一年级语文下册二类字词语表
- 格式:doc
- 大小:17.01 KB
- 文档页数:8
.5 动物儿歌会写的字:间 时间 人间 晚间 中间 乡间 午间 田间 车间 迷 着zh áo迷 迷你 入迷 迷人 造 造林 再造 造成 造山 造田运 运动 运用 运气 运行 好运 时运 运河 广运 运目 池 水池 小池 池子 池水 火池 耳池 乐yu è池 欢 欢心 人欢马叫 欢乐 欢呼 欢快 欢笑 欢叫 网 上网 网虫 入网 鸟网 连网 网目 火网 河网会认的字:间(ji àn ) 黑白相间 间隔ɡé间苗mi áo间接ji ē蜻q īn ɡ蜓t ín ɡ蜻蜓点di ǎn水 蜻蜓展zh ǎn 翅ch ì藏 [ c áng ] 躲du ǒ躲藏藏 秋收sh ōu冬藏 捉zhu ō迷藏 笑里藏刀 藏 [z àng] 西藏 藏族z ú藏青q īn ɡ蚁 热r è锅ɡu ō上的蚂m ǎ蚁 蚂蚁搬b ān家 白b ái蚁争zh ēn ɡ穴xu é食 弱ru ò肉r òu 强qi án ɡ食 节衣缩su ō食 废f èi 寝q ǐn 忘w àn ɡ食 自食sh í其q í力 粮 粮食 弹d àn 尽j ìn粮绝ju é兵b īn ɡ马未w èi动,粮草c ǎo 先xi ān行。
蜘zh ī蛛zh ū蜘蛛 蜘蛛网 蛛丝s ī马迹j ì网 天罗lu ó地网 鱼死s ǐ网破p ò自投t óu 罗lu ó网 蜘蛛结ji é网 一网打尽j ìn课后词语蝴h ú蝶di é飞舞 蚯蚓松土 蝌蚪游水 蚂蚁搬b ān家 蜻蜓展翅 蜘蛛结网6 古对今会写的字:古 古人 古井 万古长青 古时 古书 远古 七古 古今 凉 秋凉 凉风 凉快 心凉 着zh áo凉 清凉 凉水 细 细心 细雨 细节 细小 明细 细毛 细叶 和风细雨 夕 夕阳 前夕 七夕 夕日 夕阳红 李 李子 姓李 桃李 行李 张三李四语 语文 鸟语花香 成语 外语 语音 语种 母语 国语会认的字:圆 圆形 圆心 半圆 方圆 圆角 圆月 内圆 外圆 圆木严 义正词c í严 严于y ú律l ǜ己j ǐ 严格ɡé严肃s ù严寒h án的冬天 严明 严厉l ì寒 寒冷l ěn ɡ天寒地冻d òn ɡ寒冬腊l à月 冰b īn ɡ冻d òn ɡ三尺,非f ēi一日之zh ī寒 大寒 酷 酷日 酷热r è冷酷无情 酷暑sh ǔ残c án酷 晨 早晨 清晨 晨风 明晨 一日之计j ì在于晨 暑 暑假ji ǎ小暑 大暑 暑天 寒来暑往w ǎn ɡ朝[ch áo] 朝代 北朝 南n án朝 热r è火朝天 上朝 明朝 汉h àn朝 朝[ zh āo ] 朝气 有朝一日 今朝 明朝 朝思暮m ù想xi ǎn ɡ朝霞xi á霞 霞光 晚霞 朝zh āo霞满m ǎn天 青霞 云霞 霞光万丈zh àn ɡ 金j īn 霞 彩c ǎi霞 杨 杨树sh ù杨柳li ǔ百步b ù穿chu ān杨 杨柳li ǔ依y ī依y ī杨木 杨花柳li ǔ絮x ù7 操场上会写的字:打 打开 打字 打住 打工 打比方 打气 打斗d òu打手 拍 拍打 拍手 节拍 开拍 拍头 开拍 拍平 拍手叫好 跑 长跑 快跑 小跑 跑马 飞跑 跑外 跑车 跑光 炮火 足 手足 足下 立足 不足 十足 中气十足 足金声 声音 大声 声乐yu è呼声 笑声 高声 风声 雨声 回声.身 身高 身体 自身 人身 身后 出身 单身 身上体 体外 人体 字体 全体 立体 体力 气体 长方体 个体会认的字:操 体操 操场ch ǎn ɡ 做zu ò操 操心 节操 间操 操作 操之zh ī过急j í操办 场 运动场 林场 会场 市sh ì场 广场 立场 入场 场地 菜c ài场 上半场 场面mi àn机场 到场 出场 在场 当d ān ɡ场 场院yu àn夜y è场 拔 拔河 拔罐ɡu àn子 虎h ǔ口拔牙 拔高 拔地而ér 起q ǐ拔萝lu ó卜bo拔草c ǎo踢 踢球qi ú踢腿tu ǐ拳qu án打脚ji ǎo 踢t ī踢毽ji àn子 踢跳ti ào铃 铃声 打铃 门铃 铃铛ch ēn ɡ掩y ǎn耳盗d ào铃 电di àn铃 哑y ǎ铃 警j ǐn ɡ铃 热 热火朝ch áo 天 热水 热心 不冷不热 地点 水深sh ēn火热 热浪l àn ɡ闹 热闹 打闹 热闹 热闹非f ēi 凡f án闹闹哄h ōn ɡ哄h ōn ɡ闹心 大吵大闹 锻 锻炼 锻工 锻接炼 炼金 炼油y óu炼钢ɡān ɡ提t í炼 炼铁ti ě8 人之初会写的字:之 之间 之前 之后 一走了之 手足之情 之中 相 [xi āng ] 相对 相同 相加 相见 相比 相连 相思 相 [xi àng] 手相 看相 相机 相声 长zh ǎn ɡ相xi àn ɡ亮相 近 远近 近来 近日 不近人情 相近 近古 习 习气 自习 习字 见习 学习 习用 远 远近 长远 远大 高远 远古 远去 远行 玉 玉米 玉石 玉色 玉音 玉花 玉手 金声玉色 义 主义 多情多义 字义 义气 讲义 情义 广义会认的字:初 初中 初春 初一 月初 起q ǐ初 年ni án 初 当d ān ɡ初 初学 初步b ù性 性别bi é 天性 记j ì性 本性 阳性 阴性 灭mi è绝ju é人性 个性 善 善良li án ɡ善心 行x ín ɡ善 慈c í善 完善 善于y ú积j ī善 善后 教 [ji ào] 教父 教主 教会 教堂t án ɡ教育y ù教导d ǎo外教 教师sh ī教[ji āo] 教唱歌 教会 教书 教会迁 迁入 迁出 动迁 见异y ì思迁 准zh ǔn迁 迁就ji ù升sh ēn ɡ迁 贵 贵重zh òn ɡ贵人 贵贱ji àn高贵 名贵 可贵 珍zh ēn贵 高抬t ái贵手 专 专心致zh ì志zh ì专门 专家ji ā专zhu ān 长ch án ɡ专用 专卖m ài 店di àn 专心幼 幼儿 幼年 扶f ú老携xi é幼 老幼 幼虫 年幼无知zh ī幼稚zh ì可笑器 武w ǔ器 机器 电器 乐yu è器 热水器 灭火器 充ch ōn ɡ电器 器重zh òn ɡ课后词语:初ch ū始sh ǐ初夏xi à 天性x ìn ɡ 性格 专心 专门 善sh àn 良li án ɡ 友y ǒu 善sh àn语文园地五会认的字:饭 吃饭 晚饭 吃饭 饭包 米饭 饭豆 饭碗w ǎn早饭能 才c ái能 能够ɡòu可能 不能 能手 本能 太阳能 无能为w éi力饱 吃饱 温w ēn饱 饱经j īn ɡ风霜shu ān ɡ饱和 饱嗝ɡé儿 饱满 大饱眼y ǎn 福f ú茶 喝h ē茶 毛茶 绿l ǜ茶 茶水 茶几j ī花茶 清茶 茶园yu án奶n ǎi茶 泡 泡水 泡茶 浸j ìn泡 泡汤t ān ɡ气泡 冲ch ōn ɡ泡 泡菜c ài泡饭 气泡 轻 轻重zh òn ɡ年ni án轻人 轻而ér 易y ì举j ǔ轻声 轻快 轻生 轻描mi áo 淡d àn 写xi ě鞭 鞭炮p ào鞭子 马鞭 鞭打 牛鞭 皮p í鞭 长鞭炮 炮火 炮台t ái开炮 炮弹d àn放f àn ɡ炮 冲ch ōn ɡ天炮 火炮 炮仗zh àn ɡ12 古诗两首会写的字:首 首长 回首 白首 首相xi àn ɡ自首 元首 身首 无首 采 采花 开采 采风 采光 文采 采用 采石.无 无声 无不 无情 无心 无用 无力 无比 无边 无语 树 种树 树木 树叶 李树 树林 大树 树干ɡàn树身 树苗 爱 爱心 心爱 爱好h ào爱国 爱人 爱情 爱说 可爱 爱笑 尖 尖子 山尖 尖刀 耳尖 心尖 尖叫 尖头 尖子生 角 口角 羊角 豆角 三角 五角星 角果 角ju é: 角ju é色会认的字:踪 踪迹j ì无影y ǐn ɡ无踪 来去无踪 行踪诡ɡu ǐ秘m ì 失sh ī踪 行踪 跟ɡēn踪 迹 足迹 痕h én迹 蛛zh ū丝s ī马迹 奇q í迹 名胜sh èn ɡ古迹 浪l àn ɡ迹天涯y á事sh ì迹 浮 漂pi āo浮 浮萍 浮力 浮动 轻q īn ɡ浮 浮躁z ào浮桥qi áo浮尘ch én浮沉ch én泉 泉水 清泉 泪l èi 如r ú泉涌y ǒn ɡ矿ku àn ɡ泉 山泉 喷p ēn泉 飞瀑p ù流li ú泉 温w ēn泉 流 流水 河流 流动 流泪l èi流放f àn ɡ流行 水流 流传chu án流年ni án流汗h àn柔 柔和 柔情 温w ēn柔 柔美m ěi优y ōu柔寡ɡu ǎ断du àn以柔克k è刚ɡān ɡ柔道d ào柔顺sh ùn荷 荷花 藕ǒu荷 荷包 荷包蛋d àn电荷 荷叶露 [l ù] 露水 露珠zh ū露出 雨露 裸lu ǒ露 露台t ái露宿s ù露天 白露 露 [l òu] 露头 露出 泄xi è露 露马脚ji ǎo13 荷叶圆圆会写的字:亮 明亮 亮光 天亮 月亮机 飞机 耳机 机关 机会 生机 无机化学 机动 机车 样机 台 台风 讲台 上台 凉台 后台 台灯 下台 井台 五台山 放 放学 放生 放心 开放 放下 放手 放牛 放风 放大 鱼 打鱼 吃鱼 鱼头 鱼儿 金鱼 鱼米之乡 鱼子 刀鱼 朵 花朵 云朵 耳朵 五朵云美 美好 美术 美女 美人 比美 十全十美 美工 美中不足会认的字:珠 珍zh ēn珠 珠宝b ǎo水珠 泪l èi珠 汗h àn珠 眼y ǎn珠 明珠 双龙戏x ì珠 摇 摇头 摇手 大摇大摆b ǎi地动山摇 动摇 东摇西摆 飘pi āo摇 躺 躺下 躺卧w ò躺椅y ǐ横h én ɡ躺竖sh ù卧w ò躺桥qi áo晶 水晶 亮晶晶 冰晶 晶莹y ín ɡ夺du ó目 晶体 液y è晶停 停下 停车 停火 停工 停泊b ó马不停蹄t í停放 永不停止zh ǐ展 发f ā展 展台 展开 一筹ch óu 莫m ò展 花枝zh ī招zh āo展 展出 迎y ín ɡ风招zh āo展 透 透气 透亮 看透 玲l ín ɡ珑l ón ɡ剔t ī透 透明 透视 透过 透彻ch è翅 翅膀 双翅 展zh ǎn翅高飞 鱼翅 羽y ǔ翅膀 肩膀 左膀右臂 膀大腰圆 膀臂 膀p án ɡ: 膀p án ɡ胱ɡu ān ɡ唱 唱歌ɡē说唱 合唱 一唱一和h è千古绝ju é唱 对唱 伴唱 唱戏x ì14 要下雨了会写的字:直 直尺 一直 心直口快 直立 直角 正直 呀 来呀 好呀 是呀 对呀 听呀 天呀 笑呀 走呀边 一边 里边 外边 无边 直角边 前边 身边 地边 舌边 那边 呢 [ne] 为什么呢呢 [n í] 毛呢 花呢 呢子 呢喃n án细语吗 好吗 对吗 行吗 请吗 讲吗 看吗 跑吗 捉吗 吧 来吧 走吧 笑吧 玩吧 请吧 去吧 爬吧.加 加快 加入 相加 加以 加工厂 外加 加车 加之 加长会认的字:腰 伸sh ēn腰 山腰 腰包 腰身 腰果 半腰 弯w ān腰 坡 山坡 上坡 下坡 跑坡 斜xi é坡 坡度d ù坡地 慢m àn坡沉 深sh ēn沉 下沉 阴沉沉 沉甸di àn 甸di àn沉着zhu ó沉没m ò沉默m ò不语 沉思s ī伸 伸手 伸开 伸直 伸长 伸头 伸张zh ān ɡ伸腿tu ǐ伸缩su ō伸出潮 潮湿sh ī心血xu è来潮 心潮 涨zh ǎn ɡ潮 低d ī潮 人潮 潮水 潮起q ǐ潮落lu ò湿 湿地 湿润r ùn风湿 湿sh ī淋l ín 淋l ín湿气 湿虫 湿浊zhu ó湿云 空[k ōng] 空气 空想xi ǎn ɡ空姐 空军j ūn晴空 空心 真空 太空 空[k òng] 空地 有空 空闲 空一行h án ɡ格 空格 钻zu ān空子 闷 [m èn] 纳n à闷儿 郁y ù闷 消xi āo 愁ch óu 解ji ě闷 苦k ǔ闷 闷闷不乐l è闷 [m ēn] 闷热 闷沉ch én 沉ch én闷声不响消 消息 消灭mi è打消 烟y ān消云散s àn消化 吃不消 消炎y án 消费f èi息 气息 自强qi án ɡ不息 息息相关 奔b ēn 流li ú不息 叹t àn息 平息 利l ì息 搬 搬家ji ā搬运 搬迁qi ān照搬 搬弄n òn ɡ生搬硬y ìn ɡ套t ào搬弄n òn ɡ是非f ēi 响 响声 音响 响声 反响 响亮 交ji āo响乐 不同凡f án响语文园地六会认的字:棍 棍子 棍棒b àn ɡ铁ti ě棍 木棍 光棍 警j ǐn ɡ棍汤 米汤 汤药y ào汤圆yu án面mi àn汤 汤水 鸡j ī汤 汤碗w ǎn 熬áo汤 扇[sh àn] 扇子 电di àn扇 芭b ā蕉ji āo扇 蒲p ú扇 风扇 台扇 折zh é扇 扇[sh ān] 扇动 扇sh ān 扇sh àn子 扇风椅 椅子 桌zhu ō椅 躺t ǎn ɡ椅 转zhu àn椅 摇y áo 椅 轮l ún 椅 电di àn椅 茧 老茧 蚕c án茧 起q ǐ茧 抽ch ōu茧 作zu ò茧牵 牵牛花 牵扯ch ě牵线 牵绊b àn牵引y ǐn牵挂ɡu à织 织布b ù 纺f ǎn ɡ织 交织 组z ǔ织 针zh ēn 织 游y óu 人如r ú织 织补b ǔ 编bi ān织 斗 [d òu] 战zh àn斗 斗争zh ēn ɡ斗牛 决ju é斗 奋f èn斗 争zh ēn ɡ奇q í斗艳y àn斗[ d ǒu ] 北斗星 漏l òu 斗 斗笠l ì 烟y ān 斗 筋j īn斗 斗胆d ǎn门斗 星斗 识字加油站:冰棍ɡùn西瓜 绿l ǜ豆汤t ān ɡ 凉席x í 蚊w én 香 花露l ù水 蒲p ú扇sh àn 竹椅 萤y ín ɡ火虫。
一年级下册生字表(一)组词第一单元万(千万)(百万)(万里)复(复件)(复苏)(复习)苏(苏丹)(苏州)(苏打)柳(柳树)(杨柳)(柳叶)歌(歌曲)(歌声)(唱歌)舞(跳舞)(舞会)(舞台)冰(冰山)(冰川)(冰水)泉(泉水)(泉眼)(山泉)丁(丁冬)(丁当)(丁香)百(百年)(百万)(百姓)齐(整齐)(齐全)(齐心)争(争夺)(战争)(争吵)鸣(鸣叫)(鸟鸣)(鸣笛)《柳树醒了》醒(苏醒)(清醒)(醒目)雷(打雷)(雷雨)(地雷)澡(洗澡)(泡澡)(澡堂)枝(树枝)(柳枝)(枝叶)软(软化)(软件)(松软)梳(梳头)(梳理)(梳洗)梢(树梢)(眼梢)(发梢)耍(玩耍)(耍弄)(杂耍)说(说话)(说书)(小说)话(电话)(说话)(好话)朋(朋友)(亲朋)(同朋)友(好友)(朋友)(友好)春(春天)(春风)(春雨)高(高大)(高中)(高明)《春雨的色彩》线(直线)(丝线)(电线)论(讨论)(议论)(争论)趣(有趣)(趣味)(乐趣)题(问题)(题目)(题词)底(到底)(海底)(底部)颜(颜色)(颜料)(容颜)淋(淋浴)(淋雨)(淋湿)洒(洒水)(洒下)(挥洒)滴(汗滴)(水滴)(雨滴)油(加油)(油菜)(豆油)欢(喜欢)(欢乐)(欢快)你(你的)(你好)(你们)们(我们)(你们)(他们)红(红色)(红灯)(红花)绿(绿色)(绿叶)(绿灯)花(花草)(花朵)(鲜花)草(小草)(草木)(绿草)《邓小平爷爷植树》邓(邓小平)(邓州)(姓邓)植(植树)(种植)(植物)节(节日)(节目)(春节)岁(几岁)(岁月)(年岁)龄(年龄)(老龄)(高龄)已(已经)(已知)(已往)经(经常)(已经)(经过)息(休息)(消息)(信息)站(站立)(车站)(站岗)行(不行)(行走)(行人)扶(扶手)(扶着)(扶正)栽(栽种)(栽树)(栽花)亲(亲人)(亲自)(亲手)爷(爷爷)(大爷)(少爷)的(好的)(大的)(你的)《古诗两首》古(古老)(古人)(古文)诗(古诗)(诗人)(诗歌)首(首先)(首都)(首长)眠(入眠)(冬眠)(春眠)处(到处)(处处)(处长)闻(新闻)(见闻)(耳闻)村(村子)(山村)(村长)居(居住)(居民)(居中)醉(沉醉)(醉酒)(醉驾)烟(香烟)(烟花)(油烟)童(儿童)(童年)(童话)散(散开)(散会)(散心)忙(很忙)(急忙)(百忙)声(声音)(大声)(声明)多(多少)(多好)(很多)知(知识)(知了)(无知)《语文园地一》评(评论)(批评)(评比)访(访问)(采访)(家访)挤(挤满)(拥挤)(挤压)邮(邮票)(邮局)(邮件)局(邮局)(局部)(局长)轿(轿车)(轿子)(花轿)钱(金钱)(花钱)(钱包)第二单元识字2 懂(懂了)(懂事)(懂得)貌(礼貌)(面貌)(容貌)父(父母)(父亲)(父子)母(母亲)(母爱)(母鸡)教(教师)(教室)(教育)认(认真)(认识)(认为)错(错误)(出错)(对错)事(做事)(故事)(事业)改(改正)(批改)(改动)愿(心愿)(许愿)(自愿)碗(洗碗)(饭碗)(碗筷)筷(筷子)(竹筷)(碗筷)扫(打扫)(扫地)(清扫)夸(夸奖)(夸张)(夸大)洗(洗手)(洗脸)(洗头)真(认真)(真心)(真正)《看电视》全(完全)(齐全)(安全)奇(奇怪)(奇妙)(神奇)妙(奇妙)(美妙)(妙手)却(退却)(了却)(冷却)精(精彩)(精神)(味精)赛(比赛)(赛跑)(竞赛)关(关心)(开关)(关门)掉(掉了)(扔掉)(吃掉)完(完成)(完全)(完美)换(交换)(更换)(转换)员(人员)(员工)(成员)写(书写)(手写)(写字)音(声音)(音乐)(拼音)蹈(舞蹈)(蹈空)(蹈足)爸(爸爸)(老爸)(阿爸)家(家长)(家人)(大家)《胖乎乎的小手》胖(胖子)(肥胖)(体胖)喜(喜欢)(喜爱)(喜事)张(开张)(张贴)(张开)刚(刚刚)(刚才)(刚好)贴(张贴)(贴画)(体贴)墙(墙壁)(墙上)(白墙)替(代替)(替代)(替换)拖(拖鞋)(拖把)(拖拉)鞋(鞋子)(皮鞋)(布鞋)(帮助)(帮忙)(帮工)等(等待)(等车)(等于)变(变化)(变动)(变形)情(事情)(亲情)(友情)看(看书)(看见)(观看)着(忙着)(看着)(听着)画(画画)(画家)(图画)笑(可笑)(笑话)(笑容)兴(高兴)(兴奋)(兴趣)会(开会)(大会)(会议)《棉鞋里的阳光》棉(棉鞋)(棉花)(棉被)照(照顾)(照看)(照相)晒(防晒)(晒干)(晒台)被(被子)(棉被)(被告)盖(盖子)(盖章)(盖房)午(上午)(中午)(下午)收(收入)(收工)(丰收)脱(脱下)(脱险)(逃脱)躺(躺下)(平躺)(躺着)合(合作)(合约)(合同)眼(眼睛)(眼前)(眼泪)睛(眼睛)(龙睛)(点睛)摆(摆动)(摆放)(摆手)妈(妈妈)(大妈)(姑妈)奶(牛奶)(奶粉)(奶牛)放(放开)(放手)(放学)《月亮的心愿》帘(窗帘)(门帘)(眼帘)女(女孩)(女子)(女生)背(背包)(背心)(后背)装(服装)(假装)(装样)气(天气)(生气)(力气)另(另外)(另行)(另类)顾(照顾)(回顾)(顾问)病(生病)(病人)(病床)太(太阳)(太平)(太忙)累(劳累)(连累)(拖累)医(医生)(医院)(中医)悄(悄悄)(轻悄)(悄声)离(离开)(离别)(分离)户(窗户)(户口)(户外)早(早上)(早点)(早晨)去(来去)(回去)(去年)亮(明亮)(闪亮)(光亮)《语文园地二》票(车票)(船票)(票子)元(元旦)(元月)(元首)旦(元旦)(花旦)(老旦)值(值日)(正值)(升值)篇(诗篇)(几篇)(篇幅)遍(一遍)(遍地)(遍身)第三单元识字3 