高三数学专题分类
- 格式:doc
- 大小:19.00 KB
- 文档页数:5
高三数学常见题型解析高三数学考试是中学学业水平考试中最为重要的一次,也是学生衡量数学能力的重要标准。
为了帮助高三学生提升数学解题能力,以下将对高三数学常见题型进行详细的解析与讲解。
一、选择题选择题是高三数学考试中最常见的题型,要求学生从给出的选项中选择正确答案。
解答选择题的关键是理解题意,并灵活运用所学的知识与技巧。
1. 解析代数方程选择题代数方程是高三数学中重要的内容之一,而解代数方程的选择题更是经常出现在考试中。
解答这类题目时,首先应该将方程中的各项整理到一边,使方程等于零。
然后,根据题目的要求,运用求根公式或配方法解方程,最后再验证求出的根是否符合原方程。
2. 几何问题选择题几何问题的选择题主要考察学生对几何图形性质的理解和推理能力。
在解答这类题目时,要善于利用几何图形的特点,灵活运用几何定理和几何性质。
可以通过构造辅助线、利用相似三角形、平行线、垂直交角等方法来解答,并注意排除干扰选项。
二、填空题填空题要求学生根据已知条件,计算出未知数的值或量的大小。
解答这类题目需要掌握各类数学定理和运算方法,并能够正确地进行计算。
1. 解析函数填空题函数是高三数学中的重要内容之一,函数的填空题也是经常出现在考试中。
在解答这类题目时,需要理解函数的基本概念、性质和运算方法。
根据给出的函数表达式或函数性质,利用函数关系进行推导和计算,最终得出填空的答案。
2. 解析数列填空题数列是高三数学中的基础内容,数列的填空题要求学生根据数列的规律和性质,填写出缺失的项。
解答这类题目时,可以通过观察数列的前几项,寻找其规律,并利用该规律计算未知项的值。
另外,根据数列的性质,还可以运用数列的递推公式或通项公式进行计算。
三、解答题解答题是高三数学考试中较为复杂和综合的题型,要求学生综合运用所学的数学知识和解题方法,进行推理和解答。
1. 解析函数解答题函数解答题一般要求学生分析函数的性质、运算规律,进行推理和论证。
在解答这类题目时,可以从函数的定义、性质和图像入手,进行详细的分析和讨论。
专题30数列求和5题型分类数列求和的几种常用方法1.公式法直接利用等差数列、等比数列的前n项和公式求和.(1)等差数列的前n项和公式:S n=n(a1+a n)2=na1+n(n-1)2d.(2)等比数列的前n项和公式:S n1,=a1(1-q n)1-q,q≠1.2.分组求和法与并项求和法(1)分组求和法若一个数列是由若干个等差数列或等比数列或可求和的数列组成,则求和时可用分组求和法,分别求和后相加减.(2)并项求和法一个数列的前n项和中,可两两结合求解,则称之为并项求和.形如a n=(-1)n f(n)类型,可采用两项合并求解.3.错位相减法如果一个数列的各项是由一个等差数列和一个等比数列的对应项之积构成的,那么这个数列的前n 项和即可用此法来求,如等比数列的前n 项和公式就是用此法推导的.4.裂项相消法把数列的通项拆成两项之差,在求和时中间的一些项可以相互抵消,从而求得其和.常见的裂项技巧(1)1n (n +1)=1n -1n +1.(2)1n (n +2)=(3)1(2n -1)(2n +1)=(4)1n +n +1=n +1-n .(5)1n (n +1)(n +2)=121n (n +1)-1(n +1)(n +2).常用结论常用求和公式(1)1+2+3+4+…+n =n (n +1)2.(2)1+3+5+7+…+(2n -1)=n 2.(3)12+22+32+…+n 2=n (n +1)(2n +1).(4)13+23+33+…+n 3=n (n +1)22.(一)分组求和(1)若数列{c n }的通项公式为c n =a n ±b n ,且{a n },{b n }为等差或等比数列,可采用分组求和法求数列{c n }的前n 项和.(2)若数列{c n }的通项公式为c n =a n ,n 为奇数,b n ,n 为偶数,其中数列{a n },{b n }是等比数列或等差数列,可采用分组求和法求{c n }的前n 项和.(二)错位相减法求和(1)如果数列{a n}是等差数列,{b n}是等比数列,求数列{a n·b n}的前n项和时,常采用错位相减法.(2)错位相减法求和时,应注意:①在写出“S n”与“qS n”的表达式时应特别注意将两式“错项对齐”,以便于下一步准确地写出“S n-qS n”的表达式.②应用等比数列求和公式时必须注意公比q是否等于1,如果q=1,应用公式S n=na1.b(三)裂项相消法的原则及规律(1)裂项原则一般是前面裂几项,后面就裂几项,直到发现被消去项的规律为止.(2)消项规律消项后前面剩几项,后面就剩几项,前面剩第几项,后面就剩倒数第几项.2(四)倒序相加法将一个数列倒过来排列,当它与原数列相加时,若有规律可循,并且容易求和,则这样的数列求和时可用倒序相加法(等差数列前n项和公式的推导即用此方法).一、单选题1.(2024高二上·陕西西安·阶段练习)数列9,99,999,…的前n 项和为A .109(10n -1)+n B .10n -1C .109(10n -1)D .109(10n -1)-n 2.(2024高二下·湖北·阶段练习)高斯(Gauss )被认为是历史上最重要的数学家之一,并享有“数学王子”之称.小学进行123100++++L 的求和运算时,他这样算的:1100101+=,299101+=,…,5051101+=,共有50组,所以501015050⨯=,这就是著名的高斯算法,课本上推导等差数列前n 项和的方法正是借助了高斯算法.已知正数数列{}n a 是公比不等于1的等比数列,且120231a a =,试根据以上提示探求:若24()1f x x =+,则()()()122023f a f a f a +++= ()A .2023B .4046C .2022D .40443.(2024高三下·江西·开学考试)已知数列21443n n ⎧⎫⎨⎬+-⎩⎭的前n 项和为n T ,若对任意的*n ∈N ,不等式263n T a a <-恒成立,则实数a 的取值范围是()A .2,[1,)3⎛⎤-∞-+∞ ⎥⎝⎦ B .2(,1],3⎡⎫-∞-+∞⎪⎢⎣⎭ C .2,13⎡⎤-⎢⎥⎣⎦D .2,(1,)3x ⎛⎫--+∞ ⎪⎝⎭ 4.(2024·浙江)已知数列{}n a满足)111,N n a a n *+==∈.记数列{}n a 的前n 项和为n S ,则()A .100332S <<B .10034S <<C .100942S <<D .100952S <<二、填空题5.(2024高二下·江苏南京·期中)已知数列{}i a 的项数为()N n n *∈,且1C (1,2,)i i n i n a a i n -++== ,则{}i a 的前n 项和n S 为.6.(2024高二上·湖北黄冈·期末)1202年意大利数学家列昂那多-斐波那契以兔子繁殖为例,引人“兔子数列”,又称斐波那契数列,即11235813213455 ,,,,,,,,,,该数列中的数字被人们称为神奇数,在现代物理,化学等领域都有着广泛的应用.若此数列各项被3除后的余数构成一新数列{}n a ,则数列{}n a 的前2022项的和为.7.(2024高二上·上海黄浦·期中)数列()()()22311,(12),122,1222,,122,n -+++++++++ 的前n 项和为.8.(2024高三下·全国·开学考试)现取长度为2的线段MN 的中点1M ,以1MM 为直径作半圆,该半圆的面积为1S (图1),再取线段1M N 的中点2M ,以12M M 为直径作半圆.所得半圆的面积之和为2S (图2),再取线段2M N 的中点3M ,以23M M 为直径作半圆,所得半圆的面积之和为3S ,以此类推,则1ni i iS ==∑.9.(2024高三·全国·对口高考)已知函数4()42x x f x =+,则()(1)f x f x +-=;数列{}n a 满足2016n n a f ⎛⎫= ⎪⎝⎭,则这个数列的前2015项的和等于.10.(2024·江苏·模拟预测)若数列{}n a 满足C (1,2,3,,1)ii n i n a a i n -+==- ,12n a =,则{}n a 的前n 项和为.11.(2024高三·全国·专题练习)已知{}n a 为无穷等比数列,13a =,n a 的各项和为9,2n n b a =,则数列{}n b 的各项和为.12.(2024·全国)某校学生在研究民间剪纸艺术时,发现剪纸时经常会沿纸的某条对称轴把纸对折,规格为20dm 12dm ⨯的长方形纸,对折1次共可以得到10dm 12dm ⨯,20dm 6dm ⨯两种规格的图形,它们的面积之和21240dm S =,对折2次共可以得到5dm 12dm ⨯,10dm 6dm ⨯,20dm 3dm ⨯三种规格的图形,它们的面积之和22180dm S =,以此类推,则对折4次共可以得到不同规格图形的种数为;如果对折n 次,那么1nkk S==∑2dm .13.(2024·湖北·模拟预测)“数学王子”高斯是近代数学奠基者之一,他的数学研究几乎遍及所有领域,并且高斯研究出很多数学理论,比如高斯函数、倒序相加法、最小二乘法、每一个n 阶代数方程必有n 个复数解等.