电磁场例题
- 格式:pptx
- 大小:2.24 MB
- 文档页数:43
电磁场练习题电磁场是物理学中重要的概念,广泛应用于电力工程、通信技术等领域。
为了更好地理解和掌握电磁场的相关知识,以下是一些练习题,帮助读者巩固对电磁场的理解。
练习题1:电场1. 有一电荷+Q1位于坐标原点,另有一电荷+Q2位于坐标(2a, 0, 0)处。
求整个空间内的电势分布。
2. 两个无限大平行带电板,分别带有电荷密度+σ和-σ。
求两个带电板之间的电场强度。
3. 一个圆环上均匀分布有总电荷+Q,圆环的半径为R。
求圆环轴线上离圆环中心距离为x处的电场强度。
练习题2:磁场1. 一个无限长直导线通过点A,导线中电流方向由点A指向B。
求点A处的磁场强度。
2. 一个长直导线以λ的线密度均匀分布电流。
求距离导线距离为r处的磁场强度。
3. 一半径为R、载有电流I的螺线管,求其轴线上离螺线管中心的距离为x处的磁场强度。
练习题3:电磁场的相互作用1. 在一均匀磁场中,一电子从初始速度为v0的方向垂直进入磁场。
求电子做曲线运动的轨迹。
2. 有两个无限长平行导线,分别通过电流I1和I2。
求两个导线之间的相互作用力。
3. 一个电荷为q的粒子以速度v从初始位置x0进入一个电场和磁场同时存在的区域。
求电荷受到的合力。
练习题4:电磁场的应用1. 描述电磁波的基本特性。
2. 电磁感应现象的原理是什么?列举几个常见的电磁感应现象。
3. 解释电磁场与电路中感应电动势和自感现象的关系。
根据上述练习题,我们可以更好地理解和掌握电磁场的基本原理和应用。
通过解答这些练习题,我们能够加深对电场、磁场以及电磁场相互作用的理解,并掌握其在实际应用中的运用。
希望读者能够认真思考每道练习题,尽量自行解答。
如果遇到困难,可以参考电磁场相关的教材、课件等资料,或者向老师、同学寻求帮助。
通过不断练习和思考,相信读者可以彻底掌握电磁场的相关知识,为今后的学习和应用奠定坚实的基础。
高三物理第一轮专题复习——电磁场在以坐标原点O为圆心、半径为r的圆形区域内,存在磁感应强度大小为B、方向垂直于纸面向里的匀强磁场,如图所示。
一个不计重力的带电粒子从磁场边界与x轴的交点A处以速度v沿-x方向射入磁场,恰好从磁场边界与y轴的交点C处沿+y方向飞出。
(1)请判断该粒子带何种电荷,并求出其比荷q/m;(2)若磁场的方向和所在空间范围不变,而磁感应强度的大小变为B’,该粒子仍从A处以相同的速度射入磁场,但飞出磁场时的速度方向相对于入射方向改变了60°角,求磁感应强度B’多大?此次粒子在磁场中运动所用时间t是多少?电子自静止开始经M、N板间(两板间的电压A点垂直于磁场边界射入宽度为d的匀强磁场中,电子离开磁场时的位置P偏离入射方向的距离为L,如图所示.求匀强磁场的磁感应强度.(已知电子的质量为m,电量为e)高考)如图所示,abcd为一正方形区域,正离子束从a点沿ad方向以=80m/s 的初速度射入,若在该区域中加上一个沿ab方向的匀强电场,电场强度为E,则离子束刚好从c点射出;若撒去电场,在该区域中加上一个垂直于abcd平面的匀强磁砀,磁感应强度为B,则离子束刚好从bc的中点e射出,忽略离子束中离子间的相互作用,不计离子的重力,试判断和计算:(1)所加磁场的方向如何?(2)E与B的比值BE/为多少?制D 型金属扁盒组成,两个D 形盒正中间开有一条窄缝。
两个D 型盒处在匀强磁场中并接有高频交变电压。
图乙为俯视图,在D 型盒上半面中心S 处有一正离子源,它发出的正离子,经狭缝电压加速后,进入D 型盒中。
在磁场力的作用下运动半周,再经狭缝电压加速。
如此周而复始,最后到达D 型盒的边缘,获得最大速度,由导出装置导出。
已知正离子的电荷量为q ,质量为m ,加速时电极间电压大小为U ,磁场的磁感应强度为B ,D 型盒的半径为R 。
每次加速的时间很短,可以忽略不计。
正离子从离子源出发时的初速度为零。
电磁场理论习题及答案电磁场理论是电磁学的基础,它描述了电荷和电流产生的电磁场在空间中的分布和演化规律。
在学习电磁场理论时,习题是巩固和深化理解的重要方式。
本文将介绍一些电磁场理论的习题及其答案,帮助读者更好地掌握这一理论。
一、电场和电势1. 问题:一个均匀带电球体,半径为R,总电荷为Q。
求球心处的电场强度。
答案:根据库仑定律,电场强度E与电荷Q和距离r的关系为E = kQ/r^2,其中k为库仑常数。
对于球体内部的点,距离球心的距离r小于半径R,所以电场强度为E = kQ/r^2。
对于球体外部的点,距离球心的距离r大于半径R,所以电场强度为E = kQ/R^3 * r。
2. 问题:一个无限长的均匀带电线,线密度为λ。
求距离线上一点距离为r处的电势。
答案:根据电势公式V = kλ/r,其中k为库仑常数。
所以距离线上一点距离为r处的电势为V = kλ/r。
二、磁场和磁感应强度1. 问题:一根无限长的直导线,电流为I。
求距离导线距离为r处的磁感应强度。
答案:根据安培环路定理,磁感应强度B与电流I和距离r的关系为B =μ0I/2πr,其中μ0为真空中的磁导率。
所以距离导线距离为r处的磁感应强度为B = μ0I/2πr。
2. 问题:一根长为L的直导线,电流为I。
求距离导线距离为r处的磁场强度。
答案:根据比奥萨伐尔定律,磁场强度H与电流I和距离r的关系为H = I/2πr。
所以距离导线距离为r处的磁场强度为H = I/2πr。
三、电磁场的相互作用1. 问题:一个半径为R的导体球,带电量为Q。
求导体球表面的电荷密度。
答案:导体球表面的电荷密度σ等于导体球上的电荷总量Q除以导体球表面的面积A。
