电磁场与电磁波第四版谢处方版思考题目答案
- 格式:doc
- 大小:46.00 KB
- 文档页数:16
第3章 静态电磁场及其边值问题的解(一)思考题3.1 电位是如何定义的?中的负号的意义是什么?答:由静电场基本方程▽×E=0和矢量恒等式可知,电场强度E 可表示为标量函数φ的梯度,即式中的标量函数φ称为静电场的电位函数,简称电位;式中负号表示场强方向与该点电位梯度的方向相反。
3.2“如果空间某一点的电位为零,则该点的电场强度也为零”,这种说法正确吗?为什么?答:不正确。
因为电场强度大小是该点电位的变化率。
3.3“如果空间某一点的电场强度为零,则该点的电位为零”,这种说法正确吗?为什么?答:不正确。
此时该点电位可能是任一个不为零的常数。
3.4 求解电位函数的泊松方程或拉普拉斯方程时,边界条件有何意义?答:边界条件起到给方程定解的作用。
3.5 电容是如何定义的?写出计算电容的基本步骤。
答:两导体系统的电容为任一导体上的总电荷与两导体之间的电位差之比,即其基本计算步骤:①根据导体的几何形状,选取合适坐标系;②假定两导体上分别带电荷+q和-q;③根据假定电荷求出E;④由求得电位差;⑤求出比值3.6 多导体系统的部分电容是如何定义的?试以考虑地面影响时的平行双导线为例,说明部分电容与等效电容的含义。
答:多导体系统的部分电容是指多导体系统中一个导体在其余导体的影响下,与另一个导体构成的电容。
计及大地影响的平行双线传输线,如图3-1-1所示,它有三个部分电容C11、C12和C22,导线1、2间的等效电容为;导线1和大地间的等效电容为;导线2和大地间的等效电容为图3-1-13.7 计算静电场能量的公式和之间有何联系?在什么条件下二者是一致的?答:表示连续分布电荷系统的静电能量计算公式,虽然只有ρ≠0的区域才对积分有贡献,但不能认为静电场能量只存在于有电荷区域,它只适用静电场。
表示静电场能量存在于整个电场区域,所有E≠0区域对积分都有贡献,既适用于静电场,也用于时变电磁场,当电荷分布在有限区域内,闭合面S无限扩大时,有限区内的电荷可近似为点电荷时,二者是一致的。
2.1点电荷的严格定义是什么? 点电荷是电荷分布的一种极限情况,可将它看做一个体积很小而电荷密度很的带电小球的极限。
当带电体的尺寸远小于观察点至带电体的距离时,带电体的形状及其在的电荷分布已无关紧要。
就可将带电体所带电荷看成集中在带电体的中心上。
即将带电体抽离为一个几何点模型,称为点电荷。
2.2 研究宏观电磁场时,常用到哪几种电荷的分布模型?有哪几种电流分布模型?他们是如何定义的? 常用的电荷分布模型有体电荷、面电荷、线电荷和点电荷;常用的电流分布模型有体电流模型、面电流模型和线电流模型,他们是根据电荷和电流的密度分布来定义的。
2,3点电荷的电场强度随距离变化的规律是什么?电偶极子的电场强度又如何呢?点电荷的电场强度与距离r 的平方成反比;电偶极子的电场强度与距离r 的立方成反比。
2.4简述和 所表征的静电场特性 表明空间任意一点电场强度的散度与该处的电荷密度有关,静电荷是静电场的通量源。
表明静电场是无旋场。
2.5 表述高斯定律,并说明在什么条件下可应用高斯定律求解给定电荷分布的电场强度。
高斯定律:通过一个任意闭合曲面的电通量等于该面所包围的所有电量的代数和除以 与闭合面外的电荷无关,即 在电场(电荷)分布具有某些对称性时,可应用高斯定律求解给定电荷分布的电场强度。
2.6简述 和 所表征的静电场特性。
表明穿过任意闭合面的磁感应强度的通量等于0,磁力线是无关尾的闭合线, 表明恒定磁场是有旋场,恒定电流是产生恒定磁场的漩涡源 2.7表述安培环路定理,并说明在什么条件下可用该定律求解给定的电流分布的磁感应强度。
安培环路定理:磁感应强度沿任何闭合回路的线积分等于穿过这个环路所有电流的代数和 倍,即如果电路分布存在某种对称性,则可用该定理求解给定电流分布的磁感应强度。
2.8简述电场与电介质相互作用后发生的现象。
在电场的作用下出现电介质的极化现象,而极化电荷又产生附加电场2.9极化强度的如何定义的?极化电荷密度与极化强度又什么关系? 单位体积的点偶极矩的矢量和称为极化强度,P 与极化电荷密度的关系为 极化强度P 与极化电荷面的密度 2.10电位移矢量是如何定义的?在国际单位制中它的单位是什么 电位移矢量定义为 其单位是库伦/平方米 (C/m 2) 2.11 简述磁场与磁介质相互作用的物理现象? ερ/=∙∇E 0=⨯∇E ερ/=∙∇E0=⨯∇E ⎰⎰=⋅VS dVS d E ρε01 0=⋅∇BJ B 0μ=⨯∇0=⋅∇B J B0μ=⨯∇0μI l d B C 0μ⎰=⋅ P∙∇=-p ρnsp e ∙=P ρE P ED εε=+=0在磁场与磁介质相互作用时,外磁场使磁介质中的分子磁矩沿外磁场取向,磁介质被磁化,被磁化的介质要产生附加磁场,从而使原来的磁场分布发生变化,磁介质中的磁感应强度B 可看做真空中传导电流产生的磁感应强度B 0 和磁化电流产生的磁感应强度B ’ 的叠加,即 2.12 磁化强度是如何定义的?磁化电流密度与磁化强度又什么关系? 单位体积内分子磁矩的矢量和称为磁化强度;磁化电流体密度与磁化强度: 磁化电流面密度与磁化强度: 2.13 磁场强度是如何定义的?在国际单位制中它的单位是什么? 磁场强度定义为: 国际单位之中,单位是安培/米(A/m) 2,14 你理解均匀媒质与非均匀媒质,线性媒质与非线性媒质,各向同性与各向异性媒质的含义么? 均匀媒质是指介电常数 或磁介质磁导率 处处相等,不是空间坐标的函数。