若函数()22log 1x f x x =-,设()112311,,2n n a a f f f f n n n n n n -⎛⎫⎛⎫⎛⎫⎛⎫==++++∈≥ ⎪ ⎪ ⎪⎝⎭⎝⎭⎝⎭⎝⎭N ,则1210a a a +++=.14.(2024·黑龙江齐齐哈尔·三模)已知数列{}n a 的前n 项和为n S ,且1211121n n S S S n ++⋅⋅⋅+=+,设函数()1cos π2f x x =+,则32021122022202220222022a a a a f f f f ⎛⎫⎛⎫⎛⎫⎛⎫+++⋅⋅⋅+= ⎪ ⎪ ⎪ ⎪⎝⎭⎝⎭⎝⎭⎝⎭.15.(2024高三上·河北·阶段练习)德国大数学家高斯年少成名,被誉为数学届的王子,19岁的高斯得到了一个数学史上非常重要的结论,就是《正十七边形尺规作图之理论与方法》.在其年幼时,对123100+++⋯⋯+的求和运算中,提出了倒序相加法的原理,该原理基于所给数据前后对应项的和呈现一定的规律生成,因此,此方法也称之为高斯算法,现有函数()xf x ={}n a 满足()121(0)(1)N n n a f f f f f n n n n *-⎛⎫⎛⎫⎛⎫=+++++∈ ⎪ ⎪⎝⎭⎝⎭⎝⎭,若12n n n b a +=,则{}n b 的前n 项和n S =.16.(2024高三上·福建泉州·期中)已知12cos 2cos x x f x x +⎛⎫+= ⎪⎝⎭,则202112022i i f =⎛⎫=⎪⎝⎭∑.17.(2024高三·全国·对口高考)数列()55,55,555,5555,,101,9n- 的前n 项和n S =.18.(2024高二上·湖北黄冈·期末)已知{}n a 的前n 项和为n S ,()()1221n n n n aa n +++-=,50600S =,则12a a +=.三、解答题19.(2024高一下·山西·阶段练习)已知数列{}221:1,12,122,,1222,-+++++++ n n a ,求数列{}n a 的前n 项和n S .20.(2024高三上·河北·期末)已知数列{}n a 满足312232222n na a a a n ++++= .(1)求数列{}n a 的通项公式;(2)若2log n n b a =,求数列11n n b b +⎧⎫⎨⎬⋅⎩⎭的前n 项和.21.(2024高三上·河北邯郸·阶段练习)已知数列{}n a 的前n 项和为n S ,且满足11340,4n n a S a +--==.(1)证明:数列{}n a 是等比数列;(2)求数列{}n na 的前n 项和n T .22.(2024·陕西商洛·模拟预测)已知公差为正数的等差数列{}n a 的前n 项和为2,3n S a =,且136,,23a a a +成等比数列.(1)求n a 和n S .(2)设n b =,求数列{}n b 的前n 项和n T .23.(2024高三上·海南·期末)已知数列{}n a 满足14a =,*122(N )n n a a n +=+∈.(1)求数列{}n a 的通项公式;(2)若1n n n b a a +=+,求数列{}n b 的前n 项和n S .24.(2024高一下·广东梅州·期末)已知等差数列{}n a 的前四项和为10,且237,,a a a 成等比数列(1)求通项公式na (2)设2n an b =,求数列n b 的前n 项和nS 25.(2024高三上·辽宁大连·期末)已知数列{}n a 满足:()*111,1,2,n n n a n a a n a n +-⎧==∈⎨⎩N 为奇数为偶数.设21n n b a -=.(1)证明:数列{}2n b -为等比数列,并求出{}n b 的通项公式;(2)求数列{}n a 的前2n 项和2n S .26.(2024高三上·重庆·阶段练习)已知数列{}n a 中,2122a a ==,且22,4,n n na n a a n ++⎧=⎨⎩为奇数为偶数.(1)求{}n a 的通项公式;(2)求{}n a 的前10项和10S .27.(2024·云南红河·一模)已知等比数列{}n a 的前n 项和为n S ,其中公比451211,8a a q a a +≠-=+,且378S =.(1)求数列{}n a 的通项公式;(2)若2log ,1, n n na nb n a ⎧⎪=⎨⎪⎩为奇数为偶数,求数列}n b 的前2n 项和2n T .28.(2024·全国·模拟预测)已知数列{}n a 的前n 项积为,0,2nn n n n T T a a T ≠=-.(1)求证:数列{}n T 是等差数列,并求数列{}n a 的通项公式;(2)令()()()11111n n n n b a a -+=-+-,求数列{}n b 的前n 项和n S .29.(2024高三上·云南·阶段练习)已知数列{}n a 满足:312232222n n a a a a n +++⋅⋅⋅+=(*n ∈N ),数列{}n b 满足5012n n b a =+.(1)求数列{}n a 的通项公式;(2)求1299b b b ++⋅⋅⋅+.30.(2024高二下·江西萍乡·期末)已知函数()142xa f x =++关于点11,22⎛⎫⎪⎝⎭对称,其中a 为实数.(1)求实数a 的值;(2)若数列{}n a 的通项满足2023n n a f ⎛⎫=⎪⎝⎭,其前n 项和为n S ,求2022S .31.(2024高三上·天津河北·期末)已知{}n a 是等差数列,其公差d 不等于0,其前n 项和为{},n n S b 是等比数列,且11223131,,2a b a b S a b ===-=.(1)求{}n a 和{}n b 的通项公式;(2)求数列{}n n a b 的前n 项和n T ;(3)记1222n n n n a c a a ++=,求{}n c 的前n 项和n P .32.(2024高三·全国·专题练习)记n S 为数列{}n a 的前n 项和,()1121n n a S n a ==+,,.(1)求{}n a 的通项公式;(2)求数列12n n a -⎧⎫⎨⎬⎩⎭的前n 项和n T .33.(2024高三上·全国·期末)数列{}n a 为等差数列,{}n b 为等比数列,公比11223303,1,4,12q a b a b a b <<====.(1)求{}{}n n a b 、的通项公式;(2)求数列{}nna b 的前n 项和.34.(2024·吉林白山·一模)已知等比数列{}n a 满足12a =,且2420a a +=.(1)求数列{}n a 的通项公式;(2)若数列{}n b 满足n n b n a =⋅,{}n b 其前n 项和记为n S ,求n S .35.(2024·全国·模拟预测)已知{}2n n a 是等差数列,n a n ⎧⎫⎨⎬⎩⎭是等比数列.(1)求证:12a a =;(2)记{}n a 的前n 项和为n S ,对任意*n ∈N ,16n S ≤≤,求1a 的取值范围.36.(2024高二上·湖南张家界·阶段练习)已知等差数列{}n a 满足24a =,4527a a -=,公比不为1-的等比数列{}n b 满足34b =,()45128b b b b +=+.(1)求{}n a 与{}n b 通项公式;(2)设()*13N n n n c n a a +=∈⋅,求{}n c 的前n 项和n S .37.(2024·全国·模拟预测)已知正项等比数列{}n a 的前n 项和为n S ,且425S S =,222n n a a =.(1)求数列{}n a 的通项公式;(2)设11n n n n a b S S ++=,求数列{}n b 的前n 项和n T .38.(2024·新疆·一模)非零数列{}n a 满足()()()()*112212n n n n n n n a a a a a a a n +++++--=-∈N ,且121,2a a ==.(1)设1nn n na b a a +=-,证明:数列{}n b 是等差数列;(2)设11n n n c a a +=,求{}n c 的前n 项和n T .39.(2024高三上·辽宁沈阳·期中)已知正项数列{}n a 的前n 项和为n S ,且满足112n n n S a a ⎛⎫=+ ⎪⎝⎭,(1)求nS (2)求12233411111n n S S S S S S S S ++++⋯+++++40.(2024·广东广州·模拟预测)设数列{}n a 的前n 项和为n S ,且21n n S a =-.(1)求数列{}n a 的通项公式;(2)若数列{}n b 满足2log ,,n n na nb a n ⎧=⎨⎩为奇数为偶数,求数列{}n b 的前2n 项和2n T .41.(2024高三上·山西忻州·阶段练习)已知数列{}n a 的前n 项和为n S ,123a =-,1322n n S S +=-(*n ∈N ).(1)求{}n a 的通项公式;(2)设数列{}n b ,{}n c 满足()32log n n b a =-,n n n c a b =+,求数列{}n c 的前n 项和n T .42.(2024·四川攀枝花·二模)已知数列{}n a 满足()*1144,313n n na a a n a +=-=∈-N .(1)证明:11n a ⎧⎫+⎨⎬⎩⎭是等比数列;(2)求数列1n n a ⎧⎫+⎨⎬⎩⎭的前n 项和n S .43.(2024高二上·黑龙江哈尔滨·期末)已知数列{}n a 的前n 项和为n S ,且2321n n S a n =-+.