《信号与系统分析基础》第3章习题解答
- 格式:doc
- 大小:1.95 MB
- 文档页数:11
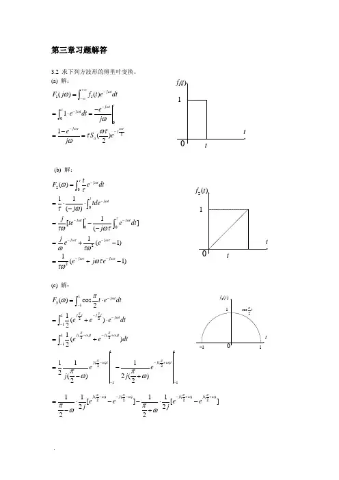
第三章习题解答3.2 求下列方波形的傅里叶变换。
(a) 解:1102()()11()2j t j t j t j j a F j f t e dt e e dt j e S e j ωτωτωωτωτωωωττω+∞--∞----=-=⋅=-==⎰⎰(b) 解:200022()11()1[](1(1)1(1)j t t j t j t j t j j j j tF e dttde j j te e dt j j e e ej eτωωττωωωτωτωτωτωττωτωωτωτωωττω--------==⋅⋅-=--=+-=+-⎰⎰⎰(c) 解:13112211()()22111()()2211()cos21()21()21112()2()22j t j t j t j t j t j t j t j tF t e dte e e dt e e dt e ej j ωππωππωωππωωπωππωω-------+---+--=⋅=+⋅=+=--+⎰⎰⎰()()()()22221111[][]2222j j j j e e e e j j ππππωωωωππωω----++=⋅--⋅--+2222sin()sin()cos ()cos ()cos 2222()()2222ππππωωωωωωπωππππωωωω-+⋅++⋅-⋅=+==-+--3.3依据上题中a,b 的结果,利用傅里叶变换的性质,求题图3.3所示各信号的傅里叶变换. (b) 解:262()()()f t g t g t =+,而()()2g t Sa τωττ↔2()6(3)2()F Sa Sa ωωω∴=+如利用3.2中(a)的结论来解,有:211'()(3)(1)f t f t f t ττ=+++,其中6,'2ττ==.3211'()()()6(3)2()j j F e F e F Sa Sa ωωττωωωωω∴=⋅+⋅=+(如()()f t F ω↔,则00()()j t f t t eF ωω±↔)(c) 解:32222()2()2(),1f t f t f t τττ=++-+= 由3.2(b)知,2221()(1)j j F e j e ωτωτωωττω--=+-32222222222222()2()2(),1112(1)2(1)222222444cos (1cos )j j j j j j j j j j F e F e F e e j e e e j e je je ωτωτωωωωωωωωωωωτωωωωωωωωωωωωωωω-----∴=+-==⋅⋅+-+⋅⋅--=+-+--=-=-3.4利用对称性求下列各函数的傅里叶变换.(2) 222(),.f t t tαα=-∞<<+∞+ 解:222t e αααω-↔+ ,由对称性,2222et αωαπα-↔+(3)2()f t444444444244()(2)(2)1(2)()21111()(2)(2)[()]*[()][()()]22282,()()0.22,()()2;26,()()f t Sa t Sa t Sa t g f t Sa t Sa t g g g g g g g g d g g d πππππππωππππππππωππωωωωππωπωωπωπωωυωππωπωωυ-=⋅↔=⋅↔=*<-*=-<<*==+<<*=⎰解:而,利用频域卷积特性,得:积分:2444246.6,()()0g g πωππππωππωωπωω-=-+=->*=⎰3.8(3) ()(2)()2()dF t f t j F d ωωω-↔-(6) (25)f t -;由1[()]()j b a F f at b e F a a ωω--=⋅,2,5,a b == 2.51(25)()22j f t e F ωω-∴-↔⋅3.9 计算下列各信号的傅里叶变换.(2) 3()2(32)()2[2()],2u t t u t t δδδ+-=+-是偶函数332232()1,1[()]().2, 3.112(32)21,()().21()2(32)()j b aj j j t F f at b e F a aa b t e e u t j u t t e j ωωωωδωδπδωωδπδωω----↔-===∴-↔⋅⋅⋅=↔+∴+-↔++ 由(7) 33(2)63(3)9[(2)(3)](2)(3)tt t e u t u t eu t e e u t e --+---+--=⋅+-⋅-33(2)23(3)31().11();(2)331(3)3t t t j t j e u t j e u t e u t e j j e u t e j αωωαωωωω---+---↔+∴↔+↔++-↔+ 同理:32(3)3(3)1[(2)(3)]()3t j j e u t u t e e j ωωω-+-+∴+--↔-+3.13 已知阶跃函数和正弦、余弦函数的傅里叶变换如下:0000001[()]()[c o s ][()()][s i n ][()()]F u t j F t F t j πδωωωπδωωδωωωπδωωδωω=+=++-=+-- 求单边正弦函数和单边余弦函数的傅里叶变换。