导体球表面的面积A等于球的表面积4πR^2。
所以导体球表面的电荷密度为σ = Q/4πR^2。
2. 问题:一个平行板电容器,两个平行金属板之间的距离为d,电介质的介电常数为ε。
一块电介质板插入到电容器中间,使得电容器的电容增加了n倍。
重要习题例题归纳第二章 静电场和恒定电场一、例题:1、例2.2.4(38P )半径为0r 的无限长导体柱面,单位长度上均匀分布的电荷密度为l ρ。
试计算空间中各点的电场强度。
解:作一与导体柱面同轴、半径为r 、长为l 的闭合面S ,应用高斯定律计算电场强度的通量。
当0r r <时,由于导体内无电荷,因此有0=⋅⎰→→SS d E ,故有0=→E ,导体内无电场。
当0r r>时,由于电场只在r 方向有分量,电场在两个底面无通量,因此2ερπl rl E dS E dS a a E S d E l r Sr r Sr r r r S=⋅=⋅=⋅=⋅⎰⎰⎰→→→→则有:r E l r 02περ=2、例2.2.6(39P )圆柱坐标系中,在m r2=与m r 4=之间的体积内均匀分布有电荷,其电荷密度为3/-⋅m C ρ。
利用高斯定律求各区域的电场强度。
解:由于电荷分布具有轴对称性,因此电场分布也关于z 轴对称,即电场强度在半径为r 的同轴圆柱面上,其值相等,方向在r 方向上。
现作一半径为r ,长度为L 的同轴圆柱面。
当m r20≤≤时,有02=⋅=⋅⎰→→rL E S d E r Sπ,即0=r E ;当m rm 42≤≤时,有)4(1220-=⋅=⋅⎰→→r L rL E S d E r Sπρεπ,因此,)4(220-=r rE r ερ;当m r 4≥时,有L rL E S d E r Sπρεπ0122=⋅=⋅⎰→→,即r E r 06ερ=。
3、例2.3.1(41P )真空中,电荷按体密度)1(220ar -=ρρ分布在半径为a 的球形区域内,其中0ρ为常数。
试计算球内、外的电场强度和电位函数。
解:(1)求场强:当a r >时,由高斯定律得2224επQ E r S d E S==⋅⎰→→而Q 为球面S 包围的总电荷,即球形区域内的总电荷。
300242002158)(44)(a dr a r r dr r r Q aaπρπρπρ=-==⎰⎰因此20302152r a a E rερ→→=当a r <时)53(44)(1425300020121a r r dr r r E r S d E rS -===⋅⎰⎰→→επρπρεπ因此)33(23001a r r a E r-=→→ερ (2)球电位;当a r >时,取无穷远的电位为零,得球外的电位分布为ra r d E r r03022152)(ερ=⋅=Φ⎰∞→→当a r =时,即球面上的电位为20152ερa S =Φ 当a r <时)1032(2)(24220011a r r a r d E r a rS +-=⋅+Φ=Φ⎰→→ερ4、例2.4.1(48P )圆心在原点,半径为R 的介质球,其极化强度)0(≥=→→m r a P m r 。
第十三章电磁感应电磁场习题(一)教材外习题电磁感应习题一、选择题:1.一块铜板放在磁感应强度正在增大的磁场中时,铜板中出现涡流(感应电流),则涡流将(A)加速铜板中磁场的增加(B)减缓铜板中磁场的增加(C)对磁场不起作用(D)使铜板中磁场反向()2.在如图所示的装置中,当把原来静止的条形磁铁从螺线管中按图示情况抽出时,(A)螺线管线圈中感生电流方向如A点处箭头所示。
(B)螺线管右端感应呈S极。
(C)线框EFGH从图下方粗箭头方向看去将逆时针旋转。
(D)线框EFGH从图下方粗箭头方向看去将顺时针旋转。
()3.在无限长的载流直导线附近放置一矩形闭合线圈,开始时线圈与导线在同一平面内,且线圈中两条边与导线平行,当线圈以相同的速率作如图所示的三种不同方向的平动时,线圈中的感应电流(A)以情况Ⅰ中为最大(B)以情况Ⅱ中为最大(C)以情况Ⅲ中为最大(D)在情况Ⅰ和Ⅱ中相同()4.如图所示,一矩形金属线框,以速度v 从无场空间进入一均匀磁场中,然后又从磁场中出来,到无场空间中。
不计线圈的自感,下面哪一条图线正确地表示了线圈中的感应电流对时间的函数关系?(从线圈刚进入磁场时刻开始计时,I 以顺时针方向为正)5.如图,一矩形线框(其长边与磁场边界平行)以匀速v 自左侧无场区进入均匀磁场又穿出,进入右侧无场区,试问图(A )—(E )中哪一图象能最合适地表示线框中电流i 随时间t 的变化关系?(不计线框自感)( )6.在一个塑料圆筒上紧密地绕有两个完全相同的线圈aa '和bb ',当线圈aa '和bb '如图(1)绕制时其互感系数为M 1,如图(2)绕制时其互感系数为M 2,M 1与M 2的关系是(A )M 1 = M 2 ≠ 0 (B )M 1 = M 2 = 0(C )M 1 ≠ M 2,M 2=0(D )M 1≠M 2,M 2≠0( )7.真空中两根很长的相距为2a 的平行直导线与电源组成闭合回路如图。
