高数(1)试卷2010-2014
- 格式:pdf
- 大小:255.06 KB
- 文档页数:11
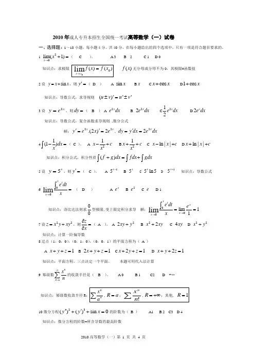
2010年成人专升本招生全国统一考试高等数学(一)试卷一、选择题:1~10小题,每小题4分,共40分,在每小题给出的四个选项中,只有一项是符合题目要求的。
120lim(1)x x →+=( C )。
A 3 B 2 C 1 D 0 知识点:求极限)(x f 无分母或分母不为0,其极限=函数值2设sin y x x =+,则y '=( D ) A sin x B x C cos x x + D 1cos x +知识点:导数公式,求导规则v u v u '±'='±)(3设2x y e =,则dy =( B ) A 2x e dx B 22x e dx C 212x e dx D 2x e dx知识点:导数公式,复合函数求导规则 ,微分公式解:x x e x e y 222)2.(='=', dx e dx y dy x 22='=41(1)dx x -=⎰( C )。
A 21x c x -+ B 21x c x++ C ln ||x x c -+ D ln ||x x c ++ 知识点:积分公式,积分性质⎰⎰⎰+=+gdx fdx dx g f )(5设5x y =,则y '=( C )。
A 15x - B 5x C 5ln 5x D 15x + 知识点:导数公式 6limxt x e dt x→=⎰( D ) A x e B 2e C e D 1知识点:洛比达法则求型极限,变上限定积分求导 解:limxt x e dt x→=⎰11lim 0=→xx e 7设22zx y xy =+,则z x∂=∂( A )。
A 22xy y + B 22x xy + C 4xy D 22x y + 知识点:计算一阶偏导数8过点(1,0,0),(0,1,0),(0,0,1)的平面方程为( A ) A1x y z ++= B 21x y z ++= C 21x y z ++= D 21x y z ++=知识点:平面方程,三点决定一个平面。
════════════════════════════════════════════════════════════════════全国2010年1月高等教育自学考试《高等数学(一)》试题及答案一、单项选择题(本大题共5小题,每小题2分,共10分)在每小题列出的四个备选项中只有一个是符合题目要求的,请将其代码填写在题后的括号内。
错选、多选或未选均无分。
1.函数f (x )=arcsin ⎪⎭⎫ ⎝⎛-21x 的定义域为( B ) A.[-1,1] B.[-1,3] C.(-1,1)D.(-1,3) 2.要使无穷级∑∞=0n n aq(a 为常数,a ≠0)收敛,则q =( A )A.0.5B.1C.1.5D.2 3.函数⎪⎩⎪⎨⎧≥<+=1312)(3x x x x x f 在x =1处的导数为( C ) A.1 B.2 C.3D.不存在 4.函数y =x 2-ln(1+x 2)的极小值为( D )A.3B.2C.1D.05.下列反常积分收敛的是( A ) A.⎰+∞12d 1x x B.⎰+∞1d 1x x C.⎰+∞1d ln x x D.⎰+∞1d ln x xx 二、填空题(本大题共10小题,每小题3分,共30分)请在每小题的空格中填上正确答案。
错填、不填均无分。
6.设⎩⎨⎧≤->=0101)(x x x f ,g (x )=x 2+1,则f [g (x )]= 1 . 7.1arctan lim 2+∞→x x x = 0 .8.∞→n lim n [ln (n +2)-ln n ]= 2 9.函数⎩⎨⎧≤≤-<≤-=21e e 10)(x x x k x f x 在x =1处连续,则k = 1 . 10.设函数y =ln sin x ,则y ″= X C S C 2-11.设函数y =x 2e -x ,则其弹性函数ExEy = 2-x════════════════════════════════════════════════════════════════════ 12.曲线xx y ln =的水平渐近线为 y=0 13.不定积分⎰-22d x x= C x +2a r c s i n 14.微分方程(1+x 2)d y -(1+y 2)d x =0的通解是 arctan y=arctan x+C .15.设z=y x 322e -,则y x z ∂∂∂2= y r xe 32212--三、计算题(一)(本大题共5小题,每小题5分,共25分)16.求极限xx x x x x sin cos lim 0--→. 解:原式=xx x x x cos 1sin cos 10lim -+-→ = xx x x cos 1sin 10lim -+→ = 3sin cos sin 0lim 1=+→+xx x x x 17.求曲线y =x -2arctan x 的凹凸区间.解: 2121xy +-=', 22)1(4x x y +='',由0=''y 得0=x 。
2010级高等数学(上)A 解答一、填空题:(每题3分,共18分)(请将正确答案填入下表,否则不给分)1.已知极限01lim 2=⎪⎪⎭⎫⎝⎛--+∞→b ax x x x ,则常数b a ,的值分别是(空1)。
解:0x b a 1x x lim b ax 1x x x 1lim x 2x =⎪⎭⎫ ⎝⎛--+=⎪⎪⎭⎫ ⎝⎛--+∞→∞→ ⇒1-a=0⇒a=1⎪⎪⎭⎫⎝⎛-+=⎪⎪⎭⎫ ⎝⎛-+=∞→∞→x 1x x lim ax 1x x lim b 2x 2x 1x111lim 1x x lim 1x x x x lim x x 22x -=+-=+-=⎪⎪⎭⎫ ⎝⎛+--=∞→∞→∞→ 或:01x b x )b a (x )a 1(lim b ax 1x x lim 2x 2x =⎪⎪⎭⎫⎝⎛+-+--=⎪⎪⎭⎫ ⎝⎛--+∞→∞→ 所以1-a=0,a+b=0⇒a=1,b=-1。
或:⎪⎪⎭⎫⎝⎛++--+-=⎪⎪⎭⎫ ⎝⎛--+∞→∞→1x 1b ax 1x 1x lim b ax 1x x lim 2x 2x 01x 1)b 1(x )a 1(lim 1x 1b ax 1x lim x x =⎪⎭⎫ ⎝⎛+++--=⎪⎭⎫ ⎝⎛++---=∞→∞→ 所以1-a=0,1+b=0⇒a=1,b=-1。
2.函数xx x x x f 323)(23---=的第一类间断点是(空2)。
解:f(x)在x=3,0,-1处无定义,是间断点。
121)3x )(1x (x 3x lim x 3x 2x 3x lim)x (f lim 3x 233x 3x =-+-=---=→→→,x=3是第一类间断点。
∞=---=-→-→x3x 2x 3x lim)x (f lim 231x 1xx=-1是第二类间断点。
∞=---=→→x3x 2x 3x lim)x (f lim 230x 0xx=0是第二类间断点。
3.设函数)(x f 可导,)(1)(2x f x g +=,则)('x g =(空3)。
可编辑修改精选全文完整版2014年成人高考专升本考试真题及答案解析高等数学(一)1.(单选题)(本题4分)ABCD标准答案: D2.(单选题)设则(本题4分)ABCD标准答案: A解析:【考情点拨】本题考查了一元函数的微分的知识点.【应试指导】因为3.(单选题)设函数则(本题4分)A 1/2B 1C π/2D 2π标准答案: B解析:【考情点拨】本题考查了导数的基本公式的知识点.【应试指导】因为所以4.(单选题)设函数f(x)在[a,b]连续,在(a,b)可导,则在(a,b)内(本题4分)A 不存在零点B 存在唯一零点C 存在极大值点D 存在极小值点标准答案: B解析:【考情点拨】本题考查了零点定理的知识点.【应试指导】由题意知,f(x)在(a,b)上单调递增,且f(a)·f(b)<0,则y=f(x)在(a,b)内存在唯一零点。
5.(单选题)(本题4分)ABCD标准答案: C解析:【考情点拨】本题考查了第一类换元积分法的知识点.【应试指导】6.(单选题)(本题4分)A -2B -1C 1D 2标准答案: D解析:【考情点拨】本题考查了定积分的奇偶性的知识点.【应试指导】7.(单选题)(本题4分)A -eBCD e标准答案: C解析:【考情点拨】本题考查了无穷区间的反常积分的知识点.【应试指导】8.(单选题)设二元函数(本题4分)ABCD标准答案: A解析:【考情点拨】本题考查了二元函数的偏导数的知识点.【应试指导】因为9.(单选题)设二元函数(本题4分)A 1B 2CD标准答案: A解析:【考情点拨】本题考查了二元函数的偏导数的应用的知识点.【应试指导】因为10.(单选题),则该球的球心坐标与半径分别为(本题4分)A (-1,2,-3);2B (-1,2,-3);4C (1,-2,3);2D (1,-2,3);4解析:【考情点拨】本题考查了球的球心坐标与半径的知识点.【应试指导】所以,该球的球心坐标与半径分别为(1,-2,3),2.11.(填空题)设,则a=______(本题4分)标准答案: 2/3解析:【考情点拨】本题考查了特殊极限的知识点.【应试指导】12.(填空题)曲线的铅直渐近线方程为_________ .(本题4分)标准答案: x=-1/2解析:【考情点拨】本题考查了曲线的铅直渐近线的知识点.【应试指导】当的铅直渐近线13.(填空题)设则y'=________(本题4分)标准答案:解析:【考情点拨】本题考查了一元函数的一阶导数的知识点.【应试指导】因为14.(填空题)设函数在X=0处连续,则a=_______(本题4分)解析:【考情点拨】本题考查了函数在一点处连续的知识点.【应试指导】因为函数f(x)在x=0处连续,则15.(填空题)曲线在点(0,1)处的切线的斜率k=____(本题4分)标准答案: 1解析:【考情点拨】本题考查了导数的几何意义的知识点.【应试指导】因为即所求的斜率k=116.(填空题)_______(本题4分)标准答案: 1/2解析:【考情点拨】本题考查了第一类换元积分法的知识点.【应试指导】17.(填空题)设函数则____(本题4分)标准答案: 1解析:【考情点拨】本题考查了变上限的定积分的知识点.【应试指导】因为18.(填空题)设二次函数则dz=______(本题4分)标准答案:解析:【考情点拨】本题考查了二元函数的全微分的知识点.【应试指导】因为19.(填空题)过原点(0,0,0)且垂直于向量(1,1,1)的平面方程为_________ (本题4分)标准答案: x+y+z=0解析:【考情点拨】本题考查了平面方程的知识点.【应试指导】由题意知,平面的法向量为(1,1,1),则平面方程可设为x+y+z+D=0因该平面过(0,0,0)点,所以D=0,即x+y+z=020.(填空题)微分方程的通解为y=__________(本题4分)标准答案:解析:【考情点拨】本题考查了一阶微分方程的通解的知识点.【应试指导】21.(问答题)计算(本题8分)标准答案:22.(问答题)设y=y(x)满足2y+sin(x+y)=0,求y'.(本题8分)标准答案:将2y+sin(x+y)=0两边对x求导,得23.(问答题)求函数f(x)=x3-3x的极大值.(本题8分)标准答案:所以x1=-1为f(x)的极大值点,f(x)的极大值为f(-1)=2. (8分)24.(问答题)计算(本题8分)标准答案:25.(问答题)设函数(本题8分)标准答案:因为所以26.(问答题)计算其中D是由直线x=0,y=0及x+y=1围成的平面有界区域.(本题10分)标准答案:27.(问答题)判定级数(本题10分)标准答案:所以原级数收敛(10分)28.(问答题)求微分方程的通解(本题10分)标准答案:对应的齐次方程为特征方程为(2分)特征根为(4分)所以齐次方程的通解为(6分)设为原方程的一个特解,代入原方程可得(8分),所以原方程的通解为(10分)。
华南农业大学期末考试试卷(A 卷)2011~2012学年第1学期 考试科目:高等数学A Ⅰ 考试类型:(闭卷)考试 考试时间: 120 分钟 学号姓名年级专业一、填空题(本大题共5小题,每小题3分,共15分)1.0lim2x x→=。
2.曲线2x xe ey -+=在点(0,1)处的曲率是2014年不做要求。
3.设()f x 可导,[]ln ()y f x =,则dy =。
4.不定积分⎰=。
5.反常积分60x e dx +∞-⎰=。
二、单项选择题(本大题共5小题,每小题3分,共15分)1.设2,01(),,12x x f x x x ⎧<≤=⎨<<⎩在点1x =处必定()A .连续但不可导B .连续且可导C .不连续但可导D .不连续,故不可导 2.曲线y =4x =处的切线方程是()A .114y x =-B .112y x =+ C .114y x =+D .124y x =+3.下列函数在区间[1,1]-上满足罗尔定理条件的是() A .21x B .3x C .x D .211x + 4.设()f x 为连续函数,则下列等式中正确的是() A .()()f x dx f x '=⎰B .()()df x dx f x C dx=+⎰C .()()d f x dx f x =⎰D .()()d f x dx f x dx =⎰ 5.已知()0232ax x dx -=⎰,则a =()A .1-B .0C .12D .1 三、计算题(本大题共7小题,每小题7分,共49分)求极限()011lim x x x e x x e →---。
1.2.设函数1sin 2 ,0(), ,0x x f x a bx x +≤⎧=⎨+>⎩在点 0x =处可导,求,a b 的值。
3.设参数方程()1sin cos x t t y t t=-⎧⎪⎨=⎪⎩确定y 是x 的函数,求dy dx 。
2010-2014年高等数学(工本)00023历年试题及参考答案 全国2010年10月自学考试高等数学(工本)试题一、单项选择题(本大题共5小题,每小题3分,共15分) 1.在空间直角坐标系下,方程2x 2+3y 2=6表示的图形为( ) A .椭圆 B .柱面 C .旋转抛物面D .球面2.极限021lim →→y x arcsin(x +y 2)=( )A .6πB .3π C .2π D .π3.设积分区域22:y x Ω+≤R 2,0≤z ≤1,则三重积分⎰⎰⎰=+Ωdxdydz y xf )(22( )A .⎰⎰⎰π200102)(Rdz r f drd θ B .⎰⎰⎰π20012)(Rdz r f rdrd θC .⎰⎰⎰+π201022)(Rrdz y x f dr d θD .⎰⎰⎰π102)(Rdz r f rdrd θ4.以y =sin 3x 为特解的微分方程为( ) A .0=+''y y B .0=-''y y C .09=+''y y D .09=-''y y5.设正项级数∑∞=1n nu收敛,则下列无穷级数中一定发散的是( )A .∑∞=+1100n nuB .∑∞=++11)(n n n u uC .∑∞=1)3(n nuD .∑∞=+1)1(n nu二、填空题(本大题共5小题,每小题2分,共10分)请在每小题的空格中填上正确答案。
错填、不填均无分。
6.向量a ={1,1,2}与x 轴的夹角=α__________. 7.设函数22),(y x xy y x f -=,则=)1,(x yf __________.8.设∑是上半球面z =221y x --的上侧,则对坐标的曲面积分⎰⎰∑=dxdy y 3__________.9.微分方程x y y sin 3='+'''的阶数是__________.10.设)(x f 是周期为2π的函数,)(x f 在[)ππ,-上的表达式为[)[)⎪⎩⎪⎨⎧∈-∈=.π,0,23sin .0,π,0)(x x x x f )(x S 是)(x f 的傅里叶级数的和函数,则S (0) =__________.三、计算题(本大题共12小题,每小题5分,共60分)11.设平面π过点P 1(1,2,-1)和点P 2(-5,2,7),且平行于y 轴,求平面π的方程. 12.设函数22ln y x z +=,求yx z∂∂∂2.13.设函数232y x e z -=,求全微分dz .14.设函数)2,(22xy y x f z -=,其中f (u , v )具有一阶连续偏导数,求xz ∂∂和y z ∂∂. 15.求曲面x 2+y 2+2z 2=23在点(1,2,3)处的切平面方程. 16.计算二重积分⎰⎰+D dxdy y x )sin(22,其中积分区域D :x 2+y 2≤a 2.17.计算三重积分⎰⎰⎰Ωzdxdydz ,其中Ω是由曲面z =x 2+y 2,z =0及x 2+y 2=1所围区域.18.计算对弧长的曲线积分⎰Cds x 2,其中C 是圆周x 2+y 2=4的上半圆.19.计算对坐标的曲线积分⎰+-+-Cdy y x dx y )21()31(,其中C 为区域D :| x |≤1,| y |≤1 的正向边界曲线.20.求微分方程02=-+-dy e dx e y x y x 的通解. 21.判断无穷级数∑∞=--+1212)1(1n n n 的敛散性. 22.将函数51)(+=x x f 展开为x +1的幂级数. 四、综合题(本大题共3小题,每小题5分,共15分)23.设函数)(x yz ϕ=,其中)(u ϕ为可微函数.证明:0=∂∂+∂∂y zy x z x24.设曲线y =y (x )在其上点(x , y )处的切线斜率为xyx -24,且曲线过点(1,1),求该曲线的方程. 25.证明:无穷级数∑∞=-=++-+121)122(n n n n .全国2011年1月自学考试高等数学(工本)试题一、单项选择题(本大题共5小题。
