综合教程第六册课后练习答案
- 格式:doc
- 大小:113.50 KB
- 文档页数:15
Unit 111111III. Fill in the blank in each sentence with a word orphrase taken from the box, using its appropriate form.1.The local council has decreed that the hospitals that are not able to reach the service standards should close.2. When Hamlet murmured "To be, or not to be", he was faced with an agonizing dilemma.3. The young mother smiled a pprovingly at her son who asked to play outdoors.4. The Prime Minister is now firmly ensconced in Downing Street with a large majority.5. We need a manager with plenty of flair to run the business in China.6. It is noticed that quick-minded people suffer no v ulnerability t o criticism.7. It was a relief to be outside in the fresh air again after staying weeks-long underground.8. The government's a vowed commitment to reduce tax has been largely appreciated.Unit3331.She thought she was too homely t o get a date.2. I could hear the note of a ppeal in her voice as she asked me to talk things over again.3. In this decade of politics, many more women have become magistrates.4. I hope that we can settle this issue amicably.5. This is a far from solemn book -- it is a rich mix of pleasures and information, and isfull of surprises.6. We rushed out of the shop in hot pursuit, but the thief had vanished into thin air.7. He twisted and turned, trying to free himself from the rope.8. I tried to excuse myself for missing her party but made the attempts very clumsily.U 5551.A useful definition of an air pollutant is a compound added directly or indirectly by humans to the atmosphere in such quantities as to affecthumans, animals, vegetation, or materials adversely.2.The most distant l uminous objects seen by telescopes are probably ten thousand million light years away.3."Want some wine?" she asked. He smiled and took a swig from the bottle. He thanked her and r etreated a gain into his silence.obsessed by the possibilities 4.The self-educated son of a Delaware farmer, Evans becameof mechanized production and steam power.icons of 5.Stone carvers engraved their motifs of skulls and crossbones and other religious death, into the gray slabs that we still see standing today in old burial grounds.metamorphoses over the past few 6.The employment department has undergone severalyears.7.Respect is never given freely; every shred of it has to be earned and you earn it by how well you treat others.8.The professor argued that these books had apernicious effect on young and susceptible minds.Uu 6666666661. Her manner is friendly and relaxed and much less formidable t han she appears at her after-game press conference.2. Nothing has ever equaled the magnitude and speed with which the human species is altering the physical and chemical world and demolishing the environment.3.When heated, the mixture becomes soft and malleable and can be formed by various techniques into a vast array of shapes and sizes.4. Where I part company with him, however, is over the link he forges between science and liberalism.5.Percy was lying p rostrate, his arms outstretched and his eyes closed.6. Given data which are free from bias, there are further snares to avoid in statistical work.7.In pragmatics, the study of speech, one is able to see how specific acts are related to a temporal and spatial context.8. His dad might have been able to say something solacing, had he not been fighting back his own flood of anguish.Unit 7777771.When his prospective employers learned that he smoked, they said they wouldn't hire him.2.In him the polarities of life are resolved and balanced, male and female,strength and c ompassion, severity and mercy.3.Inarticulate and rather shy, he had always dreaded speaking in public.4.Allegations of brutality and theft have been leveled at the army.5.Our government cannot keep doling o ut money to those who are fastidious about the jobs offered to them.6.He was deeply g rieved by the sufferings of the common people.7.Many studies have shown that "restrained eaters" will eventually binge and relapse.8.He reaffirmed his commitment to the country's economic reform programme.Unit 8888888881.This figure is five times the original estimate.2.They have no way to dispose of the hazardous waste they produce.3.Britain is intensifying its efforts to secure the release of three British hostages.4.Translation must always be a process of approximation and compromise.5.There's a sizzling summer of soccer ahead -- we're kicking it off with a series of cracking quizzes.6.Turning that vision into a reality is not easy.7.I don't envisage I will take an executive role, but rather become a consultant on merchandise and marketing.8.Surely it is economic nonsense to deplete the world of natural resources.Unit 101. Hallucination is common in patients who suffered damages to the brain.2. There are two main problems which a fflict people's hearing.3. Having begun my life in a children's home, I have the greatest empathy with the little ones.4. Some people need to confront a traumatic past, others find it better to leave it alone.5.A new survey found that 50% of women had experienced some form of sexual harassment in their working lives.6.He's large and languid, meeting each inquiry with an impassive countenance.7.From the very first days of the reforms, the parliament kept on an incessant drumbeat of protest.8.I deeply resented those sort of rumors being circulated at a time of deeply personal grief.Unit 12distribution o f wealth.. The new economic plan seeks to achieve a more equitable2.A number of enlightened l andowners have recently set an example by making land available at less than normal market value.3. The consensus amongst the world's scientists is that the world is likely to warm up over the next few decades.4. It is useless trying to c onvince her that she doesn't need to lose any weight.administrative 5. A great number of industries have to sack managers to reduce their hugecosts.6. Sadly, the main b eneficiaries of pension equality so far have been men, not women.7. He professed a violent distaste for everything related to commerce, production, and money.8. To make a sound diplomat is to first believe that bureaucratic delays are inevitable. Unit131.The Minister was alleged to have made disparaging remarks about the rest of theCabinet.2. The CEO was censured for his indecisiveness during the period of economic crisis.3. The actual damage to the brain cells is secondary to the damage caused to the bloodsupply.4.The Earth is thought to be around 4,600 million years old, an almost inconceivabletime-span.5. Harvard is one of the best equipped and most prestigious schools in the country.6. It was a Puritan who tried effectively to renounce the ancient customs of his country.7. Lloyd's results were carefully s crutinized as a guide to what to expect from the otherbanks.8. We often get c omplimentary remarks regarding the cleanliness of our patio.Unit15II. 1.conform 2. adapt 3. adapt 4. conform1. neglecting2. neglect3. ignoring4. ignore1.zest2. interest3. zest4. interests1. strain2. strain3. stress4. stressIII.1.Excessive c onformity is usually caused by fear of disapproval.2.It did not require a great deal of p erception to realize that the interview was over when the interviewers had absent-minded.3. A new machine may save animals from the agony o f drug tests.4.He has published a great number of poems, but most anonymously.5.He has made a long-term investment, so he might expect to incur light losses in the first few years.6.When a book gets translated, all those linguistics subtleties get lost.7.It is your prerogative to stop seeing that particular therapist and find another one. 8.The proposal is a thinly d isguised effort to revive the price controls of the 1990s.Translate the following sentences into Chinese (20%).BlackmailThe Duchess of Croydon – three centuries and a half of inbred arrogance behind her – did not yield easily. Springing to her feet, her face wrathful, gray-green eyes blazing, she faced the grossness of the house detective squarely.克罗伊敦公爵夫人——依仗着三个半世纪祖传下来的狂傲天性——并没有轻易就范。
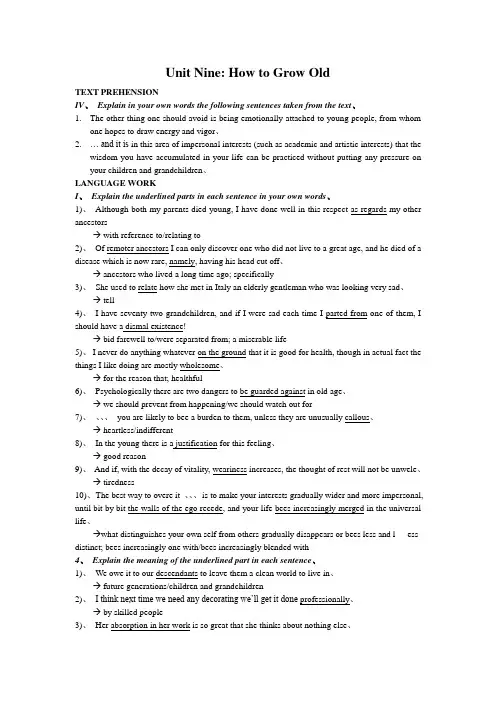
Unit Nine: How to Grow OldTEXT PREHENSIONIV、Explain in your own words the following sentences taken from the text、1.The other thing one should avoid is being emotionally attached to young people, from whomone hopes to draw energy and vigor、2.… and it is in this area of impersonal interests (such as academic and artistic interests) that thewisdom you have accumulated in your life can be practiced without putting any pressure on your children and grandchildren、LANGUAGE WORKI、Explain the underlined parts in each sentence in your own words、1)、Although both my parents died young, I have done well in this respect as regards my other ancestors→ with reference to/relating to2)、Of remoter ancestors I can only discover one who did not live to a great age, and he died of a disease which is now rare, namely, having his head cut off、→ ancestors who lived a long time ago; specifically3)、She used to relate how she met in Italy an elderly gentleman who was looking very sad、→ tell4)、I have seventy-two grandchildren, and if I were sad each time I parted from one of them, I should have a dismal existence!