概率论与数理统计模拟试卷2
- 格式:doc
- 大小:397.00 KB
- 文档页数:5
《概率论与数理统计》期末测试件(二)(答案解析版)一、(12分)一学生接连参加同一课程的两次考试。
第一次及格的概率为P ,若第一次及格则第二次及格的概率也为P ;若第一次不及格则第二次及格的概率为P 2。
(1)若至少有一次及格则他能取得某种资格,求他取得该资格的概率。
(2)若已知他第二次已经及格,求他第一次及格的概率。
解:A i ={他第i 次及格},i=1,2已知P (A 1)=P (A 2|A 1)=P ,21P P(A /A )2= (1)B ={至少有一次及格}所以21}{A A B ==两次均不及格∴ )|()(1)(1)(1)(12121A A P A P A A P B P B P -=-=-= )]|(1)][(1[1121A A P A P ---=22123)21)(1(1P P P P -=---= (2)由乘法公式,有P (A 1 A 2)= P (A 1) P (A 2| A 1) = P 2 由全概率公式,有)|()()|()()(1211212A A P A P A A P A P A P +=222)1(2P P PP P P +=⋅-+⋅=得1222)|(2221+=+=P PP P P A A P .二、(14分)设随机变量~,22X U ππ⎛⎫- ⎪⎝⎭,求(1)随机变量X 的分布函数()F x ; (2) cos Y X =的密度函数 . 解:X 的密度函数为()1,220,x f x πππ⎧-<<⎪=⎨⎪⎩其他cos Y X= 的可取值范围是()0,1当01y <<时,()()Y F y P Y y =≤arccos 2arccos 2arccos arccos 2211y yP Y y P y Y dx dxππππππ--⎛⎫⎛⎫=-≤≤-+≤≤ ⎪ ⎪⎝⎭⎝⎭=+⎰⎰因此,cos Y X = 的密度函数()(),01Y Y f y F y y '===<<故,,01()0,Y y f y <<=⎩其他三、(16分)设随机向量(X , Y )的联合密度为⎩⎨⎧<<<<=.,0,10,10 ,2),(其他y x x y x f(1) 计算P (Y > X );(2) 求X , Y 的概率密度f X (x ),f Y (y );(3) 判断X 与Y 是否相互独立,说明理由; (4) 求Z = X+Y 的概率密度f Z (z ). 解:(1).312),()(110===>⎰⎰⎰⎰>x xy xdy dx dxdy y x f X Y P(2)dyy x f x f X ⎰∞∞-=),()(.2x 2)(101x dy x f x X ==<<⎰时,当⎩⎨⎧<<=.,0,10,2)(其他x x x f Xdxy x f y f Y ⎰∞∞-=),()(.10,1 2)(10<<==⎰y dx x y f Y⎩⎨⎧<<=.,0,10,1)(其他y y f Y(3)因为,..),()(),(e a y f x f y x f Y X =所以X 与Y 相互独立. (4).),()(dx x z x f z f Z ⎰∞∞--=.22)(21,2)(1021120z z dx x z f z z dx x z f z z Z zZ -==<<==<<⎰⎰-时,当时,当⎪⎩⎪⎨⎧<<-<<=. ,0,2z 1 ,2,10 ,)(22其他z z z z z f Z四、(18分)设二维连续型随机变量(X ,Y )在区域D 上服从均匀分布。
课程概率论与数理统计模拟试题(二)课程代码:考核方式: 闭卷考试时量:120 分钟试卷类型:一、填空题(每题2分,共20分)P(AB)=8次取到红球的概3、已知F0.05(3,4)=6.59,则F0.95(4,3)=________________;已知F~F(5,9),则F1~_____分布4、随机变量X服从参数为λ的指数分布,则EX = EX2=5、根据泊松定理,对于成功率为p的n重伯努利试验,只要n充分大,而p充分小,其成功次数X近似的服从参数为λ= 的泊松分布。
6、设D(X)=1, D(Y)=4, 相关系数ρxy=12, 则COV(X,Y)=_______7、对于连续型随机向量,X与Y独立的充分必要条件是,对于任何(x,y)∈R2,有f(x,y)=8、T服从n个自由度的t分布,则T2服从自由度为的分布9、设总体X服从正态分布N(μ,σ2),其中μ、σ2未知,则μ的置信度1-α(0<α<1)的置信区间为__________10、设X~N(1,3) ,则(X-1)2/3~________________分布。
二、单选题(在本题的每一小题的备选答案中,只有一个答案是正确的,请把你认为正确答案的题号,填入题干的括号内,多选不给分。
每题2分,共20 分)1.设随机事件A与B互不相容,且有P(A)>0,P(B)>0,则下列关系成立的是( ).A. A,B相互独立B. A,B不相互独立C. A,B互为对立事件D. A,B不互为对立事件2、对于任意两个随机事件A 与B ,有P(A-B)为().①②③. ④.3、对任意随机变量X,若E(X)存在,则E(E(E(X)))等于( )。
①. 0 ②. X ③. (E(X))3 ④. E(X)4、设随机变量X的分布函数为F(x),. Y=2X+1,则Y的分布函数为( )①. F(y /2-1/2)②. F(y/2+1)③. 2F(x)+1④. 1/2F(y)-1/25、若E(XY)=E(X))(YE⋅,则必有( )①D(XY)=D(X)D(Y) ②D(X+Y)=D(X)+D(Y)③X与Y相互独立④X与Y不相互独立6、设随机变量X服从正态分布N(μ,σ2),则随σ的增大,概率P{}σμ≤-X应()①单调增大②单调减小③保持不变④不能确定7、设两个相互独立的随机变量X与Y分别服从正态分布N(0,1)和N(1,1)则()①P{}1≤+YX=1/2 ②P{}0≤+YX=1/2③P{}1.5X Y+≥=1/2 ④P{}0≥+YX=1/28、已知离散型随机变量X服从参数为2的泊松分布,Y=3X-2,则EY=()①10 ② 4 ③-2 ④–1/29、对正态总体的数学期望μ进行假设检验,如果的显著水平0.05下拒绝H0:μ=μ0,那么在显著水平0.01下,下列结论正确的是()第 1 页座位号第 2 页① 必接受H 0 ②可能接受,也可能拒绝H 0 ③ 必拒绝H 0 ④ 不接受也不拒绝H 0 10、设),(21X X 是来自总体X 的一个容量为2的样本,则在下列E(X)的无偏估计量中, 最有效的估计量是 ( )① 2X1/3+X2/3 ②X1/4+3X2/4 ③ 2X1/5+3X2/5 ④ X1/2+X2/2三、判断题:(共12分) A,B 一定独立。
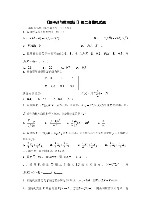
《概率论与数理统计》第二套模拟试题一、单项选择题(每小题3分,共15分) 1. 设事件A 和B 相互独立,则 (B )A .)()()(B P A P B A P -=- B . )()()(B P A P B A P =C .0)(=AB PD . 1)(=+B A P2. 设随机变量X 的全部可能值为1,3,4,且2.0)1(==X P ,5.0)3(==X P ,则==)4(X P ( A )A .3.0B . 2.0C .7.0D . 5.0 3. 离散型随机变量X 的分布列为)(x F ,则=)23(F (C)其分布函数为A .4.0B .2.0C .6.0D .14. 设总体X ~),(2σμN ,μ为已知,σ未知,),,2,1(n i X i =为来自X 的样本,、2S 分别为样本均值和样本方差,则是统计量的是(C )A.nX σμ- B.22)1(σS n - C. ∑=-n i i X n 12)(1μ D. σS5. 设总体X ~)1,(μN ,21,X X 是X 的样本,则下列各式中不是总体参数μ的无偏估计量的是(D) A.213132X X + B. 212121X X + C. 214341X X + D. 2110151X X + 二、填空题(每小题3分,共15分)1、设3.0)(=A P ,P (B |A )=0.6,则P (AB )=____0.42____。
2、设随机变量X 服从参数为5.1的泊松分布,]4,0[~U Y ,则=-+)13(Y X E ______5.5_____。
3、设随机变量X 与Y 的方差分别为25和16,4.0=XY ρ,则)2(Y X Var +=148 。
4、设随机变量X 具有期望2)(=X E ,方差1)(=X Va r ,则由切比雪夫不等式,有≤≥-}32{X P _______1/9____。
5、为了解灯泡使用时数的方差2σ,测量9个灯泡,得样本方差202=S 平方小时。
《概率论与数理统计》模拟题一.单选题1.对于事件A,B,下列命题正确的是().A.若A,B 互不相容,则A 与B̅也互不相容. B.若A,B 相容,那么A 与B̅也相容. C.若A,B 互不相容,且概率都大于零,则A,B 也相互独立.D.若A,B 相互独立,那么A 与B̅也相互独立. [答案]:D2.在一次假设检验中,下列说法正确的是(). A.既可能犯第一类错误也可能犯第二类错误B.如果备择假设是正确的,但作出的决策是拒绝备择假设,则犯了第一类错误C.增大样本容量,则犯两类错误的概率都不变D.如果原假设是错误的,但作出的决策是接受备择假设,则犯了第二类错误 [答案]:A3.对总体X~N(μ,σ²)的均值和作区间估计,得到置信度为95%的置信区间,意义是指这个区间().A.平均含总体95%的值B.平均含样本95%的值C.有95%的机会含样本的值D.有95%的机会的机会含μ的值 [答案]:D4.在假设检验问题中,犯第一类错误的概率α的意义是(). A.在H 0不成立的条件下,经检验H 0被拒绝的概率 B.在H 0不成立的条件下,经检验H 0被接受的概率 C.在H 0成立的条件下,经检验H 0被拒绝的概率 D.在H 0成立的条件下,经检验H 0被接受的概率 [答案]:C5.在一次假设检验中,下列说法正确的是(). A.第一类错误和第二类错误同时都要犯B.如果备择假设是正确的,但作出的决策是拒绝备择假设,则犯了第一类错误C.增大样本容量,则犯两类错误的概率都要变小D.如果原假设是错误的,但作出的决策是接受备择假设,则犯了第二类错误 [答案]:C6.设θ 是未知参数θ的一个估计量,若θθ≠ E 则θ是θ的(). A.极大似然估计 B.矩法估计 C.相合估计D.有偏估计[答案]:B7.在对单个正态总体均值的假设检验中,当总体方差已知时,选用().A.t检验法B.u检验法C.F检验法D.σ2检验法[答案]:B8.在一个确定的假设检验中,与判断结果相关的因素有().A.样本值与样本容量B.显著性水平C.检验统计量D.A,B,C同时成立[答案]:D9.对正态总体的数学期望进行假设检验,如果在显著水平0.05下接受H0:μ=μ0,那么在显著水平0.01下,下列结论中正确的是().A.必须接受H0B.可能接受,也可能拒绝H0C.必拒绝H0D.不接受,也不拒绝H0[答案]:A10.设A和B为两个任意事件,且A⊂B,P(B)>0,则必有().A.P(A)<P(A|B)B.P(A)≤P(A|B)C.P(A)>(A|B)D.P(A)≥P(A|B)[答案]:B11.已知P(A)=0.4,P(B)=0.6,P(B|A)=0.5,则P(A|B)=().A.1/2B.1/3C.10/3D.1/5[答案]:B12.甲.乙两人独立的对同一目标各射击一次,其中命中率分别为0.6和0.5,现已知目标被命中,则它是乙命中的概率是().A.3/5B.5/11C.5/8B.6/11 [答案]:C13.设A 和B 为两个任意事件,则下列关系成立的是(). A.(A ∪B )−B =A B.(A ∪B )−B ⊃A C.(A ∪B )−B ⊂A D.(A −B )∪B =A [答案]:C14.设A 和B 为两个任意事件,且A ⊂B ,则必有(). A.P (A )<P(AB) B.P (A )≤P(AB) C.P (A )>P(AB) D.P (A )≥P(AB) [答案]:D15.设每次实验成功的概率为p(0<p<1)则在三次独立重复试验中至少一次成功的概率为(). A.p 3 B.1-p 3 C.(1-p)3 D.1-(1-p)3 [答案]:B16.某人射击时,中靶的概率为2/3,如果射击直到中靶子为止,则射击次数为3的概率(). A. 2/27 B.2/9 C.8/27 D.1/27 [答案]:A17.设随机事件A 和B 满足P (B |A )=1,则(). A.为必然事件 B.P (B |A )=0 C.B ⊂A D.B ⊃A [答案]:C18.设一随机变量X 的密度函数φ(−x )=φ(x ),F(x)是X的分布函数,则对任意实数a 有(). A.F (−a )=1−∫φ(x )a0dx B.F (−a )=12−∫φ(x )a 0dx C.F (−a )=1−F(a)D.F (−a )=2F (a )−1 [答案]:B19.变量X 的密度函数为f (x )={Cx 30<x <10其它,则常数C=().A.3B.4C.1/4D.1/3 [答案]:B20.设X 和Y 相互独立,且分别服从N(0,1)和N(1,1)则(). A.P {X +Y ≤0}=12 B.P {X +Y ≤1}=12C.P {X −Y ≤0}=12D.P {X −Y ≤1}=12[答案]:B21.设X和Y独立同分布,且P {X =1}=P {Y =1}=12,P {X =−1}=P {Y =−1}=12,则下列各式成立的是(). A.P {X =Y }=12 B.P {X =Y }=1 C.P {X +Y =0}=14D.P {XY =1}=14 [答案]:A22.