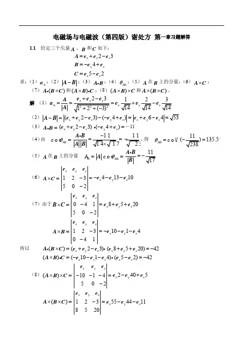
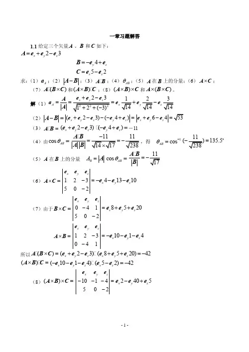
电磁场与电磁波(第四版)谢处方 课后答案第一章习题解答1.1 给定三个矢量A 、B 和C 如下: 23x y z =+-A e e e4y z =-+B e e 52x z =-C e e求:(1)A a ;(2)-A B ;(3)A B g ;(4)AB θ;(5)A 在B 上的分量;(6)⨯A C ;(7)()⨯A B C g 和()⨯A B C g ;(8)()⨯⨯A B C 和()⨯⨯A B C 。
解 (1)23A x y z+-===+-e e e A a e e e A (2)-=A B (23)(4)x y z y z +---+=e e e ee 64x y z +-=e e e (3)=A B g (23)x y z +-e e e (4)y z -+=e e g -11(4)由 cos AB θ===A B A B g ,得 1cos AB θ-=(135.5=o(5)A 在B 上的分量 B A =A cos AB θ==A B B g (6)⨯=A C 123502x y z-=-e e e 41310x y z ---e e e (7)由于⨯=B C 041502xyz-=-e e e 8520x y z ++e e e⨯=A B 123041xyz-=-e e e 1014x y z ---e e e所以 ()⨯=A B C g (23)x y z +-e e e g (8520)42x y z ++=-e e e ()⨯=A B C g (1014)x y z ---e e e g (52)42x z -=-e e(8)()⨯⨯=A B C 1014502xyz---=-e e e 2405x y z -+e e e()⨯⨯=A B C 1238520xy z -=e e e 554411x y z --e e e1.2 三角形的三个顶点为1(0,1,2)P -、2(4,1,3)P -和3(6,2,5)P 。
2.1点电荷的严格定义是什么? 点电荷是电荷分布的一种极限情况,可将它看做一个体积很小而电荷密度很的带电小球的极限。
当带电体的尺寸远小于观察点至带电体的距离时,带电体的形状及其在的电荷分布已无关紧要。
就可将带电体所带电荷看成集中在带电体的中心上。
即将带电体抽离为一个几何点模型,称为点电荷。
2.2 研究宏观电磁场时,常用到哪几种电荷的分布模型?有哪几种电流分布模型?他们是如何定义的? 常用的电荷分布模型有体电荷、面电荷、线电荷和点电荷;常用的电流分布模型有体电流模型、面电流模型和线电流模型,他们是根据电荷和电流的密度分布来定义的。
2,3点电荷的电场强度随距离变化的规律是什么?电偶极子的电场强度又如何呢?点电荷的电场强度与距离r 的平方成反比;电偶极子的电场强度与距离r 的立方成反比。
2.4简述和 所表征的静电场特性 表明空间任意一点电场强度的散度与该处的电荷密度有关,静电荷是静电场的通量源。
表明静电场是无旋场。
2.5 表述高斯定律,并说明在什么条件下可应用高斯定律求解给定电荷分布的电场强度。
高斯定律:通过一个任意闭合曲面的电通量等于该面所包围的所有电量的代数和除以 与闭合面外的电荷无布的电场强度。
2.6简述 和 所表征的静电场特性。
表明穿过任意闭合面的磁感应强度的通量等于0,磁力线是无关尾的闭合线, 表明恒定磁场是有旋场,恒定电流是产生恒定磁场的漩涡源 2.7表述安培环路定理,并说明在什么条件下可用该定律求解给定的电流分布的磁感应强度。
安培环路定理:磁感应强度沿任何闭合回路的线积分等于穿过这个环路所有电流的代数和 倍,即2.8简述电场与电介质相互作用后发生的现象。
