人大附中历届小升初奥数分班考题精选
- 格式:pdf
- 大小:178.05 KB
- 文档页数:12
历年人大附中新初一分班考试数学部分真题人大附中新初一分班考试真题之2001一:计算1.计算:1019211122 217 1322513563-⨯÷+⨯÷2.计算:199419931994199319941994⨯-⨯3.计算:111211150% 145311111 31150%51150%21 33345⎛⎫-+⎪5+⨯⎪⎛⎫⎪++++-⎪⎝⎭⎝⎭4.计算:1313 1112435911⎛⎫⎛⎫⎛⎫-⨯-⨯⋯⨯-⎪ ⎪ ⎪⨯⨯⨯⎝⎭⎝⎭⎝⎭5.计算:121231234122001 223234232001 ++++++++⋯+⨯⨯⨯⋯⨯+++++⋯+6.计算:8.01×1.25+8.02×1.24+8.03×1.23+8.04×1.22+8.05×1.21的整数部分。
二:应用题7.小李计算从1开始的若干个连续自然数的和,结果不小心把1当成10来计算,得到错误的结果恰好是100。
那么小李计算的这些数中,最大的一个是多少?8.从1开始,按1,2,3,4,5 ,… ,的顺序在黑板上写到某数为止,把其中一个数擦掉后,剩下的数的平均数是59017,擦掉的数是多少?9.一个各位数字互不相同的四位数,它的百位数字最大,比十位数字大2 ,比个位数字大1。
还知道这个四位数的4个数字和为27,那么这个四位数是多少?10.有一个等差数列,其中3项a, b, c 能构成一个等比数列;还有3项d, e, f 也能构成一个等比数列,如果这6个数互不相同,那么这个等差数列至少有几项?11.在乘法算式ABCB D ×ABCB D=CCCBCCBBCB 中,相同的字母代表相同的数字,不同的字母代表不同的数字,如果D=9,那么A+B+C 的值是多少?12.如下图,在方框里填数,使得算式成立,那么所有方框内数的和是多少?1 9 8 8× 口 口——————————口 7 口 口 口口 5 口 口 口 口———————————口 口 口 口 口 口13.如果1006266222n ⋯6⋯个个能整除,那么自然数n 的最小值是多少?14.已知:999999999能整除22221n ⋯2个,那么自然数n 的最小值是多少?15.22221239+++⋯+除以3的余数是多少?16.50个互不相同的非零自然数的和为101101,那么它们的最大公约数的最大值是多少?17.自然数n 是48的倍数,但不是28的倍数,并且n 恰好有48个约数(包括1和它本身),那么n 的最小值是多少?18.某正整数被63除商为31,余数为42,那么这个正整数所有质因数的和是多少?19.我们可以找到n 个自然数,用它们的和乘以它们的积,结果恰好等于2001,那么n 的最小值是多少?20.算式1×4×7×10×…×100的计算结果,末尾有多少个连续的0?21.一群林场工人与学生一起在去年冬天挖好的坑中植树,平均1名林场工人1小时可植树15棵,1名学生1小时可植树11颗。
计算:10192111222171322513563-⨯÷+⨯÷计算:111211150%14531111131150%51150%2133345⎛⎫-+ ⎪5+⨯ ⎪⎛⎫ ⎪++++- ⎪⎝⎭⎝⎭计算:13131112435911⎛⎫⎛⎫⎛⎫-⨯-⨯⋯⨯- ⎪ ⎪ ⎪⨯⨯⨯⎝⎭⎝⎭⎝⎭50个互不相同的非零自然数的和为101101,那么它们的最大公约数的最大值是多少?自然数n是48的倍数,但不是28的倍数,并且n恰好有48个约数(包括1和它本身),那么n的最小值是多少?某三位数,若它本身增加3,那么新的三位数的各位数字之和就减少到原来三位数的各位数字之和的13,则所有这样的三位数的和是多少?在8进制中,一个多位数的数字和为68,求除以7的余数为多少?时钟的表盘上任意做n个120o的扇形,每1个都恰好覆盖4个数字,每两个覆盖的数字不全相同,如果从任做的n个扇形中总能恰好取出3个盖住整个钟面的12个数字,求n的最小值。
有一个四位数,它与它的逆序四位数和为9999,例如7812+2187=9999,3636+6363=9999等,那么这样的四位数一共有多少个?灌满一个水池,只打开A管要8小时,只打开B管要10小时,只打开C管要15小时。
开始时只打开A管和B管,中途关掉A管和B管,然后打开C管,前后共用了10小时15分钟灌满了水池,那么,C管打开了多少时间?小明家在颐和园,如果骑车到人大附中,每隔3分钟就能见到一辆332路公共汽车迎面开来;如果步行到人大附中,每隔4分钟能见到一辆332路公共汽车迎面开来。
已知任意两辆332路汽车的发车间隔都是一样的,并且小明骑车速度是小明步行速度的3倍,那么如果小明332路汽车到人大附中的话,每隔几分钟能见到一辆332路公共汽车迎面开来?如下图,直角梯形ABCD中,AB=12,BC=8,CD=9,且三角形AED、三角形FCD和四边形EBFD的面积相等,求三角形DEF 的面积。
第1讲人大附中真题+海淀综合模拟一、填空1.(★★)小虎在计算算式时,由于没有注意到括号,所以计算出来的结果是()399341717+-÷□3737,那么这个算式的正确结果应该是________.【【【【还原小虎计算的过程,即可求出□中的数.由题意可知,,由倒推法得到;3993417173737+-÷=□1343=□再代入正确的算式,得到正确结果为:.()3993417134317521+-÷=2.(★★★)规定与中较大的减去较小的得到的结果记为,a b a b ∆那么 .((((12)3)4)99)100∆∆∆∆∆∆= 【【【【涉及到定义新运算,从简单情况入手在解题中发现规律.如下找规律:,,,,121∆=(12)32∆∆=((12)3)42∆∆∆=(((12)3)4)53∆∆∆∆=……((((12)3)4)5)63∆∆∆∆∆=可见,当式子的最后一个数为偶数时,式子的结果为这个偶数的一半.所以所求的式子的结果为.100250÷=3.(★★★)如果四位数能被73整除,那么商是 .68□□【【【【显然商应该是一个两位数,分别用不同的方法确定商的十位和个位.由于,,,可见商的范围在80到1007380584068⨯=<□□73906570⨯=73100730068⨯=>□□之间.而四位数的个位数是8,除数的个位数是3,所以商数的个位数是6,可能为86和96,经过检验符合条件,所以商是86.73866278⨯=4.(★★★)甲、乙、丙三数分别为603,939,393.某数除甲数所得余数是除乙数所得余数A A 的2倍,除乙数所得余数是除丙数所得余数的2倍(余数不为0).等于 .A A A 【【【【只要根据余数将被除数处理为除以除数的余数相同,解决余数问题就很容易了.根据条件可知是的倍数,同理,也是的倍数,因此是93926031275⨯-=A 9393932153-⨯=A A 1275和153的公约数.因为,所以是51的约数.()1275,15351=A 人大附中由于除甲数所得余数是除丙数所得余数的4倍,所以除甲数所得余数至少为4,那么应A A A A 该大于4,又是51的约数,只可能是51和17.时,除这3个数所得余数分别为42,21,36,不满足要求,51A =时,除这3个数所得余数分别为8,4,2,符合题意,因此.17A =17A =5.(★★)有甲、乙两个圆柱体,如果甲的高和乙的底面直径一样长,则甲的体积就将减少.现25在如果乙的底面直径和甲的高一样长,则乙的体积将增加________倍.【【【【用字母将圆柱体体积表示出来,其中的比例关系就很容易求了.如果甲的高和乙的底面直径一样长,则甲的体积就将减少,即减少为原来的,由于甲的底面2535积不变,可得:.35d h =乙甲乙的底面直径和甲的高一样长,相当于乙的底面直径扩大为原来的倍,那么底面积扩大为原来53的,体积也扩大为原来的倍,即乙的体积增加倍.252539⎛⎫= ⎪⎝⎭2591696.(★★)原计划18个人植树,按计划工作了2小时后,有3个人被调走了,于是剩下的人每小时比原计划多种1棵树,还是按期完成了任务.原计划每人每小时植 棵树.【【【【工程问题中的关系式:每个人的工效人数时间总工作量. 本题条件中,时间和总工作量并⨯⨯=未发生改变.剩下的15个人按期完成了任务,说明他们的人均工效提高为原来的倍,增加了倍,所以186155=15原来每个人的工效为棵/小时.1155÷=7.(★★)一艘轮船从甲地到乙地每小时航行30千米,然后按原路返回,若想往返的平均速度为每小时40千米,则返回时需要每小时航行 千米.【【【【处理涉及到平均量的问题,不妨将平均量化为总量来处理,处理平均速度也可以采用类似方法.这里需要假设路程的量.不妨假设甲地到乙地的全程为120千米,那么按往返的平均速度为40千米,那么所花的总时间应该为小时,而去的时候已经花去了小时,所以返程所花时间应该为1204026÷⨯=120304÷=小时,返回时速度应该为千米/小时.642-=120260÷=二、解答8.(★★★)小唐在一条公路上练习跑步,已知公路上每隔100米有一面红旗,小唐从一面红旗出发始终向一个方向跑,1分钟后他发现离自己最近的红旗距离自己20米,又跑了3分钟后,他已经跑过7面红旗了(不算开始的那面).那么小唐每分钟跑多少米?【【【【题目给出的路程量非常模糊,但我们可以通过这些条件大致确定速度的范围.小唐跑了分钟后跑过7面红旗,所以小唐4分钟跑过的路程介于700米和800米之间,134+=那么小唐1分钟跑过的路程介于和之间,即175米和200米,由于1分钟后他发现离自70048004己最近的红旗距离自己20米,所以小唐1分钟跑过的路程应该是米.20020180-=9.(★★★)如图,三角形的面积是16,是的中点,是的中点,那么四边形ABC D AC E BD 的面积是多少?CDEF F EDC B AF E D C B AG F E D CB A 【【【【四边形是不规则四边形,其面积不好直接求,可以划分为两个三角形,找出其中符合几何模CDEF 型的数量关系.(法1)连接,如中图.EC 因为、是对应边的中点,于是有,.E D ADE EDC BEC ABE S S S S ∆∆∆∆===14BEC ABC S S ∆∆=由燕尾定理可知.又因为,::1:2ABE ACE BF FC S S ∆∆==111133412BEF BEC ABC ABC S S S S ∆∆∆∆==⨯=所以.11520212123ABC ABC ABC CDEF S S S S ∆∆∆=-==四边形(法2)由向下做辅助线,平行于,交于,连接.D AF BC G DF 易知是三角形的中位线,是三角形的中位线,所以,.可得DG AFC EF BDG FG GC =BF FG =,BF FG GC ==所以,11214436DCG DFG ACF ABC ABC S S S S S ∆∆∆∆∆===⨯=可得:,1112212BEF DEF BDF DFG ABC S S S S S ∆∆∆∆∆====所以四边形面积为:.115202126123ABC ABC ABC S S S ∆∆∆+⨯==10.(★★★)有一堆梨和苹果,其中苹果比梨多960个,而梨的个数减去1个以后的5倍还比苹果少一个,那么原本有多少个梨?【【【【将题目中数量之差的关系和倍数关系所涉及到的量统一即可运用差倍问题的解题方法解题.