各章习题及答案第一章绪论1 .举例说明什么是测控?答:(1) 测控例子:为了确定一端固定的悬臂梁的固有频率,我们可以采用锤击法对梁进行激振,再利用压电传感器、电荷放大器、波形记录器记录信号波形,由衰减的振荡波形便可以计算出悬臂梁的固有频率。
(2)结论:由本例可知:测控是指确定被测对象悬臂梁的属性—固有频率的全部操作,是通过一定的技术手段—激振、拾振、记录、数据处理等,获取悬臂梁固有频率的信息的过程。
2. 测控技术的任务是什么?答:测控技术的任务主要有:通过模型试验或现场实测,提高产品质量;通过测控,进行设备强度校验,提高产量和质量;监测环境振动和噪声,找振源,以便采取减振、防噪措施;通过测控,发现新的定律、公式等;通过测控和数据采集,实现对设备的状态监测、质量控制和故障诊断。
3. 以方框图的形式说明测控系统的组成,简述主要部分的作用。
测控系统方框图如下:(2)各部分的作用如下:●传感器是将被测信息转换成某种电信号的器件;●信号的调理是把来自传感器的信号转换成适合传输和处理的形式;●信号处理环节可对来自信号调理环节的信号,进行各种运算、滤波和分析;●信号显示、记录环节将来自信号处理环节的信号显示或存贮。
●模数(A/D)转换和数模(D/A)转换是进行模拟信号与数字信号相互转换,以便用计算机处理。
4.测控技术的发展动向是什么?传感器向新型、微型、智能型方向发展;测控仪器向高精度、多功能、小型化、在线监测、性能标准化和低价格发展;参数测量与数据处理向计算机为核心发展;5. A precise optional signal source can control the output power level to within 1%. A laser is controlled by an input current to yield the power output. A microprocessor controls the input current tothe laser. The microprocessor compares the desired power level with a measured signal proportional to the laser power output obtained from a sensor. Complete the block diagram representing thisclosed-loop control system shown in Fig E1.1, identifying the output, input, and measured variables and the control device.答:6. many luxury automobiles have thermostatically controlled air-conditioning system(恒温空调系统)for the comfort of the passengers. Sketch a block diagram of an air-condition temperature on a dashboard panel(仪表盘). Identify the function of each element of the thermostatically controlled cooling system.答:7. In the past, control systems used a human operator as part of a closed-loop control system. Sketch the block diagram of the valve control system shown in Fig. P1.2.答:8. The student-teacher learning process is inherently a feedback process intended to reduce the system error back model of the learning process and identify each block of the system.答:9. Automatic control of water level using a float level was used in the Middle East for a water clock. The water clock was used from sometime before Christ until the seventeenth century. Discuss the operation of the water clock, and establish how the float provides a feedback control that maintains the accuracy of the clock. Sketch a block diagram of the feedback system.答:第二章信号与系统分析基础1求周期方波的傅立叶级数(复指数函数形式),画出|c n|-ω和ϕ-ω图。