在电场的作用下出现电介质的极化现象,而极化电荷又产生附加电场2.9极化强度的如何定义的?极化电荷密度与极化强度又什么关系? 单位体积的点偶极矩的矢量和称为极化强度,P 与极化电荷密度的关系为 极化强度P 与极化电荷面的密度 2.10电位移矢量是如何定义的?在国际单位制中它的单位是什么 电位移矢量定义为 其单位是库伦/平方米 (C/m 2) 2.11 简述磁场与磁介质相互作用的物理现象? ερ/=•∇E 0=⨯∇E ερ/=•∇E 0=⨯∇E VS 0 0=⋅∇BJ B 0μ=⨯∇0=⋅∇B J B0μ=⨯∇0μC P•∇=-p ρnsp e •=P ρE P EDεε=+=0在磁场与磁介质相互作用时,外磁场使磁介质中的分子磁矩沿外磁场取向,磁介质被磁化,被磁化的介质要产生附加磁场,从而使原来的磁场分布发生变化,磁介质中的磁感应强度B 可看做真空中传导电流产生的磁感应强度B 0 和磁化电流产生的磁感应强度B ’ 的叠加,即 2.12 磁化强度是如何定义的?磁化电流密度与磁化强度又什么关系? 单位体积内分子磁矩的矢量和称为磁化强度;磁化电流体密度与磁化强度: 磁化电流面密度与磁化强度: 2.13 磁场强度是如何定义的?在国际单位制中它的单位是什么?2,14 你理解均匀媒质与非均匀媒质,线性媒质与非线性媒质,各向同性与各向异性媒质的含义么? 均匀媒质是指介电常数 或磁介质磁导率 处处相等,不是空间坐标的函数。
电磁场与电磁波第四课后思考题答案第四版全谢处⽅饶克谨⾼等教育出版社2.1点电荷的严格定义是什么?点电荷是电荷分布的⼀种极限情况,可将它看做⼀个体积很⼩⽽电荷密度很的带电⼩球的极限。
当带电体的尺⼨远⼩于观察点⾄带电体的距离时,带电体的形状及其在的电荷分布已⽆关紧要。
就可将带电体所带电荷看成集中在带电体的中⼼上。
即将带电体抽离为⼀个⼏何点模型,称为点电荷。
2.2 研究宏观电磁场时,常⽤到哪⼏种电荷的分布模型?有哪⼏种电流分布模型?他们是如何定义的?常⽤的电荷分布模型有体电荷、⾯电荷、线电荷和点电荷;常⽤的电流分布模型有体电流模型、⾯电流模型和线电流模型,他们是根据电荷和电流的密度分布来定义的。
2,3点电荷的电场强度随距离变化的规律是什么?电偶极⼦的电场强度⼜如何呢?点电荷的电场强度与距离r 的平⽅成反⽐;电偶极⼦的电场强度与距离r 的⽴⽅成反⽐。
2.4简述和所表征的静电场特性表明空间任意⼀点电场强度的散度与该处的电荷密度有关,静电荷是静电场的通量源。
表明静电场是⽆旋场。
2.5 表述⾼斯定律,并说明在什么条件下可应⽤⾼斯定律求解给定电荷分布的电场强度。
关,即在电场(电荷)分布具有某些对称性时,可应⽤⾼斯定律求解给定电荷分布的电场强度。
2.6简述和所表征的静电场特性。
表明穿过任意闭合⾯的磁感应强度的通量等于0,磁⼒线是⽆关尾的闭合线,表明恒定磁场是有旋场,恒定电流是产⽣恒定磁场的漩涡源 2.7表述安培环路定理,并说明在什么条件下可⽤该定律求解给定的电流分布的磁感应强度。
如果电路分布存在某种对称性,则可⽤该定理求解给定电流分布的磁感应强度。
2.8简述电场与电介质相互作⽤后发⽣的现象。
在电场的作⽤下出现电介质的极化现象,⽽极化电荷⼜产⽣附加电场2.9极化强度的如何定义的?极化电荷密度与极化强度⼜什么关系?单位体积的点偶极矩的⽮量和称为极化强度,P 与极化电荷密度的关系为极化强度P 与极化电荷⾯的密度2.10电位移⽮量是如何定义的?在国际单位制中它的单位是什么电位移⽮量定义为其单位是库伦/平⽅⽶(C/m 2)2.11 简述磁场与磁介质相互作⽤的物理现象?ερ/=??E 0=??E ερ/=??E 0=??E ??V S ε00=??B JB 0µ=??0=??B JB 0µ=??CP =-p ρnsp e ?=P ρEP E D εε=+=0在磁场与磁介质相互作⽤时,外磁场使磁介质中的分⼦磁矩沿外磁场取向,磁介质被磁化,被磁化的介质要产⽣附加磁场,从⽽使原来的磁场分布发⽣变化,磁介质中的磁感应强度B 可看做真空中传导电流产⽣的磁感应强度B 0 和磁化电流产⽣的磁感应强度B ’ 的叠加,即 2.12 磁化强度是如何定义的?磁化电流密度与磁化强度⼜什么关系?单位体积内分⼦磁矩的⽮量和称为磁化强度;磁化电流体密度与磁化强度:磁化电流⾯密度与磁化强度: 2.13 磁场强度是如何定义的?在国际单位制中它的单位是什么?2,14 你理解均匀媒质与⾮均匀媒质,线性媒质与⾮线性媒质,各向同性与各向异性媒质的含义么?均匀媒质是指介电常数或磁介质磁导率处处相等,不是空间坐标的函数。
电磁场与电磁波(第四版)课后答案谢处方电磁场与电磁波(第四版)课后答案--谢处方-1-共138页第三章习题答疑3.1真空中半径为a的一个球面,球的两极点处分别设置点电荷q和?q,试计算球赤道平面上电通密度的通量?(如题3.1图所示)。
求解由点电荷q和?q共同产生的电通密度为qr?r?d?[3?3]?赤道平面q4?r?r?err?ez(z?a)qerr?ez(z?a)a{2?}23222324?[r?(z?a)][r?(z?a)]则球赤道平面上电通密度的通量d?ds??d?ezz?0ds?ss?qaqa1?(?1)q??0.293q2212(r?a)023.21911年卢瑟福在实验中使用的是半径为ra 的球体原子模型,其球体内均匀分布有总电荷量为?ze的电子云,在球心有一正电荷ze (z是原子序数,e是质子电荷量),通过实验得到球体内的电通量密度表达式为ze?1r?d0?er,先行证明之。