由于“梨的个数减去1个以后的5倍还比苹果少一个”,那么苹果的个数减1等于梨的个数减去1后的5倍,而苹果的个数减1还是比梨的个数减去1多960,根据差倍关系,梨的个数减去1后,还有,所以梨原来有241个.()96051240÷-=一、填空1.(★★)计算: .178.258410.12528⎛⎫--⨯÷= ⎪⎝⎭【【【【原式158.258.50.1252⎛⎫=--÷ ⎪⎝⎭8.2510.125=-÷8.2580.25=-=2.(★★)王燕同学期中考试五科当中数学成绩最好,美术成绩最差.如果不算数学成绩,其余四科的平均分数为分;如果不算美术成绩,另外四科的平均分数是分,那么数学成绩比美80.588术成绩高_____ 分.【【【【不算数学成绩另外四科的分数和为分,如果不算美术成绩,另外四科的分数和为80.54322⨯=分,所以数学成绩比美术成绩高分.884352⨯=35232230-=3.(★★★)某工厂运来一批苹果平分给了两个车间,然后再由各车间平分给每个工人.由于分派出错,一车间的48斤苹果误送到了二车间,结果使得两车间苹果平分到人后,一车间每人比二车间每人少分了8斤苹果,已知一车间31人,二车间23人,那么工厂运来的苹果一共 斤.【【【【设一车间每人斤,则二车间每人分到斤,可列方程:x ()8x +3148223(8)x x +⨯=+818496x =-11x =所以运来的苹果共有斤.311123(118)778⨯+⨯+=4.(★★★)一个数的平方有2001个约数,那么这个数自己最少有 个约数.【【【【,所以这个平方数的质因数分解只有这几种可能:200136672387296932329=⨯=⨯=⨯=⨯⨯,,,或者.于是原来那个数相应的有以下几种可能:2000p 266612p p ⨯228612p p ⨯286812p p ⨯22228123p p p ⨯⨯,,,或者.各种可能对应的约数个数为1001,1000p 33312p p ⨯114312p p ⨯143412p p ⨯1114123p p p ⨯⨯,,,,所以这个数最少有360个约数.2334668⨯=1244528⨯=1535525⨯=21215360⨯⨯=5.(★★★★)有一个三位数,最小的三个约数的和是11,问这样的数共有 个.【【【【最小的三个约数自然包括1,另外两个约数的和是10,可能的情况有:2和8,3和7,4和6,显然第一种和第三种情况下还有更小的约数,所以最小的三个约数是1、3、7,所以这个数是的倍数,但不能是2、5的倍数(否则最小的三个约数中不可能有7).()3,721=三位数中21的倍数有、……,共个数,215⨯216⨯2147⨯475143-+=其中既是21的倍数又是2的倍数的有、、……,共21个,216⨯218⨯2110⨯2146⨯既是21的倍数又是5的倍数的有、、……,共9个,215⨯2110⨯2115⨯2145⨯是21、2、5共同倍数的有、、、,共4个,2110⨯2120⨯2130⨯2140⨯根据容斥原理,这样的数一共有个.()43219417-+-=二、解答6.(★★★)某乡水电站按户收取电费,具体规定是:如果每月用电不超过24度,就按每度9分钱收费;如果超过24度,超出的部分按每度2角钱收费.已知在某月中,甲家比乙家多交了电费9角6分钱(用电按整度计算),问甲、乙两家各交了多少电费?【【【【由于用电按整数度计算,如果甲、乙两家用电均超过24度,那么他们两家的电费差应是2角钱的整数倍;如果甲、乙两家用电均不超过24度,那么他们两家的电费差应是9分钱的整数倍.现在9角6分(96分)既不是2角钱的整数倍,又不是9分钱的整数倍,那么只能是一家超过了24度,另一家没有超过24度.由于甲家比乙家用的多,所以甲家的用电超过了24度,乙家的用电不超过24度.设甲家用了度电,乙家用了度电,有,由于96和都是3的倍数,()24x +()24y -20996x y +=9y 所以也是3的倍数,又不超过4,得,.20x x 3x =4y =即甲家用了27度电,乙家用了20度电,那么乙家应交电费分元8角,则甲家交了209180⨯=1=分元7角6分.18096276+=2=即甲家交电费2元7角6分, 乙家交电费1元8角.7.(★★★★)甲、乙两车分别从相距180千米的,两地同时出发相向而行,两车在距离地A B A 80千米处相遇.若出发半个小时后甲车突然提高的速度,那么两车恰好在,两地中点50%A B 相遇.如果出发后20分钟甲车把速度变为原来的一半,那么相遇地点将在哪里?【【【【甲、乙两车分别从相距180千米的,两地同时出发相向而行,两车在距离地80千米处相遇,A B A 说明两车在相同时间内分别行驶了80千米和100千米,两车的原速度比为.80:1004:5=甲车提高的速度后两车的速度比为,但是在出发后相同时间内,甲、乙两车行驶了相等50%6:5的距离(同时到达中点),这就是说甲的平均速度和乙的速度相等,由于,可见甲以()4625+÷=乙速度的(即原速度)行驶的时间和以乙速度的(提速后的速度)行驶的时间相等,所以甲以乙4565速度的行驶的时间也是半小时,两车以第二种方式相遇所用的时间为1小时,乙的原速度为65千米/小时,甲的原速度为千米/小时.1802190÷÷=905472÷⨯=以第三种方式相遇,甲出发20分钟后已行驶千米,乙行驶了千米,然后20722460⨯=20903060⨯=甲以36千米/小时的速度行驶,还要过小时两车才相遇,相遇点到()()180243090361--÷+=的距离为千米,到的距离为千米.A 362460+=B 3090120+=另外,对于甲、乙原来的速度,也可以用方程来求.设乙车原来的速度为千米/小时,甲车的速5x 度为千米/小时,提速后甲车的速度为千米/小时,这样根据第二种相遇情况,两车同时到达4x 6x 中点所花的时间相等,可列出方程:90900.540.556x x x-⨯=+解得,所以乙车原来的速度为90千米/小时,甲车原来的速度为72千米/小时.18x =8.(★★★)阴影部分条纹由两个平行四边形和两个矩形交叉组成,线段的长度如图所示,那么阴影部分条纹的面积是多少?13【【【【想象一下如果该图形中所涉及的线段在符合题目条件的范围内滑动,它们交叉的四个平行四边形面积是否会发生改变.这道题目中的阴影部分面积由两条横纹面积加上两条斜纹面积构成,面积大小等于两条斜纹(平行四边形)面积加上两条横纹(长方形)面积之和再减去重叠的四个小平行四边形的面积.注意到,这4个小平行四边形的底和斜纹的底相等,高和横纹的宽相等,因此这4个小平行四边形的面积容易计算.两条斜纹的面积和为,两条横纹的面积等于,四个小平行四21531575⨯+⨯=125325100⨯+⨯=边形的面积之和为,所以阴影部分的面积为.1213323320⨯+⨯+⨯+⨯=7510020155+-=9.(★★★)请写出所有这样的三位数,它们的各位数字非零且互不相等,把它的各个数字调换顺序得到的5个三位数的平均数恰好等于原来的三位数.【【【【对任意三位数,把它的各个数字调换顺序得到、、、、,这5个数的平均数abc acb bac bac cab cba 等于原来的三位数,所以包含原来的三位数在内的6个三位数的平均数也等于原来的三位数.而这6个三位数的和是,所以它们的平均数等于,由此可列出方程:()222a b c ++⨯()37a b c ++⨯,化简为.()3710010a b c a b c ++⨯=++734a b c =+由于等号两边除以7的余数相同,所以,则,由于3与7互()340mod 7b c +≡()330mod 7b c -≡质,可化为,在数字1~9中,只有1和8、2和9被7除同余,所以一共只有种()mod 7b c ≡22⨯情况,它们是:481a b c =⎧⎪=⎨⎪=⎩518a b c =⎧⎪=⎨⎪=⎩592a b c =⎧⎪=⎨⎪=⎩629a b c =⎧⎪=⎨⎪=⎩所以符合条件的三位数有481、518、592、629.10.(★★★)小唐的书架分三层,放有数学、语文、英语三种图书.已知每层放18本书,且三层的书加起来数学、语文、英语也恰各有18本.若第一层的数学书比第二层的英语书少3本,第三层的语文书比英语书少5本.那么第一层的语文书和第三层的语文书哪个多?多多少?【【【【如图列成表,每行每列的和都是18,设第一层的数学书有本,第三层的语文书有本,则可以填x y 出整张表:层数数学语文英语一x 8y +10x y --二52y x +-102y -3x +三132y -y 5y +所以第一层的语文书比第三层的语文书多,多8本.1.(★★)计算: .23214.831.5127253⎡⎤⎛⎫+-⨯÷= ⎪⎢⎥⎝⎭⎣⎦【【【【原式2328328314.87252258⎛⎫=+⨯-⨯⨯ ⎪⎝⎭9242314.825258⎛⎫=+-⨯ ⎪⎝⎭316.8 6.38=⨯=2.(★★)小明参加了若干次考试,在最后一次考试时他发现:如果这次考试得97分,那么他的平均分数是90分;如果得73分,那么他的平均分数是87分.小明之前一共已经参加了______次考试.【【【【(法1)由题意知,如果这次考试小明的考分增加分,那么平均分增加分,所977324-=90873-=以他总共参加了次考试.之前已经参加过7次考试.2438÷=(法2)设之前一共参加了次考试,那么他过去的考试总分有两种方式可以表达:和x ()90197x +-,所以,解得.()87173x +-()()9019787173x x +-=+-7x =3.(★★)小张和小王分别从甲、乙两村同时出发步行,1小时15分后,小张走了甲、乙两村间的距离的一半还多千米,此时与小王相遇.小王的速度是千米/小时,那么小张的速度是0.75 3.7多少?【【【【1小时15分后,小张比小王多行走了千米,所以小张比小王每小时多行0.752 1.5⨯=千米,那么小张的速度为千米/小时.151.51 1.260÷= 3.7 1.2 4.9+=4.(★★★)甲、乙两瓶浓度未知的酒精溶液分别含纯酒精200克和450克,如果把它们均匀混合(忽略体积变化),则混合后的浓度比原来甲瓶的浓度高,但比原来乙瓶的浓度低,问混7%14%和后的浓度是多少?【【【【由混合后的浓度比原来甲瓶的浓度高,但比原来乙瓶的浓度低,根据浓度三角,混合前甲、7%14%乙两瓶溶液的质量比为,所以混合前的浓度比为,而浓度差为14%:7%2:1=200450:2:921=,所以乙瓶的浓度为,混合后的浓度14%7%21%+=()21%92927%÷-⨯=为.27%14%13%-=点燃一盏油灯有一个年轻的学生怕麻烦老师,所以迟迟不敢再问问题。
