选修4-4极坐标练习题(有答案)
- 格式:doc
- 大小:1.06 MB
- 文档页数:9
一、选择题1.如图所示,某人P 去草场打靶,猎物R 被放在了两个固定物E 、F 之间,满足4EF =,1RF =,此人在移动过程中,始终保持到E ,F 两点的距离和不小于6,当他离猎物最近时开枪命中猎物,则此时他离猎物的距离为( )A .2B .152C .1D .21032.在同一平面直角坐标系中,经过伸缩变换53x xy y ''=⎧⎨=⎩后,曲线C 变为曲线2241x y ''+=,则曲线C 的方程为( )A .2225361x y +=B .2291001x y +=C .10241x y +=D .22281259x y += 3.已知曲线C 的极坐标方程为:2cos 4sin ρθθ=-,P 为曲线C 上的动点,O 为极点,则PO 的最大值为( ) A .2B .4C .5D .254.在极坐标系中,曲线1C 的极坐标方程为2sin ρθ=,曲线2C 的极坐标方程为23cos ρθ=,若曲线1C 与2C 交于A 、B 两点,则AB 等于( )A .1B .3C .2D .235.()04πθρ=≥表示的图形是( )A .一条线段B .一条直线C .一条射线D .圆6.在极坐标系中,点到直线的距离是( ).A .B .C .D . 7.在极坐标系中,圆心为π1,2⎛⎫⎪⎝⎭,且过极点的圆的方程是( ). A .2sin ρθ= B .2sin ρθ=- C .2cos ρθ= D .2cos ρθ=- 8.圆心在(0,1)且过极点的圆的极坐标方程为( )A .1ρ=B .cos ρθ=C .2cos ρθ=D .2sin ρθ=9.在极坐标系中,两条曲线1πC :ρsin θ14⎛⎫+= ⎪⎝⎭,2C :ρ2=的交点为A,B ,则AB =( )A .4B .22C .2D .110.将正弦曲线sin y x =的纵坐标保持不变,横坐标缩短为原来的13,所得曲线的方程为 A .3sin y x = B .sin 3y x = C .1sin3y x = D .1sin 3y x =11.已知曲线C 的极坐标方程为2cos ρθ=,则曲线C 的直角坐标方程为 A .22(1)4x y -+= B .22(1)4x y +-= C .22(1)1x y -+=D .22(1)1y x +-=12.化极坐标方程2cos 20ρθρ-=为直角坐标方程为( ) A .2202x y y +==或 B .2x =C .2202x y x +==或D .2y =二、填空题13.以直角坐标系原点O 为极点,x 轴正半轴为极轴,已知曲线C 1的方程为(x -1)2+y 2=1,C 2的方程为x +y =3,C 3是一条经过原点且斜率大于0的直线. (1)求C 1与C 2的极坐标方程;(2)若C 1与C 3的一个公共点为A (异于点O ),C 2与C 3的一个公共点为B ,求|OA |-3OB的取值范围.14.在极坐标系中,直线cos 1ρθ=与圆4cos ρθ=相交于,A B 两点,则AB =___. 15.已知在平面直角坐标系xOy 中,圆C 的参数方程为:2cos 22sin x y ϕϕ=⎧⎨=+⎩(ϕ为参数),以Ox 为极轴建立极坐标系,直线l 30cos sin θθ-=,则圆C 截直线l 所得弦长为___________.16.在平面直角坐标系中,以坐标原点为极点,以x 轴正半轴为极轴建立极坐标系,直线l 的极坐标方程为:cos 424l πρθ⎛⎫-= ⎪⎝⎭C 的参数方程21222x y θθ⎧=+⎪⎪⎨⎪=⎪⎩,(θ为参数).则曲线C 上的点到直线l 的距离的最小值为________.17.在以O 为极点的极坐标系中,曲线2cos ρθ=和直线cos =a ρθ相交于,A B 两点.若AOB ∆是等边三角形,则a 的值为__________.18.在极坐标系中,O 是极点,设点(1,)6A π,(2,)2B π,则OAB ∆的面积是__________.19.在极坐标系中,O 是极点,设点4,3A π⎛⎫⎪⎝⎭,55,6B π⎛⎫-⎪⎝⎭,则OAB ∆的面积是__________.20.极坐标系中,0ρ≥,过点(1,0)且倾斜角为2π的射线的极坐标方程为_____________.三、解答题21.已知直线l 的参数方程为1324x ty t =-+⎧⎨=-⎩(t 为参数),以原点为极点,x 轴的正半轴为极轴,建立极坐标系,曲线C的极坐标方程为4πρθ⎛⎫=- ⎪⎝⎭. (1)求直线l 的普通方程及曲线C 的直角坐标方程; (2)设直线l 与曲线C 交于, A B 两点,求AB .22.在极坐标系中,O 为极点,点000(,)(0)M ρθρ>在曲线:4sin C ρθ=上,直线l 过点(4,0)A 且与OM 垂直,垂足为P . (1)当0=3θπ时,求0ρ及l 的极坐标方程; (2)当M 在C 上运动且P 在线段OM 上时,求P 点轨迹的极坐标方程. 23.在平面直角坐标系xOy 中,曲线1C 的参数方程为:cos sin x y θθ=⎧⎨=⎩(θ为参数,[]0,θπ∈),将曲线1C经过伸缩变换:x xy '='=⎧⎪⎨⎪⎩得到曲线2C .(1)以原点为极点,x 轴的正半轴为极轴建立坐标系,求2C 的极坐标方程;(2)若直线cos :sin x t l y t αα=⎧⎨=⎩(t 为参数)与12,C C 相交于,A B两点,且1AB =,求α的值.24.在直角坐标系xOy 中,曲线C 的参数方程为12cos 2sin x y θθ=+⎧⎨=⎩(θ为参数),以坐标原点O 为极点,x 轴正半轴为极轴建立极坐标系,已知直线l 的极坐标方程为()()cos sin 0m m ρθθ+=>.(1)求曲线C 的极坐标方程;(2)若直线()4R πθρ=∈与直线l 交于点A ,与曲线C 交于M ,N 两点,且6OA OM ON ⋅⋅=,求m .25.在直角坐标系xOy 中,以O 为极点,x 轴的正半轴为极轴建立极坐标系,已知曲线1C 的极坐标方程为sin 4ρθ=,曲线2C 的极坐标方程为22cos 4sin 10ρρθρθ--+=,曲线3C 的极坐标方程为()4R πθρ=∈.(1)求1C 与2C 的直角坐标方程;(2)若2C 与1C 的交于P 点,2C 与3C 交于A 、B 两点,求PAB ∆的面积. 26.在平面直角坐标系xoy 中,曲线1C 的参数方程为1(x cos y sin ααα=+⎧⎨=⎩为参数),以坐标原点O 为极点,x 轴非负半轴为极轴建立极坐标系,点A 为曲线1C 上的动点,点B 在线段OA 的延长线上,且满足||||8OA OB ⋅=,点B 的轨迹为2C . (1)求曲线1C ,2C 的极坐标方程; (2)设点M 的极坐标为2,2π⎛⎫⎪⎝⎭,求ABM ∆面积的最小值。
选修4-4一、解答题1.在直角坐标系xOy中,曲线C1的参数方程为(α为参数),以坐标原点为极点,以x轴的正半轴为极轴,建立极坐标系,曲线C2的极坐标方程为ρsin (θ+)=2.(1)写出C1的普通方程和C2的直角坐标方程;(2)设点P在C1上,点Q在C2上,求|PQ|的最小值及此时P的直角坐标.2.在直角坐标系xOy中,曲线C1的参数方程为(t为参数,a>0).在以坐标原点为极点,x轴正半轴为极轴的极坐标系中,曲线C2:ρ=4cosθ.(Ⅰ)说明C1是哪种曲线,并将C1的方程化为极坐标方程;(Ⅱ)直线C3的极坐标方程为θ=α0,其中α0满足tanα0=2,若曲线C1与C2的公共点都在C3上,求a.3.在直角坐标系xOy中,以坐标原点为极点,x轴的正半轴为极轴建立极坐标系,曲线C1的极坐标方程为ρcosθ=4.(1)M为曲线C1上的动点,点P在线段OM上,且满足|OM|•|OP|=16,求点P的轨迹C2的直角坐标方程;(2)设点A的极坐标为(2,),点B在曲线C2上,求△OAB面积的最大值.4.在直角坐标系xOy中,直线l1的参数方程为,(t为参数),直线l2的参数方程为,(m为参数).设l1与l2的交点为P,当k变化时,P的轨迹为曲线C.(1)写出C的普通方程;(2)以坐标原点为极点,x轴正半轴为极轴建立极坐标系,设l3:ρ(cosθ+sinθ)-=0,M为l3与C的交点,求M的极径.5.已知曲线C:+=1,直线l:(t为参数)(Ⅰ)写出曲线C的参数方程,直线l的普通方程.(Ⅱ)过曲线C上任意一点P作与l夹角为30°的直线,交l于点A,求|PA|的最大值与最小值.6.已知直线l的参数方程为 (t为参数),曲线C的极坐标方程为ρ2cos2θ=1.(1)求曲线C的直角坐标方程.(2)求直线l被曲线C截得的弦长.7.将圆x2+y2=1上每一点的横坐标保持不变,纵坐标变为原来的2倍,得曲线C.(Ⅰ)写出C的参数方程;(Ⅱ)设直线l:2x+y-2=0与C的交点为P1,P2,以坐标原点为极点,x轴正半轴为极轴建立极坐标系,求过线段P1P2的中点且与l垂直的直线的极坐标方程.8.在平面直角坐标系xOy中,已知直线l的参数方程为(t为参数),直线l与抛物线y2=4x相交于A,B两点,求线段AB的长.9.在直角坐标系xOy中,曲线C1:(t为参数,t≠ 0),其中0 ≤ α < π,在以O为极点,x轴正半轴为极轴的极坐标系中,曲线C2:,C3:。
⎪⎭⎝4A.(2,2) B.(2,-2) C.(2,2) D.(-2,2)2.点M 的直角坐标为⎪⎭⎫⎝⎛20π,,则点M 的极坐标可以为( )A. ⎪⎭⎫ ⎝⎛0,2πB.⎪⎭⎫ ⎝⎛20π,C.⎪⎭⎫ ⎝⎛22ππ,D.⎪⎭⎫⎝⎛2-2ππ,3.下列各点与⎪⎭⎫⎝⎛32π,表示极坐标系中同一点的是( )A. ⎪⎭⎫ ⎝⎛322π,B.(2,π)C. ⎪⎭⎫⎝⎛372π, D.(2,2π)4.把点的直角坐标(3,-4)化为极坐标(ρ,θ)(限定ρ≥0,0≤θ<2π),则( )A .ρ=3,θ=4B .ρ=5,θ=4C .ρ=5,tan θ=43D .ρ=5,tan θ=-435.极坐标系中,直角坐标为(1,-3)的点的极角为________.6.在极坐标系中,已知点P 1⎪⎭⎫ ⎝⎛46π,、P 2⎪⎭⎫⎝⎛438π,,则|P 1P 2|等于( ) A.9 B.10 C.14 D.27.下列的点在极轴上方的是( )A.(3,0)B.⎪⎭⎫⎝⎛673π,C. ⎪⎭⎫ ⎝⎛474π, D .⎪⎭⎫ ⎝⎛4174π,8.点M ⎪⎭⎫⎝⎛656π,到极轴所在直线的距离为________.9.若A ,B 两点的极坐标为A (4,0),B ⎪⎭⎫ ⎝⎛24π,,则线段AB 的中点的极坐标为( )A. ⎪⎭⎫⎝⎛422π, B.⎪⎭⎫⎝⎛42π, C.⎪⎭⎫ ⎝⎛44π, D.⎪⎭⎫ ⎝⎛42π,10.在极坐标系中,若A ⎪⎭⎫ ⎝⎛33π,,B ⎪⎭⎫ ⎝⎛674π,,求△ABO 的面积(O 为极点)为( ) A .2 B .3 C .4D .6⎪⎭⎝4A.(2,2) B.(2,-2) C.(2,2) D.(-2,2) 解析 x =ρcos θ=2,y =ρsin θ=- 2. 答案 B2.点M 的直角坐标为⎪⎭⎫⎝⎛20π,,则点M 的极坐标可以为( )A. ⎪⎭⎫ ⎝⎛0,2πB.⎪⎭⎫ ⎝⎛20π,C.⎪⎭⎫ ⎝⎛22ππ,D.⎪⎭⎫⎝⎛2-2ππ,解析 ∵ρ=x 2+y 2=π2,且θ=π2,∴M 的极坐标为⎪⎭⎫⎝⎛22ππ,.答案 C 3.下列各点与⎪⎭⎫⎝⎛32π,表示极坐标系中同一点的是( )A. ⎪⎭⎫⎝⎛322π,B.(2,π)C. ⎪⎭⎫⎝⎛372π, D.(2,2π) 解析 与极坐标⎪⎭⎫ ⎝⎛32π,相同的点可以表示为⎪⎭⎫ ⎝⎛+ππk 232,(k ∈Z),只有⎪⎭⎫⎝⎛372π,适合.答案 C4.把点的直角坐标(3,-4)化为极坐标(ρ,θ)(限定ρ≥0,0≤θ<2π),则( )A .ρ=3,θ=4B .ρ=5,θ=4C .ρ=5,tan θ=43D .ρ=5,tan θ=-43解析:由公式得ρ=x 2+y 2=32+(-4)2=5,tan θ=y x =-43,θ∈[0,2π).答案:D5.极坐标系中,直角坐标为(1,-3)的点的极角为________.解析:直角坐标为(1,-3)的点在第四象限,tan θ=-3,所以θ=2k π-π3(k ∈Z).答案:2k π-π3(k ∈Z)6.在极坐标系中,已知点P 1⎪⎭⎫ ⎝⎛46π,、P 2⎪⎭⎫⎝⎛438π,,则|P 1P 2|等于( )A.9B.10C.14D.2解析 ∠P 1OP 2=3π4-π4=π2,∴△P 1OP 2为直角三角形,由勾股定理可得|P 1P 2|=10.答案 B7.下列的点在极轴上方的是( )A.(3,0)B.⎪⎭⎫ ⎝⎛673π,C. ⎪⎭⎫ ⎝⎛474π, D .⎪⎭⎫⎝⎛4174π,解析 建立极坐标系,由极坐标的定义可得点(3,0)在极轴上,点⎪⎭⎫ ⎝⎛673π,,⎪⎭⎫⎝⎛474π,在极轴下方,点⎪⎭⎫⎝⎛4174π,在极轴上方,故选D.8.点M ⎪⎭⎫⎝⎛656π,到极轴所在直线的距离为________.解析 依题意,点M ⎪⎭⎫⎝⎛656π,到极轴所在的直线的距离为d =6×sin 5π6=3.答案 3 9.若A ,B 两点的极坐标为A (4,0),B ⎪⎭⎫⎝⎛24π,,则线段AB 的中点的极坐标为( )A. ⎪⎭⎫⎝⎛422π, B.⎪⎭⎫⎝⎛42π, C.⎪⎭⎫ ⎝⎛44π, D.⎪⎭⎫ ⎝⎛42π,解析:由题易知点A ,B 的直角坐标分别为(4,0),(0,4),则线段AB 的中点的直角坐标为(2,2).由ρ2=x 2+y 2,得ρ=2 2. 因为tan θ=22=1,且点(2,2)在第一象限,所以θ=π4.故线段AB 的中点的极坐标为⎪⎭⎫⎝⎛422π,.答案:A10.在极坐标系中,若A ⎪⎭⎫ ⎝⎛33π,,B ⎪⎭⎫ ⎝⎛674π,,求△ABO 的面积(O 为极点)为( ) A .2 B .3 C .4D .6解析:由题意可知,在△ABO 中,OA =3,OB =4,∠AOB =7π6-π3=5π6,所以△ABO 的面积为S =12|OA |·|OB |·sin ∠AOB =12×3×4×sin 5π6=12×3×4×12=3.答案:B。
学业分层测评(三)(建议用时:45分钟)[学业达标]一、选择题1.将极坐标⎝ ⎛⎭⎪⎫2,3π2化为直角坐标为( )A.(0,2)B.(0,-2)C.(2,0)D.(-2,0)【解析】 ∵x =ρcos θ=2cos 3π2=0, y =ρsin θ=2sin 3π2=-2,∴⎝ ⎛⎭⎪⎫2,3π2化为直角坐标为(0,-2). 故应选B. 【答案】 B2.在平面直角坐标系xOy 中,点P 的直角坐标为(1,-3).若以原点O 为极点,x 轴正半轴为极轴建立极坐标系,则点P 的极坐标可以是( )A.⎝ ⎛⎭⎪⎫2,-π3B.⎝ ⎛⎭⎪⎫2,4π3 C.⎝ ⎛⎭⎪⎫1,-π3 D.⎝ ⎛⎭⎪⎫2,-4π3 【解析】 极径ρ=12+(-3)2=2,极角θ满足tan θ=-31=- 3.∵点(1,-3)在第四象限,所以θ=-π3.【答案】 A3.点P 的直角坐标为(-2,2),那么它的极坐标可表示为( ) A.⎝ ⎛⎭⎪⎫2,π4 B.⎝ ⎛⎭⎪⎫2,3π4 C.⎝ ⎛⎭⎪⎫2,5π4 D.⎝ ⎛⎭⎪⎫2,7π4 【解析】 点P (-2, 2)在第二象限,与原点的距离为2,且与极轴夹角为3π4.【答案】 B4.将点M 的极坐标⎝ ⎛⎭⎪⎫10,π3化成直角坐标是( )A.(5,53)B.(53,5)C.(5,5)D.(-5,-5)【解析】 x =10cos π3=5,y =10sin π3=5 3. 【答案】 A5.已知A ,B 两点的极坐标分别为⎝ ⎛⎭⎪⎫6,π3和⎝ ⎛⎭⎪⎫8,4π3,则线段AB 中点的直角坐标为( )A.⎝ ⎛⎭⎪⎫12,-32B.⎝ ⎛⎭⎪⎫-12,-32C.⎝ ⎛⎭⎪⎫32,-12D.⎝ ⎛⎭⎪⎫-32,12 【解析】 AB 中点的极坐标为⎝ ⎛⎭⎪⎫1,4π3,根据互化公式x =ρcos θ=cos 4π3=-12,y =ρsin θ=sin 4π3=-32,因此,所求直角坐标为⎝ ⎛⎭⎪⎫-12,-32.【答案】 B 二、填空题6.直角坐标为(-π,π)的点的极坐标为________. 【解析】 ∵ρ=(-π)2+π2=2π,tan θ=-1, 当0≤θ<2π时,θ=3π4或7π4, 又(-π,π)在第二象限,∴θ=3π4, ∴⎝ ⎛⎭⎪⎫2π,3π4为所求. 【答案】 ⎝ ⎛⎭⎪⎫2π,3π47.已知点M 的极坐标为(5,θ),且tan θ=-43,π2<θ<π,则点M 的直角坐标为________.【导学号:12990009】【解析】 ∵tan θ=-43,π2<θ<π, ∴cos θ=-35,sin θ=45, ∴x =5cos θ=-3,y =5sin θ=4, ∴点M 的直角坐标为(-3,4). 