雾(大雾)(浓雾)(烟雾)霜(霜冻)(秋霜)(面霜)朝(朝阳)(朝霞)(朝气)霞(红霞)(彩霞)(霞光)夕(夕阳)(前夕)(除夕)蝶(蝴蝶)(化蝶)((蝶泳)蜂(蜜蜂)(黄蜂)(马蜂)碧(碧绿)(碧玉)(碧空)紫(紫色)(紫菜)(紫金)千(千古)(千万)(千斤)李(李子)(李树)(行李)杨(杨树)(杨柳)(杨梅)秀(秀丽)(优秀)(秀美)和(和平)(和好)(和气)香(香味)(香甜)(香水)《两只鸟蛋》蛋(鸡蛋)(鸟蛋)(鸭蛋)取(吸取)(选取)(进取)凉(冰凉)(凉快)(凉爽)定(一定)(决定)(安定)捧(捧起)(捧着)(吹捧)连(连忙)(连接)(连线)轻(轻快)(轻松)(轻声)仿(仿佛)(仿照)(仿古)佛(仿佛)(拂尘)()抬(抬头)(抬手)(抬高)投(投向)(投球)(投篮)向(方向)(向导)(向往)听(听说)(听讲)(听见)唱(说唱)(唱歌)(唱戏)远(远近)(远方)(远处)《松鼠和松果》聪(聪明)(聪慧)(失聪)活(活泼)(快活)(生活)泼(活泼)(泼水)(泼洒)忽(忽然)(忽视)(忽略然(突然)(天然)(自然)眨(眨眼)(眨动)(眨巴)如(如果)(如同)(如今)总(总是)(总共)(总之)以(所以)(可以)(以后)主(主要)(主人)(主动)意(意思)(心意)(意义)后(后来)(后面)(后方)更(更好)(更多)(更高)《美丽的小路》先(先生)(先进)(先锋)鹿(小鹿)(鹿角)(鹿皮)慢(慢走)(快慢)(怠慢)积(积极)(堆积)(积雪)鼻(鼻子)(鼻腔)(鼻炎)脑(大脑)(电脑)(脑子)袋(口袋)(笔袋)(袋子)怪(奇怪)(妖怪)(古怪)推(推门)(推开)(推车)辆(车辆)(一辆)(每辆)赶(赶快)(赶走)(赶路)久(长久)(久远)(许久)干(干净)(干燥)(晒干)净(干净)(洁净)(净化)起(起床)(起来)(起立)明(明天)(明白)(明亮)《失物招领》失(丢失)(损失)(失主)级(年级)(班级)(高级)同(同学)(同时)(共同)观(观看)(观众)(参观)围(包围)(围住)(围巾)工(工人)(工厂)(工作)专(专门)(专心)(专家)准(准备)(准时)(准确)备(准备)(备课)(完备)队(队伍)(队长)(部队)才(刚才)(人才)(才干)请(请客)(请求)(请坐)双(双数)(双方)(双人)各(各自)(各位)(各种)语文园地三字(数字)(汉字)(文字)代(代表)(古代)(现代)舌(舌头)(舌尖)(口舌)页(页码)(书页)(活页)弓(弓箭)(足弓)(弹弓)秒(秒针)(分秒)(秒表)炒(炒菜)(炒面)(炒勺)第四单元识字4 蜻(蜻蜓)蜓(蜻蜓)展(展出)(发展)(展示)蝴(蝴蝶)蚯(蚯蚓)蚓(蚯蚓)蚂(蚂蚁)(蚂蚱)(蚂蝗)蚁(蚂蚁)(白蚁)(蚁穴)运(运用)(运气)(运动)蝌(蝌蚪)蚪(蝌蚪)蜘(蜘蛛)蛛(蜘蛛)(蛛网)前(前后)(前进)(前门)空(空气)(天空)(高空)房(房子)(房屋)(水房)网(网络)(渔网)(上网)《古诗2首》所(所以)(所有)(所见)牧(牧师)(牧童)(牧场)捕(捕捉)(捕鱼)(捕杀)蝉(蝉联)(金蝉)(秋蝉)闭(闭门)(关闭)(封闭)立(站立)(立正)(起立)池(池水)(浴池)(鱼池)惜(可惜)(爱惜)(珍惜)阴(阴凉)(阴天)(阴云)晴(晴天)(晴空)(晴朗)柔(柔和)(温柔)(柔软)露(露天)(雨露)(露水)诗(诗歌)(诗人)(古诗) 林(树林)(森林)(林木) 童(童话)(童真)(儿童) 黄(黄色)(金黄)(黄瓜) 闭(关闭)(封闭)(闭门) 立(站立)(立正)(起立)14 荷(荷花)(荷叶)(荷包)珠(珍珠)(雨珠)(明珠)摇(摇头)(摇晃)(摇动)篮(篮球)(花篮)( 竹篮) 晶(水晶)(结晶)(晶亮)停(停车)(停止)(停下)坪(草坪)(坪坝)(坪台) 透(透视)(透明)(透亮)翅(翅膀)(鱼翅)(鸡翅)膀(翅膀)(肩膀)(膀子)蹲(蹲下)(蹲守)(蹲立)嘻(嬉笑)(嘻笑)(嬉戏) 是(是否)(就是)(是非)朵(耳朵)(花朵)(云朵)美(美好)(美丽)(美好)我(我们)(我的)(我家)叶(叶子)(树叶)(落叶)机(机会)(机器)(飞机)15 莲(莲花)(莲子)(雪莲)哭(哭泣)(哭声)(哭叫)睁(睁开)(睁眼)(睁大)趴(趴下)(趴窝)(趴伏)根(根本)(根据)(草根)腰(腰包)(腰带)(腰果)爬(爬山)(爬升)(爬行)非(非常)(非凡)(非法)感(感受)(感觉)(感动)激(激起)(激发)(激动)谢(谢意)(谢谢)(答谢)急(急性)(急忙)(着急)时(时间)(时差)(小时)她(她们)(她的)(看她)他(他们)(他的)(是他)送(送走)(送去)(送人)过(过来)(过去)(过年)时(时间)(时刻)(时时)让(礼让)(让步)(让路)16 坡[坡地][下坡][上坡] 割[割爱][分割][割草] 闷[闷热][郁闷][沉闷] 伸[伸手][伸展][伸腰] 喊[喊叫][喊声][呼喊] 潮[潮水][潮流][潮气] 湿[湿气][潮湿][很湿] 虫[昆虫][虫子][豆虫] 消[消失][消化][消灭] 搬[搬走][搬家][搬开] 阵[阵地][布阵][阵营] 哗[哗然][哗变][哗啦] 吗[是吗][好吗][会吗] 吧[酒吧][好吧][吧台] 虫[小虫][虫子][昆虫] 往[往来][来往][以往] 得[得到][得失][得力] 很[很好][很红][很高]17 壁[壁纸] 虎[老虎][虎头][虎骨] 借[借用][借口][借用] 蚊[蚊子][蚊虫][蚊帐] 蛇[蛇皮][毒蛇][蛇衣] 逃[逃出][逃跑][逃走] 难[困难][难得][难看] 姐[姐姐][姐弟][姐妹] 新[新生][新人][新闻] 河[河流][河水] [小河] 姐[姐姐][姐弟][姐妹] 借[借书][借口][借光] 呢[哪呢][呢喃][呢料] 呀[来呀][看呀][好呀] 哪[哪里][哪儿][哪个]语文园地四擦[擦汗][擦手][擦脸] 抄[抄写][抄书][抄家] 拾[拾元][拾掇][收拾] 摔[摔跤][摔倒][摔坏] 拨[拨出][拨正][拨钱] 拦[拦住][阻拦][拦挡] 摸[摸鱼][抹黑][摸底]第五单元识字 5 团[团结][团员][饭团] 量[力量][气量][分量] 相[相信][互相][相遇] 遇[遇见][相遇][机遇] 及[及格][及时][及早] 怕[害怕][可怕][怕生] 攻[攻打][进攻][攻读]互[互相][互助][互动] 尊[尊严][尊重][尊称] 重[重大][重视][沉重] 令[命令][口令][发令] 纯[单纯][纯真][纯正] 谁[谁知][是谁] [谁人] 怕[害怕][怕苦] [不怕] 跟[跟着][跟队] [跟斗] 凉[凉快][凉爽] [冰凉] 量[力量][数量] [能量] 最[最好][最后] [最快]18 挂[挂号][挂心][挂相] 街[街头][大街][街道] 熟[熟人][熟食][面熟] 伙[伙食][伙伴][伙计] 伴[陪伴][伴侣][伴唱] 尝[品尝][尝试][尝鲜] 甜[甜头][甜品][甜筒] 温[温度][温水][气温] 冻[结冻][冰冻][冷冻] 脸[脸上][笑脸][脸面] 该[应该][该当][活该] 因[因为][因果][因子] 季[季节][四季][月季] 园[园丁][花园] [公园] 因[因为][因果] [因此] 为[因为][为何] [为了] 脸[笑脸][脸蛋] [门脸] 阳[阳光][太阳] [夕阳] 光[光明][日光] [灯光] 19 乌[乌鱼][乌鸦][乌云] 鸦[乌鸦][鸦片][涂鸦] 喝[喝水][喝茶] [喝酒] 渴[口渴][渴望][饥渴] 瓶[瓶子][瓶口][瓶盖] 石[石头][石子][石块] 办[办公][办法][办事] 法[方法][法力][法人] 渐[渐进][渐变][渐次] 可[可以][可是] [可乐] 石[石头][山石] [沙石] 办[办法][办公] [办理] 法[法律][守法] [加法] 找[找到][找寻] [找回] 许[许可][允许] [许多]20 司[公司][司机][司令] 假[假如][假装][假冒] 缸[水缸][气缸][鱼缸] 别[别人][别处][别名] 慌[慌忙][心慌][恐慌] 吓[吓人][惊吓][吓呆] 叫[叫苦][叫号][叫卖] 块[块头][方块][石块] 使[使用][使唤][出使] 劲[劲道][干劲][冲劲] 砸[砸伤][砸人][砸烂] 破[破坏][破口][打破] 救[救火][救人][救命] 别[个别][性别] [分别] 到[到来][迟到] [到处] 都[都要][都有] [全都] 吓[惊吓][吓唬] [吓人] 叫[叫声][喊叫] [叫人]21 称[称呼][名称][职称] 象[大象][形象][气象] 官[官司][五官][文官] 腿[大腿][小腿][细腿] 柱[柱子][石柱][圆柱] 议[议会][议论][议员] 杆[笔杆][杠杆][枪杆] 秤[秤杆][秤台][秤体] 倒[倒下][倒戈][倒闭] 艘[一艘][五艘][百艘] 沉[下沉][阴沉][沉没] 止[止住][止血][止步] 微[微小][微笑][威风] 再[再次] [再见] [再来] 象[大象] [景象] [象牙] 像[好像] [人像] [头像] 做[做工] [做事] [做题] 点[几点] [点头] [一点] 照[照明] [日照] [照相] 语文园地五矮[高矮][矮个][矮小] 瘦[胖瘦][消瘦][瘦小] 暗[明暗][黑暗][灰暗] 丑[小丑][丑化][丑角] 闲[空闲][休闲][闲人] 旧[新旧][怀旧][陈旧]第六单元识字6 海[海水][大海][海面] 鸥[海鸥] [水鸥][白鸥] 滩[沙滩] [海滩][河滩] 军[军人] [红军][海军] 舰[舰长] [军舰][舰队] 帆[帆船] [帆板][风帆] 秧[秧苗] [瓜秧][秧歌] 稻[稻田] [水稻][稻子] 塘[池塘] [水塘][鱼塘] 溪[小溪] [溪水][溪流] 竿[竹竿] [渔竿][竿子] 铜[铜板] [铜钱][铜人] 号[号令] [发号][号子] 领[领先] [带领][领袖] 沙[沙子] [沙石] [沙土] 海[大海] [海洋] [海水] 桥[桥洞] [木桥] [小桥] 竹[竹子] [竹叶] [竹林] 军[军队] [军人] [参军] 苗[禾苗] [树苗] [幼苗]22 忘[忘记][忘怀][难忘] 挖[挖出] [挖沙][挖土] 井[水井] [井口][油井] 席[主席] [出席][凉席] 导[领导] [导出][导管] 革[改革] [革命][革新] 命[命令] [性命][命运] 战[战火] [战士][战斗] 士[士兵] [护士][士气] 解[解说] [解脱][解释] 刻[刻意] [刻字][刻画] 念[念书] [想念][思念] 井[水井] [井下] [油井] 乡[乡村] [乡亲] [老乡] 面[面包] [面粉] [白面] 忘[忘记] [忘怀] [难忘] 想[猜想] [思想] [想法] 念[思念] [念经] [念书]23 王[国王][大王][王后] 助[助长] [帮助][助理] 哨[口哨] [哨卡][哨兵] 敌[敌人] [敌对][敌情] 荡[扫荡] [飘荡][闯荡] 顺[顺利] [顺风][顺水] 突[突出] [突击][突然] 枪[手枪] [开枪][枪击] 杀[杀手] [杀灭][杀害] 害[害怕] [害虫][伤害] 英[英文] [英语][英雄] 雄[雄风] [英雄][雄伟] 冲[冲天] [冲动][冲凉] 部[部分] [部队][分部] 王[国王] [王子] [王后] 从[从前] [从此] [从来] 边[旁边] [一边] [河边] 这[这里] [这个] [这样] 进[进行] [进来] [进门] 道[道理] [道路] [楼道]24 宽[宽大][宽广][宽松] 虾[虾米][虾皮][大虾] 脚[脚下][脚丫][脚步] 捡[捡到][捡起][检阅] 贝[宝贝][贝壳][扇贝] 壳[贝壳][蛋壳][外壳] 原[原因][原来][原则] 奔[奔跑] [奔驰][奔放]密[密集] [密切][密布] 匹[一匹] [马匹][布匹] 市[市民] [市场][门市] 楼[大楼] [高楼][楼兰] 贝[宝贝] [贝壳] [扇贝] 原[原来] [原有] [高原] 男[男女] [男子] [男生] 爱[母爱] [关爱] [爱心] 虾[虾米] [鱼虾] [虾皮] 跑[跑步] [疯跑] [跑了]25 吹[吹向] [吹牛][吹气] 祝[祝福] [祝贺][祝寿] 贺[贺卡] [贺年][贺岁] 希[希望] [古希][希有] 祖[祖先] [祖父][祖国] 国[国家] [国王][国庆] 由[理由] [根由][自由] 羽[羽毛] [羽化][羽毛球] 丰[丰厚] [丰收][丰富] 勇[勇气] [勇敢][勇士] 敢[敢言] [敢当][勇敢] 理[理想] [理由][道理] 敬[敬意] [敬爱][敬礼] 度[度日] [角度][温度] 吹[吹动] [吹风] [吹干] 地[土地] [大地] [地铁] 快[快乐] [快来] [赶快] 乐[欢乐] [乐意] [乐园] 老[老人] [老实] [老家] 师[教师] [老师] [讲师] 语文园地六厂[工厂][厂长][厂房] 甲[甲鱼] [甲方][甲类] 申[申请] [申报][申诉] 句[句号] [造句][语句] 兄[兄弟] [兄长][师兄]第七单元识字7 虚[虚荣] [虚心][虚伪] 骄[骄阳] [骄傲][天骄] 傲[傲气] [高傲][骄傲] 淡[淡季] [冷淡][淡水] 诚[诚心] [诚实][真诚] 实[实在] [实际][充实] 赢[赢家] [赢钱][赢利] 赞[赞同] [赞许][赞可] 招[招生] [招风][招工] 短[长短] [短处] [短小] 对[对错] [对面] [对话] 冷[冷水] [冷气] [冰冷] 淡[平淡] [淡水] [冷淡] 热[热情] [热带] [热水] 情[情况] [事情] [心情]26 翻[翻身][翻转][翻动] 浇[浇水] [浇花][浇地] 施[施工] [实施][施肥] 肥[肥料] [肥大][肥胖] 饿[饿死] [饥饿][挨饿] 候[时候] [等候][候鸟] 挑[挑水] [挑夫][挑选] 担[一担] [扁担][担子] 拉[拉手] [拉车][拉面] 把[把门] [把关] [车把] 给[送给] [给人] [给你] 活[活动] [活力] [生活] 种[种地] [种菜] [种瓜] 种[种子] [品种] [种类] 吃[吃饭] [吃喝] [吃肉]27 狮[狮子][狮王][舞狮] 整[整理] [整治][整齐] 练[练习] [练字][简练] 习[学习] [实习][练习] 滚[滚水] [滚动][滚开] 扑[扑灭] [扑空][扑克] 咬[咬住] [咬合][咬牙] 苦[苦头] [受苦][辛苦] 懒[懒人] [懒腰][懒虫] 洋[洋酒] [洋人][洋火] 吞[吞食] [吞下][吞咽] 将[将来] [将军][将就] 靠[靠山] [靠近][靠边] 应[应该] [应用][应变] 练[练习] [练功] [练兵] 习[习惯] [自习] [学习] 苦[苦水] [吃苦] [苦瓜] 学[学习] [学校] [学生] 非[非常] [是非] [非法] 常[常常] [时常] [经常]。
一年级语文下册二类字词语第一单元:打雷雷雨树枝树梢洗澡梳洗玩耍苏醒梳头长高雨滴欢笑题目数学题见闻古往今来评论访问挤满邮局花钱低头轿车春暖花开春风拂面万里无云五颜六色百花盛开欢歌笑语已经扶正栽树争论到底格外引人注目兴致勃勃挑选茁壮仔细笔直满意美丽图画笑话没有有时行李兴奋高兴万岁第二单元:认错错过故事心事改正打扫懂事听不懂火车票元旦漫山遍野一篇张贴东张西望开张眼睛医生喜爱照顾改变离开摆动精彩奇妙事情另外依偎见闻安静港湾享受温暖奇妙精彩关掉球赛音乐交换舞蹈喜欢贴画墙报替换拖鞋等车胖乎乎疲劳提议秘密暖和钻进舒服奇怪背包商量照顾愉快自言自语郊游棉被盖子合眼躺下脱掉收回睡着第三单元:朝阳晚霞晨雾秋霜山清水秀万紫千红和风细雨鸟语花香准点难题少先队先进备课各自聪明活泼冰凉准备赶快观看包围堆积花花绿绿干干净净高高兴兴以后活泼忽然如果主意总是参观各个明亮夕阳朝霞鸟蛋焦急连忙仿佛光秃秃茂密挺拔怎么帮忙脸红严肃捡到透明秀气总共更好脑袋车辆推车鼻子第四单元:所以所有可惜爱惜晴空晴天柔和柔软放牧牧草关闭闭路电视游来游去飞来飞去跑来跑去跳来跳去蜻蜓蝴蝶蚯蚓蝌蚪蜘蛛儿童山坡割草搬家潮湿消息伸手叫喊阵雨闷得很着急结网宫殿展翅泉眼意欲摇篮亮晶晶放声笑嘻嘻透明静悄悄池塘非常感激办法睡莲萤火虫加快连忙挣断房檐难过告诉掌握第五单元:司机公司使用使劲打伞打电话打渔打球喝水渐渐口渴瓶子假山得救砸破慌张石块水缸分别思考创造团结相遇及时雨尊重感动纯净透明到处清凉香甜彩色温暖邀请冻僵旁边得救议论果然力量数量量杯相信相片称象秤杆微笑互相水缸伙伴第六单元:井台领导导游生命救命主席凉席想念挂念念书时刻祝愿祝贺国家道理合理度过欢度甲鱼申请兄弟团结停止英雄理想街道勇敢感动慌张顺心帆船秧苗鱼塘翠竹放哨顺从从前前进城市高楼脚步贝壳草原奔跑马匹宽阔鱼虾希望祖国羽毛丰满敬爱海鸥军舰小溪解放埋伏消灭四面八方扫荡家乡平原美丽宽广碧绿海滩平坦带路鲜艳衣裳流淌充满感谢丰满秧苗沙滩第七单元:丢失粗心忘记矿泉水共同保密记得餐巾纸虚伪诚实热情冷淡虚心练习刻苦狮子将来懒洋洋应该整天非常慢吞吞问号公共保管糟糕时间忘记午餐骄傲本领苦头地位粗心赶快大概宣布许许多多吩咐培育突然经过翻土收菜浇水施肥挑担拔草第八单元:碧绿棉花速度快速提高提醒梦想做梦查看查找开创创新修改修理请客姑娘蚜虫盼望治病啄木鸟斑点桥梁工程衣架特别采用划船轻巧座位玻璃砖波浪滚滚屋顶打鼓欢迎顶替阿姨追赶灰尘披着追问变化团圆即将可恶害虫惊奇而且成熟闭上原野塑料折叠魔术专家郊游飞驰创举鼓励夕发朝至捕食摆动-温馨提示:如不慎侵犯了您的权益,可联系文库删除处理,感谢您的关注!。