第一讲计算与几何✧分班讲义由各校分班考试题及点招题汇总而来;✧例题平均难度比各分班考试题要大;✧本讲义不设课后练习,但例题较多,老师可以选择讲授,将剩余题目作为课后练习;1.计算:12744 76511 1.857979⎛⎫⎛⎫++÷++⎪ ⎪⎝⎭⎝⎭【答案】42.(1)解方程组:99910022991______ 10019973011______ x y xx y y-==⎧⎧⎨⎨-==⎩⎩,【答案】5,2(2)已知x、y满足方程组76()130,72()10x x yy x y+-=⎧⎨--=⎩则x-y的值是().【答案】83.一个分数的分子与分母之和为25,将它化为小数后形如0.38…,则这个分数的分母是().【答案】184.下面几个分数中不能化成有限小数的是()A.512B.1325C.1435D.5265【答案】A5.1232433213331 123123332333333333333333333⎛⎫⎛⎫÷++++-+++⎪ ⎪⎝⎭⎝⎭【分析】原式12143332331 11(()() 332333333333333333333 =÷+-+-++-166332111332166551 333333333333333333111=++++=+=个计算教师必读6.已知11111611616A B C C -=+++++其中A 、B 、C 都是大于0且互不相同的自然数,则(A +B )÷C =___.【分析】根据题意,容易解出1191112286166-=++,所以137111911A B C C+=+++,而11B C C ++大于1,所以1A =,同理可知,5,6B C ==,则()1A B C +÷=7.计算:121231234122001223234232001+++++++++⨯⨯⨯⨯++++++ 【分析】先进行通项归纳:(1)12(1)12(2)(1)23(2)(1)122n n n n n n n n n n n n n n ++++++===⨯+-++++--+ ,所以,原式2334452001200214253620002003⎛⎫⎛⎫⎛⎫⎛⎫=⨯⨯⨯⨯⨯⨯⨯⨯ ⎪ ⎪ ⎪ ⎪⎝⎭⎝⎭⎝⎭⎝⎭ 2342001345200212320004562003⎛⎫⎛⎫=⨯⨯⨯⨯⨯⨯⨯⨯⨯ ⎪ ⎪⎝⎭⎝⎭ 36003200120032003=⨯=8.计算:621739458739458378621739458378739458126358947358947207126358947207358947⎛⎫⎛⎫⎛⎫⎛⎫++⨯++-+++⨯+ ⎪ ⎪ ⎪ ⎪⎝⎭⎝⎭⎝⎭⎝⎭【分析】经还原整理得:原式=6213789126207⨯=.9.计算:35737123234345181920++++⨯⨯⨯⨯⨯⨯⨯⨯ .【分析】原式=1223341819123234345181920+++++++⨯⨯⨯⨯⨯⨯⨯⨯111111123341920132417191820111111122021192201131760⎛⎫⎛⎫=++++++++ ⎪ ⎪⨯⨯⨯⨯⨯⨯⨯⎝⎭⎝⎭⎛⎫⎛⎫=-+⨯-+- ⎪ ⎪⎝⎭⎝⎭=10.如图,P 为平行四边形ABCD 外一点,已知三角形PAB 和三角形PCD 的面积分别为7平方厘米和3平方厘米,平行四边形ABCD 的面积为平方厘米.PD CBA NMPDCBA 【分析】设P 到AB 的距离为1h ,P 到CD 的距离为2h ,则平行四边形高12h h h =-再设AB=CD=a ,则有1117142ah ah =⇒=;211362ah ah =⇒=则ABCD 的面积=1212()1468ah a h h ah ah =-=-=-=11.如图,在ABC ∆中,D 为BC 中点,E 为AB 上一点,且13BE AB =.已知四边形BDME 的面积为35,那么三角形ABC 的面积为______.【分析】做辅助线如右图构造燕尾模型;根据两个线比标分数如图所示,则有4335530150a a a a +=⇒=⇒=12.如图,两个长方形大小相同,长和宽分别为12和8,求阴影部分的面积.812812【分析】如右图所示,连接AC .871DC =-=;根据勾股定理:22222AC AD DC AB BC =+=+,所以2222121881BC =+-=⇒9BC =.几何则四边形ABCD 的面积等于11121894222⨯⨯+⨯⨯=,阴影部分的面积为1284254⨯-=.13.如图所示,AC 和DF 平行,在AC 和DF 上各取点B 和点E .设AE 和BD 的交点为G ,CE 和BF的交点为H ,如果HC 的长度是EH 的1.5倍,三角形ADG 的面积是210cm ,三角形CEF 的面积是220cm ,四边形BGEH 的面积2cm .G HD E FA B C【分析】连接BE ,则有10BGE AGD S S ∆∆==,而BHF CHBS S ∆∆=:3:2CH EH =320125CHB S ∆=⨯=12BHF S ∆∴=101222BGEH S ∴=+=四边形 A B CD E FG H14.如图:已知在梯形ABCD 中,上底是下底的23,其中F 是BC 边上任意一点,三角形AME 、三角形BMF 、三角形NFC 的面积分别为14、20、12.求三角形NDE的面积.【分析】如图,设上底为2a ,下底为3a ,三角形ABE 与三角形ABF 的高相差为h .由于20146ABF ABE BMF AME S S S S ∆∆∆∆-=-=-=,所以1262ah ⨯=.即6ah =.又11336922CDE CDF DEN CFN S S S S ah ∆∆∆∆-=-=⨯=⨯⨯=,所以12921DEN S ∆=+=.15.如图,在正方形ABCD 中,E 、F 分别在BC 与CD 上,且2CE BE =,2CF DF =,连接BF ,DF ,相交于点G ,过G 作MN ,PQ 得到两个正方形MGQA 和正方形PCNG ,设正方形MGQA 的面积为1S ,正方形PCNG 的面积为2S ,则12:S S =________.QPN MABC D E FGQPNMABCD E FG【分析】做辅助线如右图根据“金字塔”相似易得:2:3EF BD =;再根据“沙漏”相似易得:2:3EG DG =;再根据另一“沙漏”易得:2:3PG QG =,即正方形的边长之比为2:3,则面积之比应为4:916.长方形ABCD 被分成四块甲、乙、丙、丁.其面积关系如下:甲+乙=162平方厘米;乙+丙=208平方厘米;丙+丁=126平方厘米;已知c 与a 的长度之差为4厘米,请问d 与b 的长度之差是多少?dc ba丁丙乙A 甲DCB【分析】根据题意,可得甲+乙+丙+丁=162+126=288.由于乙+丙=208,则甲+丁=288-208=80;在CD 上取点E ,使CE=AH=a ,过E 作平行线EF.则阴影部分EFGH=208-80=128平方厘米.因为c-a=4.所以AD=128÷4=32.对应的长方形的宽AB 为288÷32=9.同理,在BM 上取一点Q ,使得BQ=ND ,这样QM 即为d 与b 的差.而甲+乙的面积较丙+丁的面积大162-126=36平方厘米.即阴影部分PNQM 的面积为36平方厘米.而AB=9.所以QM=36÷9=4.即d 与b 的差为4厘米.H G Q P N MFE a 4BCD 甲A乙丙丁a b d17.在一个棱长为8的立方体上切去一个三棱柱(如图),那么表面积减少().【答案】2834818.在图中,红色部分的面积________阴影部分的面积.(填“>”、“<”或“=”)【分析】因为,大圆半径R 等于小圆半径r 的2倍,即2R r =,所以,大圆面积22π4πR r ==,小圆面积2πr =,所以,大圆面积4=个小圆面积.因为4S S S S =-⨯+大圆小圆阴影部分红色部分,4S S =⨯大圆小圆,所以S S =阴影部分红色部分.19.已知三角形ABC 是直角三角形,4AC =厘米,2BC =厘米,求阴影部分的面积.CBA【分析】ABCS S S S ∆=+-阴影大半圆小半圆2214121ππ24 2.5π4 3.8522222⎛⎫⎛⎫=⨯+⨯-⨯⨯=-= ⎪ ⎪⎝⎭⎝⎭(平方厘米).第二讲数论与数字谜1.小红、小明二人在讨论年龄,小红说:“我比你小,当你像我这么大时,我的年龄是个质数,”小明说:“当你长到我这么大时,我的年龄也是个质数.”小红说:“我发现现在咱俩的年龄和是个质数的平方.”那么小明今年()岁.(小明今年年龄小于31岁,年龄均为整数岁)【答案】162.将小于36的11个质数分别填入下列的方格内,使得A 是质数.A 最小是几?A +++++=+□□□+□□□□+□+□□□【分析】根据题意,设yA x=,得Ax y =,因()1160A x x y +=+=,显然A+1是160的约数,若A=3,则16040112931x ===++,12023571317192331y ==++++++++3.对四位数abcd ,若存在质数p 和正整数k ,使k a b c d p ⨯⨯⨯=,且5p a b c d p +++=-,求这样的四位数的最小值,并说明理由.【分析】因为2250-<,33522-=,555-太大,所以3p =.3k a b c d ⨯⨯⨯=,显然,,,a b c d 中不含3以外的质因子,只能为1,3,9.观察可知恰有139922+++=,所以最小的这样的四位数是1399.4.一个自然数的3次方恰好有100个约数,那么这个自然数本身最少有()个约数.【分析】3次方数质因数的指数都是3倍数,则指数加1后除以3余1100=1003993334x a x a ⇒=⇒=⇒个100=4×25332482918x a b x ab ⇒=⇒=⇒⨯=个100=10×10399334416x a b x a b ⇒=⇒=⇒⨯=个5.一个自然数,加上4后就可表示3个连续的3的倍数的和,加上3后就可表示成4个连续的4的倍数之和,那么它最小需要加()后才能表示成6个连续的6的倍数之和.【分析】3个连续3倍数和应为9倍;4个连续4倍数和应为8倍;6个连续6倍数和应为18倍;则这个自然数除以9余5,除以8余5,则该数为725a +;其除以18也余5,则最小需要加13才行6.已知a,b,c 是三个自然数,且a 与b 的最小公倍数是60,a 与c 的最小公倍数是270.求b 与c 的最小公倍数.数论【分析】显然|(60,270)=30=235a ⨯⨯,而222333602352|23|[,]2702353|b b c c⎧=⨯⨯⇒⎪⇒⨯⎨=⨯⨯⇒⎪⎩则有23[,]23108b c =⨯=或23[,]235540b c =⨯⨯=7.一棵树木,2009年树龄是59岁,如果将这棵树木的树龄作为分子,当年的公元纪元年号作为分母写成分数,如2005年这棵树木的树龄是55岁,写成分数是552005,那么,这棵树木树龄从1岁至59岁,可以写出59个分数,其中最简分数有多少个?【分析】由题意可知,分子与分母差总为1950;设树龄为a ,则要求1950aa +中()(),19501,19501a a a +=⇒=,因为2195023513=⨯⨯⨯所以a 不是2,3,5,13的倍数.共14个数符合条件:1,7,11,17,19,23,29,31,37,41,43,47,49,538.已知238=1444,像1444这样能表示为某个自然数的平方,并且末3位数字为不等于0的相同数字,我们就定义为“好数”.(1)请再找出一个“好数”.(2)讨论所有“好数”的个位数字可能是多少?(3)如果有一个好数的末4位数字都相等,我们就称之为“超好数”,请找出一个“超好数”,或者证明不存在“超好数”.【分析】(1)210381077444=(2)平方数的个位只能是0,1,4,5,6,9考虑个位为1,则末两位11除以4余3,不能成为平方数;考虑个位为5,则末两位55除以4余3,不能成为平方数;考虑个位为6,则末三位666除以8余2,不能成为平方数;考虑个位为9,则末两位99除以4余3,不能成为平方数;可见,好数的个位只能是4;(3)末四位4444除以16余12,不能成为平方数因此不存在超好数9.一个自然数在四进制表示当中的各位数字之和是5,在五进制表示当中的各位数字之和是4,那么这个自然数除以3的余数是(),满足要求的最小自然数是(十进制表示)().