4??r2ra3?ze解位于球心的正电荷ze球体内产生的电通量密度为d1?er4?r2ze3ze原子内电子云的电荷体密度为4?ra334?ra3电子云在原子内产生的电通量密度则为ba?4?r33zer?0d?e??e2rrc234?r4?raze?1r?故原子内总的电通量密度为d?d1?d2?er题3.3图(a)4??r2ra3?3.3电荷均匀分布于两圆柱面间的区域中,体密度为?cm3,两圆柱面半题3.1图q(?a)a[?]2?rdr?22322232?4?0(r?a)(r?a)a径分别为a和b,轴线距离为c(c?b?a),如题3.3图(a)右图。
谋空间各部分的电场。
求解由于两圆柱面间的电荷不是轴对称原产,无法轻易用高斯定律解。
但可以把半径为a的小圆柱面内看做同时具备体密度分别为??0的两种电荷分布,这样在半径为b的整个圆柱体内具备体密度为?0的光滑电荷分布,而在半径为a的整个圆柱体内则具备体密度为??0的光滑电荷分布,如题3.3图(b)右图。
一章习题解答1.1给定三个矢量、和如下:求:(1);(2);(3);(4);(5)在上的分量;(6);(7)和;(8)和。
解(1) (2)(3)-11 (4)由,得 (5)在上的分量(6) (7)由于所以(8)A B C 23x y z =+-A e e e 4y z =-+B e e 52x z =-C e e A a -A B A B AB θA B ⨯A C ()⨯A B C ()⨯A B C ()⨯⨯A B C ()⨯⨯A B C 23A x y z +-===+-e e e A a e e e A -=A B (23)(4)x y z y z +---+=e e e e e 64x y z +-=e e e =A B (23)x y z +-e e e (4)y z -+=e ecos AB θ===A B A B 1cos AB θ-=(135.5= A B B A =A cos AB θ==A B B ⨯=A C 123502xy z-=-e e e 41310x y z ---e e e ⨯=B C 041502x yz-=-e e e 8520x y z ++e e e ⨯=A B 123041xyz-=-e e e 1014x y z ---e e e ()⨯=A B C(23)x y z +-e e e (8520)42x y z ++=-e e e ()⨯=A B C (1014)x y z ---e e e (52)42x z -=-e e ()⨯⨯=A B C 1014502x y z---=-e e e 2405x y z -+e e e1.2三角形的三个顶点为、和。
(1)判断是否为一直角三角形; (2)求三角形的面积。
解(1)三个顶点、和的位置矢量分别为,,则,,由此可见故为一直角三角形。
(2)三角形的面积 1.3求点到点的距离矢量及的方向。
解,, 则 且与、、轴的夹角分别为1.4给定两矢量和,求它们之间的夹角和在上的分量。
2.1点电荷的严格定义是什么? 点电荷是电荷分布的一种极限情况,可将它看做一个体积很小而电荷密度很的带电小球的极限。
当带电体的尺寸远小于观察点至带电体的距离时,带电体的形状及其在的电荷分布已无关紧要。
就可将带电体所带电荷看成集中在带电体的中心上。
即将带电体抽离为一个几何点模型,称为点电荷。
2.2 研究宏观电磁场时,常用到哪几种电荷的分布模型?有哪几种电流分布模型?他们是如何定义的? 常用的电荷分布模型有体电荷、面电荷、线电荷和点电荷;常用的电流分布模型有体电流模型、面电流模型和线电流模型,他们是根据电荷和电流的密度分布来定义的。
2,3点电荷的电场强度随距离变化的规律是什么?电偶极子的电场强度又如何呢?点电荷的电场强度与距离r 的平方成反比;电偶极子的电场强度与距离r 的立方成反比。
2.4简述和 所表征的静电场特性 表明空间任意一点电场强度的散度与该处的电荷密度有关,静电荷是静电场的通量源。
表明静电场是无旋场。
2.5 表述高斯定律,并说明在什么条件下可应用高斯定律求解给定电荷分布的电场强度。
高斯定律:通过一个任意闭合曲面的电通量等于该面所包围的所有电量的代数和除以 与闭合面外的电荷无关,即 在电场(电荷)分布具有某些对称性时,可应用高斯定律求解给定电荷分布的电场强度。
2.6简述 和 所表征的静电场特性。
表明穿过任意闭合面的磁感应强度的通量等于0,磁力线是无关尾的闭合线, 表明恒定磁场是有旋场,恒定电流是产生恒定磁场的漩涡源 2.7表述安培环路定理,并说明在什么条件下可用该定律求解给定的电流分布的磁感应强度。