信号系统(第3版)习题解答《信号与系统》(第3版)习题解析高等教育出版社目录第1章习题解析 (2)第2章习题解析 (6)第3章习题解析 (16)第4章习题解析 (23)第5章习题解析 (31)第6章习题解析 (41)第7章习题解析 (49)第8章习题解析 (55)第1章习题解析1-1 题1-1图示信号中,哪些是连续信号?哪些是离散信号?哪些是周期信号?哪些是非周期信号?哪些是有始信号?(c) (d)题1-1图解 (a)、(c)、(d)为连续信号;(b)为离散信号;(d)为周期信号;其余为非周期信号;(a)、(b)、(c)为有始(因果)信号。
1-2 给定题1-2图示信号f ( t ),试画出下列信号的波形。
[提示:f ( 2t )表示将f ( t )波形压缩,f (2t )表示将f ( t )波形展宽。
] (a) 2 f ( t - 2 )(b) f ( 2t )(c) f ( 2t ) (d) f ( -t +1 )题1-2图解 以上各函数的波形如图p1-2所示。
图p1-21-3 如图1-3图示,R 、L 、C 元件可以看成以电流为输入,电压为响应的简单线性系统S R 、S L 、S C ,试写出各系统响应电压与激励电流函数关系的表达式。
题1-3图解 各系统响应与输入的关系可分别表示为)()(t i R t u R R ⋅= tt i L t u L L d )(d )(= ⎰∞-=t C C i Ct u ττd )(1)(1-4 如题1-4图示系统由加法器、积分器和放大量为-a 的放大器三个子系统组成,系统属于何种联接形式?试写出该系统的微分方程。
S R S L S C题1-4图解 系统为反馈联接形式。
设加法器的输出为x ( t ),由于)()()()(t y a t f t x -+=且)()(,d )()(t y t x t t x t y '==⎰故有 )()()(t ay t f t y -='即)()()(t f t ay t y =+'1-5 已知某系统的输入f ( t )与输出y ( t )的关系为y ( t ) = | f ( t )|,试判定该系统是否为线性时不变系统?解 设T 为系统的运算子,则可以表示为)()]([)(t f t f T t y ==不失一般性,设f ( t ) = f 1( t ) + f 2( t ),则)()()]([111t y t f t f T ==)()()]([222t y t f t f T ==故有)()()()]([21t y t f t f t f T =+=显然)()()()(2121t f t f t f t f +≠+即不满足可加性,故为非线性时不变系统。
第3章 傅里叶变换3-1 求图3-1所示对称周期矩形信号的傅里叶级数(三角形式与指数形式)。
图3-1解:(1)三角形式由图3-1可知,f(t)为奇函数,故有所以三角形式的傅里叶级数为。
(2)指数形式因所以指数形式的傅里叶级数为。
3-2 周期矩形信号如图3-2所示。
若:重复频率f=5kHz脉宽τ=20μs幅度E=10V求直流分量大小以及基波、二次和三次谐波的有效值。
图3-2解:由图3-2可知,f(x)为偶函数,且f=5kHz,得:所以直流分量为1V基波分量为1sin() 1.3910Vπ=≈二次谐波为2sin( 1.325Vπ=≈三次谐波为。
33sin() 1.2110V π=≈3-3 若周期矩形信号f 1(t )和f 2(t )波形如图3-2所示,f 1(t )的参数为τ=0.5μs,T=1μs,E=1V ;f 2(t )的参数为τ=1.5μs,T=3μs,E=3V ,分别求:(1)f 1(t )的谱线间隔和带宽(第一零点位置)频率单位以kHz 表示;(2)f 2(t )的谱线间隔和带宽;(3)f 1(t )与f 2(t )的基波幅度之比;(4)f 1(t )基波与f 2(t )三次谐波幅度之比。
解:由题3-2的结论可知,f(t)的傅里叶级数可表示为其中,。
(1)f 1(t )的谱线间隔,则带宽:。
(2)f 2(t )的谱线间隔带宽:。
(3)由题3-2可知,所以f 1(t )的基波幅度为:f 2(t )的基波幅度为:故。
(4)的三次谐波幅度为:故。
3-4 求图3-3所示周期三角信号的傅里叶级数并画出频谱图。
图3-3解:由图3-3可知,f(t)为偶函数,故。
bn所以的傅里叶级数可表示为()f t其幅度谱如图3-4所示。
图3-43-5 求图3-5所示半波余弦信号的傅里叶级数。