【分析】四进制数码和为5,则除以3的余数等价于数码和5除以3的余数,也就是2;同理,五进制数码和为4,则除以4的余数等价于数码和4除以4的余数,也就是0;验证符合条件的最小的数8:48(20)=,舍去;验证8+12=20:420(110)=,舍去;验证20+12=32:432(200)=,舍去;验证32+12=44:4544(230)(134)==,舍去;验证44+12=56:4556(320)(211)==,符合要求.10.在下图的方格中填入合适的数,使每一行都为完全平方数,则最后结果为()【答案】1649784⨯=11.在下图所示的写有数字1的加法算式中,不同的汉字代表不同的数字,只有“仁”与“人”代表的数字相同,那么“仁华学校”代表的四位数字最小可能是().【分析】“人”只能为1,进而推知“大”只能为0,则“仁华学校”理论最小值为1234,经验证成立.12.已知123(2)n n ++++> 的和的个位数为3,十位数为0,则n 的最小值是【分析】(1)1232n n n +++++=的个位为3,则(1)n n +的个位为6,则n 的个位只能为2或71213,1718,2223,2727,3233,3738......⨯⨯⨯⨯⨯⨯经试,当37n =时符合条件.3738123377032⨯++++== .13.将数字1至9分别填入图中所示竖式的方格内使竖式成立(每个数字恰好使用一次),那么加数的四位数最小是.【分析】加数的数字和为46,而和数的数字和为10,说明运算中共4个进位.因为百位向千位数字谜进了1位,个位只能进1位()7892428++=<,所以十位向百位进了2位.因此三个个位数字之和为18,三个十位数字之和为19,三个百位数字之和为8.不难构造得出四位数最小为1125.14.下表中,A 、B 、C 、D 、E 、F 、G 、H 、M 各代表一个互不相同的非零数字,其中A +B =14,M ÷G =M -F =H -C ,D ⨯F =24,B +E =16,那么H 代表_________;A B C D E F GHM【分析】根据A+B=14,B+E=16,得到B=9,A=5,E=7,向下分析即可如图填写:59187324615.将0~9这十个数字分别填入下面算式的□内,每个数字只能用一次;那么满足条件的正确填法共有种.□+□□+□□□=□□□□【分析】设这个算式为A BC DEF GHIJ ++=,易见1G =,9D =,0H =.910AB C E F IJ+根据弃九法,易得加数数字和为36,和的数字和为9,则I+J=8=2+6=3+5=5+3=6+2⑴2I =且6J =时,113847B E +==+=+,对应的457358A C F ++=++=++.2类.⑵3I =且5J =时,81248B +==+,对应的267A C F ++=++.1类.⑶5I =且3J =时,1468B E +==+,对应的247A C F ++=++.1类.⑷6I =且2J =时,1578B E +==+,对应的345A C F ++=++.1类.对于以上每类,B ,E 可以调换,A ,C ,F 可以调换;所以,正确的填法共有:52!3!60⨯⨯=种.第三讲应用题(含行程)1.妈妈买来一箱桔子,若每天比计划多吃一个,则比计划少吃2天;若每天比计划少吃一个,则计划的时间过去后,还剩12个,那么这一箱桔子共()个?【答案】602.有一个分数,如果分子减1,那么这个分数就变为13,如果分母减1,那么这个分数就变为12,那么这个分数是______.【分析】分子减1与分母减1之后,约分之前,分子分母的和是不变的,因此13=39,14=28,说明之前的分数是49.3.有两块重量相同的铜锌合金.第一块合金中铜与锌质量比为2:5,第二块合金中铜与锌的重量比是1:3.现在把这两块合金铸成一块大的.求合铸所成的合金中铜与锌的重量之比.【分析】设每块合金的重量为“28”,则第一块合金中有铜“8”,有锌“20”;第二块合金中有铜“7”,有锌“21”.两块合金熔在一起后铜与锌的重量比为(87):(2021)15:41++=4.某俱乐部男、女会员的人数比是3︰2,分为甲、乙、丙三组.已知甲、乙、丙三组的人数比是10︰8︰7,甲组中男、女会员的人数比是3︰1,乙组中男、女会员的人数比是5︰3.求丙组中男、女会员的人数比.【分析】设共有男会员30份,女会员20份.则甲组有20份,男会员15份,女会员5份;乙组有人16份,男会员10份,女会员6份.所以丙组有30-15-10=5份男会员;20-5-6=9份女会员.男女会员人数比为5:9.5.民航规定:乘坐飞机普通舱的旅客每人最多可免费携带20千克行李,超过部分每千克按飞机票价的1.5%购买行李票.小芳的父亲出差带了40千克重的行李乘飞机,机票和行李费共付了1404元.请问:小芳的父亲购买的普通舱机票的票价是多少?【分析】设机票票价是x 元,则有()4020 1.5%1404x x +-⨯=解得1080x =应用题6.某小学租了汽车旅游,出租汽车公司规定:一辆车满30人,往返车费为500元,每多出1人,增加车费10元.(1)照这样计算,他们平均每人的车费15元.问有多少人乘坐这辆车?(2)为保障安全,如果限定超出人数不超过5人,那么平均每人的车费最少要多少元?(精确到0.01元)【分析】(1)设多出30人的人数为x 人,则可列方程()153050010x x +=+⇒10x =,所以乘车人数有301040+=人(2)()500503515.72+÷≈(元)7.学校组织老师进行智力竞赛,共20道题,答对一题得5分,不答不给分,答错扣2分,已知所有老师的总分为600多分,且男老师总分为女老师总分的2倍多1分,答对总题数为答错总数的3倍少1题.又知每人恰好有1道或2道题未答.求男老师的总分为多少?【分析】设女老师得分为a ,则男老师得分为21a +,则有60031700200232a a <+<⇒≤≤设男老师做错b 题,则做对31b -题,则有:13215(31)232ba b b a +=--⇒=-当b=32时,a=205,2a+1=411,此时男老师对错共127道,7人有20712713⨯-=题未答;当b=34时,a=218,2a+1=417,此时男老师对错共135道,7人有2071355⨯-=题未答;当b=36时,a=231,2a+1=463,此时男老师对错共143道,8人有20814317⨯-=题未答;根据每人恰好有1道或2道未答可知,男老师总分411分符合要求.8.康师傅加工一批零件,加工720个之后,他的工作效率提高了20%,结果提前4天完成任务;如果康师傅从一开始就把工作效率提高12.5%,那么也可以提前4天完成任务.这批零件共有多少个?【分析】若一开始就将工作效率提高12.5%,相当于效率89→,则所需时间98→可见原计划工作时间为9436⨯=天,加工720个零件后:工作效率56→,则所需时间65→,可见原计划这部分工作量所需时间为:6424⨯=天,这说明先加工的720个零件需362412-=天完成这批零件共有72036216012⨯=个9.甲、乙、丙三队要完成A ,B 两项工程,B 工程的工作量比A 工程的工作量要大14,如果让甲、乙、丙三队单独做,完成A 工程所需时间分别是20天,24天,30天.现在让甲队做A 工程,乙队做B 工程,为了同时完成这两项工程,丙队先与乙队合做B 工程若干天,然后再与甲队合做A 工程若干天.问丙队与乙队合做了多少天?【分析】设A 的工作量为[20,24,30]120=,则B 的工作量为112011504⨯=则甲效:120620=;乙效:120524=;丙效:120430=三队完成两项工程所需天数:12015018654+=++天;那么丙队帮乙队做的天数为:150518154-⨯=天.10.某天甲、乙两人完成一件工作,计划两人都从早上7:00开始工作,他们将在上午11:00完成;如果甲比原计划晚1小时开始工作,乙比甲再晚半小时开始,那么他们将比原计划晚1小时20分钟完成;如果乙比原计划提前半小时开始工作,甲比乙晚1小时开始,那么他们完成工作的时刻是______点______分.【分析】设甲的效率为a ,乙的速度是b ;则有154()43236a b a b b a +=+⇒=;设12a b =⎧⎨=⎩,则总工作量为:4(12)12⨯+=;设甲工作了t 小时,则乙工作了1t +小时,则12(1)1233t t t ++=⇒=;则最后完成的时刻为17:30310:503h +=;11.某商店花同样多的钱,购进甲、乙、丙三种不同的糖果.已知甲、乙、丙三种糖果每千克的价格分别是9.60元,16元和18元.如果把这三种糖果混合成什锦糖,按20%的利润定价,那么这种什锦糖每千克定价应为多少元?【分析】甲、乙、丙三种糖果的单价之比为9.6:16:1824:40:45=,由于购买这三种糖果所花的钱同样多,所以这三种糖果的量的比为111::15:9:8244045=.假设甲、乙、丙三种糖果分别有15千克、9千克和8千克,则购买这三种糖果的总成本为9.6153432⨯⨯=元.把这三种糖果混合成什锦糖,按20%的利润定价,每千克什锦糖的价格为432(120%)(1598)16.2⨯+÷++=元.12.有大、小两瓶酒精溶液,重量比为3:2,其中大瓶中溶液的浓度为8%.现在把这两瓶溶液混合起来,得到的酒精溶液浓度恰好是原来小瓶酒精溶液浓度的2倍.那么原来小瓶酒精溶液的浓度是()【分析】设原来小瓶溶液的浓度为%a ,则混合溶液的浓度为2%a ,则有:3233%282a a a a-=⇒=⇒-13.某工厂接到任务要用甲、乙两种原料生产A 、B 两种产品共50件,已知每生产一件A 产品需甲原料9千克和乙原料3千克;每生产一件B 产品需甲原料4千克和乙原料10千克.现在工厂里只有甲原料360千克和乙原料290千克,那么该工厂利用这些原料,应该生产A 、B 两种产品各多少件,才能完成任务?请求出所有的生产方案.【分析】设生产A 产品a 件,则生产B 产品b 件.则有:943605160321850a b a a b a b +≤⎧⇒≤⇒≤⇒≥⎨+=⎩并有:3102907140203050a b b b a a b +≤⎧⇒≤⇒≤⇒≤⎨+=⎩可见30321820a b ≤≤⎧⎨≤≤⎩,符合要求的生产方案为:3020a b =⎧⎨=⎩,3119a b =⎧⎨=⎩,3218a b =⎧⎨=⎩.14.甲、乙二人分别从A 、B 两地同时出发,他们计划在距A 地35处相遇,但中途甲休息了15秒钟,结果乙比计划多走36米才相遇,那么甲速为()米/秒.【分析】设甲速为3v ,则乙速为2v ,设AB 两地距离为5a ;则有:2363361523623a a v v v v+--=⇒=⇒=15.一支解放军部队从驻地乘车赶往某地抗洪抢险,如果行驶1个小时后,将车速提高五分之一,就可比预定时间提前20分钟赶到;如果先按原速度行驶72千米,再将车速提高三分之一,就可比预定时间提前30分钟赶到.问:这支解放军部队一共需要行多少千米?【分析】将车速提高五分之一,即车速56→,则所需时间65→,可见剩下的路程按原速需620120⨯=分钟=2小时,全程按原速走需1+2=3小时;行驶72千米后,将车速提高三分之一,即车速34→,则所需时间43→;可见剩下的路程按原速需430120⨯=分钟=2小时,可见前72千米用时1小时;即车速为72千米/小时,全程为72×3=216千米.16.