全国2010年1⽉-2014年10⽉⾼等教育⾃学考试⾼等数学(⼯专)试题和答案全国2010年10⽉⾼等教育⾃学考试⾼等数学(⼯专)试题课程代码:00022⼀、单项选择题(本⼤题共5⼩题,每⼩题2分,共10分)在每⼩题列出的四个备选项中只有⼀个是符合题⽬要求的,请将其代码填写在题后的括号内。
错选、多选或未选均⽆分。
1.函数y=ln在(0,1)内()A.是⽆界的B.是有界的C.是常数D.是⼩于零的2.极限()A.B.0C.e-1D.-∞3.设f(x)=1+,则以下说法正确的是()A.x=0是f(x)的连续点B.x=0是f(x)的可去间断点C.x=0是f(x)的跳跃间断点D.x=0是f(x)的第⼆类间断点4.=()A.cosx+sinx+CB.cosx-sinxC.cosx+sinxD.cosx-sinx+C5.矩阵的逆矩阵是()A.B.C.D.⼆、填空题(本⼤题共10⼩题,每⼩题3分,共30分)请在每⼩题的空格中填上正确答案。
错填、不填均⽆分。
6.如果级数的⼀般项恒⼤于0.06,则该级数的敛散性为__________.7.若=2,则=____________.8.设f(x)=ex+ln4,则=____________.9.函数f(x)=(x+2)(x-1)2的极⼩值点是________________。
10.⾏列式=_________________________.11.设,则___________________.12.如果在[a,b]上f(x)2,则=_______________________.13.若F(x)为f(x)在区间I上的⼀个原函数,则在区间I上,=_______.14.⽆穷限反常积分=_____________________.15.设A是⼀个3阶⽅阵,且|A|=3,则|-2A|_________________.三、计算题(本⼤题共8⼩题,每⼩题6分,共48分)16.求极限.17.求微分⽅程的通解.18.设y=y(x)是由⽅程ey+xy=e确定的隐函数,求.19.求不定积分.20.求曲线y=ln(1+x2)的凹凸区间和拐点.21.设f(x)=xarctanx-,求.22.计算定积分.23.求解线性⽅程组四、综合题(本⼤题共2⼩题,每⼩题6分,共12分)24.求函数f(x)=x4-8x2+5在闭区间[0,3]上的最⼤值和最⼩值.25.计算由曲线y=x2,y=0及x=1所围成的图形绕x轴旋转⽽成的旋转体的体积.全国2011年1⽉⾼数(⼯专)试题课程代码:00022⼀、单项选择题 1.函数y =ln(x -1)的反函数是() A.y =10x +1 B.y=e x +1 C.y =10x -1 D.y=e -x +12.当x →0时,3x 2是() A.x 的同阶⽆穷⼩量 B.x 的等价⽆穷⼩量 C.⽐x ⾼阶的⽆穷⼩量D.⽐x 低阶的⽆穷⼩量 3.设f (x )==-≠+0,20,)1ln(x x xax 在x =0处连续,则a =( ) A.2 B.-1 C.-2 D.1 4.设f (x )==π'?xf dt t 0)2(, sin 则( ) A.不存在 B.-1 C.0D.15.矩阵A=的逆矩阵是??1 22 5() A.5 2-2- 1 B.1 2-2- 5 C.5 2 2- 1 D ??5 2-2 1 ⼆、填空题(本⼤题共10⼩题,每⼩题3分,共30分) 6.级数∑∞==-+1.____________)1(n n s n n n 项和的前7..____________)11(lim 22=+∞→x x x8.-=+11._____________)sin (dx x x 9.=--+._____________)1111(22dx xx10.函数.____________32的单调减少区间是x y =11.当._______________,453,13=+-=±=p px x y x 则有极值函数时12.24 1 2 1 11 1 )(x x x f =⽅程=0的全部根是_______________.13.曲线.______________2的⽔平渐近线是x e y -=14.设矩阵A =.____________,2 1 1- 3- 2 1 , 1- 1 2 1 =??=?AB B 则 15.⽆穷限反常积分._____________122=?三、计算题(本⼤题共8⼩题,每⼩题6分,共48分)16.求极限.2cos lim2xdt t xx ?∞→17..0)1(2的通解求微分⽅程=++xydx dy x18..,arctan )1ln(222dx yd tt y t x 求设??-=+= 19..14334的凹凸区间与拐点求曲线+-=x x y20..21,1422x y y x ==+直线在该点处其切线平⾏于上的点求椭圆21.求不定积分?.ln 2xdx x 22..11231dx x +?计算定积分 23.⽤消元法求解线性⽅程组=+--=+--=++.0 ,12,323 32321321x x x x x x x x 四、综合题(本⼤题共2⼩题,每⼩题6分,共12分)24.试证当.,1ex e x x>>时 25.线.1,202⾯积轴所围成的平⾯图形的和由曲线之间和x x y x x -===全国2011年4⽉⾼数(⼯专)试题课程代码:00022⼀、单项选择题1.设f (x )=ln x ,g (x )=x +3,则f [g(x )]的定义域是( A ) A.(-3,+∞) B.[-3,+∞) C.(-∞ ,3] D.(-∞,3) 2.当x →+∞时,下列变量中为⽆穷⼤量的是( B )A.x 1B.ln(1+x )C.sin xD.e -x 3.=∞→)πsin(1lim 2n nn ( ) A.不存在 B.π2 C.1 D.04.=+++?22)111(dx x x x ( ) A.0 B.4π C.2π D.π5.设A 为3阶⽅阵,且A 的⾏列式|A |=a ≠0,⽽A *是A 的伴随矩阵,则|A *|等于( ) A.a B. a1C. a 2D.a 3⼆、填空题(本⼤题共10⼩题,每⼩题3分,共30分)6.=++++--∞→)3131313(lim 12n n _________. 7.设函数=≠=0,,0,1sin )(2x a x xx x f 在x =0连续,则a=_________. 8.=∞→xx x 1sinlim _________. 9.y '=2x 的通解为y =_________. 10.设y =sin2x ,则y 〃=_________.11.函数y =e x -x -1单调增加的区间是_________. 12.设?=xdt t x f 0)sin(ln )(,则f '(x )=_________.13.若⽆穷限反常积分4112πA ,则A =_________. 14.⾏列式=aa a 111111_________.15.设矩阵300220111=A ,则=A A '_________.三、计算题(本⼤题共8⼩题,每⼩题6分,共48分)16.设f (x )=(x -a )g (x ),其中g (x )在点x =a 处连续且g (a )=5,求)('a f . 17.求极限3 arctan limx xx x -→.18.求微分⽅程0=+xdy y dx 满⾜条件y |x =3=4的特解. 19.已知参数⽅程-=-=,3,232t t y t t x 求22dx y d .20.求函数f (x )=x 3-3x 2-9x +5的极值.21.求不定积分?+dx ex 13. 22.计算定积分1dx xe x .23.问⼊取何值时,齐次⽅程组=-+=-+-=+--,0)2(,0)3(4,0)1(312121x x x x x x λλλ有⾮零解?四、综合题(本⼤题共2⼩题,每⼩题6分,共12分)24.已知f (x )的⼀个原函数为x sin ,证明C x xx dx x xf +-=?sin 2cos )('. 25.欲围⼀个⾼度⼀定,⾯积为150平⽅⽶的矩形场地,所⽤材料的造价其正⾯是每平⽅⽶6元,其余三⾯是每平⽅⽶3元.问场地的长、宽各为多少⽶时,才能使所⽤材料费最少?2011年4⽉⾼数⾃考试题答案全国2012年1⽉⾼等教育⾃学考试⾼等数学(⼯专)试题课程代码:00022⼀、单项选择题(本⼤题共5⼩题,每⼩题2分,共10分)在每⼩题列出的四个备选项中只有⼀个是符合题⽬要求的,请将其代码填写在题后的括号内。
《高数》试卷1(上)一.选择题(将答案代号填入括号内,每题3分,共30分).1.下列各组函数中,是相同的函数的是( ).(A )()()2ln 2ln f x x g x x == 和 (B )()||f x x = 和 ()g x =(C )()f x x = 和 ()2g x =(D )()||x f x x=和 ()g x =1 2.函数()00x f x a x ≠=⎨⎪=⎩ 在0x =处连续,则a =( ).(A )0 (B )14(C )1 (D )23.曲线ln y x x =的平行于直线10x y -+=的切线方程为( ).(A )1y x =- (B )(1)y x =-+ (C )()()ln 11y x x =-- (D )y x = 4.设函数()||f x x =,则函数在点0x =处( ).(A )连续且可导 (B )连续且可微 (C )连续不可导 (D )不连续不可微5.点0x =是函数4y x =的( ).(A )驻点但非极值点 (B )拐点 (C )驻点且是拐点 (D )驻点且是极值点6.曲线1||y x =的渐近线情况是( ). (A )只有水平渐近线 (B )只有垂直渐近线 (C )既有水平渐近线又有垂直渐近线 (D )既无水平渐近线又无垂直渐近线 7.211f dx x x⎛⎫' ⎪⎝⎭⎰的结果是( ). (A )1f C x ⎛⎫-+ ⎪⎝⎭(B )1f C x ⎛⎫--+ ⎪⎝⎭(C )1f C x ⎛⎫+ ⎪⎝⎭(D )1f C x ⎛⎫-+ ⎪⎝⎭8.x x dxe e -+⎰的结果是( ).(A )arctan xe C + (B )arctan xeC -+ (C )x x e e C --+ (D )ln()x x e e C -++9.下列定积分为零的是( ).(A )424arctan 1x dx x ππ-+⎰ (B )44arcsin x x dx ππ-⎰ (C )112x xe e dx --+⎰ (D )()121sin x x x dx -+⎰ 10.设()f x 为连续函数,则()12f x dx '⎰等于( ).(A )()()20f f - (B )()()11102f f -⎡⎤⎣⎦(C )()()1202f f -⎡⎤⎣⎦(D )()()10f f -二.填空题(每题4分,共20分)1.设函数()2100x e x f x x a x -⎧-≠⎪=⎨⎪=⎩在0x =处连续,则a =.2.已知曲线()y f x =在2x =处的切线的倾斜角为56π,则()2f '=.3.21xy x =-的垂直渐近线有条. 4.()21ln dxx x =+⎰.5.()422sin cos xx x dx ππ-+=⎰.三.计算(每小题5分,共30分) 1.求极限①21lim xx x x →∞+⎛⎫⎪⎝⎭ ②()20sin 1lim xx x x x e →-- 2.求曲线()ln y x y =+所确定的隐函数的导数x y '. 3.求不定积分 ①()()13dxx x ++⎰ ②()220dx a x a >-⎰ ③x xe dx -⎰四.应用题(每题10分,共20分) 1. 作出函数323y x x =-的图像.2.求曲线22y x =和直线4y x =-所围图形的面积.《高数》试卷1参考答案一.选择题1.B 2.B 3.A 4.C 5.D 6.C 7.D 8.A 9.A 10.C 二.填空题 1.2- 2. 3. 2 4.arctanln x c + 5.2 三.计算题 1①2e ②162.11xy x y '=+- 3. ①11ln ||23x C x +++②ln ||x C + ③()1x e x C --++四.应用题1.略 2.18S =《高数》试卷2(上)一.选择题(将答案代号填入括号内,每题3分,共30分) 1.下列各组函数中,是相同函数的是( ).(A) ()f x x =和()g x = (B) ()211x f x x -=-和1y x =+(C) ()f x x =和()22(sin cos )g x x x x =+ (D) ()2ln f x x =和()2ln g x x =2.设函数()()2sin 21112111x x x f x x x x -⎧<⎪-⎪⎪==⎨⎪->⎪⎪⎩,则()1lim x f x →=( ). (A) 0 (B) 1 (C) 2 (D) 不存在3.设函数()y f x =在点0x 处可导,且()f x '>0, 曲线则()y f x =在点()()00,x f x 处的切线的倾斜角为{ }. (A) 0 (B)2π(C) 锐角 (D) 钝角 4.曲线ln y x =上某点的切线平行于直线23y x =-,则该点坐标是( ). (A) 12,ln2⎛⎫⎪⎝⎭(B) 12,ln 2⎛⎫- ⎪⎝⎭ (C)1,ln 22⎛⎫⎪⎝⎭ (D) 1,ln 22⎛⎫- ⎪⎝⎭5.函数2xy x e-=及图象在()1,2内是( ).(A)单调减少且是凸的 (B)单调增加且是凸的 (C)单调减少且是凹的 (D)单调增加且是凹的6.以下结论正确的是( ).(A) 若0x 为函数()y f x =的驻点,则0x 必为函数()y f x =的极值点. (B) 函数()y f x =导数不存在的点,一定不是函数()y f x =的极值点. (C) 若函数()y f x =在0x 处取得极值,且()0f x '存在,则必有()0f x '=0. (D) 若函数()y f x =在0x 处连续,则()0f x '一定存在.7.设函数()y f x =的一个原函数为12xx e ,则()f x =( ). (A) ()121x x e -(B) 12x x e - (C) ()121x x e + (D) 12xxe8.若()()f x dx F x c =+⎰,则()sin cos xf x dx =⎰( ).(A) ()sin F x c + (B) ()sin F x c -+ (C) ()cos F x c + (D) ()cos F x c -+ 9.设()F x 为连续函数,则12x f dx ⎛⎫' ⎪⎝⎭⎰=( ). (A) ()()10f f - (B)()()210f f -⎡⎤⎣⎦ (C) ()()220f f -⎡⎤⎣⎦ (D) ()1202f f ⎡⎤⎛⎫- ⎪⎢⎥⎝⎭⎣⎦10.定积分badx ⎰()a b <在几何上的表示( ).(A) 线段长b a - (B) 线段长a b - (C) 矩形面积()1a b -⨯ (D) 矩形面积()1b a -⨯ 二.填空题(每题4分,共20分)1.设 ()()2ln 101cos 0x x f x xa x ⎧-⎪≠=⎨-⎪=⎩, 在0x =连续,则a =________.2.设2sin y x =, 则dy =_________________sin d x . 3.函数211xy x =+-的水平和垂直渐近线共有_______条. 4.不定积分ln x xdx =⎰______________________.5. 定积分2121sin 11x x dx x -+=+⎰___________. 三.计算题(每小题5分,共30分)1.求下列极限:①()10lim 12xx x →+ ②arctan 2lim 1x x xπ→+∞-2.求由方程1yy xe =-所确定的隐函数的导数x y '. 3.求下列不定积分:①3tan sec x xdx ⎰ ②()220dx a x a>+⎰③2x x e dx ⎰ 四.应用题(每题10分,共20分) 1.作出函数313y x x =-的图象.(要求列出表格)2.计算由两条抛物线:22,y x y x ==所围成的图形的面积.《高数》试卷2参考答案一.选择题:CDCDB CADDD二填空题:1.-2 2.2sin x 3.3 4.2211ln 24x x x c -+ 5.2π三.计算题:1. ①2e ②1 2.2yx e y y '=- 3.①3sec 3xc +②)ln x c + ③()222x x x e c -++四.应用题:1.略 2.13S =《高数》试卷3(上)一、 填空题(每小题3分, 共24分)1.函数y =的定义域为________________________.2.设函数()sin 4,0,0xx f x x a x ⎧≠⎪=⎨⎪=⎩, 则当a =_________时, ()f x 在0x =处连续.3. 函数221()32x f x x x -=-+的无穷型间断点为________________.4. 