总体方差D 等于(). A.1n ∑(X i −X ̅)2n i=1B.1n−1∑(X i −X ̅)2n i=1 C.1n ∑X i 2−(EX)2n i=1 D.1n−1∑(X i −EX)2n i=1 [答案]:C23.设随机变量X~N(μ,σ²),则随着σ的增大,概率P{|X−μ|<σ}为().A.单调增加B.单调减少C.保持不变D.增减不定[答案]:C24.设随机变量X和Y均服从正态分布X~N(μ,4²),Y~N(μ,5²),记p1=P{X<μ−4},p2= P{Y≥μ+5},则().A.对任何实数μ都有p1=p2B.对任何实数μ都有p1<p2C.仅对个别值有p1=p2D.对任何实数μ都有p1>p2[答案]:A25.设X1,X2,…,X n为来自总体的一个样本,X̅为样本均值,EX未知,则总体方差DX的无偏估计量为().A.1n ∑(X i−X̅)2 ni=1B.1n−1∑(X i−X̅)2 ni=1C.1n ∑(X i−EX)2 ni=1D.1n−1∑(X i−EX)2 ni=1[答案]:B26.设总体X~f(x,θ),θ为未知参数,X1,X2,…,X n为X的一个样本,θ1(X1,X2,…,X n).θ2(X1,X2,…,X n)为两个通缉量(θ1,θ2)为θ的置信度为1-α的置信区间,则应有().A.P{θ1<θ<θ2}=αB.P{θ<θ2}=1-αC.P{θ1<θ<θ2}=1-αD.P{θ<θ1}=α[答案]:C27.在假设建设检验中,记H0为检验假设,则所谓犯第一类错误的是().A.H0为真时,接受H0B.H0不真时,接受H0C.H0不真时,拒绝H0D.H0为真时,拒绝H0[答案]:D28.袋中有50个乒乓球,其中20个黄的,30个白的,现在两个人不放回地依次从袋中随机各取一球.则第二人取到黄球的概率是().A.1/5B.2/5C.3/5D.4/5[答案]:B29.事件”甲种产品畅销,乙种产品滞销”,则其对立事件A为().A.”甲种产品滞销,乙种产品畅销”B.”甲.乙两种产品均畅销”C.”甲种产品滞销”D.”甲种产品滞销或乙种产品畅销”[答案]:D30.设A,B,C表示三个随机事件,则A⋃B⋃C表示A.A,B,C中至少有一个发生;B.A,B,C都同时发生;C.A,B,C中至少有两个发生;D.A,B,C都不发生.[答案]:A31.已知事件A,B相互独立,且P(A)=0.5,P(B)=0.8,则P(A⋃B)=()A.0.65;B.1.3;C.0.9;D.0.3.[答案]:C32.设X~B(n,p),则有()A.E(2X-1)=2np;B.E(2X+1)=4np+1;C.D(2X+1)=4np(1-p)+1A.;D.D(2X-1)=4np(1-p).[答案]:D33.X则a=()A.1/3;B.0;C.5/12;D.1/4.[答案]:A34.常见随机变量的分布中,数学期望和方差一定相等的分布是() A.二项分布; B.标准正态分布; C.指数分布; D.泊松分布. [答案]:D35.在n 次独立重复的贝努利试验中,设P (A )=p,那么A 事件恰好发生k 次的概率为(). A.p k ;B.(nk )p k (1-p)n-k ;C.p n-k (1-p)k ;D.p k (1-p)n-k . [答案]:B36.设X则它的数学期望E(X)和方差D(X )分别是 A.1/4,1/16; B.1/2,3/4; C.1/4,11/16; D.1/2,11/16. [答案]:C37.设随机变量X 的密度函数f (x )={2x x ∈[0,A]0 其他,则常数A=().A.1;B.1/2;C.1/2;D.2.[答案]:A38.若T ~t(n),下列等式中错误的是(). A.P{T>0}=P{T ≤0}; B.P{T ≥1}=P{T>1}; C.P{T=0}=0.5;D.P{T>t α}=P{T<-t α}. [答案]:C39.设X ~N(μ1,σ12),它有容量为n 1的样本X i ,i=1,2,…n 1;Y ~N(μ2,σ22),它有容量为n 2的样本Y j ,j=1,2,…n 2.它们均相互独立,X 和Y 分别是它们样本平均值,s 12和s 22分别是它们样本方差,σ12,σ22未知但是相等.则统计量212121221121)2()()(n n n n n n s n s n Y X +-++---μμ应该服从的分布是().A.t(n 1+n 2);B.t(n 1+n 2-1);C.t(n 1+n 2-2);D.F(n 1-1,n 2-1). [答案]:C40.设X ~N(μ1,σ2),它有容量为n 1的样本X i i=1,2,…n 1;Y ~N(μ2,σ2),它有容量为n 2的样本Y j j=1,2,…n 2.均相互独立,s 12和s 22分别是它们样本方差.则统计量1122221211--n s n n s n 应该服从的分布是().A.χ2(n 1+n 2-2);B.F(n 2-1,n 1-1);C.t(n 1+n 2-2);D.F(n 1-1,n 2-1). [答案]:D41.若μˆ1和μˆ2同是总体平均数μ的无偏估计,则下面叙述中,不正确的是(). A.2μˆ1-μˆ2仍是总体平均数μ的无偏估计; B.21μˆ1-21μˆ2仍是总体平均数μ的无偏估计; C.21μˆ1+21μˆ2仍是总体平均数μ的无偏估计 D.32μˆ1+31μˆ2仍是总体平均数μ的无偏估计. [答案]:B42.假设检验时,当样本容量n 固定时,缩小犯第Ⅰ类错误的概率α,则犯第Ⅱ类错误的概率β().A.一般要变小;B.一般要变大;C.可能变大也可能变小;D.肯定不变. [答案]:B43.设X ~N(μ,σ2),μ和σ2均未知,X 是样本平均值,s 2是样本方差,则(X -t 0.051-n s ,X +t 0.051-n s )作为的置信区间时,其置信水平为().A.0.1;B.0.2;C.0.9;D.0.8. [答案]:C44.已知一元线性回归直线方程为yˆ=a +4x,且x =3,y =6.则a=(). A.0;B.6;C.2;D.-6. [答案]:D45.设(x 1,y 1),(x 2,y 2),...(x n ,y n )是对总体(X,Y)的n 次观测值,l YY =∑=-ni iy y12)(,l XX =∑=-ni ix x12)(分别是关于Y,关于X 的校正平方和及l XY =∑=--ni i i y y x x 1))((是关于X 和Y的校正交叉乘积和,则它们的一元回归直线的回归系数b=().A.XX XYl l ; B.XXXYl l ; C.YYXX XY l l l 2; D.YYXX XY l l l .[答案]:A46.设A,B为两个事件,则AB=().A.A B;B.A B;C.A B;D.A⋃B.[答案]:D47.若X~N(0,1),ϕ(x)是它的密度函数,Φ(x)是它的分布函数,则下面叙述中不正确的是().A.Φ(-x)=-Φ(x);B.ϕ(x)关于纵轴对称;C.Φ(0)=0.5;D.Φ(-x)=1-Φ(x).[答案]:A48.对单个总体X~N(μ,σ2)假设检验,σ2未知,H0:μ≥μ0.在显著水平α下,应该选().A.t检验;B.F检验;C.χ2检验;D.u检验.[答案]:A49.甲乙两人各自同时向敌机射击,已知甲击中敌机的概率为0.8,乙击中敌机的概率为0.5,则恰有一人击中敌机的概率().A.0.8B.0.5C.0.4D.0.6[答案]:B=,则未知参数μ的置信度为0.95的置信区间是.(查表50.设X~N(μ,0.3²),容量n=9,均值X5Z0.025=1.96)A.(4.808,6.96)B.(3.04,5.19)C.(4.808,5.19)D.(3.04,6.96)[答案]:C二.填空题1.设X 1,X 2,…,X 16是来自总体X~(4,σ2)的简单随机样本,2σ已知,令1611X 16i i X==∑则统计量4X-16σ服从分布###(必须写出分布的参数). [答案]:N(0,1)2.设2X~μσ(,),而1.70,1.75,1.70,1.65,1.75是从总体X 中抽取的样本,则μ的矩估计值为###. [答案]:71.111=∑=ni i X n3.设X~U[a,1],X 1,…,X n 是从总体X 中抽取的样本,求a 的矩估计为###.[答案]:121-∑=ni i X n4.已知F 0.1(8,20)=2,则F 0.9(20,8)=###.[答案]:0.55.设某个假设检验问题的拒绝域为W,且当原假设H 0成立时,样本值(x 1,x 2,…,x n )落入W 的概率为0.15,则犯第一类错误的概率为###.[答案]:0.156.设样本的频数分布为X0 1 2 3 4 频数 1 3 2 1 2则样本方差s 2=###.[答案]:27.设X1,X2,,Xn 为来自正态总体N(μ,σ²)的一个简单随机样本,其中参数μ和σ²均未知,记,221Q )n i i X X ==-∑(,则假设H 0:μ=0的t 检验使用的统计量是###.(用X 和Q 表示)[答案]:Xt (1)n n Q =-8.设总体X~N(μ,σ²),X 1,X 2,…,X n 为来自总体X 的样本,则样本均值X =###.[答案]:n 2σ9.设总体X ~b,(np),0<p<1,X 1,X 2,…,X n 为其样本,则n 的矩估计是###.[答案]:X n p =10.设总体X ~[U,θ],(X 1,X 2,…,X n )是来自X 的样本,则θ的最大似然估计量是###.[答案]:{}12max X X X n θ=,,11.测得自动车床加工的10个零件的尺寸与规定尺寸的偏差(微米)如下:+2,+1,-2,+3,+2,+4,-2,+5,+3,+4.则零件尺寸偏差的数学期望的无偏估计量###.[答案]:212.设X 1,X 2,X 3,X 4是来自正态总体N(0,2)2的样本,令Y=(X 1+X 2)2+(X 3-X 4)2,则当C=###时CY ~x 2(2).[答案]:1/813.设容量n=10的样本的观察值为(8,7,6,9,8,7,5,9,6),则样本均值样本方差###.[答案]:s 2=214.设A.B 为随机事件,P(A)=0.5,P(B)=0.6,P(B|A)=0.8则P(B|A)=###.[答案]:0.715.若事件A 和事件B 相互独立,P(A)=α,P(B)=0.3,P (A⋃B )=0.7,则α=###.[答案]:3/716.设X ~N(2,σ²),且P{2<x<4}=0.3,则P{x<0}=###.[答案]:217.一射手对同一目标独立地进行四次射击,若至少命中一次的概率为80/81,则该射手的命中率为###.[答案]:2/318.三个人独立地解答一道难题,他们能单独正确解答的概率分别为1/5.1/3.1/4,则此难题被正确解答的概率为###.[答案]:3/519.设有一箱产品由三家工厂生产的其中1/2是第一加工厂生产的,其余两家工厂各生产1/4,又知第一.第二工厂生产的产品有2%的次品,第三工厂生产的产品有4%的次品,现从箱中任取一只,则取到的次品的概率为###.[答案]:2.5%20.一个盒子中有10个球,其中有3个红球,2个黑球,5个白球,从中取球两次,每次取一个(有放回)则:第二次取到黑球的概率为###.[答案]:0.221.由长期统计资料得知,某一地区在4月下雨(记事件A)的概率为4/15,刮风(记作事件B)概率为7/15,刮风又下雨(记作事件C)概率为1/10则:p(B|A)=###.[答案]:3/822.一盒子中黑球.红球.白球各占50%,30%,20%,从中任取一球,结果不是红球,则取到的是白球的概率为###.[答案]:2/723.某公共汽车站甲.乙丙动人分别独立地等1.2.3路汽车,设每个人等车时间(单位分钟)均服从[0,5]上的均匀分布,则三人中至少有两个人等车时间不超过2分钟的概率为###.[答案]:0.35224.若随机变量X ~(2,σ²)且p{2<X<4}=0.3,则p{X<2}=###.[答案]:0.525.若随机变量X ~N(-1,1),Y ~N(3,1)且X 和Y 相互独立,设随机变量Z=X-2Y+7,则Z ~###.[答案]:N(0,5)26.设随机变量X ~N(1,22),则EX 2=###.[答案]:5三.计算题1.已知100个产品中有5个次品,现从中有放回地取3次,每次任取1个,求在所取的3个中恰有2个次品的概率.[答案]:.007125.0)95.0()05.0(}2{223===C X P2.某人进行射击,设每次射击的命中率为0.02,独立射击400次,试求至少击中两次的概率.[答案]:).02.0,400(~b XX 的分布律为,)98.0()02.0(400}{400k k k k X P -⎪⎪⎭⎫ ⎝⎛==0,1,,400.k = 于是所求概率为}1{}0{1}2{=-=-=≥X P X P X P 399400)98.0)(02.0(400)98.0(1--=.9972.0=3.已知100个产品中有5个次品,现从中无放回地取3次,每次任取1个,求在所取的3个中恰有2个次品的概率.[答案]:.00618.0}2{310025195≈==C C C X P4.某一城市每天发生火灾的次数X 服从参数8.0=λ的泊松分布,求该城市一天内发生3次或3次以上火灾的概率.[答案]:由概率的性质,得}3{1}3{<-=≥X P X P }2{}1{}0{1=-=-=-=X P X P X P⎪⎪⎭⎫ ⎝⎛++-=-!28.0!18.0!08.012108.0e .0474.0≈5.某公共汽车站从上午7时起,每15分钟来一班车,即7:00,7:15,7:30,7:45等时刻有汽车到达此站,如果乘客到达此站时间X 是7:00到7:30之间的均匀随机变量,试求他候车时间少于5分钟的概率.[答案]:以7:00为起点0,以分为单位,依题意~X ),30,0(U ⎪⎩⎪⎨⎧<<=其它,0300,301)(x x f 为使候车时间X 少于5分钟,乘客必须在7:10到7:15之间,或在7:25到7:30之间到达车站,故所求概率为}3025{}1510{<<+<<X P X P 3130130130251510=+=⎰⎰dx dx6.