一艘船从甲港顺水而下到乙港,到达后马上又从乙港逆水返回甲港,共用了12小时.已知顺水每小时比逆水每小时多行16千米,又知前6小时比后6小时多行80千米.那么,甲、乙两港相距______千米.【分析】设逆水速度为v ,则顺水速度为v+16,设顺水用了a 小时,逆水用了b 小时,则有[]12580(16)(6)67a b a a v a v v b +=⎧=⎧⎪⇒⎨⎨=++--=⎪⎩⎩则有5(16)740280S v v v S =+=⇒=⇒=.17.甲、乙两人分别骑车从A 地同时同向出发,甲骑自行车,乙骑三轮车.12分钟后丙也骑车从A 地出发去追甲.丙追上甲后立即按原速沿原路返回,掉头行了3千米时又遇到乙.已知乙的速度是每小时7.5千米,丙的速度是乙的2倍.那么甲的速度是多少?行程【分析】上图描绘了两个状态,丙出发时和丙追上甲时;丙出发时,落后乙127.5 1.560⨯=千米,丙追上甲时领先乙3 1.5 4.5+=千米;可见历时1.5 4.54157.55+=-小时;设甲的速度为a ,则根据丙追甲的过程有:124(15)12605a a a =-⇒=18.甲、乙两人同时从山脚开始爬山,到达山顶后就立即下山,他们两人的下山速度都是各自上山速度的1.5倍,而且甲比乙速度快.两人出发后1小时,甲与乙在离山顶600米处相遇,当乙到达山顶时,甲恰好下到半山腰.那么甲从出发到回到出发点共用了多少小时?【分析】设山顶到山脚的距离为S ,甲的上山速度为a ,乙的上山速度为b ;根据乙到达山顶甲下到半山腰有:124233S S abS +⨯==(将下山的路程折算成原速度的路程)根据甲乙在距山顶600米处相遇有:26004336006003S a S bS +⨯==⇒=-则乙速为3600-600=3000米/小时=3千米/小时;对应甲速应为4千米/小时,其下山速度为6千米/小时甲往返需时:3.6 3.61.546+=小时.第四讲组合数学1.初一4班第一组有6个座位和6名同学,如果他们每天安排一次座位,那么安排完所有不同的方法大约需要______年(得数只保留整数)【分析】安排完所有的方法大致需要有:6×5×4×3×2×1÷365≈1.9726≈2年,2.用1~9可以组成()个不含重复数字的三位数;如果再要求这三个数字中任何两个的差不能是1,那么可以组成()个满足要求的三位数.【分析】39504A =;两个数字差1的情况有:12,23,34,45,56,67,78,89;对应33(65555556)252A +++++++⨯=种;三个数字差1的情况有:123,234,345,456,567,678,789;对应33742A ⨯=种则不出现相邻数字的三位数有50425242210--=3.在下面的□中填入数字,使等式成立(注:每个□内只允许填0,1,2,……,9中的一个数字,允许重复)101⨯+=□□□□那么满足以上要求的等式可以填出______个.【分析】设101ab c d ⨯+=,1d =时,100502254205ab c ⨯==⨯=⨯=⨯,3种2d =时,99991333119ab c ⨯==⨯=⨯=⨯,3种3d =时,98981492147ab c ⨯==⨯=⨯=⨯,3种4d =时,97971ab c ⨯==⨯,1种5d =时,96961482323244166128ab c ⨯==⨯=⨯=⨯=⨯=⨯=⨯,6种6d =时,95951195ab c ⨯==⨯=⨯,2种7d =时,94941472ab c ⨯==⨯=⨯,2种8d =时,93931313ab c ⨯==⨯=⨯,2种9d =时,92921462234ab c ⨯==⨯=⨯=⨯,3种共有33316222325++++++++=种填法.4.用数字1,2组成一个8位数,其中至少有连续4位都是数字1的有多少个?【分析】连续8个1:1种连续7个1:2种连续6个1:1111112211111122111111,共2125++=种连续5个1:11111221111122111112211111,共22222212+++=种连续4个1:1111221111221111221111221111,共322232222228++++=种共有125122848++++=个.5.如果一个时刻的时、分、秒3个数构成递增的等差数列,则称这个时刻为幸运时刻(采用24小时制),例如00点02分04秒和17点20分23秒都是幸运时刻,那在一天中与()个幸运时刻.【分析】00开头:00:01:02,00:02:04,...,00:29:58,共29个;01开头:01:02:03,01:03:05,...,01:29:59,共29个;02开头:02:03:04,02:04:06,...,02:30:58,共28个;03开头:03:04:05,03:05:07,...,03:31:59,共28个;......共()292827182564++++⨯= 个6.在一个圆周上有1个红点和49个蓝点,所有顶点都是蓝点的凸多边形的个数,与有一个顶点是红点的凸多边形的个数,相差.【分析】所有顶点均为蓝点的凸多边形有:34484949494949C C C C ++++ ;有一个顶点为红点的凸多边形共有:23448494949494949C C C C C +++++ .两者相差:2491176C =.7.有10枚棋子,每次拿出2枚或3枚,要想将10枚棋子全部拿完,共有多少种不同的拿法?【分析】若设n 枚棋子的拿法为()f n ,则必有()(2)(3)f n f n f n =-+-已知(1)0f =,(2)1,(3)1,(4)1f f f ===,可生成如下数列:0,1,1,1,2,2,3,4,5,7,......可见(10)7f =8.(第八届走美杯六年级初赛)50个互不相同的正整数,总和是2010.这些数里至多有个偶数.【分析】最小的45个正偶数之和为:2469020702010+++=> 说明偶数数量应小于45,且因为2010是偶数,则50个数中奇数数量为偶数个最小的44个正偶数之和为246881980+++= ,这要求其余6个奇数和为30,无解;最小的42个正偶数之和为246841806+++= ,这要求其余8个奇数和为204;有解.这50个数中最多有42个偶数.9.(第八届走美杯六年级初赛)两个自然数,差为11,每一个的数字和都能被11整除.满足要求的最小一对自然数中较小的那个为.【分析】设11a b +=,设a 的数字和为11x ,b 的数字和为11y ;根据弃九法必有:1111911x k y ++-=,其中k 为进位次数;简化得:11()9211|9210min x y k k k -=-⇒-⇒=;此时891199min x y x x -=⇒=⇒=,即a 的数字和最小为99,此时a 最小是18999999999910.在一根长木棍上,有三种刻度线,第一种刻度线将木棍分成十等份;第二种将木棍分成十二等份;第三种将木棍分成十五等份;如果沿每条刻度线将木棍锯断,则木棍总共被锯成______段.【分析】设木棍长为[10,12,15]60=厘米则应在60610=倍、60512=倍和60415=倍处做标记;则标记的数量有:606060606060602865430122060⎛⎫⎛⎫⎡⎤⎡⎤⎡⎤⎡⎤⎡⎤⎡⎤⎡⎤++-+++= ⎪ ⎪⎢⎥⎢⎥⎢⎥⎢⎥⎢⎥⎢⎥⎢⎥⎣⎦⎣⎦⎣⎦⎣⎦⎣⎦⎣⎦⎣⎦⎝⎭⎝⎭个这28个标记包含末端60厘米处,说明只需要据27次;但依然形成28段.11.从写有1~9的九张卡片中抽出一张,其余的八张平分成四组,使第一组两张卡片上的两数之和等于7,第二组两张卡片上的两数之积等于6,第三组两张卡片上的两数之差等于4,第四组两张卡片上的两数之商等于3.则抽出的卡片上的数是______.【分析】设7;6;4;3a b c d e f g h +=⨯=-=÷=623c d ⨯==⨯时,没有符合条件的3g h ÷=616c d ⨯==⨯时,393g h ÷==÷,则725a b +==+,则484e f -==-成立可见抽出的卡片是7.12.有人问赵、钱、孙三人的年龄.赵说:“我22岁,比钱小2岁,比孙大1岁”.钱说:“我不是年龄最小的,孙和我差3岁,孙25岁.”孙说:“我比赵年岁小,赵23岁,钱比赵大3岁.”以上每人所说的三句话中,都有一句是故意说错的,那么,孙的真实年龄是岁.【分析】重新梳理每人的说辞:赵:赵22岁;钱24岁;孙21岁;钱:孙25岁;钱22岁或28岁;钱不是最小的;孙:赵23岁;钱26岁;孙小于23岁显然“赵22岁”和“赵23岁”矛盾,只能对一个假设“赵22岁”是对的,则“赵23岁”就是错的;孙的三句话依次为:×√√;依此推理钱的三句话:√×√;再依次推理赵的三句话:√√×;而“钱24岁”和“钱26岁”矛盾;因此“赵22岁”是错的,推知孙21岁.13.4道选择题,每题都有A 、B 、C 、D 四个选项,其中每题只有一个选项是正确的,有800名学生做这四道题,至少有______人的答题结果是完全一样的.【分析】4道选择题有44256=种不同的选法,而800256332÷= ;根据抽屉原理,至少有314+=个人的答题结果是完全一样的.14.从1~12中选出7个自然数,要求选出的数中不存在某个自然数是另一个自然数的2倍,那么一共有()种选法.【分析】{1,2,4,8}中至多取2个;{3,6,12}中至多取2个;{5,10}中至多取1个;{7,9,11}可任取则最多可取2+2+1+3=8个;若{1,2,4,8}少取1个:41218⨯⨯⨯=种取法若{3,6,12}少取1个:332118⨯⨯⨯=种取法若{5,10}少取1个:31113⨯⨯⨯=种取法若{7,9,11}少取1个:312318⨯⨯⨯=种取法共81831847+++=种取法15.(15届华杯决赛)足球队A ,B ,C ,D ,E 进行单循环赛(每两队赛一场),每场比赛胜队得3分,负队得0分,平局两队各得1分.若A ,B ,C ,D 队总分分别是1,4,7,8,请问:E 队至多得几分?至少得几分?【分析】1分:1平3负;4分:1胜1平2负或4平;7分:2胜1平1负;8分:2胜2平;若B 队1胜1平2负,则四队合计5胜6负5平,此时E 队可能为2胜1负1平(7分),也可能为1胜3平(6分);若B 队4平,则四队合计4胜4负8平,此时E 队可能是1胜1负2平(5分),也可能是2胜2负(6分),可见E 队至多得7分,至少得5分.16.一个班有五十多名同学,上体育课时大家排成一行,先从左至右1234,1234报数,再从右至左123、123报数,后来统计了一下,两次报到同一个数的同学有15名,那么这个班一共有()名同学.【分析】以左起前12个人为研究对象:123412341234321321321321⎧⎨⎩,其中报同一个数的有3个,要保证15人报同一个数,至少要有125357⨯-=人(保证最右边的人从1起报);123412341234213213213213⎧⎨⎩,其中报同一个数的有3个,要保证15人报同一个数,至少要有125159⨯-=人;123412341234132132132132⎧⎨⎩,其中报同一个数的有3个,要保证15人报同一个数,至少要有125161⨯+=人,舍去17.圆周上放置有7个空盒子,按顺时针方向依次编号为1,2,3,4,5,6,7.小明首先将第1枚白色棋子放入1号盒子,然后将第2枚白色棋子放入3号盒子,再将第3枚白色棋子放入6号盒子,……,放置了第1k -枚白色棋子后,小明依顺时针方向向前数了1k -个盒子,并将第k 枚白色棋子放在下一个盒子中,小明按照这个规则共放置了200枚白色棋子.随后,小青从1号盒子开始,按照逆时针方向和同样的规则在这些盒子中放入了300枚红色棋子.请回答:每个盒子各有多少枚白色棋子?每个盒子各有多少枚棋子?【分析】根据编号规则,1号、8号、15号、...等形如71k +的号码都是1号;同理,2号、9号、16号、...等形如72k +的号码都是2号;......6号、13号、20号、...等形如76k +的号码都是6号;7号、14号、21号、...等形如77k +的号码都是7号;白棋子依次放入1,3,6,3,1,7,7,1,3,6,3,1,7,7,......;200个白棋子进行分组:200=7×28组+4个;对应红棋子依次放入1,6,3,6,1,2,2,1,6,3,6,1,2,2......;300个红棋子进行分组:300=7×42组+6个;列表统计如下:盒子编号1234567白子57058002956红子86854300860棋子总数1438510111556。