→ bid farewell to/were separated from; a miserable life5)、I never do anything whatever on the ground that it is good for health, though in actual fact the things I like doing are mostly wholesome、→ for the reason that; healthful6)、Psychologically there are two dangers to be guarded against in old age、→ we should prevent from happening/we should watch out for7)、、、、you are likely to bee a burden to them, unless they are unusually callous、→ heartless/indifferent8)、In the young there is a justification for this feeling、→ good reason9)、And if, with the decay of vitality, weariness increases, the thought of rest will not be unwele、→ tiredness10)、The best way to overe it 、、、is to make your interests gradually wider and more impersonal, until bit by bit the walls of the ego recede, and your life bees increasingly merged in the universal life、→what distinguishes your own self from others gradually disappears or bees less and l ess distinct; bees increasingly one with/bees increasingly blended with4、Explain the meaning of the underlined part in each sentence、1)、We owe it to our descendants to leave them a clean world to live in、→ future generations/children and grandchildren2)、I think next time we need any decorating we’ll get it done professionally、→ by skilled people3)、Her absorption in her work is so great that she thinks about nothing else、→ engrossment in, or preoccupation with her work4)、Continued rapid growth in consumer spending will suck in more imports、→ draw in/encourage5)、I’m not very good where money is concerned、→ when dealing with money6)、Taxpayers should claim as many allowable expenses as possible against their taxed ine、→ expenses on which no taxes are paid7)、Her actions were quite justifiable in the circumstances、→ There was a good reason for her actions8)、He won’t be contented until he’s upset everyone in the office、→ satisfied9)、On his wall he has a poster of Marilyn Monroe, her lips forever parted in anticipation、→ separated/open10)、I suspect he cheats the taxman、→ avoids paying taxes by using illegal methodsTRANSLATIONI、Translate the following sentences into English, using the words or phrases given in brackets、1)、她与她在一起生活度日艰难。
综合教程第六册课后练习答案Unit 1第一题:选词填空1、The roads are clogged with holiday traffic. (be clogged with)2、This study purports to show an increase in the incidence of the disease.(purport to)3、After a hard climb, we were rewarded by a vista of rolling hills under a deep blue summer sky.4、The children bombarded her with questions.(bombard with)5、They exulted over their victory. (exult over)6、The baby’s just scribbled all over my new dictionary!(scribble all over)7、I didn’t find the prospect of a house with no electricity very alluring.(find sth. alluring)8、She’s trying to make a comeback with her first album in nearly twenty years.9、You can use the search facility to call up all the occurrences of a particular word in a document.10、He glanced at the letter and then tossed it into the bin.(toss into)11、He was eliminated in the third round of the competition.(be eliminated)12、I managed to compress ten pages of notes into four paragraphs.(compress into)第二题:用适合形式填空1、The company specializes in customized (custom)computer systems.2、The whole experience left him traumatized(traumatize).3、The writer recently went on a promotional(promotion) tour of his homeland.4、It seems paradoxical(paradox) to me, but if you drink a cup of hot tea it seems to cool you down.5、You shouldn’t treat such a serious subject with frivolity(frivolous).6、Cable television companies have launched major campaigns to increase their number of subscribers(subscribe).7、This range of computers is very fast, but their successors(success)will be even faster.8、His speech was full of inanities(inane)that were meant to be funny.9、What was once an informal event has now become institutionalized(institution).10、The school received a substantial government subsidy(subsidize).1.这项计划为智力迟钝者提供长期的照顾。
Unit1When I first came into contact with onlineteachin g,I had questio n s about the validit y of this instructional medium.I would not know whether the student submitti ng the work was the same personwho registe red for the course.Onlineteachin g also require d rethinki ng how I deliver the subject matter,W ithout face-to-face communi c ation,can I,via compute r,make the student s feel the same kind of enthusi asm and appreciate my sense of humor?My shy daughte r’s experie n ce provedto be very inspiri ng.She never spoke in class,but in the two onlinecourses she took,she dived into discussi ons and postedher opinion s.The onlinecoursebegan and thingsran better than I had expecte d.The student s all followe d the directi ons well,and the discussi on board was lively.I’ve never met any of my student s but I got to know them by their work and I saw their learnin g attitud es develop beforemy eyes.I found that onlineeducati on workedbest with student s who were very comfort able with the compute r and willing to becomepart of a communi t y built aroundthe subject matter.A nd it require d teacher s to be willngto help build that sense of communi ty and make the student s feel the teacher was alwaysthere.刚接触网络教学时,我质疑过这种教学方式的有效性。
Ⅰ.单项填空1.Work gets done________when people do it together,and the rewards are higher too. A.easily B.very easy C.more easily D.easier2.We must take all possible measures________ to improve working conditions.A.tend B.tending C.tended D.being tended3.The education of ________ young has become ________ hot and serious topic in the present society.A.the;/ B.a;the C./;the D.the;a4.She as well as the two guides________ the idea of climbing the mountain in such bad weather.A.opposed to B.objected to C.are opposed to D.approved5.—What is the cost of your shirts here,sir?—It depends on which fashion you want to buy,and the prices________ from 100 dollars to 500 dollars.A.increase B.range C.reach D.different6.—Say,Jane,will you come with me to the game Friday?—________,Bob,but I promised Mary I’d go with her.A.My pleasure B.Thanks C.Take it easy D.Forget it7.________,American firms remain the most productive in the world.A.In average B.With average C.On average D.By average8.We advocate that everyone________some money to the flood-stricken area. A.donates B.to donate C.is donate D.donate9.How did it________ that humans speak so many different languages?A.come about B.come out C.come across D.come up10.I really don’t know how you________ the great noise here!It’s bad for your health. A.keep up with B.catch up withC.come up with D.put up with11.How many people have________ for the book when it is printed?A.bought B.subscribed C.taken D.booked12.Large quantities of solid fuel________ consumed every day and too much carbon dioxide is sent into the air,which in turn________ the going up of temperature.A.is;results in B.are;results inC.is;leads to D.are;results from13.—Have you got any idea for the summer vacation?—I don’t mind where we go________there’s sun,sea and beach.A.as if B.as long as C.now that D.in order that14.—I heard your journey was not very pleasant.—But for the sudden rain we________ a wonderful time.A.will have B.should have had C.should have D.had15.It was on the farm ________ he spent his childhood ________ he learned how to grow vegetables.A.where;that B.which;when C.that;that D.which;whichⅡ.完形填空The Pecan ThiefWhen I was six years old,I was visiting my grandfather’s farm in Kansas.Grandpa had sent me into the __16__ to gather pecans for us to enjoy later.Pecan picking was really __17__ work and my little basket was only half full.I wasn’t about to__18__ Grandpa down.Just then something caught my __19__.A large brown squirrel was a few feet away.I watched as he picked up a pecan,hurried to a tree and __20__ in a large hole in the trunk.A moment later the squirrel __21__ out and climbed down to the ground to pick up another nut.Once again,he took the pecan back to his hiding place.Not so __22__ anymore,I thought.I dashed over to the tree and looked into the hole.It was__23__ with pecans!Golden pecans were right there for taking.This was my __24__.Handful by handful,I scooped all of those pecans into my basket.Now it was full!I was so __25__ of myself.I couldn’t wait to show Grandpa all the pecans.__26__,I ran back and shouted,“Look at all the pecans!”He looked into the basket and said,“Well,well,how did you find so many?”I told him how I’d __27__ the squirrel and taken the pecans from his hi ding place. Grandpa congratulated me on how smart I’d been in observing the squirrel and his habits.Then he did something that __28__me.He handed the basket back to me and put his arm gently__29__ my shoulders.“That squirrel worked very hard to gather his winter __30__ of food,” he said.“Now that all of his pecans are gone,don’t you think that little squirrel will __31__ the cold winter?”“I didn’t think about that,”I said.“I know,”Grandpa said.“But a good man should never take __32__ of someone else’s hard work.”Suddenly I felt a bit __33__.The image of the starving squirrel wouldn’t __34__ my mind.There was only one thing I could do.I carried the basket back to the tree and poured all the nuts into the hole.I didn’t eat any pecans that night,but I had something much more filling—the __35__ of knowing I had done just the right thing.16.A.rooms B.woods C.holes D.roads17.A.hard B.dirty C.light D.easy18.A.let B.settle C.have D.keep19.A.sweater B.basket C.eye D.hand20.A.joined B.lived C.discovered D.disappeared21.A.jumped B.held C.stood D.found22.A.strange B.secret C.anxious D.patient23.A.covered B.filled C.rebuilt D.decorated24.A.time B.choice C.chance D.achievement25.A.afraid B.ashamed C.careful D.proud26.A.Otherwise B.However C.Besides D.Therefore27.A.driven B.followed C.protected D.caught28.A.annoyed B.satisfied C.surprised D.delighted29.A.off B.beside C.over D.around30.A.supply B.cost C.support D.preparation31.A.escape B.spend C.survive D.flee32.A.place B.notice C.advantage D.charge33.A.guilty B.unconfident C.embarrassed D.nervous34.A.open B.leave C.cross D.occupy35.A.inspiration B.expectation C.impression D.satisfactionⅢ.