前面是答案和后面是题目,大家认真对对. 三、稳恒磁场答案1-5 CADBC 6-8 CBC 三、稳恒磁场习题1. 有一个圆形回路1及一个正方形回路2,圆直径和正方形的边长相等,二者中通有大小相等的电流,它们在各自中心产生的磁感强度的大小之比B 1 / B 2为 (A) 0.90. (B) 1.00.(C) 1.11. (D) 1.22. [ ]2.边长为l 的正方形线圈中通有电流I ,此线圈在A 点(见图)产生的磁感强度B 为(A) l I π420μ. (B) l Iπ220μ.(C)l Iπ02μ. (D) 以上均不对. [ ]3.通有电流I 的无限长直导线有如图三种形状,则P ,Q ,O 各点磁感强度的大小B P ,B Q ,B O 间的关系为:(A) B P > B Q > B O . (B) B Q > B P > B O .(C) B Q > B O > B P . (D) B O > B Q > B P .[ ]4.无限长载流空心圆柱导体的内外半径分别为a 、b ,电流在导体截面上均匀分布,则空间各处的B ϖ的大小与场点到圆柱中心轴线的距离r 的关系定性地如图所示.正确的图是 [ ]5.电流I 由长直导线1沿平行bc 边方向经a 点流入由电阻均匀的导线构成的正三角形线框,再由b 点沿垂直ac 边方向流出,经长直导线2返回电源(如图).若载流直导线1、2和三角形框中的电流在框中心O 点产生的磁感强度分别用1B ϖ、2B ϖ和3Bϖ表示,则O 点的磁感强度大小(A) B = 0,因为B 1 = B 2 = B 3 = 0.(B) B = 0,因为虽然B 1≠ 0、B 2≠ 0,但021=+B B ϖϖ,B 3 = 0.(C) B ≠ 0,因为虽然B 2 = 0、B 3= 0,但B 1≠ 0.(D) B ≠ 0,因为虽然021≠+B B ϖϖ,但B 3≠ 0. [ ]6.电流由长直导线1沿半径方向经a 点流入一电阻均匀的圆环,再由b 点沿切向从圆环流出,经长导线2返回电源(如图).已知直导线上电流强度为I ,圆环的半径为R ,且a 、b 与圆心O 三点在同一直线上.设直电流1、2及圆环电流分别在O 点产生的磁感强度为1B ϖ、2B ϖ及3Bϖ,则O 点的磁感强度的大小(A) B = 0,因为B 1 = B 2 = B 3 = 0.(B) B = 0,因为021=+B B ϖϖ,B 3= 0.(C) B ≠ 0,因为虽然B 1 = B 3 = 0,但B 2≠ 0. (D) B ≠ 0,因为虽然B 1 = B 2 = 0,但B 3≠ 0.(E) B ≠ 0,因为虽然B 2 = B 3 = 0,但B 1≠ 0. [ ] v7.电流由长直导线1沿切向经a 点流入一个电阻均匀的圆环,再由b 点沿切向从圆环流出,经长直导线2返回电源(如图).已知直导线上电流强度为I ,圆环的半径为R ,且a 、b 和圆心O 在同一直线上.设长直载流导线1、2和圆环中的电流分别在O 点产生的磁感强度为1B ϖ、2B ϖ、3Bϖ,则圆心处磁感强度的大小(A) B = 0,因为B 1 = B 2 = B 3 = 0.(B) B = 0,因为虽然B 1≠ 0、B 2≠ 0,但021=+B B ϖϖ,B 3 = 0.(C) B ≠ 0,因为B 1≠ 0、B 2≠ 0,B 3≠ 0.(D) B ≠ 0,因为虽然B 3= 0,但021≠+B B ϖϖ. [ ]8.a R r OO ′I在半径为R 的长直金属圆柱体内部挖去一个半径为r 的长直圆柱体,两柱体轴线平行,其间距为a ,如图.今在此导体上通以电流I ,电流在截面上均匀分布,则空心部分轴线上O ′点的磁感强度的大小为(A) 2202R a a I ⋅πμ (B)22202R r a a I -⋅πμ(C) 22202r R a a I-⋅πμ (D) )(222220a r Ra a I -πμ [ ]参考解:导体中电流密度)(/22r R I J -π=.设想在导体的挖空部分同时有电流密度为J 和-J 的流向相反的电流.这样,空心部分轴线上的磁感强度可以看成是电流密度为J 的实心圆柱体在挖空部分轴线上的磁感强度1B ϖ和占据挖空部分的电流密度-J 的实心圆柱在轴线上的磁感强度2B ϖ的矢量和.由安培环路定理可以求得02=B , )(222201r R a Ia B -π=μ 所以挖空部分轴线上一点的磁感强度的大小就等于)(22201r R IaB -π=μ 9. πR 2c3分10.221R B π-3分11. 6.67×10-7 T 3分7.20×10-7 A ·m 2 2分12. 减小 2分在2/R x <区域减小;在2/R x >区域增大.(x 为离圆心的距离) 3分13. 0 1分I 0μ- 2分14. 4×10-6 T 2分 5 A 2分15. I0μ 1分 0 2分2I0μ 2分16. 解:①电子绕原子核运动的向心力是库仑力提供的.即∶ 02202041a m a e v =πε,由此得 002a m e επ=v 2分②电子单位时间绕原子核的周数即频率000142a m a e a ενππ=π=v 2分 由于电子的运动所形成的圆电流00214a m a e e i ενππ== 因为电子带负电,电流i 的流向与 v ϖ方向相反 2分 ③i 在圆心处产生的磁感强度002a i B μ=00202018a m a eεμππ= 其方向垂直纸面向外 2分17.1 234 R ROI a β2解:将导线分成1、2、3、4四部份,各部分在O 点产生的磁感强度设为B 1、B 2、B 3、B 4.根据叠加原理O 点的磁感强度为:4321B B B B B ϖϖϖϖϖ+++= ∵ 1B ϖ、4B ϖ均为0,故32B B B ϖϖϖ+= 2分)2(4102R I B μ= 方向⊗ 2分 242)sin (sin 401203R I a I B π=-π=μββμ)2/(0R I π=μ 方向 ⊗ 2分其中 2/R a =, 2/2)4/sin(sin 2=π=β 2/2)4/sin(sin 1-=π-=β∴ R I R I B π+=2800μμ)141(20π+=R I μ 方向 ⊗ 2分 18. 