人大附中小升初数学真题車篇共斗页偲3~百页为答题紙卜尖三道才匮・Lot i'S・時HOC诒・lOO^W^fE:II博全邹答篥牌写在答趣址的帕应惊■上.一、爆空!§:障題圭胃8產卜撕需•卜謹5炉爲分4盼〕2.囲1是一个削法JE式,其中相同的汉字代制S同的戟字』不同的汉字烁不同的我字』那蛊■北京”代联的两竝験聪犬是务少?養,1嚨務少¥+ 氏专2 0 0 03.小粱境现这禅一于大于QBH目撚救;分别计算它殂加的朵魏、馳订的余此换它馳U嗨封田颐可能有案救h纯果都想同・I®么小梁发规的遠吓魏是场少了4.将边抵甘别为斗a. 12. 16.戈心的正育毎并樟在一妃仪D图空卜一弟与正肓形时jffl平行时■後CD倦潦图帝甘为面积相弄的两牛詔分.那么AStt底是参少?5”俸Z帝店一呂0元的价搐买进一批足球.找审世饰将4冃停应转潯辛口元” 與吴全啊師寺出.菽得利闿上“白元”那么这担焜环芳口忌r?s能破立对至陌一且各位裁乎胡是幅皺的畳-1、四憶謎是势少TA7.如囲务£>罡三駕砸百BC—迎上的中書"两牛长力形符别厲卧ol顶点“持且耳一十登共顷点氐已知两按冏毎昂好的面橫井刷是I CiCi和丄空6 唧三傅匪曰口陶面能!1:多少?a. —*各位數爭互不帳阖的三位熬.其反列聂iRP百位験爭与亍位数字谒換tsfi也量三惶酸.民另截涙去產竄侶・差的各位飘宇之和与原未的各惶裁宇之和相同*耶玄满足荼件的三惶ifc有爭少节宁二、锁空題II〔本證尖頁总at小題*毋小题3好・睛好MB好]口9齢s口备立丄口衽上面酌却牛污炬rw入一牛熬宇=# JH足下列三十祭件.那么三十三竝腕的和是爭少」(1伺一-三位麒的?个歎宇互不伯同,口]三亍三位嫩蹿■乩1.丽帶對的燉暫是3个亘不伯同的质魏,(却三介右炬內所硕的致宇互不相同且不全揑两轮・10.曲虑由凯弘3、斗蛆成的没脊卑建皺字的四位救*当千位載字k不是1时*可以进行TXrtH^将前f 数孚完全K 师序,倒如2431断mtr馬吏加23匚再曲mtr后們1324’ SMO1*所以无建再谨行一崔操柞・靈么经门第改林吏再】234的四竝救有参少于?1L走师交洽咿贝和小月一牛苜也热字是2的五惶魏,小贝计壯官与S!的騷小公催魏・屮月计盛出它与10!的墨大公妁葫・统舉支现小贝与小月的计型雄就之比足5:1,飛么老歸堵他门两人的四悅款呈爭少?12•甲、乙两牛工輙彥路.砂按工作童廿配那0。
北京人大附中小升初分班考试真题及答案北京人大附中小升初分班考试真题1With only about 1, 000 pandasleft in the world, China is desperately trying to clone(克隆)the animal and save the endangered species(物种). Thats amove similar to what a Texas A M University researchers have beenundertaking for the past five years in a project called “Noahs Ark”.Noahs Ark is aimed atcollecting eggs, embryos(胚胎), semen and DNA ofendangered animals and storing them in liquid nitrogen. If certain speciesshould become extinct, Dr. Duane Kraemer, a professor in Texas A MsCollege of Veterinary Medicine, says there would be enough of the basicbuilding blocks to reintroduce the species in the future.It is estimated that asmany as 2, 000 species of mammals, birds reptiles will become extinct in over100 years. The panda, native only to China, is in danger of becoming extinct inthe next 25 years.Thisweek, Chinese scientists said they grew an embryo by introducing cells from adead female panda into the egg cells of a Japanese white rabbit. They are nowtrying to implant the embryo into a host animal.The entire procedurecould take from three to five years to complete.“The nuclear transfer(核子移植)of one species to another is not easy,and the lack of available(capable ofbeing used) panda eggs could be a major problem,” Kraemer believes. “They willprobably have to do severalhundred transfers to result in one pregnancy(having a baby). It takes a long time and its difficult, but this could begroundbreaking science if it works. They are certainly not putting any livepandas at risk, so it is worth the effort,” adds Kraemer, who is one of theleaders of the Project at Texas A M, the first-ever attempt at cloning adog.“They are trying to dosomething thats never been done, and this is very similar to our work inNoahs Ark. Were both tryinng to save animals that face extinction. I certainlyappreciate their effort and theres a lot we can learn from what they areattempting to do. Its a research that is very much needed.”1.The aim of “Noahs Ark” project is to _______.A. make efforts to clonethe endangered pandasB. save endangeredanimals from dying outC. collect DNA ofendangered animals to studyD. transfer the nuclearof one animal to another2.According to Professor Kraemer, the major problem in cloning pandas would bethe lack of _____.A. available pandaeggsB. host animalsC. qualifiedresearchersD. enough money3.The best title for the passage may be _______.A. Chinas Success inPandas CloningB. The First ClonedPanda in the WorldC. Exploring the Possibilityto Clone PandasD. China —the NativePlace of Pandas Forever4.From the passage we know that _______.A. Kraemer and his teamhave succeeded in cloning a dogB. scientists try toimplant a pandas egg into a rabbitC. Kraemer will workwith Chinese scientists in clone researchesD. about two thousand ofspecies will probably die out in a century【解析】*讲述中国正在竭力克隆濒临绝种的熊猫,这和Texas A MUniversity 的Noahs Ark(诺亚方舟)工程极为相似,都是想拯救濒临灭绝的动物。
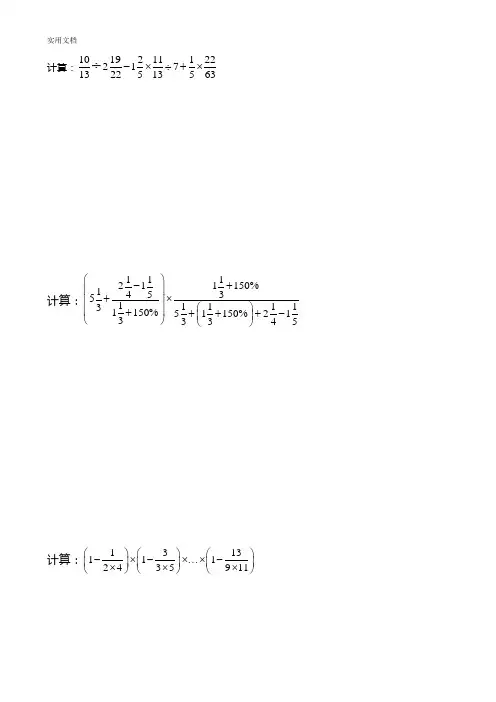
人大附中新初一分班考试真题之2001一:计算.计算:10192111222171322513563-⨯÷+⨯÷ .计算:199419931994199319941994⨯-⨯ .计算:111211150%14531111131150%51150%2133345⎛⎫-+ ⎪5+⨯ ⎪⎛⎫ ⎪++++- ⎪⎝⎭⎝⎭.计算:13131112435911⎛⎫⎛⎫⎛⎫-⨯-⨯⋯⨯- ⎪ ⎪ ⎪⨯⨯⨯⎝⎭⎝⎭⎝⎭ .计算:121231234122001223234232001++++++++⋯+⨯⨯⨯⋯⨯+++++⋯+ .计算:×××××的整数部分。
二:应用题.小李计算从开始的若干个连续自然数的和,结果不小心把当成来计算,得到错误的结果恰好是。
那么小李计算的这些数中,最大的一个是多少?.从开始,按,,,, ,… ,的顺序在黑板上写到某数为止,把其中一个数擦掉后,剩下的数的平均数是59017,擦掉的数是多少? .一个各位数字互不相同的四位数,它的百位数字最大,比十位数字大 ,比个位数字大。