安培环路定理:磁感应强度沿任何闭合回路的线积分等于穿过这个环路所有电流的代数和 倍,即如果电路分布存在某种对称性,则可用该定理求解给定电流分布的磁感应强度。
2.8简述电场与电介质相互作用后发生的现象。
在电场的作用下出现电介质的极化现象,而极化电荷又产生附加电场2.9极化强度的如何定义的?极化电荷密度与极化强度又什么关系? 单位体积的点偶极矩的矢量和称为极化强度,P 与极化电荷密度的关系为 极化强度P 与极化电荷面的密度 2.10电位移矢量是如何定义的?在国际单位制中它的单位是什么 电位移矢量定义为 其单位是库伦/平方米 (C/m 2) 2.11 简述磁场与磁介质相互作用的物理现象? ερ/=∙∇E 0=⨯∇E ερ/=∙∇E0=⨯∇E ⎰⎰=⋅VS dVS d E ρε01 0=⋅∇BJ B 0μ=⨯∇0=⋅∇B J B0μ=⨯∇0μI l d B C 0μ⎰=⋅ P∙∇=-p ρnsp e ∙=P ρE P ED εε=+=0在磁场与磁介质相互作用时,外磁场使磁介质中的分子磁矩沿外磁场取向,磁介质被磁化,被磁化的介质要产生附加磁场,从而使原来的磁场分布发生变化,磁介质中的磁感应强度B 可看做真空中传导电流产生的磁感应强度B 0 和磁化电流产生的磁感应强度B ’ 的叠加,即 2.12 磁化强度是如何定义的?磁化电流密度与磁化强度又什么关系? 单位体积内分子磁矩的矢量和称为磁化强度;磁化电流体密度与磁化强度: 磁化电流面密度与磁化强度: 2.13 磁场强度是如何定义的?在国际单位制中它的单位是什么? 磁场强度定义为: 国际单位之中,单位是安培/米(A/m) 2,14 你理解均匀媒质与非均匀媒质,线性媒质与非线性媒质,各向同性与各向异性媒质的含义么? 均匀媒质是指介电常数 或磁介质磁导率 处处相等,不是空间坐标的函数。
第一章习题解答1.1 给定三个矢量A 、B 和C 如下: 23x y z =+-A e e e4y z =-+B e e52x z =-C e e求:(1)A a ;(2)-A B ;(3)A B g ;(4)AB θ;(5)A 在B 上的分量;(6)⨯A C ; (7)()⨯A B C g 和()⨯A B C g ;(8)()⨯⨯A B C 和()⨯⨯A B C 。
解 (1)23A x y z+-===-e e e A a e e e A (2)-=A B (23)(4)x y z y z +---+=e e e ee 64x y z +-e e e (3)=A B g (23)x y z +-e e e (4)y z -+=e e g -11 (4)由cos AB θ===A B A B g ,得1cos ABθ-=(135.5=o (5)A 在B 上的分量 B A =A cos AB θ==A B B g (6)⨯=A C 123502xy z-=-e e e 41310x y z ---e e e (7)由于⨯=B C 041502x yz-=-e e e 8520x y z ++e e e ⨯=A B 123041xyz-=-e e e 1014x y z ---e e e所以 ()⨯=A B C g (23)x y z +-e e e g (8520)42x y z ++=-e e e ()⨯=A B C g (1014)x y z ---e e e g (52)42x z -=-e e(8)()⨯⨯=A B C 1014502x y z---=-e e e 2405x y z -+e e e()⨯⨯=A B C 1238520x y z -=e e e 554411x y z --e e e1.2 三角形的三个顶点为1(0,1,2)P -、2(4,1,3)P -和3(6,2,5)P 。
第一章习题解答1.1给定三个矢量4、〃和C 如下:A=e r +e v 2-e.3B = -e v 4 + e,C =0 5-W.2■' z求:(1) “l; 1 2 kM : (3) A ・B ;(4)0\B :(5)A 在B 上的分量:(6)AxC : (7) A>(BxC)和(Ax 〃)・C :(8) (AxB)xC 和 Ax(BxC)」A c x +e v 2—e.3 1 2 3解⑴ “「PT *+22+(_3)2 7 為《 而7 而 (2) \A-B\ = |(e x +e >.2-e.3)-(-e y 4+e.)| = |e t+e 、6_e :4| = >/53 ⑶ A ・B=(S+©.2-e :3) ・(_e 、.4 + ej = -llA ・B —1111Ax(BxC)= 12 一3 = e x 55-e, 44-eA 1_3 = -e x 10-e.\-eA1A ・(Bxf) =(€x +0尹2 —(e x S + e v 5 + e :20) = —42(A x B^C = (一£」0-0」一冬4)・(乞5-《2) = -42AxB =所以(8) (AxB)xC =务 S J一 10 -1 一 4 50 —2=e r 2-e v 40 + e,5(4)由 cos 。