(1)求数列{}n a 的通项公式;(2)若2n n b a =,求数列{}n b 的前n 项和n T .44.(2024高三上·云南曲靖·阶段练习)已知数列{}n a 是公差为()0d d ≠的等差数列,n S 是{}n a 的前n 项和,n *∈N .(1)若11a =,且22n n a a =,求数列{}n a 的通项公式;(2)若13a d =,数列{}n b a 的首项为1a ,满足13n n b b a a +=,记数列{}n b 的前n 项和为n T ,求5T .45.(2024高三上·广东东莞·期末)数列{}n a 的前n 项积为n T ,且满足()()1122n T n n =++.(1)求数列{}n a 的通项公式;(2)记()1ln nn n b a =-,求数列{}n b 的前2n 项和2n S .46.(2024·全国·模拟预测)已知数列{}n a 满足11334n n a a a +==-,,记)23n n b a =-+.(1)求数列{}n b 的通项公式;(2)已知()1111n n n n n b c b b +++=-⋅,记数列{}n c 的前n 项和为n S .求证:221n S ≥.47.(2024高二下·福建厦门·阶段练习)数列{}n a 的前n 项和为n S ,数列{}n b 的前n 项积为n T ,且()()**21,!n n n S a n T n n =-∈=∈N N .(1)求{}n a 和{}n b 的通项公式;(2)若,,n n na n cb n ⎧=⎨⎩为奇数为偶数,求{}n c 的前n 项和n P .48.(2024高三上·云南德宏·阶段练习)已知数列{}n a 的前n 项和为n S ,满足2n n S a n =-.(1)求数列{}n a 的通项公式;(2)设()()211n n b n a =++,求数列{}n b 的前n 项和n T .49.(2024高三上·河北廊坊·期末)已知数列{}n a 是递增的等比数列,142332,12a a a a =+=.(1)求数列{}n a 的通项公式;(2)若()()1111n n n n a b a a ++=++,求数列{}n b的前n 项和n S .50.(2024·四川绵阳·二模)已知等差数列{}n a 的前n 项和为n S ,且5645,60S S ==.(1)求{}n a 的通项公式;(2)求数列11n n a a +⎧⎫⎨⎬⎩⎭的前n 项和n T .51.(2024高三·全国·专题练习)仓库有一种堆垛方式,如图所示,最高一层2盒,第二层6盒,第三层12盒,第四层20盒,第五层30盒,L,请你寻找至少两个堆放的规律.52.(2024·广东广州·三模)已知正项数列{}n a 和{},n n b S 为数列{}n a 的前n 项和,且满足242n n n S a a =+,()*22log n n a b n N =∈(1)分别求数列{}n a 和{}n b 的通项公式;(2)将数列{}n a 中与数列{}n b 相同的项剔除后,按从条到大的顺序构成数列{}n c ,记数列{}n c 的前n 项和为n T ,求100T .53.(2024·湖南岳阳·三模)已知等比数列{}n a 的前n 项和为n S ,其公比1q ≠-,4578127a a a a +=+,且4393S a =+.(1)求数列{}n a 的通项公式;(2)已知13log ,,n n n a n b a n ⎧⎪=⎨⎪⎩为奇数为偶数,求数列{}n b 的前n 项和n T .54.(2024·湖南衡阳·模拟预测)已知等差数列{}n a 与等比数列{}n b 的前n 项和分别为:,n n S T ,且满足:()21413,2n n n S a S n +==+,22214n n n T S n n -=---(1)求数列{}{},n n a b 的通项公式;(2)若,2n nn c n S =⎨⎪⎩为奇数为偶数求数列{}n c 的前2n 项的和2n U .55.(2024高三下·湖南常德·阶段练习)已知数列{}n a ,{}n b ,n S 为数列{}n a 的前n 项和,210,4n a a b =>,若12a =,()2211202n n n n a a a a n ----=≥,且()211n n nb n b n n +-+=+,*N n ∈.(1)求数列{}{},n n a b 的通项公式;(2)若数列{}n c 的通项公式为,2,4n n n n n a b n c a b n ⎧-⎪⎪=⎨⎪⎪⎩为奇数为偶数,令n T 为{}n c 的前n 项的和,求2n T .56.(2024高三上·江苏南京·阶段练习)已知等比数列{}n a 的公比1q >,前n 项和为n S ,满足:234613,3S a a ==.(1)求{}n a 的通项公式;(2)设1,,n n n a n b b n n -⎧=⎨+⎩为奇数为偶数,求数列{}n b 的前2n 项和2n T .57.(2024·广东汕头·一模)已知数列{}n a 的前n 项和为n S ,()*322n n a S n n N =+∈.(1)证明:数列{}1n a +为等比数列,并求数列{}n a 的前n 项和为n S ;(2)设()31log 1n n b a +=+,证明:222121111n b b b ++⋅⋅⋅+<.58.(2024·浙江宁波·模拟预测)设各项均为正数的数列{}n a 的前n 项和为n S ,满足()()222*330,n n S n n S n n n N -+--+=∈.(1)求1a 的值:(2)求数列{}n a 的通项公式:(3)证明:对一切正整数n244⎫+≤-⎪⎭.59.(2024高三上·天津和平·阶段练习)已知{}n a 为等差数列,前n 项和为(){},*∈n n S n N b 是首项为2的等比数列,且公比大于0,2334111412,2,11b b b a a S b +==-=.(1){}n a 和{}n b 的通项公式;(2)求数列{}2n n a b ⋅的前8项和8T ;(3)证明:()212591nii i b b =<-∑.60.(2024·河北沧州·模拟预测)已知数列{}n a 为等差数列,n S 为其前n 项和,若34102252,33+==a a S .(1)求数列{}n a 的通项公式;(2)若()22π1cos3n n n b a =+,求数列{}n b 的前18项和18T .61.(2024·湖北武汉·模拟预测)已知数列{}n a 满足211222,1,3nn n n a a a a a +++-===.(1)求数列{}n a 的通项公式;(2)求111222(1)n n n n n a a +++⎧⎫⎛⎫+-⎪⎪-⋅⎨⎬ ⎪⎪⎪⎝⎭⎩⎭的前n 项和n T .62.(2024·安徽合肥·模拟预测)设数列{}n a 的前n 项和为n S ,已知21342n n n n S S S a +++=-,11a =,23a =.(1)证明:数列{}12n n a a +-是等差数列;(2)记22(1)n n n a b n n++=+,n T 为数列{}n b 的前n 项和,求n T .63.(2024·浙江·模拟预测)已知数列{}n a 满足2*11,N ,5n n a a n a +=∈=.(1)求数列{}n a 的通项;(2)设22,1n n n n a b S a =-为数列{}n b 的前n 项和,求证12n S <.64.(2024·江西南昌·三模)已知n S 是数列{}n a 的前n 项和,满足()111n n n S S n n a ++=+,且112a =.(1)求n S ;(2)若()221n n b n a =+,求数列{}n b 的前n 项和n T .65.(2024·山东烟台·三模)已知数列{}()11,1,11n n n a a na n a +=-+=.(1)求数列{}n a 的通项公式;(2)若数列{}n b 满足()1πsin cos π2n n n b a a +⎛⎫=+ ⎪⎝⎭,求数列{}n b 的前2n 项和2nT66.(2024·福建漳州·模拟预测)已知数列{}n a 的前n 项和为n S ,且11a =,21nnS n a =+.(1)求{}n a 的通项公式;(2)记数列12log n n a a +⎧⎫⎨⎬⎩⎭的前n 项和为n T ,求集合{}*10,N k k T k ≤∈中元素的个数.67.(2024·福建厦门·模拟预测)已知数列{}n a 满足111,12nn n a a a a +==+.(1)证明1n a ⎧⎫⎨⎬⎩⎭为等差数列,并{}n a 的通项公式;(2)设214n n n c n a a +=,求数列{}n c 的前n 项和n T .68.(2024高三上·河北邢台·阶段练习)已知数列{}n a 的前n 项和为n S ,且231n n S a =-.(1)求{}n a 的通项公式;(2)若()()1311n n n n b a a +=++,求数列{}n b 的前n 项和n T .69.(2024高三上·江西赣州·阶段练习)已知等差数列{}n a 的前n 项和为n S ,且540S =,9126S =.(1)求数列{}n a 的通项公式;(2)求数列11n n a a +⎧⎫⎨⎬⎩⎭的前n 项和n T ,并证明:16n T <.70.