【答案】 (-3,4)8.直线l 过点A ⎝ ⎛⎭⎪⎫3,π3,B ⎝ ⎛⎭⎪⎫3,π6,则直线l 的倾斜角等于________.【解析】 把极坐标化为直角坐标为A ⎝ ⎛⎭⎪⎫32,32,B ⎝ ⎛⎭⎪⎫32,32.∴k AB =32-3232-32=-1,∴直线l 的倾斜角为3π4.【答案】 3π4 三、解答题9.将下列各点由极坐标化为直角坐标或由直角坐标化为极坐标. (1)⎝ ⎛⎭⎪⎫5,2π3;(2)⎝ ⎛⎭⎪⎫3,-π3;(3)()3, 3;(4)(-2,-23). 【解】 (1)x =5cos 2π3=5×⎝ ⎛⎭⎪⎫-12=-52,y =5sin 2π3=5×32=532,所以点⎝ ⎛⎭⎪⎫5,2π3的直角坐标为⎝ ⎛⎭⎪⎫-52,532. (2)x =3×cos ⎝ ⎛⎭⎪⎫-π3=3×12=32,y =3×sin ⎝ ⎛⎭⎪⎫-π3=-332,所以极坐标⎝ ⎛⎭⎪⎫3,-π3的直角坐标为⎝ ⎛⎭⎪⎫32,-323.(3)ρ=32+(3)2=23,tan θ=y x =33, 所以θ=π6,所以点(3,3)的极坐标为⎝ ⎛⎭⎪⎫23,π6.(4)ρ=(-2)2+(-23)2=4,tan θ=-23-2=3,∴θ=4π3,∴点(-2,-23)的极坐标为⎝ ⎛⎭⎪⎫4,4π3. 10.已知极坐标系中的三点为A ⎝ ⎛⎭⎪⎫5,π2,B ⎝ ⎛⎭⎪⎫-8,11π6,C ⎝ ⎛⎭⎪⎫3,7π6.(1)将A ,B ,C 三点的极坐标化为直角坐标; (2)判断△ABC 的形状.【解】 (1)A ,B ,C 三点的直角坐标为: A (0,5),B (-43,4),C ⎝ ⎛⎭⎪⎫-332,-32. (2)|AB |=(43)2+(5-4)2=7, |AC |= ⎝ ⎛⎭⎪⎫3322+⎝⎛⎭⎪⎫5+322=7,|BC |=⎝⎛⎭⎪⎫-43+3322+⎝ ⎛⎭⎪⎫4+322=7,因为|AB |=|AC |=|BC |,所以△ABC 是正三角形.[能力提升]1.在极坐标系中,两点P ⎝ ⎛⎭⎪⎫2,π3和Q ⎝ ⎛⎭⎪⎫23,5π6,则PQ 的中点的极坐标是( )A.⎝ ⎛⎭⎪⎫2,π3 B.⎝ ⎛⎭⎪⎫2,2π3 C.⎝ ⎛⎭⎪⎫1+3,7π12 D.⎝ ⎛⎭⎪⎫1+3,5π12【解析】∵P ⎝ ⎛⎭⎪⎫2,π3,∴⎩⎪⎨⎪⎧x =2cos π3=1,y =2sin π3=3,∴P (1,3).∵Q ⎝ ⎛⎭⎪⎫23,5π6,∴⎩⎪⎨⎪⎧x =23cos 5π6=-3,y =23sin 5π6=3,∴Q (-3,3).∴中点M 的直角坐标为(-1,3). ∴ρ2=(-1)2+(3)2=4,∴ρ=2. tan θ=3-1=-3,∴θ=2π3.∴中点M 的极坐标为⎝ ⎛⎭⎪⎫2,2π3.【答案】 B2.设点P 对应的复数为-3+3i ,以原点为极点,实轴正半轴为极轴建立极坐标系,则点P 的极坐标为( )【导学号:12990010】A.⎝ ⎛⎭⎪⎫32,34π B.⎝ ⎛⎭⎪⎫-32,54π C.⎝ ⎛⎭⎪⎫3,54π D.⎝ ⎛⎭⎪⎫-3,34π 【解析】 复数-3+3i 对应的点P 的坐标为P (-3,3). ∴ρ=(-3)2+32=32,tan θ=3-3=-1. 又点(-3,3)在第二象限,∴θ=34π,故其极坐标为⎝ ⎛⎭⎪⎫32,34π.【答案】 A3.已知点P 在第三象限角的平分线上,且到横轴的距离为2,则当ρ>0,θ∈[0,2π)时,点P 的极坐标为________.【解析】 ∵点P (x ,y )在第三象限角的平分线上,且到横轴的距离为2,∴x =-2,且y =-2,∴ρ=x 2+y 2=22, 又tan θ=yx =1,且θ∈[0,2π), ∴θ=54π.因此,点P 的极坐标为⎝ ⎛⎭⎪⎫22,54π.【答案】 ⎝ ⎛⎭⎪⎫22,54π.4.已知定点P⎝ ⎛⎭⎪⎫4,π3. (1)将极点移至O ′⎝ ⎛⎭⎪⎫23,π6处极轴方向不变,求P 点的新坐标;(2)极点不变,将极轴顺时针转动π6角,求P 点的新坐标.【解】 (1)设P 点新坐标为(ρ,θ),如图所示,由题意可知|OO ′|=23,|OP |=4,∠POx =π3,∠O ′Ox =π6,∴∠POO ′=π6.在△POO ′中,ρ2=42+(23)2-2·4·23·cos π6=16+12-24=4,∴ρ=2.又∵sin ∠OPO ′23=sin ∠POO ′2,∴sin ∠OPO ′=sin π62·23=32,∴∠OPO ′=π3, ∴∠OP ′P =π-π3-π3=π3,∴∠PP ′x =2π3,∴∠PO ′x ′=2π3, ∴P 点的新坐标为⎝ ⎛⎭⎪⎫2,2π3.(2)如图,设P 点新坐标为(ρ,θ),则ρ=4,θ=π3+π6=π2, ∴P 点的新坐标为⎝ ⎛⎭⎪⎫4,π2.。
2020年高考数学选修4-4:坐标系与参数方程解答题专练1.【选修4-4:坐标系与参数方程】在直角坐标系xOy中,直线,曲线(φ为参数).以O为极点,x轴的非负半轴为极轴建立极坐标系,点M的极坐标为.(1)求直线l1和曲线C的极坐标方程;(2)在极坐标系中,已知射线与,C的公共点分别为A,B,且,求MOB的面积.2.【选修4-4:坐标系与参数方程】已知曲线C的极坐标方程是,以极点为平面直角坐标系的原点,极轴为x轴的正半轴,且取相等的单位长度,建立平面直角坐标系,直线l的参数方程是设点P(-1,2).(1)将曲线C的极坐标方程化为直角坐标方程,将直线的参数方程化为普通方程;(2)设直线l与曲线C相交于M,N两点,求的值.3.【选修4-4:坐标系与参数方程】在平面直角坐标系xOy中,已知曲线C的参数方程为(θ为参数),直线l的参数方程为(t为参数),点P的坐标为(-2,0)(1)若点Q在曲线C上运动,点M在线段PQ上运动,且,求动点M的轨迹方程;(2)设直线l与曲线C交于A,B两点,求的值.4.【选修4-4:坐标系与参数方程】在直角坐标系xOy中,设倾斜角为α的直线l:(t为参数)与曲线(φ为参数)相交于不同的两点A,B.(1)若,若以坐标原点为极点,x轴的正半轴为极轴建立极坐标系,求直线AB的极坐标方程;(2)若直线的斜率为,点,求的值.5.【选修4-4:坐标系与参数方程】在直角坐标系xOy中,圆C的参数方程(φ为参数).以O为极点,x轴的非负半轴为极轴建立极坐标系.(1)求圆C的极坐标方程;(2)直线l的极坐标方程是,射线OM与圆C的交点为O、P,与直线l的交点为Q,求线段PQ的长.6.【选修4-4:坐标系与参数方程】在平面直角坐标系xOy中,曲线C的参数方程为,在以原点为极点,x轴正半轴为极轴的极坐标系中,直线l的极坐标方程为.(1)求曲线C的普通方程和直线l的直角坐标方程;(2)设点P(-1,0),直线l和曲线C交于A,B两点,求的值.7.【选修4-4:坐标系与参数方程】以平面直角坐标系的原点O为极点,x轴的正半轴为极轴建立极坐标系,已知点M的直角坐标为(1,0),若直线l的极坐标方程为,曲线C的参数方程是,(m为参数).(1)求直线l的直角坐标方程和曲线C的普通方程;(2)设直线l与曲线C交于A,B两点,求.8.【选修4-4:坐标系与参数方程】已知直线l的参数方程为(t为参数),以坐标原点为极点,x轴的非负半轴为极轴建立极坐标系,圆C的极坐标方程为,直线l与圆C交于A,B两点.(1)求圆C的直角坐标方程及弦AB的长;(2)动点P在圆C上(不与A,B重合),试求ABP的面积的最大值9.【选修4-4:坐标系与参数方程】在平面直角坐标系xOy中,点P(0,﹣1),直线l的参数方程为(t为参数),以坐标原点为极点,以x轴的正半轴为极轴,建立极坐标系,曲线C的极坐标方程为ρ+ρcos2θ=8sinθ.(1)求曲线C的直角坐标方程;(2)若直线l与曲线C相交于不同的两点A,B,M是线段AB的中点,当|PM|=时,求sinα的值.10.【选修4-4:坐标系与参数方程】在平面直角坐标系xOy中,曲线C的参数方程为(α为参数).以坐标原点O为极点,z轴正半轴为极轴建立极坐标系,直线l的极坐标方程为(1)求曲线C的普通方程和直线l的直角坐标方程;(2)设点M(0,1).若直线l与曲线C相交于A,B两点,求|MA|+|MB|的值.为参数),在以坐标原点O为极点,x轴的正半轴为极轴的极坐标系中,点P的极坐标为,直线l的极坐标方程为.(1)求直线l的直角坐标方程与曲线C的普通方程;(2)若Q是曲线C上的动点,M为线段PQ的中点,直线l上有两点A,B,始终满足|AB|=4,求△MAB面积的最大值与最小值。
一、选择题1.(理)在极坐标系中,圆2cos ρθ=的垂直于极轴的两条切线方程分别为( ) A .0()R θρ=∈ 和cos 2ρθ= B .()2R πθρ=∈和cos 2ρθ=C .()2R πθρ=∈和cos 1ρθ= D .0()R θρ=∈和cos 1ρθ=2.已知曲线C 的极坐标方程为222123cos 4sin ρθθ=+,以极点为原点,极轴为x 轴非负半轴建立平面直角坐标系,则曲线C经过伸缩变换123x x y y ⎧=⎪⎪⎨=''⎪⎪⎩后,得到的曲线是( )A .直线B .椭圆C .圆D .双曲线3.已知圆C 与直线l 的极坐标方程分别为6cos ρθ=,sin 4πρθ⎛⎫+= ⎪⎝⎭C 到直线l 的距离是( ) A .1B .2CD.24.在极坐标系中,点(),ρθ与(),ρπθ--的位置关系为( ) A .关于极轴所在直线对称 B .关于极点对称 C .重合D .关于直线()2R πθρ=∈对称5.在极坐标系中,由三条直线0θ=,3πθ=,cos sin 1ρθρθ+=围成的图形的面积为( ) A .14BCD .136.在极坐标系中,曲线1C 的极坐标方程为2sin ρθ=,曲线2C的极坐标方程为ρθ=,若曲线1C 与2C 交于A 、B 两点,则AB 等于( )A .1BC .2D.7.221x y +=经过伸缩变换23x xy y ''=⎧⎨=⎩后所得图形的焦距( )A.B.C .4D .68.将2216x y +=的横坐标压缩为原来的12,纵坐标伸长为原来的2倍,则曲线的方程变为( )A .22134x y +=B .22213x y +=C .222112x y +=D .222134x y +=9.已知曲线C 与曲线5ρ=3cos?5sin?θθ-关于极轴对称,则曲线C 的方程为( )A .10cos ρ=-π-6θ⎛⎫ ⎪⎝⎭ B .10cos ρ=π-6θ⎛⎫ ⎪⎝⎭ C .10cos ρ=-π6θ⎛⎫+⎪⎝⎭D .10cos ρ=π6θ⎛⎫+⎪⎝⎭10.在直角坐标系xOy 中,曲线C 的方程为22162x y+=,以坐标原点O 为极点,x 轴正半轴为极轴建立极坐标系,直线l 的极坐标方程为cos()36πρθ+=,射线M 的极坐标方程为(0)θαρ=≥.设射线m 与曲线C 、直线l 分别交于A 、B 两点,则2211OAOB+的最大值为( ) A .34B .25C .23D .1311.极坐标方程cos ρθ=与1cos 2ρθ=的图形是( ) A . B . C . D .12.在同一平面直角坐标系中,将曲线1cos 23y x =按伸缩变换23x x y y ''=⎧⎨=⎩后为( )A .cos y x ''=B .13cos 2y x ''= C .12cos3y x ''= D .1cos32y x ''=二、填空题13.在极坐标系中,曲线C 的方程为28cos 10sin 320ρρθρθ--+=,直线l 的方程为0()R θθρ=∈,0tan 2θ=,若l 与C 交于A ,B 两点,O 为极点,则||||OA OB +=________.14.在极坐标系中,直线sin 24πρθ⎛⎫-= ⎪⎝⎭4ρ=截得的弦长为______.15.(理)在极坐标系中,曲线sin 2ρθ=+与sin 2ρθ=的公共点到极点的距离为_________.16.已知在平面直角坐标系xOy 中,圆C 的参数方程为:2cos 22sin x y ϕϕ=⎧⎨=+⎩(ϕ为参数),以Ox 为极轴建立极坐标系,直线l 30cos sin θθ-=,则圆C截直线l 所得弦长为___________. 17.两条直线sin 20164πρθ⎛⎫+= ⎪⎝⎭,sin 20174πρθ⎛⎫-= ⎪⎝⎭的位置关系是_______ 18.点C 的极坐标是(2,)4π,则点C 的直角坐标为______________ 19.在极坐标系中0,02,ρθπ>≤<,曲线cos 1ρθ=-与曲线=2sin ρθ的交点的极坐标为_______________。
选修4-4 极坐标系课时作业一、选择题1.在极坐标系中,点M (-2,π6)的位置,可按如下规则确定( ) A .作射线OP ,使∠xOP =π6,再在射线OP 上取点M ,使|OM |=2 B .作射线OP ,使∠xOP =7π6OP 上取点M ,使|OM |=2 C .作射线OP ,使∠xOP =7π6,再在射线OP 的反向延长线上取点M ,使|OM |=2 D .作射线OP ,使∠xOP =-π6,再在射线OP 上取点M ,使|OM |=2 解析:当ρ<0时,点M (ρ,θ)的位置按下列规定确定:作射线OP ,使∠xOP =θ,在OP 的反向延长线上取|OM |=|ρ|,则点M 就是坐标(ρ,θ)的点.答案:B2.在极坐标平面内,点M (π3,200π),N (-π3,201π),G (-π3,-200π),H (2π+π3,200π)中互相重合的两个点是( )A .M 和NB .M 和GC .M 和HD .N 和H解析:由极坐标定义可知,M 、N 表示同一个点.答案:A3.若ρ1+ρ2=0,θ1+θ2=π,则点M 1(ρ1,θ1)与点M 2(ρ2,θ2)的位置关系是( )A .关于极轴所在直线对称B .关于极点对称C .关于过极点垂直于极轴的直线对称D .两点重合解析:因为点(ρ,θ)关于极轴所在直线对称的点为(-ρ,π-θ).由此可知点(ρ1,θ1)和(ρ2,θ2)满足ρ1+ρ2=0,θ1+θ2=π,是关于极轴所在直线对称.答案:A4.已知极坐标平面内的点P (2,-5π3),则P 关于极点的对称点的极坐标与直角坐标分别为( )A .(2,π3),(1,3)B .(2,-π3),(1,-3)C .(2,2π3),(-1,3)D .(2,-2π3),(-1,-3) 解析:点P (2,-5π3)关于极点的对称点为(2,-5π3+π), 即(2,-2π3),且x =2cos (-2π3)=-2cos π3=-1, y =2sin (-2π3=-2sin π3=- 3. 答案:D二、填空题5.限定ρ>0,0≤θ<2π时,若点M 的极坐标与直角坐标相同,则点M 的直角坐标为________.解析:点M 的极坐标为(ρ,θ),设其直角坐标为(x ,y ),依题意得ρ=x ,θ=y ,即x 2+y 2=x 2.∴y =θ=0,ρ>0,∴M (ρ,0).答案:(ρ,0)6.已知极坐标系中,极点为O,0≤θ<2π,M (3,π3),在直线OM 上与点M 的距离为4的点的极坐标为________.解析:如图所示,|OM |=3,∠xOM =π3,在直线OM 上取点P 、Q ,使|OP |=7,|OQ |=1,∠xOP =π3,∠xOQ =4π3,显然有|PM |=|OP |-|OM |=7-3=4,|QM |=|OM |+|OQ |=3+1=4.答案:(7,π3)或(1,4π3) 7.直线l 过点A (3,π3),B (3,π6),则直线l 与极轴夹角等于________. 解析:如图所示,先在图形中找到直线l 与极轴夹角(要注意夹角是个锐角),然后根据点A ,B 的位置分析夹角大小.因为|AO |=|BO |=3,∠AOB =π3-π6=π6, 所以∠OAB =π-π62=5π12. 所以∠ACO =π-π3-5π12=π4. 答案:π48.已知点M 的极坐标为(5,θ),且tan θ=-43,π2<θ<π,则点M 的直角坐标为________. 解析:∵tan θ=-43,π2<θ<π, ∴cos θ=-35sin θ=45∴x =5cos θ=-3,y =5sin θ=4.∴点M 的直角坐标为(-3,4).答案:(-3,4)三、解答题9.设点A (1,π3),直线L 为过极点且垂直于极轴的直线,分别求出点A 关于极轴,直线L ,极点的对称点的极坐标(限定ρ>0,-π<θ≤π)解:如图所示:关于极轴的对称点为B (1,-π3) 关于直线L 的对称点为C (1,2π3). 关于极点O 的对称点为D (1,-2π3). 10.已知点P 的直角坐标按伸缩变换îíìx ′=2x y ′=3y变换为点P ′(6,-3),限定ρ>0,0≤θ≤2π时,求点P 的极坐标.解:设点P 的直角坐标为(x ,y ), 由题意得îíì 6=2x -3=3y ,解得îíì x =3,y =- 3. ∴点P 的直角坐标为(3,-3).ρ=32+(-3)2=23,tan θ=-33, ∵0≤θ<2π,点P 在第四象限,∴θ=11π6. ∴点P 的极坐标为(23,11π6). 11.(创新预测题)在极轴上求与点A (42,π4)的距离为5的点M 的坐标. 解:设M (r,0),因为A (42,π4),所以(42)2+r2-82r·cos π4 5.即r2-8r+7=0.解得r=1或r=7. 所以M点的坐标为(1,0)或(7,0).。