阅读理解A tent can be one of the more costly items on your camping equipment shopping list.It is definitely something that you need to consider carefully.By seeing a tent for real you will be able to get a better impression of its size and construction in the traditional shop.However,the downside is that,unless you are experienced,you may miss out some of the details that the manu facturer’s promotional material makes clear.Cheap tents often look similar to the quality models they are mimicking(模仿),but you can be sure that they use inferior(次的) materials and probably have lower design standards.Shop staff are often campers themselves.That means they usually can give lots of advice.If a shop assistant agrees with your own conclusions,that will be great;if they try to change your decision with a clear and reasonable argument,then that will be worth considering;if they just try to bamboozle(欺骗),or even bully,you then walk away.The Internet is a wonderful tool,and so long as you know how to make the most of search engines and put in a little effort,you really have the perfect answer waiting to be found.That answer will be different for every camper as each of us has different needs.Don’t be surprised to see your favourite criticized somewhere,but if you see too much criticism,then you had better start thinking again.No problem.You won’t have spent anything yet,so think of it positively as a large expense saved.Probably the best approach,if you have the time,is to research tents online and make a short list.Then try to inspect those tents at nearby shops.Then you can make a final decision on where to buy your chosen model based purely on total cost.36.When you go camping,what you should consider most is________.A.the shopping list B.the costly itemC.the tent D.the equipment37.The underlined word “downside” in Paragraph 2 means “________”.A.disadvantage B.instruction C.argument D.principle38.It can be concluded from the third paragraph that________.A.shop assistants usually enjoy going campingB.shop assistants usually have practical adviceC.you should consider your idea repeatedlyD.it is impolite for you to trouble shop assistants39.You can make use of the Internet to________.A.meet your different needs B.find the answer for every camperC.help you out of trouble D.find your favourite tent40.Which of the following would be the main idea of this passage?A.It is good to buy your tent in the traditional shop.B.You’d better buy a tent with the help of the Internet.C.Better buy a tent combining seeing tents for real in shops and researching them online. D.Going camping is really beneficial to your health.1.C2.B3.D4.B5.B6.B7.C8.D9.A 10.D 11.B 12.B 13.B 14.B15.A 16.B 17.A 18.A 19.C 20.D 21.A 22.B 23.B 24.C 25.D 26.D 27.B 28.C 29.D 30.A 31.C 32.C 33.A 34.B 35.D36.C 37.A 38.B 39.D 40.C。
Unit 111111III. Fill in the blank in each sentence with a word orphrase taken from the box, using its appropriate form.1.The local council has decreed that the hospitals that are not able to reach the service standards should close.2. When Hamlet murmured "To be, or not to be", he was faced with an agonizing dilemma.3. The young mother smiled approvingly at her son who asked to play outdoors.4. The Prime Minister is now firmly ensconced in Downing Street with a large majority.5. We need a manager with plenty of flair to run the business in China.6. It is noticed that quick-minded people suffer no vulnerability to criticism.7. It was a relief to be outside in the fresh air again after staying weeks-long underground.8. The government's avowed commitment to reduce tax has been largely appreciated.Unit3331.She thought she was too homely to get a date.2. I could hear the note of appeal in her voice as she asked me to talk things over again.3. In this decade of politics, many more women have become magistrates.4. I hope that we can settle this issue amicably.5. This is a far from solemn book -- it is a rich mix of pleasures and information, and is full of surprises.6. We rushed out of the shop in hot pursuit, but the thief had vanished into thin air.7. He twisted and turned, trying to free himself from the rope.8. I tried to excuse myself for missing her party but made the attempts very clumsily.U 5551.A useful definition of an air pollutant is a compound added directly or indirectly by humans to the atmosphere in such quantities as to affecthumans, animals, vegetation, or materials adversely.2.The most distant luminous objects seen by telescopes are probably ten thousand million light years away.3."Want some wine?" she asked. He smiled and took a swig from the bottle. He thanked her and retreated again into his silence.4.The self-educated son of a Delaware farmer, Evans became obsessed by the possibilities of mechanized production and steam power.5.Stone carvers engraved their motifs of skulls and crossbones and other religious icons of death, into the gray slabs that we still see standing today in old burial grounds.6.The employment department has undergone several metamorphoses over the past few years.7.Respect is never given freely; every shred of it has to be earned and you earn it by how well you treat others.8.The professor argued that these books had a pernicious effect on young and susceptible minds.Uu 6666666661. Her manner is friendly and relaxed and much less formidable than she appears at her after-game press conference.2. Nothing has ever equaled the magnitude and speed with which the human species is altering the physical and chemical world and demolishing the environment.3.When heated, the mixture becomes soft and malleable and can be formed by various techniques into a vast array of shapes and sizes.4. Where I part company with him, however, is over the link he forges between science and liberalism.5.Percy was lying prostrate, his arms outstretched and his eyes closed.6. Given data which are free from bias, there are further snares to avoid in statistical work.7.In pragmatics, the study of speech, one is able to see how specific acts are related to a temporal and spatial context.8. His dad might have been able to say something solacing, had he not been fighting back his own flood of anguish.Unit 7777771.When his prospective employers learned that he smoked, they said they wouldn't hire him.2.In him the polarities of life are resolved and balanced, male and female,strength and compassion, severity and mercy.3.Inarticulate and rather shy, he had always dreaded speaking in public.4.Allegations of brutality and theft have been leveled at the army.5.Our government cannot keep doling out money to those who are fastidious about the jobs offered to them.6.He was deeply grieved by the sufferings of the common people.7.Many studies have shown that "restrained eaters" will eventually binge and relapse.8.He reaffirmed his commitment to the country's economic reform programme.Unit 8888888881.This figure is five times the original estimate.2.They have no way to dispose of the hazardous waste they produce.3.Britain is intensifying its efforts to secure the release of three British hostages.4.Translation must always be a process of approximation and compromise.5.There's a sizzling summer of soccer ahead -- we're kicking it off with a series of cracking quizzes.6.Turning that vision into a reality is not easy.7.I don't envisage I will take an executive role, but rather become a consultant on merchandise and marketing.8.Surely it is economic nonsense to deplete the world of natural resources.Unit 101. Hallucination is common in patients who suffered damages to the brain.2. There are two main problems which afflict people's hearing.3. Having begun my life in a children's home, I have the greatest empathy with the little ones.4. Some people need to confront a traumatic past, others find it better to leave it alone.5.A new survey found that 50% of women had experienced some form of sexual harassment in their working lives.6.He's large and languid, meeting each inquiry with an impassive countenance.7.From the very first days of the reforms, the parliament kept on an incessant drumbeat of protest.8.I deeply resented those sort of rumors being circulated at a time of deeply personal grief.Unit 12. The new economic plan seeks to achieve a more equitable distribution of wealth.2.A number of enlightened landowners have recently set an example by making land available at less than normal market value.3. The consensus amongst the world's scientists is that the world is likely to warm up over the next few decades.4. It is useless trying to convince her that she doesn't need to lose any weight.5. A great number of industries have to sack managers to reduce their huge administrative costs.6. Sadly, the main beneficiaries of pension equality so far have been men, not women.7. He professed a violent distaste for everything related to commerce, production, and money.8. To make a sound diplomat is to first believe that bureaucratic delays are inevitable. Unit131.The Minister was alleged to have made disparaging remarks about the rest of theCabinet.2. The CEO was censured for his indecisiveness during the period of economic crisis.3. The actual damage to the brain cells is secondary to the damage caused to the bloodsupply.4.The Earth is thought to be around 4,600 million years old, an almost inconceivabletime-span.5. Harvard is one of the best equipped and most prestigious schools in the country.6. It was a Puritan who tried effectively to renounce the ancient customs of his country.7. Lloyd's results were carefully scrutinized as a guide to what to expect from the otherbanks.8. We often get complimentary remarks regarding the cleanliness of our patio.Unit15II. 1.conform 2. adapt 3. adapt 4. conform1. neglecting2. neglect3. ignoring4. ignore1.zest2. interest3. zest4. interests1. strain2. strain3. stress4. stressIII.1.Excessive conformity is usually caused by fear of disapproval.2.It did not require a great deal of perception to realize that the interview was over when the interviewers had absent-minded.3. A new machine may save animals from the agony of drug tests.4.He has published a great number of poems, but most anonymously.5.He has made a long-term investment, so he might expect to incur light losses in the first few years.6.When a book gets translated, all those linguistics subtleties get lost.7.It is your prerogative to stop seeing that particular therapist and find another one. 8.The proposal is a thinly disguised effort to revive the price controls of the 1990s.Translate the following sentences into Chinese (20%).BlackmailThe Duchess of Croydon – three centuries and a half of inbred arrogance behind her – did not yield easily. Springing to her feet, her face wrathful, gray-green eyes blazing, she faced the grossness of the house detective squarely.克罗伊敦公爵夫人——依仗着三个半世纪祖传下来的狂傲天性——并没有轻易就范。