(2024·广东汕头·三模)已知各项均为正数的数列{an }中,a 1=1且满足221122n n n n a a a a ++-=+,数列{bn }的前n 项和为Sn ,满足2Sn +1=3bn .(1)求数列{an },{bn }的通项公式;(2)设n n n c a b =+,求数列{}n c 的前n 项和Sn ;(3)若在bk 与bk +1之间依次插入数列{an }中的k 项构成新数列{}n c ':b 1,a 1,b 2,a 2,a 3,b 3,a 4,a 5,a 6,b 4,……,求数列{cn }中前50项的和T 50.71.(2024·福建福州·模拟预测)已知数列{}n a 的首项145a =,1431n n n a a a +=+,*n ∈N .(1)设1nn na b a =-,求数列{}n b 的通项公式;(2)在k b 与1k b +(其中*k ∈N )之间插入2k 个3,使它们和原数列的项构成一个新的数列{}n c .记n S 为数列{}n c 的前n 项和,求36S .72.(2024高三上·江苏镇江·阶段练习)已知等差数列{}n a 的前n 项和为n S ,数列{}n b 为等比数列,满足12542,30,2a b S b ===+是3b 与5b 的等差中项.(1)求数列{}{},n n a b 的通项公式;(2)设()(1)nn n n c a b =-+,求数列{}n c 的前20项和20T .73.(2024·广东广州·模拟预测)设数列{}n a 的前n 项和为n S ,已知11a =,且数列23n n S a ⎧⎫-⎨⎩⎭是公比为13的等比数列.(1)求数列{}n a 的通项公式;(2)若()1213n n b n -=+,求其前n 项和nT 74.(2024高三上·湖南长沙·阶段练习)已知数列{}n x 的首项为1,且1121212222n n n n n nx x nx x x -+--++++= .(1)求数列{}n x 的通项公式;(2)若()()1121,2n n n n b n x x S +=+-为{}n b 前n 项的和,求n S .75.(2024·湖北武汉·模拟预测)已知n S 是数列{}n a 的前n 项和,2n n S na =,23a =.(1)求数列{}n a 的通项公式;(2)若16n n b a =-,求数列{}n b 的前n 项和n T .76.(2024高三上·重庆沙坪坝·阶段练习)已知数列{}n a 为等差数列,数列{}n b 为等比数列,且*∈N n b ,若1212312342,15a b a a a b b b b ==++=+++=.(1)求数列{}n a ,{}n b 的通项公式;(2)设由{}n a ,{}n b 的公共项构成的新数列记为{}n c ,求数列{}n c 的前5项之和5S .77.(2024高三·全国·专题练习)求和()()()22122323322332322n n n n n S --=+++⋅++⋅⋅⋅++⋅+⋅+⋅⋅⋅+.78.(2024·天津津南·模拟预测)已知{}n a 是单调递增的等差数列,其前n 项和为n S .{}n b 是公比为q 的等比数列.1142423,,a b a b S q S ====⋅.(1)求{}n a 和{}n b 的通项公式;(2)设()1,,7n n n n n nn a b n c a b n a S -⎧⎪=⎨⎪+⎩为奇数为偶数,求数列{}n c 的前n 项和n T .79.(2024·天津)已知{}n a 为等差数列,{}n b 为等比数列,()()115435431,5,4a b a a a b b b ===-=-.(Ⅰ)求{}n a 和{}n b 的通项公式;(Ⅱ)记{}n a 的前n 项和为n S ,求证:()2*21n n n S S S n ++<∈N ;(Ⅲ)对任意的正整数n ,设()21132,,,.n nn n n n n a b n a a c a n b +-+⎧-⎪⎪=⎨⎪⎪⎩为奇数为偶数求数列{}n c 的前2n 项和.80.(2024·天津·一模)已知数列{}n a 是等差数列,其前n 项和为n A ,715a =,763A =;数列{}n b 的前n 项和为n B ,()*233n n B b n =-∈N .(1)求数列{}n a ,{}n b 的通项公式;(2)求数列1n A ⎧⎫⎨⎩⎭的前n 项和n S ;(3)求证:12nkk ka B =<∑.。
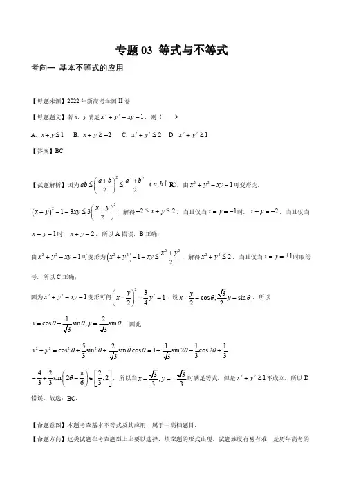
专题03等式与不等式考向一基本不等式的应用【母题来源】2022年新高考全国II 卷【母题题文】若x ,y 满足221+-=x y xy ,则()A.1x y +≤B.2x y +≥- C.222x y +≤ D.221x y +≥【答案】BC【试题解析】因为22222a b a b ab ++⎛⎫≤≤ ⎪⎝⎭(,a b ÎR ),由221+-=x y xy 可变形为,()221332x y x y xy +⎛⎫+-=≤ ⎪⎝⎭,解得22x y -≤+≤,当且仅当1x y ==-时,2x y +=-,当且仅当1x y ==时,2x y +=,所以A 错误,B 正确;由221+-=x y xy 可变形为()222212x y x y xy ++-=≤,解得222x y +≤,当且仅当1x y ==±时取等号,所以C 正确;因为221+-=x y xy 变形可得223124y x y ⎛⎫-+= ⎪⎝⎭,设cos ,sin 22y x y θθ-==,所以cos ,x y θθθ=+=,因此2222511cos sin cos 12cos 2333x y θθθθ=θ-θ+=++++42π2sin 2,23363θ⎛⎫⎡⎤=+-∈ ⎪⎢⎥⎝⎭⎣⎦,所以当33,33x y ==-时满足等式,但是221x y +≥不成立,所以D 错误.故选:BC .【命题意图】本题考查基本不等式及其应用,属于中高档题目.【命题方向】这类试题在考查题型上主要以选择、填空题的形式出现.试题难度有易有难,是历年高考的热点,考查学生的基本运算能力.常见的命题角度有:(1)利用不等式比较大小;(2)利用不等式求最值;(3)基本不等式成立的条件【得分要点】(1)对原不等式进行化简、变形;(2)符合基本不等式的条件“一正、二定、三相等”,用基本不等式求解;(3)判断等号成立的条件;(4)利用“1”的合理变换是解题.考向二线性规划【母题来源】2022年高考全国乙卷(文科)【母题题文】若x ,y 满足约束条件2,24,0,x y x y y +≥⎧⎪+≤⎨⎪≥⎩则2z x y =-的最大值是()A.2-B.4C.8D.12【答案】C【试题解析】由题意作出可行域,如图阴影部分所示,转化目标函数2z x y =-为2y x z =-,上下平移直线2y x z =-,可得当直线过点()4,0时,直线截距最小,z 最大,所以max 2408z =⨯-=.故选:C.【命题意图】本题考查线性规划及其应用,属于比较容易题目.【命题方向】这类试题在考查题型上主要以选择、填空题的形式出现.试题难度较小,是历年高考的热点,考查学生的基本作图能力和运算能力.常见的命题角度有:(1)线性规划求最值;(2)利用线性规划求参数的值;【得分要点】1.正确画出可行域;2.确定目标函数平移的方向决定取得最大值或最小值一、单选题1.(河北省保定市2021-2022学年高二下学期期末数学试题)已知a b >,则下列不等式一定成立的是()A .22ac bc >B .1ab>C .22a b >D .33a b >2.(2022·广东惠州·高三阶段练习)已知圆()()22124x y +++=关于直线10ax by ++=(0a >,0b >)对称,则12a b+的最小值为()A .52B .9C .4D .83.(2022·四川达州·高一期末(理))已知实数x ,y 满足20,2,20x y x y +≥⎧⎪≥-⎨⎪++≤⎩,的最小值是()A .2B.CD .4.(2022·江苏·宿迁中学高二期末)已知实数0,0x y >>满足x y xy +=,则4x y +的最小值为()A .8B .9C .7D .105.(2022·江西上饶·高二期末(文))已知正数m ,n 满足1m n +=,则1+m mn的最小值为()A .3B .3+C.D .3+6.(2022·江西吉安·高二期末(文))若关于x 的不等式2220ax ax --<恒成立,则实数a 的取值范围为()A .[]2,0-B .(]2,0-C .()2,0-D .()(),20,-∞-⋃+∞7.(2022·湖南·高二阶段练习)已知偶函数()f x 在[)0,∞+上单调递减,若()()55f f =--,则满足()301f x x -≥+的x 的取值范围是()A .(](),18,-∞-⋃+∞B .(],8∞-C .(](),21,-∞-⋃-+∞D .(](],21,8-∞-⋃-8.(2022·陕西·武功县普集高级中学一模(文))使不等式2(1)(2)0x x +->成立的一个充分不必要条件是()A .1x >-且2x ≠B .13x -<<C .1x <D .3x >二、填空题9.(2022·四川泸州·三模(理))已知x 、y ∈R ,且224x y +=,给出下列四个结论:①2x y +≤;②1xy ≥;③23x y +≤;④448x y +≥.