若E=10V ,f=10kHz ,大致画出幅度谱。
图3-5解:由图3-5可知,f(t)为偶函数,因而b n =0,();所以其傅里叶级数可表示为若E=10V ,,则幅度谱如图3-6所示。
3-1 求图3-1所示对称周期矩形信号的傅利叶级数〔三角形式和指数形式〕。
图3-1解 由图3-1可知,)(t f 为奇函数,因而00==a a n2112011201)cos(2)sin(242,)sin()(4T T T n t n T n Edt t n E T T dt t n t f T b ωωωπωω-====⎰⎰所以,三角形式的傅利叶级数〔FS 〕为T t t t E t f πωωωωπ2,)5sin(51)3sin(31)sin(2)(1111=⎥⎦⎤⎢⎣⎡+++=指数形式的傅利叶级数〔FS 〕的系数为⎪⎩⎪⎨⎧±±=-±±==-= ,3,1,0,,4,2,0,021n n jE n jb F n n π所以,指数形式的傅利叶级数为T e jE e jE e jE e jE t f t j t j t j t j πωππππωωωω2,33)(11111=++-+-=--3-2 周期矩形信号如图3-2所示。
假设:图3-22τT-2τ-重复频率kHz f 5= 脉宽 s μτ20=幅度 V E 10=求直流分量大小以及基波、二次和三次谐波的有效值。
解 对于图3-2所示的周期矩形信号,其指数形式的傅利叶级数〔FS 〕的系数⎪⎭⎫⎝⎛=⎪⎭⎫ ⎝⎛====⎰⎰--22sin 12,)(1112212211τωττωππωττωωn Sa T E n n E dt Ee T T dt e t f T F tjn TT t jn n那么的指数形式的傅利叶级数〔FS 〕为∑∑∞-∞=∞-∞=⎪⎭⎫⎝⎛==n tjn n tjn ne n Sa TE eF t f 112)(1ωωτωτ 其直流分量为T E n Sa T E F n ττωτ=⎪⎭⎫ ⎝⎛=→2lim100 基波分量的幅度为⎪⎭⎫ ⎝⎛⋅=+-2sin 2111τωπEF F 二次谐波分量的幅度为⎪⎭⎫ ⎝⎛⋅=+-22sin 122τωπEF F 三次谐波分量的幅度为⎪⎭⎫ ⎝⎛⋅=+-23sin 32133τωπE F F 由所给参数kHz f 5=可得s T s rad 441102,/10-⨯==πω 将各参数的值代入,可得直流分量大小为V 110210201046=⨯⨯⨯--基波的有效值为())(39.118sin 210101010sin 210264V ≈=⨯⨯⨯- πππ二次谐波分量的有效值为())(32.136sin 251010102sin 21064V ≈=⨯⨯⨯- πππ三次谐波分量的有效值为())(21.1524sin 32101010103sin 2310264V ≈=⨯⨯⨯⨯- πππ3-3 假设周期矩形信号)(1t f 和)(2t f 的波形如图3-2所示,)(1t f 的参数为s μτ5.0=,s T μ1= ,V E 1=; )(2t f 的参数为s μτ5.1=,s T μ3= ,V E 3=,分别求:〔1〕)(1t f 的谱线间隔和带宽〔第一零点位置〕,频率单位以kHz 表示; 〔2〕)(2t f 的谱线间隔和带宽; 〔3〕)(1t f 与)(2t f 的基波幅度之比; 〔4〕)(1t f 基波与)(2t f 三次谐波幅度之比。
1试分别指出以下波形是属于哪种信号?题图1-11-2试写出题1-1图中信号的函数表达式。
1-3已知信号)(1t x 与)(2t x 波形如题图1-3中所示,试作出下列各信号的波形图,并加以标注。
题图1-3⑴)2(1-t x ⑵)1(1t x -⑶)22(1+t x⑷)3(2+t x ⑸)22(2-t x ⑹)21(2t x - ⑺)(1t x )(2t x -⑻)1(1t x -)1(2-t x ⑼)22(1t x -)4(2+t x 1-4已知信号)(1n x 与)(2n x 波形如题图1-4中所示,试作出下列各信号的波形图,并加以标注。
题图1-4⑴)12(1+n x ⑵)4(1n x -⑶)2(1n x ⑷)2(2n x -⑸)2(2+n x ⑹)1()2(22--++n x n x⑺)2(1+n x )21(2n x -⑻)1(1n x -)4(2+n x ⑼)1(1-n x )3(2-n x1-5已知信号)25(t x -的波形如题图1-5所示,试作出信号)(t x 的波形图,并加以标注。
题图1-51-6试画出下列信号的波形图:⑴)8sin()sin()(t t t x ΩΩ=⑵)8sin()]sin(211[)(t t t x ΩΩ+= ⑶)8sin()]sin(1[)(t t t x ΩΩ+=⑷)2sin(1)(t tt x = 1-7试画出下列信号的波形图:⑴)(1)(t u e t x t -+=⑵)]2()1([10cos )(---=-t u t u t e t x t π⑶)()2()(t u e t x t --=⑷)()()1(t u e t x t --=⑸)9()(2-=t u t x ⑹)4()(2-=t t x δ1-8试求出以下复变函数的模与幅角,并画出模与幅角的波形图。