” = ||||=—=_ ] ----- 得 趴R = cos -1 (— ) = 135.5曲 |A||B| 714x717V238 朋 >/238..,,z .A^B 11A 在B 上的分呈 4 = \A\ COS0A[) = =(5)(6) AxC =(7) 由于B xC =1 = e v 8 + e v 5 + ^.2O一 28 5 201.2 三角形的三个顶点为£(0,1,-2)、P2(4,1,-3)和召(6,2,5) o (1)判断\P\PR是否为一直角三角形:(2)求三角形的而积。
点电荷的严格定义是什么 点电荷是电荷分布的一种极限情况,可将它看做一个体积很小而电荷密度很的带电小球的极限。
当带电体的尺寸远小于观察点至带电体的距离时,带电体的形状及其在的电荷分布已无关紧要。
就可将带电体所带电荷看成集中在带电体的中心上。
即将带电体抽离为一个几何点模型,称为点电荷。
研究宏观电磁场时,常用到哪几种电荷的分布模型有哪几种电流分布模型他们是如何定义的 常用的电荷分布模型有体电荷、面电荷、线电荷和点电荷;常用的电流分布模型有体电流模型、面电流模型和线电流模型,他们是根据电荷和电流的密度分布来定义的。
2,3点电荷的电场强度随距离变化的规律是什么电偶极子的电场强度又如何呢,点电荷的电场强度与距离r 的平方成反比;电偶极子的电场强度与距离r 的立方成反比。
简述 和 所表征的静电场特性 表明空间任意一点电场强度的散度与该处的电荷密度有关,静电荷是静电场的通量源。
表明静电场是无旋场。
表述高斯定律,并说明在什么条件下可应用高斯定律求解给定电荷分布的电场强度。
关,即 在电场(电荷)分布具有某些对称性时,可应用高斯定律求解给定电荷分布的电场强度。
) 简述 和 所表征的静电场特性。
表明穿过任意闭合面的磁感应强度的通量等于0,磁力线是无关尾的闭合线, 表明恒定磁场是有旋场,恒定电流是产生恒定磁场的漩涡源表述安培环路定理,并说明在什么条件下可用该定律求解给定的电流分布的磁感应强度。
安培环路定理:磁感应强度沿任何闭合回路的线积分等于穿过这个环路所有电流的代数和 倍,即 如果电路分布存在某种对称性,则可用该定理求解给定电流分布的磁感应强度。
-简述电场与电介质相互作用后发生的现象。
在电场的作用下出现电介质的极化现象,而极化电荷又产生附加电场极化强度的如何定义的极化电荷密度与极化强度又什么关系 单位体积的点偶极矩的矢量和称为极化强度,P 与极化电荷密度的关系为 极化强度P 与极化电荷面的密度电位移矢量是如何定义的在国际单位制中它的单位是什么ερ/=•∇E 0=⨯∇E ερ/=•∇E 0=⨯∇EVS 00=⋅∇B J B 0μ=⨯∇0=⋅∇B JB0μ=⨯∇0μI l d B C 0μ⎰=⋅P•∇=-p ρn sp e •=P ρ&电位移矢量定义为 其单位是库伦/平方米 (C/m 2)简述磁场与磁介质相互作用的物理现象 在磁场与磁介质相互作用时,外磁场使磁介质中的分子磁矩沿外磁场取向,磁介质被磁化,被磁化的介质要产生附加磁场,从而使原来的磁场分布发生变化,磁介质中的磁感应强度B 可看做真空中传导电流产生的磁感应强度B 0 和磁化电流产生的磁感应强度B ’ 的叠加,即磁化强度是如何定义的磁化电流密度与磁化强度又什么关系(磁化电流面密度与磁化强度: 磁场强度是如何定义的在国际单位制中它的单位是什么 磁场强度定义为: 国际单位之中,单位是安培/米(A/m)2,14 你理解均匀媒质与非均匀媒质,线性媒质与非线性媒质,各向同性与各向异性媒质的含义么均匀媒质是指介电常数 或磁介质磁导率 处处相等,不是空间坐标的函数。
一:1.7什么是矢量场的通量?通量的值为正,负或0分别表示什么意义?矢量场F穿出闭合曲面S的通量为:当大于0时,表示穿出闭合曲面S的通量多于进入的通量,此时闭合曲面S内必有发出矢量线的源,称为正通量源。
当小于0时,小于有汇集矢量线的源,称为负通量源。
当等于0时等于、闭合曲面内正通量源和负通量源的代数和为0,或闭合面内无通量源。
1.8什么是散度定理?它的意义是什么?矢量分析中的一个重要定理:称为散度定理。
意义:矢量场F的散度在体积V上的体积分等于矢量场F在限定该体积的闭合积分,是矢量的散度的体积与该矢量的闭合曲面积分之间的一个变换关系。
1.9什么是矢量场的环流?环流的值为正,负,或0分别表示什么意义?矢量场F沿场中的一条闭合回路C的曲线积分,称为矢量场F沿的环流。
大于0或小于0,表示场中产生该矢量的源,常称为旋涡源。
等于0,表示场中没有产生该矢量场的源。