设()f x 可导, ()xy f e =, 则____________.y '=5. 221lim _________________.25x x x x →∞+=+- 6. 321421sin 1x xdx x x -+-⎰=______________. 7. 20_______________________.x t d e dt dx -=⎰ 8. 30y y y '''+-=是_______阶微分方程.二、求下列极限(每小题5分, 共15分)1. 01lim sin x x e x →-;2. 233lim 9x x x →--; 3. 1lim 1.2xx x -→∞⎛⎫+ ⎪⎝⎭三、求下列导数或微分(每小题5分, 共15分)1. 2xy x =+, 求(0)y '. 2. cos x y e =, 求dy . 3. 设x y xy e +=, 求dydx .四、求下列积分 (每小题5分, 共15分)1. 12sin x dx x ⎛⎫+ ⎪⎝⎭⎰. 2.ln(1)x x dx +⎰.3.120x e dx ⎰五、(8分)求曲线1cos x t y t=⎧⎨=-⎩在2t π=处的切线与法线方程.六、(8分)求由曲线21,y x =+ 直线0,0y x ==和1x =所围成的平面图形的面积, 以及此图形绕y 轴旋转所得旋转体的体积.七、(8分)求微分方程6130y y y '''++=的通解. 八、(7分)求微分方程x yy e x'+=满足初始条件()10y =的特解. 《高数》试卷3参考答案一.1.3x< 2.4a = 3.2x = 4.'()x x e f e5.126.07.22x xe -8.二阶二.1.原式=0lim 1x xx→= 2.311lim36x x →=+ 3.原式=112221lim[(1)]2x x e x--→∞+= 三.1.221','(0)(2)2y y x ==+2.cos sin x dy xe dx =-3.两边对x 求写:'(1')x y y xy e y +==+'x y x y e y xy yy x e x xy++--⇒==-- 四.1.原式=lim 2cos x x C -+2.原式=2221lim(1)()lim(1)[lim(1)]22x x x d x x d x x +=+-+⎰⎰=22111lim(1)lim(1)(1)221221x x x x dx x x dx x x +-=+--+++⎰⎰=221lim(1)[lim(1)]222x x x x x C +--+++3.原式=1221200111(2)(1)222x x e d x e e ==-⎰五.sin 1,122dy dy t t t y dx dx ππ=====且切线:1,1022y x y x ππ-=---+=即 法线:1(),1022y x y x ππ-=--+--=即六.12210013(1)()22S x dx x x =+=+=⎰11224205210(1)(21)228()5315V x dx x x dxx x x ππππ=+=++=++=⎰⎰七.特征方程:2312613032(cos 2sin 2)x r r r iy e C x C x -++=⇒=-±=+八.11()dxdxxx x y ee edx C -⎰⎰=+⎰1[(1)]x x e C x=-+ 由10,0y x C ==⇒=1xx y e x-∴=《高数》试卷4(上)一、选择题(每小题3分) 1、函数 2)1ln(++-=x x y 的定义域是( ).A []1,2-B [)1,2-C (]1,2-D ()1,2- 2、极限xx e ∞→lim 的值是( ).A 、 ∞+B 、 0C 、∞-D 、 不存在 3、=--→211)1sin(limx x x ( ).A 、1B 、 0C 、 21-D 、214、曲线 23-+=x x y 在点)0,1(处的切线方程是( ) A 、 )1(2-=x y B 、)1(4-=x y C 、14-=x y D 、)1(3-=x y 5、下列各微分式正确的是( ).A 、)(2x d xdx = B 、)2(sin 2cos x d xdx = C 、)5(x d dx --= D 、22)()(dx x d =6、设⎰+=C xdx x f 2cos 2)( ,则 =)(x f ( ). A 、2sin x B 、 2sin x - C 、 C x +2sin D 、2sin 2x-7、⎰=+dx xx ln 2( ).A 、C x x++-22ln 212 B 、 C x ++2)ln 2(21C 、 C x ++ln 2lnD 、 C xx++-2ln 1 8、曲线2x y = ,1=x ,0=y 所围成的图形绕y 轴旋转所得旋转体体积=V ( ). A 、⎰14dx x π B 、⎰1ydy πC 、⎰-1)1(dy y π D 、⎰-104)1(dx x π9、⎰=+101dx e e xx( ). A 、21lne + B 、22ln e + C 、31ln e + D 、221ln e + 10、微分方程 xe y y y 22=+'+'' 的一个特解为( ).A 、x e y 273=* B 、x e y 73=* C 、x xe y 272=* D 、x e y 272=*二、填空题(每小题4分)1、设函数xxe y =,则 =''y ; 2、如果322sin 3lim 0=→x mx x , 则 =m .3、=⎰-113cos xdx x ;4、微分方程 044=+'+''y y y 的通解是 .5、函数x x x f 2)(+= 在区间 []4,0 上的最大值是 ,最小值是 ;三、计算题(每小题5分) 1、求极限 x x x x --+→11lim 0; 2、求x x y sin ln cot 212+= 的导数;3、求函数 1133+-=x x y 的微分;4、求不定积分⎰++11x dx;5、求定积分⎰eedx x 1ln ; 6、解方程21xy xdx dy -=;四、应用题(每小题10分)1、 求抛物线2x y = 与 22x y -=所围成的平面图形的面积.2、 利用导数作出函数323x x y -= 的图象.参考答案一、1、C ; 2、D ; 3、C ; 4、B ; 5、C ; 6、B ; 7、B ; 8、A ; 9、A ; 10、D ;二、1、xe x )2(+; 2、94 ; 3、0 ; 4、xe x C C y 221)(-+= ; 5、8,0三、1、 1; 2、x 3cot - ; 3、dx x x 232)1(6+ ; 4、C x x +++-+)11ln(212; 5、)12(2e - ; 6、C x y =-+2212 ; 四、1、38; 2、图略《高数》试卷5(上)一、选择题(每小题3分) 1、函数)1lg(12+++=x x y 的定义域是( ).A 、()()+∞--,01,2B 、 ()),0(0,1+∞-C 、),0()0,1(+∞-D 、),1(+∞- 2、下列各式中,极限存在的是( ).A 、 x x cos lim 0→ B 、x x arctan lim ∞→ C 、x x sin lim ∞→ D 、xx 2lim +∞→3、=+∞→xx xx )1(lim ( ). A 、e B 、2e C 、1 D 、e1 4、曲线x x y ln =的平行于直线01=+-y x 的切线方程是( ). A 、 x y = B 、)1)(1(ln --=x x y C 、 1-=x y D 、)1(+-=x y 5、已知x x y 3sin = ,则=dy ( ).A 、dx x x )3sin 33cos (+-B 、dx x x x )3cos 33(sin +C 、dx x x )3sin 3(cos +D 、dx x x x )3cos 3(sin + 6、下列等式成立的是( ). A 、⎰++=-C x dx x 111ααα B 、⎰+=C x a dx a x x lnC 、⎰+=C x xdx sin cosD 、⎰++=C x xdx 211tan7、计算⎰xdx x e x cos sin sin 的结果中正确的是( ).A 、C ex+sin B 、C x e x +cos sinC 、C x ex+sin sin D 、C x e x +-)1(sin sin8、曲线2x y = ,1=x ,0=y 所围成的图形绕x 轴旋转所得旋转体体积=V ( ). A 、⎰14dx x π B 、⎰1ydy πC 、⎰-1)1(dy y π D 、⎰-104)1(dx x π9、设 a ﹥0,则=-⎰dx x a a22( ).A 、2a B 、22a πC 、241a 0 D 、241a π 10、方程( )是一阶线性微分方程. A 、0ln2=+'xyy x B 、0=+'y e y x C 、0sin )1(2=-'+y y y x D 、0)6(2=-+'dy x y dx y x二、填空题(每小题4分)1、设⎩⎨⎧+≤+=0,0,1)( x b ax x e x f x ,则有=-→)(lim 0x f x ,=+→)(lim 0x f x ;2、设 xxe y = ,则 =''y ;3、函数)1ln()(2x x f +=在区间[]2,1-的最大值是 ,最小值是 ;4、=⎰-113cos xdx x;5、微分方程 023=+'-''y y y 的通解是 .三、计算题(每小题5分) 1、求极限 )2311(lim 21-+--→x x x x ;2、求 x x y arccos 12-= 的导数;3、求函数21xx y -=的微分;4、求不定积分⎰+dx xxln 21 ;5、求定积分 ⎰eedx x 1ln ;6、求方程y xy y x =+'2满足初始条件4)21(=y 的特解.四、应用题(每小题10分)1、求由曲线 22x y -= 和直线 0=+y x 所围成的平面图形的面积.2、利用导数作出函数 49623-+-=x x x y 的图象.参考答案(B 卷)一、1、B ; 2、A ; 3、D ; 4、C ; 5、B ; 6、C ; 7、D ; 8、A ; 9、D ; 10、B.二、1、 2 ,b ; 2、xe x )2(+ ; 3、 5ln ,0 ; 4、0 ; 5、xxe C e C 221+.三、1、31 ; 2、1arccos 12---x xx ; 3、dx x x 221)1(1-- ;4、C x ++ln 22 ;5、)12(2e- ; 6、x e x y 122-= ;四、1、 29; 2、图略七年级英语期末考试质量分析一、试卷分析:本次试卷的难易程度定位在面向大多数学生。
2014年专升本(高等数学一)真题试卷(题后含答案及解析)题型有:1. 选择题 2. 填空题 3. 解答题选择题1.( )A.e2B.e1C.eD.e2正确答案:D2.设y=e-5x,则dy=( )A.-5e2-5xdxB.-e-5xdxC.e-5xdxD.5e-5xdx正确答案:A3.设函数f(x)=xsinx,则( )A.B.1C.D.2π正确答案:B4.设函数f(x)在[a,b]连续,在(a,b)可导,f’(x)>0,若f(a).f(b)<0,则y=f’(x)在(a,b)( )A.不存在零点B.存在唯一零点C.存在极大值点D.存在极小值点正确答案:B5.∫x2ex3dx=( )A.B.3x2ex3+CC.D.3ex3+C正确答案:C6.∫-11(3x2+sin5x)dx=( )A.-2B.-1C.1D.2正确答案:D7.∫1+∞e-xdx=( )A.-eB.-e-1C.e-1D.e正确答案:C8.设二元函数z=x2y+xsiny,则=( )A.2xy+sinyB.x2+xcosyC.2xy+xsinyD.x2y+siny正确答案:A9.设二元函数z==( ) A.1B.2C.x2+y2D.正确答案:A10.设球面方程为(x-1)2+(y+2)2+(z-3)2=4,则该球的球心坐标与半径分别为( )A.(-1,2,-3);2B.(-1,2,-3);4C.(1,-2,3);2D.(1,-2,3);4正确答案:C填空题11.设=3,则a=________。
正确答案:12.曲线的铅直渐近线方程为________。
正确答案:13.设,则y’=________。
正确答案:14.设函数f(x)=在x=0处连续,则a=________。
正确答案:315.曲线y=xcosx在点(0,1)处的切线的斜率k=________。
正确答案:116.=________。
正确答案:17.设函数f(x)=∫0xet2,则f’(0)=________。
《高 等 数 学》课程试题一、填空题 .(每小题3分,共24分) 1. 设=+=)]([,1)(2x f f xx x f 则2. =→xx x 5sin 3sin lim 03. 设⎩⎨⎧≥+<=0,0,)(x x a x e x f x 在0=x 连续,则常数=a4. 曲线x y ln 2=上点(1, 0)处的切线方程为5.设参数方程⎩⎨⎧==ty t x sin 2,则=dxdy 6. 函数x x f 2arctan )(=,则=dy7. ⎰=)(cos x xd 8. ⎰-201dx x =二、选择题 .(每小题3分,共24分)1.设函数⎩⎨⎧<<-≥-+=10,11,42)(22x x x x x x f ,则)(lim 1x f x →等于( )A .-3B .-1C . 0D .不存在 2. 当)1ln(0x ,,x +→两个无穷小比较时是比x ( )A. 高阶的无穷小量B. 等价的无穷小量C. 非等价的同阶无穷小量D. 低阶的无穷小量3.设)(x f 的一个原函数为)1ln(+x x ,则下列等式成立的是( ) A .C x x dx x f ++=⎰)1ln()( B.C x x dx x f +'+=⎰]1ln([)(班级:姓名:学号:试题共页加白纸张密封线C.⎰+=+C x f dxx x )()1ln( D.C x f dx x x +='+⎰)(])1ln([ 4. 设函数)(x f y =在0x x =处可导,则必有( )A .0=∆y B. 0lim=∆→y xx C. dy y =∆ D. 0=dy 5.设)12)(1()(+-='x x x f ,则在)1,21(内,曲线)(x f 是( )A .单调增加且是凹的B .单调增加且是凸的C .单调减少且是凹的D .单调减少且是凸的 6.设)0(),1ln(≠+=a ax y ,则二阶导数y ''=( ) A .22)1(ax a+ B.2)1(ax a + C. 22)1(ax a+-D. 2)1(ax a+-7.积分=⎰-dx x1121( )A .是发散的 B. 2 C. -2 D . 0 8.设函数⎰-=Φ2)(xtdttex ,则其导数=Φ')(x ( )A .x xe - B. xxe--;C.232xex -D.232xex --三、求极限.(每小题5分,共10分) (1)3)21(lim +∞→+x x x(2)xx x x sin cos 1lim+-→四、求下列导数或微分. (每小题6分,共12分) (1)求由方程1ln =+y ye x确定的隐函数)(x f y =的导数dxdy ;(2)求函数xe y sin =在01.0,0=∆=x x 处的微分dy五、求下列积分.(每小题6分,共18分) (1) ⎰+dxeexx 21(2)⎰212ln exdx x(3)⎰20sin πdx x六、设x:,0求证(5分)>1>ex x+七、欲做一个长方体的带盖箱子,其体积为723m,而底面的长与宽成2:1的关系。
自考高数一历年试题及答案自考高等数学(一)历年试题及答案一、选择题1. 下列函数中,不是周期函数的是()。
A. y = sin(x)B. y = cos(x)C. y = e^xD. y = x^2答案:C2. 函数f(x) = x^3在区间(-1,2)上的最大值是()。
A. 1B. 8C. -1D. 2答案:B3. 微分方程dy/dx - y = 0的通解是()。
A. y = Ce^xB. y = Cxe^xC. y = CxD. y = e^x答案:A4. 若函数f(x) = 2x - 3在点x=1处的导数为1,则该函数在此处的切线斜率为______。
答案:15. 定积分∫₀¹ x² dx的值为______。
答案:1/3三、解答题6. 求函数f(x) = 3x² - 2x + 5的极值。
解答:首先求导数f'(x) = 6x - 2。
令f'(x) = 0,解得x = 1/3。
在x = 1/3处,f(x)取得极小值,计算得f(1/3) = 14/3。
7. 已知某工厂生产函数为Q = 2L²/3 + 3K,其中L为劳动投入,K为资本投入。
求劳动对产量的边际贡献。
解答:首先求产量对劳动的偏导数,即边际贡献。
对Q关于L求偏导得:dQ/dL = 4L/3。
这就是劳动对产量的边际贡献。
四、证明题8. 证明函数f(x) = x³ - 6x在区间(-2, 2)上是增函数。
证明:求导数f'(x) = 3x² - 6。
要证明f(x)在区间(-2, 2)上是增函数,需要证明f'(x)在该区间内恒大于0。
观察f'(x) = 3x² - 6,可以发现在x = ±√2时,f'(x) = 0。
在区间(-2, -√2)和(√2, 2)内,f'(x) > 0,而在区间(-√2, √2)内,f'(x) < 0。