某元件的寿命X 服从指数分布,已知其平均寿命为1000小时,求3个这样的元件使用1000小时,至少已有一个损坏的概率.[答案]:由题设知,X 的分布函数为.0,00,1)(1000⎪⎩⎪⎨⎧<≥-=-x x ex F x 由此得到}1000{1}1000{≤-=>X P X P .)1000(11-=-=e F各元件的寿命是否超过1000小时是独立的,用Y 表示三个元件中使用1000小时损坏的元件数,则).1,3(~1--e b Y所求概率为}0{1}1{=-=≥Y P Y P .1)()1(13310103----=--=e e e C7.设某项竞赛成绩N X ~(65,100),若按参赛人数的10%发奖,问获奖分数线应定为多少?[答案]:设获奖分数线为,0x 则求使1.0}{0=≥x X P 成立的.0x)(1}{1}{000x F x X P x X P -=<-=≥,1.0106510=⎪⎭⎫ ⎝⎛-Φ-=x 即,9.010650=⎪⎭⎫ ⎝⎛-Φx 查表得,29.110650=-x 解得,9.770=x 故分数线可定为78.8.设随机变量X 具有以下的分布律,试求2)1(-=X Y 的分布律. 4.01.03.02.02101i p X-[答案]:Y 所有可能的取值0,1,4,由,2.0}1{}4{,7.0}2{}0{}1{,1.0}1{}0)1{(}0{2=-=====+=======-==X P Y P X P X P Y P X P X P Y P即得Y 的分布律为9.已知随机变量X 的分布函数⎪⎩⎪⎨⎧>≤<≤=4,140,4/0,0)(x x x x x F ,求).(X E[答案]:随机变量X 的分布密度为,,040,4/1)()(⎩⎨⎧≤<='=其它x x F x f故.2841)()(40240==⋅==⎰⎰∞+∞-x dx x dx x xf X E 10.设05.0=α,求标准正态分布的水平0.05的上侧分位数和双侧分位数.[答案]:由于,95.005.01)(05.0=-=Φu 查标准正态分布函数值表可得,645.105.0=u 而水平0.05的双侧分位数为,025.0u 它满足:,975.0025.01)(025.0=-=Φu 查标准正态分布函数值表可得.96.1025.0=u 2χ分布.11.设),2,21(~2N X 2521,,,X X X 为X 的一个样本,求:(1)样本均值X 的数学期望与方差;(2)}.24.0|21{|≤-X P[答案]:)1(由于),2,21(~2N X 样本容量,25=n 所以,252,21~2⎪⎪⎭⎫⎝⎛N X 于是,21)(=X E .4.0252)(22==X D)2(由),4.0,21(~2N X 得),1,0(~4.021N X - 故⎪⎭⎪⎬⎫⎪⎩⎪⎨⎧≤-=≤-6.04.021}24.0|21{|X P X P .4514.01)6.0(2=-Φ=12.⎪⎩⎪⎨⎧≤<≤≤--+=其它100101)(x x x A x x f ,则求常数A.期望EX 及方差DX. [答案]:011(1)x dx -=++⎰10()A x dx -⎰,得A=1 ()EX xf x dx +∞-∞==⎰01(1)x x dx -++⎰10(1)0x x dx -=⎰ 22()EX x f x dx +∞-∞==⎰021(1)x x dx -++⎰120(1)1/6x x dx -=⎰ 61)D(x)22=-=EX EX (。
模拟试题一一、填空题(每空3分,共45分)1、已知P(A) = 0.92, P(B) = 0.93, P(B|A ) = 0.85, 则P(A|B ) = P( A ∪B) =2、设事件A 与B 独立,A 与B 都不发生的概率为19,A 发生且B 不发生的概率与B 发生且A 不发生的概率相等,则A 发生的概率为: ;3、一间宿舍内住有6个同学,求他们之中恰好有4个人的生日在同一个月份的概率: ;没有任何人的生日在同一个月份的概率 ;4、已知随机变量X 的密度函数为:,0()1/4,020,2x Ae x x x x ϕ⎧<⎪=≤<⎨⎪≥⎩, 则常数A= , 分布函数F (x )= , 概率{0.51}P X -<<= ;5、设随机变量X~ B(2,p)、Y~ B(1,p),若{1}5/9P X ≥=,则p = ,若X 与Y 独立,则Z=max(X,Y)的分布律: ;6、设~(200,0.01),~(4),X B Y P 且X 与Y 相互独立,则D(2X-3Y)= , COV(2X-3Y, X)= ;7、设125,,,X X X 是总体~(0,1)X N 的简单随机样本,则当k = 时,~(3)Y t =;8、设总体~(0,)0X U θθ>为未知参数,12,,,n X X X 为其样本,11ni i X X n ==∑为样本均值,则θ的矩估计量为: 。
9、设样本129,,,X X X 来自正态总体(,1.44)N a ,计算得样本观察值10x =,求参数a 的置信度为95%的置信区间: ;二、计算题(35分)1、 (12分)设连续型随机变量X 的密度函数为:1,02()20,x x x ϕ⎧≤≤⎪=⎨⎪⎩其它求:1){|21|2}P X -<;2)2Y X =的密度函数()Y y ϕ;3)(21)E X -; 2、(12分)设随机变量(X,Y)的密度函数为1/4,||,02,(,)0,y x x x y ϕ<<<⎧=⎨⎩其他1) 求边缘密度函数(),()X Y x y ϕϕ; 2) 问X 与Y 是否独立?是否相关? 3) 计算Z = X + Y 的密度函数()Z z ϕ;3、(11分)设总体X 的概率密度函数为:1,0(),000xe x x x θϕθθ-⎧≥⎪=>⎨⎪<⎩X 1,X 2,…,X n 是取自总体X 的简单随机样本。
概率论与数理统计试题 考试时间:120分钟 试卷总分100分 题号 一 二 三 四 五 六 七 八 九 十 总分 得分 评卷教师一、填空题(满分15分)1.已知3.0)(=B P ,7.0)(=⋃B A P ,且A 与B 相互独立,则=)(A P 。
2.设随机变量X 服从参数为二项分布,且21}0{==X P ,则=p 。
3.设),3(~2σN X ,且1.0}0{=<X P ,则=<<}63{X P4.已知DX=1,DY=2,且X 和Y 相互独立,则D(2X-Y)=5.已知随机变量X 服从自由度为n 的t 分布,则随机变量2X 服从的分布是 。
二、选择题(满分15分)1.抛掷3枚均匀对称的硬币,恰好有两枚正面向上的概率是 。
装订线(A )0.125, (B )0.25, (C )0.375, (D )0.5 2.有γ个球,随机地放在n 个盒子中(γ≤n),则某指定的γ个盒子中各有一球的概率为 。
(A )γγn ! (B )γγn C r n ! (C )nn γ! (D) n n n C γγ! 3.设随机变量X 的概率密度为||)(x ce x f -=,则c = 。
(A )-21(B )0 (C )21 (D )14.掷一颗骰子600次,求“一点” 出现次数的均值为 。
(A )50 (B )100 (C )120 (D )1505.设总体X 在),(ρμρμ+-上服从均匀分布,则参数μ的矩估计量为 。
(A )x 1 (B )∑=-n i i X n 111 (C )∑=-n i i X n 1211 (D )x 三、计算题(满分60分)1.某商店拥有某产品共计12件,其中4件次品,已经售出2件,现从剩下的10件产品中任取一件,求这件是正品的概率。
2.设某种电子元件的寿命服从正态分布N (40,100),随机地取5个元件,求恰有两个元件寿命小于50的概率。
(8413.0)1(=Φ,9772.0)2(=Φ)3.在区间(0,1)中随机地取两个数,求事件“两数之和小于56”的概率。
1 / 10全国2018年7月自学考试概率论与数理统计(二)课程代码:02197试卷来自百度文库 答案由绥化市馨蕾園的王馨磊导数提供一、单项选择题(本大题共10小题,每小题2分,共20分)在每小题列出的四个备选项中只有一个是符合题目要求的,请将其代码填写在题后的括号内。
错选、多选或未选均无分。
1.设A ={2,4,6,8},B ={1,2,3,4},则A -B =( ) A .{2,4} B .{6,8} C .{1,3}D .{1,2,3,4}.B AB A B A B A B A 中的元素,故本题选中去掉集合合说的简单一些就是在集的差事件,记作与事件不发生”为事件发生而解:称事件“-2.已知10件产品中有2件次品,从这10件产品中任取4件,没有取出次品的概率为( )A .15B .14C .13D .12.31789105678;844104104848410C C C P C C ,故选本题的概率件正品中取,共有从件中没有次品,则只能若种取法;件,共有件产品中任取解:从=⨯⨯⨯⨯⨯⨯== 3.设事件A ,B 相互独立,()0.4,()0.7,P A P A B =⋃=,则()P B =( ) A .0.2 B .0.3 C .0.4D .0.52 / 10()()()()()()()()()()()()()().5.04.04.07.0D B P B P B P B P A P B P A P AB P B P A P B A P B P A P AB P B A ,故选,解得代入数值,得,所以,相互独立,,解:=-+=-+=-+=⋃= 4.设某实验成功的概率为p ,独立地做5次该实验,成功3次的概率为( )A .35CB .3325(1)C p p -C .335C pD .32(1)p p -()()()()()().1335.,...2,1,0110~23355B p p C P k n n k p p C k P k A p p A n p n B X kn kk n n ,故选,所以,本题,次的概率恰好发生则事件,的概率为次检验中事件重贝努力实验中,设每定理:在,解:-====-=<<-5.设随机变量X 服从[0,1]上的均匀分布,Y =2X -1,则Y 的概率密度为( )A .1,11,()20,,Y y f y ⎧-≤≤⎪=⎨⎪⎩其他 B .1,11,()0,,Y y f y -≤≤⎧=⎨⎩其他C .1,01,()20,,Y y f y ⎧≤≤⎪=⎨⎪⎩其他D .1,01,()0,,Y y f y ≤≤⎧=⎨⎩其他()()[]()()()()()()[]()[][][]..01,121.01,1211.01,1212121.01,12121211,1212112010101110~A y y y y f y f y y h y h f y f y h y y h y y x x y x x f U X X Y X Y X 故选其他,,其他,,其他,,,得其他,,由公式,,即,其中,解得由其他,,,,,,解:⎪⎩⎪⎨⎧-∈=⎪⎩⎪⎨⎧-∈⨯=⎪⎩⎪⎨⎧-∈⎪⎭⎫ ⎝⎛+=⎩⎨⎧-∈'=='+=-∈+=-=⎪⎩⎪⎨⎧≤≤=-=3 / 106.设二维随机变量(X ,Y )的联合概率分布为( )则c =A .112B .16C .14 D .13()().611411211214161.1,...2,1,0B c c P j i P Y X jij iij ,故选,解得由性质②,得②,①:的分布律具有下列性质,解:==+++++==≥∑∑7.已知随机变量X 的数学期望E (X )存在,则下列等式中不恒成立....的是( ) A .E [E (X )]=E (X ) B .E [X +E (X )]=2E (X ) C .E [X -E (X )]=0D .E (X 2)=[E (X )]2()()()().D C B A XE X E E X E X 均恒成立,故本题选、、由此易知,即,期望的期望值不变,的期望是解:=8.设X 为随机变量2()10,()109E X E X ==,则利用切比雪夫不等式估计概率P{|X-10|≥6}≤( )A .14 B .518 C .34D .109364 / 10()()()()(){}(){}.416961091001092222A X P X D X E X P X E X E X D ,故选所以;切比雪夫不等式:,解:=≤≥-≤≥-=-=-=εε 9.设0,1,0,1,1来自X ~0-1分布总体的样本观测值,且有P {X =1}=p ,P {X =0}=q ,其中0<p <1,q =1-p ,则p 的矩估计值为( ) A .1/5 B .2/5 C .3/5D .4/5()()().53ˆ5301ˆC px p q p X E x X EX E x ,故选,所以,本题,,即估计总体均值用样本均值矩估计的替换原理是:解:===⨯+⨯== 10.假设检验中,显著水平α表示( ) A .H 0不真,接受H 0的概率 B .H 0不真,拒绝H 0的概率 C .H 0为真,拒绝H 0的概率D .H 0为真,接受H 0的概率{}.00C H H P ,故选为真拒绝即拒真,表示第一类错误,又称解:显著水平αα=二、填空题(本大题共15小题,每小题2分,共30分)请在每小题的空格中填上正确答案。
概率论和数理统计模拟考试题目和答案解析-CAL-FENGHAI-(2020YEAR-YICAI)_JINGBIAN概率论与数理统计复习题(一)一. 填空1.3.0)(,4.0)(==B P A P 。
若A 与B 独立,则=-)(B A P ;若已知B A ,中至少有一个事件发生的概率为6.0,则=-)(B A P 。
2.)()(B A p AB p =且2.0)(=A P ,则=)(B P 。
3.设),(~2σμN X ,且3.0}42{ },2{}2{=<<≥=<X P X P X P ,则=μ ;=>}0{X P 。
4.1)()(==X D X E 。
若X 服从泊松分布,则=≠}0{X P ;若X 服从均匀分布,则=≠}0{X P 。