部编2017一年级语文下(2类)生字组词部编 一年级语文下册《识字表》二类字组词班级: 姓名:【识字】1 霜shu ān ɡ(风f ēn ɡ霜shu ān ɡ)(冰b īn ɡ霜shu ān ɡ) 吹chu ī(吹chu ī过ɡu ò)(风f ēn ɡ吹chu ī雨y ǔ打d ǎ) 落lu ò(落lu ò下xi à)(落lu ò叶y è) 降ji àn ɡ(降ji àn ɡ落lu ò)(下xi à降ji àn ɡ) 飘pi āo (飘pi āo 落lu ò)(飘pi āo 下xi à) 游y óu (游y óu 泳y ǒn ɡ)(旅l ǚ游y óu ) 池ch í(池ch í塘t án ɡ)(池ch í水shu ǐ) 入r ù(出ch ū入r ù)(进j ìn 入r ù))2 姓x ìn ɡ(姓x ìn ɡ氏sh ì)(百b ǎi 姓x ìn ɡ) 氏sh ì(氏sh ì族z ú)(姓x ìn ɡ氏sh ì) 李l ǐ(李l ǐ树sh ù)(李l ǐ子z ǐ)张zh ān ɡ(张zh ān ɡ开k āi )(张zh ān ɡ大d à) 古ɡǔ(古ɡǔ今j īn )(古ɡǔ诗sh ī) 吴w ú(吴w ú山sh ān )(东吴) 赵zh ào (姓x ìn ɡ赵zh ào )(完w án 璧b ì归ɡu ī赵zh ào ) 钱qi án (钱qi án 包b āo )(赚zhu àn 钱qi án ) 孙s ūn (子z ǐ孙s ūn )(儿孙) 周zh ōu (周zh ōu 全qu án )(周zh ōu 日r ì) 王w án ɡ(王w án ɡ子z ǐ)(王w án ɡ后h òu ) 官ɡu ān (做zu ò官ɡu ān )(器官) 3 清q īn ɡ(清q īn ɡ楚ch ǔ)(清q īn ɡ洗x ǐ) 晴q ín ɡ(晴q ín ɡ天ti ān )(晴q ín ɡ空k ōn ɡ) 眼y ǎn (眼y ǎn 镜j ìn ɡ)(眼睛) 睛j īn ɡ(眼y ǎn 睛j īn ɡ)(目m ù不b ù转zhu ǎn 睛j īn ɡ) 保b ǎo (保b ǎo 护h ù)(保b ǎo 养y ǎn ɡ) 护h ù(护h ù士sh ì)(护卫) 害h ài (害h ài 怕p à)(害h ài 虫ch ón ɡ) 事sh ì(事sh ì情q ín ɡ)(故ɡù事sh ì) 情q ín ɡ(友y ǒu 情q ín ɡ)(事情) 请q ǐn ɡ(有y ǒu 请q ǐn ɡ)(请q ǐn ɡ到d ào ) 让r àn ɡ(让r àn ɡ开k āi )(礼l ǐ让r àn ɡ) 病b ìn ɡ(病b ìn ɡ人r én )(生病) 4 相xi ān ɡ(相xi ān ɡ互h ù)(相xi ān ɡ遇y ù) 遇y ù(遇y ù见ji àn )(遇y ù到d ào ) 喜x ǐ(喜x ǐ爱ài )(喜欢) 欢hu ān (欢hu ān 乐l è)(欢hu ān 天ti ān 喜x ǐ地d ì) 怕p à(害h ài 怕p à)(不b ú怕p à) 言y án (语y ǔ言y án )(发言)互h ù(互h ù相xi ān ɡ)(互h ù助zh ù) 令l ìn ɡ(命m ìn ɡ令l ìn ɡ)(下xi à令l ìn ɡ) 动d òn ɡ(动d òn ɡ词c í)(动作) 纯ch ún (纯ch ún 洁ji é)(纯ch ún 白b ái ) 净j ìn ɡ(干ɡān 净j ìn ɡ)(纯ch ún 净j ìn ɡ)园地一阴y īn (阴y īn 天ti ān )(阴y īn 雨y ǔ) 雷l éi (雷l éi 声sh ēn ɡ)(雷l éi 雨y ǔ) 电di àn (电di àn 视sh ì)(电di àn 话hu à)暖nu ǎn (暖nu ǎn 和huo )(暖nu ǎn 气q ì) 该ɡāi (应y īn ɡ该ɡāi )(活hu ó该ɡāi ) 颜y án (颜y án 色s è)(颜料) 因y īn (因y īn 为w éi )(因y īn 果ɡu ǒ)园地二辆li àn ɡ(一y ì辆li àn ɡ车ch ē )(车ch ē辆li àn ɡ) 匹p ǐ(马m ǎ匹p ǐ)(一y ì匹p ǐ马m ǎ) 册c è(一y ì册c è书sh ū)(书sh ū册c è) 支zh ī(一y ì支zh ī笔b ǐ)(几j ǐ支zh ī)铅qi ān (铅qi ān 笔b ǐ)(铅qi ān 画hu à纸zh ǐ) 棵k ē(一y ì棵k ē树sh ù)(几j ǐ棵k ē) 架ji à(一y ì架ji à飞f ēi 机j ī)(书sh ū架ji à)5 块ku ài (一y í块ku ài 毛m áo 巾j īn )(冰b īn ɡ块ku ài )捉zhu ō(捉zhu ō虫ch ón ɡ)(捕b ǔ捉zhu ō) 急j í(着zh āo 急j í)(焦ji āo 急j í) 直zh í(直zh í接ji ē)(直zh í线xi àn )河h é(小xi ǎo 河h é)(河h é水shu ǐ) 行x ín ɡ(不b ù行x ín ɡ)(行x ín ɡ走z ǒu ) 死s ǐ(生sh ēn ɡ死s ǐ)(病b ìn ɡ死s ǐ)信x ìn (写xi ě信x ìn )(信x ìn 心x īn ) 跟ɡēn (跟ɡēn 从c ón ɡ)(跟ɡēn 随su í) 忽h ū(忽h ū然r án )(忽h ū而ér )喊h ǎn (叫ji ào 喊h ǎn )(高ɡāo 喊h ǎn ) 身sh ēn (身sh ēn 体t ǐ)(全qu án 身sh ēn ) 6 只zh ǐ(只zh ǐ好h ǎo )(只zh ǐ有y ǒu )窝w ō(鸟ni ǎo 窝w ō)(鸡j ī窝w ō) 孤ɡū(孤ɡū独d ú)(孤ɡū单d ān ) 单d ān (单d ān 独d ú)(单d ān 人r én )种zh ǒn ɡ(种zh òn ɡ树sh ù)(种zh òn ɡ植zh í) 都d ōu (都d ōu 好)(都是) 邻l ín (邻l ín 居j ū)(相xi ān ɡ邻l ín )居j ū(居j ū住zh ù)(居j ū然r án ) 招zh āo (招zh āo 收sh ōu )(招zh āo 手sh ǒu ) 呼h ū(呼h ū喊h ǎn )(招zh āo 呼h ū)静j ìn ɡ(安ān 静j ìn ɡ)(平p ín ɡ静j ìn ɡ) 乐l è(欢hu ān 乐l è)(快ku ài 乐l è) 7 怎z ěn (怎z ěn 么me )(怎z ěn 样y àn ɡ)独d ú(单d ān 独d ú)(独d ú自z ì) 跳ti ào (跳ti ào 绳sh én ɡ)(跳ti ào 高ɡāo ) 绳sh én ɡ(绳sh én ɡ子z ǐ)(跳ti ào 绳sh én ɡ)讲ji ǎn ɡ(讲ji ǎn ɡ话hu à)(演y ǎn 讲ji ǎn ɡ) 得d é(总z ǒn ɡ得d ěi )(可k ě得d é) 羽y ǔ(羽y ǔ毛m áo )(羽y ǔ毛m áo 球qi ú)球qi ú(篮l án 球qi ú)(足z ú球qi ú) 戏x ì(唱ch àn ɡ戏x ì)(游y óu 戏x ì) 排p ái (排p ái 队du ì)(排p ái 球qi ú)篮l án (篮l án 筐ku ān ɡ)(篮l án 子z ǐ) 连li án (连li án 接ji ē)(连li án 线xi àn ) 运y ùn (运y ùn 动d òn ɡ)(运y ùn 气q ì)8 夜y è(黑h ēi 夜y è)(夜y è晚w ǎn )思s ī(思s ī念ni àn )(思s ī考k ǎo ) 床chu án ɡ(起q ǐ床chu án ɡ)(木m ù床chu án ɡ)光ɡu ān ɡ(发f ā光ɡu ān ɡ)(光ɡu ān ɡ明m ín ɡ) 疑y í(怀hu ái 疑y í)(疑y í心x īn ) 举j ǔ(举j ǔ手sh ǒu )(举j ǔ高ɡāo)望w àn ɡ(看k àn 望w àn ɡ)(希x ī望w àn ɡ) 低d ī(低d ī头t óu )(低d ī下xi à) 故ɡù(故ɡù乡xi ān ɡ)(故ɡù事sh ì) 9 胆d ǎn (大d à胆d ǎn )(胆d ǎn 量li àn ɡ) 敢ɡǎn (不b ù敢ɡǎn )(勇y ǒn ɡ敢ɡǎn ) 往w ǎn ɡ(往w ǎn ɡ前qi án )(向xi àn ɡ往w ǎn ɡ) 外w ài (外w ài 面mi àn )(外w ài 国ɡu ó) 勇y ǒn ɡ(勇y ǒn ɡ敢ɡǎn )(勇y ǒn ɡ气q ì) 窗chu ān ɡ(窗chu ān ɡ户h ù)(窗chu ān ɡ口k ǒu ) 乱lu àn (杂z á乱lu àn )(胡h ú乱lu àn ) 偏pi ān (偏pi ān 爱ài )(偏pi ān 心x īn ) 散s àn (散s ǎn 开k āi )(分f ēn 散s àn )原yu án (原yu án 来l ái )(草c ǎo 原yu án ) 像xi àn ɡ(好h ǎo 像xi àn ɡ)(不b ù像xi àn ɡ) 微w ēi (微w ēi 笑xi ào )(细x ì微w ēi ) 10 端du ān (端du ān 水shu ǐ)(端du ān 正zh èn ɡ) 粽z òn ɡ(粽z òn ɡ子z ǐ)(肉r òu 粽z òn ɡ) 节ji é(节ji é日r ì)(端du ān 午w ǔ节ji é) 总z ǒn ɡ(总z ǒn ɡ是sh ì)(总z ǒn ɡ共ɡòn ɡ) 米m ǐ(大d à米m ǐ)(米m ǐ饭f àn ) 间ji ān (中zh ōn ɡ间ji ān )(一y ì间ji ān 房f án ɡ) 分f ēn (分f ēn 开k āi )(分f ēn 别bi é) 豆d òu (大d à豆d òu )(豆d òu 子z ǐ) 肉r òu (猪zh ū肉r òu )(牛ni ú肉r òu ) 带d ài (带d ài 鱼y ú)(带d ài 领l ǐn ɡ) 知zh ī(知zh ī道d ào )(知zh ī己j ǐ) 据j ù(据j ù说shu ō)(根ɡēn 据j ù) 念ni àn (思s ī念ni àn )(想xi ǎn ɡ念ni àn )11 虹h ón ɡ(彩c ǎi 虹h ón ɡ)(虹h ón ɡ光ɡu ān ɡ) 座zu ò(座zu ò位w èi )(一y ì座zu ò桥qi áo ) 提t í(提t í水shu ǐ)(提t í前qi án ) 浇ji āo (浇ji āo 水shu ǐ)(浇ji āo 花hu ā) 洒s ǎ(洒s ǎ水shu ǐ)(泼p ō洒s ǎ) 挑ti ǎo (挑ti āo 水shu ǐ)(挑ti āo 选xu ǎn ) 兴x īn ɡ(高ɡāo 兴x ìn ɡ)(兴x īn ɡ致zh ì勃b ó勃b ó) 拿n á(拿n á走z ǒu )(拿n á起q ǐ) 镜j ìn ɡ(镜j ìn ɡ子z ǐ)(眼y ǎn 睛j īn ɡ) 照zh ào (关ɡu ān 照zh ào )(照zh ào 看k àn ) 千qi ān (千qi ān 山sh ān 万w àn 水shu ǐ)(千qi ān 家ji ā万w àn 户h ù) 裙q ún (裙q ún 子z ǐ)(连li án 衣y ī裙q ún ) 园地四眉m éi (眉m éi 毛m áo )(画hu à眉m éi ) 鼻b í(鼻b í子z ǐ)(鼻b í腔qi ān ɡ) 嘴zu ǐ(嘴zu ǐ巴b ā)(嘴zu ǐ里l ǐ)脖b ó(脖b ó子z ǐ)(鸭y ā脖b ó) 臂b ì(手sh ǒu 臂bei )(臂b ì力l ì) 肚d ù(肚d ù子z ǐ)(小xi ǎo 肚d ù鸡j ī肠ch án ɡ) 腿tu ǐ(大d à腿tu ǐ)(小xi ǎo 腿tu ǐ) 脚ji ǎo (赤ch ì脚ji ǎo )(一y ì只zh ǐ脚ji ǎo )【识字】5 蜻q īn ɡ(蜻q īn ɡ蜓t ín ɡ)(蜻q īn ɡ蜓t ín ɡ点di ǎn 水shu ǐ) 蜓t ín ɡ(蜻q īn ɡ蜓t ín ɡ)(蜻q īn ɡ蜓t ín ɡ点di ǎn 水shu ǐ) 迷m í(迷m í路l ù)(迷m í失sh ī)藏z àn ɡ(捉zhu ō迷m í藏c án ɡ)(躲du ǒ藏c án ɡ) 造z ào (造z ào 纸zh ǐ)(建ji àn 造z ào ) 蚂m à(蚂m ǎ蚁y ǐ)(蚂m à蝗hu án ɡ) 蚁y ǐ(蚂m ǎ蚁y ǐ)(蚁y ǐ后h òu ) 食sh í(食sh í物w ù)(进j ìn 食sh í) 粮li án ɡ(粮li án ɡ食shi )(粮li án ɡ草c ǎo ) 蜘zh ī(蜘zh ī蛛zh ū)(蜘zh ī蛛zh ū网w ǎn ɡ) 蛛zh ū(蜘zh ī蛛zh ū)(蛛zh ū丝s ī马m ǎ迹j ì) 网w ǎn ɡ(蛛zh ū网w ǎn ɡ)(上sh àn ɡ网w ǎn ɡ) 6 圆yu án (团tu án 圆yu án )(圆yu án 形x ín ɡ) 严y án (严y án 格ɡé)(严y án 寒h án ) 寒h án (寒h án 假ji à)(寒h án 冷l ěn ɡ) 酷k ù(冷l ěn ɡ酷k ù)(残c án 酷k ù) 暑sh ǔ(暑sh ǔ假ji à)(酷k ù暑sh ǔ) 凉li án ɡ(冰b īn ɡ凉li án ɡ)(凉li án ɡ水shu ǐ) 晨ch én (早z ǎo 晨ch én )(清q īn ɡ晨ch én ) 细x ì(细x ì小xi ǎo )(仔z ǐ细x ì) 朝ch áo (一y ī朝zh āo 一y ī夕x ī)(朝zh āo 霞xi á) 霞xi á(彩c ǎi 霞xi á)(晚w ǎn 霞xi á) 夕x ī(夕x ī阳y án ɡ)(除ch ú夕x ī) 杨y án ɡ(杨y án ɡ树sh ù)(白b ái 杨y án ɡ)7 操c āo (操c āo 场ch ǎn ɡ)(做zu ò操c āo ) 场ch ǎn ɡ(球qi ú场ch ǎn ɡ)(场ch án ɡ地d ì) 拔b á(拔b á牙y á)(拔b á萝lu ó卜bo ) 拍p āi (拍p āi 皮p í球qi ú)(拍p āi 手sh ǒu ) 跑p ǎo (跑p ǎo 步b ù)(奔b ēn 跑p ǎo ) 踢t ī(踢t ī足z ú球qi ú)(踢t ī毽ji àn 子z ǐ) 铃l ín ɡ(响xi ǎn ɡ铃l ín ɡ)(铃l ín ɡ声sh ēn ɡ) 热r è(热r è闹n ào )(热r è气q ì) 闹n ào (闹n ào 事sh ì)(热r è闹n ào ) 锻du àn (锻du àn 炼li àn )(锻du àn 造z ào ) 炼li àn (锻du àn 炼li àn )(精j īn ɡ炼li àn ) 体t ǐ(体t ǐ育y ù)(身sh ēn 体t ǐ)8 之zh ī(不b ù速s ù之zh ī客k è)(赤ch ì子z ǐ之zh ī心x īn ) 初ch ū(当d ān ɡ初ch ū)(起q ǐ初ch ū) 性x ìn ɡ(性x ìn ɡ格ɡé)(个ɡè性x ìn ɡ) 善sh àn (善sh àn 良li án ɡ)(友y ǒu 善sh àn ) 习x í(习x í惯ɡu àn )(学xu é习x í) 教ji ào (教ji ào 师sh ī)(教ji ào 室sh ì)迁qi ān (变bi àn 迁qi ān )(拆ch āi 迁qi ān ) 贵ɡu ì(富f ù贵ɡu ì)(昂án ɡ贵ɡu ì) 专zhu ān (专zhu ān 家ji ā)(专zhu ān 门m én ) 幼y òu (幼y òu 儿ér )(幼y òu 小xi ǎo ) 玉y ù(宝b ǎo 玉y ù)(美m ěi 玉y ù) 器q ì(大d à器q ì)(器q ì重zh òn ɡ) 义y ì(意y ì义y ì)(主zh ǔ义y ì)园地五饭f àn (吃ch ī饭f àn )(午w ǔ饭f àn ) 能n én ɡ(能n én ɡ力l ì)(能n én ɡ够ɡòu ) 饱b ǎo (吃ch ī饱b ǎo )(饱b ǎo 和h é)茶ch á(喝h ē茶ch á)(茶ch á叶y è) 泡p ào (泡p ào 茶ch á)(泡p āo 泡p āo ) 轻q īn ɡ(年ni án 轻q īn ɡ)(轻q īn ɡ轻q īn ɡ地d ì)鞭bi ān (鞭bi ān 炮p ào )(皮p í鞭bi ān ) 炮p ào (大d à炮p ào )(炮p ào 火hu ǒ)【课文】12 首sh ǒu (首sh ǒu 都d ū)(首sh ǒu 领l ǐn ɡ) 踪z ōn ɡ(失sh ī踪z ōn ɡ)(踪z ōn ɡ迹j ì) 迹j ì(名m ín ɡ胜sh èn ɡ古ɡǔ迹j ì)(痕h én 迹j ì)浮f ú(漂pi āo 浮f ú)(飘pi āo 浮f ú) 萍p ín ɡ(浮f ú萍p ín ɡ)(萍p ín ɡ水shu ǐ相xi ān ɡ逢f én ɡ) 泉qu án (泉qu án 水shu ǐ)(泉qu án 眼y ǎn ) 流li ú(水shu ǐ流li ú)(流li ú过ɡu ò) 爱ài (友y ǒu 爱ài )(相xi ān ɡ爱ài ) 柔r óu (柔r óu 软ru ǎn )(温w ēn 柔r óu ) 荷h é(荷h é花hu ā)(荷h é叶y è) 露l ù(露l ù水shu ǐ)(露l ù出ch ū) 角ji ǎo (角ji ǎo 落lu ò)(边bi ān 角ji ǎo ) 13 珠zh ū(珍zh ēn 珠zh ū)(水shu ǐ珠zh ū) 摇y áo (摇y áo 手sh ǒu )(摇y áo 船chu án ) 躺t ǎn ɡ(躺t ǎn ɡ下xi à)(平p ín ɡ躺t ǎn ɡ) 晶j īn ɡ(水shu ǐ晶j īn ɡ)(亮li àn ɡ晶j īn ɡ晶j īn ɡ) 停t ín ɡ(停t ín ɡ止zh ǐ)(停t ín ɡ下xi à) 机j ī(飞f ēi 机j ī)(机j ī器q ì) 展zh ǎn (展zh ǎn 示sh ì)(展zh ǎn 开k āi ) 透t òu (透t òu 气q ì)(透t òu 明m ín ɡ) 翅ch ì(翅ch ì膀b ǎn ɡ)(鸡j ī翅ch ì) 膀b ǎn ɡ(翅ch ì膀b ǎn ɡ)(肩ji ān 膀b ǎn ɡ) 唱ch àn ɡ(唱ch àn ɡ歌ɡē)(演y ǎn 唱ch àn ɡ) 朵du ǒ(一y ì朵du ǒ花hu ā)(花hu ā朵du ǒ) 14 腰y āo (弯w ān 腰y āo )(伸sh ēn 腰y āo ) 坡p ō(山sh ān 坡p ō)(上sh àn ɡ坡p ō) 沉ch én (下xi à沉ch én )(沉ch én 甸di àn 甸di àn )伸sh ēn (伸sh ēn 手sh ǒu )(伸sh ēn 出ch ū) 潮ch áo (潮ch áo 水shu ǐ)(潮ch áo 湿sh ī) 湿sh ī(潮ch áo 湿sh ī)(湿sh ī气q ì) 呢ne (你n ǐ呢ne )(他t ā呢ne ) 空k ōn ɡ(空k òn ɡ地d ì)(有y ǒu 空k ōn ɡ) 闷m èn (闷m ēn 热r è)(很h ěn 闷m èn) 消xi āo (消xi āo 息x ī)(消xi āo 失sh ī) 息x ī(休xi ū息x ī)(消xi āo 息x ī) 搬b ān (搬b ān 家ji ā)(搬b ān 走z ǒu ) 响xi ǎn ɡ(声sh ēn ɡ响xi ǎn ɡ)(响xi ǎn ɡ亮li àn ɡ)园地六棍ɡùn (棍ɡùn 棒b àn ɡ)(棍ɡùn 子z ǐ) 汤t ān ɡ(喝h ē汤t ān ɡ)(汤t ān ɡ水shu ǐ) 扇sh àn (扇sh àn 子z ǐ)(风f ēn ɡ扇sh àn ) 椅y ǐ(桌zhu ō椅y ǐ)(椅y ǐ子z ǐ) 萤y ín ɡ(荧y ín ɡ光ɡu ān ɡ棒b àn ɡ)(萤y ín ɡ火hu ǒ虫ch ón ɡ) 牵qi ān (牵qi ān 牛ni ú花hu ā)(牵qi ān 挂ɡu à)织zh ī(织zh ī女n ǚ)(织zh ī布b ù) 斗d òu (北b ěi 斗d òu 七q ī星x īn ɡ)(烟y ān 斗d ǒu )15 具j ù(玩w án 具j ù)(具j ù体t ǐ) 次c ì(一y ì次c ì)(每m ěi 次c ì) 丢di ū(丢di ū掉di ào )(弄n òn ɡ丢di ū) 哪n ǎ(哪n ǎ里l ǐ)(哪n ǎ边bi ān ) 新x īn (新x īn 衣y ī服f ú)(新x īn 年ni án ) 每m ěi (每m ěi 天ti ān )(每m ěi 个ɡe ) 平p ín ɡ(平p ín ɡ安ān )(水shu ǐ平p ín ɡ) 她t ā(她t ā们men )(她t ā的de ) 些xi ē(一y ì些xi ē)(有y ǒu 些xi ē) 仔z ǎi (仔z ǐ细x ì)(仔z ǎi 鸡j ī)检ji ǎn (检ji ǎn 查ch á)(检ji ǎn 验y àn ) 查ch á(查ch á看k àn )(检ji ǎn 查ch á) 所su ǒ(所su ǒ以y ǐ)(厕c è所su ǒ)16 钟zh ōn ɡ(闹n ào 钟zh ōn ɡ)(钟zh ōn ɡ爱ài )元yu án (元yu án 旦d àn )(元yu án 宵xi āo ) 迟ch í(迟ch í到d ào )(来l ái 迟ch í) 洗x ǐ(洗x ǐ衣y ī服f ú)(洗x ǐ手sh ǒu )背b èi (背b ēi 包b āo )(背b èi 着zhe ) 刚ɡān ɡ(刚ɡān ɡ才c ái )(刚好) 叹t àn (叹t