柴造1条、2条和3条金鱼吗??为了建造n条“金鱼”,你需要。
??
1
2
3
图11
41。
下图显示了一个同学在沙滩上用石头搭建的小房子。
观察图形的变化规律。
第n座小房子是用石头写的。
42。
如图所示,相同大小的黑色碎片被放置在正多边形的边缘。
根据该规则,第n个数字所需的黑色块的数量是。