还知道这个四位数的个数字和为,那么这个四位数是多少?.有一个等差数列,其中项, , 能构成一个等比数列;还有项, , 也能构成一个等比数列,如果这个数互不相同,那么这个等差数列至少有几项?.在乘法算式× 中,相同的字母代表相同的数字,不同的字母代表不同的数字,如果,那么的值是多少?.如下图,在方框里填数,使得算式成立,那么所有方框内数的和是多少? × 口 口——————————口 口 口 口口 口 口 口 口———————————口 口 口 口 口 口.如果1006266222n ⋯6⋯个个能整除,那么自然数的最小值是多少?.已知:能整除22221n ⋯2个,那么自然数的最小值是多少?.22221239+++⋯+除以的余数是多少?个互不相同的非零自然数的和为,那么它们的最大公约数的最大值是多少?.自然数是的倍数,但不是的倍数,并且恰好有个约数(包括和它本身),那么的最小值是多少?.某正整数被除商为,余数为,那么这个正整数所有质因数的和是多少?.我们可以找到个自然数,用它们的和乘以它们的积,结果恰好等于,那么的最小值是多少?.算式××××…×的计算结果,末尾有多少个连续的?.一群林场工人与学生一起在去年冬天挖好的坑中植树,平均名林场工人小时可植树棵,名学生小时可植树颗。
人大附中小升初选拔考试数学试卷姓名____________考试日期____________一、解答1.计算:)428571714285()285714714285(3333+÷+的结果是多少?2.计算:2001322001321432432132321221+⋅⋅⋅+++⋅⋅⋅+++⨯⋅⋅⋅⨯+++++⨯+++⨯+3.用数字1,2,3,4,5,6组成无重复数字的三位数,然后把它们从小到大排成一个数列,那么这个数列的所有项之和是多少?4.一块正方形玻璃,一边截去15厘米,另一个非平行边截去10厘米,剩下的长方形玻璃比原来的面积减少1750平方厘米,那么原来的正方形的边长是多少厘米?5.在算式))((1)()()()(=-的每个括号内各填入一个数字(所填数字均选自1,2,3, (8)9),要求所填的数字都是质数,并使得算式成立,请写出这个算式.6.两个四位数,都不含有重复数字,乘积等于22084429.其中一个四位数的每一位都是质数,另一个四位数有3位都被3除余1,则这两个四位数之和等于多少?7.某商品按定价出售,每个可获利润45元.如果按照定价的70%出售10件,与按定价每个减价25元出售12件所获得的利润一样多,那么这种商品每件定价多少元?8.从数字2、0、1、9中选出若干个(不包括1个)数字,使它们的和是3的倍数,共有多少种选法?9.如图,一个长方体的长、宽、高分别为4,2,1有一个小虫子要从A 点沿表面爬到B 点,问爬行的最短距离是多少?10.从写1~9有的九张卡片中抽出一张,其余的八张平分成四组,使第一组两张卡片上的两数之和等于7,第二组两张卡片上的两数之积等于6,第三组两张卡片上的两数之差等于4,第四组两张卡片上的两数之商等于3.则抽出的卡片上的数是多少?11.如图,大正方体的体积512是立方厘米,N M 、分别是立方体两条棱的中点,那么,三棱锥BAMN的表面积是多少平方厘米?12.有n 个连续自然数的和是484,那么这些数中,最大的数最大可能是多少?13.某项工程由甲工程队单独完成要100天,乙工程队单独完成要120天,丙工程队单独完成要150天,为了缩短工期,让甲、乙、丙三个工程队合做,但在合做过程中,甲工程队被派去支援另一项工程,结果共用了60天才把这项工程完成.请计算甲工程队撤出后,乙、丙两个工程队又合做了几天才完成?14.设n 是一个正整数,且⋅⋅⋅=4848481.0270a a a n,那么n 是多少?15.按如图所示的程序计算,若开始输入的x 的值为48,可以发现第一次得到的结果为24,第2次得到的结果为12,……,请你探索第2019次得到的结果为多少?16.定义新运算:1)1(=f ,且1)1())1()((=-⋅--n n n f n f ,那么)2019(f 的结果是多少?17.暑假中,小明读一本长篇小说,如果第一天读40页,以后每天都比前一天多读5页,结果最后一天读35页可读完;如果第一天读50页,以后每天都比前一天多读5页,结果最后一天读45页可读完,试问这本小说共多少页?18.有4个数,每次取其中两个相加,其中5个和分别是15、19、21、22、25,问这四个数中最大的数是多少?19.对于无理数⋅⋅⋅=57182818284.2e ,定义新运算)(n f 是e 小数点后的第n 位数字(n 为自然数),规定2)0(=f ,那么,)))(((n f f f 的所有可能取值的和是多少?20.在一根长木棍上,有三种刻度线,第一种刻度线将木棍分成十等份;第二种将木棍分成十二等份;第三种将木棍分成十五等份;如果沿每条刻度线将木棍锯断,则木棍总共被锯成多少段?21.甲、乙、丙三人去旅游,甲负责买车票,乙负责买食品,丙负责买饮料.乙花的钱数是甲的0.9倍,丙和乙花的钱数之比是3:2.根据费用均摊的原则,丙又拿出35元还给甲和乙.问:甲、乙分别应得多少元?22.小赵、小钱、小孙、小李、小周、小吴、小郑、小王,这8名同学站成一排.其中小孙和小周不能相邻,小钱和小吴也不能相邻,小李必须在小郑和小王之间(可相邻也可不相邻).则不同的排列方法共有多少种?23.一艘船从甲港顺水而下到乙港,到达后马上又从乙港逆水返回甲港,共用了12小时.已知顺水每小时比逆水每小时多航行16千米,又知前6小时比后6小时多航行80千米.那么,甲、乙两港相距多少千米?24.有一块正方形铁皮,边长是36厘米,在四角各剪去一个的小正方形后,将剩余部分焊成一个无盖的长方体(或正方体)盒子,那么这个盒子的容积最大是多少立方厘米?25.大于0的自然数n 小于100,并且满足等式n n n n =⎥⎦⎤⎢⎣⎡+⎦⎤⎢⎣⎡+⎥⎦⎤⎢⎣⎡632,其中][x 表示不超过x 的最大整数,这样的自然数n 有多少个?26.将所有正整数从小到大分组,其中第k 组含有1+k 个数:第1组:(1,2);第2组:(3,4,5);第3组:(6,7,8,9),那么,2019所在那一组所有数的平均数是多少?27.有A 、B 、C 三个蜂鸣器,每次持续鸣叫的时间比是5:4:3.每个蜂鸣器每次鸣叫完后停8秒钟又开始鸣叫.最初三个蜂鸣器同时开始鸣叫,14分钟后,此时B 蜂鸣器已是第43次鸣叫了,问:最初同时开始鸣叫后的多少秒A 与C 第一次同时结束鸣叫?28.O 是KM 与BN 的交点,4:1:=KB AK ,5:4:=MC BM ,1:3:=OM KO ,OD 垂直于AC ,它的长度4=d ,如果10=AC ,那么KMN ∆的面积是多少?29.请计算3020的所有因数中,比1520小且不是1520的因数的数有多少个?30.如图为一个含有一段直路AB 和一段圆路组成的封闭环形路,有甲、乙两辆汽车同时从A 同向出发(走到圆形路后,旋转方向也相同)连续行驶.AB 长5千米,圆周长30千米,每辆汽车总是A →B(转圈)→B→A→B…的路线,已知甲车速度是乙车速度的0.7倍,求甲、乙两车第一次迎面相遇的位置距A处多少千米?。
北京市海淀区人大附中分班考试卷数 学1.165+312−284=_______.2.1999+498−2008=_______.3.10.16×15−21.5×4.6=_______. 4.12.5×45−36×101+86.5×45=_______.5.(56÷60+0.5)×(1−92÷433)= _______.6.(2.5+13÷12)÷(75%×23+16)= _______.7.(7×1−3×1)+(7×3−3×2)+(7×5−3×3)+…+(7×49−3×25)= _______. 8.131×17+51×123=_______.9.a △b 表示a 、b 的差(大减小)的一半.例如:12△24=(24−12)÷2=6.那么: (1)1△(358△235)= _______.(2)20△(7△x )=1,x 的所有可能性_______.10.2.737373…用四舍五入法保留两位小数是_______.11.陈老师花了600元买了48个本和72支笔.已知每个本8元,那么每支笔_______元.12.一个长方形,周长24厘米,宽4厘米.如果长增加2厘米,那么面积是_______平方厘米.13.解比例:x ︰3.5=4︰28514.圆锥的体积是圆柱的体积的2倍,它们的底面积相等,圆锥和圆柱的高的比是_______.15.一本书,小明看了9天,每天看12页.如果他想15天看完,平均每天看16页,那么现在他该每天看_______页.16.小红每天睡眠9小时,比小刚多19.小刚每天睡眠_______小时.17.一项工程,甲队15天干完,乙队30天干完.两队合干4天后,由甲队单独干,还要_______天干完.18.一个三角形,一个内角的度数是另两个内角度数和的23.另两个内角的度数相差18°.这个三角形的最小的内角的度数是_______.19.一个圆柱体的表面积是336平方厘米.把它从中间切开,得到两个一样的圆柱体,它们的表面积和是432平方厘米.那么原米圆柱体的高是_______厘米(π=3). 20.一个四位数,百位是2,十位是7,能同时被2和3整除.这个四位数最大是_______,最小是_______.21.规定※n 表示不大于n 的所有偶数的积,□n 表示不能整除n 的最小的数.例如:※6=6×4×2=48,□10=3.那么□(※x )=13, x 最小是_______.22.一堆货物,第一天运走了总数的23,第二天运走了总数的25%,剩下的按3︰4分配给甲车和乙车.已知甲车运了900吨,那么这堆货物共有_______吨.23.快车和慢车分别从甲、乙两地相向而行,4小时相遇.相遇后,快车继续行驶了3小时到达乙地,慢车继续行了240千米到达甲地.慢车的速度是_______千米/小时. 24.解方程组:{999x −1002y =29911001x −997y =3011,{x =y =25.在下图的方格中填入合适的数,使每一行都为完全平方数,则最后结果为_______.26.在下图所示的写有数字1的加法算式中,不同的汉字代表不同的数字,只有“仁”×与“人”代表的数字相同,那么“仁华学校”代表的四位数字最小可能是_______.27.请你从1~100中选中12个数填入下图的圆圈里,使得每个数均为与它相邻的两个数的最大公约数或最小公倍数.28.找出5个互不相同的大于1的自然数,使得其中两个数的积等于其余三个数的积,两个数的和(不一定是刚才的两个数)等于其余三个数的和,请写出满足条件的式子. 29.7295、2435、48143、3285、1655这5个分数中有两个可以写成一个分数与其倒数之差的形式(如:56=32−23),那么这两个分数为_______.30.小红、小明二人在讨论年龄,小红说:“我比你小,当你像我这么大时,我的年龄是个质数,”小明说:“当你长到我这么大时,我的年龄也是个质数.”小红说:“我发现现在咱俩的年龄和是个质数的平方.”那么小明今年_______岁.(小明今年年龄小于31岁,年龄均为整数岁)31.用A 、B 、C 、D 、E 、F 六种颜料去染下图的两个调色盘,要求每个调色盘里的六种颜色不能相同,且相邻四种颜色任两个调色盘里不能重复,那么共有_______种不同的染色方案(旋转算不同方法).人人 大中附学 步 进 更仁 华 校 1 +32.在一个棱长为8的立方体上切去一个三棱柱(如图),那么表面积减少_______.33.一次10分钟的知识竞赛,小明每分钟能做15道题,但做3道错一道,而且他做2分钟要休息1分钟,那么小明这次竞赛做对了_______道题.34.妈妈买来一箱桔子,若每天比计划多吃一个,则比计划少吃2天;若每天比计划少吃一个,则计划的时间过去后,还剩12个,那么这一箱桔子共多少个? 35.学校组织老师进行智力竞赛,共20道题,答对一题得5分,不答不给分,答错扣2分,已知所有老师的总分为600多分,且男老师总分为女老师总分的2倍多1分,答对总题数为答错总数的3倍少1题.又知每人恰好有1道或2道题未答,求男老师的总分为多少?36.甲、乙二人分别从A 、B 两地同时出发,他们计划在距A 地35处相遇,但中途甲休息了15秒钟,结果乙比计划多走36米才相遇,那么甲速为_______米/秒.北京市海淀区人大附中分班考试卷数 学1.165+312−284=_______. 1.解:原式=477−284=193。