àn 气q ì)(叹t àn 息x ī)共ɡòn ɡ(一y í共ɡòn ɡ)(总z ǒn ɡ共ɡòn ɡ) 汽q ì(汽q ì车ch ē)(汽q ì水shu ǐ) 决ju é(决ju é定d ìn ɡ)(决ju é心x īn )定d ìn ɡ(一y í定d ìn ɡ)(肯k ěn 定d ìn ɡ) 已y ǐ(已y ǐ经j īn ɡ)(已y ǐ知zh ī) 经j īn ɡ(经j īn ɡ过ɡu ò)(已y ǐ经j īn ɡ)17 物w ù(动d òn ɡ物w ù)(植zh í物w ù)虎h ǔ(老l ǎo 虎h ǔ)(白b ái 虎h ǔ) 熊xi ón ɡ(黑h ēi 熊xi ón ɡ)(狗ɡǒu 熊xi ón ɡ) 通t ōn ɡ(通t ōn ɡ过ɡu ò)(通t ōn ɡ车ch ē)注zh ù(注zh ù意y ì)(注zh ù明m ín ɡ) 意y ì(意y ì义y ì)(意y ì思si ) 遍bi àn (一y ì遍bi àn )(走z ǒu 遍bi àn )百b ǎi (成ch én ɡ百b ǎi 上sh àn ɡ千qi ān )(一y ì百b ǎi ) 舌sh é(舌sh é头t óu )(舌sh é尖ji ān ) 鬼ɡu ǐ(小xi ǎo 鬼ɡu ǐ)(鬼ɡu ǐ怪ɡu ài )脸li ǎn (脸li ǎn 蛋d àn )(洗x ǐ脸li ǎn ) 准zh ǔn (准zh ǔn 备b èi )(准zh ǔn 时sh í) 第d ì(第d ì一y ī)(第d ì几j ǐ)18 猴h óu (猴h óu 子z ǐ)(猴h óu 王w án ɡ)结ji é(结ji é果ɡu ǒ)(结ji ē实sh í) 掰b āi (掰b āi 开k āi )(掰b āi 下xi à) 扛k án ɡ(扛k án ɡ起q ǐ)(扛k án ɡ着zhe )满m ǎn (满m ǎn 意y ì)(满m ǎn 足z ú) 扔r ēn ɡ(扔r ēn ɡ掉di ào )(扔r ēn ɡ下xi à) 摘zh āi (摘zh āi 下xi à)(采c ǎi 摘zh āi )捧p ěn ɡ(捧p ěn ɡ起q ǐ)(捧p ěn ɡ着zhe ) 瓜ɡu ā(西x ī瓜ɡu ā)(瓜ɡu ā果ɡu ǒ) 抱b ào (抱b ào 着zhe )(拥y ōn ɡ抱b ào )蹦b èn ɡ(蹦b èn ɡ蹦b èn ɡ跳ti ào 跳ti ào )(蹦b èn ɡ床chu án ɡ) 追zhu ī(追zhu ī赶ɡǎn )(追zhu ī上sh àn ɡ)园地七吵ch ǎo (吵ch ǎo 架ji à)(吵ch ǎo 闹n ào ) 胖p àn ɡ(肥f éi 胖p àn ɡ)(长zh ǎn ɡ胖p àn ɡ) 岁su ì(岁su ì月yu è)(年ni án 岁su ì) 现xi àn (现xi àn 在z ài )(实sh í现xi àn ) 票pi ào (邮y óu 票pi ào )(电di àn 影y ǐn ɡ票pi ào ) 交ji āo (交ji āo 换hu àn )(上sh àn ɡ交ji āo ) 弓ɡōn ɡ(弓ɡōn ɡ箭ji àn )(拉l ā弓ɡōn ɡ) 甘ɡān (甘ɡān 心x īn )(甘ɡān 甜ti án )19 棉mi án (棉mi án 花hu ā)(棉mi án 衣y ī) 娘ni án ɡ(大d à娘ni án ɡ)(姑ɡū娘ni án ɡ) 治zh ì(医y ī治zh ì)(治zh ì病b ìn ɡ) 燕y àn (燕y àn 子z ǐ)(飞f ēi 燕y àn ) 别bi é(别bi é人r én )(别bi é的de ) 干ɡàn (干ɡàn 活hu ó)(能n én ɡ干ɡàn ) 然r án (然r án 后h òu )(不b ù然r án ) 奇q í(奇q í怪ɡu ài )(好h ào 奇q í) 颗k ē(一颗枣)(颗粒) 瓢pi áo (瓢pi áo 虫ch ón ɡ)(瓢pi áo 泼p ō大d à雨y ǔ) 碧b ì(碧b ì绿l ǜ)(碧b ì蓝l án ) 吐t ǔ(吞t ūn 吐t ǔ)(谈t án 吐t ǔ) 啦l ɑ(来l ái 啦l ɑ)(好h ǎo 啦l ɑ)20 咕ɡū(咕ɡū咚d ōn ɡ)(咕ɡū咕ɡū叫ji ào ) 咚d ōn ɡ(咚d ōn ɡ咚d ōn ɡ响xi ǎn ɡ)(咕ɡū咚d ōn ɡ) 熟sh ú(熟sh ú人r én )(熟sh ú食sh í) 掉di ào (掉di ào 下xi à)(扔r ēn ɡ掉di ào ) 吓h è(吓xi à人r én )(惊j īn ɡ吓xi à) 鹿l ù(梅m éi 花hu ā鹿l ù)(小xi ǎo 鹿l ù) 逃t áo (逃t áo 跑p ǎo )(逃t áo 走z ǒu ) 命m ìn ɡ(生sh ēn ɡ命m ìn ɡ)(命m ìn ɡ运y ùn ) 象xi àn ɡ(大d à象xi àn ɡ)(象xi àn ɡ群q ún ) 野y ě(野y ě生sh ēn ɡ)(野y ě人r én ) 拦l án (拦l án 住zh ù)(阻z ǔ拦l án ) 领l ǐn ɡ(带d ài 领l ǐn ɡ)(领l ǐn ɡ导d ǎo ) 21 壁b ì(墙qi án ɡ壁b ì)(壁b ì虎h ǔ) 墙qi án ɡ(墙qi án ɡ角ji ǎo )(围w éi 墙qi án ɡ) 蚊w én (蚊w én 子z ǐ)(蚊w én 蝇y ín ɡ) 咬y ǎo (咬y ǎo 断du àn )(咬y ǎo 住zh ù) 断du àn (断du àn 开k āi )(断du àn 裂li è) 您n ín (您n ín 好h ǎo )(您n ín 的de ) 拨b ō(拨b ō开k āi )(拨b ō水shu ǐ) 甩shu ǎi (甩shu ǎi 开k āi )(甩shu ǎi 掉di ào ) 赶ɡǎn (赶ɡǎn 走z ǒu )(赶ɡǎn 快ku ài ) 房f án ɡ(房f án ɡ屋w ū)(房f án ɡ间ji ān ) 傻sh ǎ(傻sh ǎ瓜ɡu ā)(傻sh ǎ乎h ū乎h ū) 转zhu ǎn (转zhu ǎn 头t óu )(转zhu ǎn 身sh ēn ) 园地八卫w èi (保b ǎo 卫w èi )(守sh ǒu 卫w èi ) 巾j īn (毛m áo 巾j īn )(纸zh ǐ巾j īn ) 擦c ā(擦c ā手sh ǒu )(擦c ā窗chu ān ɡ) 刷shu ā(刷shu ā子z ǐ)(粉f ěn 刷shu ā) 皂z ào (肥f éi 皂z ào )(香xi ān ɡ皂z ào ) 澡z ǎo (洗x ǐ澡z ǎo )(澡z ǎo 盆p én )梳sh ū(梳sh ū头t óu )(梳sh ū理l ǐ) 盆p én (脸li ǎn 盆p én )(水shu ǐ盆p én )。
第一单元元宵节1.元宵节宵xiüo、窗chuüng、圆yuán、汤tüng节jiã:节日、节气、春节欢huün:欢乐、欢快、欢庆吃chÿ:小吃、吃饭、吃喝正 zhýng:正月zhâng:正好、正式、立正庆qìng:国庆、欢庆、庆祝团tuán:团长、团圆、团结2.看花灯夜yâ、街jiý、泡pào、眨zhǎ、睛jÿng、追zhuÿ、彩cǎi花huü:红花、花园、花丛、花草金jÿn:千金、金色、金子、金鱼吐tǔ:吐泡、吐气、立lì:立正、站立、立定、直立各gâ:各种、各式、各样年nián:新年、过年、今年、去年、明年、年月第二单元家园1.小山村片piàn、粉fþn、脚jiǎo、漂piào、新x ÿn、房fáng、校xiào、清qÿng、底dǐ、游yïu、曲qū家jiü:家长、家园、家庭林lín:树林、森林、竹林、林场时shí:时间、小时看kàn:看见、看到、看法间jiün:中间、房间、课间方füng方位、正方、方法、方向、2.水乡歌接jiý、扬yáng、桥qiáo 、湖hú、座zuî、过guî、帆fün、朵duǒ、飘pi üo、满mǎn、装zhuüng乡xiüng水乡、家乡、乡村、乡下条tiáo:面条、粉条、条件、条纹河hã:河水、河边、江河清qÿng:清水、清洁、清明片piàn:叶片、唱片、一片首shǒu:首长、首先、首都、部首活huï:生活、活动、活泼、灵活第三单元春天1.春天的手春chūn、温wýn、暖nuǎn、轻qÿng、柔rïu、抚fǔ、摸mō、掠lûâ、拂fú、枝zhÿ、传chuán、泼pō乐lâ:快乐、欢乐、乐趣、yuâ音乐、乐曲、声乐、拍püi:拍打、节拍、拍手、拍球朋pãng:朋友、亲朋、友yǒu:朋友、友人、友好、友谊拉lü:拉手、拉住、拖拉心xÿn:心里、开心、爱心、心情2.插秧插chü、秧yüng、镜jìng田tián:田园、田地、农田、水田映yìng:反映、映衬、映照云yún:云朵、云彩、乌云、白云树shù:大树、树林、树皮、树枝农nïng农民、农田、农业、农村民mín:人民、民歌、民族第四单元植物1.老树的故事这zhâ、吗mü、谈tán、礼lǐ、服fú、音yÿn、乐yuâ、哪nǎ、吧ba、童tïng老lǎo:老人、老家、老乡、老年百bǎi:一百、百位、百姓安ün:安全、平安、安乐、安居话huà:说话、电话、话语、对话告gào:告诉、广告、告示、通告诉sù:上诉、告诉、诉说、诉苦2.一粒种子和huï、把bǎ、挺tǐng、渴kþ、喝hý、黑hýi、钻zuàn、松sōng、闹nào、啊à、喊hǎn粒lì:米粒、沙粒、一粒、颗粒种zhǒng:种子、种类、种族、zhîng种花、种菜点diǎn:点头、雨点、点心、点名声shýng声乐、声音、叫声、响声音yÿn: 音乐、音响、音节、高音说shuō: 说话、小说、说笑、说情赶gǎn:赶走、赶快、赶忙、赶集第五单元动物1.小鱼的梦梦mâng、被bâi、波bō、浪làng、摇yáo、篮lán、推tuÿ、甜tiáo、摆bǎi、嘴zuǐ玩wán:好玩、玩具、玩耍怀huái:关怀、怀表、怀抱、怀里星xÿng:红星、星星、金星、星空曲qǔ:歌曲、曲子、曲目、乐曲qū:弯曲、曲折把bǎ:手把、把关、火把、把守做zuî:做工、做事、做客、做题2.大熊猫熊xiïng、许xǔ、珍zhýn、奇qí、物wù、胖pàng、短duǎn、喜xǐ、爬pá、香xiüng乎hū:几乎、在乎、似乎四sì:四方、四十、四肢、四个黑hýi:黑色、黑体、黑板、黑人耳þr:耳朵、木耳、耳洞两liǎng:两人、两面、两边、两旁爪zhuǎ:爪子、爪印呼hū:呼叫、呼气、欢呼、呼喊要:yào 只要、不要、主要、重要yüo要求第六单元爱护1.纪念纪jì、念niàn、亭tíng、该güi、留li ú、旁páng、边biün、周zhōu、舞wǔ应yÿng:应该、答应、回应名míng:名字、出名、名人、字zì:生字、字母、字画、汉字台tái:天台、台风、站台、阳台阶jiý:台阶、阶梯、阶段站zhàn:站立、站台、车站六liù:六一、六月、六个、六十2.特别的作业怪guài、代dài、表biǎo、院yuàn、评píng作zuî:作业、作品、作家、工作业yâ:作业、事业、业务、学业昨zuï:昨天、昨日、昨晚今jÿn:当今、今年、今天、今日玉yù:玉石、白玉、宝玉、玉兰兰lán:兰花、木兰、兰草护hù:保护、爱护、护卫、守护、让ràng:礼让、让座、谦让、让开第七单元认真1.燕子妈妈笑了燕yàn、菜cài、园yuán、躺tǎng、茄qiã、屋wū、错cuî、很hþn、刺cì瓜guü:瓜果、冬瓜、西瓜、南瓜认rân:认真、认字、认识、真zhýn:天真、认真、真心、真相次cì:名次、一次、几次、层次皮pí:果皮、皮球、头皮、皮带细xì:仔细、细心、细长、细毛、还:hái 还有、还是huán 还书、归还看:kàn 看见、看书kün看门、看守兴:xìng高兴、兴致、兴奋、兴起2.丁丁写字纸zhǐ、借jiâ、跟gýn、换huàn、还h ái、呢ne、掉diào、正zhâng写:xiþ写字、书写、写作、写信好:hǎo 好人、友好、好心、好处hào 好奇、爱好对duì:对比、对立、对手、对方、拿ná:拿开、拿书、拿笔、拿好笔bǐ:毛笔、笔尖、笔画、笔头丢diū:丢失、弄丢、丢人、丢掉身shýn:全身、身子、身体、身上正:zhýng 正月zhâng正好、正式、立正、坐正第八单元车的世界1.车的世界汽qì、拖tuō、托tuō、售shîu、票piào、请qǐng、轮lún识shí:认识、识字、知识、见识公gōng:公园、外公、公鸡、公里共gîng:共同、共有、总共、一共、车chý:火车、电车、汽车、马车电diàn:电力、发电、电话、电车面miàn:面包、面条、方面、前面包büo:书包、包子、面包、沙包卡: kǎ卡片、卡车、qiǎ发卡机jÿ:飞机、机动、电机、司机司sÿ:司机、公司员yuán:员工、人员、会员、勿wù:勿入、请勿、勿动专zhuün:专门、专心、专人火huǎ:大火、火车、火山、火把辆liàng:一辆、车辆、几辆交jiüo:上交、公交、交通、相交第九单元朋友1.冬冬读课文读dú、胆dǎn、害hài、越yuâ、脸liǎn、教jiào、室shì、遍biàn、鼓gǔ、勇yǒng、气qì、掌zhǎng课kâ:课文、上课、课间、听课文wãn:语文、文学、作文师shÿ:师长、老师、教师请qǐng:请问、请客、请假同tïng:同学、共同、相同、同时笑xiào:笑话、笑声、笑脸、欢笑、这zhâ:这里、这边、这样、这些2.池塘边的叫声哥gý、干gàn、岸àn、好hào、趴pü、背býi、亲qÿn、谢xiâ、此cǐ边biün:河边、路边、边长、边远、这边、那边、旁边半bàn:半个、半日、一半、半天过guî:过去、过来、过年、经过转:zhuàn 转动、转圈、zhuǎn 转头好:hǎo 好人、很好hào 好奇、爱好连lián:连长、连忙、连队、连接、每mþi:每天、每日、每次、每年讲jiǎng:讲话、讲课、讲评、讲述干:gàn 干活、干部gün 干果、干旱背:býi 背包bâi 后背、背面第十单元雨1雨铃铛铃líng、铛düng、沙shü、檐yán、珠zhū、盖gài、雨yǔ:春雨、下雨、雨水、雨点响xiǎng:响亮、响声、声响房fáng:房间、房子、房屋、房顶挂guà:挂号、挂起、挂名、挂失串chuàn:一串、几串、肉串、客串招zhüo:招手、招呼、招待快kuài:快乐、飞快、快车、赶快2美丽的彩虹虹hïng、晴qíng、神shãn、遥yáo、仙xiün、戴dài、顶dǐng、滑huá、颜yán、淡dàn空kōng:天空、空气、星空、空间kîng 空白丁dÿng:园丁、人丁、新丁定dìng:一定、安定、定义、定位七qÿ:七十、七百、七夕、七月巨jù:巨大、巨人、巨石、巨轮色sâ:彩色、颜色、红色、黄色第十一单元愿望1丁丁和牵牛花牵qiün、牛niú、奶nǎi、芽yá、竿gün、望wàng、醒xǐng、喇lǎ、叭bü、实shí王wáng:国王、大王、久jiǔ:不久、长久、永久、久远足zú:不足、满足、足球、足够、往wǎng:交往、来往、往事、往常、路lù:走路、大路、路灯、马路高güo:高兴、高大、高山、高处兴:xìng 高兴、兴趣、兴致Xÿng 兴奋、兴起、2想飞的乌龟龟guÿ、叼diüo、根gýn、棍gùn、端du ün、于yú、感gǎn、野yþ、忍rþn、摔shu üi听tÿng:听力、听见、听说、听讲吧ba:好吧、行吧、来吧想xiǎng:想法、思想、想念法fǎ:办法、方法、法国、想法掉diào:掉落、丢掉、扔掉、掉下要:yào 只要、不要、主要、重要、yüo 要求、重:zhîng 重要、重点、重力、chïng 重来、重合、重写第十二单元星空1数星星的孩子颗ký、重chïng、极jí、织zhÿ、注zhù、视shì、斗dõ、张zhüng、为wãi坐zuî:坐直、坐下、坐好、坐落直zhí:笔直、正直、一直、直立很hþn:很多、很好、很少、很久先shŏu:首先、祖先、先生、先进组zŭ:小组、组成、分组、组长重:zhîng重要、重点、重力、重量chïng 重来、重合、重生还:hái还是、还有huán 还书、还笔、还钱、还给教:jiào教室、教师jiüo教书为:wâi因为、为什么数:shù数学、数字、shŭ数一数2问银河银yín、夏xìa、离lí、虾xiü、硬yìng、壳kã、落luî、候hîu、邀yüo、乘chãng 闪shăn:闪电、闪光、闪亮、闪现、远yuăn:远方、远处、久远、远古那nà:那里、那么、那边胡hú:胡子、二胡客kâ:客人、做客、请客、客厅能nãng:能力、能人、能干、能手没:mãi没有、没趣、mî沉没第十三单元时间1长歌行复fù、归guÿ、壮zhuàng、悲býi、川chuün、何hã、努nŭ、力lì、伤shüng、川chuün:山川、冰川、四川到dào:到来、到处、到达、到点海hăi:大海、海洋、海水、海边何hã:几何、何时、如何、何处努nŭ:努力、努嘴力lì:力气、力量、尽力伤shüng:伤心、伤口、悲伤、2小闹钟鹰yÿng、抓zhuü、任rân、务wù、兔tù、息xÿ、瞧qiáo、行háng、改găi、使shĭ闹nào:闹钟、打闹、闹市、热闹钟zhōng:时钟、闹钟、钟表、完wán:完成、完全、完整已yĭ:已经、已往、而已经jÿng:经过、已经、经济、经常院yuàn:院子、院长、医院、院校劲jìn:使劲、劲头、强劲、行:xíng行人、行走、自行车háng 一行、几行、改行第十四单元丁丁冬冬学识字丁丁冬冬学识字1.森sýn、杏xìng、枫fýng、柏băi、板băn、柜guì、桃táo、杨yáng、柳liŭ、材cái材cái:木材、身材、材料、建材、休xiū:休息、休学、休克、休养息xÿ:休息、气息、叹息、作息床chuáng:木床、大床、床头李lĭ:李子、行李、桃李2.苗miáo、菠bō、莓mýi、荷hã、萝luï、卜bo、药yào、茶chá菜cài:白菜、菜花、菜园、菠菜萝luï:萝卜、藤萝、卜bo:萝卜药yào:山药、吃药、药方、中药茶chá:茶叶、茶花、山茶、茶几3.竹乡之歌篱lí、笆bü、墙qiáng、筝zhýng、巧qiăo、筐kuüng、傍bàng、晚wăn、筒tŏng、最zuì竹zhú:竹子、毛竹、竹叶、竹林爸bà:爸爸、干爸、笛dí:笛子、风笛、长笛、汽笛起qĭ:起立、早起、起床、起来、饭fàn:吃饭、米饭、饭菜、午饭香xiüng:花香、香气、香味、香水传chuán:传说、传话、传奇第十五单元长大1我的名字叔shū、垃lü、圾jÿ、姨yí、坡pō、雷lãi、锋fýng、姓xìng、容rïng、阿ü道dào:知道、道路、道别、道理阿ü:阿姨、阿妈、阿爸红hïng:红色、红旗、鲜红奶năi:奶奶、牛奶、奶片、奶油爷yã:爷爷、姥爷、爷孙、但dàn:但是、不但、但愿、记jì:记住、日记、牢记、记性2好事情尤yïu、狼láng、枪qiüng、抬tái、夹jiü、断duàn、腿tuĭ、医yÿ、厨chú、刷shuü气qì:生气、气人、气力、气息于yú:小于、大于、于是、等于事shì:事业、故事、事情、事迹情qíng:事情、人情、亲情、感情如rú:如果、如今、如此、假如别biã:别人、区别、离别第十六单元快乐1大家都快乐静jìng、悄qiüo、独dú、折zhã、踢tÿ、播bō、乒pÿng、乓püng、掰büi、拔bá以yǐ:以为、可以、以前、以后广guăng:广场、广播、广州故gù:故事、故乡、故土、故居众zhîng:大众、众多、众人学xuã:大学、学校、学习、放学许xŭ:许多、许可、也许、许愿更:gâng 更多、更好、更强、gýng 更换、更新2快乐的小公鸡整zhĕng、恼năo、就jiù、庄zhuüng、嫁jià、蜜mì、蜂fýng、姐jiĕ、得dã、报bào样yàng:一样、多样、样子、样式跑păo:跑步、奔跑、跑鞋牛niú:牛奶、牛肉、吹牛、牛角、帮büng:帮忙、帮助、帮手助zhù:助力、帮助、助人虫chïng:虫子、小虫、害虫丛cïng:花丛、草丛、丛林、树丛得:dã得意、得体、得力、得当、dĕi 非得、总得。