解:电流元1d l I ϖ在O 点产生1d B ϖ的方向为↓(-z 方向) 电流元2d l I ϖ在O 点产生2d B ϖ的方向为⊗(-x 方向) 电流元3d l I ϖ在O 点产生3d B ϖ的方向为⊗ (-x 方向) 3分kR I i R IB ϖϖϖπ-+ππ-=4)1(400μμ 2分 19. 解:设x 为假想平面里面的一边与对称中心轴线距离,⎰⎰⎰++==Rx RRxrl B r l B S B d d d 21Φ, 2分d S = l d r2012R IrB π=μ (导线内) 2分r I B π=202μ (导线外) 2分)(42220x R R Il -π=μΦR R x Il +π+ln20μ 2分 令 d Φ / d x = 0, 得Φ 最大时 Rx )15(21-= 2分20. 解:洛伦兹力的大小 B q f v = 1分对质子:1211/R m B q v v = 1分 对电子: 2222/R m B q v v = 1分∵ 21q q = 1分 ∴ 2121//m m R R = 1分21.解:电子在磁场中作半径为)/(eB m R v =的圆周运动. 2分连接入射和出射点的线段将是圆周的一条弦,如图所示.所以入射和出射点间的距离为:)/(3360sin 2eB m R R l v ==︒= 3分2解:在任一根导线上(例如导线2)取一线元d l ,该线元距O 点为l .该处的磁感强度为θμsin 20l I B π=2分 方向垂直于纸面向里. 1分电流元I d l 受到的磁力为 B l I F ϖϖϖ⨯=d d 2分其大小θμsin 2d d d 20l lI l IB F π== 2分 方向垂直于导线2,如图所示.该力对O 点的力矩为 1分θμsin 2d d d 20π==lI F l M 2分 任一段单位长度导线所受磁力对O 点的力矩⎰⎰+π==120d sin 2d l l l I M M θμθμsin 220π=I 2分 导线2所受力矩方向垂直图面向上,导线1所受力矩方向与此相反.23. (C) 24. (B)25. 解: ===l NI nI H /200 A/m3分===H H B r μμμ0 1.06 T 2分26. 解: B = Φ /S=2.0×10-2 T 2分===l NI nI H /32 A/m 2分 ==H B /μ 6.25×10-4 T ·m/A 2分=-=1/0μμχm 496 2分9. 一磁场的磁感强度为k c j b i a B ϖϖϖϖ++= (SI),则通过一半径为R ,开口向z 轴正方向的半球壳表面的磁通量的大小为____________Wb .10.任意曲面在匀强磁场B ϖ中,取一半径为R 的圆,圆面的法线n ϖ与B ϖ成60°角,如图所示,则通过以该圆周为边线的如图所示的任意曲面S 的磁通量==⎰⎰⋅Sm S B ϖϖd Φ_______________________.11. 一质点带有电荷q =8.0×10-10 C ,以速度v =3.0×105 m ·s -1在半径为R =6.00×10-3 m 的圆周上,作匀速圆周运动.该带电质点在轨道中心所产生的磁感强度B =__________________,该带电质点轨道运动的磁矩p m =___________________.(μ0 =4π×10-7 H ·m -1)12. 载有一定电流的圆线圈在周围空间产生的磁场与圆线圈半径R 有关,当圆线圈半径增大时,(1) 圆线圈中心点(即圆心)的磁场__________________________.(2) 圆线圈轴线上各点的磁场________如图,平行的无限长直载流导线A 和B ,电流强度均为I ,垂直纸面向外,两根载流导线之间相距为a ,则(1) AB 中点(P 点)的磁感强度=p B ϖ_____________.(2) 磁感强度B ϖ沿图中环路L 的线积分 =⎰⋅L l B ϖϖd ______________________.14. 一条无限长直导线载有10 A 的电流.在离它 0.5 m 远的地方它产生的磁感强度B 为______________________.一条长直载流导线,在离它 1 cm 处产生的磁感强度是10-4 T ,它所载的电流为__________________________.两根长直导线通有电流I ,图示有三种环路;在每种情况下,⎰⋅lB ϖϖd 等于:____________________________________(对环路a ).____________________________________(对环路b ).____________________________________(对环路c ).设氢原子基态的电子轨道半径为a 0,求由于电子的轨道运动(如图)在原子核处(圆心处)产生的磁感强度的大小和方向.17.一根无限长导线弯成如图形状,设各线段都在同一平面内(纸面内),其中第二段是半径为R 的四分之一圆弧,其余为直线.导线中通有电流I ,求图中O 点处的磁感强度.18.z y xR 1 321d l I ϖ2d l I ϖ3d l I ϖO如图,1、3为半无限长直载流导线,它们与半圆形载流导线2相连.导线1在xOy平面内,导线2、3在Oyz 平面内.试指出电流元1d l I ϖ、2d l I ϖ、3d l I ϖ在O 点产生的Bϖd 的方向,并写出此载流导线在O 点总磁感强度(包括大小与方向).19.一根半径为R 的长直导线载有电流I ,作一宽为R 、长为l 的假想平面S ,如图所示。