1.10什么是斯托克斯定理?它的意义是什么?该定理能用于闭合曲面吗?在矢量场F所在的空间中,对于任一以曲面C为周界的曲面S,存在如下重要关系这就是是斯托克斯定理矢量场的旋度在曲面S上的面积分等于矢量场F在限定曲面的闭合曲面积分,是矢量旋度的曲面积分与该矢量沿闭合曲面积分之间的一个变换关系。
能用于闭合曲面.1,11 如果矢量场F能够表示为一个矢量函数的旋度,这个矢量场具有什么特性?=0,即F为无散场。
1.12如果矢量场F能够表示为一个标量函数的旋度,这个矢量场具有什么特性?=0即为无旋场1.13 只有直矢量线的矢量场一定是无旋场,这种说法对吗?为什么?不对。
电力线可弯,但无旋。
1.14 无旋场与无散场的区别是什么?无旋场F的旋度处处为0,即,它是有散度源所产生的,它总可以表示矢量场的梯度,即 =0无散场的散度处处为0,即,它是有旋涡源所产生的,它总可以表示为某一个旋涡,即。
二章:2.1点电荷的严格定义是什么?点电荷是电荷分布的一种极限情况,可将它看做一个体积很小而电荷密度很大的带电小球的极限。
当带电体的尺寸远小于观察点至带电体的距离时,带电体的形状及其在的电荷分布已无关紧要。
就可将带电体所带电荷看成集中在带电体的中心上。
即将带电体抽离为一个几何点模型,称为点电荷。
2.2 研究宏观电磁场时,常用到哪几种电荷的分布模型?有哪几种电流分布模型?他们是如何定义的?常用的电荷分布模型有体电荷,,面电荷,线电荷和点电荷常用的电流分布模型有体电流模型,面电流模型和线电流模型他们是根据电荷和电流的密度分布来定义的2,3点电荷的电场强度随距离变化的规律是什么?电偶极子的电场强度又如何呢?点电荷的电场强度与距离r的二次方成反比。
2.4 简述和所表征的静电场特性表明空间任意一点电场强度的散度与该处的电荷密度有关,静电荷是静电场的通量源。
表明静电场是无旋场。
2.5 表述高斯定律,并说明在什么条件下可应用高斯定律求解给定电荷分布的电场强度。
高斯定律:通过一个任意闭合曲面的电通量等于该面所包围的所有电量的代数和除以与闭合面外的电荷无关,即在电场(电荷)分布具有某些对称性时,可应用高斯定律求解给定电荷分布的电场强度。
2.6 简述和所表征的静磁场特性=0表明穿过任意闭合面的磁感应强度的通量等于0,磁力线是无关尾的闭合线,表明恒定磁场是有旋场,恒定电流是产生恒定磁场的漩涡源2.7 表述安培环路定理,并说明在什么条件下可用该定律求解给定的电流分布的磁感应强度。
安培环路定理:磁感应强度沿任何闭合回路的线积分等于穿过这个环路所有电流的代数和倍即如果电路分布存在某种对称性,则可用该定理求解给定电流分布的磁感应强度。
2.9极化强度的如何定义的?极化电荷密度与极化强度又什么关系?单位体积的点偶极矩的矢量和称为极化强度,P与极化电荷密度的关系为极化强度P与极化电荷面的密度:2.10 电位移矢量定义为:其单位制中它的单位是什么?电位移矢量定义为:其单位是库伦/平方米2.11 简述磁场与磁介质相互作用的物理现象在磁场与磁介质相互作用时,外磁场使磁介质中的分子磁矩沿外磁场取向,磁介质被磁化,被磁化的介质要产生附加磁场,从而使原来的磁场分布发生变化,磁介质中的磁感应强度B可看做真空中传导电流产生的磁感应强度B0 和磁化电流产生的磁感应强度B次的叠加,即2.12 磁化强度是如何定义的?磁化电流密度与磁化强度什么关系?单位体积内分子磁矩的矢量和称为磁化强度磁化电流体密度与磁化强度:J M =▽×M磁化电流面密度与磁化强度:J SM=M×e n2.13 磁场强度是如何定义的?在国际单位制中它的单位是什么?磁场强度定义为:国际单位之中,单位是安培/米2,14 你理解均匀媒质与非均匀媒质,线性媒质与非线性媒质,各向同性与各向异性媒质的含义么?均匀媒质是指介电常数或磁介质磁导率处处相等。
不是空间坐标的函数非均匀媒质是指介电常数或磁介质的磁导率是空间坐标的标量函数线性媒质是与的方向无关是标量和的方向相同各向异性媒质是指和的方向相同2.15 什么是时变电磁场?随时间变化的电荷和电流产生的电场和磁场也随时间变化,而且电场和磁场相互关联,密布可分,时变的电场产生磁场,时变的磁场产生电场,统称为时变电磁场2.16试从产生的原因,存在的区域以及引起的效应等方面比较传导电流和位移电流传导电流和位移电流都可以在空间激发磁场但是两者的本质不同(1)传导电流是电荷的定向运动,而位移电流的本质是变化着的电场。