其中一定成立的结论是______(写出所有成立结论的编号).10.(2022·上海市川沙中学高二期末)若关于x 的不等式223252x x m m -++<-有解,则实数m 的取值范围___________.11.(2022·浙江·镇海中学高二期末)已知实数20x y ≥>,0z >,则43223x y z xx y y z+++++的最小值为___________.12.(2020·云南德宏·高三期末(理))关于函数()()0bf x ax ab x=-≠有下列四个命题:①,a b R ∃∈,使()f x 关于y 轴对称.②,a b R ∀∈,都有()f x 关于原点对称.③,a b R ∃∈,使()f x 在⎛⎝上为减函数.④若0x <,,a b R ∃∈,使()f x 有最大值-其中真命题的序号是____________.三、解答题13.(2021·黑龙江·大庆外国语学校高二期末)设p :实数x 满足()224300x ax a a -+≤>,q :实数x 满足302x x -<-(1)若1a =,且p q ∧为真,求实数x 的取值范围;(2)若p 是q 的必要不充分条件,求实数a 的取值范围.14.(2022·江西抚州·高二期中(文))已知a ,b 都是正数.(1)若1+=-a b 4+≥ab ;(2)当a b ¹时,证明:>15.(2022·四川巴中·高一期末(理))已知函数()22f x x ax =+-,()0f x >的解集为{1x x <-或}x b >.(1)求实数a 、b 的值;(2)若()0,x ∈+∞时,求函数()()4f x g x x+=的最小值.16.(2022·浙江舟山·高二期末)第24届冬季奥林匹克运动会,又称2022年北京冬季奥运会,是由中国举办的国际性奥林匹克赛事,于2022年2月4日开幕,2月20日闭幕.本届奥运会共设7个大项,15个分项,109个小项.北京赛区承办所有的冰上项目和自由式滑雪大跳台,延庆赛区承办雪车、雪橇及高山滑雪项目,张家口赛区承办除雪车、雪橇、高山滑雪和自由式滑雪大跳台之外的所有雪上项目,冬奥会的举办可以带动了我国3亿人次的冰雪产业,这为冰雪设备生产企业带来了新的发展机遇,某冰雪装备器材生产企业,生产某种产品的年固定成本为2000万元,每生产x 千件,需另投入成本()C x (万元).经计算若年产量x 千件低于100千件,则这x 千件产品成本21()1011002C x x x =++;若年产量x 千件不低于100千件时,则这x 千件产品成本4500()120540090C x x x =+--.每千件产品售价为100万元,为了简化运算我们假设该企业生产的产品能全部售完.(1)写出年利润L (万元)关于年产量x (千件)的函数解析式;(2)当年产量为多少千件时,企业所获得利润最大?最大利润是多少?一、单选题1.(河北省保定市2021-2022学年高二下学期期末数学试题)已知a b >,则下列不等式一定成立的是()A .22ac bc >B .1ab>C .22a b >D .33a b >【答案】D 【解析】【分析】可以利用特殊值进行排除,以及利用不等式的性质进行判断.【详解】当0c =时,22ac bc =,则A 错误;当0b <时,1ab<,则B 错误;当0a b >>时,22a b <,则C 错误;当0a b >>时,33a b >,当0a b >≥时,33330a b a b >≥⇒>,当0b a <≤时,()()3333330a b a b a b a b ≤-<-⇒-<-⇒--⇒,则D 正确.故选:D.2.(2022·广东惠州·高三阶段练习)已知圆()()22124x y +++=关于直线10ax by ++=(0a >,0b >)对称,则12a b+的最小值为()A .52B .9C .4D .8【答案】B 【解析】【分析】由题可得()210,0a b a b +=>>,然后利用基本不等式即得.【详解】圆()()22124x y +++=的圆心为()1,2--,依题意,点()1,2--在直线10ax by ++=上,因此210a b --+=,即()210,0a b a b +=>>,∴()1212222225529b a b a a b a b a b a b a b⎛⎫+=++=++≥+⋅= ⎪⎝⎭,当且仅当22b a a b =,即13a b ==时取“=”,所以12a b+的最小值为9.故选:B.3.(2022·四川达州·高一期末(理))已知实数x ,y 满足20,2,20x y x y +≥⎧⎪≥-⎨⎪++≤⎩()()2211x y -+-的最小值是()A .2B .22C 10D .32【答案】B 【解析】【分析】根据约束条件画出可行域,根据目标函数的几何意义即可求解最小值.【详解】根据约束条件,画出可行域(如图),()()2211x y -+-可看成可行域内的点(),x y 与定点()11,的距离,由图可知:当过点()11,的直线与20x y ++=垂直时,距离最小,此时最小距离为:=222故选:B4.(2022·江苏·宿迁中学高二期末)已知实数0,0x y >>满足x y xy +=,则4x y +的最小值为()A .8B .9C .7D .10【答案】B 【解析】【分析】利用基本不等式“1”的代换求4x y +的最值,注意等号成立条件.【详解】由题设,111x y+=,所以11444(4)(5529y x y xx y x y x y x y x y+=++=++≥+⋅=,当且仅当33,2x y ==时等号成立,所以4x y +的最小值为9.故选:B5.(2022·江西上饶·高二期末(文))已知正数m ,n 满足1m n +=,则1+m mn的最小值为()A .3B .322+C .32D .323+【答案】B 【解析】【分析】化简1212()()3m m nm n mn n m n m+=++=++,再利用基本不等式得解.【详解】解:由题得12212()33+22m m m n m n m nm n mn mn mn n m n m++++===++=++≥(当且仅当21,22m n -=.故选:B6.(2022·江西吉安·高二期末(文))若关于x 的不等式2220ax ax --<恒成立,则实数a 的取值范围为()A .[]2,0-B .(]2,0-C .()2,0-D .()(),20,-∞-⋃+∞【答案】B 【解析】【分析】讨论0a =和0a <两种情况,即可求解.【详解】当0a =时,不等式成立;当0a ≠时,不等式2220ax ax --<恒成立,等价于()()20,2420,a a a <⎧⎪⎨∆=--⨯-<⎪⎩20a ∴-<<.综上,实数a 的取值范围为(]2,0-.故选:B .7.(2022·湖南·高二阶段练习)已知偶函数()f x 在[)0,∞+上单调递减,若()()55f f =--,则满足()301f x x -≥+的x 的取值范围是()A .(](),18,-∞-⋃+∞B .(],8∞-C .(](),21,-∞-⋃-+∞D .(](],21,8-∞-⋃-【答案】D 【解析】【分析】先利用偶函数的性质得到()f x 在(],0-∞上单调递增,()()550f f =-=.把原不等式转化为()30,10,f x x ⎧-≥⎨+>⎩或()30,10,f x x ⎧-≤⎨+<⎩即可解得.【详解】因为偶函数()f x 在[)0,∞+上单调递减,所以()f x 在(],0-∞上单调递增,且()()55f f =--,又()()55f f =-,所以()()550f f =-=.由()301f x x -≥+,得()30,10,f x x ⎧-≥⎨+>⎩或()30,10,f x x ⎧-≤⎨+<⎩所以535,10,x x -≤-≤⎧⎨+>⎩或3535,10,x x x -≤--≥⎧⎨+<⎩或解得18-<≤x 或2x -≤.故x 的取值范围是(](],21,8-∞-⋃-.故选:D.8.(2022·陕西·武功县普集高级中学一模(文))使不等式2(1)(2)0x x +->成立的一个充分不必要条件是()A .1x >-且2x ≠B .13x -<<C .1x <D .3x >【答案】D【解析】【分析】求解已知不等式,从集合的角度,以及充分性和必要性的定义,即可选择.【详解】因为()220x -≥,故不等式2(1)(2)0x x +->的解集为{1x x -且2}x ≠,故不等式2(1)(2)0x x +->成立的一个充分不必要条件所构成的集合应是{1x x -且2}x ≠的真子集,显然,满足题意的只有{}3x x .故选:D.二、填空题9.(2022·四川泸州·三模(理))已知x 、y ∈R ,且224x y +=,给出下列四个结论:①2x y +≤;②1xy ≥;③23x y +≤;④448x y +≥.其中一定成立的结论是______(写出所有成立结论的编号).【答案】①④【解析】【分析】利用基本不等式可判断①和④,取特殊值x =0、y =2log 3可判断②,取特殊值y =12可判断③.