1(20分)如图12所示,PR 是一块长为L =4 m 的绝缘平板固定在水平地面上,整个空间有一个平行于PR 的匀强电场E ,在板的右半部分有一个垂直于纸面向外的匀强磁场B ,一个质量为m =0.1 kg ,带电量为q =0.5 C 的物体,从板的P 端由静止开始在电场力和摩擦力的作用下向右做匀加速运动,进入磁场后恰能做匀速运动。
当物体碰到板R 端的挡板后被弹回,若在碰撞瞬间撤去电场,物体返回时在磁场中仍做匀速运动,离开磁场后做匀减速运动停在C 点,PC =L/4,物体与平板间的动摩擦因数为μ=0.4,取g=10m/s 2 ,求:(1)判断物体带电性质,正电荷还是负电荷? (2)物体与挡板碰撞前后的速度v 1和v 2 (3)磁感应强度B 的大小 (4)电场强度E 的大小和方向1(1)由于物体返回后在磁场中无电场,且仍做匀速运动,故知摩擦力为0,所以物体带正电荷.且:mg =qBv 2…………………………………………………………①(2)离开电场后,按动能定理,有:-μmg4L =0-21mv 2………………………………② 由①式得:v 2=22 m/s(3)代入前式①求得:B =22T (4)由于电荷由P 运动到C 点做匀加速运动,可知电场强度方向水平向右,且:(Eq -μmg )212=L mv 12-0……………………………………………③ 进入电磁场后做匀速运动,故有:Eq =μ(qBv 1+mg )……………………………④由以上③④两式得:⎩⎨⎧==N/C2.4m/s241E v2如图所示,两平行金属板A 、B 长l =8cm ,两板间距离d =8cm ,A 板比B 板电势高300V ,即U AB =300V 。
一带正电的粒子电量q =10-10C ,质量m =10-20kg ,从R 点沿电场中心线垂直电场线飞入电场,初速度v 0=2×106m/s ,粒子飞出平行板电场后经过界面MN 、PS 间的无电场区域后,进入固定在中心线上的O 点的点电荷Q 形成的电场区域(设界面PS 右边点电荷的电场分布不受界面的影响)。
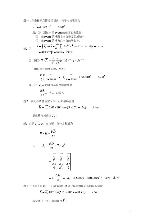
题一 .在坐标原点附近区域内,传导电流密度为:25.1/10m A r a J r c -=求:① 通过半径r=1mm 的球面的电流值。
② 在r=1mm 的球面上电荷密度的增加率。
③ 在r=1mm 的球内总电荷的增加率。
解:①Amm r rmm r d d d r r d J I c 97.31401sin 105.02025.1=====⋅=⎰⎰⎰πϕθθθππ② 因为 5.25.1225)10(1--==⋅∇r r r rd d r J c 由电流连续性方程,得到:38/1058.111m A mm mmr t ⨯-==∇-==∂∂ρ③ 在r=1mm 的球内总电荷的增加率A I td d 97.3-=-=θ题2. 在无源的自由空间中,已知磁场强度m A z t a y /)10103(cos 1063.295-⨯⨯=-求位移电流密度d J 。
解:由于0=c J ,麦克斯韦第一方程成为tD∂∂=⨯∇ ∴ tDJ d ⨯∇=∂∂=yy H y a ∂∂=294/)10103sin(1063.2m A z t a zH a xy x-⨯⨯-=∂∂=-题3 在无源的区域中,已知调频广播电台辐射的电磁场的电场强度m v z a y /)9.201028.6sin(1092-+⨯=-求空间任一点的磁感强度。
解:由麦克斯韦第二方程E t⨯-∇=∂∂yy E y a ∂∂=z E a y x∂∂= )9.201028.6cos(109.2092z t a x -⨯⨯-=- 将上式对时间t 积分,若不考虑静态场,则有 )9.201028.6cos(109.2092z t a t d tx -⨯⨯-=∂∂=⎰⎰- T z t a t d x )9.201028.6sin(1033.3911-⨯⨯-=-题4. 已知自由空间中,电场强度表达式为)(cos z t w a x β-=;求磁场强度的表达式。
解: ⨯∇tB∂∂-= 第二方程 且在自由空间中 ⋅=μ∴)(1100x y E za t H ∂∂-=⨯∇-=∂∂μμ)sin(10z t w a yββμ--= ∴)cos()sin(00z t w wa t d z t w a H y yβμββμβ-=--=⎰上式积分的常数项对时间是恒定的量,在时变场中一般取这种与t 无关的恒定分量为0。
(2004)25.(22分)下图是某种静电分选器的原理示意图。
两个竖直放置的平行金属板带有等量异号电荷,形成匀强电场。
分选器漏斗的出口与两板上端处于同一高度,到两板距离相等。
混合在一起的a、b两种颗粒从漏斗出口下落时,a种颗粒带上正电,b 种颗粒带上负电。
经分选电场后,a、b两种颗粒分别落到水平传送带A、B上。
已知两板间距d=0.1m,板的度l=0.5m,电场仅局限在平行板之间;各颗粒所带电量大小与其质量之比均为1×10-5C/kg。
设颗粒进入电场时的初速度为零,分选过程中颗粒大小及颗粒间的相互作用力不计。
要求两种颗粒离开电场区域时,不接触到极板但有最大偏转量。
重力加速度g取10m/s2。
(1)左右两板各带何种电荷?两极板间的电压多大?(2)若两带电平行板的下端距传送带A、B的高度H=0.3m,颗粒落至传送带时的速度大小是多少?(3)设颗粒每次与传带碰撞反弹时,沿竖直方向的速度大小为碰撞前竖直方向速度大小的一半。
写出颗粒第n次碰撞反弹高度的表达式。
并求出经过多少次碰撞,颗粒反弹的高度小于0.01。
(2005)24.(18分)真空中存在空间范围足够大的、水平向右的匀强电场。
在电场中,若将一个质量为m、带正电的小球由静止释放,运动中小球速度与竖直方向夹角为37°(取sin37°=0.6,cos37°=0.8)。