2004年下半年高等教育自学考试全国统一命题考试高等数学(一) 试题课程代码:0020一、单项选择题(本大题共20小题,每小题2分,共40分)在每小题列出的四个备选项中只有一个是符合题目要求的,请将其代码填写在题后的括号内。
错选、多选或未选均无分。
1.下列函数中,函数的图象关于原点对称的是( )A .y=sin |x|B .y=3sin 2x+1C .y=-x 3sin xD .y=x 2sin x2.下列各函数中,互为反函数的是( )A .y=e x y=e x -B .y=log 2x, y= log 21xC .y=tan x, y=cot xD .y=2x+1, y=21 (x-1) 3.)(n n e 11lim -∞→sin n=( ) A .0 B .1C .不存在D .∞4.设f(x)=ln(9-x 2),则f(x)的连续区间是( )A .(-∞, -3)B .(3, +∞)C .[-3, 3]D .(-3, 3) 5.设f(x)=⎩⎨⎧≤<-≤≤-21,3310,12x x x x , 则f +′(1)=( ) A .2 B .-2C .3D .-36.设y=sin 2x, 则y)(n =( ) A .2sin(2x+2πn ) B .2n sin(2x+2πn ) C .2n sin(x+2πn ) D .2sin(2x+2πn )7.设y=ex 1-,则dy=( ) A .e x 1-dx B .e x 1dxC .-21xe x 1-dx D .21x e x 1-dx8.=-242)3(dx x x d ( ) A .1-6x 2 B .2-36x 2C .2x-12x 3D .x-6x 3 9.=-→xe x x sin 1lim 20( ) A .2 B .1C .0D .∞10.函数y=42)1(422+++x x x 的水平渐近线方程是( ) A .y=1 B .y=2C .y=4D .不存在11.设⎰+=C x dx x f sec )(,则f(x)=() A .tan x B .tan 2xC .secx· tan xD .secx· tan 2 x12.=-⎰dx xx 621( ) A .arcsin x 3+C B .31arcsin x 3+C C .3arcsin x 3+C D .261x -+C13.下列广义积分中,收敛的是( )A .dx x ⎰101 B .dx x ⎰101 C .dx x ⎰1021 D .dx x x ⎰101 14.设⎰=xt e dt e 0,则x=( )A .e+1B .eC .ln (e+1)D .ln (e-1)15.下列级数中条件收敛的是( )A .n n n )32()1(11∑∞=-- B .∑∞=--11)1(n n nC .n n n )31()1(11∑∞=-- D .∑∞=-+-1212)1(n n n n16.幂级数∑∞=++11)21(n nnx 的收敛区间是( )A .(-23 , 21) B .[-23 , 21]C .[-23 , 21) D .(-23 , 21]17.设z=ln(x-y 2),则y z∂∂=( )A .21y x - B .22y x y--C . 221y x y --D .22y x yx --18.函数z=x 2+2xy-y 2-4x+2y-9的驻点是( )A .)23,21(B .)23,21(-C .)23,21(- D .)23,21(--19.⎰⎰≤≤≤≤+1010y x y x dxdy e =( )A .e-1B .eC .(e-1)2D .e 220.设y=y(x)满足微分方程e o y x =-1',且当x=0时,y=0,则x=-1时,y=()A .1-eB .1+eC .-eD .e二、简单计算题(本大题共5小题,每小题4分,共20分)21.讨论函数y=⎪⎩⎪⎨⎧≥-<-o x x x x ,10,12在点x=0处的连续性.22.设y=x x+-11,求y′|4=x23.求不定积分 ⎰xdx x x cos sin .24.设z=(ysinx)31,求dz.25.判断级数n n n n )12(1∑∞=+的敛散性. 三、计算题(本大题共4小题,每小题6分,共24分) 26.求z=x 4+y 4-4(x-y)+1的极值. 27.计算定积分I=⎰-π03)sin 1(dx x .28.计算二重积分⎰⎰D y dxdy xe 3,其中D :x≤y≤1,0≤x≤1. 29.求微分方程cosx x x y dxdy 2cos sin +=满足初始条件y|π=x =1的特解. 四、应用题(本大题共2小题,每小题8分,共16分)30.用薄铁皮做成一个容积为V 0的有盖长方匣,其底为正方形,由于下底面无需喷漆,故其每单位面积成本仅为其余各面的一半,问长方匣的底面边长为多少时,才能使匣子的造价最低?31.求抛物线y 2=4x 与直线x=1所围成的平面图形分别绕x 轴和y 轴旋转一周所得旋转体的体积V x 和V y .。
绝密★启用前2010年普通高等学校招生全国统一考试理科数学(必修+选修II)本试卷分第I 卷(选择题)和第Ⅱ卷(非选择题)两部分。
第I 卷1至2页。
第Ⅱ卷3 至4页。
考试结束后,将本试卷和答题卡一并交回。
第I 卷注意事项:1.答题前,考生在答题卡上务必用直径0.5毫米黑色墨水签字笔将自己的姓名、准考证号填写清楚,并贴好条形码。
请认真核准条形码上的准考证号、姓名和科目。
2.每小题选出答案后,用2B 铅笔把答题卡上对应题目的答案标号涂黑,如需改动,用橡皮擦干净后,再选涂其他答案标号,在试题卷上作答无效.........。
3.第I 卷共12小题,每小题5分,共60分。
在每小题给出的四个选项中,只有一项是符合题目要求的。
参考公式:如果事件A 、B 互斥,那么 球的表面积公式()()()P A B P A P B +=+ 24S R π=如果事件A 、B 相互独立,那么 其中R 表示球的半径 ()()()P A B P A P B = 球的体积公式 如果事件A 在一次试验中发生的概率是p ,那么 334V R π=n 次独立重复试验中事件A 恰好发生k 次的概率 其中R 表示球的半径()(1)(0,1,2,)k kn k n n P k C p p k n -=-=…一.选择题 (1)复数3223ii+=- (A)i (B)i - (C)12-13i (D) 12+13i1.A 【命题意图】本小题主要考查复数的基本运算,重点考查分母实数化的转化技巧.【解析1】32(32)(23)694623(23)(23)13i i i i i i i i i +++++-===--+. 【解析2】232322323i i ii i i+-+==-- (2)记cos(80)k -︒=,那么tan100︒=B. C.D.2.B 【命题意图】本小题主要考查诱导公式、同角三角函数关系式等三角函数知识,并突出了弦切互化这一转化思想的应用.【解析1】222sin801cos 801cos (80)1k =-=--=-,所以tan100tan80︒=-sin 80cos80k=-=-【解析2】cos(80)k -︒=cos(80)k⇒︒=,()()00000sin 18080sin100sin 80tan1001008018080oo ocon con con -︒===--=(3)若变量,x y 满足约束条件1,0,20,y x y x y ≤⎧⎪+≥⎨⎪--≤⎩则2z x y =-的最大值为(A)4 (B)3 (C)2 (D)13.B 【命题意图】本小题主要考查线性规划知识、作图、识图能力及计算能力.【解析1】画出可行域(如右图),由图可知,当直线l 经过点A(1,-1)时,z 最大,且最大值为max 12(1)3z =-⨯-=.x +20y -=【解析2】11222z x y y x z =-⇒=-,画图知过点()1,1-是最大,()1213Max z =--= (4)已知各项均为正数的等比数列{n a },123a a a =5,789a a a =10,则456a a a =(A) 4.A 【命题意图】本小题主要考查等比数列的性质、指数幂的运算、根式与指数式的互化等知识,着重考查了转化与化归的数学思想.【解析1】由等比数列的性质知31231322()5a a a a a a a ===, 37897988()a a a a a a a ===10,所以132850a a =,所以133364564655()(50)a a a a a a a =====【解析2】123a a a =5325a ⇒=;789a a a =103810,a ⇒=6333528456550a a a a a a a ⇒==⇒==(5)35(1(1+的展开式中x 的系数是 (A) -4 (B) -2 (C) 2 (D) 4 5.C 【解析】12451335333322(1(1161281510105x x x x x x x x ⎛⎫⎛⎫+=+++-+-+- ⎪ ⎪⎝⎭⎝⎭x 的系数是 -10+12=2(6)某校开设A 类选修课3门,B 类选择课4门,一位同学从中共选3门,若要求两类课程中各至少选一门,则不同的选法共有 (A) 30种 (B)35种 (C)42种 (D)48种6.A 【命题意图】本小题主要考查分类计数原理、组合知识,以及分类讨论的数AB C DA 1B 1C 1D 1 O学思想.【解析1】:可分以下2种情况:(1)A 类选修课选1门,B 类选修课选2门,有1234C C 种不同的选法;(2)A 类选修课选2门,B 类选修课选1门,有2134C C 种不同的选法.所以不同的选法共有1234C C +2134181230C C =+=种. 【解析2】33373430C C C --=(7)正方体ABCD-1111A BC D 中,B 1B 与平面AC 1D 所成角的余弦值为A3237.D 【命题意图】本小题主要考查正方体的性质、直线与平面所成的角、点到平面的距离的求法,利用等体积转化求出D 到平面AC 1D 的距离是解决本题的关键所在,这也是转化思想的具体体现.与【解析1】因为BB 1//DD 1,所以B 1B 与平面AC 1D 所成角和DD 1平面AC 1D 所成角相等,设DO ⊥平面AC 1D ,由等体积法得11D ACD D ACD V V --=,即111133ACD ACD S DO S DD∆∆⋅=⋅.设DD 1=a,则122111sin 60)22ACD S AC AD ∆==⨯=,21122ACD S ADCD a ∆==. 所以1313A C D A C D S D D D O a S ∆∆==,记DD 1与平面AC 1D 所成角为θ,则1sin 3DO DD θ==,所以cos θ=. 【解析2】设上下底面的中心分别为1,O O ;1O O 与平面AC 1D 所成角就是B 1B 与平面AC 1D所成角,1111cos 1/3O O O OD OD ∠===(8)设a=3log 2,b=In2,c=125-,则A a<b<c Bb<c<a C c<a<b D c<b<a8.C 【命题意图】本小题以指数、对数为载体,主要考查指数函数与对数函数的性质、实数大小的比较、换底公式、不等式中的倒数法则的应用. 【解析1】 a=3log 2=21log 3, b=In2=21log e,而22log 3log 1e >>,所以a<b, c=125-222log 4log 3>=>,所以c<a,综上c<a<b. 【解析2】a =3log 2=321log ,b =ln2=21log e , 3221log log 2e <<< ,32211112log log e<<<; c=12152-=<=,∴c<a<b (9)已知1F 、2F 为双曲线C:221x y -=的左、右焦点,点p 在C 上,∠1F p 2F =060,则P 到x 轴的距离为(A)(C)(D)9.B 【命题意图】本小题主要考查双曲线的几何性质、第二定义、余弦定理,考查转化的数学思想,通过本题可以有效地考查考生的综合运用能力及运算能力.【解析1】不妨设点P 00(,)x y 在双曲线的右支,由双曲线的第二定义得21000||[()]1a PF e x a ex c =--=+=+,22000||[)]1a PF e x ex a c=-=-=-.由余弦定理得cos ∠1F P 2F =222121212||||||2||||PF PF F F PF PF +-,即cos 060=,解得2052x =,所以2200312y x =-=,故P 到x轴的距离为0||2y =【解析2】由焦点三角形面积公式得:120226011cot 1cot 222222F PF S b c h h h θ∆=====⇒=(10)已知函数F(x)=|lgx|,若0<a<b,且f(a)=f(b),则a+2b 的取值范围是(A))+∞(B))+∞ (C)(3,)+∞ (D)[3,)+∞10.A 【命题意图】本小题主要考查对数函数的性质、函数的单调性、函数的值域,考生在做本小题时极易忽视a 的取值范围,而利用均值不等式求得a+2b 2a a=+>,从而错选A,这也是命题者的用苦良心之处.【解析1】因为 f(a)=f(b),所以|lga|=|lgb|,所以a=b(舍去),或1b a =,所以a+2b=2a a+ 又0<a<b,所以0<a<1<b ,令2()f a a a=+,由“对勾”函数的性质知函数()f a 在a ∈(0,1)上为减函数,所以f(a)>f(1)=1+21=3,即a+2b 的取值范围是(3,+∞). 【解析2】由0<a<b,且f (a )=f (b )得:0111a b ab <<⎧⎪<⎨⎪=⎩,利用线性规划得:0111x y xy <<⎧⎪<⎨⎪=⎩,求2z x y=+的取值范围问题,11222z x y y x z =+⇒=-+,2111y y x x'=⇒=-<-⇒过点()1,1时z 最小为3,∴(C)(3,)+∞(11)已知圆O 的半径为1,PA 、PB 为该圆的两条切线,A 、B 为俩切点,那么PA PB ∙的最小值为(A) 4-(B)3-(C) 4-+(D)3-+11.D 【命题意图】本小题主要考查向量的数量积运算与圆的切线长定理,着重考查最值的求法——判别式法,同时也考查了考生综合运用数学知识解题的能力及运算能力. 【解析1】如图所示:设PA=PB=x (0)x >,∠APO=α,则∠APB=2α,,sin α=||||cos 2PA PB PA PB α∙=⋅=22(12sin )x α-=222(1)1x x x -+=4221x x x -+,令PA PB y ∙=,则4221x x y x -=+,即42(1)0x y x y -+-=,由2x 是实数,所以2[(1)]41()0y y ∆=-+-⨯⨯-≥,2610y y ++≥,解得3y ≤--或3y ≥-+故min ()3PA PB ∙=-+.此时x =【解析2】法一: 设,0APB θθπ∠=<<,()()2cos 1/tan cos 2PA PB PA PB θθθ⎛⎫∙== ⎪⎝⎭2222221sin 12sin cos 22212sin 2sin sin22θθθθθθ⎛⎫⎛⎫-- ⎪⎪⎛⎫⎝⎭⎝⎭=⋅-=⎪⎝⎭ 法二:换元:2sin,012x x θ=<≤,()()1121233x x PA PB x xx--∙==+-≥或建系:园的方程为221x y +=,设11110(,),(,),(,0)A x y B x y P x -,()()2211101110110,,001AO PA x y x x y x x x y x x ⊥⇒⋅-=⇒-+=⇒=()222222221100110110221233PA PB x x x x y x x x x x ∙=-+-=-+--=+-≥(12)已知在半径为2的球面上有A 、B 、C 、D 四点,若AB=CD=2,则四面体ABCD 的体积的最大值为(A)3(B)3(C)(D) 312.B 【命题意图】本小题主要考查几何体的体积的计算、球的性质、异面直线的距离,通过球这个载体考查考生的空间想象能力及推理运算能力.【解析1】过CD 作平面PCD ,使AB ⊥平面PCD,交AB 与P,设点P 到CD 的距离为h ,则有ABCD 11222323V h h =⨯⨯⨯⨯=四面体,当直径通过AB 与CD 的中点时,max h =故max V =. 【解析2】()()22210110111001,,2PA PB x x y x x y x x x x y ∙=-⋅--=-+-绝密★启用前2010年普通高等学校招生全国统一考试理科数学(必修+选修II)第Ⅱ卷注意事项:1.答题前,考生先在答题卡上用直径0.5毫米黑色墨水签字笔将自己的姓名、准考证号填写清楚,然后贴好条形码。