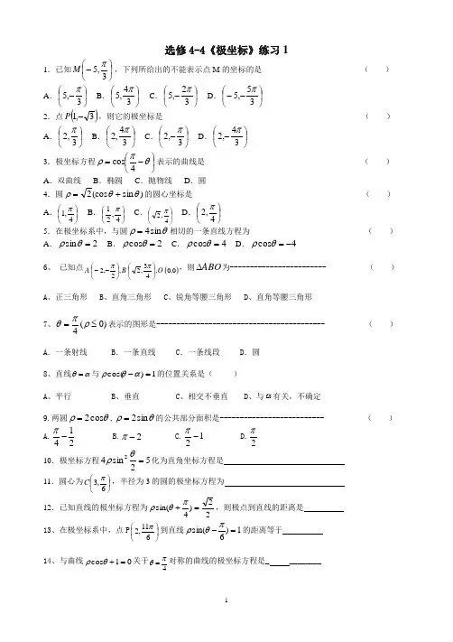
选修4-4《极坐标》练习11.已知⎪⎭⎫ ⎝⎛-3,5πM ,下列所给出的不能表示点M 的坐标的是----------------- ----- ( ) A .⎪⎭⎫ ⎝⎛-3,5π B .⎪⎭⎫ ⎝⎛34,5π C .⎪⎭⎫ ⎝⎛-32,5π D .⎪⎭⎫ ⎝⎛--35,5π2.点()3,1-P ,则它的极坐标是------------------------------------------------------------ - ( )A .⎪⎭⎫ ⎝⎛3,2πB .⎪⎭⎫ ⎝⎛34,2πC .⎪⎭⎫ ⎝⎛-3,2πD .⎪⎭⎫ ⎝⎛-34,2π3.极坐标方程⎪⎭⎫⎝⎛-=θπρ4cos 表示的曲线是--------------------------------------------- ( )A .双曲线B .椭圆C .抛物线D .圆 4.圆)sin (cos 2θθρ+=的圆心坐标是-------------------------------------------------- ( )A .⎪⎭⎫ ⎝⎛4,1πB .⎪⎭⎫ ⎝⎛4,21πC .⎪⎭⎫ ⎝⎛4,2π D .⎪⎭⎫ ⎝⎛4,2π 5.在极坐标系中,与圆θρsin 4=相切的一条直线方程为---------------------------- ( ) A .2sin =θρ B .2cos =θρ C .4cos =θρ D .4cos -=θρ6、 已知点()0,0,43,2,2,2O B A ⎪⎭⎫ ⎝⎛⎪⎭⎫ ⎝⎛--ππ,则ABO ∆为------------------------ ( )A 、正三角形B 、直角三角形C 、锐角等腰三角形D 、直角等腰三角形 7、)0(4≤=ρπθ表示的图形是------------------------------------------ ( )A .一条射线B .一条直线C .一条线段D .圆 8、直线αθ=与1)cos(=-αθρ的位置关系是( ) A 、平行 B 、垂直 C 、相交不垂直 D 、与有关,不确定9.两圆θρcos 2=,θρsin 2=的公共部分面积是-------------------------- ( ) A.214-πB.2-πC.12-πD.2π10.极坐标方程52sin42=θρ化为直角坐标方程是11.圆心为⎪⎭⎫ ⎝⎛6,3πC ,半径为3的圆的极坐标方程为12.已知直线的极坐标方程为22)4sin(=+πθρ,则极点到直线的距离是13、在极坐标系中,点P ⎪⎭⎫ ⎝⎛611,2π到直线1)6sin(=-πθρ的距离等于 14、与曲线01cos =+θρ关于4πθ=对称的曲线的极坐标方程是_ ________15.已知⎪⎭⎫ ⎝⎛π32,5P ,O 为极点,求使'POP ∆是正三角形的'P 点坐标。
统考作业题目——4-46.21.在平面直角坐标系xOy 中,直线l 的参数方程为12,(2x t t y t =+⎧⎨=-⎩为参数),以原点O 为极点,以x 轴非负半轴为极轴建立极坐标系,两坐标系取相同的长度单位。
曲线C 的极坐标方程为 22cos 4sin 40ρρθρθ+++=. (1)求l 的普通方程和C 的直角坐标方程;(2)已知点M 是曲线C 上任一点,求点M 到直线l 距离的最大值.2.已知极坐标的极点在平面直角坐标系的原点处,极轴与轴的正半轴重合,且长度单位相同。
直线的极坐标方程为:,点,参数.(I )求点轨迹的直角坐标方程; (Ⅱ)求点到直线距离的最大值.1、【详解】(1)12,2x t y t=+⎧⎨=-⎩10x y ∴+-= 因为222,cos ,sin x y x y ρρθρθ=+==,所以222440x y x y ++++=,即22(1)(2)1x y +++= (2)因为圆心(1,2)--到直线10x y +-=距离为222=, 所以点M 到直线l 距离的最大值为2222 1.r +=+ 2、解:(Ⅰ)设,则,且参数,消参得:所以点的轨迹方程为(Ⅱ)因为所以所以,所以直线的直角坐标方程为法一:由(Ⅰ)点的轨迹方程为圆心为(0,2),半径为2.,点到直线距离的最大值等于圆心到直线距离与圆的半径之和, 所以点到直线距离的最大值.法二:当时,,即点到直线距离的最大值为.6.33.在平面直角坐标系xOy 中,已知曲线的参数方程为(为参数),曲线的参数方程为(,t 为参数).(1)求曲线的普通方程和曲线的极坐标方程;(2)设P 为曲线上的动点,求点P 到上点的距离的最小值,并求此时点P 的坐标.4.在直角坐标系xOy 中曲线1C 的参数方程为cos 3x y αα=⎧⎪⎨=⎪⎩ (α为参数,以坐标原点为极点,以x 轴的正半轴为极轴,建立极坐标系,曲线2C 的极坐标方程为sin 224πρθ⎛⎫+= ⎪⎝⎭(1)写出1C 的普通方程和2C 的直角坐标方程;(2)设点P 在1C 上,点Q 在2C 上,求||PQ 的最小值及此时P 的直角坐标.3、【详解】 (1)对曲线:,,∴曲线的普通方程为.对曲线消去参数可得且∴曲线的直角坐标方程为.又,从而曲线的极坐标方程为。
一、选择题1.点P 对应的复数为33i -+,以原点为极点,实轴正半轴为极轴建立极坐标系,则点P 的极坐标为( ) A .332,4π⎛⎫ ⎪⎝⎭B .532,4π⎛⎫- ⎪⎝⎭C .53,4π⎛⎫ ⎪⎝⎭D .33,4π⎛⎫- ⎪⎝⎭2.在直角坐标系xOy 中,以O 为极点,x 轴正半轴为极轴建立极坐标系,曲线1C 的极坐标方程为2sin 42a πρθ⎛⎫+= ⎪⎝⎭,曲线2C 的参数方程为cos sin x y θθ=⎧⎨=⎩(θ为参数,0θπ).若1C 与2C 有且只有一个公共点,则实数a 的取值范围是( )A .2±B .(2,2)-C .[1,1)-D .[1,1)-或23.在极坐标系中,点(),ρθ与(),ρπθ--的位置关系为( ) A .关于极轴所在直线对称 B .关于极点对称 C .重合D .关于直线()2R πθρ=∈对称4.在极坐标系中,已知A (1,π3),B (2,2π3)两点,则|AB|=( ) A .2B .3C .1D .55.在直角坐标系xOy 中,曲线C 的方程为22162x y +=,以坐标原点O 为极点,x 轴正半轴为极轴建立极坐标系,直线l 的极坐标方程为cos()36πρθ+=,射线M 的极坐标方程为(0)θαρ=≥.设射线m 与曲线C 、直线l 分别交于A 、B 两点,则2211OAOB+的最大值为( ) A .34B .25C .23D .136.()04πθρ=≥表示的图形是( )A .一条线段B .一条直线C .一条射线D .圆7.在极坐标系中,点到直线的距离是( ).A .B .C .D .8.已知点P 的直角坐标(2,23)--,则它的一个极坐标为( )A .(4,3π) B .(4,43π) C .(-4,6π) D .(4,76π) 9.在平面直角坐标系xOy 中,以O 为极点,x 轴的正半轴为极轴,长度单位不变,建立极坐标系,已知曲线C 的极坐标方程为ρcos(θ-3π)=1,M ,N 分别为曲线C 与x 轴、y 轴的交点,则MN 的中点的极坐标为( )A .3(1,)3B .23(,)36πC .2333π⎛⎫ ⎪ ⎪⎝⎭,D .2323⎛⎫⎪ ⎪⎝⎭,10.直线πsin 44ρθ⎛⎫+= ⎪⎝⎭与圆π4sin 4ρθ⎛⎫=+ ⎪⎝⎭的位置关系是( ). A .相交但不过圆心B .相交且过圆心C .相切D .相离11.在极坐标系中,两条曲线1πC :ρsin θ14⎛⎫+= ⎪⎝⎭,2C :ρ2=的交点为A,B ,则AB =( )A .4B .22C .2D .112.化极坐标方程2cos 20ρθρ-=为直角坐标方程为( ) A .2202x y y +==或 B .2x =C .2202x y x +==或D .2y =二、填空题13.已知圆M 的极坐标方程为242cos()604πρρθ--+=,则ρ的最大值为______.14.将曲线C 按伸缩变换'2'3x x y y=⎧⎨=⎩变换后所得曲线方程为22''1x y +=,则曲线C 的方程为________.15.在极坐标系中,点(2,)3π到直线(cos 3sin )6ρθθ+=的距离为_________.16.在极坐标系中,O 是极点,设点(1,)6A π,(2,)2B π,则OAB ∆的面积是__________.17.在极坐标系中,直线cos sin (0)a a ρθρθ+=>与圆2cos ρθ=相切,则a =__________.18.在平面直角坐标系xOy 中,已知直线l 的参数方程为(t 为参数),以坐标原点为极点,x 轴正半轴为极轴建立极坐标系,曲线C 的极坐标方程为ρsin 2θ=4cosθ,直线l 与曲线C 交于A ,B 两点,则线段AB 的长为__.19.将曲线221x y +=按伸缩变换公式'2'3x xy y =⎧⎨=⎩变换后得到曲线C ,则曲线C 上的点(,)P m n 到直线:260l x y +-=的距离最小值为_____________.20.过点P (2,4π)并且与极轴垂直的直线的方程是___________________________. 三、解答题21.在平面直角坐标系xOy 中,曲线C 的参数方程为cos 1sin x r y r ϕϕ⎧=⎪⎨=+⎪⎩(0r >,ϕ为参数),以坐标原点O 为极点,x 轴正半轴为极轴建立极坐标系,直线l 的坐标方程为sin 13πρθ⎛⎫-= ⎪⎝⎭,若直线l 与曲线C 相切. (1)求曲线C 的极坐标方程;(2)在曲线C 上取两点M 、N 于原点O 构成MON ∆,且满足6MON π∠=,求面积MON ∆的最大值.22.在平面直角坐标系中,曲线1C 的参数方程为2cos sin x r y r ϕϕ=+⎧⎨=⎩(0r >,ϕ为参数),以坐标原点O 为极点,x 轴正半轴为极轴建立极坐标系,曲线1C 经过点6P π⎛⎫⎪⎝⎭,曲线2C 的极坐标方程为()22cos26ρθ+=.(1)求曲线1C 的极坐标方程;(2)若1,6A πρα⎛⎫- ⎪⎝⎭,23,B πρα⎛⎫+ ⎪⎝⎭是曲线2C 上两点,求2211OA OB +的值.23.在平面直角坐标系xOy 中,曲线1C :222x ax y -+=0(a >0),曲线2C 的参数方程为cos {1sin x y αα==+(α为参数),以坐标原点O 为极点,x 轴正半轴为极轴建立极坐标系;(1)求曲线1C ,2C 的极坐标方程; (2)已知极坐标方程为θ=6π的直线与曲线1C ,2C 分别相交于P ,Q 两点(均异于原点O ),若|PQ|=1,求实数a 的值; 24.(本小题满分12分)在直角坐标系xOy 中,曲线1C 的参数方程为 sin x y αα⎧=⎪⎨=⎪⎩(α为参数),以原点O 为极点,x轴的非负半轴为极轴,建立极坐标系,曲线2C 的极坐标方程πsin 4ρθ⎛⎫+= ⎪⎝⎭(1)求曲线1C 的普通方程和曲线2C 的直角坐标方程;(2)设P 为曲线1C 上的动点,求点P 到曲线2C 上的距离的最小值. 25.在极坐标系下,已知圆C :2cos 2sin =+和直线:40l x y -+= (1)求圆C 的直角坐标方程和直线l 的极坐标方程; (2)求圆C 上的点到直线l 的最短距离.26.在直角坐标系中,圆1C :221x y +=经过伸缩变换32x xy y''=⎧⎨=⎩,后得到曲线2C 以坐标原点为极点,x 轴的正半轴为极轴,并在两种坐标系中取相同的单位长度,建立极坐标系,直线l 的极坐标方程为102cos sin θθρ+=()1求曲线2C 的直角坐标方程及直线l 的直角坐标方程;()2在2C 上求一点M ,使点M 到直线l 的距离最小,并求出最小距离.【参考答案】***试卷处理标记,请不要删除一、选择题 1.A 解析:A 【解析】分析:先求出点P 的直角坐标,P 到原点的距离r ,根据点P 的位置和极角的定义求出极角,从而得到点P 的极坐标. 详解:点P 对应的复数为33i -+,则点P 的直角坐标为()3,3-,点P 到原点的距离r =,且点P 第二象限的平分线上,故极角等于34π,故点P 的极坐标为34π⎛⎫ ⎪⎝⎭, 故选A .点睛:本题考查把直角坐标化为极坐标的方法,复数与复平面内对应点间的关系,求点P 的极角是解题的难点.2.D解析:D 【解析】 【分析】先把曲线1C ,2C 的极坐标方程和参数方程转化为直角坐标方程和一般方程,若1C 与2C 有且只有一个公共点可转化为直线和半圆有一个公共点,数形结合讨论a 的范围即得解.【详解】因为曲线1C 的极坐标方程为2sin ,42a πρθ⎛⎫+= ⎪⎝⎭即222(sin cos )222a ρθθ+= 故曲线1C 的直角坐标方程为:0x y a +-=.消去参数θ可得曲线2C 的一般方程为:221x y +=,由于0θπ,故0y ≥如图所示,若1C 与2C 有且只有一个公共点,直线与半圆相切,或者截距11a -≤< 当直线与半圆相切时122O l d a -==∴=由于为上半圆,故02a a >∴= 综上:实数a 的取值范围是[1,1)-2 故选:D 【点睛】本题考查了极坐标、参数方程与直角坐标方程、一般方程的互化,以及直线和圆的位置关系,考查了学生数形结合,数学运算的能力,属于中档题.3.A解析:A 【分析】由点(),ρπθ--和点(,)ρθ-为同一点. 则比较点(,)ρθ-和点(),ρθ,可推出点(),ρθ与(),ρπθ--的位置关系.【详解】解:点(),ρπθ--与点(),ρθ-是同一个点,(),ρθ-与点(),ρθ关于极轴对称.∴点(),ρθ与(),ρπθ--关于极轴所在直线对称.故选:A. 【点睛】考查极坐标的位置关系.题目较为简单,要掌握极坐标的概念.4.B解析:B 【解析】 【分析】根据题意,由AB 的坐标分析可得|OA |=1,|OB |=2,且∠AOB 2333πππ=-=,由余弦定理计算可得答案 【详解】在极坐标系中,已知A (1,π3),B (2,2π3), 则|OA|=1,|OB|=2,且∠AOB 2πππ333=-=, 则|AB|2=2OA +2OB ﹣2|OA||OB|cos ∠AOB =1+4﹣2×1×2×cos π3=3,则|AB|= 故选:B . 【点睛】本题考查极坐标的应用,涉及余弦定理的应用,属于基础题.5.C解析:C 【解析】分析:先由曲线C 的直角坐标方程得到其极坐标方程为()221+2sin 6ρθ=,设A 、B 两点坐标为()1,ρθ,()2,ρθ,将射线M 的极坐标方程为θα=分别代入曲线C 和直线l 的极坐标方程,得到关于α的三角函数,利用三角函数性质可得结果.详解:∵曲线C 的方程为22162x y +=,即2236x y +=,∴曲线C 的极坐标方程为()221+2sin 6ρθ=设A 、B 两点坐标为()1,ρθ,()2,ρθ,联立()221+2sin 6ρθθα⎧=⎪⎨=⎪⎩,得221112sin 6θρ+=,同理得222cos 163πθρ⎛⎫+ ⎪⎝⎭=, 根据极坐标的几何意义可得22222212cos 111112sin 663OA OBπθθρρ⎛⎫+ ⎪+⎝⎭+=+=+1+1cos 21cos 23sin 23666ππθθθ⎛⎫⎛⎫-+++-+ ⎪ ⎪⎝⎭⎝⎭=,即可得其最大值为23,故选C. 点睛:本题考查两线段的倒数的平方和的求法,考查直角坐标方程、极坐标方程的互化等基础知识,考查运算求解能力,充分理解极坐标中ρ的几何意义以及联立两曲线的极坐标方程得到交点的极坐标是解题的关键,是中档题.6.C解析:C【解析】 【分析】利用极坐标方差化为直角坐标方程即可得出. 【详解】()04πθρ=≥表表示的图形是一条射线:y=x (x≥0).故选C . 【点睛】本题考查了射线的极坐标方程,考查了推理能力与计算能力,属于基础题.7.C解析:C 【解析】 点到直线分别化为直角坐标系下的坐标与方程:,直线点到直线的距离,点到直线的距离是,故选C.8.B解析:B 【解析】22(2)(23)4ρ=-+-=,23tan 32θ-==-,3(,)2πθπ∈,所以43πθ=,即极坐标为4(4,)3π.