⑴)1(1)(2Ω-Ω=Ωj e j X ⑵)(1)(Ω-Ω-Ω=Ωj j e e j X ⑶Ω-Ω---=Ωj j e e j X 11)(4⑷21)(+Ω=Ωj j X 1-9已知信号)]()([sin )(π--=t u t u t t x ,求出下列信号,并画出它们的波形图。
第3章 习题解3-1. 求下列周期信号的基波角频率0ω和周期T 。
(1)()t B t A t f 6sin 4cos +=;(3)()65sin 4cost B t A t f +=; (2)()t C t B t A t f πππ5sin 3sin 2cos +-=; (4)()()2sin t t f π=;(5)()tj et f 10=;(6)()()25sin 2cos t B t A t f -=; (7)()t B eA t f tj 6sin +=-;31-3-2:已知连续时间周期信号()⎪⎭⎫⎝⎛+⎪⎭⎫⎝⎛+=35sin 432cos 2t t t f ππ。
将其表示成复指数傅立叶级数形式,求n F ,并画出双边幅度谱和相位谱。
解:由于()t f 为连续的时间周期信号。
由于题易知 T=6 1ω=3π又 ()⎪⎭⎫⎝⎛+⎪⎭⎫⎝⎛+=35sin 432cos 2t t t f ππ 即有 20=a 12=a 45=b200==a F ()2121222=-=jb a F ()221555j jb a F -=-=431F F F ==故 ()53322212t jt jjeet f ππ-+=又 n n F F -= 其双边幅度谱如图 3-2-1所示易知 43210ϕϕϕϕϕ====25πϕ-= 25πϕ=-其相位谱如图 3-2-2所示 3-3已知周期电压()⎪⎭⎫ ⎝⎛++⎪⎭⎫ ⎝⎛+-⎪⎭⎫ ⎝⎛++=33cos 42sin 4cos 22πππt t t t f ,试画其单边,双边幅度谱和相位谱。
解:由题易知 11=w π2=T210==a a 132==a b故 210==c c 132==c c 其单边幅度谱如图 3-3-120=F 11=F 22j F -= 213=Fn n F F -=故双边幅度谱如图3-3-2所示图 3-2-1图3-2-2 相位谱图 3-3-2 双边幅度谱()3cos()42cos()4cos(22ππ+-+++=tttf故有41πϕ=42πϕ-=33πϕ=其相位谱如图3-3-3所示3-4 如题图3-4所示信号,求指数形式和三角形式的傅里叶级数。
信号与系统前三章习题答案信号与系统前三章习题答案第一章:信号与系统基础1.1 习题答案1. 信号是指随时间变化的物理量,可以用数学函数表示。
系统是指对输入信号进行处理或变换的过程或装置。
2. 信号可以分为连续时间信号和离散时间信号。
连续时间信号在每个时间点上都有定义,可以用连续函数表示;离散时间信号只在某些离散的时间点上有定义,可以用数列表示。
3. 周期信号是在一定时间间隔内重复的信号,非周期信号则不具有重复性。
周期信号可以用正弦函数或复指数函数表示。
4. 信号的能量是指信号在无穷远处的总能量,可以用积分的形式表示;信号的功率是指信号在某个时间段内的平均功率,可以用平均值的形式表示。
5. 系统的特性可以通过冲激响应和频率响应来描述。
冲激响应是指系统对单位冲激信号的响应,可以用单位冲激函数表示;频率响应是指系统对不同频率信号的响应,可以用频率函数表示。
1.2 习题答案1. 线性系统具有叠加性和齐次性。
叠加性是指系统对两个输入信号的响应等于两个输入信号分别经过系统的响应的叠加;齐次性是指系统对输入信号的线性组合的响应等于输入信号分别经过系统的响应的线性组合。
2. 时不变性是指系统的特性不随时间的变化而变化。
即如果输入信号发生时间平移,系统的响应也会相应地发生时间平移。
3. 因果性是指系统的输出只依赖于当前和过去的输入信号。
即系统的响应不会提前预知未来的输入信号。
4. 稳定性是指系统对有界输入信号产生有界输出信号。
即输入信号有限,输出信号也有限。
5. 可逆性是指系统的输出可以唯一确定输入。
即系统的响应函数是可逆的。
第二章:连续时间信号与系统2.1 习题答案1. 连续时间信号的频谱是指信号在频域上的表示,可以通过傅里叶变换得到。
频谱表示了信号在不同频率上的能量分布情况。
2. 系统的冲激响应可以通过输入信号和输出信号的傅里叶变换来求得。
通过傅里叶变换,可以将系统的时域特性转换为频域特性。
3. 傅里叶变换具有线性性、时移性、频移性和共轭对称性。
《信号与系统》(第3版)习题解析高等教育目录第1章习题解析 (2)第2章习题解析 (6)第3章习题解析 (16)第4章习题解析 (23)第5章习题解析 (31)第6章习题解析 (41)第7章习题解析 (49)第8章习题解析 (55)第1章习题解析1-1 题1-1图示信号中,哪些是连续信号?哪些是离散信号?哪些是周期信号?哪些是非周期信号?哪些是有始信号?(c) (d)题1-1图解 (a)、(c)、(d)为连续信号;(b)为离散信号;(d)为周期信号;其余为非周期信号;(a)、(b)、(c)为有始(因果)信号。