部编版一年级语文下册二类字词库部编版年级一年级下册二类字词库第一单元:识字第一课《春夏秋冬》春:春节,春色,春天,早春,立春,青春,春暖花开,XXX秋实风:大风,北风,刮风,台风,风筝,风景,风雨,风车,风和日丽冬:冬天,冬眠,冬至,冬季,冬青,冬瓜,丁冬,寒冬,秋收冬藏雪:白雪,雪花,雪人,冰雪,雪山,雪亮,大雪,雪糕,雪中送炭花:花朵,棉花,花草,花生,花园,烟花,百花齐放,鸟语花香飞:飞机,飞翔,飞鸟,飞船,飞奔,飞快,XXX,XXX飞入:加入,收入,出入,进入,入口,入迷,引人入胜,格格不入霜:冰霜,风霜,霜降,霜天,霜害,糖霜,柿霜,雪上加霜吹:吹牛,吹风,吹捧,吹灯,吹拂,吹喇叭,吹风机,风吹雨打落:落后,落日,落叶,落马,下落,坠落,失落,角落,水落石出降:下降,降落,升降,降温,降低,降生,降水。
投降,降龙伏虎。
飘:飘落,飘带,飘扬,飘洒,飘摇,飘动,飘舞,飘飘欲仙游:游泳,游玩,游戏,游船,旅游,导游,春游,游山玩水池:水池,花池,电池,浴池,池塘,池子,城池,池鱼之殃1第二课《姓氏歌》姓:姓名,姓氏,复姓,隐姓埋名什:什么。
什锦,什物,XXX。
么:怎么,要末,那么,何等,这么双:双方,双人,双数,双杠,双手,智勇双全,双管齐下国:国家,国宝,中国,外国,国画,国庆,祖国,精忠报国XXX:王国,王子,王权,王府,帝王,女王,霸王。
方:方向,地方,方正,方位,西方,譬喻,前方,五湖四海氏:姓氏,母氏,氏族XXX:行李,桃李,XXX。
XXXXXX,XXX僵XXX:夸张,纸张,慌张,开张,紧张,张大,张口,张灯结彩古:古今,古怪,古诗,古人,古文,古代,古老,古色古香XXX:东吴,姓XXX,XXXXXX:XXX,姓赵,完璧归赵钱:价钱,金钱,饭钱,铜钱,钱包,钱币,财帛,有钱有势XXX:儿孙,子孙,孙子,孙女,外孙,XXX,玄孙,名落孙山XXX:周围,周年,周长,周到,周期,周岁,周边,循环往复官:五官,做官,官兵,官方,官府,官员,外交官,贪官污吏2第三课《小青蛙》青:青色,青草,青年,青蛙,青菜,青天,青山绿水,青梅竹马清:清水,清楚,清晨,清早,清香,清洁,清凉,清白,山清水秀气:气球,天气,力气,暖气,空气,语气,勇气,客气,神气十足晴:晴朗,晴天,晴空,清和,晴好,雨过天晴,晴天霹雳情:感情,心情,事情,友情,交情,同情,情况,情书,诗情画意请:请客,请问,请求,请安,请功,请教,请示,申请,负荆请罪生:生活,生日,生病,生长,生活,人生,学生,医生,生机勃勃眼:眼睛,眼镜,眼角,眼眉,眼泪,眨眼,泉眼,白眼,眉开眼笑睛:眼睛,目不转睛,火眼金睛保:保护,保存,保险,保安,保留,保证,保温,环保,保家卫国护:保护,爱护,拥护,维护,呵护,守护,护士,护工,护照害:害怕,害虫,伤害,厉害,害人,害羞,灾害,为民除害事:事情,做事,找事,故事,往事,事件,本事,心事,若无其事让:让座,让开,让路,让步,让贤,转让,礼让,谦让病:抱病,看病,治病,病情,病人,病床,病号,病历,同病相怜3第四课《猜字谜》字:生字,汉字,字典,写字,汉字,识字,文字,字母,数字左:左手,左边,左右,左方,左膀右臂,左右为难右:右手,右边,右面,左顾右盼,左思右想红:红色,红军,红枣,红灯,红包,火红,鲜红,脸红,万紫千红时:时间,时候,时空,当时,及时,暂时,时针,时代,时光动:动作,动物,动画,动力,动听,动人,生动,行动,劳动万:百万,千万,万能,万恶,万分,万象,千变万化,晴空万里相:相互,相对,相同,相信,相比,相似,相等。
2017 年新人教部编版小学一年级下册语文《识字表》生字组词第一单元识字1、春夏秋冬霜(风霜)(冰霜)降(降落)(下降)池(池塘)(池水)吹(吹过)(风吹雨打)飘(飘落)(飘下)入(出入)(进入)落(落下)(落叶)游(游泳)(旅游)2、姓氏歌姓(姓氏)(百姓)张(张开)(张大)赵(姓赵)(完璧归赵)周(周全)(周日)氏(氏族)(姓氏)古(古今)(古诗)钱(钱包)(赚钱)王(王子)(王后)李(李树)(李子)吴(吴山)(东吴)孙(子孙)(儿孙)官(做官)(器官)3、小青蛙清(清楚)(清洗)晴(晴天)(晴空)眼(眼镜)(眼睛)睛(眼睛)(目不转睛) 保(保护)(保养)护(护士)(护卫)情(友情)(事情)害(害怕)(害虫)事(事情)(故事)病(病人)(生病)请(有请)(请到)让(让开)(礼让)4 、猜字谜相(相互)(相遇)欢(欢乐)(欢笑)互(互相)(互助)纯(纯洁)(纯白)遇(遇见)(遇到)怕(害怕)(不怕)令(命令)(下令)净(干净)(纯净)喜(喜爱)(喜欢)言(语言)(发言)动(动词)(动作)语文园地一阴(阴天)(阴雨)雷(雷声)(雷雨)电(电视)(电话)阵(阵雨)(一阵)冰(冰天雪地)(结冰)冻(冰冻)(冷冻)夹(夹菜)(夹住)第二单元课文1、吃水不忘挖井人吃(吃饭)(好吃)村(农村)(村子)主(主要)(主人)亲(亲人)(亲热)面(下面)(面条)2、我多想去看看想(想念)(思想)告(告诉)(告别)诉(诉苦)(告诉)路(马路)(走路)忘(忘记)(遗忘)叫(大叫)(喊叫)席(凉席)(席子)战(战士)(战场)井(一口井)(井水)毛(皮毛)(毛发)乡(乡村)(乡亲)士(士兵)(勇士)京(北京)(南京)安(安全)(平安)门(门口)(开门)广(广场)(广大)非(非常)(是非)常(经常)(往常)壮(壮丽)(壮观)观(观看)(观赏)3、一个接一个接(迎接)(接住)做(做事)(做梦)样(样子)(一样)伴(陪伴)(相伴)这(这里)(这边)觉(睡觉)(午觉)再(再见)(再次)各(各位)(各种各样)种(种子)(各种)梦(梦想)(梦中)伙(大伙)(伙伴)却(盛情难却)(退却)趣(有趣)(趣味)4、四个太阳太(太好)(太阳)阳(阳光)(太阳)道(道路)(道理)送(送给)(赠送)忙(连忙)(帮忙)尝(品尝)(尝试)香(香气)(香甜)甜(甜美)(香甜)温(温暖)(温和)暖(暖和)(暖气)该(应该)(活该)颜(颜色)(颜料)因(因为)(因果)语文园地二辆(一辆车)(车辆)支(一支笔)(几支)架(一架飞机)(书架)匹(马匹)(一匹马)册(一册书)(书册)铅(铅笔)(铅画纸)棵(一棵树)(几棵)第三单元课文5、小公鸡和小鸭子块(一块毛巾)(冰块)捉(捉虫)(捕捉)急(着急)(焦急)直(直接)(直线)河(小河)(河水)行(不行)(行走)死(生死)(病死)信(写信)(信心)跟(跟从)(跟随)忽(忽然)(忽而)喊(叫喊)(高喊)身(身体)(全身)6、树和喜鹊只(只好)(只有)窝(鸟窝)(鸡窝)孤(孤独)(孤单)单(单独)(单人)种(种树)(种植)都(都好)(都是)邻(邻居)(相邻)居(居住)(居然)招(招收)(招手)呼(呼喊)(招呼)静(安静)(平静)乐(欢乐)(快乐)7、怎么都快乐怎(怎么)(怎样)独(单独)(独自)跳(跳绳)(跳高)绳(绳子)(跳绳)讲(讲话)(演讲)得(总得)(可得)羽(羽毛)(羽毛球)球(篮球)(足球)戏(唱戏)(游戏)排(排队)(排球)篮(篮筐)(篮子)连(连接)(连线)运(运动)(运气)第四单元课文8、静夜思夜(黑夜)(夜晚)光(发光)(光明)望(看望)(希望)思(思念)(思考)床(起床)(木床)疑(怀疑)(疑心)举(举手)(举高)低(低头)(低下)故(故乡)(故事)9、夜色胆(大胆)(胆量)外(外面)(外国)乱(杂乱)(胡乱)原(原来)(草原)敢(不敢)(勇敢)勇(勇敢)(勇气)偏(偏爱)(偏心)像(好像)(不像)往(往前)(向往)窗(窗户)(窗口)散(散开)(分散)微(微笑)(细微)10、端午粽端(端水)(端正)总(总是)(总共)分(分开)(分别)带(带鱼)(带领)念(思念)(想念)11、彩虹虹(彩虹)(虹光)浇(浇水)(浇花)兴(高兴)(兴致勃勃)照(关照)(照看)座(座位)(一座桥)洒(洒水)(泼洒)拿(拿走)(拿起)千(千山万水)(千家万户)提(提水)(提前)挑(挑水)(挑选)镜(镜子)(眼睛)裙(裙子)(连衣裙)粽(粽子)(肉粽)米(大米)(米饭)豆(大豆)(豆子)知(知道)(知己)节(节日)(端午节)间(中间)(一间房)肉(猪肉)(牛肉)据(据说)(根据)语文园地四眉(眉毛)(画眉)鼻(鼻子)(鼻腔)嘴(嘴巴)(嘴里)脖(脖子)(鸭脖)臂(手臂)(臂力)肚(肚子)(小肚鸡肠)腿(大腿)(小腿)脚(赤脚)(一只脚)第五单元识字5、动物儿歌蜻(蜻蜓)(蜻蜓点水)藏(捉迷藏)(躲藏)蚁(蚂蚁)(蚁后)蜘(蜘蛛)(蜘蛛网)蜓(蜻蜓)(蜻蜓点水)造(造纸)(建造)食(食物)(进食)蛛(蜘蛛)(蛛丝马迹)迷(迷路)(迷失)蚂(蚂蚁)(蚂蝗)粮(粮食)(粮草)网(蛛网)(上网)6、古对今圆(团圆)(圆形)酷(冷酷)(残酷)晨(早晨)(清晨)霞(彩霞)(晚霞)严(严格)(严寒)暑(暑假)(酷暑)细(细小)(仔细)夕(夕阳)(除夕)寒(寒假)(寒冷)凉(冰凉)(凉水)朝(一朝一夕)(朝霞)杨(杨树)(白杨)7、操场上操(操场)(做操)拍(拍皮球)(拍手)铃(响铃)(铃声)锻(锻炼)(锻造)场(球场)(场地)跑(跑步)(奔跑)热(热闹)(热气)炼(锻炼)(精炼)拔(拔牙)(拔萝卜)踢(踢足球)(踢毽子)闹(闹事)(热闹)体(体育)(身体)8、人之初之(不速之客)(赤子之心)初(当初)(起初)善(善良)(友善)迁(变迁)(拆迁)幼(幼儿)(幼小)义(意义)(主义)习(习惯)(学习)贵(富贵)(昂贵)玉(宝玉)(美玉)性(性格)(个性)专(专家)(专门)器(大器)(器重)教(教师)(教室)语文园地五饭(吃饭)(午饭)茶(喝茶)(茶叶)鞭(鞭炮)(皮鞭)能(能力)(能够)泡(泡茶)(泡泡)炮(大炮)(炮火)饱(吃饱)(饱和)轻(年轻)(轻轻地)第六单元课文12、古诗二首首(首都)(首领)浮(漂浮)(飘浮)流(水流)(流过)荷(荷花)(荷叶)踪(失踪)(踪迹)萍(浮萍)(萍水相逢)爱(友爱)(相爱)露(露水)(露出)迹(名胜古迹)(痕迹)泉(泉水)(泉眼)柔(柔软)(温柔)角(角落)(边角)13、荷叶圆圆珠(珍珠)(水珠)晶(水晶)(亮晶晶)展(展示)(展开)膀(翅膀)(肩膀)摇(摇手)(摇船)停(停止)(停下)透(透气)(透明)唱(唱歌)(演唱)躺(躺下)(平躺)机(飞机)(机器)翅(翅膀)(鸡翅)朵(一朵花)(花朵)14、要下雨了腰(弯腰)(伸腰)伸(伸手)(伸出)呢(你呢)(他呢)消(消息)(消失)响(声响)(响亮)坡(山坡)(上坡)潮(潮水)(潮湿)空(空地)(有空)息(休息)(消息)沉(下沉)(沉甸甸)湿(潮湿)(湿气)闷(闷热)(很闷)搬(搬家)(搬走)语文园地六棍(棍棒)(棍子)椅(桌椅)(椅子)织(织女)(织布)汤(喝汤)(汤水)萤(荧光棒)(萤火虫)斗(北斗七星)(烟斗)扇(扇子)(风扇)牵(牵牛花)(牵挂)第七单元课文15、文具的家具(玩具)(具体)哪(哪里)(哪边)平(平安)(水平)仔(仔细)(仔鸡)所(所以)(厕所)些(一些)(有些)查(查看)(检查)丢(丢掉)(弄丢)每(每天)(每个)次(一次)(每次)新(新衣服)(新年)她(她们)(她的)检(检查)(检验)16、一分钟钟(闹钟)(钟爱)洗(洗衣服)(洗手)叹(叹气)(叹息)决(决定)(决心)经(经过)(已经)元(元旦)(元宵)背(背包)(背着)共(一共)(总共)定(一定)(肯定)迟(迟到)(来迟)刚(刚才)(刚好)汽(汽车)(汽水)已(已经)(已知)17、动物王国开大会物(动物)(植物)通(通过)(通车)遍(一遍)(走遍)鬼(小鬼)(鬼怪)第(第一)(第几)虎(老虎)(白虎)注(注意)(注明)百(成百上千)(一百)脸(脸蛋)(洗脸)熊(黑熊)(狗熊)意(意义)(意思)舌(舌头)(舌尖)准(准备)(准时)18、小猴子下山猴(猴子)(猴王)扛(扛起)(扛着)摘(摘下)(采摘)抱(抱着)(拥抱)结(结果)(结实)满(满意)(满足)捧(捧起)(捧着)蹦(蹦蹦跳跳)(蹦床)掰(掰开)(掰下)扔(扔掉)(扔下)瓜(西瓜)(瓜果)追(追赶)(追上)语文园地七吵(吵架)(吵闹)现(现在)(实现)弓(弓箭)(拉弓)胖(肥胖)(长胖)票(邮票)(电影票)甘(甘心)(甘甜)岁(岁月)(年岁)交(交换)(上交)第八单元课文19、棉花姑娘棉(棉花)(棉衣)燕(燕子)(飞燕)然(然后)(不然)娘(大娘)(姑娘)别(别人)(别的)奇(奇怪)(好奇)治(医治)(治病)干(干活)(能干)颗(一颗枣)(颗粒)吐(吞吐)(谈吐)瓢(瓢虫)(瓢泼大雨)碧(碧绿)(碧蓝)啦(来啦)(好啦)20、咕咚咕(咕咚)(咕咕叫)咚(咚咚响)(咕咚)熟(熟人)(熟食)掉(掉下)(扔掉)逃(逃跑)(逃走)野(野生)(野人)吓(吓人)(惊吓)命(生命)(命运)拦(拦住)(阻拦)鹿(梅花鹿)(小鹿)象(大象)(象群)领(带领)(领导)21、小壁虎借尾巴壁(墙壁)(壁虎)咬(咬断)(咬住)拨(拨开)(拨水)房(房屋)(房间)墙(墙角)(围墙)断(断开)(断裂)甩(甩开)(甩掉)蚊(蚊子)(蚊蝇)您(您好)(您的)赶(赶走)(赶快)傻(傻瓜)(傻乎乎)转(转头)(转身)语文园地八卫(保卫)(守卫)刷(刷子)(粉刷)梳(梳头)(梳理)巾(毛巾)(纸巾)擦(擦手)(擦窗)皂(肥皂)(香皂)澡(洗澡)(澡盆)盆(脸盆)(水盆)。
小学部编语文第二册二类字词卡识字11、《春夏秋冬》shuānɡ霜(秋霜)(风霜) chuī吹(风吹)(吹动) luò落(吹落)(落下)jiànɡ降(降落)(升降) piāo飘(飘雪)(飘走) yóu游(游鱼)(游动)chí池(水池)(池塘) rù入(入门)(出入)2、《姓氏歌》xìnɡ姓(姓名)(姓氏) shì氏(陈氏)(姓氏) lǐ李(李子)(桃李)zhānɡ张(纸张)(张开)ɡǔ古(古人)(古诗) wú吴(吴国)(吴姓)zhào赵(赵氏)(赵国) qián钱(金钱)(钱包) sūn孙(孙子)(孙女)zhōu周(周日)(周边) wánɡ王(国王)(王子)ɡuān官(上官)(官方)3、《小青蛙》qīnɡ清(清水)(清白) qínɡ晴(晴天)(晴空) yǎn眼(眼睛)(眼球)jīnɡ睛(眼睛)(画龙点睛) bǎo保(保护)(保卫) hù护(护士)(护理)hài害(害虫)(害怕) shì事(事情)(好事) qínɡ情(友情)(亲情)qǐnɡ请(请问)(请求) rànɡ让(让开)(让路) bìnɡ病(生病)(病人)4、《猜字谜》xiānɡ相(相遇)(相关) yù遇(遇见)(遇上) xǐ喜(喜欢)(喜事)huān欢(欢乐)(欢笑) pà怕(害怕)(可怕) yán言(语言)(言行)hù互(互相)(互动) lìnɡ令(令人)(口令) dònɡ动(运动)(动作)wàn万(一万)(千万) chún纯(纯净)(纯真) jìnɡ净(干净)(净水)语文园地一yīn阴(阴天)(阴阳) léi雷(雷雨)(雷声) diàn电(电子)(电话)zhèn阵(阵雨)(阵地)bīnɡ冰(冰雪)(冰雹) dònɡ冻(冰冻)(冻土)jiā夹(雨夹雪)(夹子)日积月累春回大地万物复苏柳绿花红莺歌燕舞冰雪融化泉水叮咚百花齐放百鸟争鸣1、《吃水不忘挖井人》chī吃(吃饭)(吃水) wànɡ忘(忘记)(不忘) jǐnɡ井(井水)(水井)cūn村(乡村)(村子) jiào叫(大叫)(叫声) máo毛(毛主席)(毛发)zhǔ主(主要)(主席) xí席(席子)(凉席) xiānɡ乡(乡亲)(乡下)qīn亲(亲人)(亲情) zhàn战(战士)(战友) shì士(士兵)(士气)miàn面(上面)(面对)2、《我多想去看看》xiǎnɡ想(多想)(想法)ɡào告(告诉)(告白) sù诉(诉说)(诉苦)lù路(小路)(马路)jīnɡ京(北京)(京城)ān安(安全)(安心)mén门(天安门)(门前)ɡuǎnɡ广(广场)(广大) fēi非(非常)(是非)chánɡ常(正常)(常常)zhuànɡ壮(壮观)(壮大)ɡuān观(观看)(观众)3《一个接一个》jiē接(接力)(接近) jiào觉(睡觉)(午觉) zài再(再来)(再见)zuò做(做好)(做事)ɡè各(各位)(各地) zhǒng种(各种)(种子)yànɡ样(样子)(一样) mènɡ梦(做梦)(美梦) huǒ伙(伙食)(伙伴)bàn伴(同伴)(伴舞) què却(忘却)(了却) qù趣(有趣)(趣味)zhè这(这么)(这里)4、《四个太阳》tài太(太阳)(太多) yánɡ阳(阳光)(阳台) dào道(街道)(道路)sònɡ送(送给)(送人) mánɡ忙(帮忙)(大忙) chánɡ尝(尝尝)(品尝)xiānɡ香(香甜)(香水) tián甜(甜美)(甜点)wēn温(温泉)(水温)nuǎn暖(温暖)(暖气)ɡāi该(应该)(理该) yán颜(颜色)(颜料)yīn因(因为)(因果)语文园地二liànɡ辆(一辆)(车辆) pǐ匹(马匹)(一匹马) cè册(一册书)(手册)zhī支(一支笔)(支出) qiān铅(铅笔)(铅球)kē棵(一棵树)jià架(一架飞机)5《小公鸡和小鸭子》kuài块(一块)(石块) zhuō捉(捉住)(捉鱼) jí急(急忙)(急救)zhí直(一直)(笔直) hé河(小河)(河水) xínɡ行(不行)(行动)sǐ死(淹死)(死活) xìn信(信心)(相信)ɡēn跟(跟头)(跟前)hū忽(忽然)(忽视) hǎn喊(大喊)(喊声)shēn身(身边)(身体)6、《树和喜鹊》zhǐ只(只是)(只有) wō窝(鸟窝)(燕窝)ɡū孤(孤单)(孤立)dān单(单双)(单元) zhònɡ种(种树)(种田) dōu都(都有)(都会)lín邻(邻里)(邻近) jū居(邻居)(居民)zhāo招(招手)(招生)hū呼(招呼)(呼叫) jìnɡ静(安静)(静坐) lè乐(快乐)(欢乐)7、《怎么都快乐》zěn怎(怎么)(怎样) dú独(独自)(独立) tiào跳(跳舞)(跳水)shénɡ绳(跳绳)(绳子) jiǎnɡ讲(讲话)(讲台) děi得(就得)yǔ羽(羽毛)(羽扇) qiú球(球员)(球门) xì戏(游戏)(看戏)pái排(排球)(排队) lán篮(篮球)(竹篮) lián连(连线)(相连)yùn运(运动)(运气)第四单元8《静夜思》yè夜(夜晚)(夜色)sī思(思想)(思路) chuánɡ床(床前)(床头)ɡuānɡ光(月光)(光明) yí疑(疑问)(怀疑) jǔ举(举头)(举手)wànɡ望(望远镜)(看望)dī低(低头)(低下)ɡù故(故乡)(故事)9、《夜色》dǎn胆(胆子)(大胆)ɡǎn敢(勇敢)(敢于) wǎnɡ往(往外)(往来)wài外(外面)(里外) yǒnɡ勇(勇气)(勇士)chuānɡ窗(窗外)(窗户)luàn乱(乱跳)(乱说) piān偏(偏要)(偏爱) sàn散(散步)(散开)yuán原(原来)(原因) xiānɡ像(好像)(像样)wēi微(微笑)(微小)duān端(端午节)(端正) zonɡ粽(粽子)(甜粽) jié节(节日)(春节)zǒnɡ总(总会)(总是) mǐ米(大米)(糯米) jiān间(时间)(中间)fēn分(分给)(分开) dòu豆(红豆)(豆子) ròu肉(鲜肉)(肉片)dài带(带回)(带动) zhī知(知道)(知足) jù据(据说)(根据)niàn念(纪念)(念书)11、《彩虹》hónɡ虹(彩虹)(长桥) zuò座(一座)(座位) jiāo浇(浇花)(浇水)tí提(提升)(提高) sǎ洒(洒水)(洒落) tiāo挑(挑水)(挑食)xìnɡ兴(高兴)(兴趣) jìnɡ镜(镜子)(镜头) ná拿(拿出)(拿走)zhào照(光照)(照片) qiān千(秋千)(千万) qún裙(裙子)(花裙)语文园地四méi眉(眉毛)(眉头) bí鼻(鼻子)(鼻头) zuǐ嘴(嘴巴)(嘴里)bó脖(脖子)(脖圈) bì臂(手臂)(臂力) dù肚(肚子)(肚皮)tuǐ腿(小腿)(大腿) jiǎo脚(脚尖)(脚步)第五单元 