故选B . 9.B解析:B 【分析】先求出曲线C 的平面直角坐标系的方程,求出M N 、中点在平面直角坐标系的坐标,然后再求出其极坐标 【详解】 由cos 13πρθ⎛⎫-= ⎪⎝⎭可得:13cos sin 122ρθρθ+= ∴曲线C 的直角坐标方程为13122x y +=,即320x -=故点M N 、在平面直角坐标系的坐标为()23200⎛ ⎝⎭,,, ∴点P 坐标为313⎛ ⎝⎭,则极坐标为6P π⎫⎪⎪⎝⎭, 故选B 【点睛】本题主要考查了平面直角坐标系与极坐标之间的转化,只要掌握转化方法然后就可以计算出答案,较为基础.10.C解析:C 【解析】分析:直线πsin 44ρθ⎛⎫+= ⎪⎝⎭化为直角坐标方程,圆π4sin 4ρθ⎛⎫=+ ⎪⎝⎭化为直角坐标方程,求出圆心到直线距离,与半径比较即可得结论. 详解:直线πsin 44ρθ⎛⎫+= ⎪⎝⎭cos 4sin ρθρθ+= ,422x y +=,0y x +-=, 圆π4sin 4ρθ⎛⎫=+⎪⎝⎭可化成2cos sin ρθθ=+,22((4x y -+-=,圆心到直线的距离2d r ===,所以圆与直线相切.故选C .点睛:利用关系式cos sin x y ρθρθ=⎧⎨=⎩可以把极坐标与直角坐标互化,这类问题一般我们可以先把曲线方程化为直角坐标方程,用直角坐标方程解决相应问题. 11.C解析:C 【解析】联立极坐标方程:π14sin ρθρ⎧⎛⎫+= ⎪⎪⎝⎭⎨⎪=⎩可得:110ρθ⎧=⎪⎨=⎪⎩222ρπθ⎧=⎪⎨=⎪⎩,利用勾股定理可得2AB ==.故选C.12.C解析:C 【解析】由题意得,式子可变形为(cos 2)0ρρθ-=,即0ρ=或cos 20ρθ-=,所以x 2+y 2=0或x=2,选C.【点睛】由直角坐标与极坐标互换公式222cos sin x y x y ρθρθρ=⎧⎪=⎨⎪+=⎩,利用这个公式可以实现直角坐标与极坐标的相互转化. 二、填空题13.【分析】先将原极坐标方程中的三角式利用和角公式化开后再化成直角坐标方程再利用直角坐标方程进行求解到原点的距离最大值即可【详解】将原极坐标方程化为:化成直角坐标方程为:它表示圆心在半径为的圆圆上的点到解析:【分析】先将原极坐标方程中的三角式利用和角公式化开后再化成直角坐标方程,再利用直角坐标方程进行求解到原点的距离最大值即可. 【详解】将原极坐标方程2cos 604πρθ⎛⎫--+= ⎪⎝⎭化为:24+0cos sin ρρθθ-+=()6 , 化成直角坐标方程为:2244+60x y x y +--= , 它表示圆心在22(,)的圆,圆上的点到原点的最远距离是=故答案为 【点睛】本题考查点的极坐标和直角坐标的互化,属基础题.14.【解析】【分析】设曲线上任意一点为与之对应的曲线上的点为将变换公式代入曲线的方程化简即可求解【详解】由题意设曲线上任意一点为与之对应的曲线上的点为将代入曲线方程整理得故答案为:【点睛】本题主要考查了 解析:22491x y +=【解析】 【分析】设曲线C 上任意一点为(,)x y 与之对应的曲线22''1x y +=上的点为(',')x y ,将变换公式,代入曲线的方程,化简即可求解. 【详解】由题意,设曲线C 上任意一点为(,)x y ,与之对应的曲线22''1x y +=上的点为(',')x y ,将'2'3x xy y=⎧⎨=⎩,代入曲线方程22''1x y +=,整理得22491x y +=, 故答案为:22491x y +=. 【点睛】本题主要考查了伸缩变换公式的应用,其中解答中理解变换的公式,代入准确运算是解答的关键,着重考查了推理与运算能力,属于基础题.15.1【解析】由极坐标与直角坐标的互化关系可得点直线由点到直线的距离公式可得应填答案解析:1 【解析】由极坐标与直角坐标的互化关系cos ,sin x y ρθρθ==可得点P ,直线60x +-=,由点到直线的距离公式可得1d ==,应填答案1. 16.【解析】分析:由题意结合三角形面积公式整理计算即可求得三角形的面积详解:的面积点睛:本题主要考查三角形面积公式的应用极坐标的几何意义等知识意在考查学生的转化能力和计算求解能力解析:2【解析】分析:由题意结合三角形面积公式整理计算即可求得三角形的面积.详解:OAB 的面积11sin 1223222OABSOA OB π=⨯⨯⨯=⨯⨯⨯= 点睛:本题主要考查三角形面积公式的应用,极坐标的几何意义等知识,意在考查学生的转化能力和计算求解能力.17.【分析】根据将直线与圆极坐标方程化为直角坐标方程再根据圆心到直线距离等于半径解出【详解】因为由得由得即即因为直线与圆相切所以【点睛】(1)直角坐标方程化为极坐标方程只要运用公式及直接代入并化简即可;解析:1【分析】根据222,cos ,sin x y x y ρρθρθ=+==将直线与圆极坐标方程化为直角坐标方程,再根据圆心到直线距离等于半径解出a . 【详解】因为222,cos ,sin x y x y ρρθρθ=+==, 由cos sin (0)a a ρθρθ+=>,得(0)x y a a +=>,由2cos ρθ=,得2=2cos ρρθ,即22=2x y x +,即22(1)1x y -+=,1101a a a =∴=±>∴=+,,【点睛】(1)直角坐标方程化为极坐标方程,只要运用公式cos x ρθ=及sin y ρθ=直接代入并化简即可;(2)极坐标方程化为直角坐标方程时常通过变形,构造形如2cos ,sin ,ρθρθρ的形式,进行整体代换.其中方程的两边同乘以(或同除以)ρ及方程两边平方是常用的变形方法.但对方程进行变形时,方程必须同解,因此应注意对变形过程的检验.18.8【解析】分析:先根据加减消元法得直线的普通方程再根据将曲线C 的极坐标方程化为直角坐标方程联立方程组解得交点坐标最后根据两点间距离公式求结果详解:由得或因此点睛:(1)直角坐标方程化为极坐标方程只要解析:【解析】分析:先根据加减消元法得直线l 的普通方程,再根据222,cos ,sin x y x y ρρθρθ=+== 将曲线C 的极坐标方程化为直角坐标方程,联立方程组解得交点坐标,最后根据两点间距离公式求结果.详解:12322x tx y y t ⎧=-⎪⎪∴+=⎨⎪=+⎪⎩2222sin 4cos sin 4cos 4y x ρθθρθρθ=∴=∴= , 由234x y y x +=⎧⎨=⎩ 得12x y =⎧⎨=⎩或96x y =⎧⎨=-⎩,因此AB =点睛:(1)直角坐标方程化为极坐标方程,只要运用公式cos x ρθ=及sin y ρθ=直接代入并化简即可; (2)极坐标方程化为直角坐标方程时常通过变形,构造形如2cos ,sin ,ρθρθρ的形式,进行整体代换.其中方程的两边同乘以(或同除以)ρ及方程两边平方是常用的变形方法.但对方程进行变形时,方程必须同解,因此应注意对变形过程的检验.19.【解析】伸缩变换即:则伸缩变换之后曲线设曲线上点的坐标为:结合点到直线距离公式有:结合三角函数的性质可得当时距离取得最小值【解析】伸缩变换即:'2'3x x y y ⎧=⎪⎪⎨⎪=⎪⎩,则伸缩变换之后曲线22:149x y C +=, 设曲线上点的坐标为:()2cos 3sin P θθ,,结合点到直线距离公式有:d ==,结合三角函数的性质可得,当()sin 1θϕ+=时,距离取得最小值min d =20.【解析】设是直线上任意一点如图由于所以应填答案 解析:cos ρθ=【解析】设(,)M ρθ是直线上任意一点,如图,由于2OH ==,所以cosOH ρθ==cos ρθ= 三、解答题21.(1)4sin 3πρθ⎛⎫=+ ⎪⎝⎭; (2)2+. 【分析】(1)求出直线l 的直角坐标方程为y =+2,曲线C 1),半径为r 的圆,直线l 与曲线C 相切,求出r =2,曲线C 的普通方程为(x 2+(y ﹣1)2=4,由此能求出曲线C 的极坐标方程. (2)设M (ρ1,θ),N (ρ2,6πθ+),(ρ1>0,ρ2>0),由126MONSOM ON sin π==2sin (23πθ+)△MON 面积的最大值. 【详解】(1)由题意可知将直线l 的直角坐标方程为2y =+,曲线C 是圆心为),半径为r 的圆,直线l 与曲线C相切,可得:2r ==;可知曲线C 的方程为(()2214x y -+-=,∴曲线C 的极坐标方程为2cos 2sin 0ρθρθ--=,即4sin 3πρθ⎛⎫=+⎪⎝⎭. (2)由(1)不妨设()1,M ρθ,2,6N πρθ⎛⎫+⎪⎝⎭,()120,0ρρ>>21211sin ?4sin ?sin 2sin cos26432MON S OM ONπππρρθθθθθ∆⎛⎫⎛⎫===++=+ ⎪ ⎪⎝⎭⎝⎭sin22sin 23πθθθ⎛⎫=++=++ ⎪⎝⎭当12πθ=时,2MON S ∆≤MON ∴∆面积的最大值为2.【点睛】本题考查曲线的极坐标方程的求法,考查三角形的面积的最大值的求法,考查参数方程、极坐标方程、直角坐标方程的互化等基础知识,考查运算求解能力,考查函数与方程思想,是中档题.22.(1)4cos ρθ=;(2)23【分析】(1)将1C 首先化为普通方程,再化为极坐标方程,代入点6P π⎛⎫⎪⎝⎭可求得2r ,整理可得所求的极坐标方程;(2)将,A B 代入2C 方程,从而将2212,ρρ代入2222121111OAOBρρ+=+整理可得结果. 【详解】(1)将1C 的参数方程化为普通方程得:()2222x y r -+=由cos x ρθ=,siny ρθ=得1C 的极坐标方程为:224cos 40r ρρθ-+-=将点6P π⎛⎫⎪⎝⎭代入1C 中得:212406r π-+-=,解得:24r =代入1C 的极坐标方程整理可得:4cos ρθ=1C ∴的极坐标方程为:4cos ρθ=(2)将点1,6A πρα⎛⎫-⎪⎝⎭,23,B πρα⎛⎫+⎪⎝⎭代入曲线2C 的极坐标方程得: 212cos 263πρα⎡⎤⎛⎫+-= ⎪⎢⎥⎝⎭⎣⎦,222222cos 22cos 2633ππραρα⎡⎤⎡⎤⎛⎫⎛⎫++=--= ⎪ ⎪⎢⎥⎢⎥⎝⎭⎝⎭⎣⎦⎣⎦2222122cos 22cos 2111123363OA OBππααρρ⎛⎫⎛⎫+-+-- ⎪ ⎪⎝⎭⎝⎭∴+=+== 【点睛】本题考查极坐标方程的求解、极坐标中ρ的几何意义的应用,关键是根据几何意义将所求的2211OAOB+变为221211ρρ+,从而使问题得以求解.23.(1)2cos ,2sin a ρθρθ== (2)2 【解析】 【分析】(1)直接利用转换关系,把参数方程直角坐标方程和极坐标方程之间进行转换.(2)利用(1)的结论,进一步利用极径求出参数的值. 【详解】(1)在平面直角坐标系xOy 中,曲线C 1:x 2﹣2ax+y 2=0(a >0), 转换为极坐标方程为:ρ2=2aρcosθ, 即:ρ=2acosθ. 曲线C 2的参数方程为(α为参数),转换为直角坐标方程为:x 2+(y ﹣1)2=1, 转换为极坐标方程为:ρ=2cosθ. (2)已知极坐标方程为θ=的直线与曲线C 1,C 2分别相交于P ,Q 两点, 由,得到:P (),Q (), 由于:|PQ|=2﹣1,所以:,解得:a=2. 【点睛】本题考查参数方程直角坐标方程和极坐标方程之间的转换,极径的应用,主要考查学生的运算能力和转化能力.24.(1) 221,2x y +=6x y +=.(2) 6322. 【解析】试题分析:(1)1C 消参数即可得普通方程,2C 利用极坐标化为直角坐标公式化为普通方程;(2)根据点到直线距离公式及三角函数有界性可求出最小值. 试题(1)由曲线1:x C y sin αα⎧=⎪⎨=⎪⎩(α为参数),曲线1C 的普通方程为:2212x y +=,由曲线2:sin 4C πρθ⎛⎫+= ⎪⎝⎭)sin cos 2ρθθ⨯+= 化为:6x y +=.(2)椭圆上的点),sin Pαα到直线O 的距离为d ==tan ϕ=所以当()sin 1αϕ+=时,P 的最小值为.25.(1)()()22112x y -+-=,cos sin 40ρθρθ-+=;(2. 【分析】(1)根据圆C :2cos 2sin =+,直线:40l x y -+=,利用222,cos ,sin x y x y =+==求解.(2)先求得圆心到到直线l 的距离,再利用圆C 上的点到直线l 的最短距离为d r -求解. 【详解】(1)因为圆C :2cos 2sin =+,所以22cos 2sin =+ρρθρθ,所以2222x y x y +=+,即()()22112x y -+-=.因为直线:40l x y -+=, 所以cos sin 40ρθρθ-+=.(2)因为圆心到到直线l 的距离为d ==.所以求圆C 上的点到直线l 的最短距离d r -= 【点睛】本题主要考查极坐标方程,直角坐标方程的转化以及直线与圆的位置关系,还考查了运算求解的能力,属于中档题.26.(1)22194x y += 2100x y +-=; (2【分析】(1)由'3'2x x y y =⎧⎨=⎩后得到曲线C 2,可得:1'31'2x x y y ⎧=⎪⎪⎨⎪=⎪⎩,代入圆C 1:x 2+y 2=1,化简可得曲线C 2的直角坐标方程,将直线l 的极坐标方程为cosθ+2sinθ=10ρ化为:ρcosθ+2ρsinθ=10,进而可得直线l 的直角坐标方程.(2)将直线x+2y ﹣10=0平移与C 2相切时,则第一象限内的切点M 满足条件,联立方程求出M 点的坐标,进而可得答案. 【详解】 (1)因为32x xy y''=⎧⎨=⎩后得到曲线2C , 1'31'2x x y y ⎧=⎪⎪∴⎨⎪=⎪⎩,代入圆1C :221x y +=得:'2'2194x y +=,故曲线2C 的直角坐标方程为22194x y +=;直线l 的极坐标方程为102cos sin θθρ+=.即210cos sin ρθρθ+=,即2100x y +-=.()2将直线2100x y +-=平移与2C 相切时,则第一象限内的切点M 满足条件,设过M 的直线为20x y C ++=,则由2220194x y C x y ++=⎧⎪⎨+=⎪⎩得:222599360424x Cx C ++-=, 由229259()4360244C C ⎛⎫=-⨯⨯-= ⎪⎝⎭得:52C =±, 故95x =,或95x =-,(舍去), 则85y =,即M 点的坐标为98,55⎛⎫ ⎪⎝⎭, 则点M 到直线l 的距离d ==【点睛】本题考查的知识点是简单的极坐标方程,直线与圆锥曲线的关系,难度中档.。
极坐标(填空题:较易)1、(坐标系与参数方程选做题)在极坐标系中,直线被圆截得的弦长为 .2、在极坐标系中,设曲线和直线交于、两点,则__________.3、在平面直角坐标系中,点在角的终边上,且,则点的坐标为__________.4、将点的极坐标化为直角坐标为___________.5、极坐标系中,两点与间的距离为________.6、一直曲线C的参数方程为(t为参数)C在点(1,1)处的切线为l,以坐标原点为极点,x 轴的正半轴为极轴建立极坐标系,则l的极坐标方程为_________。