1-2 给定题1-2图示信号f ( t ),试画出下列信号的波形。
[提示:f ( 2t )表示将f ( t )波形压缩,f (2t)表示将f ( t )波形展宽。
](a) 2 f ( t - 2 ) (b) f ( 2t )(c) f ( 2t)(d) f ( -t +1 )题1-2图解 以上各函数的波形如图p1-2所示。
图p1-21-3 如图1-3图示,R 、L 、C 元件可以看成以电流为输入,电压为响应的简单线性系统S R 、S L 、S C ,试写出各系统响应电压与激励电流函数关系的表达式。
题1-3图解 各系统响应与输入的关系可分别表示为)()(t i R t u R R ⋅= tt i Lt u L L d )(d )(= ⎰∞-=tC C i Ct u ττd )(1)(1-4 如题1-4图示系统由加法器、积分器和放大量为-a 的放大器三个子系统组成,系统属于何种联接形式?试写出该系统的微分方程。
S RS LS C题1-4图解 系统为反馈联接形式。
设加法器的输出为x ( t ),由于)()()()(t y a t f t x -+=且)()(,d )()(t y t x t t x t y '==⎰故有)()()(t ay t f t y -='即)()()(t f t ay t y =+'1-5 已知某系统的输入f ( t )与输出y ( t )的关系为y ( t ) = | f ( t )|,试判定该系统是否为线性时不变系统?解 设T 为系统的运算子,则可以表示为)()]([)(t f t f T t y ==不失一般性,设f ( t ) = f 1( t ) + f 2( t ),则)()()]([111t y t f t f T == )()()]([222t y t f t f T ==故有)()()()]([21t y t f t f t f T =+=显然)()()()(2121t f t f t f t f +≠+即不满足可加性,故为非线性时不变系统。
《信号与系统》(第 3 版)习题解析高等教育出版社目录第 1 章习题解析 (2)第 2 章习题解析 (6)第 3 章习题解析 (16)第 4 章习题解析 (23)第 5 章习题解析 (31)第 6 章习题解析 (41)第 7 章习题解析 (49)第 8 章习题解析 (55)第 1 章习题解析1-1题 1-1 图示信号中, 哪些是连续信号?哪些是离散信号?哪些是周期信号?哪些是非周期信号?哪些是有始信号?(c)(d)题 1-1图解 (a)、(c)、(d)为连续信号; (b)为离散信号; (d)为周期信号;其余为非周期信号; (a)、(b)、(c)为有始(因果)信号。
1-2 给定题 1-2 图示信号 f( t ),试画出下列信号的波形。
[提示: f( 2t )表示将 f( t )波形压缩,f( t)表示将 f( t )波形展宽。
]2(a) 2 f( t 2 )(b) f( 2t ) (c) f(t)2(d) f( t +1 )题1-2图解 以上各函数的波形如图 p1-2 所示。
图 p1-21-3如图1-3图示,R、L、C元件可以看成以电流为输入,电压为响应的简单线性系统S R、S L、 S C,试写出各系统响应电压与激励电流函数关系的表达式。
S RS LS C题 1-3图解各系统响应与输入的关系可分别表示为u R (t)R i R (t )u L (t)di L (t )L1dttu C (t )i C ( )dC1-4如题1-4图示系统由加法器、积分器和放大量为 a 的放大器三个子系统组成,系统属于何种联接形式?试写出该系统的微分方程。
题 1-4图解 系统为反馈联接形式。
设加法器的输出为 x( t ),由于x(t ) f (t) ( a) y(t)且y(t ) x(t)dt ,x(t) y (t)故有y (t) f (t ) ay (t)即y (t ) ay(t ) f (t)1-5已知某系统的输入 f( t )与输出 y( t )的关系为 y( t ) = | f( t )|,试判定该系统是否为线性时不变系统?解 设 T 为系统的运算子,则可以表示为y(t) T[ f (t )]f (t)不失一般性,设 f( t ) = f 1( t ) + f 2 ( t ),则T[ f 1 (t)]f 1 (t)y 1 (t )T[ f 2 (t)] f 2 (t )y 2 (t )故有T[ f (t)] f 1 (t )f 2 (t ) y(t)显然f 1 (t ) f 2 (t)f 1 (t ) f 2 (t )即不满足可加性,故为非线性时不变系统。
第三章习题解答3.2 求下列方波形的傅里叶变换。