【详解】对于①,∵20,20x y >>,∴由224x y +=得,42222222x y x y x y +=+≥⋅=即422x y +≥2x y +≤(当且仅当1x y ==时取等号),故①一定成立;对于②,当20,log x y ==3时,224x y +=成立,但1xy ≥不成立,故②不一定成立;对于③,当12y =时,由224x y +=得242x =,则132********xy +-=+-=>,即23x y +>,故③不一定成立;④将224x y +=两边平方得144216x y x y ++++=,∴144162x y x y +++=-,由①可知:131********x y x y x y x y +++++≤⇒++≤⇒≤=⇒-≥-11621688x y ++⇒-≥-=,∴448x y +≥,当且仅当1x y ==时取等号,因此④一定成立﹒故答案为:①④﹒【点睛】本题①和④利用基本不等式即可求解,需要熟练运用基本不等式求范围.对于②和③,取特殊值验算即可快速求解﹒10.(2022·上海市川沙中学高二期末)若关于x 的不等式223252x x m m -++<-有解,则实数m 的取值范围___________.【答案】()(),24,-∞-+∞ 【解析】【分析】根据题意可得()2min 23252x x m m -++<-,根据+≥-a b a b 可得()min23258x x -++=,代入求解.【详解】根据题意可得()2min 23252x x m m-++<-∵()()232523258x x x x -++≥--+=∴228m m ->,即2280m m -->,则4m >或2m <-故答案为:()(),24,-∞-+∞ .11.(2022·浙江·镇海中学高二期末)已知实数20x y ≥>,0z >,则43223x y z xx y y z+++++的最小值为___________.【答案】1221【解析】【分析】依题意利用基本不等式计算可得;【详解】解:因为20x y ≥>,0z >,所以43223x y z x x y y z +++++223223x y y z x x y y z +++=+++231223y z xx y y z +=++++23231112223223y z x y z xx y z x y z++≥++=+⋅=+++当"232,223,2223y z xx y x y z x y x y z +==⇒=+=+取等号“综上所述:43223x y z xx y y z+++++的最小值为12故答案为:1212.(2020·云南德宏·高三期末(理))关于函数()()0bf x ax ab x=-≠有下列四个命题:①,a b R ∃∈,使()f x 关于y 轴对称.②,a b R ∀∈,都有()f x 关于原点对称.③,a b R ∃∈,使()f x 在b a ⎛⎤⎝⎦上为减函数.④若0x <,,a b R ∃∈,使()f x 有最大值2ab -.其中真命题的序号是____________.【答案】②③④【解析】【分析】对①②,判断()f x 的奇偶性即可;对③④,根据对勾函数的性质判断即可;【详解】由题,因为()()bf x ax f x x-=-+=-,且0ab ≠,故()f x 为奇函数,①错②对;当0,0a b ><时,由对勾函数的性质,()b f x ax x =-在ba⎛ ⎝上为减函数,故③正确;又当0x <时,若0,0a b ><,则()f x 在b x a=2b b a ab a b a⎛=- ⎝-,故④正确;故答案为:②③④13.(2021·黑龙江·大庆外国语学校高二期末)设p :实数x 满足()224300x ax a a -+≤>,q :实数x 满足302x x -<-(1)若1a =,且p q ∧为真,求实数x 的取值范围;(2)若p 是q 的必要不充分条件,求实数a 的取值范围.【答案】(1)()2,3(2)[]1,2【解析】【分析】(1)根据二次不等式与分式不等式的求解方法求得命题p ,q 为真时实数x 的取值范围,再求交集即可;(2)先求得[],3A a a =,再根据p 是q 的必要不充分条件可得A B ⊇,再根据集合包含关系,根据区间端点列不等式求解即可(1)当1a =时,2430x x -+≤,解得13x ≤≤,即p 为真时,实数x 的取值范围为13x ≤≤.由302x x -<-,解得23x <<,即q 为真时,实数x 的取值范围为23x <<.若p q ∧为真,则1323x x ≤≤⎧⎨<<⎩,解得实数x 的取值范围为()2,3.(2)若p 是q 的必要不充分条件,则q p ⇒且p q ¿.设(){}A x p x =,(){}B x q x =,则A B ⊇,又()2,3B =.由22430x ax a -+≤,得()()30x a x a --≤,因为0a >,则[],3A a a =,有233a a ≤⎧⎨≤⎩,解得12a ≤≤因此a 的取值范围为[]1,2.14.(2022·江西抚州·高二期中(文))已知a ,b 都是正数.(1)若12+=-a b ab ,证明:4≥b a a b ab ;(2)当a b ¹时,证明:+>a a b b b a a b 【答案】(1)证明见解析【解析】【分析】(1)根据12+=-a b ab 1a b =,再结合b a a bab化简,利用基本不等式证明即可(2)根据证明的不等式逆推即可(1)证明:由12+=-a b ab ,得21a b+=1a b (11ab b a b a a b ab ab a b+==()2224b a b a a b a b a b ab==≥+⋅=,当且仅当14a b ==时“=”成立.所以4+≥b a b ab .(2)要证+>+a a b b b a a b )()0--->a a b b a b ,即证)0->a b a b ,即证2)0a b a b >,因为20>+>a b a b ,所以上式成立,所以>a a b b b a a b 15.(2022·四川巴中·高一期末(理))已知函数()22f x x ax =+-,()0f x >的解集为{1x x <-或}x b >.(1)求实数a 、b 的值;(2)若()0,x ∈+∞时,求函数()()4f x g x x+=的最小值.【答案】(1)1a =-,2b =(2)221【解析】【分析】(1)分析可知1-、b 是方程220x ax +-=的两个根,利用一元二次方程根与系数的关系可求得a 、b 的值;(2)求得()21g x x x=+-,利用基本不等式可求得()g x 在()0,∞+上的最小值.(1)解:因为关于x 的不等式220x ax +->的解集为{1x x <-或}x b >,所以,1-、b 是方程220x ax +-=的两个根,所以,12012a b --=⎧⎨-⋅=-⎩,解得12a b =-⎧⎨=⎩.(2)解:由题意知()()24221f x x x g x x xx x+-+===+-,因为0x >,由基本不等式可得()22121221g x x x x x=+-≥⋅=-,当且仅当2x x=时,即2x =故函数()g x 的最小值为221.16.(2022·浙江舟山·高二期末)第24届冬季奥林匹克运动会,又称2022年北京冬季奥运会,是由中国举办的国际性奥林匹克赛事,于2022年2月4日开幕,2月20日闭幕.本届奥运会共设7个大项,15个分项,109个小项.北京赛区承办所有的冰上项目和自由式滑雪大跳台,延庆赛区承办雪车、雪橇及高山滑雪项目,张家口赛区承办除雪车、雪橇、高山滑雪和自由式滑雪大跳台之外的所有雪上项目,冬奥会的举办可以带动了我国3亿人次的冰雪产业,这为冰雪设备生产企业带来了新的发展机遇,某冰雪装备器材生产企业,生产某种产品的年固定成本为2000万元,每生产x 千件,需另投入成本()C x (万元).经计算若年产量x千件低于100千件,则这x 千件产品成本21()1011002C x x x =++;若年产量x 千件不低于100千件时,则这x 千件产品成本4500()120540090C x x x =+--.每千件产品售价为100万元,为了简化运算我们假设该企业生产的产品能全部售完.(1)写出年利润L (万元)关于年产量x (千件)的函数解析式;(2)当年产量为多少千件时,企业所获得利润最大?最大利润是多少?【答案】(1)21903100,010024500203400,10090x x x L x x x ⎧-+-<<⎪⎪=⎨⎪--+≥⎪-⎩(2)当该企业年产量为105千件时,所获得利润最大,最大利润是1000万元【解析】【分析】(1)年利润L 为销售收入减去生产成本,分情况讨论计算即可;(2)当0100x <<时,根据二次函数单调性求L 最大值;当100x ≥时,根据基本不等式求最大值,继而求出L 最大值.(1)当0100x <<时,2211100101100200090310022L x x x x x =----=-+-;当100x ≥时,45004500100120540020002034009090L x x x x x ⎛⎫=-+--=--+ ⎪--⎝⎭.所以21903100,010024500203400,10090x x x L x x x ⎧-+-<<⎪⎪=⎨⎪--+≥⎪-⎩(2)当0100x <<时,2211903100(90)95022L x x x =-+-=--+.当90x =时,L 取得最大值,且最大值为950.当100x ≥时,(45002252034002090160020225160010009090L x x x x ⎛⎫=--+=--++≤-+= ⎪--⎝⎭当且仅当105x =时,等号成立.因为1000950>,所以当该企业年产量为105千件时,所获得利润最大,最大利润是1000万元.。