现将该小球从电场中某点以初速度v0竖直向上抛出。
求运动过程中(1)小球受到的电场力的大小及方向(2)小球从抛出点至最高点的电势能变化量(3)小球的最小动量的大小及方向。
(2006)23.(18分)如图1所示,真空中相距d =5cm 的两块平行金属板A 、B 与电源连接(图中未画出),其中B 板接地(电势为零),A 板电势变化的规律如图2所示。
将一个质量m =2.0×1027 kg ,电量q =+1.6×10-19 C 的带电粒子从紧临B 板处释放,不计重力。
高中物理竞赛习题之电磁场经典例题一、选择题1. 如图所示将一个电量为q 的点电荷放在一个半径为R 的不带电的导体球附近,点电荷距导体球球心为d ,参见附图。
设无穷远处为零电势,则在导体球球心O 点有( )(A )dεq V E 0π4,0==(B )dεq V d εq E 020π4,π4== (C )0,0==V E(D )Rεq V d εq E 020π4,π4== 解析: 达到静电平衡时导体内处处各点电场强度为零。
点电荷q 在导体球表面感应等量异号的感应电荷±q′,导体球表面的感应电荷±q′在球心O 点激发的电势为零,O 点的电势等于点电荷q 在该处激发的电势。
因而正确答案为(A )。
2、在图(a)和(b)中各有一半径相同的圆形回路L1 、L2 ,圆周内有电流I1 、I2 ,其分布相同,且均在真空中,但在(b)图中L2 回路外有电流I3 ,P 1 、P 2 为两圆形回路上的对应点,则( )(A ) ⎰⎰⋅=⋅21L L d d l B l B ,21P P B B = (B ) ⎰⎰⋅≠⋅21L L d d l B l B ,21P P B B = (C ) ⎰⎰⋅=⋅21L L d d l B l B ,21P P B B ≠ (D ) ⎰⎰⋅≠⋅21L L d d l B l B ,21P P B B ≠ 解析:由磁场中的安培环路定律,积分回路外的电流不会影响磁感强度沿回路的积分;但同样会改变回路上各点的磁场分布.因而正确答案为(C ).3、对位移电流,下述四种说法中哪一种说法是正确的是( )(A ) 位移电流的实质是变化的电场(B ) 位移电流和传导电流一样是定向运动的电荷(C ) 位移电流服从传导电流遵循的所有定律(D ) 位移电流的磁效应不服从安培环路定理解析:位移电流的实质是变化的电场.变化的电场激发磁场,在这一点位移电流等效于传导电流,但是位移电流不是走向运动的电荷,也就不服从焦耳热效应、安培力等定律.因而正确答案为(A ).4.将形状完全相同的铜环和木环静止放置在交变磁场中,并假设通过两环面的磁通量随时间的变化率相等,不计自感时则( )(A ) 铜环中有感应电流,木环中无感应电流(B ) 铜环中有感应电流,木环中有感应电流(C ) 铜环中感应电动势大,木环中感应电动势小(D ) 铜环中感应电动势小,木环中感应电动势大分析与解 根据法拉第电磁感应定律,铜环、木环中的感应电场大小相等,但在木环中不会形成电流.因而正确答案为(A ).二、计算题5、如图所示,有三个点电荷Q 1 、Q 2 、Q 3 沿一条直线等间距分布且Q 1 =Q 3 =Q .已知其中任一点电荷所受合力均为零,求在固定Q 1 、Q 3 的情况下,将Q 2从点O 移到无穷远处外力所作的功.解析:由库仑力的定义,根据Q 1 、Q 3 所受合力为零可求得Q 2 .外力作功W ′应等于电场力作功W 的负值,即W ′=-W .求电场力作功的方法有两种:(1)根据功的定义,电场力作的功为l E d 02⎰∞=Q W 其中E 是点电荷Q 1 、Q 3 产生的合电场强度.(2) 根据电场力作功与电势能差的关系,有()0202V Q V V Q W =-=∞其中V 0 是Q 1 、Q 3 在点O 产生的电势(取无穷远处为零电势).解1 由题意Q 1 所受的合力为零()02π4π420312021=+d εQ Q d εQ Q 解得 Q Q Q 414132-=-=由点电荷电场的叠加,Q 1 、Q 3 激发的电场在y 轴上任意一点的电场强度为 ()2/322031π2y d εQ E E E yy y +=+=将Q 2 从点O 沿y 轴移到无穷远处,(沿其他路径所作的功相同,请想一想为什么?)外力所作的功为()d εQ y y d εQ Q Q W y 022/3220002π8d π241d =+⋅⎥⎦⎤⎢⎣⎡--=⋅-='⎰⎰∞∞l E 解2 与解1相同,在任一点电荷所受合力均为零时Q Q 412-=,并由电势的叠加得Q 1 、Q 3 在点O 的电势dεQ d εQ d εQ V 003010π2π4π4=+= 将Q 2 从点O 推到无穷远处的过程中,外力作功dεQ V Q W 0202π8=-=' 比较上述两种方法,显然用功与电势能变化的关系来求解较为简洁.这是因为在许多实际问题中直接求电场分布困难较大,而求电势分布要简单得多.6、在一半径为R 1 =6.0 cm 的金属球A 外面套有一个同心的金属球壳B .已知球壳B 的内、外半径分别为R 2=8.0 cm ,R 3 =10.0 cm .设球A 带有总电荷Q A =3.0 ×10-8C ,球壳B 带有总电荷Q B =2.0×10-8C .(1) 求球壳B 内、外表面上所带的电荷以及球A 和球壳B 的电势;(2) 将球壳B 接地然后断开,再把金属球A 接地,求金属球A 和球壳B 内、外表面上所带的电荷以及球A 和球壳B 的电势.