5.设44.1)(,4.2)(),,(~==X D X E p n b X ,则==}{n X P6.,1)(,2)()(,0)()(=====XY E Y D X D Y E X E 则=+-)12(Y X D 。
7.)16,1(~),9,0(~N Y N X ,且X 与Y 独立,则=-<-<-}12{Y X P (用Φ表示),=XY ρ 。
8.已知X 的期望为5,而均方差为2,估计≥<<}82{X P 。
9.设1ˆθ和2ˆθ均是未知参数θ的无偏估计量,且)ˆ()ˆ(2221θθE E >,则其中的统计量 更有效。
10.在实际问题中求某参数的置信区间时,总是希望置信水平愈 愈好,而置信区间的长度愈 愈好。
但当增大置信水平时,则相应的置信区间长度总是 。
二.假设某地区位于甲、乙两河流的汇合处,当任一河流泛滥时,该地区即遭受水灾。
设某时期内甲河流泛滥的概率为0.1;乙河流泛滥的概率为0.2;当甲河流泛滥时,乙河流泛滥的概率为0.3,试求: (1)该时期内这个地区遭受水灾的概率; (2)当乙河流泛滥时,甲河流泛滥的概率。
模拟试题(一)参考答案一.单项选择题(每小题2分,共16分)1、设B A ,为两个随机事件,若0)(=AB P ,则下列命题中正确的是( ) (A) A 与B 互不相容 (B) A 与B 独立(C) 0)(0)(==B P A P 或(D) AB 未必是不可能事件解 若AB 为零概率事件,其未必为不可能事件.本题应选D.2、设每次试验失败的概率为p ,则在3次独立重复试验中至少成功一次的概率为( )(A) )1(3p - (B) 3)1(p - (C) 31p - (D) 213)1(p p C -解 所求事件的对立事件为“3次都不成功”,其概率为3p ,故所求概率为31p -.若直接从正面去求较为麻烦.本题应选C.3、若函数)(x f y =是一随机变量ξ的概率密度,则下面说法中一定成立的是( ) (A) )(x f 非负 (B) )(x f 的值域为]1,0[ (C) )(x f 单调非降 (D) )(x f 在),(+∞-∞内连续解 由连续型随机变量概率密度的定义可知,)(x f 是定义在),(+∞-∞上的非负函数,且满足⎰∞+∞-=1d )(x x f ,所以A 一定成立.而其它选项不一定成立.例如服从]21,31[上的均匀分布的随机变量的概率密度⎪⎩⎪⎨⎧≤≤=其他,0,2131,6)(x x f在31=x 与21=x 处不连续,且在这两点的函数值大于1.因而本题应选A. 4、若随机变量X 的概率密度为)( e21)(4)3(2+∞<<-∞=+-x x f x π,则=Y ( ))1,0(~N(A)23+X (B)23+X (C)23-X (D)23-X 解 X 的数学期望3-=EX ,方差2=DX ,令23+=X Y ,则其服从标准正态分布.故本题应选A.5、若随机变量Y X ,不相关,则下列等式中不成立的是( ) (A) 0),cov(=Y X (B) DY DX Y X D +=+)((C) DY DX DXY ⋅=(D) EY EX EXY ⋅=解 因为0=ρ,故0),cov(=⋅=DY DX Y X ρ,DY DX Y X DY DX Y X D +=++=+),cov(2)(, 但无论如何,都不成立DY DX DXY ⋅=.故本题应选C.6、设样本n X X X ,,,21⋅⋅⋅取自标准正态分布总体X ,又S X ,分别为样本均值及样本标准差,则( ) (A) )1,0(~N X(B) )1,0(~N X n(C) )(~212n X ni i χ∑=(D))1(~-n t SX解 )1,0(~nN X ,),0(~n N X n ,)1(~-⋅n t S X n ,只有C 选项成立.本题应选C. 7、样本n X X X ,,,21 )3(≥n 取自总体X ,则下列估计量中,( )不是总体期望μ的无偏估计量(A)∑=ni iX1(B) X(C) )46(1.01n X X +(D) 321X X X -+解 由无偏估计量的定义计算可知,∑=ni iX1不是无偏估计量,本题应选A.8、在假设检验中,记0H 为待检假设,则犯第一类错误指的是( ) (A) 0H 成立,经检验接受0H (B) 0H 成立,经检验拒绝0H (C) 0H 不成立,经检验接受0H (D) 0H 不成立,经检验拒绝0H解 弃真错误为第一类错误,本题应选B.二.填空题(每空2分,共14分)1、同时掷三个均匀的硬币,出现三个正面的概率是________,恰好出现一个正面的概率是________. 解81;83. 2、设随机变量X 服从一区间上的均匀分布,且31,3==DX EX ,则X 的概率密度为________. 解 设],[~b a X ,则,3112)( ,322=-==+=a b DX b a EX 解得2=a , 4=b , 所以X 的概率密度为⎪⎩⎪⎨⎧≤≤=.0,42,21)(其他x x f3、设随机变量X 服从参数为2的指数分布, Y 服从参数为4的指数分布,则=+)32(2Y X E ________. 解 473])([232)32(222=++=+=+EY EX DX EY EX Y X E . 4、设随机变量X 和Y 的数学期望分别为-2和2,方差分别为1和4,而相关系数为-0.5,则根据切比雪夫不等式,有≤≥+}6||{Y X P ________.解 根据切比雪夫不等式,12136),cov(26)(}6||{2=++=+≤≥+Y X DY DX Y X D Y X P . 5、假设随机变量X 服从分布)(n t ,则21X 服从分布________(并写出其参数).解 设)(~n t nZY X =,其中)1,0(~N Y ,)(~2n Z χ,且)1(~22χY ,从而)1,(~122n F Y n ZX =. 6、设n X X X ,,,21 )1(>n 为来自总体X 的一个样本,对总体方差DX 进行估计时,常用的无偏估计量是________.解 ∑=--=ni i X X n S 122)(11. 三.(本题6分)设1.0)(=A P ,9.0)|(=A B P ,2.0)|(=A B P ,求)|(B A P . 解 由全概率公式可得27.02.09.09.01.0)|()()|()()(=⋅+⋅=+=A B P A P A B P A P B P .31)()|()()()()|(===B P A B P A P B P AB P B A P .四.(本题8分)两台车床加工同样的零件,第一台出现废品的概率为0.03,第二台出现废品的概率为0.02.加工出来的零件放在一起.又知第一台加工的零件数是第二台加工的零件数的2倍.求:(1) 任取一个零件是合格品的概率,(2) 若任取一个零件是废品,它为第二台车床加工的概率.解 设21,A A 分别表示第一台,第二台车床加工的零件的事件.B 表示产品是合格品的事件. (1) 由全概率公式可得973.098.03197.032)|()()|()()(2211≈⋅+⋅=+=A B P A P A B P A P B P . (2) 247.0973.0102.031)()|()()()()|(2222≈-⋅===B P A B P A P B P B A P B A P . 五.(本题14分)袋中有4个球分别标有数字1,2,2,3,从袋中任取一球后,不放回再取一球,分别以Y X ,记第一次,第二次取得球上标有的数字,求:(1) ) ,(Y X 的联合分布; (2) Y X ,的边缘分布; (3) Y X ,是否独立;(4) )(XY E .解 (1) YX 1 2 3 1 061 121 2 61 61 613 121 61(2)41)1(==X P ,21)2(==X P ,41)3(==X P .41)1(==Y P ,21)2(==Y P ,41)3(==Y P .(3)因为)1()1(1610)1,1(===≠===Y P X P Y X P ,故Y X ,不独立. (4)613261226112121316121)(⋅⋅+⋅⋅+⋅⋅+⋅⋅+⋅⋅=XY E 612312113⋅⋅+⋅⋅+623=.六.(本题12分)设随机变量X 的密度函数为)( e )(||2+∞<<-∞=-x Ax x f x ,试求:(1) A 的值; (2) )21(≤<-X P ; (3) 2X Y =的密度函数. 解 (1) 因⎰∞+∞-x x f d )(⎰∞+-===0214d e 2A x x A x ,从而41=A ; (2) ⎰⎰⎰---+==≤<-20201221d e 41d e 41d )(}21{x x x x x x f X P xx 12e 45e 251----=;(3) 当0≤y 时,0)(=y F Y ;当0>y 时,)()()()(2y X y P y X P y Y P y F Y ≤≤-=≤=≤=)()(y F y F X X --=,所以,两边关于y 求导可得,.e 4121e 4121e 41)(yyyY y yy yy y f ---⋅=-⋅⋅-⋅⋅=故Y 的密度函数为⎪⎩⎪⎨⎧>⋅≤=-.0,e 41,0,0)(y y y y f yY七.(本题6分)某商店负责供应某地区1000人商品,某种产品在一段时间内每人需用一件的概率为0.6.假定在这段时间,各人购买与否彼此无关,问商店应预备多少件这种商品,才能以%7.99的概率保证不会脱销?(假定该商品在某一段时间内每人最多买一件).解 设⎩⎨⎧=人购买该种商品第人不购买该种商品第i i X i ,1,,0(1000,,2,1 =i ),X 表示购买该种商品的人数,则)6.0,1000(~B X .又设商品预备n 件该种商品,依题意,由中心极限定理可得)240600240600()()(-≤-=-≤-=≤n X P DXEX n DX EX X P n X P997.0)240600(=-Φ≈n .查正态分布表得75.2240600=-n ,解得6436.642≈=n 件.八.(本题10分)一个罐内装有黑球和白球,黑球数与白球数之比为R .(1) 从罐内任取一球,取得黑球的个数X 为总体,即⎩⎨⎧=白球,,黑球,,01X 求总体X 的分布;(2) 从罐内有放回的抽取一个容量为n 的样本n X X X ,,,21 ,其中有m 个白球,求比数R 的最大似然估计值.解(1) X 1 0PR R +1 R+11即R R R R R x X P xxx+=⎪⎭⎫⎝⎛+⎪⎭⎫⎝⎛+==-1111)(1 )1,0(=x ; (2)nx ni i iR R x XP R L i)1()()(1+∑===∏=,两边取对数,)1ln()(ln R n x R R L i +-∑=,两边再关于R 求导,并令其为0,得011=+-∑R nx i , 从而∑∑-=ii x n x R ˆ,又由样本值知,m n x i -=∑,故估计值为1ˆ-=m n R. 九.(本题14分)对两批同类电子元件的电阻进行测试,各抽6件,测得结果如下(单位:Ω):A 批:0.140,0.138,0.143,0.141,0.144,0.137;B 批:0.135,0.140,0.142,0.136,0.138,0.141. 已知元件电阻服从正态分布,设05.0=α,问:(1) 两批电子元件的电阻的方差是否相等? (2) 两批电子元件的平均电阻是否有显著差异? (2281.2)10(025.0=t ,15.7)5,5(025.0=F )解 (1) 2221122210 σσσσ≠=:,:H H .检验统计量为2221S S F =)5 ,5(~F (在0H 成立时),由05.0=α,查得临界值15.7)5 ,5(025.02/==F F α,15.712/1=-αF . 由样本值算得962.00000078.00000075.0==F ,由于2/2/1ααF F F <<-,故不能拒绝10H ,即认为两批电子元件的电阻的方差相等.(2) 211210 μμμμ==:,:H H . 统计量2)1()1()11(2122221121-+-+-+-=n n sn s n n n YX T )10(~t (在0H 成立时),查表得临界值228.2)10(025.02/==t t α.再由样本值算得005.2120000078.00000075.0139.01405.0=+-=T ,因为2/||αt T <,故接收0H .即认为两批电子元件的平均电阻无显著差异.模拟试题(二)参考答案一.单项选择题(每小题2分,共16分)1.设C , ,B A 表示3个事件,则C B A 表示( ). (A) C , ,B A 中有一个发生(B) C , ,B A 中不多于一个发生(C) C , ,B A 都不发生 (D) C , ,B A 中恰有两个发生 解 本题应选C. 2.已知)(,61)|(,31)()(B A P B A P B P A P 则====( ). (A) 187 (B) 1811 (C) 31 (D) 41解 181)|()()(==A B P A P AB P ,187)()()(1)(1)()(=+--=-==AB P B P A P B A P B A P B A P . 故本题应选A.3.设两个相互独立的随机变量X 与Y 分别服从正态分布)1,0(N 和)1,1(N ,则( )(A) 21}0{=≤+Y X P (B) 21}1{=≤+Y X P (C) 21}0{=≤-Y X P (D) 21}1{=≤-Y X P解 )2,1(~N Y X +,)2,1(~--N Y X ,故本题应选B.4.设X 与Y 为两随机变量,且6.0,1,4===XY DY DX ρ,则=-)23(Y X D ( ) (A) 40 (B) 34 (C) 25.6 (D) 17.6解 2.1),cov(=⋅=DY DX Y X XY ρ,6.25),cov(1249)23(=-+=-Y X DY DX Y X D .故本题应选C.5.