Unit1When I first came into contact with online teaching,I had questions about the validity of this instructional medium.I would not know whether the student submitting the work was the same person who registered for the course.Online teaching also required rethinking how I deliver the subject matter,Without face-to-face communication,can I,via computer,make the students feel the same kind of enthusiasm and appreciate my sense of humor?My shy daughter’s experience proved to be very inspiring.She never spoke in class,but in the two online courses she took,she dived into discussions and posted her opinions.The online course began and things ran better than I had expected.The students all followed the directions well,and the discussion board was lively.I’ve never met any of my students but I got to know them by their work and I saw their learning attitudes develop before my eyes.I found that online education worked best with students who were very comfortable with the computer and willing to become part of a community built around the subject matter.And it required teachers to be willng to help build that sense of community and make the students feel the teacher was always there.刚接触网络教学时,我质疑过这种教学方式的有效性。
综合教程6u n i t9答案(总5页)--本页仅作为文档封面,使用时请直接删除即可----内页可以根据需求调整合适字体及大小--Unit Nine: How to Grow OldTEXT COMPREHENSIONIV. Explain in your own words the following sentences taken from the text.1.The other thing one should avoid is being emotionally attached to youngpeople, from whom one hopes to draw energy and vigor.2.… and it is in this area of impersonal interests (such as academic and artisticinterests) that the wisdom you have accumulated in your life can bepracticed without putting any pressure on your children and grandchildren. LANGUAGE WORKI. Explain the underlined parts in each sentence in your own words.1). Although both my parents died young, I have done well in this respect as regards my other ancestorswith reference to/relating to2). Of remoter ancestors I can only discover one who did not live to a great age, and he died of a disease which is now rare, namely, having his head cut off.ancestors who lived a long time ago; specifically3). She used to relate how she met in Italy an elderly gentleman who was looking very sad.tell4). I have seventy-two grandchildren, and if I were sad each time I parted from one of them, I should have a dismal existence!bid farewell to/were separated from; a miserable life5). I never do anything whatever on the ground that it is good for health, though in actual fact the things I like doing are mostly wholesome.for the reason that; healthful6). Psychologically there are two dangers to be guarded against in old age.we should prevent from happening/we should watch out for7). ... you are likely to become a burden to them, unless they are unusually callous.heartless/indifferent8). In the young there is a justification for this feeling.good reason9). And if, with the decay of vitality, weariness increases, the thought of rest will not be unwelcome.tiredness10). The best way to overcome it ... is to make your interests gradually wider and more impersonal, until bit by bit the walls of the ego recede, and your life becomes increasingly merged in the universal life.what distinguishes your own self from others gradually disappears or becomes less and l ess distinct; becomes increasingly one with/becomes increasingly blended with4. Explain the meaning of the underlined part in each sentence.1). We owe it to our descendants to leave them a clean world to live in.future generations/children and grandchildren2). I think next time we need any decorating we’ll get it done professionally.by skilled people3). Her absorption in her work is so great that she thinks about nothing else.engrossment in, or preoccupation with her work4). Continued rapid growth in consumer spending will suck in more imports.draw in/encourage5). I’m not very good where money is concerned.when dealing with money6). Taxpayers should claim as many allowable expenses as possible against their taxed income.expenses on which no taxes are paid7). Her actions were quite justifiable in the circumstances.There was a good reason for her actions8). He won’t be contented until he’s upset everyone i n the office.satisfied9). On his wall he has a poster of Marilyn Monroe, her lips forever parted in anticipation.separated/open10). I suspect he cheats the taxman.avoids paying taxes by using illegal methodsTRANSLATIONI. Translate the following sentences into English, using the words or phrases given in brackets.1). 她与他在一起生活度日艰难。
第1单元◆alliance◆campaign◆casualty◆conquest◆crucial◆decisive◆declaration◆efficient◆engage◆heroic◆instruct◆invasion◆launch◆limp◆minus◆occupation◆offensive◆raw◆reckon◆region◆render◆retreat◆siege◆stroke◆toll◆weaken◆at the cost of◆be faced with◆be/get bogged down◆bring to a halt◆catch sb. off guard◆die from/of◆drag on◆in the case of◆press on/ahead◆stand/get/be in the way◆take a gamble◆take its/a toll◆thanks to◆turn the tide(against)1) The Labor Party's electoral (竞选的) strategy, which was based on a tacticalwith other smaller parties, has proved successful.Answer: alliance2) The New York fire fighters' deeds in rescuing the September 11 victims were celebrated across the country.Answer: heroic3) By a of good luck, Genelle, who had been buried in the rubble (瓦砾) for more than 26 hours, came out alive.Answer: stroke4) My brother wasn't badly hurt, but he injured his leg and had to around fora few weeks.Answer: limp5) The aircraft was subjected to a test of temperatures of 65 degrees Celsius and plus 120 degrees.Answer: minus6) Tax incentives will be used to attract companies to the western of our country away from the east coast.Answer: regions7) The opening speeches sounded more like of war than offerings of peace. Answer: declarations8) After a three-day by the police, the terrorists who had seized the restaurant had to give in.Answer: siege9) Once we stepped off the plane and onto the prairie , we were greeted by a gust ofand biting wind.Answer: raw10) Attacks by enemy aircraft forced the tanks to from the city.Answer: retreat11) The harassing problems of the past few months on her health and there are shadows beneath her eyes.Answer: have taken their toll12) Workers who have to work on weekends are paid twice the normal wages.national holidays, they get triple pay.Answer: In the case of13) The endless public appearances and shaking of hands are an inevitable part of an election.Answer: campaign14) The government troops recaptured the city from the rebels two thousand casualties.Answer: at the cost of15) Production in many factories by the delayed arrival of raw materials due to the dock workers' strike.Answer: has been brought to a halt1) To raise productivity, many factories have begun to lay off workers. Now the governmentthe problem of helping create jobs for the large number ofunemployed.(face)Answer: is faced with2) If you let yourself in paper work, you'll never find time to deal with the really important issues. (bog)Answer: get bogged down3) Despite fierce opposition, the government with its campaign to eliminate corruption. (press)Answer: is pressing on/is pressed on4) "We could take no chances; if we fail in Normandy the war might for years," said the Allied commander-in-chief. (drag)Answer: drag on5) Susan never took any cookery courses; she learned cooking by useful tips from TV cookery programs. (pick)Answer: picking up6) Their marriage was already even before his wife went abroad. (fall) Answer: falling apart7) As the economy shows no signs of picking up, many companies on capital investment. (cut)Answer: cut back8) The manager suddenly fell ill, and I've had to . (take)Answer: take over1) As a result of the rapid advance in gene therapy, cures for cancer may be not far away. The rapid advance in gene therapy may. (conquest)Answer: lead to the conquest of cancer in the near future2) Thousands of people were killed or wounded in the border dispute between the two countries.Answer: between the two countries resulted in thousands of casualties3) Knowing that she can't move ahead in her career mainly due to her leisure interests, Sara is determined to make a change.Sara has made up her mind that her leisure interests . (get in the way of) Answer: will/should never get in the way of her career4) It was obvious that the foreign minister had never thought that the reporter would ask him such a question.Obviously the reporter's question . (catch sb. off guard)Answer: caught the foreign minister off guard5) Few people use the slide rule (计算尺) since the introduction of the electronic calculator.The introduction of the electronic calculator . (render)Answer: has rendered the slide rule out of