5、《动物儿歌》qīnɡtínɡ(蜻蜓) mí迷(迷人)(迷路) cánɡ藏(藏书)(捉迷藏)zào造(造句)(造林)mǎyǐ(蚂蚁) shí食(食物)(食品)liánɡ粮(粮食)(粮油) zhīzhū(蜘蛛)wǎnɡ网(结网)(网上)6、《古对今》yuán圆(方圆)(圆形) yán严(严冬)(严重) hán寒(严寒)(寒冷)kù酷(冷酷)(酷热) shǔ暑(酷暑)(中暑) liǎnɡ凉(秋凉)(冰凉)chén晨(早晨)(晨光) xì细(细雨)(细心) zhāo朝(朝阳)(朝气)xiá霞(朝霞)(彩霞) xī夕(夕阳)(朝夕) yánɡ杨(杨柳)(白杨)7、《操场上》cāo操(操心)(操作)chǎnɡ场(操场)(场地) bá拔(拔河)(拔牙)pāi拍(拍皮球)(拍手)pǎo跑(跑步)(跑车) tī踢(踢球)(踢飞)línɡ铃(铃声)(铃儿) rè热(热爱)(热情) nào闹(热闹)(闹钟)duàn liàn(锻炼) tǐ体(身体)(体力)zhī之(之前)(之后) chū初(初步)(初中) xìnɡ性(本性)(性别)shàn善(善良)(善心) xí习(学习)(习性) jiào教(教师)(教育)qiān迁(迁入)(迁出)ɡuì贵(贵重)(贵阳) zhuān专(专心)(专家)yòu幼(幼小)(年幼) yù玉(玉米)(美玉) qì器(玉器)(成器)yì义(义工)(义气)语文园地五fàn饭(吃饭)(饭菜) nénɡ能(能力)(能干)bǎo饱(吃饱)(饱和)chá茶(泡茶)(茶叶) pào泡(泡泡)(泡面) qīnɡ轻(轻轻)(轻声)biān pào(鞭炮)第六单元 12、《古诗两首》shǒu首(首都)(首先) zōnɡ踪(踪迹)(踪影) jì迹(事迹)(足迹)fú浮(浮云)(浮动) pínɡ萍(浮萍)(绿萍) quán泉(泉眼)(泉水)liú流(细流)(流水)ài爱(爱心)(爱好) róu柔(柔和)(柔美)hé荷(荷花)(小荷) lù露(露水)(露天)jiǎo角(尖角)(眼角)13《荷叶圆圆》zhū珠(水珠)(珠子) yáo摇(摇篮)(摇头)tǎnɡ躺(躺下)(躺椅)jīnɡ晶(亮晶晶)(晶体) tínɡ停(停车)(停水) jī机(飞机)(机会)zhǎn展(展开)(展会) tòu透(透明)(透气) chìbǎnɡ(翅膀)chànɡ唱(歌唱)(合唱) duǒ朵(云朵)(耳朵)14《要下雨》yāo腰(腰间)(弯腰) pō坡(山坡)(上坡) chén沉(阴沉沉)(沉重)shēn伸(伸腰)(伸手) cháo shī(潮湿) ne呢(说呢)(看呢)kònɡ空(有空)(空地) mēn闷(闷热)(闷气) xiāo消(消失)(消化)xī息(消息)(气息) bān搬(搬家)(搬走)xiǎnɡ响(响声)(响应)语文园地六ɡùn棍(冰棍)(棍子) tānɡ汤(绿豆汤)(汤圆) shàn扇(扇子)(扇贝)yǐ椅(竹椅)(椅子) yínɡ萤(萤火虫)(萤光) qiān牵(牵牛)(牵手)zhī织(织女)(织布) dǒu斗(北斗)(星斗)15、《文具的家》jù具(文具)(家具) cì次(一次)(这次) diū丢(丢东西)(丢失)nǎ哪(哪里)(哪儿) xīn新(新年)(全新) měi每(每天)(每次)pínɡ平(平安)(平时) tā她(她们)(她家) xiē些(这些)(一些)zǐ仔(仔细)jiǎn检(检票)(检点) chá查(检查)(查看)suǒ所(所有)(所以)16《一分钟》zhōnɡ钟(时钟)(分钟) yuán元(元旦)(元月) chí迟(迟早)(迟到)xǐ洗(洗脸)(洗手) bēi背(背包)(背上)ɡānɡ刚(刚才)(刚好)tàn叹(叹气)(叹息)ɡōnɡ共(公共)(共同) qì汽(汽车)(汽油)jué决(决定)(决心) dìnɡ定(定时)(一定) yǐ已(已经)(已知)jīnɡ经(经常)(经过)17《动物王国开大会》wù物(动物)(物品) hǔ虎(老虎)(马虎) xiónɡ熊(大熊)(熊猫)tōnɡ通(通过)(通知) zhù注(注重)(注明) yì意(注意)(意思)biàn遍(遍地)(遍布)bǎi百(百姓)(百合) shé舌(舌头)(舌尖)ɡuǐ鬼(鬼子)(魔鬼)liǎn脸(笑脸)(脸色) zhǔn准(准备)(准时)dì第(第一)(门第)18《小猴子下山》hóu猴(猴子)(猴王) jiē结(结果)(结实) bāi掰(掰开)(掰弯)kánɡ扛(扛起)(扛走)mǎn满(满地)(结满) rēnɡ扔(扔下)(扔进)zhāi摘(摘花)(摘要) pěnɡ捧(手捧)(捧场)ɡuā瓜(西瓜)(瓜果)bào抱(抱起)(抱头) bènɡ蹦(蹦床)(蹦跳) zhuī追(追求)(追问)语文园地七chǎo吵(吵闹)(吵人) pànɡ胖(胖瘦)(胖乎乎) suì岁(岁月)(年岁)xiàn现(现在)(现场) piào票(车票)(门票) jiāo交(上交)(交给)ɡōnɡ弓(长弓)(弓箭)ɡān甘(甘心)(甘苦)19《棉花姑娘》mián棉(棉花)(棉衣) niánɡ娘(姑娘)(娘亲) zhì治(治病)(治国)yàn燕(燕子)(飞燕) bié别(别人)(告别)ɡān干(树干)(干活)rán然(自然)(忽然) qí奇(惊奇)(奇想) kē颗(颗粒)(一颗星)piáo瓢(瓢虫)(水瓢) bì碧(碧绿)(碧水) tǔ吐(吐出)(吐气)lā啦(啦啦队)20《咕咚》ɡūdōnɡ(咕咚) shú熟(成熟)(熟人) diào掉(掉进)(掉头)xià吓(吓人)(惊吓) lù鹿(小鹿)(鹿角) táo逃(逃跑)(逃生)mìnɡ命(逃命)(生命) xiànɡ象(大象)(象牙) yě野(野牛)(田野)lán拦(拦住)(拦车) lǐnɡ领(带领)(领先)21《小壁虎借尾巴》bì壁(壁虎)(壁画) qiánɡ墙(墙壁)(墙角) wén蚊(蚊子)(蚊香)yǎo咬(咬住)(咬牙) duàn断(咬断)(果断) nín您(您好)(您好)bō拨(拨水)(拨打)shuǎi甩(甩开)(甩头)ɡǎn赶(赶快)(赶走)fánɡ房(房间)(房子)shǎ傻(傻孩子)(傻笑)zhuǎn转(转身)(转发)语文园地八wèi卫(卫生)(卫星) shuā刷(牙刷)(刷牙) shū梳(梳子)(梳头)jīn巾(毛巾)(纸巾) cā擦(擦手)(擦干) zào皂(肥皂)(皂角)zǎo澡(洗澡)(澡堂) pén盆(脸盆)(花盆)。
生字表(一)识字1 万丁冬百齐1 说话朋友春高2 你们红绿花草3 爷节岁亲的行4 古声多处知忙识字2 洗认扫真父母5 爸全关写完家6 看着画笑兴会7 妈奶午合放收8 女太气早去亮识字3 和语千李秀香9 听唱连远定向10 以后更主意总11 先干赶起明净12 同工专才级队识字4 蚂蚁前空房网13 诗林童黄闭立14 是朵美我叶机15 她他送过时让16 吗吧虫往得很17 河姐借呢呀哪识字5 谁怕跟凉量最18 园因为脸阳光19 可石办法找许20 别到那都吓叫21 再象像做点照识字6 沙海桥竹军苗22 井乡面忘想念23 王从边这道24 贝原男爱虾跑25 吹地快乐老师识字7 短对冷淡热情26 拉把给活种吃27 练习苦学非常28 问间伙伴共汽29 分要没位孩选识字8 北南江湖秋30 只星雪帮请就31 球玩跳桃树刚32 兰各坐座带急33 名发成晚动新34 有在什么变条(共250个字)要求:会认、会读、会写生字表(二)识字1万复苏柳歌舞冰泉百齐争鸣1 醒雷澡枝软梳梢耍2 线论趣题底颜淋洒滴油欢3 邓植节岁龄息站行扶栽亲4 诗首眠处闻村居醉烟童散忙语文园地一评访挤邮局轿钱识字2懂貌教认错事改愿碗筷扫夸5 全奇妙却精赛掉完换员音蹈6 胖喜张刚贴墙替拖鞋帮变情7 棉照晒被盖收脱躺合摆8 帘背装另顾病太累医悄离户语文园地二票元旦值篇遍识字3雾霜朝霞夕蝶蜂碧紫李杨秀9 蛋取凉定捧连轻仿佛投向10 聪活泼忽然眨如总以主意11 先鹿慢积鼻脑袋怪推辆赶净12 失级观围专准备队请双各语文园地三字代舌页弓秒炒识字4蜻蜓展蝴蚯蚓运蝌蚪蜘蛛网13 所牧捕蝉闭池惜阴柔露14 荷珠摇篮停坪透翅膀蹲嘻15 莲哭睁趴根腰感激谢急时16 坡割闷伸喊潮湿消搬阵哗17 壁虎借蚊蛇逃难姐新语文园地四擦抄拾摔拨拦摸识字5团量相遇及怕攻互尊重令纯18 挂街熟尝甜温冻脸该因季19 乌鸦喝渴瓶石办法渐20 司假缸别慌吓块使劲砸破救21 称官腿柱议杆秤倒艘沉止微语文园地五矮瘦暗丑闲旧识字6鸥滩军舰帆秧稻溪竿铜号领22 忘挖席导革命战士解刻念23 助哨敌荡顺突枪杀害英雄冲部24 宽虾脚捡贝壳奔密匹市楼25 吹祝贺希祖国羽丰勇敢理敬度语文园地六厂甲申句兄识字7 虚骄傲诚实赢赞招嫌26 翻浇施肥饿候挑担27 狮整练滚扑咬苦懒洋吞将靠28 餐丢矿糟糕粗概共汽记保管夹29 盆位选并宣分芽规盛丝表煮语文园地七饼饮饺猪狼识字8 初眉辨斗湖即雁归转寒30 姑娘蚜盼治啄斑31 俩摘伯而且踢引32 梁程波架特砖驶划采薄巧稳33 郊列弄查速断提修建世界创梦名34 灰迎阿姨追顶披鼓语文园地八甘埋闯掰跌(共550个字)要求:会认、会读。
汉语拼音3、爸妈我(爸爸)(妈妈)(我们)4、大米土地马大:(大方)(大人)(大小)米:(米饭)(米面)(米线) 土:(土地)(土里)(风土) 地:(地上)(地理)(地下) 马:(马上)(大马)(马奶)5、花哥弟个画花:(花生)(花朵)(花儿)哥:(哥哥)(哥们)(哥俩)弟:(弟弟)(弟子)个:(个子)(个人)(一个)画:(画家)(画画)(画眉)6、下洗衣服鸡下:(下午)(下来)(上下)洗:(洗衣机)(洗车)(清洗)衣:(衣服)(大衣)(衣料)服:(服装)(服饰)(服务)鸡:(母鸡)(公鸡)(小鸡)7、做过了不乐做:(做饭)(做作业)(做工)过:(过去)(过来)(过往)了:(吃了)(开心了)不:(不行)(不好)(不去)乐:(乐极生悲)(乐趣)(乐土)8、出读书骑车的话出:(出去)(出门)(出入)读:(读书)(读物)(读音)书:(书本)(书面)(书架)骑:(骑车)(骑马)(骑兵)车:(车辆)(车子)(车库)的:(好的)(坏的)话:(电话)(话语)(说话)9、你他水白皮子在你:(你们)(你死我活)他:(他们)(他人)(他乡)水:(水中)(水平)(水表)白:(白色)(白菜)(白人)皮:(皮毛)(皮肤)(皮包)(皮尺)子:(子女)(子孙)(子夜)在:(在家)(在乎)(在职)10、小爱吃鱼和牛草好小:(小时)(小学)(小数)爱:(爱好)(爱护)(爱国)吃:(吃饭)(吃力)(吃苦)鱼:(鱼虫)(鱼苗)(鱼肉)和:(和亲)(和尚)(和气)牛:(黄牛)(牛气)(牛劲)草:(草木)(草书)(草鱼)好:(好人)(好汉)(好笑)11、家飞机有儿河入校家:(家人)(家庭)(家里)飞:(飞跃)(飞扬)(飞行)机:(机组)(机器)(机床)有:(有劳)(有关)(有为)儿:(儿子)(儿歌)(儿女)12、山田左片右半云她山:(山沟)(山脚)(山歌)田:(田地)(田七)(田园)左:(左边)(左手)(左方)片:(片面)(片段)(片刻)右:(右边)(右手)(右方)半:(半边)(半圆)(半径)云:(云彩)(白云)(云朵)她:(她们)(她人)13、老师文朵鹅条雨天桥老:(老人)(老家)(老师)师:(师傅)(教师)(师爷)文:(文章)(文采)(文明)花:(花朵)(朵儿)鹅:(白鹅)(大鹅)(鹅掌)条:(条件)(条令)(条幅)下:(下雨)(雨天)(暴雨)天:(天空)(天下)(蓝天)桥:(大桥)(桥面)(桥墩)识字(一)1、一去二三里四五六七八九十去:(去处)(去火)(去路)里:(里面)(里边)(里子)2、口耳目羊鸟兔日月火木禾竹口:(口中)(口才)(口角)耳:(耳朵)(耳目)(双耳)目:(目光)(目标)(目的)羊:(羊毛)(羊羔)(羊绒)鸟:(鸟蛋)(鸟枪)(鸟语花香)兔:(兔子)(白兔)(兔毛)日:(日光)(日子)(日本)月:(月亮)(月光)(月色)火:(火苗)(着火)(火光)木:(木头)(木耳)(树木)禾:(禾苗)(禾场)竹:(竹子)(竹排)(竹筏)3、沙发报纸台灯电视晚上送果笑也沙:(沙发)(沙子)(沙土)发:(发现)(发财)(发明)报:(报告)(报纸)(报信)台:(电台)(台湾)(台灯)灯:(灯光)(电灯)(灯会)电:(发电)(电力)(电机)视:(视频)(视力)(视网膜)晚:(晚间)(晚会)(晚上)上:(上来)(上下)(上学)送:(送礼)(送客)(送花)果:(果品)(果子)(糖果)笑:(笑话)(笑脸)(笑了)也:(也好)(也许)(也行)4、打球拔拍跳高跑步足响课真身体打:(打人)(打架)(打球)球:(足球)(球体)(球形)拔:(拔苗助长)(拔高)(拔河)拍:(拍打)(拍球)(拍手)跳:(跳远)(跳高)(跳板)高:(高处)(高低)(高贵)跑:(跑车)(跑马)(跑腿)步:(步伐)(步调)(步子)足:(足够)(足下)(足以)响:(响亮)(音响)(响声)课:(课本)(课间)(课堂)真:(真好)(真的)(真假)身:(身上)(身材)(身体)体:(体育)(体质)(体会)课文1、远色近听无声春还人来惊远:(远处)(远方)(远古)色:(色彩)(色觉)(色差)近:(近来)(近处)(近景)听:(听话)(听见)(听说)无:(无声)(无人)(无处不在)声:(声音)(声响)(声明)春:(春天)(春暖花开)(春节)还:(还有)(还来)(还在)人:(人民)(人间)(人们)来:(来到)(来回)(来往)惊:(惊动)(惊吓)(惊蛰)2、对说是叶圆夏秋雪肚就冬对:(对待)(对面)(对歌)说:(说话)(说辞)(说明)是:(可是)(是非)(是的)叶:(叶子)(叶公好龙)(叶片)圆:(圆形)(圆圈)(圆脸)夏:(夏天)(夏至)(夏季)秋:(秋季)(秋天)(立秋)雪:(雪人)(下雪)(雪花)肚:(肚子)(肚脐)(肚量)就:(就是)(就算)(就行)冬:(冬至)(冬天)(冬季)3、排中游流唱两岸树苗绿江南排:(排长)(排列)(竹排)中:(中间)(中游)(中立)游:(游泳)(游荡)(游民)流:(漂流)(流水)(流程)唱:(唱歌)(唱本)(唱戏)两:(两个)(两人)(两岸)岸:(岸边)(岸上)(河岸)树:(树木)(树苗)(大树)苗:(苗木)(苗条)(苗族)绿:(绿色)(绿油油)(绿灯)江:(江河)(江面)(江南)南:(南方)(南面)(南瓜)4、哪座房漂亮青门窗香屋要们哪:(哪边)(哪里)(哪怕)座:(座次)(座位)(座右铭)房:(房子)(房间)(房屋)漂:(漂亮)(漂亮话)青:(青豆)(青春)(青菜)门:(门户)(屋门)(门面)窗:(窗户)(窗台)(窗帘)香:(香气)(香纯)(香水)屋:(屋子)(屋顶)(屋面)要:(要好)(要害)(要领)们:(人们)(他们)(我们)5、爷棵到给穿暖冷开伞热爷:(爷们)(爷爷)棵:(棵子)(一棵树)到:(到达)(到处)(到底)给:(给了)(给面子)穿:(穿着)(穿衣)(穿上)暖:(暖和)(暖气)(温暖)冷:(冷风)(冷气)(寒冷)开:(开始)(开关)(开放)雨:(雨伞)(伞兵)(太阳伞)热:(热闹)(热气)(热水)6、静夜床光举头望低故乡静:(静电)(静悄悄)(静止)夜:(夜晚)(夜色)(深夜)床:(床头)(床单)(床位)光:(光明)(光亮)(阳光)举:(举手)(举重)(举例)头:(头发)(头脑)(头顶)望:(望远镜)(望子成龙)(望梅止渴)低:(低下)(低头)(低处)故:(故事)(缘故)(故乡)乡:(乡亲)(乡里)(家乡)7、船弯坐只看见闪星蓝船:(船只)(船舶)(轮船)弯:(弯度)(弯曲)(弯路)坐:(坐下)(坐标)(坐垫)只:(只有)(只要)(只好)看:(看见)(看病)(看台)见:(见到)(见识)(见好)闪:(闪烁)(闪光)(闪耀)星:(星光)(星辰)(星星)蓝:(蓝天)(蓝色)(蓝图)8、阳像金野更面长早晨拉进谁阳:(阳光)(阳刚)(阳春)像:(画像)(像样)(像素)金:(金子)(金灿灿)(金色)野:(田野)(野外)(野兽)更:(更好)(更长)(更行)面:(面粉)(面条)(面子)长:(长寿)(长方形)(长工)早:(早晨)(早读)(早上)晨:(晨曦)(清晨)(晨光)拉:(拉面)(拉手)(拉扯)进:(进口)(进入)(进去)谁:(谁家)(谁的)9、影前后常跟着黑狗它朋友影:(影子)(影响)(倒影)前:(前面)(前方)(前后)后:(后面)(后方)(后退)常:(经常)(常年)(常规)跟:(跟着)(跟踪)(跟上)黑:(黑色)(黑暗)(黑天)熊:(狗熊)(狗腿子)(黑狗)它:(它的)(它们)朋:(朋友)(朋党)(宾朋满座)友:(友善)(友谊)(友好)10、比尾巴短把猴松鼠扁最公鸭比:(比赛)(比方)(比喻)尾:(尾巴)(尾气)(末尾)巴:(巴望)(巴豆)(巴结)短:(短小)(短处)(短浅)把:(把握)(把手)(把风)猴:(猴子)(猴急)(猴皮筋)松:(松土)(松树)(松木)鼠:(老鼠)(鼠目寸光)(鼠辈)扁:(扁担)(扁豆)(扁桃体)最:(最好)(最后)(最近)公:(公共)(公开)(公鸡)鸭:(鸭子)(鸭蛋)(鸭嘴兽)识字(二)1、黄猫杏桃苹红边多少群颗堆黄:(黄色)(黄包车)(黄昏)猫:(猫眼)(猫步)(小猫)杏:(杏仁)(杏子)(杏眼)桃:(桃子)(桃李)(胡桃)苹:(苹果)(苹果绿)边:(边塞)(边疆)(路边)多:(多少)(多亏)(多音字)少:(稀少)(少数)(少许)群:(群众)(人群)(群体)颗:(颗粒)堆:(成堆)(堆放)(堆积)2、商场包奶牙毛笔尺作业本东西商:(商人)(商家)(商品)场:(场合)(广场)(场院)包:(包子)(包袱)(书包)奶:(奶奶)(奶制品)(奶牛)牙:(牙齿)(牙刷)(牙龈)毛:(毛笔)(毛发)(毛巾)笔:(铅笔)(笔直)(笔筒)尺:(尺子)(尺寸)(尺度)作:(作业)(作文)(作物)本:(本子)(本分)(本来)东:(东面)(东边)(东西)西:(西瓜)(西方)(西面)3、菜园豆角萝卜心又捉迷藏嘴越风菜:(菜园)(青菜)(白菜)园:(园丁)(园林)(园区)豆:(豆子)(豆腐)(豆包)角:(角落)(三角形)(角度)萝:(萝卜)(萝卜花)心:(心脏)(心理)(心情)又:(又来)捉:(捉住)(捉拿)(捉弄)迷:(迷失)(猜谜)(谜语)藏:(埋藏)(藏躲)(藏书)嘴:(嘴巴)(嘴唇)(嘴硬)越:(越发)(越权)(越野赛)风:(风气)(刮风)(风筝)4、明鲜尘尖灭力男休手林森从众明:(明白)(明理)(明镜)鲜:(鲜艳)(鲜红)(新鲜)尘:(尘土)(尘埃)(灰尘)灭:(灭亡)(毁灭)(消灭)力:(力气)(力量)(水力)男:(男人)(男孩)(男生)休:(休息)(休克)(休眠)手:(手表)(手电筒)(手术)林:(林业)(林场)(林区)森:(森林)(森严)(森然)从:(从前)(从犯)(从事)众:(群众)(大众)(众多)课文11、想告诉路能走北京城安广升旗想:(思想)(理想)(想家)告:(告知)(告白)(告示)诉:(诉说)(诉苦)(告诉)路:(路口)(路边)(马路)能:(能力)(能量)(能源)走:(走路)(走进)(行走)北:(北风)(北方)(南北)京:(京城)(京剧)(京师)城:(城市)(城墙)(西城