若随机变量X 服从参数为λ的泊松分布,则2X 的数学期望是( )(A) λ(B)λ1 (C) 2λ (D) λλ+2 解 222)(λλ+=+=EX DX EX ,本题应选D.6.设n X X X ,,,21 是来自于正态总体),(2σμN 的简单随机样本,X 为样本方差,记∑=--=n i i X X n S 122)(111 ∑=-=n i i X X n S 1222)(1 ∑=--=n i i X n S 1223)(11μ ∑=-=n i i X n S 1224)(1μ 则服从自由度为1-n 的t 分布的随机变量是( )(A) 1/1--=n S X t μ(B) 1/2--=n S X t μ(C) 1/3--=n S X t μ(D) 1/4--=n S X t μ解 ),(~2nN X σμ,)1(~)(1122--∑=n t X Xni iσ,再由t 分布的定义知,本题应选B.7.设总体X 均值μ与方差2σ都存在,且均为未知参数,而,,,21 X X n X 是该总体的一个样本,X 为样本方差,则总体方差2σ的矩估计量是( )(A) X (B) ∑=-n i i X n 12)(1μ(C) ∑=--n i i X X n 12)(11 (D) ∑=-n i i X X n 12)(1 解 本题应选D.8.在假设检验时,若增大样本容量,则犯两类错误的概率( ) (A) 都增大 (B) 都减小(C) 都不变 (D) 一个增大一个减小 解 本题应选B.二.填空题(每空2分,共14分)1.设10件产品中有4件不合格品,从中任取2件,已知所取2件中有1件是不合格品,则另外1件也是不合格品的概率为________.解 设A 表示两件中有一件不合格品,B 表示两件都是不合格品.则所求的极限为51)()()()()|(===A PB P A P AB P A B P2.设随机变量X 服从)8.0 ,1(B 分布,则X 的分布函数为________.解 X 服从0-1分布,其分布函数为⎪⎩⎪⎨⎧≥<≤<=.11,10,2.0,0,0)(x x x x f3.若随机变量X 服从均值为2,方差为2σ的正态分布,且6.0}40{=<<X P ,则}0{<X P =________.解 2=μ,即其密度函数关于2=x 对称.由对称性知2.026.01}0{=-=<X P . 4.设总体X 服从参数为p 的0-1分布,其中)10(<<p p 未知.现得一样本容量为8的样本值:0,1,0,1,1,0,1,1,则样本均值是________,样本方差是________.解 由定义计算知85=X ;56152=S . 5.设总体X 服从参数为λ的指数分布,现从X 中随机抽取10个样本,根据测得的结果计算知27101=∑=i ix,那么λ的矩估计值为________.解 27101ˆ==Xλ.6.设总体) ,(~2σμN X ,且2σ未知,用样本检验假设00μμ=:H 时,采用的统计量是________. 解 )1(~0--=n t nSX T μ (0H 为真时).三.(本题8分)设有三只外形完全相同的盒子,Ⅰ号盒中装有14个黑球,6个白球;Ⅱ号盒中装有5个黑球,25个白球;Ⅲ号盒中装有8个黑球,42个白球.现在从三个盒子中任取一盒,再从中任取一球,求:(1)取到的球是黑球的概率;(2)若取到的是黑球,它是取自Ⅰ号盒中的概率.解 设321,,A A A 分别表示从第Ⅰ,Ⅱ,Ⅲ号盒中取球,B 表示取到黑球. (1) 由全概公式可得≈⋅+⋅+⋅==∑=5083130531201431)|()()(31i i i A B P A P B P 0.342; (2) 由贝叶斯公式得≈=)()|()()|(111B P A B P A P B A P 0.682.四.(本题6分)设随机变量X 的概率密度为⎪⎩⎪⎨⎧≤≤=其他,,,,002cos 21)(πx x x f , 对X 独立地重复观察4次,用Y 表示观察值大于3π地次数,求2Y 的数学期望. 解 21d 2cos 21)3(3==>⎰πππx x X P ,)21,4(~B Y ,从而 5)(22=+=EY DY EY .五.(本题12分) 设),(Y X 的联合分布律为YX 0 1 2 1 0.1 0.05 0.35 2 0.3 0.1 0.1 问:(1) Y X ,是否独立;(2) 计算)(Y X P =的值;(3) 在2=Y 的条件下X 的条件分布律. 解 (1) 因为)0()1(4.05.02.01.0)0,1(===⋅=≠===Y P X P Y X P ,所以Y X ,不独立; (2) 15.01.005.0)2,2()1,1()(=+===+====Y X P Y X P Y X P ;(3) 9745.035.0)2()2,1()2|1(========Y P Y X P Y X P ,92971)2|2(=-===Y X P .六.(本题12分)设二维随机变量) ,(Y X 的概率密度为⎩⎨⎧≤≤≤=,,0,10,12),(2其他x y y y x f 求:(1) X 的边缘密度函数)(x f X ;(2) )(XY E ; (3) )1(>+Y X P . 解 (1)⎩⎨⎧≤≤⎪⎩⎪⎨⎧=≤≤==⎰⎰∞+∞-.,0,104,0,10,d 12d ),()(302其他其他x xx y y y y x f x f x X(2) 21d 12d )(0310==⎰⎰y xy x XY E x ;(3) ==>+⎰⎰-y y x Y X P x x d 12d )1(1212187.七.(本题6分)一部件包括10部分,每部分的长度是一个随机变量,它们相互独立,且服从同一均匀分布,其数学期望为2mm,均方差为0.05,规定总长度为)1.020(±mm 时产品合格,试求产品合格的概率.解 设i X 表示第i 部分的长度,10,,2,1 =i ,X 表示部件的长度.由题意知2=i EX ,0025.0=i DX ,且∑==101i i X X ,20=EX ,025.0=DX .由独立同分布的中心极限定理知,产品为合格品的概率为)025.01.0|025.020(|)1.0|20(|≤-=≤-X P X P4714.01)025.01.0(2=-Φ=. 八.(本题7分)设总体X 具有概率密度为⎪⎩⎪⎨⎧>-=--,,0,0,e )!1()(1其他x x k x f x k k θθ 其中k 为已知正整数,求θ的极大似然估计.解 设n X X X ,,,21 是来自总体X 的样本,当0,,,21>n x x x 时,似然函数∑-===-=-=∑∏ni ix ni k innkni i xk x f L 1e])!1[()()(111θθθ,两边取对数,∑-+--===-∑ni i ni k ix x k n nk L 111ln )!1ln(ln )(ln θθθ,关于θ求导,并令其为0,得0)(ln 1=∑-==ni i x nkL θθ,从而解得θ的极大似然估计为XkX nkni i=∑==1ˆθ. 九.(本题14分)从某锌矿的东、西两支矿脉中,各抽取样本容量分别为9与8的样本进行测试,得样本含锌平均数及样本方差如下:东支:230.01=x ,1337.021=n s , )9(1=n 西支:269.02=x ,1736.022=n s , )8(2=n 若东、西两支矿脉的含锌量都服从正态分布,问东、西两支矿脉含锌量的平均值是否可以看作一样?)05.0(=α53.4)7 ,8( (025.0=F ,90.4)8 ,7(025.0=F ,) 1315.2)15(0025.0=t解 本题是在未知方差,又没有说明方差是否相等的情况下,要求检验两总体均值是否相等的问题,故首先必须检验方差是否相等,在相等的条件下,检验总体均值是否相等.第一步假设0H :21σ=22σ,统计量2221s s F =~)1,1(21--n n F ,经检验,接受0H :21σ=22σ;第二步假设0H :21μμ=, 统计量2)1()1()11(2122221121-+-+-+-=n n s n s n n n YX T )2(~21-+n n t经检验,接受0H ,即可认为东、西两支矿脉含锌量的平均值相等.(请参见模拟试题(一)第九大题)十.(本题5分) 设总体X 的密度函数为⎪⎩⎪⎨⎧≤≤=,,0,0,3)(23其它θθx x x f其中θ为未知参数,n X X X ,,,21 为来自总体X 的样本,证明:X 34是θ的无偏估计量.证明 ⎰∞+∞-===x x xf EX X E X E d )(343434)34(θθθ==⎰033d 334x x , 故X 34是θ的无偏估计量.模拟试题(三)参考答案一.填空题(每小题2分,共14分)1.一射手对同一目标独立地进行四次射击,若至少命中一次的概率为8180,则该射手的命中率为 .解 设A 表示一次射击中击中目标,依题意,四次都没击中的概率为81801)(4-=A P ,解得31)(=A P ,从而射手的命中率为32)(=A P . 2.若事件A ,B 独立,且p A P =)(,q B P =)(则=+)(B A P . 解 pq p B P A P B P A P B A P +-=-+=1)()()()()( .3.设离散型随机变量X 服从参数为λ(0>λ)的泊松分布,已知==)1(X P )2(=X P ,则λ= .解 )2(e 2e)1(2=====--X P X P λλλλ,从而解得2=λ.4.设相互独立的两个随机变量X ,Y 具有同一分布律,且X 的分布律为:X 0 1P 21 21则随机变量},max{Y X Z =的分布律为 . 解 Z 的可能取值为0,1.412121)0()0()0,0()0(=⋅========Y P X P Y X P Z P .43411)1(=-==Z P .5.设随机变量X ,Y 的方差分别为25=DX ,36=DY ,相关系数4.0=XY ρ,则),(Y X Cov = .解 12),cov(=⋅=DY DX Y X XYρ.6.设总体X 的期望值μ和方差2σ都存在,总体方差2σ的无偏估计量是21)(∑=-n i i X X n k ,则=k .解 1-=n n k . 7.设总体),(~2σμN X ,μ未知,检验2020σσ=H :,应选用的统计量是 .解)1(~)(2212--∑=n X Xni iχσ (0H 为真时)二 .单项选择题(每小题2分,共16分)1.6本中文书和4本外文书任意往书架上摆放,则4本外文书放在一起的概率为( )(A)!10!6!4 (B)107 (C)!10!7!4 (D)104 解 本题应选C.2.若事件B A ,相互独立,则下列正确的是( ) (A) =)|(A B P )|(B A P (B) =)|(A B P )(A P (C) )|(B A P )(B P =(D) =)|(B A P )(1A P -解 由独立性的定义知,==)()|(A P B A P )(1A P -,故本题应选D.3.设随机变量X 服从参数为n ,p 的二项分布,且6.1=EX ,28.1=DX ,则n ,p 的值为( ) (A) n =8,p =2.0 (B) n =4,p =4.0 (C) n =5,p =32.0(D) n =6,p =3.0解 由6.1=np ,28.1)1(=-p np ,解得n =8,p =2.0,本题应选A.4.设随机变量X 服从正态分布)1,2(N ,其概率密度函数为)(x f ,分布函数为)(x F ,则有( ) (A) =≥)0(X P =≤)0(X P5.0 (B) =≥)2(X P =≤)2(X P 5.0 (C) )(x f =)(x f -,),(∞+-∞∈x (D) =-)(x F -1)(x F , ),(∞+-∞∈x解 2=EX ,故其密度函数关于2=x 对称,故本题应选B.5.如果随机变量X 与Y 满足:)(Y X D +)(Y X D -=,则下列式子正确的是( ) (A) X 与Y 相互独立 (B) X 与Y 不相关 (C) 0=DY(D) 0=⋅DY DX解 由)(Y X D +)(Y X D -=,可得0),cov(=Y X ,从而可知X 与Y 不相关,故本题应选B.6.设n X X X ,,,21 是来自总体),(~2σμN X 的样本,X 为样本均值,令=Y 212)(σ∑=-ni iX X,则~Y ( )(A) )1(2-n χ (B) )(2n χ (C) ),(2σμN (D)),(2nN σμ解 本题应选A.7.设n X X X ,,,21 是取自总体),0(2σN 的样本,可以作为2σ的无偏估计量的统计量是( )(A) ∑=n i i X n 121 (B) ∑=-n i i X n 1211 (C) ∑=n i i X n 11 (D)∑=-ni i X n 111 解 由无偏估计的定义及期望的性质知,2221212)(1)1(σ==+===∑∑==DX EX DX EX EX n X n E ni i n i i ,故A 选择正确,同理验算其他选项,B,C,D 均不正确.故本题应选A.8.样本n X X X ,,,21 来自正态总体),(2σμN ,若进行假设检验,当( )时,一般采用统计量nS X t /0μ-=(A) μ未知,检验2σ=20σ (B) μ已知,检验2σ=20σ (C) 2σ未知,检验 μ=0μ(D) 2σ已知,检验μ=0μ解 本题应选C. 三.(本题8分)有两台车床生产同一型号螺杆,甲车床的产量是乙车床的5.1倍,甲车床的废品率为%2,乙车床的废品率为%1,现随机抽取一根螺杆检查,发现是废品,问该废品是由甲车床生产的概率是多少?解 设21,A A 分别表示螺杆由甲,乙车床生产的事件.B 表示螺杆是废品的事件.由贝叶斯公式可得)|()()|()()|()()|(2211111A B P A P A B P A P A B P A P B A P +=75.001.05202.05302.053=⋅+⋅⋅=. 