date/obsolete1) At that time, the enemy forces were much superior to ours, so we had to give upbig cities and the rural and mountainous to build up our base areas. (retreat, region, occupation)Answer: the occupation of, retreat to, regionsoperation of an organization. Failureits strength. In many cases, work may with, bring to a halt, efficient)Answer: crucial to, efficient, to reckon with, weaken, be brought to a halt3) The Red Army fought battle at Stalingrad and won victoryagainst the Germans. In fact, this battle in the Second World War. During this famous battle, the Soviet troops withstood the German and weakenedthe German army a series of counterattacks. (heroic, siege, launch, turn the tide, decisive)Answer: a heroic, the decisive, turned the tide, siege, by launching1) During the First World War, battles occurred here and there over vast areas. Some of the most dramatic fighting occurred in the gloomy trenches of France and Belgium and in the no-man's-land between the trenches.Answer: During the First World War, battles occurred here and there over vast areas. Some of the most dramatic fighting took place in the gloomy trenches of France and Belgium and in the no-man's-land between the trenches.2) Elizabeth made careful preparations for the interview and her preparations paid off.Answer: Elizabeth made careful preparations for the interview and her efforts paid off./Elizabeth made careful preparations for the interview and her homework paid off.3) I spent hours trying to talk him into accepting the settlement, but he turned a deaf ear to all my talk.Answer: I spent hours trying to talk him into accepting the settlement, but he turned a deaf ear to all my words.4) Pneumonia had severely weakened her body, and I wondered how her weak body could withstand the severe weather.Answer: Pneumonia had severely weakened her body, and I wondered how her fragile body could withstand the harsh weather.1) But often it is not until we (生病的时候)that we finally learn to appreciate good health.Answer: fall ill2) A rich old lady (死了躺在家里两个星期)-- and nobody knew anything about it.Answer: lay dead at home for two weeks3) It's said that he(猝死于心脏病)when he was at work.Answer: dropped dead from a heart attack4) Don't sit too close to the fire to keep warm -- you could easily get burned, especially if you(睡着了).Answer: fall asleep5) In those days people believed in (早结婚)and having children early. Answer: marrying young(坐着不动超过几分钟).Answer: to sit still for longer than a few minutesalliance◆campaign◆casualty◆conquest◆crucial◆decisive◆declaration◆efficient◆engage◆heroic◆instruct◆invasion◆launch◆limp◆minus◆occupation◆offensive◆raw◆reckon◆region◆render◆retreat◆siege◆stroke◆toll◆weaken◆at the cost of◆be faced with◆be/get bogged down◆bring to a halt◆catch sb. off guard◆die from/of◆drag on◆in the case of◆press on/ahead◆stand/get/be in the way◆take a gamble◆take its/a toll◆thanks to◆turn the tide(against)When Hitler decided to launch his (1) of Russia, he thought that nothing could (2) of his armies. (3), it seemed, was inevitable. He had surprise on his side, Stalin (4) by (5) his attack without a (6) of war. Hitler expected the (7) to last only a few months. In the event, it was to (8) for much longer. Like Napoleon before him, he had made a fatal mistake in failing to (9) the severity of the Russian weather. Many German soldiers were to (10) the cold as winter set in, the German advance (11).1)Answer: invasion2)Answer: stand in the way3)Answer: Conquest4)Answer: catching5)Answer: off his guard6)Answer: launching7)Answer: declaration8)Answer: campaign9)Answer: drag on10)Answer: reckon with11)Answer: die from12)Answer: bringing13)Answer: to a haltWhat flies without wings, hits without hands, and sees without eyes? The White Dragon, or(1) Europe, this old riddle (谜语) has been told(3) first mountain settlers braved(4) the dangerous waves of snow. The people also called(6) rode on the white mass of snow.(7) avalanches come from Hannibal's(8) the Alps in 218 B.C. Crossing over the high mountains(9) fight against the Roman armies, the(10) thousands of men and animalscold and avalanches.In 1800, Napoleon tried to cross the Great St. Bernard Pass in the Alpslost more numbers to avalanches (15) to bullets -- more than 40,000 lost their lives (16) 1915 and 1918.The word "avalanche" comes (17) the French word for "descent (下降)," in reference (18) the descent of snow, ice, rocks, or earth that rushes(19) mountain slopes.1)Answer: In2)Answer: since3)Answer: the4)Answer: and5)Answer: it6)Answer: that/who7)Answer: of/about8)Answer: across9)Answer: to10)Answer: lost11)Answer: to12)Answer: with13)Answer: buried14)Answer: in15)Answer: than16)Answer: between17)Answer: from18)Answer: to19)Answer: down攻势已经持续了三天,但是我们并没有取得多少进展。
Unit 1WORD1)Only when we have weighed all the factors involved can we decide when would be the best time to take action.2)The management invited the employees to voluntarily submit proposals for projects to improve work performance.3)The new students were told that they must register with university before they could claim their grants.4)The club,which claimed to have found a suspicious package that might contain bombs,was still sealed off following a security alert earlier this morning.5)A crowd of people gathered round,outraged by the way the police officers were hitting the two men.6)Extensive conversations with native speakers form an integral part of the English language course in our university.7)In this chapter the author illustrate his marketing theory with lots of first-hand materials from his business career.8)After each group finish their presentation,the rest of the class should critique their performance and vote for the best speaker.EXPRESSION1)You don't need to dress up just to go to the pub--jeans and a T-shirt will do.2)Could you type up the questions and answers from the press conference,please?They are due to be carried in tomorrow's newspaper.3)As the training progressed to the advanced level,most of the students drifted away,while Melanie and several others stayed to the end.4)A group of teenagers put on a musical play about wildlife protection,which attracteda large audience every time they appeared on the stage.5)Economic recovery is already under way and business is becoming brisk again.6)After lying in hospital for two weeks,Jenny was afraid that she had fallen behind with her school work.CLOZEOnline teaching,a relatively recent instructional medium,is becoming more and more popular.At the same time,however,it has brought a lot of challenges to teachers who are used to giving traditional lectures.First of all,there is the challenge of delivering the subject matter via computer in the same enthusiastic,humorous and easy-to-understand way as in a regular classroom.Secondly,the teacher needs to do hours of typing and illustrating to make the subject matter clear for online students.Thirdly,for online education,interaction--with the teacher and with other students--is a more integral element of learning than it is in the classroom.Therefore,it is critical for the students to feel the teacher is always there ready to answer questions,willing to help develop a sense of community built around the subject matter.Finally,some students need the discipline of the classroom to stay involve or else they will fall behind and drift away in an online class as the online class provide too much flexbility.How to keep those students is probably the greatestchallenge to an online class teacher.TRANSLATIONWhen I first came into contact with online teaching, I had questions about the val idity of this instructional medium. I would not know whether the student submitting th e work was the same person who registered for the course.Online teaching also required rethinking how I deliver the subject matter. Withou t face-to-face communication, can I, via computer, make the students feel the same ki nd of enthusiasm and appreciate my sense of humor?My shy daughter’s experience proved to be very inspiring. She never spoke in cl ass, but in the two online courses she took, she dived into discussions and posted her opinions.The online course began and things ran better than I had expected. The students all followed the directions well, and the discussion board was lively. I’ve never met a ny of my students but I got to know them by their work and I saw their learning attitudes develop before my eyes.I found that online education worked best with students who were vcomfortable with the computer and willing to become part of a community built around the subject matter. And it required teachers to be willing to help build that sense of community a nd make the students feel the teacher was always there.UNIT 2WORD1)He was merely a boy;I wouldn't have expected him to understand those abstract formulas.2)Though leading a frugal life,Charles is very generous,contributing time and money to a number of charitable organizations.3)He wasn't the sort of person who kept things for sentimental reasons;he threw them away immediately after use.4)The fire had destroyed most the building,but we managed to salvage a few valuable items.5)He was looking through a pile of old newspaper clippings for the report on the 100th anniversary of the university.6)Reclining in a comfortable chair,David idly flipped through a sports magazine.7)How can you expect an 'A' for this course when you turn in an essay as sloppy as this?8)The project needs to be meticulously planned as we have a tight deadline and only a limited budget.EXPRESSION1)Due to the cleaners strike,the rubbish in my house had been left unattended for days and it began to pile up against the wall.2)I was thinking of giving away those baby clothes of