(a) 解:1102()()11()2tj t tj t tj t tj t j a F j f t e dte e dt j e t tS e j ωωωωωωωωω-----=-=⋅=-==⎰⎰(b) 解:20022()111()[]1(1)1(1)tj t tj t t t j t j tt tj t j t j t j t j tj ttF e dt e e dt tde j j jtee dt je e ej e ωωωωωωωωωωωτωτωτωωτωωττω----------=-=⋅==⋅⋅-=-=+-=+-⎰⎰⎰⎰(c) 解:13112211()()22111()()2211()cos21()21()21112()2()22j t j t j t j t j t j t j t j tF t e dte e e dt e e dt e ej j ωππωππωωππωωπωππωω-------+---+--=⋅=+⋅=+=--+⎰⎰⎰()()()()22221111[][]2222j j j j e e e e j j ππππωωωωππωω----++=⋅--⋅--+2222sin()sin()cos ()cos ()cos 2222()()2222ππππωωωωωωπωππππωωωω-+⋅++⋅-⋅=+==-+--(d)解:24222()()2222()()22()()()()2222()sin 1()21()2112()2()sin[(22()2()T j tT T j t j t j t T T j t j tT TT j t j t T T TTTTj j j j F t edte e e dt j e e dt je e T ee ee j j j j ωωωωωωωωωωωωωωω--Ω-Ω--Ω--Ω+-Ω--Ω+--Ω--Ω-Ω+-Ω+=Ω⋅=-=--=-Ω-Ω+Ω---=+=⋅Ω-⋅Ω+⎰⎰⎰)]sin[()]2()()Tj j ωωωωΩ++Ω-Ω+3.3依据上题中a,b 的结果,利用傅里叶变换的性质,求题图3.3所示各信号的傅里叶变换. (a) 解:11111()()()f t f t f t =--11()f t 就是3.2中(a)的1()f t如果1()()f t F ω↔,则1()()f t F ω-↔-111111111222()()()()()sin()42()[]sin()sin ()2222j j a f t f t f t F F t S eejj ττωωωωωτωττωτωττωτω-∴=--↔--=⋅⋅-=⋅=(b) 解:2()()()f t g t g t στ=+,而()()2a g t S τωττ↔2()(3)2()a a F S S ωσωω∴=+如利用3.2中(a)的结论来解,有:211'()(3)(1)f t f t f t ττ=+++,其中,'2τστ==.3211'()()()(3)2()j j a a F e F e F S S ωωττωωωσωω∴=⋅+⋅=+(如()()f t F ω↔,则00()()j t f t t eF ωω±↔)2()f t(c) 解:32222()2()2(),1f t f t f t τττ=++--= 由3.2(b)知,2221()(1)j t j t F e j te ωωωωτω--=+- 32222222222222()2()2(),1112(1)2(1)222222444cos (1cos )j t j t j j j j j j j j F e F e F e e j e e e j e je je ωωωωωωωωωωωωωτωωωωωωωωωωωωωωω----∴=+-==⋅⋅+-+⋅⋅+-=+-+--=-=-(d) 解:设 ,0()0,tt f t elseττ<<=由3.2知,21()(1)j tj tF ej teωωωωτω--=+-而本题中,4()(0.5)(0.5)f t f t f t =-- 由傅里叶变换的尺度变换特性有:41()()()j b af t f at b e F aωω-=-↔⋅在本题中,a=0.5,b=0.4222222222222()2(2)2(2)21(21)(21)42()()22cos(2)sin(2)j t j t j t j t j t j t j t j t F F F e j te e j te j e e j e e j j j ωωωωωωωωωωωωωωτωτωτωωτωτωωτ----∴=--=+-----=-++=-(e) 解:设1,01()0,t f t else<<=由3.2知,2()()2ja F S eωωω-=根据5()f t 的波形,将5()f t 用()f t 表示为566()[()()]sin(6)1[()()]()2j t j t f t f t f t t f t f t e e jπππ-=+-=+-- 22[()()]()()()()2()cos222sin cos sin 22222()2jja a a f t f t F F S ee