四.(本题8分)假设一部机器在一天内发生故障的概率为2.0,机器发生故障时全天停止工作.若一周五个工作日里无故障,可获利润10万元,发生一次故障获利润5万元,发生两次故障获利润0万元,发生三次或三次以上故障就要亏损2万元,问一周内期望利润是多少?解 设X 表示一周中所获的利润,其分布律为:X 0 5 10 P 548.08.02.051-⋅⋅- 48.02.05⋅⋅ 58.0从而由期望的定义计算可得216.5=EX .五.(本题12分)1.设随机向量X ,Y 的联合分布为:X Y 1 2 31 0 61 1212 61 61 613 121 61(1) 求X ,Y 的边际分布;(2) 判断X ,Y 是否独立. 解 (1) X 的边际分布为: Y 的边际分布为:X 1 2 3 Y 1 2 3P 41 21 41 P 41 21 41(2) X 与Y 不相互独立.2.设随机变量),(Y X 的联合密度函数为:),(y x f =⎩⎨⎧<<-其他,,,,00e y x y求概率)1(≤+Y X P .解 ==≤+⎰⎰--y x Y X P x xy d e d )1(121211e2e 1---+.六.(本题8分)设连续型随机变量X 的分布函数为:=)(x F ⎪⎩⎪⎨⎧≤>+-,,,,000e 22x x B A x 求: (1) 系数A 及B ;(2) 随机变量X 的概率密度; (3) )9ln 4ln (≤≤X P .解 (1) 由分布函数的性质知1)e(lim )(22==+=+∞-+∞→A B A F x x ,)0(0)e(lim )(lim 202F B A B A x F x x x ==+=+=-→→++,从而1-=B ;(2) 分布函数的导数即为其概率密度,即)(x f =⎪⎩⎪⎨⎧≤>-000e 22x x x x ,,,(3) 61)4ln ()9ln ()9ln 4ln (=-=≤≤F F X P . 七.(本题8分)设n X X X ,,,21 为总体X 的一个样本,X 的概率密度为:)(x f =⎪⎩⎪⎨⎧≤≤-其他,,,,0101x x θθ其中0>θ,求未知参数θ的矩估计量与极大似然估计量.解 令X x x EX =+==⎰1d 10θθθθ,从而解得θ的矩估计量为2)1(XX -=θ. 极大似然估计为:∑∑==+=ni ini iXX n 11ln ln θ.(具体做法类似与模拟试卷二第八题)八.(本题10分)设某次考试的考生成绩服从正态分布,从中随机地抽取36位考生的成绩,算得平均成绩为5.66分,标准差为15分,问在显著水平05.0下,是否可认为全体考生的平均成绩为70分?解 假设0H :70=μ,选取统计量ns X T /μ-=)1(~-n t , (0H 为真时)在05.0=α下,查t 分布的双侧临界值表知0301.2025.0=t . 另一方面,计算统计量的值0301.24.136/15705.66||<=-=T ,从而接受原假设,即可认为全体考生的平均成绩为70分.九.(本题12分)两家银行分别对21个储户和16个储户的年存款余额进行抽样调查,测得其平均年存款余额分别为x =2600元和y =2700元,样本标准差相应地为811=S 元和1052=S 元,假设年存款余额服从正态分布,试比较两家银行的储户的平均年存款余额有无显著差异?(10.0=α)解 此题要求检验21μμ=,由于t 检验必须在方差相等的条件下进行,因此必须先检验21σ与22σ是否相等.第一步假设0H :21σ=22σ,统计量2221s s F =~)1,1(21--n n F ,经检验,接受0H :21σ=22σ;第二步假设0H :21μμ=, 统计量2)1()1()11(2122221121-+-+-+-=n n s n s n n n YX T )2(~21-+n n t经检验,拒绝0H ,即两家银行的储户的平均年存款余额有显著差异.(请参见模拟试题(一)第九大题)十.(本题4分)设总体X 服从参数为λ的泊松分布,λ为未知参数,⎩⎨⎧-=为偶数,,为奇数,,X X X T 11)(证明:)(X T 是λ2-e的一个无偏估计量.证明 ∑∞===)()()]([x x X P x T X T E∑∞=-=0!)(x xex x T λλ=-=∑∞=-0!)1(n nne n λλλ2-e ,所以)(X T 是λ2-e的一个无偏估计量.模拟试题(四)参考答案一.填空题(每小题2分,共20分)1.设)(A P =0.4,)(B P =0.5.若,7.0)(=B A P 则=+)(B A P . 解 55.0)|()()()()(=-+=+B A P B P B P A P B A P2.若随机变量X 服从二项分布,即)1.0,5(~B X ,则=-)21(X D .解 8.19.01.0544)21(=⋅⋅⋅==-DX X D . 3.三次独立重复射击中,若至少有一次击中的概率为6437,则每次击中的概率为 . 解43. 4.设随机变量X 的概率密度是:⎩⎨⎧<<=,,0,10,3)(2其他x x x f 且,784.0)(=≥a X P 则=a .解 由784.0)(=≥a X P 知,10<<α.故,784.01d 3)(132⎰=-==≥ααx x a X P 从而6.0=α. 5.利用正态分布的结论,有:=+-⎰∞+∞---x x x x d e )44(212)2(22π .解 令t x =-2,则原式1)(d e212222=+==⎰∞+∞--EX DX t t t π,这里)1,0(~N X .6.设总体X 的密度函数为:⎩⎨⎧<<=-,,0,10,)(1其他x x x f αα)0(>αα为参数其中,n x x x ,,,21 是来自总体X 的样本观测值,则样本的似然函数=);,,,(21αn x x x L .解 ∏=-ni i nx 11αα.7.设X ,Y 是二维随机向量,DX ,DY 都不为零,若有常数0>a 与b 使1)(=+-=b aX Y P ,这时X 与Y 是 关系.解 完全相关.8.若),(~2σμN X ,n X X X ,,,21 是来自总体X 的样本,2,S X 分别为样本均值和方差,则SnX )(μ-服从 分布.解 )1(-n t .9.设),(~211σμN X ,),(~222σμN Y ,X 与Y 相互独立.从X ,Y 中分别抽取容量为21,n n 的样本,样本均值分别为Y X ,,则Y X -服从分布 .解 ),(22212121n n N σσμμ+-.10.设随机变量X 和Y 的相关系数为0.9,若4.0-=X Z ,则Y 与Z 的相关系数为____________. 解 9.0),cov()4.0,cov(),cov(==-=X Y X Y Z Y . 二.单项选择题(每小题2分,共12分)1. 设随机变量X 的数学期望EX 与2σ=DX 均存在,由切比雪夫不等式估计概率}4{σ<-EX X P 为( )(A) 161≥(B) 161≤(C) 1615≥(D) 1615≤解 本题应选C.2.B A ,为随机随机事件,且A B ⊂,则下列式子正确的是( ). (A) )()(A P B A P =(B) )()()(A P B P A B P -=-(C) )()(A P AB P = (D) )()(B P A B P =解 本题应选A.3. 设随机变量X 的密度函数为⎩⎨⎧≤≤+=其他,,,,010)(x B Ax x f 且127=EX ,则( ).(A) 5.0,1-==B A(B) 1,5.0=-=B A(C) 1,5.0==B A (D) 5.0,1==B A 解 令1d )(10=+⎰x B Ax ,127d )(1=+⎰x x B Ax ,解得5.0,1==B A ,故本题应选D. 4.若随机变量X 与Y 不相关,则有( ). (A) )(9)()3(Y D X D Y X D -=- (B) )()()(Y D X D XY D ⨯= (C) 0)]}()][({[=--Y E Y X E X E(D) 1)(=+=b aX Y P 解 本题应选C.5.已知随机变量),(~21n n F F ,且αα=>)},({21n n F F P ,则=-),(211n n F α( ).(A) ),(121n n F α(B)),(1121n n F α-(C)),(112n n F α(D) ),(1211n n F α-解6.将一枚硬币独立地掷两次,记事件:=1A {掷第一次出现正面},=2A {掷第二次出现正面},=3A {正、反面各出现一次},=4A {正面出现两次},则事件( ).(A) 321,,A A A 相互独立 (B) 432,,A A A 相互独立 (C) 321,,A A A 两两独立(D) 432,,A A A 两两独立解 21)(1=A P ,21)(2=A P ,21)(3=A P ,41)(4=A P ,再由事件独立的充分必要条件可知321,,A A A 两两独立,本题应选C.三.计算题(每小题8分,共48分)1.某厂由甲,乙,丙三个车间生产同一种产品,它们的产量之比为3:2:1,各车间产品的不合格率依次为8%,9%,12%.现从该厂产品中任意抽取一件,求:(1) 取到不合格产品的概率;(2) 若取到的是不合格品,求它是由甲厂生产的概率. 解 (1) 运用全概率公式, 0.09;(2) 运用贝叶斯公式, 0.44.(具体做法参见模拟试卷(一)第四题)2.一实习生用一台机器接连独立地制造三个同样的零件,第i 个零件是不合格品的概率为)3,2,1(11=+=i ip i ,以X 表示三个零件中合格品的个数,求:(1) X 的概率分布; (2) X 的方差DX .解 (1)12234132411241=⋅+⋅+=EX , (2)2741924114412=⋅+⋅+=EX ,故521.0)(22=-=EX EX DX . 3.设总体X ),0(~2σN ,2σ为未知参数,n x x x ,,,21 是来自总体X 的一组样本值,求2σ的最大似然估计.解 似然函数21221222222e )21(e)21()(σσσπσπσ∑=∑===--ni i ni i x nx nL ,两边取对数212222ln 22ln 4)(ln σσπσ∑---==ni ix nn L ,关于2σ求导,并令其为零,得0)(21222122=∑+⋅-=σσni ix n , 从而解得极大似然估计量为∑==n i i x n 1221ˆσ. 4.二维随机变量(X ,Y )的联合概率密度:⎩⎨⎧>>=+-其它,,,,00,0e 2),()2(y x y x f y x求: (1) X 与Y 之间是否相互独立,判断X 与Y 是否线性相关;(2) )1(≤+X Y P .3解 (1) ⎪⎩⎪⎨⎧≤>==⎰⎰∞++-∞+∞-0,0,0,d e 2d ),()(0)2(x x y y y x f x f y x X⎩⎨⎧≤>=-.0,0,0,e x x x 同理⎩⎨⎧≤>=-.0,0,0,e )(2y y yf y Y 从而)()(),(y f x f y x f Y X =,故X 与Y 相互独立,因而X 与Y 一定不相关.(2) =≤+)1(X Y P =⎰⎰-+-y x x y x d 2e d 10)2(1021)e 1(--.5.某人乘车或步行上班,他等车的时间X (单位:分钟)服从参数为51的指数分布,如果等车时间超过10分钟他就步行上班.若此人一周上班5次,以Y 表示他一周步行上班的次数.求Y 的概率分布;并求他一周内至少有一次步行上班的概率.解 此人每天等车时间超过10分钟也即步行上班的概率为210e d e 51)10(--∞+==>⎰x X P sx. 故)e ,5(~2-B Y .52)e 1(1)1(---=≥Y P .6.设随机变量X 的概率密度为⎪⎩⎪⎨⎧∈⋅=其他,,,,0]8,1[31)(32x x x f)(x F 是X 的分布函数.求随机变量)(X F Y =的概率分布.解 ⎪⎪⎩⎪⎪⎨⎧>≤<-≤=.8,1,81,1,1,0)(31x x x x x F(3) 当0<y 时,0)()(=≤=y Y P y F Y ;当10<≤y 时,))1(()1()()(331+≤=≤-=≤=y X P y X P y Y P y F Yy y F X =+=))1((3;当1≥y 时,1)()(=≤=y Y P y F Y .故对)(y F Y 求导可得Y 的概率密度,⎩⎨⎧<<=其它,,,,0101)(y y f Y 即]10[~,U Y四.应用题(第1题7分、第2题8分,共15分)1.假设对目标独立地发射400发炮弹,已知每一发炮弹的命中率等于0.2,用中心极限定理计算命中60发到100发之间的概率.解 设⎩⎨⎧=发炮弹命中第发炮弹没有命中第i i X i ,1,,0 (400,,2,1 =i ),则 ∑==4001i i X X )2.0,400(~B表示400发炮弹命中的发数,且80=EX ,64=DX ,故由中心极限定理知,)6420|6480(|)20|80(|)10060(<-=<-=<<X P X P X P 9876.01)820(2=-Φ=.2.某厂生产铜丝,生产一向稳定.现从该厂产品中随机抽出10段检查其折断力,测后经计算: 5.160)(,5.28712=-=∑=ni i x x x .假定铜丝折断力服从正态分布,问是否可以相信该厂生产的铜丝的折断力方差为16?(1.0=α)解 16162120≠=σσ:,:H H .采用统计量 2221S n σχ-=,在0H 成立时,)9(~22χχ.由1.0=α,查得临界值 325.3)9(295.022/1==-χχα, 919.16)9(205.022/==χχα, 由样本值算得03.10165.1602≈=χ,由于22/222/1ααχχχ<<-,所以不拒绝0H ,即该厂生产的铜丝的折断力方差为16. 五.证明题(5分)若随机变量X 的密度函数)(x f ,对任意的R x ∈,满足:)()(x f x f -=,)(x F 是其分布函数.证明:对任意实数a ,有⎰-=-a x x f a F 0d )(21)(. 证明 ⎰⎰⎰-∞--∞-+==-a ax x f x x f x x f a F 00d )(d )(d )()(⎰-+=a x x f 0d )(21 (令x t -=) ⎰⎰⎰-=-=--=a a a x x f t t f t t f 000d )(21d )(21d )(21.。