my daughter's,but for sentimental reasons I couldn't bring myself to part with them.3)First apply shampoo to your hair and leave the shampoo for two minutes,then rinse it off with warm water.4)After months of preparation,Kate and her parter finally set up their own printing business.5)I put forward a number of suggestions to improve working efficiency,but the management just toyed with ideas for a while and then rejected them.6)When questioned about the high oil price at present,nearly all interviewees claimed they had been forced to cut down fuel and many reported inconvenience in their lives.7)Have you finished with scissor?We're waiting to have our paper-cutting done.8)Buried in mounds of files,I just wanted to get the whole thing over with sooner so that I could go away and enjoy my holiday with all my heart.9)The global financial crisis is cutting a swath through the country's economy,with companies going bankrupt and individuals cutting down on their expenditure.10)Paul is an easy-going fellow at heart though sometimes he is very harsh and strict with his students.CLOZEThe distinction between neat people and sloppy people boils down to this:neat people are lazier and meaner than sloppy people.For one thing,neat people are bums and clods at heart.They like results and do not care about process.Instead of carrying in their mind's eye a heavenly vision,they just handle everything once and for all and everything that is of no immediate use goes into the trash can.They are incredibly wasteful and put neatness before all else,even economics.By contrast,sloppy people take pains to develop ambitions plans.They may not be neat now but someday they will straighten out the world.Besides,neat people have cavalier attitudes toward everything,including such possessions as family heirlooms.And they are especially vicious with mail.They throw ads catalogs,and coupons into the trash can without opening them.They are so insensitive that people,animals,and things are all one to them.They would toy with the idea of throwing the children out of the house just to cut down on the clutter.On the other hand,sloppy people give loving attention to their possessions and find it impossible to part with anything.TRANSLATIONSloppy people are not really sloppy. It is just that the plan they carry in their mind’s eye is too precise, too stupendous and too perfect to be achieved in this world or the next. They aim too high and wide. They save everything, planning someday to file and order. When they finally set about handling things, sloppy people just can’t bear to part with anything. After hours of work, the place looks exactly the same. So sloppy never get neat.Neat people place neatness above everything else. They like results and don’t care about process. They have cavalier attitudes toward possessions. If anything collects dust, it’s got to go. They are incredibly wasteful. Anything that is not ofimmediate use goes into the trash. They are insensitive and there is no sentimental salvaging of birthday cards or the last letter a dying relative ever wrote. Neat peopleoperate on two unvarying principles: Never handle any item twice, and throw everythi ng away. So the only thing messy in a neat person’s house is the trash can.So neat people are lazier and meaner than sloppy people. The distinction betwee n them is moral.UNIT 3WORD1)Every year George gives his wife Gigi a huge bunch of red roses on her birthday.2)I tried to give up smoking several times before I realized I was addicted to it.3)Young people who abuse drugs regularly often end up as very immature adults because they never learn to cope with their problems.4)After long separation we finally had a family reunion where I saw relatives I hadn't seen for 20 years.5)He catches cold easily because his body's immune system is suppressed by the virus.6)His words have sown the seeds of suspicion in our minds and we are going tore-examine the evidence he has given in court.7)Miss Walker's father had gone bankrupt owing to a failed business venture with his dishonest partners.8)The invention of modern appliances such as washing machines and plug-in conveniences has liberated women from household chores and enabled them to enter the workforce.9)The Smiths adopted a poor little girl who had been starved of affection since her parents died in an accident.10)According to official statistics,there are 58 deaths per 1000 children born in that remote area of the country.EXPRESSION1)A reputation for quality,coupled with very competitive prices,has made these cars very popular.2)Many officials have been wondering aloud about the Prime Minister's competence in handling the current financial crisis.3)You can lose five pounds a week on this diet.And best of all,you never have to feel hungry.4)The doctor advised those with heart problems to put a first-aid kit close at hand the time.5)Several times it had crossed his mind to check on the car,but he never actually did it.6)I'm not going to sit by and watch a man go to prison for something I've done. CLOZETobacco smoking has been a popular practice for centuries.The tobacco industry,coupled with Hollywood movie in which both hero and heroine puff away,has successfully established a glamorous image of smokers.As a result,people take up smoking with the illusion of looking either dapper or fashionable and most ofthem end up hopelessly addicted to cigarettes.In some Third World countries,as in American ghettos and on reservations,money that should be spent for food goes instead to the tobacco companies.Indeed,smoking is nothing but self-poisoning,and watching their loved ones dying of smoking,family members are often overwhelmed with a feeling of futility.Meanwhile,we must feel empathy for the tobacco plant itself.Though for centuries the plant has been venerated by Native Americans as a sacred medicine to heal wounds and cure diseases,it has been captured and abused to enslave the world.And with its true nature suppressed,the tobacco plant has become deadly.Indeed,we should redeem tobacco's soul,restore its self-respect right away and promote the slogan:"Every home a smoke-free zone."TRANSLATIONHer daughter smoked and she felt a deep hurt as her mother. She remembered ho w as a child she sat by, through the years, and watched her father, who smoked like a chimney, wheeze through most of his life feeling half his strength, and she remembere d how carefully she ate when she was pregnant, how patiently she taught her daughter how to cross a street safely. She had a feeling of futility when she saw her daughter r epeating the mistake of her grandfather.She did not want to see in the family another victory for the tobacco companies, but she was faced with powerful rivals: the tobacco industry and Hollywood. The two collaborated to win over completely people like her father and made them hopelessly addicted to cigarettes.It is not easy to quit smoking, but things may become easier of smokers realize th at smoking is s form of self-battering that also batters those who must sit by, and if we can really make “every home a smoke-free zone.”UNIT 4WORD1)Smart and hardworking,Germen seemed destined for a successful career ahead.2)At 31,Peggy feels trap in the boring job of an office secretary and she has a yearning to escape.3)Yesterday a storm blasted the Florida coast with 75 m.p.h.winds and left two tourists missing.4)The couple hardly ever reach an agreement---their conversations often erupt into quarrels and shouting.5)The ballet company's new performance successfully blended tradition and creative innovation,which won great admiration from critics.6)Repeated exam failures had eroded her confidence and exerted an influence onher---she started to skip classes more often.7)Ever since our secretary resigned,our office has been in a state of total chaos.8)Parents are usually inclined to impose their own moral values on theirchildren,which might bring on rebellion from teenagers.9)Some fathers are jealous of the attention a newborn baby receives from its mother,even if they won't admit it.10)I have this strong yearning for open spaces from having lived in a crowed city for too many years.EXPRESSION1)The result of the survey is quite alarming---half the marriages in this country end in divorce.2)Being addicted to betting on horses,he had gambled away most of his inheritance by the time he was thirty.3)We cooked too much for lunch and had to take what was left over for supper.4)Many companies are now suffering from a chronic shortage of funds brought on in recent years by the financial crisis.5)She didn't quarrel with her husband when she found out about his infidelity,but her annoyance showed itself in her look.6)Inflation nibbles away at people's savings and reduces their value considerably.7)To show my affection for the little girl,I bent down and tried to kiss her on the forehead,but she pulled away in time,which made me rather embarrassed.8)As the advancing soldiers closed in on the town,people started running into the underground shelters for safety.CLOZEThe causes for marital despair are varied.Some marriages fail because of the outside weather:pressures such as job loss,illness,care of aging parents and all the other plagues of life may harshly hit marriage.Some other marriages fail because of a changed inner climate.At the tender beginnings of romance,each of us selects with unconscious accuracy a mate who will recreate with us the emotional patterns of our first homes,a mate who will help us rediscover both the psychological happiness and miseries of our past lives.And all marriages rely on the basic myth of meaning everything to each other,of merging together and solving all of