《高等数学》试卷(一)一.选择题(将答案代号填入括号内,每题3分,共30分).1.下列各组函数中,是相同的函数的是( ).(A )()()2ln 2ln f x x g x x == 和 (B )()||f x x = 和 ()g x =(C )()f x x = 和 ()2g x =(D )()||x f x x=和 ()g x =12.函数()()20ln 10x f x x a x ≠=+⎨⎪=⎩在0x =处连续,则a =( ).(A )0 (B )14(C )1 (D )23.曲线ln y x x =的平行于直线10x y -+=的切线方程为( ).(A )1y x =- (B )(1)y x =-+ (C )()()ln 11y x x =-- (D )y x = 4.设函数()||f x x =,则函数在点0x =处( ).(A )连续且可导 (B )连续且可微 (C )连续不可导 (D )不连续不可微5.点0x =是函数4y x =的( ).(A )驻点但非极值点 (B )拐点 (C )驻点且是拐点 (D )驻点且是极值点6.曲线1||y x =的渐近线情况是( ).(A )只有水平渐近线 (B )只有垂直渐近线 (C )既有水平渐近线又有垂直渐近线 (D )既无水平渐近线又无垂直渐近线 7.211f dx x x ⎛⎫'⎪⎝⎭⎰的结果是( ). (A )1f C x ⎛⎫-+ ⎪⎝⎭ (B )1f C x ⎛⎫--+ ⎪⎝⎭ (C )1f C x ⎛⎫+ ⎪⎝⎭ (D )1f C x⎛⎫-+⎪⎝⎭8.xxdx e e-+⎰的结果是( ).(A )arctan xe C + (B )arctan xe C -+ (C )x xe eC --+ (D )ln()x xe eC -++9.下列定积分为零的是( ).(A )424arctan 1x dx xππ-+⎰(B )44arcsin x x dx ππ-⎰(C )112x xe edx --+⎰(D )()121sin xx x dx -+⎰10.设()f x 为连续函数,则()12f x dx '⎰等于( ).(A )()()20f f - (B )()()11102f f -⎡⎤⎣⎦(C )()()1202f f -⎡⎤⎣⎦(D )()()10f f -二.填空题(每题4分,共20分)1.设函数()2100x e x f x xa x -⎧-≠⎪=⎨⎪=⎩在0x =处连续,则a =.2.已知曲线()y f x =在2x =处的切线的倾斜角为56π,则()2f '=.3.21x y x =-的垂直渐近线有条.4.()21ln dx x x =+⎰.5.()422sin cos x x x dx ππ-+=⎰.三.计算(每小题5分,共30分) 1.求极限 ①21limxx x x →∞+⎛⎫ ⎪⎝⎭②()2sin 1limxx x x x e→--2.求方程()ln y x y =+所确定的隐函数的导数x y '. 3.求不定积分 ①()()13dxx x ++⎰②()0a >⎰③x xe dx -⎰四.应用题(每题10分,共20分) 1. 作出函数323y x x =-的图像.2.求曲线22y x =和直线4y x =-所围图形的面积.《高等数学》试卷(一)参考答案一.选择题1.B 2.B 3.A 4.C 5.D 6.C 7.D 8.A 9.A 10.C 二.填空题1.2- 2.3- 3. 2 4.arctan ln x c + 5.2三.计算题 1①2e ②162.11xy x y '=+-3. ①11ln ||23x C x +++ ②ln ||x C +③()1xex C--++四.应用题1.略 2.18S =《高数》试卷2(上)一.选择题(将答案代号填入括号内,每题3分,共30分)1.下列各组函数中,是相同函数的是( ).(A) ()f x x =和()g x =(B) ()211x f x x -=-和1y x =+(C) ()f x x =和()22(sin cos )g x x x x =+ (D) ()2ln f x x =和()2ln g x x =2.设函数()()2sin 21112111x x x f x x x x -⎧<⎪-⎪⎪==⎨⎪->⎪⎪⎩,则()1lim x fx →=( ).(A) 0 (B) 1 (C) 2 (D) 不存在3.设函数()y f x =在点0x 处可导,且0)(0>'x f , 则曲线()y f x =在点()()00,x f x 处的切线的倾斜角为{ }. (A) 0 (B)2π(C) 锐角 (D) 钝角4.曲线ln y x =上某点的切线平行于直线23y x =-,则该点坐标是( ).(A) 12,ln 2⎛⎫ ⎪⎝⎭ (B) 12,ln 2⎛⎫- ⎪⎝⎭ (C) 1,ln 22⎛⎫⎪⎝⎭ (D) 1,ln 22⎛⎫- ⎪⎝⎭5.函数2x y x e -=及图象在()1,2内是( ).(A)单调减少且是凸的 (B)单调增加且是凸的 (C)单调减少且是凹的 (D)单调增加且是凹的6.以下结论正确的是( ).(A) 若0x 为函数()y f x =的驻点,则0x 必为函数()y f x =的极值点. (B) 函数()y f x =导数不存在的点,一定不是函数()y f x =的极值点. (C) 若函数()y f x =在0x 处取得极值,且()0f x '存在,则必有()0f x '=0. (D) 若函数()y f x =在0x 处连续,则()0f x '一定存在.7.设函数()y f x =的一个原函数为12x x e ,则()f x =( ).(A) ()121x x e - (B) 12x x e - (C) ()121x x e + (D) 12x xe 8.若()()f x dx F x c =+⎰,则()sin cos xf x dx =⎰( ).(A) ()sin F x c + (B) ()sin F x c -+ (C) ()cos F x c + (D) ()cos F x c -+ 9.设()F x 为连续函数,则12x f dx ⎛⎫'⎪⎝⎭⎰=( ). (A) ()()10f f - (B)()()210f f -⎡⎤⎣⎦ (C) ()()220f f -⎡⎤⎣⎦ (D) ()1202f f ⎡⎤⎛⎫- ⎪⎢⎥⎝⎭⎣⎦10.定积分badx ⎰()a b <在几何上的表示( ).(A) 线段长b a - (B) 线段长a b - (C) 矩形面积()1a b -⨯ (D) 矩形面积()1b a -⨯ 二.填空题(每题4分,共20分) 1.设 ()()2ln 101cos 0x x f x xa x ⎧-⎪≠=⎨-⎪=⎩, 在0x =连续,则a =________.2.设2sin y x =, 则dy =_________________sin d x .3.函数211x y x =+-的水平和垂直渐近线共有_______条.4.不定积分ln x xdx =⎰______________________.5. 定积分2121sin 11x x dx x-+=+⎰___________.三.计算题(每小题5分,共30分) 1.求下列极限:①()1lim 12x x x →+ ②arctan 2lim 1x x xπ→+∞-2.求由方程1y y xe =-所确定的隐函数的导数x y '.3.求下列不定积分:①3tan sec x xdx ⎰②)0a>⎰③2xx e dx ⎰四.应用题(每题10分,共20分) 1.作出函数313y x x =-的图象.(要求列出表格)2.计算由两条抛物线:22,y x y x ==所围成的图形的面积.《高数》试卷2参考答案一.选择题:CDCDB CADDD二填空题:1.-2 2.2sin x 3.3 4.2211ln 24x x x c -+ 5.2π三.计算题:1. ①2e ②1 2.2yxey y '=-3.①3sec 3x c + ②)lnx c + ③()222xx x e c -++四.应用题:1.略 2.13S =《高等数学》试卷3(下)一.选择题(3分⨯10)1.点1M ()1,3,2到点()4,7,22M 的距离=21MM ( ).A.3B.4C.5D.62.向量j i b k j i a+=++-=2,2,则有( ).A.a ∥bB.a ⊥bC.3,π=b aD.4,π=b a3.函数1122222-++--=y x yx y 的定义域是( ).A.(){}21,22≤+≤y x y xB.(){}21,22<+<y x y xC.(){}21,22≤+<y x y x D (){}21,22<+≤y x y x4.两个向量a与b 垂直的充要条件是( ).A.0=⋅b aB.0 =⨯b aC.0 =-b aD.0 =+b a5.函数xy y x z 333-+=的极小值是( ). A.2 B.2- C.1 D.1-6.设y x z sin =,则⎪⎭⎫ ⎝⎛∂∂4,1πyz =( ).A.22 B.22-C.2D.2-7.若p 级数∑∞=11n pn收敛,则( ).A.p 1<B.1≤pC.1>pD.1≥p8.幂级数∑∞=1n nnx的收敛域为( ).A.[]1,1- B ()1,1- C.[)1,1- D.(]1,1-9.幂级数nn x ∑∞=⎪⎭⎫⎝⎛02在收敛域内的和函数是( ).A.x-11 B.x-22 C.x-12 D.x-2110.微分方程0ln =-'y y y x 的通解为( ). A.x ce y = B.x e y = C.x cxe y = D.cxe y = 二.填空题(4分⨯5)1.一平面过点()3,0,0A 且垂直于直线AB ,其中点()1,1,2-B ,则此平面方程为______________________.2.函数()xy z sin =的全微分是______________________________.3.设13323+--=xy xy y x z ,则=∂∂∂yx z 2_____________________________.4.x+21的麦克劳林级数是___________________________.5.微分方程044=+'+''y y y 的通解为_________________________________.三.计算题(5分⨯6)1.设v e z u sin =,而y x v xy u +==,,求.,yz x z ∂∂∂∂ 2.已知隐函数()y x z z ,=由方程05242222=-+-+-z x z y x 确定,求.,yz x z ∂∂∂∂ 3.计算σd y x D⎰⎰+22sin,其中22224:ππ≤+≤yx D .4.如图,求两个半径相等的直交圆柱面所围成的立体的体积(R 为半径).5.求微分方程x e y y 23=-'在00==x y 条件下的特解.四.应用题(10分⨯2)1.要用铁板做一个体积为23m 的有盖长方体水箱,问长、宽、高各取怎样的尺寸时,才能使用料最省?2..曲线()x f y =上任何一点的切线斜率等于自原点到该切点的连线斜率的2倍,且曲线过点⎪⎭⎫ ⎝⎛31,1,求此曲线方程 .试卷3参考答案一.选择题 CBCAD ACCBD 二.填空题1.0622=+--z y x .2.()()xdy ydx xy +cos .3.19622--y y x .4.()nn n nx ∑∞=+-0121.5.()x e x C C y 221-+= . 三.计算题 1.()()[]y x y x y exz xy+++=∂∂cos sin ,()()[]y x y x x eyz xy+++=∂∂cos sin .2.12,12+=∂∂+-=∂∂z yy z z x xz . 3.⎰⎰=⋅πππρρρϕ202sin d d 26π-.4.3316R .5.x x e e y 23-=. 四.应用题1.长、宽、高均为m 32时,用料最省.2..312x y =《高数》试卷4(下)一.选择题(3分⨯10)1.点()1,3,41M ,()2,1,72M 的距离=21MM ( ).A.12B.13C.14D.152.设两平面方程分别为0122=++-z y x 和05=++-y x ,则两平面的夹角为( ). A.6πB.4πC.3πD.2π3.函数()22arcsin y x z +=的定义域为( ).A.(){}10,22≤+≤y x y xB.(){}10,22<+<y x y xC.()⎭⎬⎫⎩⎨⎧≤+≤20,22πy x y x D.()⎭⎬⎫⎩⎨⎧<+<20,22πy x y x 4.点()1,2,1--P 到平面0522=--+z y x 的距离为( ). A.3 B.4 C.5 D.6 5.函数22232y x xy z --=的极大值为( ). A.0 B.1 C.1- D.216.设223y xy x z ++=,则()=∂∂2,1xz ( ).A.6B.7C.8D.97.若几何级数∑∞=0n nar是收敛的,则( ).A.1≤rB. 1≥rC.1<rD.1≤r 8.幂级数()n n x n ∑∞=+01的收敛域为( ).A.[]1,1-B.[)1,1-C.(]1,1-D. ()1,1-9.级数∑∞=14sin n nna 是( ).A.条件收敛B.绝对收敛C.发散D.不能确定 10.微分方程0ln =-'y y y x 的通解为( ). A.cxe y = B.x ce y = C.x e y = D.xcxe y = 二.填空题(4分⨯5) 1.直线l 过点()1,2,2-A 且与直线⎪⎩⎪⎨⎧-==+=t z t y tx 213平行,则直线l 的方程为__________________________.2.函数xye z =的全微分为___________________________. 3.曲面2242yx z -=在点()4,1,2处的切平面方程为_____________________________________. 4.211x+的麦克劳林级数是______________________.5.微分方程03=-ydx xdy 在11==x y 条件下的特解为______________________________.三.计算题(5分⨯6)1.设k j b k j i a32,2+=-+=,求.b a ⨯2.设22uv v u z -=,而y x v y x u sin ,cos ==,求.,y z x z ∂∂∂∂ 3.已知隐函数()y x z z ,=由233=+xyz x 确定,求.,yz x z ∂∂∂∂ 4.如图,求球面22224a z y x =++与圆柱面ax y x 222=+(0>a )所围的几何体的体积.5.求微分方程023=+'+''y y y 的通解. 四.应用题(10分⨯2) 1.试用二重积分计算由x y x y 2,==和4=x 所围图形的面积.2.如图,以初速度0v 将质点铅直上抛,不计阻力,求质点的运动规律().t x x =(提示:g dtx d -=22.当0=t 时,有0x x =,0v dtdx =)试卷4参考答案一.选择题 CBABA CCDBA. 二.填空题 1.211212+=-=-z y x .2.()xdy ydx e xy +.3.488=--z y x .4.()∑∞=-021n n nx .5.x y =. 三.计算题1.k j i238+-.2.()()()yy xy y y y x yz y y y y x xz 3333223cossincos sin cos sin ,sin cos cos sin +++-=∂∂-=∂∂ . 3.22,zxy xz yz zxy yz x z +-=∂∂+-=∂∂.4.⎪⎭⎫ ⎝⎛-3223323πa . 5.xxeC e C y --+=221.四.应用题1.316.2. 00221x t v gtx ++-=.《高数》试卷5(上)一、 填空题(每小题3分, 共24分)1.函数y =的定义域为________________________.2.设函数()sin 4,0,0xx f x xa x ⎧≠⎪=⎨⎪=⎩, 则当a =_________时, ()f x 在0x =处连续.3. 函数221()32x f x x x -=-+的无穷型间断点为________________.4. 设()f x 可导, ()x y f e =, 则____________.y '=5. 221lim_________________.25x x x x →∞+=+-6. 321421sin 1x x dx x x -+-⎰=______________.7.2_______________________.x td e dt dx-=⎰8. 30y y y '''+-=是_______阶微分方程.二、求下列极限(每小题5分, 共15分)1. 01lim sin xx e x →-; 2.; 233lim 9x x x →-- 3. 1lim 1.2xx x -→∞⎛⎫+ ⎪⎝⎭三、求下列导数或微分(每小题5分, 共15分) 1. 2x y x =+, 求(0)y '. 2. cos xy e=, 求dy .3. 设x y xy e +=, 求d y d x.四、求下列积分 (每小题5分, 共15分)1. 12sin x dx x⎛⎫+ ⎪⎝⎭⎰. 2.ln(1)x x dx +⎰.3.120xe dx ⎰五、(8分)求曲线1cos x ty t=⎧⎨=-⎩在2t π=处的切线与法线方程.六、(8分)求由曲线21,y x =+ 直线0,0y x ==和1x =所围成的平面图形的面积, 以及此图形绕y 轴旋转所得旋转体的体积. 七、(8分)求微分方程6130y y y '''++=的通解. 八、(7分)求微分方程xy y ex '+=满足初始条件()10y =的特解.《高数》试卷5参考答案一.1.(3,3)- 2.4a= 3.2x = 4.()x xe f e '5.126.07.22xxe- 8.二阶二.1.