)安:(保安)(安全)(天安门)广:(广大)(广播)(广义)升:(升旗)(升起)(升级)旗:(旗杆)(国旗)(红旗)(旗帜)12、点数清彩飘落空问回答方点:(一点)(好点)(点滴)数:(数一数二)(数不清)(数数)清:(清楚)(清明)(清风)彩:(彩色)(彩虹)(七彩)飘:(飘扬)(飘动)(轻飘飘)落:(落叶)(月落)(落日)空:(空白)(空气)(天空)问:(问题)(提问)(问卷)回:(回家)(回答)(回报)答:(答案)(答题)(答复)方:(方向)(四方)(方位)13、平搭间这些都住呢啊没很平:(平常)(平均)(平日)搭:(搭车)(搭伙)(搭救)间:(房间)(空间)(时间)这:(这里)(这边)(这个)些:(一些)(多些)(有些)都:(都好)(都有)(都在)住:(居住)(住户)(住家)呢:(人呢)(这呢)(哪呢)啊:(好啊)(快啊)(行啊)没:(没有)(没了)(没用)很:(很多)(很好)(很高)14、自己吧您带吗深学会那景美自:(自我)(自习)(自立)己:(知己知彼)(舍己救人)(自己)吧:(走吧)(好吧)(做吧)您:(您好)(您们)(您请)带:(带走)(带话)(带领)吗:(干吗)(好吗)(走吗)深:(深红)(深入)(深夜)学:(学习)(学问)(大学)会:(开会)(会议)(一会儿)那:(那里)(那边)(那时)景:(景色)(景山)(景观)美:(美丽)(美术)(美妙)14、次瓜燕什么样得再可仔细兴现次:(次要)(几次)(次数)瓜:(西瓜)(瓜棚)(瓜瓤)燕:(燕子)(飞燕)(燕雀)什:(什么)(为什么)(什锦)么:(怎么样)(这么)(对么)样:(样子)(一样)(好样的)得:(见得)(拿得动)(得到)再:(再见)(再说)(再来)可:(可以)(可怜)(可爱)细:(仔细)(细致)(细心)(粗细)兴:(高兴)(兴奋)(兴致勃勃)现:(现在)(现有)(出现)16、找生旁种许格外艳呀每言语找:(找人)(找朋友)(找事)生:(生命)(一生)(生活)旁:(旁边)(一旁)(旁人)种:(种子)(种树)(种地)许:(许多)(许久)(允许)格:(格子)(方格)(格外)外:(外语)(门外)(外面)艳:(鲜艳)(红艳艳)(艳阳天)呀:(好呀)(行呀)(对呀)每:(每天)(每月)(每日)言:(语言)(前言)(宣言)语:(语文)(语音)(语速)17、啦梅用几成蛙为参加洞睡啦:(好啦)(坏啦)(醒啦)梅:(梅花)(腊梅)(梅花鹿)用:(用一用)(用意)(好用)几:(几个)(几盒)(几人)成:(成功)(成立)(合成)蛙:(青蛙)(牛蛙)(蛙泳)为:(为什么)(为啥)(为何)参:(参加)(参会)(参与)加:(加法)(加减)(加快)洞:(洞口)(洞穴)(黑洞)睡:(睡觉)(睡莲)(睡醒)18、放布熊快怎饭班拿正礼物今放:(放学)(放假)(解放军)布:(布丁)(布衣)(红布)熊:(狗熊)(熊猫)(树袋熊)快:(快跑)(快乐)(快来)怎:(怎么)(怎样)(怎能)饭:(吃饭)(米饭)(稀饭)班:(班长)(美术班)(班主任)拿:(拿到)(拿分)(拿卡)正:(正确)(正负)(正好)礼:(礼品)(彩礼)(礼貌)物:(物质)(物理)(物体)今:(今天)(今宵)(当今)19、孩让起玩往觉烧知道化孩:(孩子)(女孩)(男孩)让:(让一让)(让座)(让开)起:(一起)(起来)(起身)玩:(玩具)(玩耍)(好玩)往:(往事)(来往)(往回走)觉:(睡觉)(一觉)烧:(发烧)(烧火)(烧完)知:(知道)(知名)(知情)道:(道德)(道理)(道路)化:(化学)(化开)(化验)20、砍造满舍结年直动束丽砍:(砍柴)(砍树)(砍刀)造:(造就)(造句)(造假)满:(满载而归)(满口)(满怀)舍:(舍得)(舍弃)(舍身)结:(结余)(结果)(结束)年:(过年)(年年有余)(年货)直:(一直)(直接)(直尺)动:(动作)(活动)(动力) 束:(结束)(束手无策)(一束花) 丽:(丽江)(丽水)(美丽)。
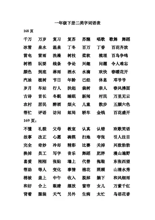
一年级下册二类字词语表168页千万万岁复习复苏苏醒唱歌歌舞舞蹈冰雪泉水温泉丁冬百万丁香百花齐放雷电雷雨洗澡树枝柔软梳理百鸟争鸣树梢玩耍线条争论兴趣问题令人难忘颜色到底淋雨洒水水滴欢快春暖花开汽油植树节日年龄已经休息邓爷爷岁月车站行人扶起栽树亲人春风拂面古诗首长冬眠睡眠新闻村民万里无云农村居民醉酒烟火儿童散步五颜六色帮忙评语访问邮局轿车金钱百花盛开169页:不懂礼貌父母教室认真认错欢歌笑语故事改正心愿碗筷扫地夸张引人注目完全奇妙冷却精彩比赛关掉兴致勃勃换掉员工写字音乐舞蹈肥胖漫山遍野喜爱刚刚张贴墙上代替拖鞋东张西望帮助等人变化事情棉花照顾山清水秀棉被盖上中午收入脱掉躺下和风细雨和好合上眼睛摆放窗帘女儿万紫千红背着服装天气另外生病太忙鸟语花香劳累门票元旦值日一篇遍地聪明活泼170页:云雾霜雪朝霞夕阳蝴蝶蜜蜂李树杨柳秀美鸟蛋争取一定捧着连忙仿佛抬头投入方向忽然眨眼如果总是以后注意凉快先生小鹿慢步积雪鼻子脑袋奇怪推车车辆赶快不久干净失散年级同学观众围墙工人专心准备队员人才请坐双手各位写字代替舌头页码弓箭秒表炒菜171页:蜻蜓发展蚯蚓蚂蚁运动蝌蚪蜘蛛上网所以牧童捕捉鸣蝉关闭立正水池可惜阴天晴天柔和露水荷花水珠摇篮水晶停车透明翅膀蹲下莲叶停止坪笑嘻嘻哭声睁开趴下根本山腰爬山非常感激感谢急忙时间山坡收割闷热伸手叫喊潮湿虫子消息搬家一阵哗然壁虎借书蚊子水蛇逃跑困难姐姐新年擦汗抄写收拾摔跤拨打拦住摸黑172页:团员力量相同遇到及时害怕进攻互相尊重命令单纯挂包大街成熟伙伴品尝甜品温暖冷冻笑脸应该因为四季乌鸦喝水口渴花瓶石头办法渐渐司机假如水缸别人慌张吓人叫声一块使劲砸缸砸破救人称象大官后腿柱子议论秤杆倒车一艘下沉停止微笑矮小瘦小黑暗丑事闲人陈旧破旧173页:大海海鸥海滩海军军舰帆船秧苗池塘小溪竹竿铜钱小号领导忘记挖井红领巾主席领导革命战士解放时刻想念念书王子帮助放哨敌人扫荡顺利顺风突然手枪枪杀杀害英雄冲动部分部队宽大宽松小虾脚面捡起贝壳蛋壳原来草原奔跑茂密布匹马匹城市楼房吹风祝贺庆祝贺卡希望祖国中国自由由于羽毛丰收勇敢勇士不敢总理理由敬爱温度长度工厂厂长甲方申请句子兄长兄弟174页:虚心骄傲冷淡诚实赢利称赞招手翻开浇水浇花施肥饿死时候挑水担子扁担狮子整齐练习滚动扑打咬着苦笑苦瓜懒惰海洋云吞将来靠边懒洋洋可靠应该早餐丢失矿井糟糕粗心大概总共汽车忘记日记保管管理皮夹花盆座位人选并且宣布总分发芽规矩盛开丝瓜表兄煮饭饼干饮料饺子猪肉狼狗175页:初中眉毛分辨北斗星西湖立即大雁回归转学寒冷姑娘蚜虫盼望治病斑马他俩白玉兰啄木鸟摘花伯伯而且踢球引路桥梁工程电波一架特别砖头计划采取薄饼巧妙安稳郊游列车弄错检查速度不断提高世界修车建设创造美梦名字灰色迎接阿姨追上山顶披上打鼓甘甜埋下闯关掰开跌倒。
一年级下册二类字组词万:万能万一万岁万物复苏复:复习回复反复答复苏:苏醒苏州姓苏复苏柳:杨柳柳枝柳条柳叶歌:唱歌歌声歌舞诗歌舞:跳舞舞蹈舞动舞台冰:冰冻滑冰冰雪冰水泉:泉水清泉温泉喷泉丁:园丁人丁丁冬目不识丁百:百分百姓百合百发百中齐:齐全齐声齐心对齐鸣:争鸣鸣叫鸟鸣一鸣惊人醒:苏醒清醒醒目提醒雷:雷雨雷声打雷春雷澡:洗澡澡堂澡盆擦澡枝:枝叶枝头树枝枝条软:松软心软软和软弱梳:梳头木梳梳理梳洗梢:树梢发梢眉梢末梢耍:玩耍戏耍耍笑耍赖线:电线毛线直线线条论:争论讨论论文言论趣:有趣兴趣乐趣趣味题:问题题目话题答题底:年底海底井底到底颜:颜色颜面笑颜颜料淋:淋雨淋湿淋浴淋洒洒:洒水洒满飘洒泼洒滴:水滴雨滴点滴滴答油:油画石油油田油菜欢:欢乐欢心欢快欢笑邓:姓邓邓爷爷植:植树种植再植植物节:节日春节节气节目岁:岁月万岁太岁长命百岁龄:年龄学龄工龄高龄已:已往而已已过已知经:经过经常经理已经息:休息气息信息安息站:站立站台车站站队行:行人行动行走步行扶:扶手扶正扶贫扶起栽:栽树栽花栽倒栽种亲:亲人亲友亲自亲口古:古人古代古文古今中外诗:古诗诗人诗句诗歌首:首都首长首先首领眠:春眠休眠冬眠睡眠处:好处到处住处各处闻:耳闻见闻新闻趣闻村:村民村庄农村村长居:居住居室邻居居民醉:醉酒麻醉陶醉醉人烟:云烟烟草香烟炊烟童:童年儿童童话书童散:散步散开分散烟消云散忙:连忙急忙忙碌手忙脚乱评:评比评论好评批抨访:访问采访家访拜访挤:挤上挤车拥挤挤奶邮:邮票邮局邮购集邮局:局长大局结局局面轿:轿车花轿轿子坐轿钱:本钱金钱铜钱房钱懂:懂事懂得弄懂读懂貌:礼貌面貌相貌容貌父:父亲父爱父兄教父母:母亲母爱母子教:教室教师教育教学认:认真认识认错承认错:错事对错错误错过事:故事事情事先事业改:改正改错修改改变愿:心愿愿意许愿愿望碗:洗碗饭碗碗口铁碗筷:竹筷碗筷筷子长筷扫:扫地打扫清扫一扫而空夸:夸口夸大夸张夸奖全:全家安全完全全心全意奇:奇怪好奇新奇惊奇妙:美妙巧妙妙语奇妙却:了却却步冷却退却精:精心精明精神精彩赛:比赛赛马塞车赛跑关:关门开关关爱关闭掉:掉头掉包掉队丢掉完:完全做完完美完好换:交换换人变换换季员:队员会员员工球员写:写字写生书写轻描淡写音:音乐音节读音声音蹈:舞蹈手舞足蹈闻鸡起舞胖:肥胖胖乎乎胖子胖大海喜:喜欢喜爱喜事喜洋洋张:张开张望开张一张刚:刚才刚好刚巧刚强贴:贴画张贴贴近张贴墙:墙头城墙墙上墙纸替:代替替身替换替补拖:拖地拖把拖拉拖欠鞋:布鞋鞋油球鞋皮鞋帮:帮忙帮手帮助帮主等:等于等候等待等车情:心情友情事情热情变:变化变成改变变脸棉:棉花棉衣棉鞋棉袜照:关照照片照明照看晒:晒干日晒晒太阳暴晒被:裤子被动被害棉被盖:盖子盖上盖住瓶盖午:中午午睡午时上午收:丰收收入收工美不胜收脱:脱下脱发脱落洒脱躺:躺下躺倒躺着躺椅合:合眼合并合身天作之合眼:眼泪眼光眼看眼皮睛:眼睛定睛画龙点睛目不转睛摆:摆手摆动摆弄摇摆帘:门帘窗帘竹帘水帘女:女生女儿女孩金童玉女背:背包背带背负背起装:装着化装时装包装气:生气空气天气神气十足另:另外另有另眼相看顾:照顾回顾顾客光顾病:病人看病生病病情太:太阳太平太好太空累:劳累累倒太累很累医:医生医院牙医中医悄:静悄悄悄悄地离:离开分离离休离去户:户口住户用户户主票:车票邮票发票票友元:元老元月元首元音旦:元旦花旦一旦旦夕值:值日价值值班值得篇:长篇篇章篇幅一篇作文遍:遍地遍布普遍一遍雾:雾气云雾雾水大雾霜:冰霜霜冻秋霜结霜朝:朝气今朝朝阳朝夕霞:朝霞彩霞晚霞霞光夕:夕照夕阳除夕前夕蜂:密蜂蜂王马蜂蜂窝碧:碧绿碧蓝碧空碧玉紫:紫色紫花紫光万紫千红千:千万千古千金成千上万李:李子姓李桃李张冠李戴杨:杨树杨柳杨梅姓杨秀:秀美秀才秀气山清水秀蛋:鸡蛋脸蛋完蛋蛋壳取:取下取得争取听取凉:凉水凉气凉快冰凉定:立定定时一定定报捧:捧着吹捧捧场追捧连:连忙连长连线连接轻:年轻轻声轻重轻车熟路仿:相仿模仿仿造相仿佛:仿佛佛手佛面抬:抬头抬起抬高抬举投:投向投票投机投球向:向往志向方向向来欣欣向荣聪:聪明耳聪失聪聪慧活:活动生活活泼活捉泼:泼皮泼水泼洒活泼忽:忽然忽略忽视忽明忽暗然:自然然后果然显然眨:眨眼、眨巴如:如果如是如意如愿总:总是总理总共总而言之以:可以所以以后以身作则主:主张公主主持主力意:意思意见主意心意粗心大意先:首先事先先后先进鹿:小鹿鹿角鹿茸鹿头慢:慢车快慢傲慢缓慢积:堆积积极积累积雪鼻: 鼻子鼻孔鼻音鼻梁脑:脑袋脑门电脑动脑袋:袋子口袋衣袋袋鼠怪:奇怪怪物错怪责怪推:推车推开推广推动辆:车辆一辆赶:赶快赶忙赶场赶上久:久远长久永久不久干:干杯干草干果一干二净净:净化洁净洗净干干净净失:失手丢失过失失去级:班级年级高级考级同:同学同班同意相同观:观看观众观点参观围:包围围巾围观围墙工:工人工厂工作异曲同工专:专心致志专门专人专业准:准许准时对准准许备:备齐责备准备备课队:大队队伍队礼成群结队才:人才刚才才气才干请:请坐请客请进请问双:双手双方双人双份各:各自各处各人各种各样字:写字文字汉字识字代:后代古代年代代理舌:舌头学舌口舌舌尖页:页面书页页码活页弓:开弓弓箭弓腰弯弓秒:秒针分秒争分夺秒炒:炒作炒菜炒股炒饭蜻蜓蝴蝶蚯蚓蚂蚁蝌蚪蜘蛛运:运动运行运货幸运展:展开展品展现展览网:上网网络电网鱼网所:所有所以所见处所牧:放牧牧童牧草牧场捕:捕鱼捕食拘捕捕风捉影蝉:蝉鸣蝉衣蝉叫蝉联闭:闭口闭目关闭夜不闭户立:站立立正立春独立自主池:池水鱼池花池池塘惜:可惜爱惜叹惜珍惜阴:阴天阴雨树阴光阴晴:晴天晴空晴朗柔:柔弱温柔柔和柔软露:露水露出露天流露荷:荷花荷叶荷包荷塘珠:水珠珠宝汗珠眼珠摇:摇头动摇摇摆摇身篮:篮子花篮篮球摇篮晶:水晶晶体晶莹晶亮停:停车停电停止停放坪:草坪停机坪坪坝透:透气透明透过穿透翅:展翅鱼翅鸡翅翅膀膀:膀子肩膀臂膀蹲:蹲着蹲下蹲点蹲好嘻:笑嘻嘻嘻嘻哈哈莲:莲花莲子莲叶睡莲哭:哭泣哭声哭诉痛哭睁:睁开睁大睁眼趴:趴下趴着趴在趴好根:根本树根耳根草根腰:山腰腰身弯腰腰子爬:爬树爬山爬高爬行非:非常是非非凡非礼感:感动感情感人感谢激:激动激发感激激流谢:道谢谢谢谢绝谢意急:急时着急急忙紧急时:小时时间时候时节坡:山坡上坡坡地爬坡割:割草切割收割割让闷:闷热闷气太闷闷声不响伸:伸手伸展伸直伸开喊:喊叫喊话呼喊哭喊潮:潮气潮水潮湿潮流湿:淋湿湿润湿地温度虫:虫子害虫昆虫益虫消:消灭消失消气消息搬:搬家搬走搬运搬运阵:阵亡阵地阵雨阵势哗:哗啦壁:壁虎壁画墙壁虎:老虎虎穴虎头蛇尾借:借书借用借车借光蚊:蚊子蚊香蚊虫蚊帐蛇:蛇毒青蛇蛇胆牛鬼蛇神逃:逃跑逃走逃命逃学难:困难难看难受难听姐:小姐姐妹姐弟表姐新:新车新旧新闻新年擦:擦车擦脸擦油擦汗抄:抄书包抄摘抄抄家拾:收拾拾取拾金不昧摔:摔倒摔坏摔跤摔了拨:拨动拨弄拨开拨水拦:拦住拦接阻拦拦路摸:摸鱼摸底摸黑抚摸团:团长团员团结饭团量:力量数量少量海量相:相信相同相识相反遇:机遇遇见相遇遇到怕:害怕可怕怕人恐怕及:及格及时及早以及攻:攻打围攻进攻攻击互:相互互助互不相让尊:尊老尊敬尊重尊长令:命令令尊口令时令纯:纯正纯白纯洁纯真纯净重:体重重量重要重视挂:挂失挂表挂念挂件街:上街街头街灯街道熟:熟人熟睡熟识成熟伙:伙计同伙合伙伙伴伴:伴侣陪伴结伴同伴尝:品尝尝鲜尝试甜:甜蜜香甜甜美甜食温:高温温和气温温度冻:果冻冻冰冷冻冻结脸:洗脸笑脸脸色花脸该:应该不该活该该当因:因为因果因而因果报应季:四季季节雨季花季乌:乌云乌黑乌合乌亮鸦:乌鸦涂鸦鸦雀无声喝:喝水喝茶喝酒渴:口渴干渴渴求渴望瓶:水瓶瓶口花瓶瓶盖石:石头宝石石油落井下石办:办公办事办理办法法:法律法规法人方法渐:渐变渐长渐高逐渐司:司机司令公司司法假:假山假话造假真假缸:水缸鱼缸缸底别:别人告别分别别开生面慌:慌忙慌张心慌慌乱吓:吓人惊吓吓唬叫:叫声叫卖叫喊叫价块:块头石块冰块一块使:使劲使用天使使者劲:叫劲劲力用劲手劲有劲砸:砸开砸坏砸破砸手破:破灭破坏破旧破车救:救命急救得救抢救称:称呼名称称道自称秤:台秤电子秤地秤秤杆象:大象象牙景象气象万千官:官兵官场官员五官腿:大腿腿部前腿床腿议:议事议员会议议论杆:笔杆枪杆柱:柱子石柱圆柱支柱倒:倒水倒影倒车倒立艘:一艘船沉:下沉沉浮消沉沉思止:停止举止止步止住微:微笑微风细微微小矮:矮小高矮矮墙矮树瘦:瘦小瘦子瘦肉瘦弱暗:黑暗暗淡灰暗暗示丑:丑闻出丑小丑丑陋闲:休闲空闲闲谈闲心旧:怀旧旧地依旧破旧海:大海海水海鸟海军鸥:海鸥燕鸥沙鸥银鸥滩:海滩沙滩河滩岩滩军:海军军人军队千军万马舰:军舰舰队舰艇航空母舰帆:风帆帆船扬帆帆布秧:秧苗秧田秧歌插秧稻:稻田稻子稻米水稻塘:鱼塘水塘池塘荷塘溪:小溪溪水溪流竿:竹竿高竿钓竿立竿见影铜:铜号铜牌铜绿铜杯号:号角称号代号记号领:领会领口衣领要领忘:忘记忘本忘怀过目不忘挖:挖井挖土挖洞挖苦井:水井油井矿井进口井井有条席:主席凉席席位导:导电开导教导导师革:革命改革皮革革新命:使命生命命令救命战:战斗战场战争战士士:博士士兵女士护士解:解放分解解开解答刻:刻度立刻刻画深刻念:念书怀念思念念念不忘王:大王王子王后国王助:帮助助力助手助人为乐哨:哨兵哨所口哨哨子敌:敌人敌对敌意敌视荡:动荡扫荡飘荡荡秋千顺:顺路顺从顺利顺手突:突然突出突破突围枪:枪口手枪水枪枪声杀:杀害杀虫杀敌杀气害:害虫害处害怕害病英:英勇英明英语英雄雄:雄心雄鸡雄鹰雄伟冲:冲动冲突冲锋俯冲部:部分部队部首部下宽:宽大宽广宽阔宽敞虾:对虾虾米龙虾虾兵蟹将脚:山脚脚步脚印双脚捡:捡起捡拾捡柴贝:宝贝贝壳彩贝壳:外壳空壳蛋壳彩壳原:原来原本草原原野情有可原奔:奔驰奔跑奔波奔腾密:机密亲密精密细密市:城市市民市长市场匹:马匹布匹匹配匹敌楼:楼房高楼楼阁楼道吹:吹动吹气吹灯风吹草动祝:祝贺祝福祝愿庆祝贺:贺喜庆贺贺礼贺词希:希望希腊祖:祖国祖母祖先祖师国:国家国民国土爱国由:由于由来原由理由羽:羽毛羽绒羽翼羽纱丰:丰收丰美丰富丰满勇:勇气英勇勇敢勇往直前敢:敢于胆敢敢作敢当理:总理理由合理道理敬:敬礼敬爱敬业敬重度:高度度过过度欢度厂:工厂厂房木厂纱厂甲:甲虫甲方指甲甲壳申:申请申明申诉引申句:语句句子句号造句兄:兄长兄妹表兄弟兄虚:虚心虚汗虚实虚惊骄:骄阳骄子天骄骄兵傲:高傲傲气傲慢傲然淡:冷淡淡水淡季轻描淡写诚:诚信诚心诚恳诚意实:真实实心老实果实赢:赢得赢利输赢赢钱赞:赞扬赞成赞同称赞招:招手招认招领高招翻:翻动翻土翻身翻脸浇:浇水浇花浇地火上浇油施:实施施工施展施肥肥:肥实肥料化肥肥胖肥沃饿:饥饿挨饿饿死饿了候:候场等候气候问候候鸟挑:挑水挑食挑选挑夫担:扁担担子重担担水狮:狮子狮王雄狮舞狮整:平整整齐整理整合练:练习练笔练功勤学苦练习:学习习气复习习作滚:滚动滚热翻滚滚开扑:扑灭扑火扑面扑打咬:咬牙咬住咬定咬紧苦:辛苦刻苦苦学苦水懒:懒虫懒人懒汉偷懒懒惰洋:海洋大洋洋服洋人吞:吞咽吞没吞吐吞下将:将军将来将要将就靠:靠山靠近可靠靠背应:应用应该应当应许餐:午餐餐厅西餐快餐丢:丢失丢脸丢掉丢人矿:矿工矿山矿石矿灯糟:糟糕糟粕酒糟糟了糕:年糕糕点雪糕蛋糕粗:粗心粗细粗话粗话概:大概概括气概一概共:公共共同共有同甘共苦汽:汽油汽车汽水汽艇记:记录忘记记住日记笔记保:保护保全保温保卫担保管:保管管理看管管道夹:夹心夹子夹杂夹击盆:脸盆花盆盆景盆地位:座位地位车位职位选:选手选举选择挑选并:并且合并并非一并宣:宣告宣纸宣传宣布分:十分分别分开分离芽:豆芽绿芽幼芽发芽规:圆规规定规则规矩盛:盛开盛大盛会盛行丝:雨丝丝巾丝带粉丝表:手表表面表情表现表扬煮:煮饭煮熟煮开水煮饼:饼干月饼面饼豆饼饮:饮水冷饮饮品饮酒饺:饺子水饺蒸饺猪:猪头猪肉猪仔野猪猪排狼:狼狈狼狗狼烟饿狼初:初中当初起初初次眉:眉头眉毛眉心画眉辨:分辨辨别明辨斗:北斗斗胆斗室烟斗湖:湖水湖边湖海湖光山色即:立即即刻即兴即使雁:大雁雁群雁过拔毛归:回归归来归还归队转:转头转向转身转告转运寒:寒气寒心寒冷寒冬姑:姑且姑娘村姑姑息娘:姑娘娘家师娘新娘蚜:蚜虫棉蚜烟蚜盼:盼望企盼盼头左顾右盼治:治病治疗自治治理啄:啄食啄虫啄米啄木鸟斑:斑点斑纹斑白花斑俩:俩人我俩咱俩他俩摘:采摘摘记摘花摘要伯:叔伯伯仲伯父大伯而:然而而今而已且:而且并且姑且且慢踢:踢球踢人踢开踢蹬引:引用引导吸引引路兰:兰花兰草梁:桥梁山梁屋梁上梁程:议程工程过程行程路程波:波浪波涛风波声波架:书架衣架架桥吵架特:特点特别奇特特地砖:砖瓦瓷砖冰砖砖头划:划船划算划水划不来采:采花开采采用采蜜薄:薄冰薄纸薄被薄厚巧:轻巧巧妙巧手赶巧稳:稳定平稳安稳稳重郊:郊区郊外市郊郊游列:列队列车列表排列查:检查查看查找查访弄:玩弄弄懂戏弄舞弄速:高速速度飞速速成断:不断折断中断断气提:手提提名提前提包修:修正修理修改进修建:修建建设建成建立世:世界世代去世出世界:界限边界眼界国界创:创业创造开创创办梦:梦想美梦梦见梦乡名:姓名名字名称名人灰:灰色灰尘石灰烟灰迎:欢迎迎接迎面迎新阿:阿爸阿姨阿妈阿拉伯姨:姨妈小姨姨父姨娘追:追赶追问追求追查顶:头顶山顶顶部顶尖披:披风披露披阅披甲鼓:鼓动打鼓锣鼓鼓掌鼓声甘:甘心甘泉甘甜甘苦埋:埋头埋没埋伏掩埋闯:闯关闯荡闯王闯红灯掰:掰开掰断掰折掰坏跌:跌倒跌落跌跤下跌。