7、在极坐标系中,点在圆上,点的坐标为,则的最大值为__________.8、在极坐标系中,直线与圆的公共点的个数为___________.9、在极坐标系中,点关于直线ρcos θ=1的对称点的极坐标为________.10、点的直角坐标为,则点的极坐标为__________________.11、在极坐标系中,以为圆心,为半径的圆的极坐标方程为 .12、直角坐标的极坐标为.13、在极坐标系中,曲线的点到点的最小距离等于.14、在极坐标系中,圆心在()且过极点的圆的方程为.15、在极坐标系中,圆心在()且过极点的圆的方程为.16、点的极坐标化成直角坐标的结果是 .17、在极坐标系中,点,动点满足,则动点轨迹的极坐标方程为.18、已知圆的直角坐标方程为,则圆的极坐标方程为____________.19、在极坐标系中,经过点且与极轴垂直的直线的极坐标方程为.20、(坐标系与参数方程选做题)极坐标系下,直线与圆的公共点个数是________;21、在极坐标系中,点关于直线的对称点的一个极坐标为_____.22、已知圆C的参数方程为为参数),直线的极坐标方程为,则直线与圆C的交点的直角坐标为.23、极坐标系中,两点的距离AB= .24、(5分)(2015•广东)已知直线l的极坐标方程为2ρsin(θ﹣)=,点A的极坐标为A(2,),则点A到直线l的距离为.25、已知直线l的极坐标方程为,则直线l的斜率是___________.26、(选修4-4:坐标系与参数方程)已知直线与曲线(为参数),有且仅有一个公共点,则正实数的值为.27、(坐标系与参数方程选做题)在极坐标系中,圆的圆心到直线的距离是 .28、在极坐标系中,点,在以极点为坐标原点,极轴所在直线为轴的平面直角坐标系中,点的坐标为__________.29、在极坐标系中,点到直线的距离是.30、在极坐标系中,直线的方程为,则点到直线的距离为 .31、在极坐标系中,直线的方程为,则点到直线的距离为 .32、在极坐标系中,圆C的方程为ρ=1,直线l的方程为ρsin(θ+)=,则圆心C到直线l的距离为_________.33、极坐标系中,圆:的圆心到直线的距离是_______________.34、在极坐标系中,点到直线的距离是35、点P的极坐标为()与其对应的直角坐标是_________.36、在极坐标系中,点关于直线的对称点的极坐标为 .37、已知在平面直角坐标系中圆的参数方程为:,(为参数),以为极轴建立极坐标系,直线极坐标方程为:,则圆截直线所得弦长为 .38、(坐标系与参数方程选做题)在极坐标系中,圆的圆心到直线的距离是 .39、把极坐标系中的方程化为直角坐标形式下的方程为40、①在极坐标系中,点A(2,)到直线:的距离为②(不等式选讲选做题) 设函数f(x)=|x-2|+x,g(x)=|x+1|,则g(x)<f(x)成立时x的取值范围41、在直角坐标系中,圆的参数方程为(为参数);在极坐标系(与直角坐标系xoy取相同的长度单位,且以原点为极点,以轴的正半轴为极轴)中,圆的方程为,则与的位置关系是______(在“相交、相离、内切、外切、内含”中选择一个你认为正确的填上).42、.已知两直线的极坐标方程和,则两直线交点的极坐标为________.43、(坐标系与参数方程选做题)设点的极坐标为,直线过点且与极轴所成的角为,则直线的极坐标方程为.44、在平面直角坐标系xoy中,已知点P是函数的图象上的动点,该图象在P处的切线交y轴于点M,过点P作的垂线交y轴于点N,设线段MN的中点的纵坐标为t,则t的最大值是_____________45、一动点M到x轴的距离比到点F(0,2)的距离小2,则此动点M的轨迹方程是46、把极坐标方程ρcos=1化为直角坐标方程是________47、在极坐标系中,点(1,0)到直线ρ(cos θ+sin θ)=2的距离为________48、(坐标系与参数方程选做题)在极坐标系中,若过点且与极轴垂直的直线交曲线于A、B两点,则______ _.49、把圆的普通方程x2+(y-2)2=4化为极坐标方程为____________.50、在极坐标系中,已知圆,则圆C的半径为。
伊川县实验高中第二学期第二次周练试卷高二文科数学试卷命题人:王俊娜审核人:牛海轩 时间:2014年3月28日 星期五一、选择题:(本大题共12小题,每小题5分,共60分.)1.点M 的直角坐标是(1,3)-,则点M 的极坐标为 ( ) A.2(2,)3π B. (2,2),()3k k Z ππ+∈ C.(2,)3πD.(2,)3π- 2.若直线的参数方程为12()23x tt y t=+⎧⎨=-⎩为参数,则直线的斜率为 ( )A .23 B .23- C .32 D .32- 3. 已知过曲线{()3cos 4sin x y θθπθθ≤≤==为参数,0上一点P 原点O 的直线PO 的倾斜角为4π,则P 点坐标是 ( ) A 、(3,4) B.1212(,)55C.1212(,)55--D.(-3,-4)4.点(1,2)在圆18cos 8sin x y θθ=-+⎧⎨=⎩的 ( )A .外部B .圆上C .与θ的值有关D .内部5.参数方程为1()2x t t t y ⎧=+⎪⎨⎪=⎩为参数表示的曲线是 ( )A .一条直线B .两条射线C .两条直线D .一条射线 6.两圆⎩⎨⎧+=+-=θθsin 24cos 23y x 与⎩⎨⎧==θθsin 3cos 3y x 的位置关系是 ( )A .内切B .相离C .外切D .内含7.与参数方程为()21x t t y t⎧=⎪⎨=-⎪⎩为参数等价的普通方程为 ( )A .2214y x += B .221(01)4y x x +=≤≤C . 221(01,02)4y x x y +=≤≤≤≤ D .221(02)4y x y +=≤≤ 8下列在曲线sin 2()cos sin x y θθθθ=⎧⎨=+⎩为参数上的点是 ( )A .1(,2)2- B .31(,)42- C .(2,3) D .(1,3)9.圆锥曲线θθρ2cos sin 8=的准线方程是 ( ) (A)2cos -=θρ (B)2cos =θρ (C) 2sin -=θρ (D) 2sin =θρ10.直线112()3332x t t y t ⎧=+⎪⎪⎨⎪=-+⎪⎩为参数和圆2216x y +=交于,A B 两点, 则AB 的中点坐标为 ( ) A .(3,3)- B .(3,3)- C .(3,3)- D .(3,3)-11.若点(3,)P m 在以点F 为焦点的抛物线24()4x t t y t⎧=⎨=⎩为参数上,则||PF 等于 ( )A .2B .3C .5D .4 12.直线2()1x tt y t =-+⎧⎨=-⎩为参数被圆22(3)(1)25x y -++=所截得的弦长为 ( )A .98B .1404C .9343+ D.82二、填空题:(本大题共有4小题,每小题5分,共20分。
高二数学选修4-4《极坐标与参数方程》测试题(时间:120分钟,总分:150分) 姓名: 学号:一.选择题(每小题5分,共50分)1.曲线的极坐标方程θρsin 4=化为直角坐标为( )。
A.4)2(22=++y xB. 4)2(22=-+y xC. 4)2(22=+-y xD. 4)2(22=++y x 2.已知点P 的极坐标是(1,π),则过点P 且垂直极轴的直线方程是( )。
A.1=ρ B. θρcos = C. θρcos 1-= D. θρcos 1= 3.直线12+=x y 的参数方程是( )。
A.⎩⎨⎧+==1222t y t x B.⎩⎨⎧+=-=1412t y t x C. ⎩⎨⎧-=-=121t y t x D. ⎩⎨⎧+==1sin 2sin θθy x 4.方程⎪⎩⎪⎨⎧=+=21y t t x 表示的曲线是( )。
A.一条直线 B.两条射线 C.一条线段 D.抛物线的一部分5.参数方程⎩⎨⎧+-=+=θθ2cos 1sin 22y x (θ为参数)化为普通方程是( )。
A.042=+-y xB. 042=-+y xC. 042=+-y x ]3,2[∈xD. 042=-+y x]3,2[∈x6.设点P 对应的复数为-3+3i ,以原点为极点,实轴正半轴为极轴建立极坐标系,则点P 的极坐标为( ) A.(23,π43) B. (23-,π45) C. (3,π45) D. (-3,π43) 7.直线l :02=++kx y 与曲线C :θρcos 2=相交,则k 的取值范围是( )。
A.43-≤k B. 43-≥k C. R k ∈ D. R k ∈但0≠k 8.在极坐标系中,曲线)3sin(4πθρ-=关于( )。
A.直线3πθ=对称 B.直线65πθ=对称 C.点(2,3π)中心对称 D.极点中心对称9.若圆的方程为⎩⎨⎧+=+-=θθsin 23cos 21y x ,直线的方程为⎩⎨⎧-=-=1612t y t x ,则直线与圆的位置关系是( )。
人教版高中数学选修4-4测试题全套及答案章末综合测评(一) 坐标系(时间120分钟,满分150分)一、选择题(本大题共12小题,每小题5分,共60分.在每小题给出四个选项中,只有一项是符合题目要求的)1.将曲线y =sin 2x 按照伸缩变换⎩⎨⎧x ′=2xy ′=3y 后得到曲线方程为( )A .y ′=3sin x ′B .y ′=3sin 2x ′C .y ′=3sin 12x ′D .y ′=13sin 2x ′【解析】 由伸缩变换,得x =x ′2,y =y ′3. 代入y =sin 2x ,有y ′3=sin x ′,即y ′=3sin x ′. 【答案】 A2.在极坐标系中,已知两点A ,B 的极坐标分别为⎝ ⎛⎭⎪⎫3,π3,⎝ ⎛⎭⎪⎫4,π6,则△AOB (其中O 为极点)的面积为( )A .1B .2C .3D .4【解析】 如图所示,OA =3,OB =4,∠AOB =π6,所以S △AOB =12×3×4×12=3.【答案】 C3.已知点P 的极坐标为(1,π),那么过点P 且垂直于极轴的直线的极坐标方程是( ) A .ρ=1 B .ρ=cos θ C .ρ=-1cos θ D .ρ=1cos θ【答案】 C4.在极坐标系中,点A ⎝ ⎛⎭⎪⎫2,π6与B ⎝ ⎛⎭⎪⎫2,-π6之间的距离为( )A .1B .2C .3D .4【解析】 由A ⎝ ⎛⎭⎪⎫2,π6与B ⎝ ⎛⎭⎪⎫2,-π6,知∠AOB =π3,∴△AOB 为等边三角形,因此|AB |=2. 【答案】 B5.极坐标方程4ρ·sin 2θ2=5表示的曲线是( ) A .圆B .椭圆C .双曲线的一支D .抛物线【解析】 由4ρ·sin 2θ2=4ρ·1-cos θ2=2ρ-2ρcos θ=5,得方程为2x 2+y 2-2x =5,化简得y 2=5x +254,∴该方程表示抛物线. 【答案】 D6.直线ρcos θ+2ρsin θ=1不经过( ) A .第一象限 B .第二象限 C .第三象限D .第四象限【解析】 由ρcos θ+2ρsin θ=1,得x +2y =1, ∴直线x +2y =1不过第三象限. 【答案】 C7.点M 的直角坐标为(3,1,-2),则它的球坐标为( ) A.⎝ ⎛⎭⎪⎫22,3π4,π6 B.⎝ ⎛⎭⎪⎫22,π4,π6 C.⎝ ⎛⎭⎪⎫22,π4,π3 D.⎝ ⎛⎭⎪⎫22,3π4,π3 【解析】 设M 的球坐标为(r ,φ,θ),则⎩⎨⎧3=r sin φcos θ,1=r sin φsin θ,-2=r cos φ,解得⎩⎪⎨⎪⎧r =22,φ=3π4,θ=π6.【答案】 A8.在极坐标系中,直线θ=π6(ρ∈R )截圆ρ=2cos ⎝ ⎛⎭⎪⎫θ-π6所得弦长是( )A .1B .2C .3D .4【解析】 化圆的极坐标方程ρ=2cos ⎝ ⎛⎭⎪⎫θ-π6为直角坐标方程得⎝⎛⎭⎪⎫x -322+⎝ ⎛⎭⎪⎫y -122=1,圆心坐标为⎝ ⎛⎭⎪⎫32,12,半径长为1,化直线θ=π6(ρ∈R )的直角坐标方程为x -3y =0,由于32-3×12=0,即直线x -3y =0过圆⎝⎛⎭⎪⎫x -322+⎝ ⎛⎭⎪⎫y -122=1的圆心,故直线θ=π6(ρ∈R )截圆ρ=2cos ⎝ ⎛⎭⎪⎫θ-π6所得弦长为2.【答案】 B9.若点P 的柱坐标为⎝ ⎛⎭⎪⎫2,π6,3,则P 到直线Oy 的距离为( ) A .1 B .2C. 3【解析】 由于点P 的柱坐标为(ρ,⎭⎪⎫,π6,3,故点P 在平面xOy 内的射影Q 到直线Oy 的距离为ρcos π6=3,可得P 到直线Oy 的距离为 6.【答案】 D10.设正弦曲线C 按伸缩变换⎩⎪⎨⎪⎧x ′=12xy ′=3y 后得到曲线方程为y ′=sin x ′,则正弦曲线C 的周期为( )A.π2 B .π C .2πD .4π【解析】 由伸缩变换知3y =sin 12x , ∴y =13sin 12x ,∴T =2π12=4π.【答案】 D11.已知点A 是曲线ρ=2cos θ上任意一点,则点A 到直线ρsin ⎝ ⎛⎭⎪⎫θ+π6=4的距离的最小值是( )A .1 B.32 C.52 D.72【解析】 曲线ρ=2cos θ即(x -1)2+y 2=1,表示圆心为(1,0),半径等于1的圆,直线ρsin ⎝ ⎛⎭⎪⎫θ+π6=4,即x +3y -8=0,圆心(1,0)到直线的距离等于|1+0-8|2=72,所以点A 到直线ρsin ⎝ ⎛⎭⎪⎫θ+π6=4的距离的最小值是72-1=52.【答案】 C12.极坐标方程ρ=2sin ⎝ ⎛⎭⎪⎫θ+π4的图形是( )【解析】 法一 圆ρ=2sin ⎝ ⎛⎭⎪⎫θ+π4是把圆ρ=2sin θ绕极点按顺时针方向旋转π4而得,圆心的极坐标为⎝ ⎛⎭⎪⎫1,π4,故选C.法二 圆ρ=2sin ⎝ ⎛⎭⎪⎫θ+π4的直角坐标方程为⎝ ⎛⎭⎪⎫x -222+⎝ ⎛⎭⎪⎫y -222=1,圆心为⎝ ⎛⎭⎪⎫22,22,半径为1,故选C.【答案】 C二、填空题(本大题共4小题,每小题5分,共20分,请把正确答案填在题中横线上) 13.在极坐标系中,经过点⎝ ⎛⎭⎪⎫22,π4作圆ρ=4sin θ的切线,则切线的极坐标方程为________.【解析】 圆ρ=4sin θ的直角坐标方程为x 2+y 2=4y ,化成标准方程得x 2+(y -2)2=4,表示以点(0,2)为圆心,以2为半径长的圆,点⎝ ⎛⎭⎪⎫22,π4的直角坐标为(2,2),由于22+(2-2)2=4,即点(2,2)在圆上,故过点且与圆相切的直线的方程为x =2,其极坐标方程为ρcos θ=2.【答案】 ρcos θ=214.已知圆的极坐标方程为ρ=4cos θ,圆心为C ,点P 的极坐标为⎝ ⎛⎭⎪⎫4,π3,则|CP |=________.【解析】 由ρ=4cos θ可得x 2+y 2=4x ,即(x -2)2+y 2=4,因此圆心C 的直角坐标为(2,0).又点P 的直角坐标为(2,23),因此|CP |=2 3.【答案】 2315.在极坐标系中,曲线C 1:ρ(2cos θ+sin θ)=1与曲线C 2:ρ=a (a >0)的一个交点在极轴上,则a =________.【解析】 ρ(2cos θ+sin θ)=1,即2ρcos θ+ρsin θ=1对应的直角坐标方程为2x +y -1=0,ρ=a (a >0)对应的普通方程为x 2+y 2=a 2.在2x +y -1=0中,令y =0,得x =22.将⎝ ⎛⎭⎪⎫22,0代入x 2+y 2=a 2得a =22.【答案】 2216.直线2ρcos θ=1与圆ρ=2cos θ相交的弦长为________.【解析】 直线2ρcos θ=1可化为2x =1,即x =12,圆ρ=2cos θ两边同乘ρ得ρ2=2ρcos θ,化为直角坐标方程是x 2+y 2=2x ,即(x -1)2+y 2=1,其圆心为(1,0),半径为1, ∴弦长为2× 12-⎝ ⎛⎭⎪⎫122= 3.【答案】3三、解答题(本大题共6小题,共70分.解答应写出文字说明、证明过程或演算步骤) 17.(本小题满分10分)已知⊙C :ρ=cos θ+sin θ, 直线l :ρ=22cos ⎝ ⎛⎭⎪⎫θ+π4.求⊙C 上点到直线l 距离的最小值.【解】 ⊙C 的直角坐标方程是x 2+y 2-x -y =0,即⎝ ⎛⎭⎪⎫x -122+⎝ ⎛⎭⎪⎫y -122=12. 又直线l 的极坐标方程为ρ(cos θ-sin θ)=4,所以直线l 的直角坐标方程为x -y -4=0.设M ⎝ ⎛⎭⎪⎫12+22cos θ,12+22sin θ为⊙C 上任意一点,M 点到直线l 的距离d =⎪⎪⎪⎪⎪⎪12+22cos θ-⎝ ⎛⎭⎪⎫12+22sin θ-42=4-cos ⎝ ⎛⎭⎪⎫θ+π42,当θ=7π4时,d min =32=322.18.(本小题满分12分)已知直线的极坐标方程ρsin ⎝ ⎛⎭⎪⎫θ+π4=22,求极点到直线的距离. 【解】 ∵ρsin ⎝ ⎛⎭⎪⎫θ+π4=22,∴ρsin θ+ρcos θ=1,即直角坐标方程为x +y =1. 又极点的直角坐标为(0,0), ∴极点到直线的距离d =|0+0-1|2=22. 19.(本小题满分12分)(1)在极坐标系中,求以点(1,1)为圆心,半径为1的圆C 的方程; (2)将上述圆C 绕极点逆时针旋转π2得到圆D ,求圆D 的方程. 【解】 (1)设M (ρ,θ)为圆上任意一点,如图,圆C 过极点O ,∠COM=θ-1,作CK ⊥OM 于K ,则ρ=|OM |=2|OK |=2cos(θ-1), ∴圆C 的极坐标方程为ρ=2cos(θ-1).(2)将圆C :ρ=2cos(θ-1)按逆时针方向旋转π2得到圆D :ρ=2cos ⎝ ⎛⎭⎪⎫θ-1-π2,即ρ=-2sin(1-θ).20.(本小题满分12分)如图1,正方体OABC D ′A ′B ′C ′中,|OA |=3,A ′C ′与B ′D ′相交于点P ,分别写出点C 、B ′、P 的柱坐标.图1【解】 设点C 的柱坐标为(ρ1,θ1,z 1), 则ρ1=|OC |=3,θ1=∠COA =π2,z 1=0, ∴C 的柱坐标为⎝ ⎛⎭⎪⎫3,π2,0;设点B ′的柱坐标为(ρ2,θ2,z 2),则ρ2=|OB |=|OA |2+|AB |2=32+32=32, θ2=∠BOA =π4,z 2=3, ∴B ′的柱坐标为⎝ ⎛⎭⎪⎫32,π4,3;如图,取OB 的中点E ,连接PE ,设点P 的柱坐标为(ρ3,θ3,z 3),则ρ3=|OE |=12|OB |=322,θ3=∠AOE =π4,z 3=3, 点P 的柱坐标为⎝ ⎛⎭⎪⎫322,π4,3.21.