原式=0lim1x x x →=2.311lim36x x →=+3.原式=112221lim[(1)]2xx ex--→∞+=三.1.221,(0)(2)2y y x ''==+2.c o s sin xdy xedx =-3.两边对x 求写:(1)x y y xy e y +''+=+'x yx yeyxy y y x ex xy++--⇒==--四.1.原式=ln 2cos x x C -+2.原式=2221ln(1)()ln(1)[ln(1)]222x xx d x x d x +=+-+⎰⎰=222111ln(1)ln(1)(1)221221x xxx dx x x dxxx+-=+--+++⎰⎰=221ln(1)[ln(1)]222xxx x x C +--+++3.原式=12212111(2)(1)222xxe d x ee ==-⎰五.2sin ,1.,,122t dy dy t t x y dxdxπππ======且当时切线:1,1022y x x y ππ-=--+-=即法线:1(),1022y x x y ππ-=--+--=即六.1231014(1)()33Sx dx x x =+=+=⎰22211221(1)11()22V x dy y dy y y ππππ==-=-=⎰⎰七.特征方程:2312613032(cos 2sin 2)xr r r iy eC x C x -++=⇒=-±=+八.11()dxdxxx x y e e edx C -⎰⎰=+⎰1[(1)]xx e C x=-+由10,0x yC ==⇒=1xx y ex-∴=《高等数学》试卷6(下)一、选择题(本题共10小题,每题3分,共30分) 1、二阶行列式 2 -3 的值为( d )4 5A 、10B 、20C 、24D 、222、设a=i+2j-k,b=2j+3k ,则a 与b 的向量积为( c ) A 、i-j+2k B 、8i-j+2k C 、8i-3j+2k D 、8i-3i+k3、点P (-1、-2、1)到平面x+2y-2z-5=0的距离为( c ) A 、2 B 、3 C 、4 D 、54、函数z=xsiny 在点(1,4π)处的两个偏导数分别为( a )A 、,22 ,22 B 、,2222- C 、22- 22- D 、22- ,225、设x 2+y 2+z 2=2Rx ,则yzx z ∂∂∂∂,分别为( ) A 、zy zR x --, B 、zy zR x ---, C 、zy zR x ,--D 、zy zR x ,-6、设圆心在原点,半径为R ,面密度为22y x +=μ的薄板的质量为( )(面积A=2R π) A 、R 2A B 、2R 2A C 、3R 2A D 、A R 2217、级数∑∞=-1)1(n nnnx的收敛半径为( )A 、2B 、21 C 、1 D 、38、cosx 的麦克劳林级数为( )A 、∑∞=-0)1(n n)!2(2n xnB 、∑∞=-1)1(n n)!2(2n xnC 、∑∞=-0)1(n n)!2(2n xnD 、∑∞=-0)1(n n)!12(12--n xn9、微分方程(y``)4+(y`)5+y`+2=0的阶数是( ) A 、一阶 B 、二阶 C 、三阶 D 、四阶 10、微分方程y``+3y`+2y=0的特征根为( ) A 、-2,-1 B 、2,1 C 、-2,1 D 、1,-2 二、填空题(本题共5小题,每题4分,共20分)1、直线L 1:x=y=z 与直线L 2:的夹角为z y x =-+=-1321___________。
全国2014年4月自学考试高等数学(一)试题课程代码:00020请考生按规定用笔将所有试题的答案涂、写在答题纸上。
选择题部分注意事项:1.答题前,考生务必将自己的考试课程名称、姓名、准考证号用黑色字迹的签字笔或钢笔填写在答题纸规定的位置上。
2.每小题选出答案后,用2B 铅笔把答题纸上对应题目的答案标号涂黑。
如需改动,用橡皮擦干净后,再选涂其他答案标号。
不能答在试题卷上。
一、单项选择题(本大题共10小题,每小题3分,30分)在每小题列出的四个备选项中只有一个是符合题目要求的,请将其选出并将“答题纸”的相应代码涂黑。
错涂、多涂或未涂均无分。
1.下列运算正确的是A.ln6+ln3=ln9B.ln6-ln3=ln2C.(1n6)•(ln3)=ln18D.ln6ln2ln3= 2.设函数f(x)可导,且1f x x ⎛⎫= ⎪⎝⎭,则导数f'(x)= A.1x B.-1x C.21x D.-21x 3.设函数厂f (x ,y )=xy x y -,则f 11,y x ⎛⎫ ⎪⎝⎭= A.1y x - B.x y yx- C.1x y - D.22x y x y- 4.函数f(x)=sin x +cos x 是A.奇函数B.偶函数C.非奇非偶函数D.既是奇函数又是偶函数 5.下列各对函数中,为同一函数的是A.y=ln (x 2)与y =21n|x |B.y =tan(2x )与y =2tan xC.y=x 与y =2D.y =x -1与y=211x x -+ 6.设函数f (x )=2x 2,g (x )=sin x ,则当x →0时A.f (x )是比g (x )高阶的无穷小量B.f (x )是比g (x )低阶的无穷小量C.f (x )与g (x )是同阶但非等价的无穷小量D.f (x )与g (x )是等价无穷小量7.设函数234,<2(),22,2x x a x f x b x x x ⎧-+⎪==⎨⎪+>⎩在x =2处连续,则A.a =1,b =4B.a =0,b =4C.a =1,b =5D.a =0,b =58.设y =y (x )是由方程xy 3=y -1所确定的隐函数,则导数y ′=0x =A.-1B.0C.1D.2 9.已知函数y =a cos x +12cos2x (其中a 为常数)在x =2π处取得极值,则a= A.0 B.1C.2D.310.设函数f (x )=ln x x,则下列结论正确的是 A.f (x )在(0,+∞)内单调减少B.f (x )在(0,e)内单调减少…C.f (x )在(0,+∞)内单调增加D.f (x )在(0,e)内单调增加非选择题部分注意事项:用黑色字迹的签字笔或钢笔将答案写在答题纸上,不能答在试题卷上。
2010年普通高等学校招生全国统一考试(山东卷)理 科 数 学一、选择题:本大题共12小题,每小题5分,共60分。
在每小题给出的四个选项中,只有一项是符合题目要求的。
(1)已知全集U=R ,集合}2|1||{≤-=x x M ,则=M C U ( ) (A )}31|{<<-x x (B )}31|{≤≤-x x(C )}31|{>-<x x x 或(D )}31|{≥-≤x x x 或(2)已知),(2R b a i b iia ∈+=+,其中i 为虚数单位,则=+b a ( ) (A )-1 (B )1(C )2(D )3(3)在空间,下列命题正确的是( ) (A )平行直线的平行投影重合 (B )平行于同一直线的两个平面平行(C )垂直于同一平面的两个平面平行(D )垂直于同一平面的两条直线平行(4)设)(x f 为定义在R 上的奇函数,当0≥x 时,b b x x f x (22)(++=为常数),则=-)1(f ( )(A )3(B )1(C )-1(D )-3(5)已知随机变量ξ服从正态分布),1(2σN ,若023.0)2(=>ξP ,则=≤≤-)22(ξP ( )(A )0.477 (B )0.628 (C )0.954 (D )0.977(6)样本中共有五个个体,其值分别为3,2,1,0,a ,若该样本的平均值为1,则样本方差为( )(A )56(B )56 (C )2(D )2(7)由曲线32,x y x y ==围成的封闭图形面积为( )(A )121 (B )41 (C )31 (D )127 (8)某台小型晚会由6个节目组成,演出顺序有如下要求:节目甲必须排在前两位,节目乙不能排在第一位,节目丙必须排在最后一位,该台晚会节目演出顺序的编排方案共有( )(A )36种(B )42种(C )48种(D )54种(9)设}{n a 是等比数列,则“321a a a <<”是“数列}{n a 是递增数列”的( )(A )充分而不必要条件 (B )必要而不充分条件(C )充分必要条件 (D )既不充分也不必要条件(10)设变量y x ,满足约束条件⎪⎩⎪⎨⎧≤-+≤+-≥+-,08,10105,02y x y x y x 则目标函数y x z 43-=的最大值和最小值分别为( )(A )3,-11(B )-3,-11(C )11,-3(D )11,3(11)函数22x y x -=的图象大致是()(A )(B )(C )(D )(12)定义平面向量之间的一种运算“⊙”如下:对任意的)(),,(q p b v m a ⋅==。
2010年河南省普通高等学校选拔优秀专科毕业生进入本科阶段学习考试高等数学题号一二三四五总分分值602045169150注意事项:答题前,考生务必将自己的姓名、考场号、座位号、考生号填写在答题卡上.本试卷的试题答案必须答在答题卡上,答在试卷上无效.一、选择题(每小题2分,共60分)在每小题的四个备选答案中选出一个正确答案,用铅笔把答题卡上对应题目的答案标号涂黑.如需改动,用橡皮擦干净后,再选涂其他答案标号.1.设函数()f x 的定义域为区间(-1,1],则函数()1-x f e 的定义域为()A.[2,2]- B.(1,1]- C.(2,0]- D.(0,2]2.若()()R x x f ∈为奇函数,则下列函数为偶函数的是()A.()[]1,1,133-∈-=x x f x y B.()()ππ,,tan 3-∈+=x x x xf y C.()[]1,1,sin 3-∈-=x x f x x y D.()[]ππ,,sin 52-∈=x x e x f y x 3.当0→x 时,21xe -是x 3sin 的()A.低阶无穷小B.高阶无穷小C.等价无穷小D.同阶非等价无穷小4.设函数()⎪⎩⎪⎨⎧<>=.0,,0,1sin 152x e x x x x f x 则0=x 是()x f 的()A.可去间断点B.跳跃间断点C.连续点D.第二类间断点 5.下列方程在区间(0,1)内至少有一个实根的是()A.022=+x B.π-=1sin x C.02523=-+x x D.0arctan 12=++x x 6.函数()x f 在点0x x =处可导,且()10-='x f ,则()()=+-→hh x f x f h 23lim000()A.32 B.32-C.23-D.237.曲线x x y ln =平行于直线01=+-y x 的切线方程是()A.1-=x yB.()1+-=x yC.1+-=x y D.()()11ln -+=x x y 8.设函数5sin 212π--=x y ,则='y ()A.5cos212π---x x B.21x x --C.212x x - D.5cos52122π---x x9.若函数()x f 满足()dx x x x df 2sin 2-=,则()=x f ()A.2cos xB.C x +2cos C.C x +2sin D.C x +-2cos 10.()=-⎰-dx x e dxd b a x21sin ()A.()x e x 21sin --B.()dx x e x 21sin --C.()Cx e x +--21sin D.011.若()()x f x f =-,在区间()+∞,0内,()()0,0>''>'x f x f ,则()x f 在区间()0,∞-内()A.()()0,0<''<'x f x fB.()()0,0>''>'x f x fC.()()0,0<''>'x f x f D.()()0,0>''<'x f x f 12.若函数()x f 在区间()b a ,内连续,在点0x 处不可导,()b a x ,0∈,则()A.0x 是()x f 的极大值点B.0x 是()x f 的极小值点C.0x 不是()x f 的极值点D.0x 可能是()x f 的极值点13.曲线x xe y -=的拐点为()A.1=x B.2=x C.⎪⎭⎫ ⎝⎛22,2e D.⎪⎭⎫ ⎝⎛e 1,114.曲线35arctan 2+=xxy ()A.仅有水平渐近线B.仅有垂直渐近线C.既有水平渐近线,又有垂直渐近线D.既无水平渐近线,又无垂直渐近线15.若x cos 是()x f 的一个原函数,则()=⎰x df ()A.C x +-sinB.C x +sinC.C x +-cosD.Cx +cos 16.设曲线()x f y =过点(0,1),且在该曲线上任意一点()y x ,处切线的斜率为xe x +,则()=xf ()A.22xx e - B.xe x +22C.xe x +2D.xex -217.dx x xx ⎰-+ππ421sin =()A.2B.0C.1D.1-18.设()x f 是连续函数,则()dt t f x ⎰2是()A.()x f 的一个原函数B.()x f 的全体原函数C.()22x xf 的一个原函数D.()22x xf 的全体原函数19.下列广义积分收敛的是()A.dxx⎰+∞11 B.dx x xe ⎰∞+2ln C.dx xx e⎰+∞2ln 1D.dx x x e⎰+∞+2120.微分方程422('')'0x y y x y +-=的阶数是()A.1B.2C.3D.421.已知向量}{5,,2a x =- 和}{,6,4b y =平行,则x 和y 的值分别为()A.5,4- B.10,3-- C.10,4-- D.3,10--22.平面1=++z y x 与平面2=-+z y x 的位置关系是()A.重合B.平行C.垂直D.相交但不垂直23.下列方程在空间直角坐标系中表示的曲面为柱面的是()A.122=+z yB.22y x z +=C.222y x z += D.22y x z -=24.关于函数()⎪⎩⎪⎨⎧=+≠++=.0,0,0,,222222y x y x y x xy y x f 下列表述错误的是()A.()y x f ,在点(0,0)处连续B.()00,0=f C.()00,0='y f D.()y x f ,在点(0,0)处不可微25.设函数()y x y x z -=ln ,则=∂∂yz()A.()y x y x- B.()2ln y y x x --C.()()y x y xy y x -+-ln D.()()y x y xy y x x ----2ln 26.累次积分()dy y x f dx x x x x ⎰⎰---22222,写成另一种次序的积分是()A.()dx y x f dy yy⎰⎰-1, B.()dx y x f dy y y y y ⎰⎰---202222,C.()dxy x f dy y y ⎰⎰----111122, D.()dxy x f dy y y ⎰⎰--+--11111122,27.设(){}2,2|,≤≤=y x y x D ,则⎰⎰=Ddxdy ()A.2B.16C.12D.428.若幂级数∑∞=0n nnx a的收敛半径为R ,则幂级数()∑∞=-022n nn x a 的收敛区间为()A.()RR - B.()R R +-2,2C.()R R ,- D.()RR +-2229.下列级数绝对收敛的是()A.()∑∞=-111n nn B.()∑∞=-12231n nnnC.()∑∞=-+-11211n nn n D.()∑∞=--12121n nn n 30.若幂级数()∑∞=-03n nn x a 在点1=x 处发散,在点5=x 收敛,则在点0=x ,2=x ,4=x ,6=x 中使该级数发散的点的个数有()A.0个B.1个C.2个D.3个二、填空题(每小题2分,共20分)31.设()x f 23-的定义域为(3,4]-,则()x f 的定义域为________32.极限()=--++∞→32limx x xx ________33.设函数()()()()()4321--++=x x x x x f ,则()()=x f 4________34.设参数方程⎩⎨⎧-=+=.13,122t y t x 所确定的函数为()x y y =,则=22dx yd _______35.()⎰=+dx x 1ln ________.36.点(3,2,1)-到平面01=-++z y x 的距离是________37.函数()xy z +=1在点(1,1)处的全微分=dz ________38.设L 为三个顶点分别为(0,0),(1,0)和(0,1)的三角形边界,L 的方向为逆时针方向,则()()=-+-⎰dy xy y x dx y xyL22323________39.已知微分方程x e ay y =+'的一个特解为x xe y =,则=a ________40.级数∑∞=0!3n nn 的和为________三、计算题(每小题5分,共45分)41.求极限()⎥⎥⎦⎤⎢⎢⎢⎣⎡---⎰→4002sin cos 1sin 1lim xtdt x x e x x x42.设由方程22e xy e y =-确定的函数为()x y y =,求.|0=x dx dy 43.求不定积分dxe e xx ⎰+1244.求定积分().222dx x x x ⎰-+45.求过点(1,2,-5)且与直线⎩⎨⎧=-=+-,33,12y x z y x 平行的直线方程.46.