S S ωωωωωωωωωωωωω-+-↔+-=+==⋅=⋅=由频移特性.00()()j tf t eF ωωω±↔52222221()[2(6)2(6)]21sin(6)sin(6)[(6)sin(6)(6)sin(6)][]66(6)(sin 6sin sin 6sin )12sin 3636a a F S S jj j j j ωωπωπωπωπωπωπωπωπωπωππωωωπωωωπωπωπωπω∴=⋅--+-++---+=-=-+-+-+==⋅--(f) 解:设3()()f t f t =2222224()(1cos )1sin [1cos(2)]248()2sin ()sin ()22F F ωωωωωωωωωω=-=-=⋅⋅=61()()cos(10)()()2jw t jw t f t f t t f t e e πππ-==+ 利用频移特性有:6222211()(10)(10)22410410sin ()sin ()(10)2(10)2F F F ωωπωπωπωπωπωπ=-++-+=+-+3.4利用对称性求下列各函数的傅里叶变换. (1) sin 2(2)(),(2)t f t t t ππ-=-∞<<+∞-解:()2[2(2)]a f t S t π=⋅-而()()2a g t S τωττ↔或4()4(2)a g t S πππω↔由对称性,4411(2)2()()42a S t g g ππππωωπ↔⋅-= 224,22[2(2)]()0,2j j a e S t g e ωωπωππωωπ--⎧<⎪⋅-↔=⎨>⎪⎩(2) 222(),.f t t tαα=-∞<<+∞+ 解:222t e αααω-↔+,由对称性,2222e tαωαπα-↔+(3)444444444244()[2][2]1[2]()21111()[2][2][()]*[()][()()]22282,()()0.22,()()2;26,()()a a a a a f t S t S t S t g f t S t S t g g g g g g g g d g g d πππππππωππππππππωππωωωωππωπωωπωπωωωππωπωω-=⋅↔=⨯↔=*<-*=-<<*=∆=+<<*=∆⎰解:而,利用数域卷积特性,得:积分:2444246.6,()()0g g πωππππωππωωπωω-=-+=->*=⎰3.82[()](),.1(2);()()(),[(-)()],1()()().11()2(2)22n nnF f t F tf t d F f t F F jt f t d dF dF tf t j j d d dF t f t j d ωωωωωωωωωωωω==↔=↔=-⋅⋅=⋅若已知试求下列函数的频谱()由频域微分特性,如则当(2) (1)f t -;1[()]().1, 1.(1)()j b aj F f at b e F a aa b f t e F ωωωω---=⋅=-=-∴-↔⋅-在本题中,(3) ()(2)()2()dF t f t j F d ωωω-↔-(4) (1)(1)t f t --;解:由频域的微分特性,得:()()dF tf t jd ωω↔. 由时移特性:()(1)(1)j dF t f t je d ωωω++↔.(5) ()df t tdt; ()()().()().()-[][()]()()[()]().n n n d f t j F dtdf t j F dt df t djt j F dt d df t d dF t F F dt d d ωωωωωωωωωωωωωω↔∴↔↔∴↔-=--⋅由时域微分特性:而由频域的微分特性,有:(6) (25)f t -;由1[()]()j b aF f at b e F a aωω--=⋅,2,5,a b == 2.51(25)()22j f t e F ωω-∴-↔⋅3.9 计算下列各信号的傅里叶变换.(2) 3()2(32)()2[2()]2u t t u t t δδ+-=+--3(3)2232()1,1[()]().2, 3.112(32)21,()().21()2(32)()j b aj j j t F f at b e F a aa b t e e u t j u t t e j ωωωωδωδπδωωδπδωω------↔-==-=-∴-↔⋅⋅⋅=↔+∴+-↔++由(7) 33(2)63(3)9[(2)(3)](2)(3)tt t eu t u t e u t e e u t e --+---+--=⋅+-⋅-33(2)23(3)31.311();(2)331(3)3t t t j t j e j e u t e u t e j j e u t e j αωωωωωω---+---↔+∴↔+↔++-↔+同理:362931[(2)(3)]()3t j j e u t u t e e e e j ωωω---∴+--↔⋅-⋅+3.10 利用傅里叶变换性质,求题图3.10所示函数的傅里叶逆变换。