考点1:集合的含义与表示、集合间的基本关系考点2:集合的基本运算考点3:与集合相关的新概念问题专题2命题及其关系、充分条件和必要条件考点4、命题及其关系考点5、充分条件和必要条件考点6、利用关系或条件求解参数范围问题专题3、简单的逻辑联结词、全称量词和存在量词考点7、逻辑连接词考点8、全称量词和存在量词考点9、利用逻辑连接词探求参数问题专题4:函数概念与基本初等函数考点10、函数的表示与函数的定义域考点11、分段函数及其应用专题5、函数的基本性质考点12、函数的单调性考点13、函数的奇偶性考点14、函数性质的综合性质应用问题二次函数与幕函数考点15、二次函数及其应用考点16、幕函数主题7、指数与指数函数考点17、幕的运算考点18、指数函数的图像与性质考点19、与指数函数相关的综合问题专题8、对数与对数函数考点20、对数的运算考点21、对数函数的图像与性质考点22、函数图像的应用问题专题9、函数的图像考点23、函数图像的辨识考点24、函数图像的变换考点25、函数图像的应用问题专题10、函数与方程考点26、函数零点所在区间的判断考点27、函数零点、方程根的个数考点28、函数零点的应用问题函数的模型与应用考点29、函数常见的模型与应用考点30、函数与其他知识相联系问题导数专题12导数及其运算考点31、导数的概念与几何意义考点32、导数的运算专题13、导数的应用考点33、导数与函数的单调性考点34、函数与函数的极值、最值考点35、利用导数求参数的范围问题考点36、利用导数求参数的范围问题考点37、利用导数解决综合问题专题14、定积分与微积分基本定理考点38、利用微积分基本定理求解定积分考点39、利用定积分求分平面图形的面积第四部分、三角函数专题15、三角函数的概念、同角三角函数的的基本关系考点40、三角函数的概念考点41、同角三角函数的基本关系、诱导公式专题16、三角函数的图像与应用考点42、三角函数的的图形与变换考点43、求三角函数的解析式专题17、三角函数的性质与应用考点44、三角函数的定义域、值域、最值考点45、三角函数的单调性、奇偶性、对称性和周期性考点46、与三角函数相关的综合问题专题18三角恒等变换考点47、三角函数式的化简与求值考点48、与三角化简求值相关的综合问题专题19、解三角函数考点49、正选定理与余弦定理考点50、解三角形及其应用考点51、与平面向量、不等式综合等综合的三角形问题第五部分平面向量专题20平面向量的概念与及线性运算、平面向量基本定理考点52、平面向量的线性运算和几何意义考点53、平面向量基本定理和坐标运算考点54、平面向量的数量积考点55、平面向量的长度与角度问题考点56、平面向量的综合应用题第六部分数列专题22、数列的概念与数列的通项公式考点57、数列的概念考点58、数列的通项公式专题23、等差数列考点59、等差数列的概念与运算考点60、等差数列的性质考点61、等差数列相关的综合问题专题24、等比数列考点62、等比数列的概念与运算考点63、等比数列的性质考点64、等比数列相关的综合问题专题25、数列的综合问日考点65、数列求和考点66、数列与不等式相结合问题考点67、数列与函数相结合问题考点68、数列中的探索问题专题26、不等关系与不等式的解法考点69、不懂关系考点70、不等式的解法专题27、二元一次不等式组与简单的线性规划考点71、用二元一次不等式组表示区域问题考点72、利用线性规划求目标函数考点73、以可行域为载体与其他知识的教会问题专题28、基本不等式及其应用考点74、基本不等式考点75、基本不等式的实际应用问题第八部分立体几何专题29、空间几何体结构及三视图和直观图考点76、空间几何体的的结构考点77、三视图与直观图专题30、空间几何体的表面积和体积考点78、几何体的表面积考点79、几何体的体积考点80、组合体的“接”“切”的综合问题专题31、空间点、线、面的位置关系考点81、空间点、线、面的位置关系考点82、异面直线所成的角专题32、直线、平面平行与垂直的判定与性质考点83、直线、平面平行的判定与性质考点84、直线、平面垂直的判定与性质专题33、空间角与综合问题考点85、直线与平面所成的角考点86、二面角考点87、立体几何中的折叠问题、最值问题和探索性问题专题34、空间向量与立体几何考点88、空间向量运算与利用平面向量证明平行、垂直的位置关系考点89、利用空间向量求空间角考点90、利用空间向量解决开放性、探索性等问题专题35、。
高三数学学科知识点详解高三数学学科是高中数学学习的重要阶段,主要涉及高中数学的所有知识点,并且对这些知识点的要求更高、更深。
高三数学学科的知识点可以分为以下几个部分:一、集合与函数的概念1.1 集合•集合的基本运算:并集、交集、补集等。
•集合的特殊集合:自然数集、整数集、实数集等。
1.2 函数•函数的定义:函数是一种对应关系,其中每个输入值(自变量)都对应一个唯一的输出值(因变量)。
•函数的性质:单调性、奇偶性、周期性等。
•函数的图像:直线、二次函数、指数函数、对数函数等。
二、实数与方程2.1 实数•实数的概念:有理数和无理数。
•实数的运算:加法、减法、乘法、除法等。
2.2 方程•线性方程:一元一次方程、一元二次方程等。
•不等式:一元一次不等式、一元二次不等式等。
•分式方程:分式方程的解法、分式不等式等。
三、代数与函数3.1 代数•多项式:多项式的运算、因式分解等。
•分式:分式的运算、分式的化简等。
3.2 函数•一次函数:一次函数的图像、性质等。
•二次函数:二次函数的图像、性质、顶点公式等。
•指数函数:指数函数的图像、性质、指数法则等。
•对数函数:对数函数的图像、性质、对数法则等。
四、几何与三角4.1 几何•平面几何:点、线、面的关系,三角形、四边形、圆的性质等。
•空间几何:立体图形的性质、体积、表面积等。
4.2 三角•三角函数:正弦、余弦、正切函数的定义、图像、性质等。
•三角恒等式:三角恒等式的证明、应用等。
五、概率与统计•概率的基本概念:随机事件、概率的计算等。
•统计的基本概念:平均数、中位数、众数、方差等。
六、数列•等差数列:等差数列的性质、通项公式、求和公式等。
•等比数列:等比数列的性质、通项公式、求和公式等。
七、综合应用•数学建模:解决实际问题的数学模型和方法。
•数学竞赛:数学竞赛题型的特点和解题方法。
上面所述是对高三数学学科知识点的详细解析,希望对您的学习有所帮助。
在学习过程中,要注重基础知识的学习,多做题、多思考,不断提高自己的数学素养。
高三数学全部的知识点归纳在高三数学的学习过程中,我们会接触到各种各样的数学知识点。
这些知识点既有基础的概念和定理,也有较为复杂的应用和解题方法。
为了帮助同学们更好地进行复习总结,下面将对高三数学全部的知识点进行归纳。
一、函数与方程1. 函数基本概念和性质2. 一次函数及其图像3. 二次函数及其图像4. 指数函数与对数函数5. 三角函数与图像变换6. 不等式与绝对值7. 方程与不等式的解法二、平面与立体几何1. 平面几何中的基本概念2. 平面直角坐标系与直线方程3. 平面图形的性质与判定4. 空间几何中的基本概念5. 空间直角坐标系与平面方程6. 空间立体图形的性质与判定三、立体几何与向量1. 空间直角坐标系与向量的表示2. 向量的运算与性质3. 空间中的点和向量的位置关系4. 平面与向量的垂直、平行关系5. 空间直线与向量的位置关系6. 空间立体的性质与计算四、概率与统计1. 随机事件的概念与性质2. 概率的计算方法3. 随机变量与概率分布4. 离散型与连续型随机变量5. 参数估计与假设检验6. 统计图表的表示与分析五、数列与数学归纳法1. 等差数列与等比数列的定义与性质2. 数列的通项公式与求和公式3. 数学归纳法的原理与应用4. 数列极限及其性质六、三角与数学恒等式1. 任意角的概念与性质2. 各种三角函数的定义与性质3. 三角函数的图像与变换4. 三角函数的和差公式与倍角公式5. 三角函数的积化和差公式6. 三角函数的逆函数与解三角方程七、数学推理与证明1. 命题与合取、析取2. 充分条件与必要条件3. 直接证明、反证法与归谬法4. 数学归纳法与条件证明5. 平行线性质的证明6. 三角形性质的证明八、微积分与导数1. 重要概念与性质2. 函数的极限与连续性3. 导数与导数的应用4. 函数的最值与导数的求解5. 反函数与参数方程6. 微分与微分方程九、平面向量与行列式1. 平面向量的定义与性质2. 平面向量的线性运算3. 向量的数量积与向量积4. 平面向量的应用5. 行列式的定义与性质6. 行列式的计算方法与应用以上对高三数学部分知识点的归纳只是涉及到了一些基础的内容,实际上还有很多其他的知识点需要大家掌握。
高三数学全部课本知识点讲解数学是一门重要的学科,对于高三学生来说尤为关键。
为了帮助高三学生更好地掌握数学知识,下面将对高三数学全部课本知识点进行讲解。
高三数学课本的内容包括数学分析、几何与代数、概率与统计等几个主要模块。
下面将以这几个模块为基础,逐一讲解其中的知识点。
一、数学分析1. 数列与数列极限数列是一组按照一定规律排列的数,而数列极限是指数列中的数随着项数的增加逐渐趋于某个确定的数。
数列与数列极限在数学分析中起着重要的作用,它们的性质与运算规则需要学生掌握和理解。
2. 函数与函数极限函数是一种变量与变量之间的依赖关系,函数极限是指当自变量趋于某个值时,函数的取值趋于某个确定的值。
函数与函数极限是数学分析的核心内容,需要学生理解并熟练运用。