一年级下册二类字组词第一单元 万万能 万一 万岁 万物复苏 复复习 回复 反复 答复 苏苏醒 苏州 姓苏 复苏 柳杨柳 柳枝 柳条 柳叶 歌唱歌歌声 歌舞 诗歌 /flit 舞 跳舞 舞蹈 /flit ―*• r t 舞动 舞台冰 冰冻滑冰 冰雪 冰水 泉 泉水清泉 温泉 喷泉 丁 园丁人丁 丁冬 目不识丁 百 百分百姓 百合 百发百中 齐 齐全齐声 齐心 对齐 鸣 争鸣鸣叫 鸟鸣 一鸣惊人 醒 苏醒清醒 醒目 提醒 雷 雷雨雷声 打雷 春雷 澡 洗澡澡堂 澡盆 擦澡 枝 枝叶枝头 树枝 枝条 软 松软心软 软和 软弱 梳 梳头木梳 梳理 梳洗 梢 树梢发梢 眉梢 末梢 耍 玩耍戏耍 耍笑 耍赖 线 电线毛线 直线 线条 论 争论讨论 论文 言论 趣 有趣兴趣 乐趣 趣味 题 问题题目 话题 答题 底 年底海底 井底 到底 颜 颜色颜面 笑颜 颜料 淋 淋雨淋湿 淋浴 淋洒 洒 洒水洒满 飘洒 泼洒 滴 水滴雨滴 点滴 滴答 油 油画石油 油田 油菜 欢 欢乐欢心 欢快 欢笑 邓 姓邓邓爷爷植 植树种植 再植 植物 节 节日春节 节气 节目 岁 岁月万岁 太岁 长命百岁 龄 年龄学龄 工龄 高龄 已 已往而已 已过 已知经经过经常经理已经息休息气息信息安息站亠L站台车站站队行行人行动行走步行扶扶手扶正扶贫扶起栽栽树栽花栽倒栽种亲亲人亲友亲自亲口古古人古代古文古今中外诗古诗诗人诗句诗歌首首都首长首先首领眠春眠休眠冬眠睡眠处好处到处住处各处闻耳闻见闻新闻趣闻村村民村庄农村村长居居住居室邻居居民醉醉酒麻醉陶醉醉人烟云烟烟草香烟炊烟里童年儿童童话书童散散步散开分散烟消云散忙连忙急忙忙碌手忙脚乱评评比评论好评批抨访访问米访家访拜访挤挤上挤车拥挤挤奶邮邮票邮局邮购集邮局局长大局结局局面轿轿车花轿轿子坐轿钱本钱金钱铜钱房钱第二单元懂懂事懂得弄懂读懂貌礼貌面貌相貌容貌父父亲父爱父兄教父母母亲母爱母子教教室教师教育教学认认真认识认错承认错错事对错错误错过事故事事情事先事业改改正改错修改改变愿心愿愿意许愿愿望碗洗碗饭碗碗口铁碗筷竹筷碗筷筷子长筷扫地 打扫 清扫 一扫而空夸口 夸大 夸张 夸奖 全家 安全 完全 全心全意奇怪 好奇 新奇 惊奇 美妙 巧妙 妙语 奇妙了却 却步 冷却 退却 精心 精明 精神 精彩 比赛 赛马 塞车 赛跑关门开关关爱关闭 掉头掉包掉队 丢掉 完全做完 完美 完好交换 换人 变换 换季 队员 会员 员工 球员写字 写生 书写 轻描淡写音乐 音节 、+宀 读曰 声音舞蹈 手舞足蹈闻鸡起舞肥胖 胖乎乎 •胖子胖大海 喜欢 喜爱 喜事 喜洋洋 张开 张望 开张 一张刚才 刚好 刚巧 刚强 贴画 张贴 贴近 张贴墙头 城墙 墙上 墙纸 代替 替身 替换 替补 拖地 拖把 拖拉 拖欠布鞋 鞋油 球鞋 皮鞋 帮忙 帮手 帮助 帮主 等于 等候 等待 等车 心情 友情 事情 热情 变化 变成 改变 变脸棉花 棉衣 棉鞋 棉袜 关照 照片 照明 照看 晒干 日晒 晒太阳暴晒裤子 被动 被害 棉被 盖子 盖上 盖住 瓶盖中午 午睡 午时 上午丰收 收入 收工 美不胜收 脱下 脱发 脱落 洒脱躺下 躺倒 躺着 躺椅 合眼 合并 合身 天作之合眼光 眼皮眼看 眼泪 扫夸全奇 妙却精赛关掉完换员写音蹈胖喜张刚贴墙替拖鞋 帮等情变棉照晒被盖午收脱躺合眼摆手 摆动 摆弄 摇摆 门帘 窗帘 竹帘 水帘 女生 女儿 女孩 金童玉女 背包 背带 背负 背起 装着 化装 时装 包装 生气空气 天气 神气十足 另外 另有 另眼相看 照顾 回顾 顾客光顾 病人 看病 生病病情 太阳 太平 太好太空 劳累 累倒 太累很累 医牛 医院 牙医 中医 静悄悄 悄悄地离开 分离 离休离去 户口 住户 用户户主 车票 邮票 发票票友 兀老 元月 元首------- —i 兀音 元旦 花旦 一旦旦夕 值日 价值 值班值得 长篇 篇章 篇幅一篇作文 遍地 遍布 普遍一遍 雾气 -------- *■ > —1—A 云雾 雾水大雾 冰霜 霜冻 秋霜结霜 朝气 今朝 朝阳朝夕 朝霞彩霞 晚霞 霞光 夕昭 丿八、、 夕阳 除夕前夕 密蜂 蜂王 马蜂蜂窝 碧绿 碧蓝 碧空 碧玉 紫色 紫花 紫光万紫千红 千万 千古 千金成千上万 李子 姓李 桃李张冠李戴 杨树 杨柳 杨梅姓杨 秀美 秀才 秀气山清水秀 鸡蛋 脸蛋 完蛋蛋壳 取下 取得 争取听取 凉水 凉气 凉快 冰凉 立疋 定时 一疋定报 捧着 吹捧 捧场追捧 眼睛定睛画龙点睛目不转睛 第三单元睛摆帘女背装气另顾病 太累医悄离户票元旦 值篇遍连连忙连长连线连接轻年轻轻声轻重轻车熟路仿相仿模仿仿造相仿佛仿佛佛手佛面抬抬头抬起抬咼抬举投投向投票投机投球向向往志向方向向来欣欣向荣聪:聪明耳聪失聪聪慧活活动生活活泼活捉泼泼皮泼水泼洒活泼忽忽然忽略忽视忽明忽暗然自然然后果然显然眨:眨眼、眨巴如如果如是如意如愿总总是总理总共总而言之以可以所以以后以身作则主主张公主主持主力J 八意意思意见王意心意粗心大意先:首先事先先后先进鹿小鹿鹿角鹿茸鹿头慢慢车快慢傲慢缓慢积堆积积极积累积雪鼻鼻子鼻孔鼻音鼻梁脑脑袋袋袋子奇怪推车车辆赶快久远干杯净化失手班级同学观看包围工人脑门口袋怪物推开一辆赶忙长久干草洁净丢失年级同班观众围巾工厂电脑动脑衣袋袋鼠错怪责怪推广推动赶场赶上永久不久干果干一净洗净干干净净过失失去高级考级同意相同观点参观围观围墙工作异曲同工专:专心致志专门专人专业准:准许备:备齐队:大队准时对准准许责备准备备课队伍队礼成群结队才人才刚才才气才干请请坐请客请进请问双双手双方双人双份各各自各处各人各种各样字写字文字汉字识字代后代古代年代代理舌舌头、、人—T*学舌口舌舌尖页页面书页页码活页弓开弓弓刖弓腰弯弓秒秒针分秒争分夺秒炒炒作炒菜炒股炒饭第四单元蜻蜓蝴蝶蚯蚓蚂蚁蝌蚪蜘蛛运:运动运行运货展网所牧捕蝉展开展品展现展览上网网络电网鱼网所有所以所见处所放牧牧童牧草牧场捕鱼捕食拘捕捕风捉影蝉鸣蝉衣蝉叫蝉联闭口闭目关闭夜不闭户亠L・立正立春独立自主池水鱼池花池池塘可惜爱惜叹惜珍惜阴天阴雨树阴光阴晴天晴空晴朗柔弱温柔柔和柔软露水露出露天流露荷花荷叶荷包荷塘水珠珠宝汗珠眼珠摇头动摇摇摆摇身篮子花篮篮球摇篮水晶晶体晶莹晶亮停车停电停止停放草坪停机坪坪坝透气透明透过穿透展翅鱼翅鸡翅翅膀膀子肩膀臂膀蹲着蹲下蹲点蹲好笑嘻嘻嘻嘻哈哈莲花莲子莲叶睡莲幸运闭.立池惜阴晴柔露荷珠摇篮rfrk 晶停坪透翅膀蹲嘻莲哭哭 痛 睁 开 睁 大 睁 艮 1-rrr 睁 着根« «腰 腰 山 身腰 腰 弯 子 腰 爬山 爬 高爬 rpr 常 rpr rpr 是 凡 kF 4礼 rpr 感 主冃谢 感 激 动 激 发 激流激 谢 谢 道 谢 谢 绝 谢 意 谢 急 时 急 急 着 忙 急 急紧 时候 时 坡 坡 山 «割庫 割 割 切 割 收 割 闷 向 和声 > 伸 展伸 喊HH 喊喊 呼 喊哭 潮 气 潮 水 潮 湿 潮 流 潮 湿 «润湿度温 虫虫 害 虫 昆 虫 益 消 灭 消 失 消 气 消 自心 搬 雌 f阵雨 阵 哗壁 虎 壁 画 舉虎 虎 老rfj 头 虎 尾借 借蚊 香 蚊蛇 蛇 青逃 跑 逃难 难 困 看 难姐弟姐 新旧 闻新 擦 8捋 抄 W 抄摘 W拾 取 拾 摔 倒 摔跤 摔 了摔 拨 拦拦 阻 路拦 摸 底 摸 黑摸街:上街街头街灯街道 熟:熟人熟睡熟识成熟 伙:伙计同伙合伙伙伴 伴:伴侣陪伴结伴同伴第五单元 团员 团结 饭团数量 少量 海量相同 相识 相反遇见 相遇 遇到可怕 怕人 恐怕及时 及早 以及围攻 进攻 攻击互助 互不相 目让尊敬 尊重 尊长令尊 口令 时令纯白 纯洁 纯真纯净 重量 重要 重视挂表 挂念 挂件团长 力量 相信 机遇 害怕 及格 攻打 相互 尊老 命令 纯正 体重 挂失 甜:甜蜜 温:咼温 冻 脸 该 因 乌 鸦 喝 渴 果冻 洗脸 应该 因为 四季 乌云 乌鸦 喝水 口渴瓶:水瓶 石:石头 办公 法:法律 渐:渐变 司机 假:假山 缸:水缸 别:别人 慌:慌忙 尝鲜 香甜 温和 冻冰 笑脸 不该 因果 季节 乌黑 涂鸦 喝茶 干渴 瓶口 宝石 办事 法规 渐长 司令 假话 鱼缸 告别 慌张 尝试甜美 甜食 气温 温度 冷冻 冻结脸色 花脸 活该 该当因而 因果报应 雨季 花季 乌合 乌亮鸦雀无声喝酒渴求 渴望花瓶 瓶盖 石油 落井下石办理 办法 法人 方法 渐高 逐渐公司 司法 造假 真假 缸底分别 别开生面 心慌 慌乱吓吓人惊吓吓唬叫叫声叫卖叫喊叫价块块头石块冰块一块使使劲使用天使使者劲叫劲劲力用劲手劲有劲砸砸开砸坏砸破砸手破破灭破坏破旧破车救救命急救得救抢救称称呼名称称道自称秤台秤电子秤地秤秤杆象大象象牙景象气象万千官官兵官场官员五官腿大腿腿部前腿床腿议议事议员会议议论杆笔杆枪杆柱柱子石柱圆柱支柱倒倒水倒影倒车倒立艘艘船沉下沉沉浮消沉沉思止停止举止止步止住微微笑微风细微微小矮矮小高矮矮墙矮树瘦瘦小瘦子瘦肉瘦弱暗黑暗暗淡灰暗暗小丑丑闻出丑小丑丑陋闲休闲空闲闲谈闲心旧怀旧旧地依旧破旧第六单元海大海海水海鸟海军鸥海鸥燕鸥沙鸥银鸥滩海滩沙滩河滩岩滩军海军军人军队千军万马舰军舰舰队舰艇航空母舰帆风帆帆船扬帆帆布秧秧苗秧田秧歌插秧稻稻田稻子稻米水稻塘鱼塘水塘池塘荷塘溪小溪溪水溪流竿竹竿高竿钓竿立竿见影铜铜号铜牌铜绿铜杯号角 称号 代号记号 领会 领口 衣领 要领 忘记 忘本 忘怀 过目不忘 挖井 挖土 挖洞 挖苦 水井 油井 矿井 进口井井有条席:主席 导电 开导 教导 导师 革命 改革 皮革革新 使命 生命 命令 救命 战斗 战场 战争 战士 博士 士兵 女士 护士 解放 分解 解开 解答 刻度 立刻 刻画 深刻 念书 怀念 思念 念念不忘大王 王子 王后 国王 帮助 助力 助手 助人为乐 哨兵 哨所 口哨 哨子敌人 敌对 敌意 敌视 动荡 扫荡 飘荡 荡秋千 顺路 顺从 顺利 顺手突然 突出 突破 突围 枪口 手枪 水枪 枪声杀害 杀虫 杀敌 杀气 害虫 害处 害怕 害病 英勇 英明 英语 英雄雄心 雄鸡 雄鹰 雄伟 冲动 冲突 冲锋 俯冲 部分 部队 部首 部下 宽大 宽广 宽阔 宽敞 对虾 虾米 龙虾 虾兵蟹将凉席席位 山脚 脚步脚印双脚 捡拾捡柴 贝壳彩贝 空壳 蛋壳 彩壳 原本 草原 原野情有可原奔:奔驰 奔跑奔波奔腾亲密 精密 细密市民 市长 市场 布匹 匹配 匹敌高楼 楼阁 楼道 吹气 吹灯 风吹草动祝福 祝愿 庆祝捡起 宝贝外壳 原来 机密城市 马匹 楼房 吹动 祝贺 号领忘挖井导革命战士解刻念 王助哨敌荡顺突枪杀害英雄 冲部宽虾脚捡贝壳原密市匹楼吹祝贺贺喜庆贺贺礼贺词希希望希腊祖祖国祖母祖先祖师国国家国民国土爱国由由于由来原由理由羽羽毛羽绒羽翼羽纱丰丰收丰美丰富丰满勇勇气英勇勇敢勇往直前敢敢于胆敢敢作敢当理总理理由合理道理敬敬礼敬爱敬业敬重度咼度度过过度欢度厂工厂厂房木厂纱厂甲甲虫甲方指甲甲壳申申请申明申诉引申句语句句子句号造句兄兄长兄妹表兄弟兄第七单元虚虚心虚汗虚实虚惊骄骄阳骄子天骄骄兵傲高傲傲气傲慢傲然淡冷淡淡水淡季轻描淡写诚诚信诚心诚恳诚意实真实实心老实果实赢赢得赢利输赢赢钱赞赞扬赞成赞同称赞招招手招认招领咼招翻翻动翻土翻身翻脸浇浇水浇花浇地火上浇油施实施施工施展施肥肥肥实肥料化肥肥胖肥沃饿饥饿挨饿饿死饿了候候场等候气候问候候鸟挑挑水挑食挑选挑夫担扁担担子重担担水狮狮子狮王雄狮舞狮整平整整齐整理整合练练习练笔练功勤学苦练习学习习气复习习作滚滚动滚热翻滚滚开扑灭 扑火 扑面 扑打 咬牙 咬住 咬定 咬紧 辛苦 刻苦 苦学 苦水 懒虫 懒人 懒汉 偷懒懒惰 海洋 大洋 洋服 洋人吞咽 吞没 吞吐 吞下 将军 将来 将要 将就 靠山 靠近 可靠 靠背应用 应该 应当 应许 午餐 餐厅 西餐 快餐 丢失 丢脸 丢掉 丢人矿工 矿山 矿石 矿灯 糟糕 糟粕 酒糟 糟了年糕 糕点 雪糕 蛋糕粗心 粗细 粗话 粗话 大概 概括 气概 一概公共共同共有同甘共苦 汽油 汽车 汽水 汽艇 记录 忘记 记住 日记笔记 保护 保全 保温 保卫 担保 保管 管理 看管 管道夹心 夹子 夹杂 夹击脸盆 花盆 盆景 盆地 座位 地位 车位 职位 选手 选举 选择 挑选 并且 合并 并非 一并 宣告 宣纸 宣传 宣布十分 分别 分开 分离 豆芽 绿芽 幼芽 发芽圆规 规定 规则 规矩 盛开 盛大 盛会 盛行 雨丝 丝巾 丝带 粉丝手表 表面 表情 表现 表扬 煮饭 煮熟 煮开 水煮 饼干 月饼 面饼 豆饼 饮水 冷饮 饮品 饮酒 饺子 水饺 蒸饺猪头 猪肉 猪仔 野猪 猪排 狼狈 狼狗 狼烟 饿狼第八单扑咬苦懒洋吞将靠应餐丢矿糟糕粗概共汽记保管夹盆位选并宣分芽规盛丝表煮饼饮饺猪狼初:初中眉:眉头辨:分辨斗:北斗湖:湖水即:立即雁:大雁归:回归转:转头寒:寒气姑:姑且娘:姑娘蚜:蚜虫盼:盼望治:治病啄:啄食斑:斑点俩:俩人摘:采摘伯:叔伯当初起初初次眉毛眉心画眉辨别明辨斗胆斗室烟斗湖边湖海湖光山色即刻即兴即使雁群雁过拔毛归来归还归队转向转身转告转运寒心寒冷寒冬姑娘村姑姑息娘家师娘新娘棉蚜烟蚜企盼盼头左顾右盼治疗自治治理啄虫啄米啄木鸟斑纹斑白花斑我俩咱俩他俩摘记摘花摘要伯仲伯父大伯。
※※※※※※※※※※※※※※※※※※※※※※※※※※※※※一、万〔一万〕丁〔丁冬〕百〔一百〕齐〔整齐〕1说〔说话〕话〔〕朋〔朋友〕春〔春天〕高〔高手〕2你〔你们〕们〔我们〕红〔红色〕绿〔绿灯〕花〔花朵〕草〔小草〕3爷〔爷爷〕节〔春节〕岁〔岁月〕亲〔亲人〕的〔我的〕行〔不行〕4古〔古人〕声〔声音〕多〔多少〕处〔好处〕知〔知道〕忙〔忙音〕※※※※※※※※※※※※※※※※※※※※※※※※※※※※※二、洗〔洗手〕认〔认真〕扫〔扫地〕真〔真心〕父〔父亲〕母〔母亲〕5 爸〔爸爸〕全〔平安〕关〔关门〕写〔写字〕完〔完毕〕家〔大家〕6 看〔看见〕着〔走着〕画〔画家〕笑〔笑话〕兴〔快乐〕会〔开会〕7 妈〔妈妈〕奶〔牛奶〕午〔下午〕合〔合格〕放〔放牛〕收〔收入〕8 女〔女儿〕太〔太阳〕气〔气球〕早〔早点〕去〔出去〕亮〔亮光〕※※※※※※※※※※※※※※※※※※※※※※※※※※※※※三、和〔和平〕语〔语文〕千〔千万〕李〔李子〕秀〔秀丽〕香〔香水〕9 听〔听力〕唱〔唱歌〕连〔连忙〕远〔远方〕定〔一定〕向〔方向〕10以〔以后〕后〔后来〕更(更加) 主〔主人〕意〔意思〕总〔总是〕11先〔先生〕干〔干净〕赶〔赶路〕起〔起立〕明〔明天〕净〔净化〕12同〔同学〕工〔工厂〕专〔专门〕才〔人才〕级〔年级〕队〔队长〕※※※※※※※※※※※※※※※※※※※※※※※※※※※※※四、蚂〔蚂蚁〕蚁〔蚂蚁〕前〔前面〕空〔天空〕房〔房子〕网〔网球〕13诗〔诗人〕林〔树林〕童〔儿童〕黄〔黄色〕闭〔关闭〕立〔起立〕14是〔总是〕朵〔花朵〕美〔美丽〕我〔我的〕叶〔树叶〕机〔飞机〕15她〔她的〕他〔他的〕送〔送水〕过〔过去〕时〔小时〕让〔让开〕16吗吧虫〔虫子〕往〔往事〕得〔得意〕很〔很好〕17河〔小河〕姐〔姐姐〕借〔借书〕呢呀哪※※※※※※※※※※※※※※※※※※※※※※※※※※※※※五、谁〔谁的〕怕〔害怕〕跟〔跟着〕凉〔凉水〕量〔量词〕最〔最后〕18园〔果园〕因〔因为〕为〔为了〕脸〔脸色〕阳〔阳光〕光〔光明〕19可〔可是〕石〔石头〕办〔方法〕法〔方法〕找〔找人〕许〔许多〕20别〔别人〕到〔到处〕那〔那边〕都〔都是〕吓〔吓人〕叫〔叫声〕21再〔再见〕象〔大象〕像〔好似〕做〔做事〕点〔一点〕照〔照明〕※※※※※※※※※※※※※※※※※※※※※※※※※※※※※六、沙〔沙子〕海〔大海〕桥〔小桥〕竹〔竹子〕军〔军人〕苗〔禾苗〕22井〔水井〕乡〔家乡〕面〔上面〕忘〔忘记〕想〔想念〕念〔念书〕23王〔大王〕从〔参军〕边〔路边〕这〔这个〕道〔道理〕24贝〔宝贝〕原〔原来〕男〔男子〕爱〔热爱〕虾〔大虾〕跑〔跑步〕25吹〔吹牛〕地快〔赶快〕乐〔快乐〕老〔老人〕师〔教师〕※※※※※※※※※※※※※※※※※※※※※※※※※※※※※七、短〔短处〕对〔对手〕冷〔冷色〕淡〔淡色〕热〔热爱〕情〔热情〕26拉〔拉车〕把〔把手〕给〔不给〕活〔活动〕种〔种子〕吃〔吃饭〕27练〔练习〕习〔学习〕苦〔刻苦〕学〔学生〕非〔非常〕常〔经常〕28问〔问题〕间〔时间〕伙〔一伙〕伴〔老伴〕共〔共同〕汽〔汽车〕29分〔分开〕要〔重要〕没〔没有〕位〔十位〕孩〔孩子〕选〔选手〕※※※※※※※※※※※※※※※※※※※※※※※※※※※※※八、北〔北方〕南〔南方〕江〔江河〕湖〔湖水〕秋〔秋季〕30只〔一只〕星〔星光〕雪〔白雪〕帮〔帮助〕请〔请客〕就〔就是〕31球〔皮球〕玩〔玩耍〕跳〔跳高〕桃〔桃子〕树〔树木〕刚〔刚刚〕32兰〔兰花〕各〔各自〕坐〔坐下〕座〔座位〕带〔皮带〕急〔急忙〕33名〔名字〕发〔头发〕〔发书〕成〔成人〕晚〔晚上〕动〔活动〕34有〔没有〕在〔不在〕什〔什么〕变〔变化〕条〔条件〕新〔新书〕假如所有的字都会写,都会组词,就是好孩子。
一年级语文下册二类字词语第一单元:打雷雷雨树枝树梢洗澡梳洗玩耍苏醒梳头长高雨滴欢笑题目数学题见闻古往今来评论访问挤满邮局花钱低头轿车春暖花开春风拂面万里无云五颜六色百花盛开欢歌笑语已经
扶正栽树争论到底格外引人注目兴致勃勃挑选茁壮仔细笔直满意美丽图画笑话没有有时行李兴奋高兴万岁
第二单元:认错错过故事心事改正打扫懂事听不懂火车票元旦漫山遍野一篇张贴东张西望开张眼睛医生喜爱照顾改变离开摆动精彩奇妙事情另外依偎见闻安静港湾享受温暖奇妙精彩关掉球赛音乐交换舞蹈喜欢贴画墙报替换拖鞋等车胖乎乎疲劳提议秘密暖和钻进舒服奇怪背包商量照顾愉快自言自语郊游棉被盖子合眼躺下脱掉收回睡着
第三单元:朝阳晚霞晨雾秋霜山清水秀万紫千红和风细雨鸟语花香准点难题少先队先进备课各自聪明活泼冰凉准备赶快观看包围堆积花花绿绿干干净净高高兴兴以后活泼忽然如果主意总是参观各个明亮夕阳朝霞鸟蛋焦急连忙仿佛光秃秃茂密挺拔怎么帮忙脸红严肃捡到透明秀气总共更好脑袋
车辆推车鼻子
第四单元:所以所有可惜爱惜晴空晴天柔和柔软放牧牧草关闭闭路电视游来游去飞来飞去跑来跑去跳来跳去蜻蜓蝴蝶蚯蚓蝌蚪蜘蛛儿童山坡割草搬家潮湿消息伸手叫喊阵雨闷得很着急结网宫殿展翅泉眼意欲摇篮亮晶晶放声笑嘻嘻透明静悄悄池塘非常感激办法睡莲萤火虫加快连忙挣断房檐难过告诉掌握
第五单元:司机公司使用使劲打伞打电话打渔打球喝水渐渐口渴瓶子假山得救砸破慌张石块水缸分别思考创造团结相遇及时雨尊重感动纯净透明到处清凉香甜彩色温暖邀请冻僵旁边得救议论果然力量数量量杯相信相片称象秤杆微笑互相水缸伙伴
第六单元:井台领导导游生命救命主席凉席想念挂念念书时刻祝愿祝贺国家道理合理度过欢度甲鱼申请兄弟团结停止英雄理想街道勇敢感动慌张顺心帆船秧苗鱼塘翠竹放哨顺从从前前进城市高楼脚步贝壳草原奔跑马匹宽阔鱼虾希望祖国羽毛丰满敬爱海鸥军舰小溪解放埋伏消灭四面八方扫荡家乡平原美丽宽广碧绿海滩平坦带路鲜艳衣裳流淌
充满感谢丰满秧苗沙滩第七单元:丢失粗心忘记矿泉水共同保密记得餐巾纸虚伪诚实热情冷淡虚心练习刻苦狮子将来懒洋洋应该整天非常慢吞吞问号公共保管糟糕时间忘记午餐骄傲本领苦头地位粗心赶快大概宣布许许多多吩咐培育突然经过翻土收菜浇水施肥挑担拔草
第八单元:碧绿棉花速度快速提高提醒梦想做梦查看查找开创创新修改修理请客姑娘蚜虫盼望治病啄木鸟斑点桥梁工程衣架特别采用划船轻巧座位玻璃砖波浪滚滚屋顶打鼓欢迎顶替阿姨追赶灰尘披着追问变化团圆即将可恶害虫惊奇而且成熟闭上原野塑料折叠魔术专家郊游飞驰创举鼓励夕发朝至捕食摆动。