(本小题满分12分)已知曲线C 1的极坐标方程为ρcos ⎝ ⎛⎭⎪⎫θ-π3=-1,曲线C 2的极坐标方程为ρ=22cos ⎝ ⎛⎭⎪⎫θ-π4,判断两曲线的位置关系.【解】 将曲线C 1,C 2化为直角坐标方程得: C 1:x +3y +2=0,C 2:x 2+y 2-2x -2y =0,即C 2:(x -1)2+(y -1)2=2, 圆心到直线的距离d =|1+3+2|12+(3)2=3+32>2,∴曲线C 1与C 2相离.22.(本小题满分12分)在极坐标系中,极点为O ,已知曲线C 1:ρ=2与曲线C 2:ρsin ⎝ ⎛⎭⎪⎫θ-π4=2交于不同的两点A ,B .(1)求|AB |的值;(2)求过点C (1,0)且与直线AB 平行的直线l 的极坐标方程.【解】 (1)∵ρ=2,∴x 2+y 2=4. 又∵ρsin ⎝ ⎛⎭⎪⎫θ-π4=2,∴y =x +2,∴|AB |=2r 2-d 2=24-⎝ ⎛⎭⎪⎫222=2 2. (2)∵曲线C 2的斜率为1,∴过点(1,0)且与曲线C 2平行的直线l 的直角坐标方程为y =x -1,∴直线l 的极坐标为ρsin θ=ρcos θ-1, 即ρcos ⎝ ⎛⎭⎪⎫θ+π4=22.章末综合测评(二) 参数方程(时间120分钟,满分150分)一、选择题(本大题共12小题,每小题5分,共60分.在每小题给出的四个选项中,只有一项是符合题目要求的)1.下列点不在直线⎩⎪⎨⎪⎧x =-1-22ty =2+22t (t 为参数)上的是( )A .(-1,2)B .(2,-1)C .(3,-2)D .(-3,2)【解析】 直线l 的普通方程为x +y -1=0, 因此点(-3,2)的坐标不适合方程x +y -1=0. 【答案】 D2.圆的参数方程为⎩⎨⎧x =4cos θ,y =4sin θ(θ为参数,0≤θ<2π),若Q (-2,23)是圆上一点,则对应的参数θ的值是( )A.π3B.23πC.43πD.53π 【解析】 ∵点Q (-2,23)在圆上, ∴⎩⎨⎧-2=4cos θ,23=4sin θ且0≤θ<2π,∴θ=23π.【答案】 B3.直线⎩⎨⎧x =3+t ,y =2-2t (t 为参数)斜率为( )A .2B .-2 C.32D .-32【解析】 直线的普通方程为2x +y -8=0, ∴斜率k =-2. 【答案】 B4.已知O 为原点,当θ=-π6时,参数方程⎩⎨⎧x =3cos θ,y =9sin θ(θ为参数)上的点为A ,则直线OA 倾斜角为( ) A.π6 B.π3 C.2π3 D.5π6【解析】 当θ=-π6时,x =332,y =-92, ∴k OA =tan α=yx =-3,且0≤α<π, 因此α=2π3. 【答案】 C5.已知A (4sin θ,6cos θ),B (-4cos θ,6sin θ),当θ为一切实数时,线段AB 的中点轨迹为( )A .直线B .圆C .椭圆D .双曲线【解析】 设线段AB 的中点为M (x ,y ), 则⎩⎨⎧ x =2sin θ-2cos θ,y =3sin θ+3cos θ(θ为参数), ∴⎩⎨⎧3x +2y =12sin θ,3x -2y =-12cos θ. ∴(3x +2y )2+(3x -2y )2=144, 整理得x 28+y 218=1,表示椭圆. 【答案】 C6.椭圆⎩⎨⎧x =3cos θ,y =4sin θ(θ为参数)的离心率是( )A.74 B.73 C.72D.75【解析】 椭圆⎩⎨⎧x =3cos θ,y =4sin θ的标准方程为x 29+y 216=1,∴e =74.故选A.【答案】 A7.已知圆M :x 2+y 2-2x -4y =10,则圆心M 到直线⎩⎨⎧x =4t +3,y =3t +1(t 为参数)的距离为( )A .1B .2C .3D .4【解析】 由题意易知圆的圆心M (1,2),由直线的参数方程化为一般方程为3x -4y -5=0,所以圆心到直线的距离为d2.【答案】 B8.若直线⎩⎨⎧ x =t cos α,y =t sin α(t 为参数)与圆⎩⎨⎧x =4+2cos φ,y =2sin φ(φ为参数)相切,那么直线的倾斜角为( ) A.π6或5π6 B.π4或3π4 C.π3或2π3D .-π6或-5π6 【解析】 直线的普通方程为y =tan α·x ,圆的普通方程为(x -4)2+y 2=4,由于直线与圆相切,则|4tan α|tan 2x +1=2.∴tan α=±33,∴α=π6或5π6.故选A. 【答案】 A9.若直线y =x -b 与曲线⎩⎨⎧x =2+cos θ,y =sin θθ∈[0,2π)有两个不同的公共点,则实数b 的取值范围是( )A .(2-2,1)B .[2-2,2+2]C .(-∞,2-2)∪(2+2,+∞)D .(2-2,2+2)【解析】 由⎩⎨⎧x =2+cos θ,y =sin θ消去θ,得(x -2)2+y 2=1.(*)将y =x -b 代入(*),化简得 2x 2-(4+2b )x +b 2+3=0,依题意,Δ=[-(4+2b )]2-4×2(b 2+3)>0, 解得2-2<b <2+ 2. 【答案】 D10.实数x ,y 满足3x 2+2y 2=6x ,则x 2+y 2的最大值是( ) A .2 B .4 C.92D .5【解析】 由3x 2+2y 2=6x ,得3(x -1)2+2y 2=3, 令x =1+cos θ,y =62sin θ,代入x 2+y 2,得x 2+y 2=(1+cos θ)2+32sin 2θ=-12(cos θ-2)2+92,∴当cos θ=1时,(x 2+y 2)max =4. 【答案】 B11.参数方程⎩⎪⎨⎪⎧x =1+sin θy =cos 2⎝ ⎛⎭⎪⎫π4-θ2(θ为参数,0≤θ<2π)所表示的曲线是( )A .椭圆的一部分B .双曲线的一部分C .抛物线的一部分,且过点⎝ ⎛⎭⎪⎫-1,12 D .抛物线的一部分,且过点⎝ ⎛⎭⎪⎫1,12【解析】 由y =cos 2⎝ ⎛⎭⎪⎫π4-θ2=1+cos ⎝ ⎛⎭⎪⎫π2-θ2=1+sin θ2,可得sin θ=2y -1,由x =1+sin θ 得x 2-1=sin θ, ∴参数方程可化为普通方程x 2=2y . 又x =1+sin θ∈[0,2],故选D. 【答案】 D12.已知直线l :⎩⎨⎧x =3t ,y =2-t (t 为参数),抛物线C 的方程y 2=2x ,l 与C 交于P 1,P 2,则点A (0,2)到P 1,P 2两点距离之和是( )A .4+3B .2(2+3)C .4(2+3)D .8+3【解析】将直线l 参数方程化为⎩⎪⎨⎪⎧x =-32t ′y(t ′为参数),代入y 2=2x ,得t ′2+4(2+3)t ′+16=0,设其两根为t 1′、t 2′+t 2′=-4(2+3),t 1′t 2′=16>0.由此知在l 上两点P 1,P 2都在A (0,2)的下方,则|AP 1|+|AP 2|=|t 1′|+|t 2′|=|t 1′+t 2′|=4(2+3).【答案】 C二、填空题(本大题共4小题,每小题5分,共20分,把正确答案填在题中横线上) 13.双曲线⎩⎨⎧x =tan φ,y =sec φ(φ是参数)的渐近线方程为________.【解析】 化参数方程为普通方程,得y 2-x 2=1.故其渐近线为y =±x ,即x ±y =0. 【答案】 x ±y =014.在极坐标系中,直线过点(1,0)且与直线θ=π3(ρ∈R )垂直,则直线极坐标方程为________.【解析】 由题意可知在直角坐标系中,直线θ=π3的斜率是3,所求直线是过点(1,0),且斜率是-13,所以直线方程为y =-13(x -1),化为极坐标方程ρsin θ=-13(ρcos θ-1),化简得2ρsin ⎝ ⎛⎭⎪⎫θ+π6=1.【答案】 2ρsin ⎝ ⎛⎭⎪⎫θ+π6=1或2ρcos ⎝ ⎛⎭⎪⎫θ-π3=1或ρcos θ+3ρsin θ=115.在直角坐标系xOy 中,以原点O 为极点,x 轴的正半轴为极轴建立极坐标系.已知射线θ=π4与曲线⎩⎨⎧x =t +1,y =(t -1)2(t 为参数)相交于A ,B 两点,则线段AB 的中点的直角坐标为________.【解析】 曲线⎩⎨⎧x =t +1,y =(t -1)2可化为y =(x -2)2,射线θ=π4可化为y =x (x ≥0),联立这两个方程得:x 2-5x +4=0,点A ,B 的横坐标就是此方程的根,线段AB 的中点的直角坐标为⎝ ⎛⎭⎪⎫52,52. 【答案】 ⎝ ⎛⎭⎪⎫52,5216.在直角坐标系xOy 中,椭圆C 的参数方程为⎩⎨⎧x =a cos φ,y =b sin φ(φ为参数,a >b >0).在极坐标系(与直角坐标系xOy 取相同的长度单位,且以原点O 为极点,以x 轴正半轴为极轴)中,直线l 与圆O 的极坐标方程分别为ρsin ⎝ ⎛⎭⎪⎫θ+π4=22m (m 为非零常数)与ρ=b .若直线l 经过椭圆C 的焦点,且与圆O 相切,则椭圆C 的离心率为________.【解析】 由已知可得椭圆标准方程为x 2a 2+y 2b 2=1(a >b >0).由ρsin ⎝ ⎛⎭⎪⎫θ+π4=22m 可得ρsin θ+ρcos θ=m ,即直线的普通方程为x +y =m .又圆的普通方程为x 2+y 2=b 2,不妨设直线l 经过椭圆C 右焦点(c,0),则得c =m .又因为直线l 与圆O 相切,所以|m |2=b ,因此c =2b ,即c 2=2(a 2-c 2).整理,得c 2a 2=23,故椭圆C 离心率为e =63.【答案】 63三、解答题(本大题共6小题,共70分.解答应写出文字说明、证明过程或演算步骤) 17.(本小题满分10分)已知圆O 的参数方程为⎩⎨⎧x =2cos θy =2sin θ(θ为参数,0≤θ<2π).(1)求圆心和半径;(2)若圆O 上点M 对应的参数θ=5π3,求点M 的坐标. 【解】 (1)由⎩⎨⎧x =2cos θy =2sin θ(0≤θ<2π),平方得x 2+y 2=4, ∴圆心O (0,0),半径r =2.(2)当θ=5π3时,x =2cos θ=1,y =2sin θ=-3, ∴点M 的坐标为(1,-3).18.(本小题满分12分)已知曲线C :⎩⎨⎧x =4cos φ,y =3sin φ(φ为参数).(1)将C 的方程化为普通方程;(2)若点P (x ,y )是曲线C 上的动点,求2x +y 的取值范围. 【解】 (1)由曲线C :⎩⎨⎧x =4cos φ,y =3sin φ,得⎝ ⎛⎭⎪⎫x 42+⎝ ⎛⎭⎪⎫y 32=1即x 216+y 29=1.(2)2x +y =8cos φ+3sin φ=73sin(φ+θ), ⎝ ⎛⎭⎪⎫θ由tan θ=83确定, ∴2x +y ∈[-73,73],∴2x +y 的取值范围是[-73,73].19.(本小题满分12分)已知直线l 的参数方程为⎩⎪⎨⎪⎧x =3+12t ,y =2+32t (t 为参数),曲线C 的参数方程为⎩⎨⎧x =4cos θ,y =4sin θ(θ为参数).(1)将曲线C 的参数方程化为普通方程;(2)若直线l 与曲线C 交于A ,B 两点,求线段AB 的长. 【解】 (1)由曲线C :⎩⎨⎧x =4cos θ,y =4sin θ得x 2+y 2=16,∴曲线C 的普通方程为x 2+y 2=16. (2)将⎩⎪⎨⎪⎧x =3+12t ,y =2+32t代入x 2+y 2=16,整理,得t 2+33t -9=0. 设A ,B 对应的参数为t 1,t 2,则 t 1+t 2=-33,t 1t 2=-9.|AB |=|t 1-t 2|=(t 1+t 2)2-4t 1t 2=37.20.(本小题满分12分)已知动点P 、Q 都在曲线C :⎩⎨⎧x =2cos t ,y =2sin t (t 为参数)上,对应参数分别为t =α与t =2α(0<α<2π),M 为PQ 的中点.(1)求M 的轨迹的参数方程;(2)将M 到坐标原点的距离d 表示为α的函数,并判断M 的轨迹是否过坐标原点. 【解】 (1)依题意有P (2cos α,2sin α), Q (2cos 2α,2sin 2α),因此M (cos α+cos 2α,sin α+sin 2α).M 的轨迹的参数方程为⎩⎨⎧x =cos α+cos 2α,y =sin α+sin 2α(α为参数,0<α<2π).(2)M 点到坐标原点的距离d =x 2+y 2=2+2cos α(0<α<2π). 当α=π时,d =0,故M 的轨迹过坐标原点.21.(本小题满分12分)在直角坐标系xOy 中,l 是过定点P (4,2)且倾斜角为α的直线;在极坐标系(以坐标原点O 为极点,以x 轴非负半轴为极轴,取相同单位长度)中,曲线C 的极坐标方程为ρ=4cos θ.(1)写出直线l 的参数方程,并将曲线C 的方程化为直角坐标方程; (2)若曲线C 与直线相交于不同的两点M ,N ,求|PM |+|PN |的取值范围. 【解】 (1)直线l 的参数方程为⎩⎨⎧x =4+t cos αy =2+t sin α(t 为参数).∵ρ=4cos θ,∴ρ2=4ρcos θ,所以C :x 2+y 2=4x .(2)直线l 的参数方程为⎩⎨⎧x =4+t cos αy =2+t sin α(t 为参数),代入C :x 2+y 2=4x ,得t 2+4(sin α+cos α)t +4=0,则有⎩⎨⎧Δ=16(sin α+cos α)2-16>0,t 1+t 2=-4(sin α+cos α),t 1·t 2=4,∴sin α·cos α>0,又α∈[0,π), 所以α∈⎝ ⎛⎭⎪⎫0,π2,t 1<0,t 2<0. 而|PM |+|PN |=(4+t 1cos α-4)2+(2+t 1sin α-2)2+ (4+t 2cos α-4)2+(2+t 2sin α-2)2=|t 1|+|t 2| =-t 1-t 2=4(sin α+cos α)=42sin ⎝ ⎛⎭⎪⎫α+π4.∵α∈⎝ ⎛⎭⎪⎫0,π2,∴α+π4∈⎝ ⎛⎭⎪⎫π4,3π4, ∴22<sin ⎝ ⎛⎭⎪⎫α+π4≤1,所以|PM |+|PN |的取值范围为(4,42].22.(本小题满分12分)在平面直角坐标系xOy 中,曲线C 1的参数方程为⎩⎨⎧x =cos φy =sin φ(φ为参数),曲线C 2的参数方程为⎩⎨⎧x =a cos φy =b sin φ(a >b >0,φ为参数).在以O 为极点,x 轴的正半轴为极轴的极坐标系中,射线l :θ=α与C 1,C 2各有一个交点.当α=0时,这两个交点间的距离为2,当α=π2时,这两个交点重合.(1)分别说明C 1,C 2是什么曲线,并求出a 与b 的值;(2)设当α=π4时,l 与C 1,C 2的交点分别为A 1,B 1,当α=-π4时,l 与C 1,C 2的交点分别为A 2,B 2,求四边形A 1A 2B 2 B 1的面积.【解】 (1)C 1是圆,C 2是椭圆.当α=0时,射线l 与C 1,C 2交点的直角坐标分别为(1,0),(a,0),因为这两点间的距离为2,所以a =3.当α=π2时,射线l与C1,C2交点的直角坐标分别为(0,1),(0,b),因为这两点重合,所以b=1.(2)C1,C2的普通方程分别为x2+y2=1和x29+y2=1.当α=π4时,射线l与C1交点A1的横坐标为x=22,与C2交点B1的横坐标为x′=31010.当α=-π4时,射线l与C1,C2的两个交点A2,B2分别与A1,B1关于x轴对称,因此四边形A1A2B2B1为梯形.故四边形A1A2B2B1的面积为(2x′+2x)(x′-x)2=25.模块综合测评(时间120分钟,满分150分)一、选择题(本大题共12小题,每小题5分,共60分.在每小题给出的四个选项中,只有一项是符合题目要求的)1.极坐标方程cos θ=32(ρ∈R)表示的曲线是()A.两条相交直线B.两条射线C.一条直线D.一条射线【解析】由cos θ=32,解得θ=π6或θ=116π,又ρ∈R,故为两条过极点直线.【答案】A2.极坐标系中,过点P(1,π)且倾斜角为π4直线方程为() A.ρ=sin θ+cos θB.ρ=sin θ-cos θC.ρ=1sin θ+cos θD.ρ=1sin θ-cos θ【解析】设M(ρ,θ) 为直线上任意一点,则在△OPM 中,由正弦定理得ρsin π4=1sin ⎝ ⎛⎭⎪⎫θ-π4, ∴ρ=1sin θ-cos θ.【答案】 D3.