解析:(1) 根据静电感应和静电平衡时导体表面电荷分布的规律,电荷Q A 均匀分布在球A 表面,球壳B 内表面带电荷-Q A ,外表面带电荷Q B +Q A ,电荷在导体表面均匀分布[图(a)],由带电球面电势的叠加可求得球A 和球壳B 的电势.(2) 导体接地,表明导体与大地等电势(大地电势通常取为零).球壳B 接地后,外表面的电荷与从大地流入的负电荷中和,球壳内表面带电-Q A [图(b)].断开球壳B 的接地后,再将球A 接地,此时球A 的电势为零.电势的变化必将引起电荷的重新分布,以保持导体的静电平衡.不失一般性可设此时球A 带电q A ,根据静电平衡时导体上电荷的分布规律,可知球壳B 内表面感应-q A ,外表面带电q A -Q A [图(c )].此时球A 的电势可表示为0π4π4π4302010=-+-+=R εQ q R εq R εq V A A A A A 由V A =0 可解出球A 所带的电荷q A ,再由带电球面电势的叠加,可求出球A 和球壳B 的电势.解 (1) 由分析可知,球A 的外表面带电3.0 ×10-8C ,球壳B 内表面带电-3.0 ×10-8C ,外表面带电5.0 ×10-8C .由电势的叠加,球A 和球壳B 的电势分别为V 106.5π4π4π43302010⨯=-+-+=R εQ Q R εQ R εq V A A A A A V 105.4π4330⨯=+=R εQ Q V B A B (2) 将球壳B 接地后断开,再把球A 接地,设球A 带电q A ,球A 和球壳B 的电势为0π4π4π4302010=+-+-+=R εq Q R εq R εq V A A A A A 30π4R εq Q V A A B +-= 解得C 1012.2831322121-⨯=-+=R R R R R R Q R R q A A 即球A 外表面带电2.12 ×10-8C ,由分析可推得球壳B 内表面带电-2.12 ×10-8C ,外表面带电-0.9 ×10-8C .另外球A 和球壳B 的电势分别为0A V =27.2910V B V =-⨯导体的接地使各导体的电势分布发生变化,打破了原有的静电平衡,导体表面的电荷将重新分布,以建立新的静电平衡.7、如图所示球形金属腔带电量为Q >0,内半径为ɑ,外半径为b ,腔内距球心O 为r 处有一点电荷q ,求球心的电势.解析:导体球达到静电平衡时,内表面感应电荷-q ,外表面感应电荷q ;内表面感应电荷不均匀分布,外表面感应电荷均匀分布.球心O 点的电势由点电荷q 、导体表面的感应电荷共同决定.在带电面上任意取一电荷元,电荷元在球心产生的电势Rεq V 0π4d d = 由于R 为常量,因而无论球面电荷如何分布,半径为R 的带电球面在球心产生的电势为R εq R εq V s 00π4π4d ==⎰⎰由电势的叠加可以求得球心的电势. 解 导体球内表面感应电荷-q ,外表面感应电荷q ;依照分析,球心的电势为bεQ q a εq r εq V 000π4π4π4++-= 8、有一个空气平板电容器,极板面积为S ,间距为d .现将该电容器接在端电压为U 的电源上充电,当(1) 充足电后;(2) 然后平行插入一块面积相同、厚度为δ(δ <d )、相对电容率为εr 的电介质板;(3) 将上述电介质换为同样大小的导体板.分别求电容器的电容C ,极板上的电荷Q 和极板间的电场强度E .解析:电源对电容器充电,电容器极板间的电势差等于电源端电压U .插入电介质后,由于介质界面出现极化电荷,极化电荷在介质中激发的电场与原电容器极板上自由电荷激发的电场方向相反,介质内的电场减弱.由于极板间的距离d 不变,因而与电源相接的导体极板将会从电源获得电荷,以维持电势差不变,并有()δSεεQ δd S εQ U r 00+-= 相类似的原因,在平板电容器极板之间,若平行地插入一块导体板,由于极板上的自由电荷和插入导体板上的感应电荷在导体板内激发的电场相互抵消,与电源相接的导体极板将会从电源获得电荷,使间隙中的电场E 增强,以维持两极板间的电势差不变,并有()δd SεQ U -=0 综上所述,接上电源的平板电容器,插入介质或导体后,极板上的自由电荷均会增加,而电势差保持不变.解 (1) 空气平板电容器的电容dS εC 00= 充电后,极板上的电荷和极板间的电场强度为U dS εQ 00= d U E /0=(2) 插入电介质后,电容器的电容C 1 为()()δd εδS εεδS εεQ δd S εQ Q C r r r -+=⎥⎦⎤⎢⎣⎡+-=0001/ 故有()δd εδSU εεU C C r r -+==011 介质内电场强度 ()δd εδU S εεQ E r r -+=='011 空气中电场强度 ()δd εδU εS εQ E r r -+==011 (3) 插入导体达到静电平衡后,导体为等势体,其电容和极板上的电荷分别为δd S εC -=02 U δd S εQ -=02 导体中电场强度 02='E 空气中电场强度δd U E -=2 无论是插入介质还是插入导体,由于电容器的导体极板与电源相连,在维持电势差不变的同时都从电源获得了电荷,自由电荷分布的变化同样使得介质内的电场强度不再等于E 0/εr.9、如图所示,有两根导线沿半径方向接触铁环的a 、b 两点,并与很远处的电源相接。
电磁场计算题专项练习、电场1、(20分)如图所示,为一个实验室模拟货物传送的装置,A是一个表面绝缘质量为Ikg的小车,小车置于光滑的水平面上,在小车左端放置一质量为0.1kg 带电量为q=1× 10-2C的绝缘货柜,现将一质量为0∙9kg的货物放在货柜内.在传送途中有一水平电场,可以通过开关控制其有、无及方向.先产生一个方向水平向右,大小Eι=3×102N∕m的电场,小车和货柜开始运动,作用时间2s后,改变电场,电场大小变为E2=1 × 10N∕m,方向向左,电场作用一段时间后,关闭电场,小车正好到达目的地,货物到达小车的最右端,且小车和货物的速度恰好为零。