求函数()x xy y x y x f 823,22+-+=的极值47.将()1232-+=x x xx f 展开成x 的幂级数.48.计算二重积分σd y x D⎰⎰+22,其中D 是由圆322=+y x 所围成的闭区域.49.求微分方程069=+'-''y y y 的通解.四、应用题(每小题8分,共16分)50.要做一个容积为V 的圆柱形带盖容器,问它的高与底面半径的比值是多少时用料最省?51.平面图形D 由曲线2x y =直线x y -=2及x 轴所围成.求:(1)D 的面积;(2)D 绕x 轴旋转形成的旋转体的体积.五、证明题(9分)52.设函数()x f 在闭区间[0,1]上连续,在开区间(0,1)内可导,且()().21,00==f f 证明:在(0,1)内至少存在一点ξ,使得()21f ξξ'=+成立.2011年河南省普通高等学校选拔优秀专科毕业生进入本科阶段学习考试高等数学题号一二三四五总分分值602050128150注意事项:答题前,考生务必将自己的姓名、考场号、座位号、考生号填写在答题卡上.本试卷的试题答案必须答在答题卡上,答在试卷上无效.一、选择题(每小题2分,共60分)在每小题的四个备选答案中选出一个正确答案,用铅笔把答题卡上对应题目的答案标号涂黑.如需改动,用橡皮擦干净后,再选涂其他答案标号.1.函数()()22ln ++-=x x x x f 的定义域是()A.()2,∞- B.()+∞-,2 C.()2,2- D.(0,2)2.设()2212++=+x x x f ,则()=x f ()A.2xB.12+x C.652+-x x D.232+-x x 3.设函数()()+∞∞-∈,,x x f 为奇函数,()()+∞∞-∈,,x x g 为偶函数,则下列函数必为奇函数的是()A.()()f x g x ⋅B.()[]x g fC.()[]x f gD.()()x g x f +4.=→xx x 1sinlim 0()A.1- B.1C.0D.不存在5.设()1='x f ,则()()=--+→hh x f h x f h 32lim()A.4B.5C.2D.16.当0→x 时,下列无穷小量与x 不等价的是()A.22x x -B.123--x e xC.xx )1ln(2+ D.)sin sin(x x +7.设函数()⎪⎩⎪⎨⎧=≠+=000111x x e x f x,则0x =是()x f 的()A.可去间断点B.跳跃间断点C.连续点D.第二类间断点8.x y sin =的三阶导数是()A.xsin B.xsin - C.xcos D.xcos -9.设[]1,1-∈x ,则=+x x arccos arcsin ()A.2π B.4π C.0D.110.若()()0,000>''='x f x f ,则下述表述正确的是()A.0x 是()x f 的极大值点B.0x 是()x f 的极小值点C.0x 不是()x f 的极值点D.无法确定0x 是否为()x f 的极值点11.方程xy 1arcsin =所表示的曲线()A.仅有水平渐近线B.仅有垂直渐近线C.既有水平渐近线,又有垂直渐近线D.既无水平渐近线,又无垂直渐近线12.dx x ⎰-1121=()A.0B.2C.2- D.以上都不对13.方程01sin =-+x x 在区间()1,0内根的个数是()A.0B.1C.2D.314.设()x f 是x cos 的一个原函数,则()=⎰x df ()A.C x +sinB.C x +-sinC.C x +-cosD.Cx +cos 15.设()tdt e x F x xt sin 2cos ⎰+=π,则()x F ()A.为正常数B.为负常数C.恒为零D.不为常数16.设=⎰dt te dxd b x t()A.xxe- B.xxeC.xbee - D.xb xebe -17.由曲线()π≤≤=x x y 0sin 与x 轴所围成的区域的面积为()A.0B.2C.2D.π18.关于二阶常微分方程的通解,下列说法正确的是()A.一定含有两个任意常数B.通解包含所有解C.一个方程只有一个通解D.以上说法都不对19.微分方程x y y =+'3的通解是()A.122++=x Ce x yB.1-+=Cx xe y xC.913++=xCe x y D.91313-+=-xCe x y 20.已知向量a i j k =++ ,则垂直于a且垂直于y 轴的向量是()A.i j k-+ B.i j k -- C.i k+D.i k- 21.对任意两个向量a ,b,下列等式不恒成立的是()A.a b b a+=+ B.a b b a⋅=⋅ C.a b b a⨯=⨯ D.()()2222a b a ba b⋅+⨯=⋅ 22.直线011z y x =-=与平面2=-+z y x 的位置关系是()A.平行B.直线在平面内C.垂直D.相交但不垂直23.xy yy x sin lim2→→的值为()A.0B.1C.21D.不存在24.函数()y x f ,在点()00,y x 处的两个偏导数()00,y x f x ',()00,y x f y '都存在是()y x f ,在该点连续的()A.充要条件B.必要非充分条件C.充分非必要条件D.既非充分亦非必要条件25.函数⎪⎪⎭⎫⎝⎛+=y x z 1ln 在点()1,1处的全微分()=|1,1dz ()A.0B.()dy dx -21C.dy dx -D.dy ydx y x 11-+26.设1220I dy x y dx =⎰,则交换积分次序后()A.dyy x dx I x⎰⎰-=1010223 B.dyy x dx I y⎰⎰-=1010223C.dyy x dx I x ⎰⎰-=21022103 D.dyy x dx I x ⎰⎰+=210221327.设L 为三个顶点分别为(1,0),O(0,0)A -和(0,1)B 的三角形区域的边界,L 的方向为顺时针方向,则()=-+-⎰dy y x dx y x L )2(3()A.0B.1C.2D.1-28.设()⎭⎬⎫⎩⎨⎧≤≤-≤≤=11,40|,y x y x D π,则=⎰⎰dxdy y x y D)2cos(()A.21-B.0C.41 D.2129.若级数∑∞=1n na与∑∞=1n nb都发散,则下列表述必正确的是()A.()∑∞=+1n n nb a发散 B.∑∞=1n nn ba 发散C.()∑∞=+1n n nb a发散D.()∑∞=+122n n nb a发散30.若级数()nn n x a 21-∑∞=在2-=x 处收敛,则此级数在4=x 处()A.发散B.条件收敛C.绝对收敛D.敛散性不能确定二、填空题(每小题2分,共20分)31.()=-→xx x 11lim ________.32.设()x f 为奇函数,则()30='x f 时,()=-'0x f ________.33.曲线x y ln =上点)0,1(处的切线方程为________.34.()=-⎰dx x x 11_______.35.以x x xe C e C 2221--+为通解的二阶常系数齐次线性微分方程为________.36.点(1,2,3)关于y 轴的对称点是________.37.函数yx ez +=在点(0,0)处的全微分=|)0,0(dz________.38.由1=++xy y x 所确定的隐函数()x y y =在1=x 处导数为________.39.函数22y x z +=在点(1,2)处沿从点1(1,2)P到2(2,2P +的方向的方向导数等于________.40.幂级数1nn x n ∞=∑的收敛区间为________.三、计算题(每小题5分,共50分)41.用夹逼准则求极限.21lim 222⎪⎭⎫⎝⎛++++++∞→n n n n n n nn 42.讨论函数()⎪⎩⎪⎨⎧=≠=.0,0,0,1sin 23x x xx x f 在0=x 处的可导性.43.求不定积分dxe e x x⎰+1244.求定积分.1dx xex⎰45.求微分方程x e y y y =+'+''23的通解.46.设()2,x y x z +=ϕ,且ϕ具有二阶连续偏导数,求yx z∂∂∂2.47.求曲面::3z e z xy ∑-+=在点0(2,1,0)M 处的切平面方程.48.计算二重积分σd e Dy x ⎰⎰+,其中D 是由直线1=+y x 和两条坐标轴所围成的闭区域.49.计算()dz y x ydy xdx L⎰-+++1.L 是从点()1,1,1A )到点)4,1,1(B 的直线段.50.将21()f x x =展开为(1)x +的幂级数.四、应用题(每小题6分,共12分)51.求点()1,0P 到抛物线2x y =上点的距离的平方的最小值.52.求几何体44422≤++z y x 的体积.五、证明题(8分)53.设函数()()x g x f ,均在区间[]b a ,上连续,()()()()a g b f b g a f ==,,且()().b f a f ≠证明:存在一点()b a ,∈ξ,使()().ξξg f =2012年河南省普通高等学校选拔优秀专科毕业生进入本科阶段学习考试高等数学题号一二三四五总分分值602050128150注意事项:答题前,考生务必将自己的姓名、考场号、座位号、考生号填写在答题卡上.本试卷的试题答案必须答在答题卡上,答在试卷上无效.一、选择题(每小题2分,共60分)在每小题的四个备选答案中选出一个正确答案,用铅笔把答题卡上对应题目的答案标号涂黑.如需改动,用橡皮擦干净后,再选涂其他答案标号.1.函数xx y 1arctan4++=的定义域是()A.[4,)-+∞B.(4,)-+∞C.[4,0)- (0,)+∞D.(4,0)- (0,)+∞2.下列函数为偶函数的是()A.()x x y -+=1log 32B.x x y sin =C.()xx ++1ln D.xey =3.当0→x 时,下列无穷小量中与)21ln(x +等价的是()A.xB.x 21 C.2xD.x24.设函数()xx f 1sin 2=,则0=x 是()x f 的()A.连续点B.可去间断点C.跳跃间断点D.第二类间断点5.函数3x y =在0=x 处()A.极限不存在B.间断C.连续但不可导D.连续且可导6.设函数()()x x x f ϕ=其中()x ϕ在0=x 处连续且的()00≠ϕ则()0f '()A.不存在B.等于()0ϕ'C.存在且等于0D.存在且等于()0ϕ7.若函数()u f y =可导,xe u =,则=dy ()A.()dxe f x' B.()()xxed e f 'C.()xf x e dx¢× D.()[]()xxe d ef '8.曲线()x f y 1=有水平渐近线的充分条件是()A.()0lim =∞→x f x B.()∞=∞→x f x lim C.()0lim 0=→x f x D.()∞=→x f x 0lim 9.设函数x x y sin 21-=,则=dydx ()A.y cos 211-B.x cos 211-C.ycos 22- D.xcos 22-10.曲线()⎩⎨⎧<+≥+=,0,sin 1,0,1x x x x x f 在点()0,1处的切线斜率是()A.0B.1C.2D.311.方程033=++c x x (其中c 为任意实数)在区间()0,1内实根最多有()A.4个B.3个C.2个D.1个12.若()x f '连续,则下列等式正确的是()A.()[]()x f dx x f ='⎰ B.()()x f dx x f ='⎰C.()()x f x df =⎰ D.()[]()x f dx x f d=⎰13.如果()x f 的一个原函数为x x arcsin -,则()=⎰dx x f ()A.C x +++2111 B.Cx +--2111C.Cx x +-arcsin D.Cx +-+211114.设()1='x f ,且()10=f ,则()=⎰dx x f ()A.Cx + B.C x x ++221C.Cx x ++2D.C x +22115.=-⎰dt t dx d x2012sin 2)cos (()A.2cos x - B.()xx cos sin cos 2C.2cos x x D.()2sin cos x16.=-⎰dx e x x 2132()A.1B.0C.121--eD.11--e17.下列广义积分收敛的是()A.⎰10ln 1xdxxB.⎰1031dxxx C.⎰+∞1ln 1xdx xD.dxe x ⎰+∞--3518.微分方程122=+dx dyy dxy d 是()A.二阶非线性微分方程B.二阶线性微分方程C.一阶非线性微分方程D.一阶线性微分方程19.微分方程yxx dx dy cos sin =的通解为()A.C x y +=22cos B.C x y +=22sin C.Cx y +=2sin D.Cx y +=2cos 20.在空间直角坐标系中,若向量a 与ox 轴和oz 轴正向的夹角分别为045和060,则向量a 与oy 轴正向的夹角为()A.030B.060C.045D.060或012021.直线32211:+=-=-z y x L 与平面02:=+y x π的位置关系是()A.直线L 在平面π内B.平行C.垂直D.相交但不垂直22.下列方程在空间直角坐标系中表示的图形为旋转曲面的是()A.12322=+z x B.22yx z -=C.22z x y -= D.2222yx z =-23.()()=--→11lim1,1,xy xy y x ()A.0B.21 C.31 D.224.函数()y x f z ,=在点()00,y x 处可微是()y x f ,在该点处两个偏导数x z ∂∂和yz ∂∂存在的()A.充分条件B.必要条件C.充分必要条件D.既非充分又非必要条件25.已知()xy y x z sin ++=,则=∂∂∂yx z2()A.()xy sinB.()()xy xy +1sinC.()()xy xy xy sin cos - D.()xy xy cos -26.幂级数02(1)!n nnn x n ∞=-∑的和函数()x s 为()A.xe- B.xe2- C.2xe- D.xe22-27.下列级数发散的是()A.)2)(1(43)1(21++--∑∞=n n nn nB.11)1(1+-∑∞=n n nC.n n n 31)1(11∑∞=-- D.()∑∞=+123121n n 28.若级数∑∞=-0)2(n n n x a 在点0=x 处条件收敛,则在1-=x ,2=x ,3=x ,4=x ,5=x 中使该级数收敛的点有()A.0个B.1个C.2个D.3个29.若L 是曲线3x y =上从点()1,1A 到点()1,1--B 的一条连续曲线段,则曲线积分()()dy y x xe dx y ey Ly32-++-+⎰的值为()A.41-+-e eB.41----e e C.41+---e e D.030.设()dy y x f dx I x ⎰⎰=1002,221(,)xdx f x y dy -+⎰⎰,则交换积分次序后,I 可化为()A.()dxy x f dy yy⎰⎰-102, B.()dxy x f dy x x ⎰⎰-2022,C.()dxy x f dy ⎰⎰12, D.()dxy x f dy x x ⎰⎰-122,二、填空题(每小题2分,共20分)31.已知()x x x f -=-21,则()=x f32.设函数2()lim 1(0)tt x f x x t →+∞⎛⎫=+≠ ⎪⎝⎭,则(ln 2)f =33.如果函数()x f 在点a 处可导,且()a f 为()x f 的极大值,则()='a f 34.曲线xxe y -=的拐点是35.不定积分()=-⎰dx xx 11236.微分方程22x e xy dxdy-=+满足()00=y 的特解为37.向量{}2,1,1-=a 在{}4,3,0=b 上的投影为38.设方程0=++yz xz xy 所确定的隐函数是()y x z z ,=,则=∂∂==|10y x x z39.设积分区域D 为y y x 422≤+,则⎰⎰=Ddxdy 40.若)0(lim >=∞→k k nu n n ,则正项级数∑∞=1n nu的敛散性为三、计算题(每小题5分,共50分)41.1sin tan lim3--→x x ex x 42.已知参数方程()()⎩⎨⎧-=-=,cos 1,sin 1t a y t a x (t 为参数),求22dx yd .43.求不定积分dxex ⎰+144.求⎰-→xt xx dte e x 0221lim45.求微分方程222dxy d 430dyy dx ++=的通解.46.求函数()10126,23+-+-=y x x y y x z 的极值.47.求过点()1,3,2--A 且与直线⎩⎨⎧=+=-+,12,532:z x z y x L 平行的直线方程.48.求函数22ln arctany x yxz ++=的全微分.49.计算dxdy y x D⎰⎰+22sin,其中D 为圆环:22224ππ≤+≤y x .50.求幂级数()∑∞=+-012n nn x 的收敛域.四、应用题(每小题6分,共12分)51.求函数()xx x f 1=在0>x 时的最大值,并从数列1,2,33, ,nn).52.求过点()0,3M 作曲线)3ln(-=x y 的切线,该切线与此曲线及x 轴围成一平面图形D .