(2)传导的电流只能存在于导体中,而位移电流可以存在于真空,导体,电介质中(3)传导电流通过导体时会产生焦耳热,而位移电流不会产生焦耳热2.18 麦克斯韦方程组的4个方程是相互独立的么?试简要解释不是相互独立的,其中表明时变磁场不仅由传导电流产生,也是有移电流产生,它揭示的是时变电场产生时变磁场表明时变磁场产生时变电场,电场和磁场是相互关联的,但当场量不随时间变化时,电场和磁场又是各自存在的2.20 什么是电磁场的边界条件?你能说出理想导体表面的边界条件吗?把电磁场矢量 E , D ,B , H 在不同媒质分界面上各自满足的关系称为电磁场的边界条件理想导体表面上的边界条件为:第三章3.1电位是如何定义的?E= 中的负号的意义是什么?DA 由静电场基本方程和矢量恒等式可知,电场强度E可表示为标量函数的梯度,即 E= 试中的标量函数称为静电场的电位函数,简称电位。
试中负号表示场强放向与该点电位梯度的方向相反。
3.2 如果空间某一点的电位为零,则该点的电位为零,这种说话正确吗?为什么?DA 不正确,因为电场强度大小是该点电位的变化率,3.33.4求解电位函数的泊松方程或拉普拉斯方程时,边界条件有何意义?DA 边界条件起到给方程定解得作用。
3.5电容是如何定义的?写出计算电容的基本步骤。
DA 两导体系统的电容为任一导体上的总电荷与两导体之间的电位差之比,即:其基本计算步骤:1根据导体的几何形状,选取合适坐标系。
2假定两导体上分别带电荷+q和-q。
3根据假定电荷求出E.4由求得电位差。
5求出比值C=3.8 什么叫广义坐标和广义力?你了解虚位移的含义吗?广义坐标是指系统中各带电导体的形状,尺寸和位置的一组独立几何量,而企图改变某一广义坐标的力就,就为对印该坐标的广义力,广义坐标发生的位移,称为虚位移3.9 恒定电场基本方程的微分形式所表征的恒定电场性质是什么?恒定电场是保守场,恒定电流是闭合曲线2.10 恒定电场和静电场比拟的理论根据是什么?静电比拟的条件又是什么?理论依据是唯一性定理,静电比拟的条件是两种场的电位都是拉普拉斯方程的解且边界条件相同.3.12如何定义电感?你会计算平行双线,同轴的电感?DA在恒定磁场中把穿过回路的磁通量与回路中的电流的比值称为电感系数,简称电感。
3.13写出用磁场矢量B,H表示的计算磁场能量的公式:3.14 在保持此链接不变的条件下,如何计算磁场力?若是保持电流不变,又如何计算磁场力?两种条件下得到的结果是相同的吗?DA :两种情况下求出的磁场力是相同的3.15什么是静态场的边值问题?用文字叙述第一类、第二类及第三类边值问题。
答:静态场的边值型问题是指已知场量在场域边界上的值,求场域内的均匀分布问题。
第一类边值问题:已知位函数在场域边界面S上各点的值,即给定。
第二类边值问题:已知位函数在场域边界面S上各点的法向导数值,即给定。
第三类边值问题:已知一部分边界面S1上位函数的值,而在另一部分边界S2上已知位函数的法向导数值,即给定3.16用文字叙述静态场解的唯一性定理,并简要说明它的重要意义。
答:惟一性定理:在场域V的边界面S上给定的值,则泊松方程或拉普拉斯方程在场域V内有惟一解。
意义:(1)它指出了静态场边值问题具有惟一解得条件。
在边界面S上的任一点只需给定的值,而不能同时给定两者的值;(2)它为静态场值问题的各种求解方法提供了理论依据,为求解结果的正确性提供了判据。
3.17什么是镜像法?其理论依据的是什么?答:镜像法是间接求解边值问题的一种方法,它是用假想的简单电荷分布来等效代替分界面上复杂的电荷分布对电位的贡献。
不再求解泊松方程,只需求像电荷和边界内给定电荷共同产生的电位,从而使求解简化。
理论依据是唯一性定理和叠加原理。
3.18如何正确确定镜像电荷的分布?答:()所有镜像电荷必须位于所求场域以外的空间中;()镜像电荷的个数,位置及电荷量的大小以满足场域边界面上的边界条件来确定。
3.19什么是分离变量法?在什么条件下它对求解位函数的拉普拉斯方程有用?答:分离变量法是求解边值问题的一种经典方法。
它是把待求的位函数表示为几个未知函数的乘积,该未知函数仅是一个坐标变量函数,通过分离变量,把原偏微分方程化为几个常微分方程并求解最后代入边界条件求定解。
3.20在直角坐标系的分离变量法中,分离常数k可以是虚数吗?为什么?答:不可以,k若为虚数则为无意义的解。
第四章4.1在时变电磁场中是如何引入动态位A和的?A和不唯一的原因何在?答:根据麦克斯韦方程·B=0和 *E= 引入矢量位A和标量位,使得:A和不唯一的原因在于确定一个矢量场需同时规定该矢量场的散度和旋度,而B= A只规定了A的旋度,没有规定A的散度4.2 什么是洛仑兹条件?为何要引入洛仑兹条件?在洛仑兹条件下,A和满足什么方程?答:,称为洛仑兹条件,引入洛仑兹条件不仅可得到唯一的A和,同时还可使问题的求解得以简化在洛仑兹条件下,A和满足的方程:4.3坡印廷矢量是如何定义的?他的物理意义?答:坡印廷矢量S=E*H 其方向表示能量的流动方向,大小表示单位时间内穿过与能量流动方向相垂直的单位面积的能量4.4什么是坡印廷定理?它的物理意义是什么?答:坡印廷定理:它表明体积V内电磁能量随时间变化的增长率等于场体积V内的电荷电流所做的总功率之和,等于单位时间内穿过闭合面S进入体积V 内的电磁能流。