已知参数方程⎩⎨⎧x =at +λcos θy =bt +λsin θ(a 、b 、λ均不为零,0≤θ≤2π),分别取①t 为参数;②λ为参数;③θ为参数,则下列结论中成立的是( )A .①、②、③均是直线B .只有②是直线C .①、②是直线,③是圆D .②是直线,①③是圆【解析】 ①t 为参数,原方程可化为:y -λsin θ=ba (x -λcos θ),②λ为参数,原方程可化为:y -bt =(x -at )·tan θ,③θ为参数,原方程可化为: (x -at )2+(y -bt )2=λ2,即①、②是直线,③是圆. 【答案】 C4.将曲线x 23+y 22=1按φ:⎩⎪⎨⎪⎧x ′=13x ,y ′=12y 变换后的曲线的参数方程为( )A.⎩⎨⎧x =3cos θy =2sin θ B.⎩⎨⎧x =3cos θy =2sin θ C.⎩⎪⎨⎪⎧x =13cos θy =12sin θD.⎩⎪⎨⎪⎧x =33cos θy =22sin θ【解析】 x 23+y 22=1→(3x ′)23+(2y ′)22=1→(3x ′)2+(2y ′)2=1→⎩⎨⎧3x ′=cos θ,2y ′=sin θ→⎩⎪⎨⎪⎧ x ′=33cos θ,y ′=22sin θ,即⎩⎪⎨⎪⎧x =33cos θ,y =22sin θ,故选D.【答案】 D5.化极坐标方程ρ2cos θ-ρ=0为直角坐标方程为( ) A .x 2+y 2=0或y =1 B .x =1 C .x 2+y 2=0或x =1D .y =1【解析】 由ρ2cos θ-ρ=0,得ρ(ρcos θ-1)=0, 又ρ=x 2+y 2,x =ρcos θ, ∴x 2+y 2=0或x =1. 【答案】 C6.柱坐标⎝ ⎛⎭⎪⎫2,π3,1对应的点的直角坐标是( )A .(3,-1,1)B .(3,1,1)C .(1,3,1)D .(-1,3,1)【解析】由直角坐标与柱坐标之间的变换公式⎩⎨⎧x =ρcos θ,y =ρsin θz =z,可得⎩⎨⎧x =1,y =3,z =1,故应选C.【答案】 C7.直线l :3x +4y -12=0与圆C :⎩⎨⎧x =-1+2cos θy =2+2sin θ(θ为参数)的公共点个数为( )A .0个B .1个C .2个D .无法确定【解析】 圆C 的直角坐标方程为(x +1)2+(y -2)2=4, ∴圆心C (-1,2),半径r =2. 圆心C 到直线l 的距离d =|3×(-1)+4×2-12|32+42=75,因此d <r ,直线与圆C 相交于两点. 【答案】 C8.双曲线⎩⎨⎧x =4sec θy =2tan θ(θ为参数)上,当θ=2π3时对应的点为P ,O 为原点,则OP 的斜率为( )A.34B.32C.3D .2【解析】 ∵x =4sec θ=4cos 2π3=-8, y =2tan θ=2tan 2π3=-23, ∴k OP =y x =34. 【答案】 A9.已知曲线C 的极坐标方程为ρ=6sin θ,以极点为平面直角坐标系的原点,极轴为x轴正半轴,直线l 的参数方程为⎩⎨⎧x =2t -1,y =22t(t 为参数),则直线l 与曲线C 相交所得弦长为( )A .1B .2C .3D .4【解析】 曲线C 的直角坐标方程为x 2+y 2-6y =0,即x 2+(y -3)2=9,直线⎩⎨⎧x =2t -1,y =22t的直角坐标方程为x -2y +1=0,∵圆心C 到直线l 的距离 d =|0-2×3+1|12+(-2)2=5,∴直线l 与圆C 相交所得弦长为 2r 2-d 2=29-5=4.【答案】 D10.直线⎩⎨⎧x =-2-4t ,y =1+3t (t 为参数)与圆ρ=2cos θ的位置关系为( )A .相离B .相切C .相交D .无法确定【解析】 直线⎩⎨⎧x =-2-4t ,y =1+3t (t 为参数)的普通方程为3x +4y +2=0,圆ρ=2cos θ的普通方程为x 2+y 2-2x =0,即(x -1)2+y 2=1,圆心到直线3x +4y +2=0的距离d =1=r ,所以直线与圆的位置关系为相切.故选B.【答案】 B11.已知曲线的参数方程是⎩⎪⎨⎪⎧x =cos 2α2,y =12sin α(α为参数),若以此曲线所在的直角坐标系的原点为极点,x 轴的正半轴为极轴建立极坐标系,则曲线的极坐标方程为( )A .ρ=sin θB .ρ=2sin θC .ρ=2cos θD .ρ=cos θ【解析】由⎩⎪⎨⎪⎧x =cos 2α2=12+12cos α,y =12sin α(α为参数)得普通方程为⎝ ⎛⎭⎪⎫x -122+y 2=14,故圆心为C ⎝ ⎛⎭⎪⎫12,0,半径r =12,所以极坐标方程为ρ=cos θ. 【答案】 D12.若动点(x ,y )在曲线x 24+y 2b 2=1(b >0)上变化,则x 2+2y 的最大值为( ) A.⎩⎪⎨⎪⎧ b 24+4 (0<b ≤4)2b (b >4) B.⎩⎪⎨⎪⎧b 24+4 (0<b <2)2b (b ≥2)C.b 24+4D .2b【解析】 设动点的坐标为(2cos θ,b sin θ), 代入x 2+2y =4cos 2θ+2b sin θ =-⎝ ⎛⎭⎪⎫2sin θ-b 22+4+b 24,当0<b ≤4时,(x 2+2y )max =b 24+4;当b >4时,(x 2+2y )max =-⎝ ⎛⎭⎪⎫2-b 22+4+b 24=2b .【答案】 A二、填空题(本大题共4小题,每小题5分,共20分,把正确答案填在题中横线上) 13.在直角坐标系xOy 中,以原点O 为极点,x 轴的正半轴为极轴建立极坐标系.已知射线θ=π4与曲线⎩⎨⎧x =t +1,y =(t -1)2(t 为参数)相交于A ,B 两点,则线段AB 的中点的直角坐标为________.【解析】 射线θ=π4的普通方程为y =x (x ≥0),代入⎩⎨⎧x =t +1,y =(t -1)2,得t 2-3t =0,解得t =0或t =3.当t =0时,x =1,y =1,即A (1,1); 当t =3时,x =4,y =4,即B (4,4). 所以AB 的中点坐标为⎝ ⎛⎭⎪⎫52,52.【答案】 ⎝ ⎛⎭⎪⎫52,5214.极坐标系中,曲线ρ=-4cos θ上的点到直线ρ()cos θ+3sin θ=8的距离的最大值是________.【解析】 曲线方程化为:ρ2=-4ρcos θ,即x 2+y 2+4x =0,化为:(x +2)2+y 2=4,圆心坐标为(-2,0),半径为r =2,直线方程化为:x +3y -8=0,圆心到直线距离为:d =|-2-8|2=5,所以最大距离为:5+2=7.【答案】 715.直线⎩⎨⎧ x =2+t y =-1-t (t 为参数)与曲线⎩⎨⎧x =3cos αy =3sin α(α为参数)交点个数为________.【解析】 直线与曲线的普通方程分别为 x +y -1=0, ① x 2+y 2=9, ②②表示圆心为O (0,0),半径为3的圆, 设O 到直线的距离为d ,则d =|-1|2=22,∵22<3,∴直线与圆有2个交点. 【答案】 216.已知曲线C 的参数方程为⎩⎨⎧x =2cos t ,y =2sin t (t 为参数),C 在点(1,1)处的切线为l .以坐标原点为极点,x 轴的正半轴为极轴建立极坐标系,则l 的极坐标方程为________.【解析】 由sin 2t +cos 2t =1得曲线C 的普通方程为x 2+y 2=2,过原点O 及切点(1,1)的直线的斜率为1,故切线l 的斜率为-1,所以切线l 的方程为y -1=-(x -1),即x +y -2=0.把x =ρcos θ,y =ρsin θ代入直线l 的方程可得ρcos θ+ρsin θ-2=0,即2ρsin ⎝ ⎛⎭⎪⎫θ+π4-2=0,化简得ρsin ⎝ ⎛⎭⎪⎫θ+π4= 2.【答案】 ρsin ⎝ ⎛⎭⎪⎫θ+π4=2三、解答题(本大题共6小题,共70分.解答时应写出文字说明、证明过程或演算步骤) 17.(本小题满分10分)在平面直角坐标系xOy 中,求过椭圆⎩⎨⎧x =5cos φ,y =3sin φ(φ为参数)的右焦点,且与直线⎩⎨⎧x =4-2t ,y =3-t (t 为参数)平行的直线的普通方程.【解】 由题设知,椭圆的长半轴长a =5,短半轴长b =3,从而c =a 2-b 2=4,所以右焦点为(4,0).将已知直线的参数方程化为普通方程x -2y +2=0.故所求直线的斜率为12,因此其方程为y =12(x -4),即x -2y -4=0.18.(本小题满分12分)在平面直角坐标系中, 以坐标原点为极点,x 轴的非负半轴为极轴建立极坐标系.已知点A 的极坐标为⎝ ⎛⎭⎪⎫2,π4,直线l 的极坐标方程为ρcos ⎝ ⎛⎭⎪⎫θ-π4=a ,且点A 在直线l 上.(1)求a 的值及直线l 的直角坐标方程;(2)圆C 的参数方程为⎩⎨⎧x =1+cos α,y =sin α(α为参数),试判断直线l 与圆C 的位置关系.【解】 (1)由点A ⎝ ⎛⎭⎪⎫2,π4在直线ρcos ⎝ ⎛⎭⎪⎫θ-π4=a 上,可得a =2,所以直线l 的方程可化为ρcos θ+ρsin θ=2, 从而直线l 的直角坐标方程为x +y -2=0.(2)由已知得圆C 的直角坐标方程为(x -1)2+y 2=1, 所以圆C 的圆心为(1,0),半径r =1. 因为圆心C 到直线l 的距离d =12=22<1, 所以直线l 与圆C 相交.19.(本小题满分12分)已知曲线C 1的参数方程为⎩⎨⎧x =4+5cos t ,y =5+5sin t (t 为参数),以坐标原点为极点,x 轴的正半轴为极轴建立极坐标系,曲线C 2的极坐标方程为ρ=2sin θ.(1)把C 1的参数方程化为极坐标方程; (2)求C 1与C 2交点的极坐标(ρ≥0,0≤θ<.【解】 (1)将⎩⎨⎧x =4+5cos t ,y =5+5sin t 消去参数t ,化为普通方程(x -4)2+(y -5)2=25,即C 1:x 2+y 2-8x -10y +16=0.将⎩⎨⎧x =ρcos θ,y =ρsin θ代入x 2+y 2-8x -10y +16=0得 ρ2-8ρcos θ-10ρsin θ+16=0,所以C 1的极坐标方程为ρ2-8ρcos θ-10ρsin θ+16=0. (2)C 2的普通方程为x 2+y 2-2y =0. 由⎩⎨⎧x 2+y 2-8x -10y +16=0,x 2+y 2-2y =0, 解得⎩⎨⎧ x =1,y =1或⎩⎨⎧x =0,y =2.所以C 1与C 2交点的极坐标分别为⎝ ⎛⎭⎪⎫2,π4,⎝ ⎛⎭⎪⎫2,π2.20.(本小题满分12分)在直角坐标系xOy 中,圆C 1:x 2+y 2=4,圆C 2:(x -2)2+y 2=4. (1)在以O 为极点,x 轴正半轴为极轴的极坐标系中,分别写出圆C 1,C 2的极坐标方程,并求出圆C 1,C 2的交点坐标(用极坐标表示);(2)求圆C 1与C 2的公共弦的参数方程.【解】 (1)圆C 1的极坐标方程为ρ=2,圆C 2的极坐标方程为ρ=4cos θ. 解⎩⎨⎧ρ=2,ρ=4cos θ,得ρ=2,θ=±π3. 故圆C 1与圆C 2交点的坐标为 ⎝ ⎛⎭⎪⎫2,-π3或⎝ ⎛⎭⎪⎫2,π3. 注:极坐标系下点的表示不惟一.(2)法一 将x =1代入⎩⎨⎧x =ρcos θ,y =ρsin θ,得ρcos θ=1,从而ρ=1cos θ.于是圆C 1与C 2的公共弦的参数方程为⎩⎨⎧x =1,y =tan θ,⎝⎛⎭⎪⎫-π3≤θ≤π3. 法二 由⎩⎨⎧x =ρcos θ,y =ρsin θ,得圆C 1与圆C 2交点的直角坐标分别为(1,-3)或(1,3).故圆C 1与C 2公共弦的参数方程为 ⎩⎨⎧x =1,y =t ,(-3≤t ≤3). 21.(本小题满分12分)在直角坐标系中,以原点为极点,x 轴的正半轴为极轴建立坐标系,已知曲线C :ρsin 2θ=2a cos θ(a >0),已知过点P (-2,-4)的直线l 的参数方程为⎩⎪⎨⎪⎧x =-2+22t y =-4+22t (t 为参数),直线l 与曲线C 分别交于M ,N 两点.(1)写出曲线C 和直线l 的普通方程;(2)若|PM |,|MN |,|PN |成等比数列,求a 的值. 【解】 (1)曲线C :y 2=2ax ,直线l :x -y -2=0. (2)将直线的参数表达式代入抛物线得 12t 2-(42+2a )t +16+4a =0,所以t 1+t 2=82+22a ,t 1t 2=32+8a . 因为|PM |=|t 1|,|PN |=|t 2|,|MN |=|t 1-t 2|, 由题意知,|t 1-t 2|2=|t 1t 2|⇒(t 1+t 2)2=5t 1t 2, 代入得a =1.22.(本小题满分12分)如图1,已知抛物线y 2=2px (p >0)的焦点为F ,过F 的直线交抛物线于A ,B 两点.图1(1)求证:1|F A |+1|FB |为定值; (2)求AB 的中点M 的轨迹方程.【解】 设直线AB 的方程为⎩⎪⎨⎪⎧x =p 2+t cos α,y =t sin α(t 为参数,α≠0),代入y 2=2px 整理,得t 2sin 2α-2pt cos α-p 2=0.设A 、B 两点对应的参数分别为t 1、t 2, 则由根与系数的关系,得 t 1+t 2=2p cos αsin 2α,t 1t 2=-p 2sin 2α. (1)1|F A |+1|FB |=1|t 1|+1|t 2|=|t 1|+|t 2||t 1t 2|=|t 1-t 2||t 1t 2|=(t 1+t 2)2-4t 1t 2|t 1t 2|=⎝ ⎛⎭⎪⎫2p cos αsin 2α2+4p 2sin 2α⎪⎪⎪⎪⎪⎪-p 2sin 2α=2p (定值).(2)设AB 的中点M (x ,y ),则M 对应参数为t =t 1+t 22=p cos αsin 2α,∴⎩⎪⎨⎪⎧x =p 2+p cos 2αsin 2α,y =p cos αsin α(α为参数),消去α,得y 2=p ⎝ ⎛⎭⎪⎫x -p 2为所求轨迹方程.。
§2 极坐标系 2.1 极坐标系的概念2.2 点的极坐标与直角坐标的互化1.掌握极坐标的概念,弄清极坐标的结构(建立极坐标的四要素).2.理解广义极坐标下点的极坐标(ρ,θ)与点之间的多对一的对应关系.3.已知一点的极坐标,能在极坐标系中描点,能进行点的极坐标与直角坐标的互化.1.极坐标系的概念 (1)极坐标系的建立.如图,在平面内取一个定点O ,叫作____,从点O 引一条射线Ox ,叫作____,选定一个________和__的正方向(通常取逆时针方向).这样就确定了一个平面极坐标系,简称为________.(2)点的极坐标的规定.①如图,对于平面内任意一点M ,用ρ表示线段OM 的长,θ表示以Ox 为始边、OM 为终边的角,ρ叫作点M 的____,θ叫作点M 的____,有序实数对(ρ,θ)叫作点M 的______,记作M ______.当点M 在极点时,它的极径ρ=__,极角θ可以取______.②为了研究问题方便,极径ρ也允许取负值.当ρ<0时,点M (ρ,θ)的位置可以按下列规则确定:作射线OP ,使∠xOP =θ,在OP 的__________上取一点M ,使|OM |=|ρ|,这样点M 的坐标就是(ρ,θ),如下图:【做一做1-1】在极坐标系中,与点π36⎛⎫ ⎪⎝⎭,重合的点是( ). A .⎝ ⎛⎭⎪⎫3,136π B .⎝⎛⎭⎪⎫3,-π6C .⎝ ⎛⎭⎪⎫3,176πD .⎝⎛⎭⎪⎫3,-56π【做一做1-2】在极坐标系中,与(ρ,θ)关于极轴对称的点是( ).A .(ρ,θ)B .(ρ,-θ)C .(ρ,θ+π)D .(ρ,π-θ) 2.点的极坐标与直角坐标的互化 (1)互化的前提条件.如图,建立一个平面直角坐标系,把平面直角坐标系的原点作为____,x 轴的正半轴作为____,建立极坐标系,并且两种坐标系中取相同的________.(2)互化公式.如上图,设M 是平面内的任意一点,它的直角坐标是(x ,y ),极坐标是(ρ,θ).如果限定ρ取正值,θ∈[0,2π),那么除____外,平面内点的直角坐标与极坐标之间就是一一对应的.①点M 的极坐标(ρ,θ)化为直角坐标(x ,y )的公式是⎩⎪⎨⎪⎧x = ,y = .②点M 的直角坐标(x ,y )化为极坐标(ρ,θ)的公式是⎩⎪⎨⎪⎧ρ2= ,tan θ= .【做一做2-1】点M 的极坐标为⎝ ⎛⎭⎪⎫5,23π,化成直角坐标形式是__________.【做一做2-2】点A 的极坐标为⎝⎛⎭⎪⎫-2,-π3,化成直角坐标形式是__________. 