试求平面图形绕x 轴旋转一周所得旋转体的体积.五、证明题(8分)53.证明不等式:nnm n m m n m -<<-ln ,其中m n <为正整数.2013年河南省普通高等学校选拔优秀专科毕业生进入本科阶段学习考试高等数学题号一二三四五总分分值602050128150注意事项:答题前,考生务必将自己的姓名、考场号、座位号、考生号填写在答题卡上.本试卷的试题答案必须答在答题卡上,答在试卷上无效.一、选择题(每小题2分,共60分)在每小题的四个备选答案中选出一个正确答案,用铅笔把答题卡上对应题目的答案标号涂黑.如需改动,用橡皮擦干净后,再选涂其他答案标号.1.函数1)1arcsin(--=x x y 的定义域是()A.]20[,B.),1(+∞ C.]2,1( D.]2,1[2.设xx f -=11)(,那么=)]}([{x f f f ()A.x1 B.11-x C.211x - D.x3.函数()()01ln 12≠-+=x xx y 是()A.偶函数B.奇函数C.非奇非偶函数D.既奇又偶函数4.设xxx f 2sin )(=,则0=x 是)(x f 的()A.连续点B.可去间断点C.跳跃间断点D.无穷间断点5.当0→x 时,下列无穷小量中与x x --+11等价的是()A.xB.x2 C.2xD.22x6.已知=--=='='→xx g x f g f b g a f x )()(lim ),0()0(,)0(,)0(0则且()A.b a -B.ba +2 C.ba + D.ab -7.曲线),0,0(sin cos >>⎩⎨⎧==b a tb y ta x 则4π=t 对应点处的法线斜率为()A.a b B.ba C.ab - D.ba -8.设)()(x g x f =',则=)(sin d 2x f ()A.xdx x g sin )(2B.xdx x g 2sin )(C.dxx g )2(sin D.xdxx g 2sin )(sin 29.设函数)(x f 具有任意阶导数,且2)]([)(x f x f =',则=)()(x f n ()A.)1()]([!+n x f n B.)1()]([+n x f n C.)1()]()[1(++n x f n D.)1()]([)!1(++n x f n 10.由方程yx exy +=确定的隐函数)(y x 的导数=dy dx ()A.)1()1(x y y x -- B.)1()1(y x x y --C.)1()1(-+y x x y D.)1()1(-+x y y x 11.若)(a x x f <<>''00)(,且0)0(=f ,则下面成立的是()A.0)(>'x fB.)(x f '在],0[a 上单调增加C.0)(>x f D.)(x f 在],0[a 上单调增加12.点)1,0(是曲线c bx x y ++=23的拐点,则()A.1,0==c bB.0,1=-=c bC.1,1==c bD.1,1=-=c b 13.曲线6212--++=x x x y 的垂直渐近线共有()A.1条B.2条C.3条D.4条14.函数xxe e xf --=)(的一个原函数是()A.xxe e x F --=)( B.xxee x F -+=)(C.x x e ex F -=-)( D.xx ee x F ---=)(15.若)(xf '连续,则下列等式正确的是()A.)()(x f x df =⎰ B.)()(x f dx x f d =⎰C.)()(x f dx x f ='⎰ D.dxx f dx xf d)()(22=⎰16.2sin =x xdx ππ-⎰()A.π B.π- C.1 D.017.设x xxe dt t f ++=⎰221)(,则=')(x f ()A.xxeB.xex )1(- C.xex )2(+ D.2+x xe18.下列广义积分收敛的是()A.⎰+∞1xdxB.⎰+∞1xdx C.⎰+∞12x dx D.⎰∞+13ln xxdx 19.微分方程0)()(22=+''+'y y y y 的阶数是()A.1B.2C.3D.420.微分方程022=-dx xy dy 满足条件1)1(-=y 的特解是()A.21x y =B.21x y -=C.2x y = D.2xy -=21.下列各组角中,可以作为向量的方向角的是()A.344πππ,, B.346πππ,,C.433πππ,, D.234πππ,,22.直线143221:-=-+=-z y x L 与平面0432:=-+-z y x π的位置关系是()A.L 在π上B.L 与π垂直相交C.L 与π平行D.L 与π相交,但不垂直23.下列方程在空间直角坐标系中所表示的图形为柱面的是()A.22237y z x =+ B.44122y x z -=-C.91614222z y x --= D.0222=-+x y x24.00x y →→=()A.0B.1C.41-D.不存在25.设)32,(22y x y x f z +-=,则=∂∂yz()A.2132f f y '+'B.2132f f y '+'-C.2122f f x '+'D.2122f f x '-'26.设dy y x f dx dy y x f dx I xx ⎰⎰⎰⎰-+=22802222020),(),(,则交换积分次序后,I 可以化为()A.dx y x f dy y y⎰⎰-2822),( B.dxy x f dy y x ⎰⎰-22822),(C.dxy x f dy y x ⎰⎰-2282220),( D.dxy x f dy ⎰⎰2222),(27.积分=⎰⎰1212ydy x dx ()A.2B.31 C.21 D.028.设L 是抛物线2y x =上从)0,0(到)1,1(A 的一段弧,则曲线积分=+⎰dy x xydx L22()A.0B.2C.4D.129.幂级数nn xn ∑∞=+1)1(的收敛区间为()A.)1,0( B.),(+∞-∞ C.)1,1(- D.)0,1(-30.下列级数收敛的是()A.()∑∞=+-1111n n n B.∑∞=+111ln(n n C.∑∞=11sinn n D.∑∞=1!n nn n 二、填空题(每小题2分,共20分)31.函数)(x f 在点0x 有定义是极限)(lim 0x f x x →存在的条件.32.已知231lim -∞→=⎪⎭⎫⎝⎛-e x pxx ,则=p .33.函数⎩⎨⎧>+≤-=0,2cos 0,)(x x x a x a e x f ax 是连续函数,则=a .34.设函数421x x f =⎪⎭⎫⎝⎛,则=')(x f .35.不定积分=++⎰dx x x x sin 2cos 2.36.向量}{1,0,1a = 与向量}{1,1,0b =-的夹角是.37.微分方程0=-+'x y y 的通解是.38.设方程022=-++xyz z y x 所确定的隐函数为),(y x z z =,则=∂∂==10y x xz .39.曲面22y x z +=在点)5,2,1(处的切平面方程是.40.将xx f 1)(=展开成)4(-x 的幂级数是.三、计算题(每小题5分,共50分)41.求极限011lim ln(1)x x x →⎡⎤-⎢+⎣⎦42.已知函数)(y x x =由方程22ln arctany x x y +=所确定,求.dydx43.求不定积分.arctandx x ⎰44.设,0,0,1)(2⎩⎨⎧>≤+=x e x x x f x求.)2(31dx x f ⎰-45.求微分方程xe y y y 32=-'+''的通解.46.设xye y x u ++=2sin 2,求全微分du .47.一平面过点)1,0,1(-且平行于向量{}1,1,2-=a 和{}2,1,1-=b ,求此平面的方程.48.计算dxdy eDyx ⎰⎰,其中D 是由0,2,,1====x y x y y 所围成的闭区域.49.计算积分dy y xy x dx y xy x L)152()102(2222+--++-+⎰,其中L 为曲线x y cos =上从⎪⎭⎫ ⎝⎛0,2πA 到点⎪⎭⎫⎝⎛-0,2πB 的一段弧.50.求幂级数∑∞=+-0)1(2)1(n n nn x 的收敛域.四、应用题(每小题6分,共12分)51.某房地产公司有50套公寓要出租,当月租金定为2000元时,公寓会全部租出去,当月租金每增加100元时,就会多一套公寓租不出去,而租出去的公寓每月花费200元的维修费,试问租金定为多少可获得最大收入?最大收入是多少?52.曲线)0(3≥=x x y ,直线2=+y x 以及y 轴围成一平面图形D ,试求平面图形D 绕y 轴旋转一周所得旋转体的体积.五、证明题(8分)53.设)(x f 在区间]1,0[上连续,且1)(<x f ,证明:方程1)(20=-⎰dt t f x x在区间)1,0(内有且仅有一个实根.2014年河南省普通高等学校选拔优秀专科毕业生进入本科阶段学习考试高等数学题号一二三四五总分分值602050128150注意事项:答题前,考生务必将自己的姓名、考场号、座位号、考生号填写在答题卡上.本试卷的试题答案必须答在答题卡上,答在试卷上无效.一、选择题(每小题2分,共60分)在每小题的四个备选答案中选出一个正确答案,用铅笔把答题卡上对应题目的答案标号涂黑.如需改动,用橡皮擦干净后,再选涂其他答案标号.1.函数2()sin 9ln(1)f x x x =-+-的定义域是()A.(1,3]B.(1,)+∞ C.()3,+∞ D.[3,1)-2.已知2(2)2f x x x =-,则()f x =()A.2114x + B.2114x - C.214x x - D.114x +3.设()f x 的定义域为R ,则()()()g x f x f x =--()A.是偶函数B.是奇函数C.不是奇函数也不是偶函数D.是奇函数也是偶函数4.已知224lim 42x ax x →+=--,则()A.1a =- B.0a = C.1a = D.2a =5.1x =-是函数2212x y x x -=--的()A.跳跃间断点B.可去间断点C.连续点D.第二类间断点6.当0x →时,比1cos x -高阶的无穷小是()A.211x +- B.2ln(1)x + C.sin xD.3arctan x7.已知()ln f x x =,则220()()lim 2h f x h f x h→+-=()A.2ln xx -B.ln x xC.-21x D.1x8.曲线sin 2cos y t x t=⎧⎨=⎩(t 为参数),在2t π=对应点处切线的方程为()A.1x = B.1y = C.1y x =+ D.1y x =-9.函数()(1)(2)(3)(4)f x x x x x x =----,则方程'()0f x =实根的个数为()A.2B.3C.4D.510.设()y y x =是由方程xy xy e =+确定的隐函数,则dy dx=()A.11x y x+-- B.21y xy x-- C.11y x+- D.12x x xy---11.已知函数()f x 在区间[]0,a ()0a >上连续,()00f>且在()0,a 上恒有()0>'x f ,设10()aS f x dx =⎰,2(0)S af =,1S 与2S 的关系是()A.12S S < B.12S S = C.12S S > D.不确定12.曲线31y x =+()A.无拐点 B.有一个拐点C.有两个拐点D.有三个拐点13.曲线y =12x -的渐近线的方程为()A.0,1x y ==B.1,0x y ==C.2,1x y == D.2,0x y ==14.设()F x 是()f x 的一个原函数,则()xx ef e dx --⎰=()A.()xF e c-+ B.()xF e c--+ C.()xF e c+ D.()xF e c-+15.设()f x 在[,]a b 上连续,则由曲线()y f x =与直线,,0x a x b y ===所围成平面图形的面积为()A.()baf x dx⎰B.()baf x dx⎰ C.()baf x dx⎰D.()()()f b f a b a --16.设()f x 是连续函数,满足()f x =21sin 1x x++()11f x dx --⎰则lim ()x f x →∞=()A.0B.6π-C.3π D.6π17.设()f x =(1)sin ,xt tdt -⎰则'()f x =()A.sin cos x x x +B.(1)cos x x- C.sin cos x x x- D.(1)sin x x-18.下列广义积分收敛的是()A.2ln x dx x+∞⎰B.1+∞⎰C.21⎰D.1cos xdx+∞⎰19.微方程0dx dyy x+=的通解是()A.2225x y += B.34x y c+= C.22x y c+= D.227y x -=20.解常微方程''2'xy y y xe -+=的过程中,特解一般应设为()A.*2=)xy Ax Bx e +( B.*=xy AxeC.*=xy AeD.*2=()xy x e Ax B +21.已知,,a b c 为非零向量,且0a b ⋅= ,0b c ⨯=则()A.a b b c ⊥ 且B.a b b c ⊥ 且C.a c b c⊥ 且 D.a c b c⊥ 且22.直线L:==3-25x y z与平面π:641010x y z -+-=的位置关系是()A.L 在π上B.L 与π平行但无公共点C.L 与π相交但不垂直D.L 与π垂直23.在空间直角坐标系内,方程2221x y -=表示的二次曲面是()A.球面B.双曲抛物面C.圆锥面D.双曲柱面24.极限0y 0x →→=()A.0B.4C.14D.14-25.点(0,0)是函数z xy =的()A.驻点B.极值点C.最大值点D.间断点26.设{}(,)21D x y x y =≤≤,则()+Dxy y dxdy⎰⎰=()A.0B.1- C.2D.127.设(),f x y 为连续函数,()()122-01,+,xxdx f x y dy dx f x y dy ⎰⎰⎰⎰交换积分次序后得到()A.()212,yy dy f x y dx⎰⎰ B.()2,ydy f x y dx⎰⎰C.()12-0,y ydy f x y dx⎰⎰D.()2022,yy dy f x y dx⎰⎰28.L 为从(0,0)经点(0,1)到点(1,1)的折线,则2+Lx dy ydx ⎰=()A.1B.2C.0D.1-29.下列级数条件中收敛的是()A.2n=12n-1n +1∞∑ B.nnn=11-3∞∑(1)C.22n=1n +n+1n -n+1∞∑D.nn=1-∞∑(30.级数2n=114n -1∞∑的和是()A.1B.2C.12D.14二、填空题(每小题2分,共20分)31.设-1=-1x x f x x x ⎛⎫≠ ⎪⎝⎭(0,1),则()f x =__________.32.设连续函数()f x 满足22()()f x x f x dx =-⎰,则2()f x dx ⎰=__________.33.已知,1()ln ,1x a x f x x x -<⎧=⎨≥⎩,若函数()f x 在1x =连续,a =______.34.设33'(1)12f x x +=+且()01f =-,则()f x =__________.35.不定积分cos 2xdx ⎰=__________.36.若向量{}{}{}0,1,1;1,0,1;1,1,0a b c ===,则()a b c ⨯= __________.37.微分方程"4'40y y y -+=的通解()y x =__________.38.设arctan222(,)ln()cos y xf x y ex y xy =+,则'(1,0)x f =__________.39.函数()222,,f x y z x y z =++在点()1,1,1处方向导数的最大值为__________.40.函数()112f x x=-的幂级数展开式是__________.三、计算题(每小题5分,共50分)41.求极限2x x →42.设n a 为曲线n y x =与1(1,2,3,4...)n y x n +==所围的面积,判定级数1n n ∞=的敛散性43.求不定积分.44.计算定积分42x dx -⎰.45.解微分方程3xy y x '-=.46.已知函数(,)z f x y =由方程20xyz ez e --+=所确定,求dz .47.已知点(4,1,2),(1,2,2),(2,0,1)A B C --求ΔABC 的面积.48.计算二重积分ln D⎰⎰,其中22{(,)14}D x y x y =≤+≤.49.计算曲线积分()()2211Ly x dx x y dy ++-⎰ 其中L 是圆221x y +=(逆时针方向).50.试确定幂级数01nn x n ∞=+∑的收敛域并求出和函数.四、应用题(每小题7分,共14分)51.欲围一个面积150平方米的矩形场地,所用材料的造价其正面每平方米6元,其余三面是每平方3元,问场地的长,宽各为多少时,才能使造价最低?52.已知D 是抛物线L:22y x =和直线12x =所围成的平面区域,试求:(1)区域D 的面积(2)区域D 绕ox 轴旋转所形成空间旋转体体积.五、证明题(6分)53.设2e a b e <<<,证明2224ln ln ()b a b a e ->-.。