北京人大附中小升初模拟真题北京人大附中小升初数学真题模拟汇总1(附答案)一、填空题:2.将一张正方形的纸如图按竖直中线对折,再将对折纸从它的竖直中线(用虚线表示)处剪开,得到三个矩形纸片:一个大的和两个小的,则一个小矩形的周长与大矩形的周长之比为___ ___.么回来比去时少用______小时.4.7点______分的时候,分针落后时针10 0度.5.在乘法3145×92653=29139□685中,积的一个数字看不清楚,其他数字都正确,这个看不清的数字是______.试题答案,仅供参考: 一、填空题:1.(1)2.(5∶6)周长的比为5∶6.4.(20)5.(3)根据弃九法计算.3145的弃九数是4,926 53的弃九数是7,积的弃九数是1,29139□685,已知8个数的弃九数是7,要使积的弃九数为1,空格内应填3.6.(1/3)7.(30)8.(10)设24辆全是汽车,其轮子数是24×4=96(个),但实际相差96-86=10(个),故(4×24-86)÷(4-3)=10(辆).9.甲先把(4,5),(7,9),(8,10)分组,先写出6,则乙只能写4,5,7,8,9,1 0中一个,乙写任何组中一个,甲则写另一个.10.(6次)由6个学生向后转的总次数能被每次向后转的总次数整除,可知,6个学生向后转的总次数是5和6的公倍数,即30,60,90,…据题意要求6个学生向后转的总次数是30次,所以至少要做30÷5=6(次).二、解答题:1.(4)由图可知空白部分的面积是规则的,左下角与右上角两空白部分面积和为3个单位,右下为2个单位面积,故阴影:9-3-2=4.2.(1089)9以后,没有向千位进位,从而可知b=0或1,经检验,当b=0时c=8,满足等式;当b=1时,算式无法成立.故所求四位数为1089.3.本题考察学生“观察—归纳—猜想”的能力.此表排列特点:①第一列的每一个数都是完全平方数,并且恰好等于所在行数的平方;②第一行第n个数是(n-1)2+1,②第n行中,以第一个数至第n个数依次递减1;④从第2列起该列中从第一个数至第n个数依次递增1.由此(1)〔(13-1)2+1〕+9=154;(2)127=112+6 =〔(12-1)2+1〕+5,即左起12列,上起第6行位置.4.可以先从两个自然数入手,有偶数,可被2整除,结论成立;当其中无偶数,奇数之和是偶数可被2整除.再推到3个自然数,当其中有3的倍数,选这个数即可;当无3的倍数,若这3个数被3除的余数相等,那么这3个数之和可被3整除,若余数不同,取余1和余2的各一个数和能被3整除,类似断定5个,6个,…,整数成立.利用结论与若干个数之和有关,构造k个和.设k个数是a1,a2,…,ak,考虑,b1,b2,b3,…bk其中b1=a1,b2=a1+a2,…,bk=a1+a2+a3+…+ak,考虑b1,b2,…,bk被k除后各自的余数,共有b;能被k整除,问题解决.若任一个数被k除余数都不是0,那么至多有余1,2,…,余k-1,所以至少有两个数,它们被k除后余数相同.这时它们的差被k整除,即a1,a2…,ak中存在若干数,它们的和被k整除.北京人大附中小升初数学试题汇总2(附答案)一、填空题:1.29×12+29×13+29×25+29×10=______.2.2,4,10,10四个数,用四则运算来组成一个算式,使结果等于24.______.______页.4.如图所示为一个棱长6厘米的正方体,从正方体的底面向内挖去一个最大的圆锥体,则剩下的体积是原正方体的百分之______(保留一位小数).5.某校五年级(共3个班)的学生排队,每排3人、5人或7人,最后一排都只有2人.这个学校五年级有______名学生.6.掷两粒骰子,出现点数和为7、为8的可能性大的是______.7.老妇提篮卖蛋.第一次卖了全部的一半又半个,第二次卖了余下的一半又半个,第三次卖了第二次余下的一半又半个,第四次卖了第三次余下的一半又半个.这时,全部鸡蛋都卖完了.老妇篮中原有鸡蛋______个.8.一组自行车运动员在一条不宽的道路上作赛前训练,他们以每小时35千米的速度向前行驶.突然运动员甲离开小组,以每小时45千米的速度向前行驶10千米,然后转回来,以同样的速度行驶,重新和小组汇合,运动员甲从离开小组到重新和小组汇合这段时间是______.9.一对成熟的兔子每月繁殖一对小兔子,而每对小兔子一个月后就变成一对成熟的兔子.那么,从一对刚出生的兔子开始,一年后可变成______对兔子.10.有一个10级的楼梯,某人每次能登上1级或2级,现在他要从地面登上第10级,有_ _____种不同的方式.二、解答题:1.甲、乙二人步行的速度相等,骑自行车的速度也相等,他们都要由A处到B处.甲计划骑自行车和步行所经过的路程相等;乙计划骑自行车和步行的时间相等.谁先到达目的地?共有多少个?3.某商店同时出售两件商品,售价都是60 0元,一件是正品,可赚20%;另一件是处理品,要赔20%,以这两件商品而言,是赚,还是赔?4.有一路电车起点站和终点站分别是甲站和乙站.每隔5分钟有一辆电车从甲站出发开往乙站,全程要走15分钟.有一个人从乙站出发沿电车路线骑车前往甲站.他出发时,恰有一辆电车到达乙站.在路上遇到了10辆迎面开来的电车.当到达甲站时,恰又有一辆电车从甲站开出,问他从乙站到甲站用了多少分钟?以下小升初数学试题答案,仅供参考:一、填空题:1.(1740)29×(12+13+25+10)=29×60=17402.(2+4÷10)×103.(200页)4.(73.8%)(cm3),剩下体积占正方体的:(216-56.52)÷216≈0.738≈73.5.(107)3×5×7+2=105+2=1076.(7的可能性大)出现和等于7的情况有6种:1与6,2与5.3与4,4与3,5与2,6与1;出现和为8的情况5种:2和6,3与5,4与4,5与3,6与2.7.(15)从图上看出,在这段时间内,运动员甲和运动员队分别以每小时45千米9.(233)从第二个月起,每个月兔子的对数都等于相邻的前两个月的兔子对数的和.即1,1,2,3,5,8,13,21,34,55,89,144,233,…所以,从一对新生兔开始,一年后就变成了233对兔子.10.(89种)用递推法.他要到第10级只能从第9级或第8级直接登上。
您当前位置:巨人奥数频道> 小升初> 小升初试题> 综合面试题北京人大附中小升初面试奥数类考题2009-02-09 09:32:09[来源]:北京人大附中[作者]:北京人大附中查看所有评论我要评论关于小升初面试的新闻•[ 2011-10-09 15:21:30 ]归纳北京小升初面试的几大特点•[ 2011-09-29 14:16:46 ]探秘小升初面试逐一解析那些“必问”题•[ 2011-09-21 16:37:27 ]提高小升初面试成功率必须把握的9个诀窍•[ 2011-09-15 11:26:22 ]2012小升初面试,你心里有底儿吗?•[ 2011-09-07 11:01:09 ]重点中学小升初面试考察孩子什么能力?参加了重点中学的考试之后,接下来最关键的就是面试了,现在的北京小升初面试什么稀奇古怪的招数都有,而且考察的内容已经不仅仅只局限于孩子的学习成绩,介于此,总结了一下近些年小升初面试的特点及常用的形式,供2011年北京小升初家长们参考!北京小升初面试的特点:近年来小升初的试题各种各样,稀奇古怪,但总的说来有这样几个特点(1)问题生活化:近几年的小升初面试,越来越贴近生活,很多时候面试老师提出的问题,看似平淡,实则已在不经意间已经问到了很多内容,比如孩子的性格特点、学习习惯、家庭教育等方面。
例如某重点中学的老师曾经问过这样一道题老师问孩子:你是三好生吗?孩子回答:是,就四年级的时候不是。
老师:为什么四年级的时候不是?孩子:因为他们都不选我!老师:为什么他们不选你?孩子:因为他们嫉妒我学习好,我不爱和他们玩儿类似的还有:家里你更喜欢爸爸还是妈妈?为什么?大部分孩子的回答不是,我喜欢妈妈因为妈妈总是给我买好吃的,就是喜欢爸爸因为爸爸总带我玩儿诸如此类的,这样的回答虽然真实但未免略显单薄,缺乏对生活观察的厚度。
(2)突出文学性小升初面试中还有一个特点就是突出文学性,在面试中常考孩子关于历史,名著、典故、诗词的知识。
人大附中分班考试班第四讲部分答案第四讲计数问题一. 加法原理与乘法原理例1.满足下面性质的数称为好数,它的个位比十位大,十位比百位大,百位比千位大,并且相邻两位数字差不超过2.例如1346为好数,3579为好数,但1456就不是好数.那么有四位好数.答案:36 .例2.用3种颜色把一个3´3的方格表染色,要求相同行和相同列的3个格所染的颜色互不相同,一共有________种不同的染色法例3.□□□+□□=□□+□□,把数字1~9填入上面的方框中,使等式成立.每个数字只能填1次,一共有多少种不同的填法?例4.如图,把A、B、C、D、E这5个部分用4种不同的颜色着色,且相邻的部分不能使用同一种颜色,不相邻的部分可以使用同一种颜色。
那么,这幅图共有多少种不同的着色方法?解析:4×3×2×2×2=96。
例5.有一种四位数,它与它的逆序四位数和为9999.例如7812+2187=9999,3636+6363=9999等.那么这样的四位数一共有多少个?二. 排列组合例6.3个男生,3个女生排成一排,要求男生不能相邻,求一共有多少种排法?如果女生也不能相邻,求一共有多少种排法?解析:72。
只可能是“男女男女男女”和“女男女男女男”。
例7.从10个人中挑出5人,求满足下列条件的选法有多少种。
(1)A,B必须入选;(2)A,B 至少有一个人入选;(3)A,B,C中恰好有一个人入选;(4)A,B,C不能同时入选。
例8.用数字1,2组成一个8位数,其中至少有连续4位都是数字1的有多少个?例9.从1、2、3、…、9中选取若干互不相同的数字(至少一个),使得其和是3的倍数,共有多少种选法?解析:按取出数的个数分类,总共有175种取法。
例10.老师要将20个相同的苹果分给3个小朋友,要求每个小朋友至少分得3个苹果,那么共有_____种分配方法.三. 计数综合例11.各位数字之和为33,而且能够被33整除的五位数有多少个?解析:288个。