life'sproblems.Yet,realities of life erode the visions of marital bliss.Now many marriages fall apart because those in the commitment are unwilling to exercise theself-discipline that marriage requires.Besides,an essential element for a good marriage,i.e.,communication between partners,is often missing.TRANSLATIONMarriage has always been difficult. Why has it become so hard for couples to sta y together in today’s society?On the one hand, our modern social fabric is thin, and the permissiveness of soci ety has created unrealistic expectations and thrown the family into chaos. On the other hand, marriage requires sexual, financial and emotional discipline, but people today a re unwilling to exercise the self-discipline that marriage requires. Besides, couples tod ay must also deal with all the cultural changes brought on in recent years by the wome n’s movement and sexual revolution. These and other realities of life erode the visions of marital bliss. If we lack adaptability, flexibility, genuine love and kindness, and an imagination strong enough to feel what the other is feeling, if we cannot bring difficu lties out into the open, then marriage may come to the end of the road.Of course, divorce id not an evil act. For some people, it provides salvation and it can be a step toward a good life. However, marriages that do not fail but improve, tha t persist despite imperfections, offer a wondrous shelter for our mutual humanity. UNIT 5WORD1)The police are constantly searching for new ways of steering young people away from criminal activities.2)The audience were thrown into a panic after a bomb exploded in the theatre.3)He explained later that he had refrained from commenting on hisopponents'anti-constitutional claims in order to avoid open confrontation at the meeting.4)Corporate executives should not be given the right to intrude into employees'private lives by monitoring their phone calls.5)To protect intellectual property rights,the governments is making a great effort to unify the KTV system in karaoke bars.6)As the factory is faced with the danger of being shut down,many workers are suffering from an inner sense of desperation.7)It is totally nonsense to assert that smoking can help prevent bird flu or swine flu.8)The bus was already full up but the old lady managed to squeeze in.9)Using too many pieces of electrical equipment at once may overload the circuit and cause power cut or fire.10)Despite all the treatment he has had over the past few months,Ashby is still suffering from skin rashes and recurring respiratory problems.EXPRESSION1)As I was shopping one day,a girl mistook me for the well-known actor Jackie Chan and asked for my autograph.2)The box has been left unattended in the cellar for years,and it came apart as we tried to lift it up.3)The government promised to the public that they shall keep close watch on the latest developments in relation to the disease.4)I can put up with your room being cluttered with paintings and prints,but I hate it if it's not clean.5)To prepare food for the elderly,make sure to cut out the fat and bone before you cook the meat.6)The pain of losing his only daughter still sweeps over him in waves though it has been two years since the traffic accident occurred.7)The people who got hurt in the collision were rushed to the only hospital in the vicinity of the scene of the accident.8)Detectives were searching the scene of the crime closely,being careful enough not to leave any details out.9)For some days he had been mulling over the new plan,trying to come up with something more constructive.10)According to the latest survey,only 5% of American adults engage in regular annual physical check-ups,which health scientists consider quite worrying.11)All of your achievements for the week should be gathered up in a ten-minute talk with the manager every Friday.12)Of the 88 locomotives on this railroad line,35 are out of commission,either awaiting repairs or being replaced.CLOZEWhen your mind is out of commission,desperation writing can help you write something usable.The first thing is to admit your condition:for some reason,your mind is incapable of considering anything in relation to anything else though it can put a simple feeling or perception into understandable words.Then try to write as much as possible.Don't refrain from writing about whatever that is on your mind.When you feel you have enough of it,read over what you wrote and every time you come to anything that could be squeezed into one sentence or one assertion,write it by itself on a little slip of paper.After you have done this,play solitaire with those littleslips,shifting them around and looking through in various sequences and getting them to distribute themselves in different piles.Often at this point,your sanity begins to return.And then you can finally come up with something workable. TRANSLATIONDo you have this lingering doubt that you won’t be able to write something when you need to? Do you feel it’s like a constant fog or static that clouds the mind and yo u can never get out of its clutches?As a matter of fact, it is possible to write something ---- not something great or pleasing but at least something usable, workable ---- when your mind is out of commission.The trick is to do all your cooking out on the table because your mind is incapable of doing any inside.Try simply to steer your mind in the direction or general vicinity of the thing you are trying to write about and start writing and keep writing. Be as loose, drifting, quirky and jerky as possible when you write. Don’t think about what you are writing or what you have written or else you will overload the circuit again.Then take some little pieces of paper and simply read over from the beginning of what you wrote, and see if you can gather up something useful into one sentence and write it by itself on a little sheet of paper. Then, read through the little slips of paper a number of times and build a relationship among them until they get into different piles. At this point, you find you can finally begin to think, and that lab report which has been occupying your mind is no longer unreachable.。
Unit1When I first came into contact with online teaching,I had questions about the validity of this instructional would not know whether the student submitting the work was the same person who registered for the course.Online teaching also required rethinking how I deliver the subject matter,Without face-to-face communication,can I,via computer,make the students feel the same kind of enthusiasm and appreciate my sense of humorMy shy daughter’s experience proved to be very never spoke in class,but in the two online courses she took,she dived into discussions and posted her opinions. The online course began and things ran better than I had students all followed the directions well,and the discussion board was ’ve never met any of my students but I got to know them by their work and I saw their learning attitudes develop before my eyes.I found that online education worked best with students who were very comfortable with the computer and willing to become part of a community built around the subject it required teachers to be willng to help build that sense of community and make the students feel the teacher was always there.刚接触网络教学时,我质疑过这种教学方式的有效性。
Unit 1 Text comprehension Ⅰ. C Ⅱ 1. 1. F. F. F. Not Not Not all all all technology technology technology makes makes makes things things things complicated complicated complicated and and and wasteful; wasteful; wasteful; it it it is is is only only only retarded retarded technology that makes things complicated and wasteful. Refer to Paragraph 1. 2. T. Refer to Paragraph 5 3. F. It i s is is true true true that that that the author the author acknowledges acknowledges the the the great great great changes brought about by changes brought about by new technology technology, , , but but but he he he believes believes believes these these these advantageous advantageous advantageous changes changes changes are are are often often often offset offset offset by by by a a a lot lot lot of of technology-related waste. Refer to Paragraph 7. 4. T. Refer to Paragraph 7. 5. 5. F. F. F. The The The author author author expresses expresses expresses his his his doubt doubt doubt in in in a a a sarcastic sarcastic sarcastic tone tone tone that that that cellular cellular cellular phones phones phones could could really improve marriages and save “family values ”. Refer to Paragraph 9. Ⅳ1. 1. It It It is is is obvious obvious obvious that that that technology technology technology in in in modern modern modern age age age has has has brought brought brought about about about great great great changes. changes. Nevertheless, Nevertheless, we we we have have have not not not yet benefited yet benefited from from the supposed the supposed gains of new technology —rising income and greater productivity. 