概率论与数理统计试题与答案HUA system office room 【HUA16H-TTMS2A-HUAS8Q8-HUAH1688】概率论与数理统计试题与答案(2012-2013-1)概率统计模拟题一一、填空题(本题满分18分,每题3分)1、设,3.0)(,7.0)(=-=B A P A P 则)(AB P = 。
2、设随机变量p)B(3,~Y p),B(2,~X ,若95)1(=≥X p ,则=≥)1(Y p 。
3、设X 与Y 相互独立,1,2==DY DX ,则=+-)543(Y X D 。
4、设随机变量X 的方差为2,则根据契比雪夫不等式有≤≥}2EX -X {P 。
5、设)X ,,X ,(X n 21 为来自总体)10(2χ的样本,则统计量∑==n1i i X Y 服从分布。
6、设正态总体),(2σμN ,2σ未知,则μ的置信度为α-1的置信区间的长度=L 。
(按下侧分位数)二、选择题(本题满分15分,每题3分)1、 若A 与自身独立,则( )(A)0)(=A P ; (B) 1)(=A P ;(C) 1)(0<<A P ; (D) 0)(=A P 或1)(=A P2、下列数列中,是概率分布的是( )(A) 4,3,2,1,0,15)(==x xx p ; (B) 3,2,1,0,65)(2=-=x x x p (C) 6,5,4,3,41)(==x x p ; (D) 5,4,3,2,1,251)(=+=x x x p 3、设),(~p n B X ,则有( )(A) np X E 2)12(=- (B) )1(4)12(p np X D -=-(C) 14)12(+=+np X E (D) 1)1(4)12(+-=+p np X D4、设随机变量),(~2σμN X ,则随着σ的增大,概率()σμ<-X P ( )。
(A)单调增大 (B)单调减小 (C)保持不变 (D)增减不定5、设),,,(21n X X X 是来自总体),(~2σμN X 的一个样本,X 与2S 分别为样本均值与样本方差,则下列结果错误..的是( )。
概率论与数理统计练习题21⼀、填空题(每题4分,共20分)1、假设事件A 和B 满⾜1)(=A B P ,则A 和B 的关系是__B A ? _____________。
2、设随机变量)(~λπX ,且{}{},21===X P X P 则{}==k X P ____)... ,1,0( !22=-k k e k _________。
3、设X服从参数为1的指数分布,则=)(2X E ____2_______。
4、设),1,0(~),2,0(~N Y N X 且X 与Y 相互独⽴,则~Y X Z -=___)3,0(N________。
5、),16,1(~),5,1(~N Y N X 且X 与Y 相互独⽴,令12--=Y X Z ,则=YZ ρ__32-__。
⼆、选择题(每题4分,共20分)1、将3粒黄⾖随机地放⼊4个杯⼦,则杯⼦中盛黄⾖最多为⼀粒的概率为( B )A 、323B 、83C 、161D 、812、随机变量X 和Y 的,0=XY ρ则下列结论不正确的是( B ) A 、)()()(Y D X D Y X D +=- B 、a X +与b Y -必相互独⽴ C 、X 与Y 可能服从⼆维均匀分布 D 、)()()(Y E X E XY E =3、样本n X X X ,,,21 来⾃总体X ,,)(,)(2σµ==X D X E 则有( B )A 、2i X )1(n i ≤≤都是µ的⽆偏估计 B 、X 是µ的⽆偏估计 C 、)1(2的⽆偏估计4、设n X X X ,,,21 来⾃正态总体),(2σµN 的样本,其中µ已知,2σ未知,则下列不是统计量的是(C ) A 、ini X ≤≤1minB 、µ-XC 、∑=ni iX 1σD 、1X X n -5、在假设检验中,检验⽔平α的意义是( A ) A 、原假设0H 成⽴,经检验被拒绝的概率 B 、原假设0H 不成⽴,经检验被拒绝的概率 C 、原假设0H 成⽴,经检验不能拒绝的概率D 、原假设0H 不成⽴,经检验不能拒绝的概率三、计算题(共28分)1、已知离散型随机变量的分布律为求:X 的分布函数,(2))(X D 。
《概率论与数理统计》模拟试卷2参考答案一、填空题(每题3分,共计18分)1. 1/8,2. 0.24,3. 2/3,4. N(0,1),5. 0,6. 53/56 二、选择题(每题2分,共14分)1.A ,2.C,3.D,4.D,5.B,6. C ,7.A三、解答题(第2,3小题每题12分,其余每小题10分,共64分)1. 解:设1A =“肥胖者”,2A =“中等者” ,3A =“瘦者” B=“患高血压病”,则有: (1)()()()()()()()112233P B P A P B A P A P B A P A P B A =++ 即 P (B )=0.25x 0.2+0.6x0.08+0.15*0.02=0.101 (2) ()()11()0.250.20.4950.101P A B P A B P B ⋅===2解:1221212==-=⎰kx kdx x k ,k=2, }3454{<<x P =21223413412=-=⎰x dx x)(X E =2221122ln 2ln 2xdx x x==⎰。
3 解:P(X=0)=0.5; P(X=1)=0.5; P(Y=1)=0.4,P(Y=2)=0.4,P(Y=3)=0.2; 不独立,P(X=0) P(Y=1)=0.2≠P (X=0,Y=1)=0.1 E(X)=0.5,E(Y)=1.8,E(XY)=0.3+0.4=0.7 Cov(X,Y)=-0.2, X,Y 为相关的。
4解: 设X 为100粒种子的发芽个数,则)9.0,100(~B X{88}1{88}1P X P X P >=-≤=-≤1(23)(20.7486≈-Φ-=Φ=5解:矩估计法:()11()11E X x x dx θθθ=+=+⎰,令 1ˆ1X θ=+,得 1ˆX X θ-= 。
极大似然估计法:()1()1()(01,1,,)nni i i L x x i n θθθ==+<<=∏,令ln ()0d L d θθ= , 则有 1ln 01ni i n x θ=+=+∑,于是 11ln ˆln nii L nii n X Xθ==+=-∑∑。
概率论与数理统计期末考试模拟检测题02(含答案)一、单项选择题1. 对于事件A 和B ,下述命题正确的是 ( B )(A) 如果A 与B 互不相容,则A 与B 相互对立(B) 如果A 与B 相互对立,则A 与B 互不相容(C) 如果A 与B 相互独立,则A 与B 互不相容(D) 如果A 与B 互不相容,则A 与B 相互独立2. 一个寝室住有4个同学,那么他们中至少有两人的生日在一个星期内的同一天的概率是 ( D )(A) 0.25 (B) 0.35 (C) 0.55 (D) 0.653. 若P (B|A )=0,则下列命题中正确的是 ( B )(A) B ⊂A (B) AB=φ (C) A ⊂B (D) A-B=φ4. ,ξη相互独立且都服从正态分布2(1,3)N ,则(2)D ξη-= ( C )(A) -8 (B) 9 (C) 45 (D)605. 若函数sin x 为随机变量X 的概率密度,则X 的可能取值区间 ( D )(A) [0,2]π (B) 3[0,]2π (C) [0,]π (D) [0,]2π 6. 3人独立编写同一计算机程序,他们各自能成功的概率分别是0.3, 0.6, 0.5,则能将此程序编写成功的概率是( B )(A) 0.09 (B) 0.86 (C) 0.14 (D) 0.917.设,A B 是两个事件,则以下关系中正确的是( B )(A) ()A B B A ⋃-= (B) ()A B B B ⋃⋂=(C) ()A B B A ⋂⋃= (D) ()A B B AB -⋂=8.10个产品中有8个正品2个次品,从中无放回地任取3个, 则恰有1个次品的概率是( A ) (A)715 (B) 815 (C)160 (D)7459.若P (B|A )=1,则下列命题中正确的是( C )(A) B ⊂A (B) P (A-B )=O (C) A ⊂B (D)A-B=φ10.,ξη相互独立且都服从正态分布2(3,2)N ,则(2)D ξη-=( B )(A) 8 (B) 20 (C) -16 (D) 1211.设1X ,2X ,3X 是来自(0,ϑ)上的均匀分布的样本,ϑ>0未知,则下列样本数中( C )不是统计量。
概率论与数理统计模拟试卷一、单项选择题(本大题共10小题,每小题2分,共20分)在每小题列出的四个选项中只有一个选项是符合题目要求的,请将正确选项前的字母填在题后的括号内。
1. 设随机事件A 与B 互不相容,且P (A )>P (B )>0,则A . P(A)=1-P(B)B .P(AB)=P(A)P(B) B .C .P(A ∪B)=1D .1AB P )=( 2.设A ,B 为随机事件,P (B )>0,P (A|B )=1,则必有A . P(A ∪B)=P (A )B .B A ⊃ B .C .P (A )=P (B )D .P (AB )=P (A ) 3.将两封信随机地投入四个邮筒中,则未向前面两个邮筒投信的概率为A .2242 B .2412C C C .24A 2! D .4!2!4.某人连续向一目标射击,每次命中目标的概率为3/4,他连续射击直到命中为止,则射击次数为3的概率是A .343)(B .41432⨯)(C .43412⨯)(D .22441C )( 5.已知随机变量X 的概率密度为fx(x),令Y =-2X ,则Y 的概率密度(y)f Y 为A .2fx(-2y)B .)2y fx(- C .)2y fx(-21- D .)2y fx(-216.如果函数{b x a x,bx a x 0,f(x)≤≤><=或是某连续随机变量X 的概率密度,则区间[a,b]可以是A .[0,1]B .[0.2]C .[20,]D .[1,2] 7.下列各函数中是随机变量分布函数的为A .+∞<<∞+=x ,x11(x)21-F B . ⎝⎛=≤>+0x 0,0x ,x1x 2(x)FC .+∞<<∞=x ,-e (x )F -x 3D .+∞<<∞+=x arctgx,-2143(x)F 4π8.设二维随机向量(X ,Y )的联合分布列为Y X0 120 1 2121122122 121121122121122则P {X =0}=A . 1/12B .2/12C .4/12D .5/12 9.已知随机变量X 和Y 相互独立,且它们分别在区间[-1,3]和[2,4]上服从均匀分布,则E (XY )=A . 3B .6C .10D .12 10.设φ(x )为标准正态分布函数,{,1001,2,i X A 1A 0,i == 发生;,事件不发生;事件,且P(A)=0.8,X 1,X 2,…,X 100相互独立。
《概率论与数理统计》模拟试卷二 一.选择题(每题3分,共30分)1.设事件A 表示“甲种产品畅销,乙种产品滞销”,其对立事件为 .(A )“甲种产品滞销,乙种产品畅销”; (B )“甲、乙两种产品均畅销”;(C ) “甲种产品滞销”; (D ) “甲种产品滞销或乙种产品畅销” .2.设A B ⊂,则下面正确的等式是 .(A ))(1)(A P AB P -=; (B ))()()(A P B P A B P -=-; (C ))()|(B P A B P =; (D ))()|(A P B A P =3. 离散随机变量X 的分布函数为)(x F ,且11+-<<k k k x x x ,则==)(k x X P . (A ))(1k k x X x P ≤≤-; (B ))()(11-+-k k x F x F ; (C ))(11+-≤<k k x X x P ; (D ))()(1--k k x F x F .4.设随机变量X 的分布律为 5,4,3,2,1,15/)(===k k k X P 。
则)5.25.0(<<X P 的值是 . (A ) 6.0 ; (B ) 2.0 ; (C ) 4.0 ; (D ) 8.0 .5.设随机变量,X Y 相互独立,)1,0(~N X ,)1,1(~N Y ,则 .)(A 2/1)0(=≤+Y X P ; )(B 2/1)1(=≤+Y X P ;)(C 2/1)0(=≤-Y X P ; )(D 2/1)1(=≤-Y X P .6.某种动物活到25岁以上的概率为0.8,活到30岁的概率为0.4,则现年25岁的这种动物活到30岁以上的概率是( )。
A )、 0.76B )、 0.4C )、 0.32D )、 0.57.设F(x)和f(x)分别为某随机变量的分布函数和概率密度,则必有( )A )、f(x)单调不减B )、()1F x dx +∞-∞=⎰ C )、()0F -∞= D )、()()Fx f xd x +∞-∞=⎰8.设随机变量X 与Y 相互独立,且⎪⎭⎫ ⎝⎛21,16~B X ,Y 服从于参数为9的泊松分布,则=+-)12(Y X D ( )。