【做一做2-3】点P 的直角坐标为(6,2),化成极径是正值,极角在0到2π之间的极坐标为__________.1.建立极坐标系的意义 剖析:我们已经知道,确定平面内一个点的位置时,有时是依靠水平距离与垂直距离(即“长度”与“长度”,这就是直角坐标系的基本思想)这两个量来刻画,有时却是依靠距离与方位角(即“长度”与“角度”,这就是极坐标系的基本思想)这两个量来刻画.在生活中,如在台风预报、地震预报、测量、航空、航海中,甚至更贴近我们生活的如我们听到的声音,不但有高低之分,还有方向之分,我们能够辨别出声源的相对位置,这些都要用距离和方向来确定一点的位置.有些复杂的曲线,比如说环绕一点作旋转运动的点的轨迹,用直角坐标表示,形式极其复杂,但用极坐标表示,就变得十分简单且便于处理.在应用上有重要价值的等速螺线,它的直角坐标x 与y 之间的关系很难确定,可是它的极坐标ρ与θ却有一个简单的一次函数关系,我们将在后一节的内容中学习极坐标形式下的一些简单曲线方程.总之,使用极坐标是人们生产生活的需要.平面内建立直角坐标系是人们公认的最容易接受并且被经常采用的方法,但它并不是确定点的位置的唯一方法.2.极坐标系下点与它的极坐标对应情况剖析:(1)给定点(ρ,θ),就可以在极坐标平面内确定唯一的一个点M ;(2)给定平面上一点M ,却有无数个极坐标与之对应.原因在于极角有无数个.答案:1.(1)极点 极轴 单位长度 角 极坐标系(2)①极径 极角 极坐标 (ρ,θ) 0 任意值 ②反向延长线【做一做1-1】A 当k ∈Z 时,(ρ,θ),(ρ,θ+2k π),(-ρ,θ+(2k +1)π)表示同一个点.因为13π6=π6+2π,所以点⎝ ⎛⎭⎪⎫3,π6与⎝ ⎛⎭⎪⎫3,13π6表示同一个点,即重合. 【做一做1-2】B 极径为ρ,极角为θ,θ关于极轴对称的角为负角-θ,故所求的点为(ρ,-θ).2.(1)极点 极轴 单位长度 (2)原点 ①ρcos θ ρsin θ ②x 2+y 2y x(x ≠0) 【做一做2-1】⎝ ⎛⎭⎪⎫-52,532 x =5cos 23π=-52,y =5sin 23π=532.所以点M 的直角坐标为⎝ ⎛⎭⎪⎫-52,532.【做一做2-2】(-1,3) 因为点A 的极坐标又可以写成⎝⎛⎭⎪⎫2,2π3,所以x =ρcos θ=2cos 2π3=2×⎝ ⎛⎭⎪⎫-12=-1, y =ρsin θ=2sin2π3=2×32= 3. 所以点A 的直角坐标为(-1,3).【做一做2-3】⎝ ⎛⎭⎪⎫22,π6 ρ=62+22=22,tan θ=26=33,又点P 在第一象限,得θ=π6,因此点P 的极坐标是⎝⎛⎭⎪⎫22,π6.题型一 极坐标系中点的表示【例1】已知点M 的极坐标为⎝⎛⎭⎪⎫5,π3,下列给出的四个坐标中能表示点M 的坐标的是( ).A .⎝ ⎛⎭⎪⎫5,-π3B .⎝ ⎛⎭⎪⎫5,43πC .⎝ ⎛⎭⎪⎫5,-23πD .⎝⎛⎭⎪⎫5,-53π 反思:在极坐标系中,极坐标(ρ,θ)与(ρ,θ+2k π)(k ∈Z )表示同一个点.特别注意,极点O 的坐标为(0,θ)(其中θ可以取任意值).这与直角坐标系中的点与有序实数对一一对应的关系不同,极坐标平面内的点的极坐标可以有无数多种表示.题型二 对称性问题【例2】在极坐标系中,点A 的极坐标为⎝⎛⎭⎪⎫3,π6.(限定ρ>0,0≤θ<2π)(1)点A 关于极轴对称的点的极坐标是__________; (2)点A 关于极点对称的点的极坐标是__________;(3)点A 关于直线θ=π2对称的点的极坐标是__________.反思:在极坐标系中,点(ρ,θ)关于极轴所在直线对称的点的极坐标为(ρ,2k π-θ)(k ∈Z ),关于直线θ=π2对称的点的极坐标为(ρ,2k π+π-θ)(k ∈Z ),关于极点对称的点的极坐标为(ρ,θ+π+2k π)(k ∈Z ).题型三 点的极坐标与直角坐标的互化【例3】(1)把点M 的极坐标⎝ ⎛⎭⎪⎫8,2π3化成直角坐标;(2)把点P 的直角坐标(6,-2)化成极坐标(ρ>0,0≤θ<2π).分析:本题考查的是直角坐标与极坐标的互化公式的应用.反思:由直角坐标化成极坐标时,算出tan θ=-33,仅根据0≤θ<2π,只能得出θ=5π6或θ=11π6,要确定极角,需再根据点所在的象限来判断.答案:【例1】D 与点M 终边相同的极坐标可以表示为⎝⎛⎭⎪⎫5,2k π+π3(k ∈Z ),即极径相等,极角相差2π的整数倍.根据选项,当k =-1时,2k π+π3=-2π+π3=-53π,即⎝ ⎛⎭⎪⎫5,-53π能表示点M . 【例2】(1)⎝ ⎛⎭⎪⎫3,11π6 (2)⎝ ⎛⎭⎪⎫3,7π6 (3)⎝ ⎛⎭⎪⎫3,5π6 通过作图可求解.【例3】解:(1)x =8cos 2π3=-4,y =8sin 2π3=43,因此点M 的直角坐标是(-4,43).(2)ρ=62+-22=22,tan θ=-26=-33,又因为点P 在第四象限,故θ=11π6.因此点P 的极坐标为⎝ ⎛⎭⎪⎫22,11π6. 1在极坐标系中与点A(3,π3-)关于极轴所在的直线对称的点的极坐标是( ). A .2π33⎛⎫ ⎪⎝⎭, B .π33⎛⎫ ⎪⎝⎭, C .4π33⎛⎫ ⎪⎝⎭, D .5π36⎛⎫ ⎪⎝⎭,2在极坐标系中,确定点π26M ⎛⎫- ⎪⎝⎭,的位置,下面方法正确的是( ).A .作射线OP ,使π6xOP ∠=,再在射线OP 上取点M ,使|OM |=2B .作射线OP ,使π6xOP ∠=,再在射线OP 的反向延长线上取点M ,使|OM |=2 C .作射线OP ,使7π6xOP ∠=,再在射线OP 的反向延长线上取点M ,使|OM |=2D .作射线OP ,使π6xOP ∠=-,再在射线OP 上取点M ,使|OM |=23点M 的极坐标为π4,4⎛⎫- ⎪⎝⎭,化为直角坐标为__________.4将下列各点由直角坐标化为极径ρ是正值,极角在0到2π之间的极坐标.(1);(2)(2--,.答案: 1.B 极坐标系中的点(ρ,θ)关于极轴所在直线的对称点的极坐标为(ρ,2k π-θ)(k ∈Z ),利用这个规律即可判断之.与点A ⎝ ⎛⎭⎪⎫3,-π3关于极轴所在直线的对称的点的极坐标可以表示为⎝⎛⎭⎪⎫3,2k π+π3(k ∈Z ),这时只有选项B 满足条件.2.B 本题涉及到极径为负值时的坐标表示.当ρ<0时,表示点(ρ,θ)的方法如下:作射线OP ,使∠xOP =θ.在OP 反向延长线上取一点M ,使|OM |=|ρ|,故B 项正确.3.(22,-22) x =ρcos θ=4cos ⎝ ⎛⎭⎪⎫-π4=4×22=22, y =ρsin θ=4sin ⎝ ⎛⎭⎪⎫-π4=4×⎝ ⎛⎭⎪⎫-22=-22,∴M (22,-22). 4.解:(1)ρ=32+32=23,tan θ=yx =33, 又点(3,3)在第一象限,所以θ=π6.所以点(3,3)的极坐标为⎝ ⎛⎭⎪⎫23,π6. (2)ρ=-2+-232=4,tan θ=y x =-23-2=3,又点(-2,-23)在第三象限,所以θ=4π3.所以点(-2,-23)的极坐标为⎝ ⎛⎭⎪⎫4,4π3.。
高中数学选修4-4极坐标系练习题姓名 班别 成绩一、选择题(每题5分,共50分)1.将点的直角坐标(-2,23)化成极坐标得( ). A .(4,32π) B .(-4,32π) C .(-4,3π) D .(4,3π) 2.极坐标方程 ρ cos θ=sin2θ( ρ≥0)表示的曲线是( ). A .一个圆 B .两条射线或一个圆 C .两条直线 D .一条射线或一个圆3.极坐标方程θρcos +12= 化为普通方程是( ).A .y 2=4(x -1)B .y 2=4(1-x )C .y 2=2(x -1)D .y 2=2(1-x )4.点P 在曲线 ρ cos θ +2ρ sin θ =3上,其中0≤θ ≤4π,ρ>0,则点P 的轨迹是( ). A .直线x +2y -3=0B .以(3,0)为端点的射线C.圆(x -2)2+y =1D .以(1,1),(3,0)为端点的线段5.设点P 在曲线 ρ sin θ =2上,点Q 在曲线 ρ=-2cos θ上,则|PQ |的最小值为( ) A .2B .1C .3D .06.在满足极坐标和直角坐标互的化条件下,极坐标方程θθρ222sin 4+ cos 312=经过直角坐标系下的伸缩变换⎪⎩⎪⎨⎧''y =y x= x 3321后,得到的曲线是( ). A .直线 B .椭圆C . 双曲线D . 圆7.在极坐标系中,直线2= 4π+ sin )(θρ,被圆 ρ=3截得的弦长为( ). A .22B .2C .52D .328.ρ=2(cos θ -sin θ )(ρ>0)的圆心极坐标为( ). A .(-1,4π3) B .(1,4π7) C .(2,4π) D .(1,4π5) 9.极坐标方程为lg ρ=1+lg cos θ,则曲线上的点(ρ,θ)的轨迹是( ). A .以点(5,0)为圆心,5为半径的圆B .以点(5,0)为圆心,5为半径的圆,除去极点 C.以点(5,0)为圆心,5为半径的上半圆 D .以点(5,0)为圆心,5为半径的右半圆 10.方程θθρsin + cos 11= -表示的曲线是( ).A . 圆B .椭圆C . 双曲线D . 抛物线二、填空题(每题5分,共30分) 11.在极坐标系中,以(a ,2π)为圆心,以a 为半径的圆的极坐标方程为 . 12.极坐标方程 ρ2cos θ-ρ=0表示的图形是 . 13.过点(2,4π)且与极轴平行的直线的极坐标方程是 . 14.曲线 ρ=8sin θ 和 ρ=-8cos θ(ρ>0)的交点的极坐标是 . 15.已知曲线C 1,C 2的极坐标方程分别为ρ cos θ =3,ρ=4cos θ (其中0≤θ<2π),则C 1,C 2交点的极坐标为 .16.P 是圆 ρ=2R cos θ上的动点,延长OP 到Q ,使|PQ |=2|OP |,则Q 点的轨迹方程是 . 三、解答题(共70分)17.(10分)求以点A (2,0)为圆心,且经过点B (3,3π)的圆的极坐标方程.18.(12分)先求出半径为a ,圆心为(ρ0,θ0)的圆的极坐标方程.再求出(1)极点在圆周上时圆的方程;(2)极点在周上且圆心在极轴上时圆的方程.19.(12分)已知直线l 的极坐标方程为)(4π+ cos 24θρ=,点P 的直角坐标为(3cos θ,sin θ),求点P 到直线l 距离的最大值及最小值.20.(12分)在极坐标系中,直线l 的方程为πsin()26ρθ-=,曲线C 的方程为4cos ρθ=,求直线l 被曲线C 截得的弦长.21.(12分)在直角坐标系xOy 中,直线1C :x =-2,圆2C :()()22121x y -+-=,以坐标原点为极点,x 轴的正半轴为极轴建立极坐标系。
(1)求1C ,2C 的极坐标方程;(2)若直线3C 的极坐标方程为()4R πθρ=∈,设2C 与3C 的交点为M ,N ,求2C MN 的面积 .22.(12分)在直角坐标系xOy 中,曲线1C 的方程为||2y k x =+.以坐标原点为极点,x 轴正半轴为极轴建立极坐标系,曲线2C 的极坐标方程为22cos 30ρρθ+-=.(1)求2C 的直角坐标方程;(2)若1C 与2C 有且仅有三个公共点,求1C 的方程.参考答案一、选择题 1.A解析:ρ=4,tan θ=3=232--,θ=3π2.故选A . 2.D解析:∵ ρ cos θ=2sin θ cos θ,∴cos θ=0或 ρ=2sin θ,ρ=0时,曲线是原点;ρ>0时,cos θ=0为一条射线,ρ=2sin θ 时为圆.故选D .3.B解析:原方程化为2cos =+θρρ,即x -y x 2 = +22,即y 2=4(1-x ).故选B . 4.D解析:∵x +2y =3,即x +2y -3=0,又∵ 0≤θ ≤4π,ρ>0,故选D . 5. B解析:两曲线化为普通方程为y =2和(x +1)2+y 2=1,作图知选B . 6.D解析:曲线化为普通方程后为13422=+y x ,变换后为圆. 7.C解析: 直线可化为x +y =22,圆方程可化为x 2+y 2=9.圆心到直线距离d =2, ∴弦长=22223-=52.故选C. 8.B解析: 圆为:x 2+y 2-y x 2 + 2=0,圆心为⎪⎪⎭⎫ ⎝⎛2222-,,即) ,(4π71,故选B . 9.B解析: 原方程化为ρ=10cos θ,cos θ>0.∴0≤θ <2π和23π<θ<2π,故选B . 10.C解析:∵1=ρ-ρcos θ+ρsin θ,∴ρ=ρcos θ-ρsin θ+1,∴x 2+y 2=(x -y +1)2,∴2x -2y -2xy +1=0,即xy -x +y =21,即(x +1)(y -1)=-21,是双曲线xy =-21的平移,故选C.二、填空题 11.ρ=2a sin θ.解析:圆的直径为2a ,在圆上任取一点P (ρ,θ), 则∠AOP =2π-θ 或θ-2π, ∵ρ=2a cos ∠AOP , 即2cos 2 = πθρ-a =2a sin θ.12.极点或垂直于极轴的直线.解析:∵ ρ·(ρ cos θ -1)=0,∴ρ=0为极点,ρ cos θ -1=0为垂直于极轴的直线. 13.ρ sin θ =1.解析:2= sin θρ×1 = 4πsin .14.(42,4π3).解析:由8sin θ=-8cos θ 得tan θ=-1.O (第11题)(第12题)ρ>0得⎩⎨⎧θθ cos sin ∴θ=4π3;又由 ρ=8sin4π3得 ρ=42. 15.⎪⎭⎫ ⎝⎛6π32 ,.解析:由 ρ cos θ=3有 ρ=θ cos 3,θcos 3=4cos θ,cos 2θ =43,θ =6π;消去θ 得 ρ2=12,ρ=23. 16.ρ=6R cos θ.解析:设Q 点的坐标为(ρ,θ),则P 点的坐标为⎪⎭⎫⎝⎛θρ ,31,代回到圆方程中得31ρ=2R cos θ,ρ=6R cos θ.三、解答题17.解析:在满足互化条件下,先求出圆的普通方程,然后再化成极坐标方程. ∵A (2,0),由余弦定理得AB 2=22+32-2×2×3×cos 3π=7, ∴圆方程为(x -2)2+y 2=7, 由⎩⎨⎧θρθρsin = cos =y x 得圆的极坐标方程为(ρcos θ-2)2+(ρsin θ)2=7,即 ρ2-4ρ cos θ -3=0.18.(1)解析:记极点为O ,圆心为C ,圆周上的动点为P (ρ,θ), 则有CP 2=OP 2+OC 2-2OP ·OC ·cos ∠COP ,即a 2=ρ2+20ρ-2 ρ·ρ0·cos (θ-θ 0).当极点在圆周上时,ρ0=a ,方程为 ρ=2a cos (θ-θ 0);(2)当极点在圆周上,圆心在极轴上时,ρ0=a ,θ 0=0,方程为 ρ=2a cos θ. 19.解析:直线l 的方程为42=ρ(22cos θ -22sin θ),即x -y =8. ∴点P (3cos θ ,sin θ )到直线x -y =8的距离为28sin cos 3=--d θθ286π+ cos 2=-)(θ,∴最大值为25,最小值为23. 20.因为曲线C 的极坐标方程为=4cos ρθ,>0, <0.所以曲线C 的圆心为(2,0),直径为4的圆.因为直线l 的极坐标方程为πsin()26ρθ-=,则直线l 过A (4,0),倾斜角为π6,所以A 为直线l 与圆C 的一个交点.设另一个交点为B ,则∠OAB =π6.连结OB ,因为OA 为直径,从而∠OBA =π2,所以π4cos 236AB ==.因此,直线l 被曲线C 截得的弦长为23. 21..22.解: (1)由cos x ρθ=,sin y ρθ=得2C 的直角坐标方程为22(1)4x y ++=.(2)由(1)知2C 是圆心为(1,0)A -,半径为2的圆.由题设知,1C 是过点(0,2)B 且关于y 轴对称的两条射线.记y 轴右边的射线为1l ,y 轴左边的射线为2l .由于B 在圆2C 的外面,故1C 与2C 有且仅有三个公共点等价于1l 与2C 只有一个公共点且2l 与2C 有两个公共点,或2l 与2C 只有一个公共点且1l 与2C 有两个公共点. 当1l 与2C 只有一个公共点时,A 到1l 所在直线的距离为2,所以221k =+,故43k =-或0k =.经检验,当0k =时,1l 与2C 没有公共点;当43k =-时,1l 与2C 只有一个公共点,2l 与2C 有两个公共点.当2l 与2C 只有一个公共点时,A 到2l 所在直线的距离为22=,故0k =或43k =.经检验,当0k =时,1l 与2C 没有公共点;当43k =时,2l 与2C 没有公共点. 综上,所求1C 的方程为4||23y x =-+.。