2. Creative thought i s is is not appreciated. not appreciated. American American managers managers managers have been troubled by the have been troubled by the fact that independent and active thinking gives way to dumb numbers. Language work Ⅰ1. Highly regarded, intricate, attractive 2. A sudden increase 3. An event that will make you feel upset for a long time 4. Can supposedly help, at the same time 5. Need to be able to use 6. We receive so many press releases that we find it difficult to deal with them 7. An age where hi-tech has brought us noticeably great changes 8. Supposed, get away from us/be unattainable 9. Consequence, people who know nothing about technology , impeding 10. Usually, insignificant Ⅱ1. Customized 2. Traumatized 3. Promotional 4. Paradoxical 5. Frivolity 6. Subscribers 7. Successors 8. Inanities 9. Institutionalized 10. Subsidy Ⅲ1. are clogged with 2. purports to 3. a vista of 4. bombarded…with 5. exulted over 6. scribbled all over 7. find…alluring 8. make a comeback 9. call up 10. tossed…into 11. was eliminated 12. compress…intoⅣ1. weak 2. entrance to 3. full of 4. be compensated for by having the same amount deducted from his tax 5. shows all the signs of 6. excitement and danger 7. spent the afternoon discussing 8. increase her confidence 9. very often 10. quick dive Ⅴ1 1 are concerned are concerned This is the adjective concerned= worried +that/about 2 expected Confusion 3 in some jobs n ecessary for sense; it is only a number of jobs, one category necessary for sense; it is only a number of jobs, one category 4 not much Sense 5 it is the verb needs a (dummy) subject 6 To reduce enable+to-infinitive 7 efficient Sense 8 savings Usage 9 limited limited=restricted, small in area; limiting=actively limits and prevents growth 10 10 of the future of the future one definite future Ⅵ1. millionaires 2. computer 3. breed 4. programs 5. companies 6. generation 7. popularity 8. provide 9. sales 10. times 11. valuable 12. life Translation1. The program offers long-term care for the mentally retarded. 2. He ’s got a cumbersome, bulky , old computer —it it’’s slow and complicated to use. 3. He tried not to look conspicuous and moved slowly along the back of the room.4. It would cause a tremendous upheaval to install a different computer system.5. The gold medal continues to elude her. 6. Y ou ’d be a fool not to embrace an opportunity as good as that. 7. Her salary will go up by a hefty 10%. 8. I scrawled a quick note to Hilary and put it under her door. 9. There ’s a smashing view from her office. 10 The trip out there was swelling, but the hotel was a bit crummy. Translate the following passage into Chinese在我成长的房子里有一间屋子,在我成长的房子里有一间屋子,我们把它称作图书馆。
Unit Nine: How to Grow OldTEXT COMPREHENSIONIV. Explain in your own words the following sentences taken from the text.1.The other thing one should avoid is being emotionally attached to young people,from whom one hopes to draw energy and vigor.2.… and it is in this area of impersonal interests (such as academic and artisticinterests) that the wisdom you have accumulated in your life can be practiced without putting any pressure on your children and grandchildren.LANGUAGE WORKI. Explain the underlined parts in each sentence in your own words.1). Although both my parents died young, I have done well in this respect as regards my other ancestorswith reference to/relating to2). Of remoter ancestors I can only discover one who did not live to a great age, and he died of a disease which is now rare, namely, having his head cut off.ancestors who lived a long time ago; specifically3). She used to relate how she met in Italy an elderly gentleman who was looking very sad.tell4). I have seventy-two grandchildren, and if I were sad each time I parted from one of them, I should have a dismal existence!bid farewell to/were separated from; a miserable life5). I never do anything whatever on the ground that it is good for health, though in actual fact the things I like doing are mostly wholesome.for the reason that; healthful6). Psychologically there are two dangers to be guarded against in old age.we should prevent from happening/we should watch out for7). ... you are likely to become a burden to them, unless they are unusually callous.heartless/indifferent8). In the young there is a justification for this feeling.good reason9). And if, with the decay of vitality, weariness increases, the thought of rest will not be unwelcome.tiredness10). The best way to overcome it ... is to make your interests gradually wider and more impersonal, until bit by bit the walls of the ego recede, and your life becomes increasingly merged in the universal life.what distinguishes your own self from others gradually disappears or becomes less and l ess distinct; becomes increasingly one with/becomes increasingly blended with4. Explain the meaning of the underlined part in each sentence.1). We owe it to our descendants to leave them a clean world to live in.future generations/children and grandchildren2). I think next time we need any decorating we’ll get it done professionally.by skilled people3). Her absorption in her work is so great that she thinks about nothing else.engrossment in, or preoccupation with her work4). Continued rapid growth in consumer spending will suck in more imports.draw in/encourage5). I’m not very good where money is concerned.when dealing with money6). Taxpayers should claim as many allowable expenses as possible against their taxed income.expenses on which no taxes are paid7). Her actions were quite justifiable in the circumstances.There was a good reason for her actions8). He won’t be contented until he’s upset everyone in the office.satisfied9). On his wall he has a poster of Marilyn Monroe, her lips forever parted in anticipation.separated/open10). I suspect he cheats the taxman.avoids paying taxes by using illegal methodsTRANSLATIONI. Translate the following sentences into English, using the words or phrases given in brackets.1). 她与他在一起生活度日艰难。
Unit 1第一题:选词填空1、The roads are clogged with holiday traffic. (be clogged with)2、This study purports to show an increase in the incidence of the disease.(purport to)3、After a hard climb, we were rewarded by a vista of rolling hills under a deep blue summer sky.4、The children bombarded her with questions.(bombard with)5、They exulted over their victory. (exult over)6、The baby’s just scribbled all over my new dictionary!(scribble all over)7、I didn’t find the prospect of a house with no electricity very alluring.(find sth. alluring)8、She’s trying to make a comeback with her first album in nearly twenty years.9、You can use the search facility to call up all the occurrences of a particular word in a document.10、He glanced at the letter and then tossed it into the bin.(toss into)11、He was eliminated in the third round of the competition.(be eliminated)12、I managed to compress ten pages of notes into four paragraphs.(compress into)第二题:用适合形式填空1、The company specializes in customized (custom)computer systems.2、The whole experience left him traumatized(traumatize).3、The writer recently went on a promotional(promotion) tour of his homeland.4、It seems paradoxical(paradox) to me, but if you drink a cup of hot tea it seems to cool you down.5、You shouldn’t treat such a serious subject with frivolity(frivolous).6、Cable television companies have launched major campaigns to increase their number of subscribers(subscribe).7、This range of computers is very fast, but their successors(success)will be even faster.8、His speech was full of inanities(inane)that were meant to be funny.9、What was once an informal event has now become institutionalized(institution).10、The school received a substantial government subsidy(subsidize).1.这项计划为智力迟钝者提供长期的照顾。
(retarded)The program offers long-term care for the mentally retarded.2.他又一台又粗笨又庞大的旧电脑,速度慢,使用麻烦。
(cumbersome, bulky)He’s got a cumbersome, bulky, old computer—it’s slow and complicated to use.3.他沿着房间后部慢慢移动,尽量不引起别人注意。
(conspicuous)He tried not to look conspicuous and moved slowly along the back of the room.4.安装一个不同的计算机系统将会导致巨大的变化。
(upheaval)It would cause a tremendous upheaval to install a different computer system.5. 她再次与金牌失之交臂。
(elude)The gold medal continues to elude her.6. 你真是个傻瓜,竟然没抓住那么好的机会。
(embrace)You’d be a fool not to embrace an opportunity as good as that.7.她的薪水将猛增10%。
(hefty)Her salary will go up by a hefty 10%.8.我草草地留了张纸条给希拉里,塞在门缝底下。
(scrawl)I scrawled a quick note to Hilary and put it under her door.9.她的办公室视野极佳。
(smashing)There’s a smashing view from her office.10.去那儿旅行很愉快,只有旅馆有些脏兮兮的。
(swell)The trip out there was swelling, but the hotel was a bit crummy.Unit 2第一题1、The office was rife with rumors.2、Ann rational out the cake between the children.(ration out)3、The arrangements are all in place for the concert next Thursday.4、There are serious penalties for failure to comply with the regulations.5、The course would take me three years to complete, but I was determined to see it through.6、She has often spoken up for the rights of working mothers. (speak up for)7、If there was one thing she couldn’t face in the morning it was her mother on the warpath.8、He was beside himself with grief when she died.(beside oneself)9、Don’t drag me into your argument! It has nothing to do with me.10、I spent the whole weekend trudging through this report, and I still haven’t finished readingit.( trudge through)11、She came of her own accord. No one asked her to come.(of one’s own accord)12、It’s not fair the way my sister is always singled out for special treatment.(single out)第二题1、Johnny is so ingenious(ingenuity)---he can make the most remarkable sculptures from the most ordinary materials.2、So what is his prescription(prescribe)for success?3、I cannot allow any relaxation(relax) of the rules.4、All pupils are expected to attend the school assembly(assemble).5、She has the most adorable(adore)two-year-old daughter.6、To the mortification(mortify)of the show’s organizers, the top performers withdrew at the last minute.7、She was wearing a black suit trimmed(trim)with white.8、I didn’t know what to say—I just offered a few words of consolation(console).9、I didn’t want to lose my composure(compose)in front of her.10、She looked a bit dejected(dejection) when she was told that she hadn’t got the job.1.这家公司是由几名有事业心的年轻人创立的。
(enterprising)The company was started by a couple of enterprising young men.2.他是前重量级冠军,预计会轻松地拿下这场拳击赛。
(bout)He’s a former heavyweight champion and is expected to win the bout easily.3.为写此书,投入了许多小时一丝不苟的前期准备。