《概率论与数理统计》模拟试卷一、填空题1.三只考签由三个学生轮流放回抽取一次,每次取一只,设i A 表示第i 只考签被抽到(1,2,3)i =,则“至少有一只考签没有..被抽到〞这一事件可表示为 . 2.设()0.4P A =,()0.3P B =,()0.6P A B =,则()P AB = .3.一袋中装有10个球,其中3个黑球,7个白球,先后两次不放回从袋中各取一球,则第二次取到的是黑球的概率为 .4.随机变量X 的分布函数为0,0()0.4,011,1x F x x x <⎧⎪=≤<⎨⎪≥⎩,则{1}P X == .5.设随机变量~(,25)X N μ,且{5}0.5P X >=,则μ= .6.设随机变量X 的概率密度函数为,01()0,Ax x f x <<⎧=⎨⎩其它,则常数A = .7.设随机变量X 服从参数为,n p 的二项分布,且16n =,()4D X =,则p = . 8.设二维随机变量(,)X Y 的分布律为则{}P X Y == .9.设随机变量X 服从参数为1的泊松分布,则2{()}P X E X == .10.设随机变量~(1,1),~(1,1)X N Y N -,且X 与Y 相互独立,则2[()]E X Y -= . 11.()1D X =,()9D Y =,0.5XY ρ=,则(321)D X Y -+= .12.设X 和Y 的方差DX 和DY 都存在,且满足()()D X Y D X Y +=-,则X 与Y 的相关系数XY ρ= .13.设1210,,,X X X 是来自总体(0,1)X N 的简单随机样本,则统计量2221210X X X +++服从自由度n = 的2χ分布.14.设来自总体~(,1)X N μ的容量为16的样本的样本均值 5.11x =,其未知参数μ的置信水平为1α-的置信区间为(4.62,5.60),则α= .15.设正态总体2~(,)X N μσ,其中2,μσ均未知,12,,,n X X X 为来自总体X 的简单随机样本,记11n i i X X n ==∑,221()ni i Q X X ==-∑,则检验假设01:0,:0H H μμ=≠的t 检验方法使用统计量t = .二、计算题1.设随机变量X 的概率密度函数,01()2,120,x x f x x x <<⎧⎪=-≤<⎨⎪⎩其他 ,求⑴{1}P X ≥;⑵分布函数()F x .2.设随机变量X 的概率密度函数1,01()0,X x f x <<⎧=⎨⎩其他,⑴求XY e =的概率密度函数()Y f y ;⑵求Y 的数学期望()E Y .3.设,X Y 的联合概率密度函数为,01,01(,)0,x y x y f x y +<<<<⎧=⎨⎩其他,⑴求X 和Y 的边缘概率密度函数()X f x 和()Y f y ;⑵推断X 与Y 的是否独立?4.将两封信随意投入3个邮筒,设X 和Y 分别表示投入第1和2号邮筒中信的数目,⑴求X 和Y 的联合分布律;⑵求X 与Y 的协方差(,)Cov X Y .5.设总体X 的概率密度函数22,0(;)0,xx f x θθθ⎧<<⎪=⎨⎪⎩其他,其中0θ>为未知参数,n X X X ,,,21 是来自总体X 的样本.⑴求未知参数θ的矩估量量ˆθ;⑵推断所求的估量量ˆθ是否为θ的无偏估量量.6.设总体X 的概率密度函数||1(;)()2x f x e x θθθ-=-∞<<+∞,其中0θ>为未知参数,6,3,1,2,4,7,8,9---为来自总体的X 样本值,求θ的极大似然估量值.参考答案一、填空题1.123A A A 2.0.3 3.0.3 4.0.6 5.56.2 7.0.5 8.0.4 9.12e10.6 11.27 12.0 13.10 14.0.05 15X三、计算以下概率问题1.解:⑴1{1}1{1}10.5P X P X xdx ≥=-<=-=⎰⑵当0x <时,()0F x =; 当01x ≤<时,2()2xx F x xdt ==⎰;当12x ≤<时,211()(2)212xx F x xdx x dx x =+-=--⎰⎰; 当2x ≥时,()1F x =;所以2200,012()21,1221,2x x x F x x x x x <⎧⎪⎪≤<⎪=⎨⎪--≤<⎪⎪≥⎩,.2.解:⑴()1,01,0,x f x <<⎧=⎨⎩其他 (){}{}X Y F y P Y y P e y =≤=≤当0y <时,()0Y F y =; 当0,y ≥时,(){ln }(ln )Y X F y P X y F y =≤=,()()Y Y f y F y '=,于是1,1()0,Y y ey f y ⎧<<⎪=⎨⎪⎩其他⑵1()()1XxE Y E e e dx e ===-⎰3.解:⑴当01x <<时,11()(,)()2X f x f x y dy x y dy x +∞-∞==+=+⎰⎰; 当01y <<时,101()(,)()2Y f y f x y dx x y dx y +∞-∞==+=+⎰⎰; ⑵(,)()()X Y f x y f x f y ≠∴X 与Y 不是相互独立的。
<北京语言大学网络教育学院概率论与数理统计模拟试卷2第I 卷(客观卷)一、单项选择题(每题3分,共45分)1、设A,B 是两个对立事件,P (A )>0 ,P (B )>0,则( )一定不成立。
(A )P (A)=1-P (B ) ' (B )P (A│B)=0 (C )P (A│B )=1(D )P (A B )=12、已知随机变量X 的概率密度为f X (x ),令X Y 2-=,则Y 的概率密度f Y (y)为( )。
(A )2f X (-2y)(B )f X ()-y2(C )--122f y X () -(D )122f y X ()-3、设A,B,C 是三个相互独立的事件,且0<P (C )<1,则在下列给定的四对事件中不相互独立的是( )。
(A )AB C 与 (B )AC C 与 (C )A B C -与(D )AB C 与4、如果()F x 是( ),则()F x 一定不可以是连续型随机变量的分布函数。
(A )非负函数…(B )连续函数(C )有界函数 (D )单调减少函数5、下列二元函数中,( )可以作为连续型随机变量的联合概率密度。
(A )cos 01(,)220x x y f x y ππ⎧-≤≤≤≤⎪=⎨⎪⎩其它(B )1cos 0(,)2220x x y g x y ππ⎧-≤≤≤≤⎪=⎨⎪⎩其它(C ) cos 001(,)0x x y x y πϕ≤≤≤≤⎧=⎨⎩其它~(D )1cos 00(,)20x x y h x y π⎧≤≤≤≤⎪=⎨⎪⎩其它6、设F(x)是离散型随机变量的分布函数,若()P b ξ==( ),则()()()P a b F b F a ξ<<=- 成立。
(A )()()F a F b - (B )()()F b F a - (C )()()F a F b +(D )17、已知随机变量ξ,η的方差D ξ,D η均存在,则下列等式中,( )一定不成立。
概率论与数理统计模拟试卷2
一、单项选择题(每题3分,共45分)
1、设A,B 是两个对立事件,P (A )>0 ,P (B )>0,则( )一定不成立。
(A )P (A)=1-P (B ) (B )P (A│B)=0 (C )P (A│B )=1
(D )P (A B )=1
2、已知随机变量X 的概率密度为f X (x ),令X Y 2-=,则Y 的概率密度f Y (y)为( )。
(A )2f X (-2y) (B )f X ()
-
y 2
(C )-
-
122f y X ()
(D )
12
2f y X ()
-
3、设A,B,C 是三个相互独立的事件,且0<P (C )<1,则在下列给定的四对事件中不相互独立的是( )。
(A )A B C 与 (B )A C C 与 (C )A B C -与
(D )A B C 与
4、如果()F x 是( ),则()F x 一定不可以是连续型随机变量的分布函数。
(A )非负函数 (B )连续函数 (C )有界函数 (D )单调减少函数
5、下列二元函数中,( )可以作为连续型随机变量的联合概率密度。
(A )
co s 01
(,)2
2
0x
x y f x y ππ⎧
-
≤≤≤≤⎪=⎨
⎪⎩
其它
(B )1co s 0(,)2
2
20x
x y g x y π
π
⎧
-
≤≤≤≤
⎪=⎨
⎪⎩
其它
(C ) co s 001
(,)0
x x y x y πϕ≤≤≤≤⎧=⎨
⎩
其它
(D )1co s 00(,)20x
x y h x y π⎧
≤≤≤≤
⎪=⎨
⎪⎩
其它
6、设F(x)是离散型随机变量的分布函数,若()P b ξ==( ),则
()()()P a b F b F a ξ<<=- 成立。
(A )()()F a F b - (B )()()F b F a - (C )()()F a F b +
(D )1
7、已知随机变量ξ,η的方差D ξ,D η均存在,则下列等式中,( )一定不成立。
(A )D ()ξη-= D ξ—D η
(B )D ()ξη-= ()()2
2E E ξηξη---⎡⎤⎣⎦ (C )D ()ξη-=2cov(,)D D ξηξη+- (D )D ()ξη-=()()2
E E E ξξηη---⎡⎤⎣⎦
8、设随机变量ξ的期望E ξ,方差D ξ及2
E ξ都存在,则一定有( )。
(A )E ξ≥0 (B )D ξ≥0
(C )()2
E ξ≥2
E ξ
(D )2
E ξ≥E ξ
9、设有独立随机变量序列12,,,,n
X X X
L L ,… 具有如下分布律:
1
21
21
n
X
a a n n P n n -+++
则( )契比雪夫定理。
(A )不满足 (B )满足
(C )不一定
(D )以上都不对
10、假设随机变量X 服从分布()t n ,则2
1X 服从分布( )。
(A )2
1(,2)X F n (B )2
1(,1)X F n (C )21(1)X
t n -
(D )2
1(1,)X
F n
11、样本1100,,(1)X X n > 来自标准正态分布总体2
(,),N X S μσ与分别是样本均值与样本标准差,则下面结论不成立的有( )。
(A )2
X S 与相互独立 (B )2
X S 与(n-1)相互独立 (C )2
2
11
()n i
i X X
X σ
=-∑与
相互独立
(D )2
2
1
1
()n
i
i X X
μσ
=-∑与
相互独立
12、假设1,,n X X 是来自正态总体()2
,N μσ
的一个样本,参数μ
与2
σ未知,假设
2
2
0:0H σ
σ≥,则在显著水平0.05α=下,该检验的拒绝域R 是( )。
(A )19.02K ≥
(B )16.92K ≥
(C ) 2.719.02K K ≤≥或 (D ) 3.3K ≤
13、在0H 为原假设,1H 为备择假设的假设检验中,若显著性水平为α,则( )。
011100
1()(|);()(|);()(|);()(|).
A P H
H B P H H C P H H D P H
H αααα====接受成立接受成立接受成立接受成立
14、样本()1,,3n X X n ≥ 取自总体X ,则下列估计量中,不是总体期望μ的无偏估计量有( )。
(A )X
(B )12n X X X +++ (C )10.1(64)n X X +
(D )123X X X +-
15、如果1ˆθ与2ˆθ都是总体未知参数θ的估计量,称1ˆθ比2ˆθ有效,则1ˆθ与2ˆθ的期望与方差一定满足( )。
(A )1ˆE θ2ˆE θ=,1ˆD θ2ˆD θ≤ (B )1ˆE θ2ˆE θ≠,1ˆD θ2ˆD θ≤ (C )1ˆE θ2ˆE θ≤,1ˆD θ2ˆD θ≤ (D )1ˆE θ2ˆE θ=,1ˆD θ2ˆD θ=
二、填空题(每题3分,共15分)
1、设A 与B 是相互独立的事件,已知2
1)(=
A P ,3
1)(=B P ,则
=+)(B A P 。
2、某电子元件的寿命X 的概率密度为(单位:h )
2
0,
()1000,f x x
⎧⎪
=⎨⎪⎩ 10001000x x ≤>
装有5个这种电子元件的系统在使用的前1500h 内正好有2个元件需要更换的概率是 。
3、设ξ为一随机变量,若()10D ξ=10,则D ξ= 。
4、对于两个正态总体()2
11
,N μσ与()2
2
2
,N μ
σ,则假设22
12:H
σσ=的F 检验使用
的统计量2
2
12F S S =,当第1个样本容量10m =,第2个样本容量13n =时,在显著水平0.10α=下,其拒绝域R 为 。
5、设总体2~(,)X N μσ,2
σ已知,μ为未知参数,1(,,)n X X 为样本,又()x Φ表示标准正态分布(0,1)N 的分布函数,已知(1.96)0.975,(1.64)0.95,μΦ=Φ=的置信
水平为0.95的置信区间
为X X λλ⎛
-+ ⎝,其中1
1n
i i X X n ==∑
,则
λ= 。
三、计算题(每题10分,共40分)
1、 10个球中有3个红球7个绿球,随机地分给10个小朋友,每人一球,则最后三个分到球的小朋友恰有一个得到红球的概率是多少?
2、设随机变量X 与Y 同分布,X 的密度函数为()2
380
x
f x ⎧⎪=⎨⎪⎩
02x <<其他, 设
{}A X a =
>与{}B Y a =>相互独立,且()34
P A B =
,求a 的值.
3、设连续型随机变量ξ的分布函数为()3
81202
x F x x
x ⎧
-≥⎪=⎨⎪<⎩
,求ξ的期望与方差的
值。
4、设121,,,,n n X X X X + 是来自正态总体()
2
,N μσ
的样本,
2
2
1
1
1
1
,()1
n
n
i i i i X X S
X X n
n ===
=
-∑∑ ,
则统计量Y =
一、单项选择题:1、B 2、D 3、B 4、D 5、B 6、B 7、A 8、B 9、B 10、
B 11、D 12、D 13、
C 14、B 15、A 二、填空题:1、
3
2 2、
80243
3、
110
4、{}2.80.3F F ≥≤或
5、1.96
三、计算题:1、1
2
373
10
C C C 2
3、3E ξ=,3D ξ=
4、()1t n -。