已知货柜与小车间的动摩擦因数尸0.1,(小车不带电,货柜及货物体积大小不计,g 取10m∕s2)求:⑴第二次电场作用的时间;⑵小车的长度;⑶小车右端到达目的地的距离.16(8分)如图所示,水平轨道与直径为d=0.8m的半圆轨道相接,半圆轨道的两端点A、B连线是一条竖直线,整个装置处于方向水平向右,大小为103V∕m的匀强电场中,一小球质量m=0.5kg,带有q=5× 10-3C电量的正电荷,在电场力作用下由静止开始运动,不计一切摩擦,g=10m∕s2(1)若它运动的起点离A为L,它恰能到达轨道最高点B,求小球在B点的速度和L的值.(2)若它运动起点离A为L=2.6m,且它运动到B点时电场消失,它继续运动直到落地,求落地点与起点的距离.6如图所示,两平行金属板 A 、B 长I = 8cm 两板间距离d = 8cm A 板比B 板电 势高300V,即卩UAB= 300VO 一带正电的粒子电量 q = 10-10C ,质量 m= 10-2Okg , 从R 点沿电场中心线垂直电场线飞入电场,初速度 v0 = 2× 106m∕s ,粒子飞出平 行板电场后经过界面MN PS 间的无电场区域后,进入固定在中心线上的 O 点的 点电荷Q 形成的电场区域(设界面PS 右边点电荷的电场分布不受界面的影响)。
电磁感应、电磁场习题班级 姓名 学号 成绩一、选择题1、已知圆环式螺线管的自感系数为L ,若将该螺线管锯成两个半环式的螺线管,则两个半环式的螺线管的自感系数为【 】(A) 都等于L /2 (B) 有一个大于L /2,另一个小于 L /2 (C) 都大于L /2 (D) 都小于L /22、如图,一导体棒ab 在均匀磁场中沿金属导轨向右作匀加速运动,磁场方向垂直导轨所在平面,若导轨电阻忽略不计,并设铁心磁导率为常数,则达到稳定后在电容器的M 极板上【 】(A) 带有一定量的正电荷 (B) 带有一定量的负电荷 (C) 带有越来越多的正电荷 (D) 带有越来越多的负电荷3、两个闭合的金属环,穿在一光滑的绝缘杆上,如图所示。
当条形磁铁N 极自右向左插向圆环时,两圆环的运动是【 】(A) 边向左移动边分开 (B) 边向右移动边合拢 (C) 边向左移动边合拢 (D) 同时同向运动 4、导体棒AB 在匀强磁场中绕ON 轴匀角速转动。
磁感应强度为B ,方向平行ON 轴,角速度为ω。
ON 轴垂直于棒AB 且通过其中点C ,棒长为l ,如图所示。
A 、B 、C 三点电势以U A 、U B 、U C 表示,则【 】和【 】是正确的。
(A) U A > U C (B) U C >U A (C) U B >U C (D) U B <U C5、如图所示,圆形均匀分布的磁场中,磁场的磁感应强度变化率dB/dt<0,磁场中有三条导线,分别为直线ab 、曲线acb 、和折线acb ,导线中感应电动势最大的是【 】,最小的是【 】(A) 直线ab (B) 曲线acb (C) 折线acb (D) 无法确定 6、一导体圆线圈在均匀磁场中运动,下列几种情况,能产生感应电流的是【 】 (A) 线圈沿磁场方向平移 (B) 线圈沿垂直磁场方向平移 (C) 线圈以自身的直径为轴转动, 转动轴与磁场方向平行 (D) 线圈以自身的直径为轴转动, 转动轴与磁场方向垂直7、有一个铜环和木环, 其尺寸完全一样. 今用两根相同的磁铁, 从相同起始距离, 以相同的速度插入铜环和木环, 则在插入过程某一时刻【 】(A) 铜环中的磁通量大于木环中的磁通量 (B) 铜环中的磁通量小于木环中的磁通量(C) 两个环中的磁通量相等 (D) 无法判定8、在自感为0.25H 的线圈中, 当电流在(1/16)s 内由2A 线性减少到零的感应电压为【 】 (A) 2V (B) 4V (C) 8V (D) 16V9、由两个完全相同的电感器L 0组成一个电感器组, 使得每一个线圈耦合的全部磁通也与另一个线圈耦合, 则它们串联时电感与并联时电感之比为【 】(A) 1:1 (B) 2:1 (C) 3:1 (D) 4:1 10、在有磁场变化的空间, 如果没有导体, 则在此空间【 】(A) 一定有电场存在, 也有感应电动势 (B) 一定无电场存在, 也无感应电动势 (C) 一定无电场存在, 但有感应电动势 (D) 一定有电场存在, 但无感应电动势二、填空题1、一导线被弯成如图所示形状,弧a ,c ,b 为 半径为R 的四分之三圆弧,直线段oa 长为R ,若将此导线放在匀强磁场B 中,B 的方向垂直图面向内,导线以角速度ω在图面内绕O 点匀速转动,则此导线中的动生电动势εi = 。
CH1 静电场例1-1 无限长线电荷周围电场(记住结论公式)
例1-4 无限大均匀带电平面周围的电场(记住结论公式)
例1-7 用高斯定律计算静电场(同轴电缆多层绝缘比单层绝缘有优势)
例1-8 用高斯定律计算静电场(带电球体内、外的电场)
* 例1-11 用分界面衔接条件计算静电场(平行板电容器)
* 例1-13 用边值问题求解泊松方程计算静电场(平行板电容器)
镜像法
1. 平面镜像(记住结论)
2. 球面镜像(记住结论)
3. 双层介质镜像(记住结论)
静电能量
例1 平板电容器
例1-21 球电荷静电能量
CH2 恒定电场*例2-2 同轴电缆的绝缘电阻
接地电阻(记住结论)
跨步电压(记住结论)
CH3 恒定磁场几种典型电流引起的磁场(记住结论)
例3-3 用安培环路定律计算恒定磁场。