二、几何与代数1. 平面几何平面几何是研究平面上图形与性质的数学学科,包括点、线、面等基本概念,以及各种几何图形的性质和运算。
平面几何是高中数学的重要组成部分,需要学生掌握基本的几何定理和证明方法。
2. 向量与立体几何向量与立体几何是研究空间中图形与性质的数学学科,包括向量的表示与运算,以及平行四边形、三角形、圆锥曲线等的性质和运算。
向量与立体几何在高中数学中也占据着重要的地位,需要学生灵活运用向量方法解决几何问题。
3. 代数方程与不等式代数方程与不等式是研究数与数之间关系的数学学科,包括一元二次方程、一元高次方程、一元不等式等的解法和性质。
代数方程与不等式是高中数学内容的重点和难点之一,需要学生熟练掌握解方程和不等式的方法与技巧。
三、概率与统计1. 概率概率是研究随机现象的发生规律及其数值表示的数学学科,包括事件的概念、概率的计算和事件的相互关系等内容。
概率在现实生活中具有广泛的应用,需要学生理解概率的基本概念和运算法则,并能运用概率解决实际问题。
2. 统计统计是研究大量数据的收集、整理、分析和预测的数学学科,包括频数、频率、平均值、标准差等统计指标的计算和应用。
高三数学常考知识点汇总大全在高中数学学习中,高三阶段是最关键的一年,也是考试压力最大的一年。
为了帮助同学们更好地备考数学,我整理了一份高三数学常考知识点汇总大全,希望对大家有所帮助。
1. 一次函数一次函数是数学中最简单的一类函数,由y = kx + b表示,其中k为斜率,b为截距。
掌握一次函数的性质、图像、解析式转换等内容是非常重要的。
2. 二次函数二次函数是高三阶段最重要的一个知识点。
掌握二次函数的顶点、对称轴、图像变化等性质,以及二次函数与一次函数的关系,对于解题和应用题的解答都至关重要。
3. 不等式不等式是高三数学中常见的题型,包括一次不等式、二次不等式等。
理解不等式的性质,能够灵活运用求解不等式的方法,对应用题的解答具有很大的帮助。
4. 函数的复合与反函数理解函数的复合与反函数是高三数学的核心内容之一。
掌握复合函数的计算方法,理解反函数的定义及求法,能够灵活运用这些知识解题。
5. 平面向量平面向量是高三阶段需要掌握的重要知识点。
了解向量的定义、性质及运算法则,能够灵活运用向量解决几何问题。
同时,理解向量的数量积和向量积,对于高考题的解答具有重要意义。
6. 三角函数三角函数是数学中的重要内容,包括正弦函数、余弦函数、正切函数等。
理解三角函数的定义、性质及图像变化规律,对于解答高考题目和解决几何问题具有重要作用。
7. 数列与数列极限数列是高中数学中的一个基础概念,常见的有等差数列、等比数列、斐波那契数列等。
掌握数列的定义、性质,以及数列极限的概念与判定方法,对于理解数学的连续性和求解极限问题非常重要。
8. 统计与概率统计与概率是高中数学不可或缺的一部分。
理解统计学中的数据收集、整理和分析方法,以及概率的计算及应用,对于解答高考题目和实际问题非常有帮助。
9. 解析几何解析几何是高三数学中比较抽象和复杂的一部分。
掌握平面直角坐标系的性质,理解直线、圆的解析表达式,以及解析几何在几何问题中的运用方法,对于解答几何题目具有重要意义。
高三数学题类型分类数学作为一门重要的学科,对于高中阶段的学生来说尤为重要。
在高三的数学学习过程中,各种不同类型的题目给学生们带来了挑战。
为了更好地理解和应对这些题目,我们需要对高三数学题目进行分类。
一、代数题代数题是高三数学中的重要组成部分。
常见的代数题包括方程、不等式、函数、集合等内容。
在代数题中,学生需要掌握各种解方程的方法、判断不等式的大小关系、函数的性质及图像等基础知识。
二、几何题几何题在高三数学中也占据重要地位。
几何题涉及到各种图形的性质、三角形的性质、直线与平面的关系等内容。
学生在解几何题时,需要运用几何知识,进行证明和计算。
三、概率统计题概率统计题是高三数学中的一大难点。
在概率统计题中,学生需要掌握概率计算的方法、事件的独立性和相关性、统计数据的分析及表示等内容。
概率统计题常常考察学生的逻辑推理能力和数学建模能力。
四、解析几何题解析几何题是高三数学中的一类特殊题型。
解析几何题主要涉及平面几何和解析几何的结合,要求学生将几何问题通过坐标系进行分析和求解。
解析几何题的解题方法较为灵活,需要学生掌握坐标变换、直线与圆的性质等知识。
五、综合题除了以上几类题型外,高三数学中还常常出现一些综合题。
综合题通常会涉及到多个不同知识点的综合运用,考察学生对数学知识的整体理解和应用能力。
综合题在一定程度上考验学生的综合分析和解决问题的能力。
总的来说,在高三数学题目的备考中,对不同类型题目的分类和理解是至关重要的。
通过对各种题目类型的认识和分析,可以帮助学生更好地应对考试,提升数学成绩,加强数学学习的深度和广度。
高三数学常考知识点归纳大全在高三数学学习中,掌握常考知识点是非常重要的,因为这些知识点通常在考试中出现的频率较高。
为了帮助同学们更好地备考,下面整理了高三数学常考知识点的归纳大全,希望能够对大家有所帮助。
一、函数与方程1. 一次函数:y = kx + b,其中k为斜率,b为截距。
理解斜率和截距对函数图像的影响,掌握函数图像的平移、伸缩和翻转等操作。
2. 二次函数:y = ax^2 + bx + c,其中a、b、c为常数。
理解a 对函数图像开口方向和狭宽程度的影响,掌握二次函数的顶点坐标和对称轴等相关概念。
3. 方程与不等式:包括一元一次方程、一元二次方程、一元一次不等式、一元二次不等式等。
熟练掌握解方程和不等式的基本方法和步骤,注意解题过程中要注意合理化和去分母。
二、数列与数列的极限1. 等差数列:a_n = a_1 + (n-1)d。
熟练掌握等差数列的通项公式、前n项和公式,了解等差数列的性质和特点。
2. 等比数列:a_n = a_1 * q^(n-1)。
熟练掌握等比数列的通项公式、前n项和公式,了解等比数列的性质和特点。
3. 数列的极限:数列极限的概念与性质,掌握常见数列的极限计算方法,如等差数列、等比数列、递推数列等。
三、几何与三角函数1. 平面几何:包括平面几何中的线段、角、相交定理、三角形的性质、四边形的性质等。
掌握基本图形的面积、周长计算公式,了解平面几何的相关性质和定理。
2. 空间几何:包括空间几何中的点、直线、平面、立体图形等。
熟练运用空间几何的相关公式和性质,解决与空间几何相关的问题。
3. 三角函数:包括正弦函数、余弦函数、正切函数等。
理解三角函数的定义和性质,运用三角函数计算角度、边长等。
四、概率与统计1. 概率:包括事件的概率、条件概率、独立性、排列组合等。
掌握概率的基本概念和计算方法,了解事件的复合运算和概率问题的应用。
2. 统计:包括频数、频率、平均数、中位数、众数等。
湖南省名校2024届高三上学期月考数学题型分类汇编单选题(第1辑)目录湖南省长沙市长郡中学2024届高三上学期月考(一)数学(单选题)湖南省长沙市长郡中学2024届高三上学期月考(二)数学(单选题)湖南省长沙市长郡中学2024届高三上学期月考(三)数学(单选题)湖南省长沙市长郡中学2024届高三上学期月考(四)数学(单选题)湖南省长沙市长郡中学2024届高三上学期月考(五)数学(单选题)湖南省长沙市雅礼中学2024届高三上学期月考(一)数学(单选题)湖南省长沙市雅礼中学2024届高三上学期月考(二)数学(单选题)湖南省长沙市雅礼中学2024届高三上学期月考(三)数学(单选题)湖南省长沙市雅礼中学2024届高三上学期月考(四)数学(单选题)参考答案说明:本套资源是2024届高三上学期数学学科月考试卷题型分类汇编,本辑为单选题,试题来源于湖南省长郡中学和雅礼中学两所名校上学期月考试卷,可供高三学生上学期进行数学总复习时学习和参考。
湖南省长沙市长郡中学2024届高三上学期月考(一)数学(单选题)1.集合{}260A x x x =--<,集合{}2log 1B x x =<,则A B = ()A.()2,3- B.(),3-∞ C.()2,2- D.()0,22.已知λ∈R ,向量()3,a λ= ,()1,2b λ=- ,则“3λ=”是“a b ∥”的()A.必要不充分条件B.充分不必要条件C.充分必要条件D.既不充分也不必要条件3.复数i z a b =+(,a b ∈R ,i 为虚数单位),z 表示z 的共轭复数,z 表示z 的模,则下列各式正确的是()A.z z =- B.z z z ⨯=C.22z z= D.1212z z z z +≤+4.若直线l :3sin 20x y θ⋅-=与圆C:2250x y +--=交于M ,N 两点,则MN的最小值为()A.B.C.D.5.数列{}n a 满足112,0,2121,1,2n n n n n a a a a a +⎧≤<⎪⎪=⎨⎪-≤<⎪⎩若125a =,则2023a 等于()A.15B.25C.35D.456.现有长为89cm 的铁丝,要截成n 小段()2n >,每段的长度为不小于1cm 的整数,如果其中任意三小段都不能拼成三角形,则n 的最大值为()A.8B.9C.10D.117.已知函数()()211sinsin 0222x f x x ωωω=+->,x ∈R .若()f x 在区间(),2ππ内没有零点,则ω的取值范围是()A.10,8⎛⎤ ⎥⎝⎦B.150,,148⎛⎤⎡⎫ ⎪⎥⎢⎝⎦⎣⎭C.50,8⎛⎤ ⎥⎝⎦D.1150,,848⎛⎤⎡⎤ ⎥⎢⎥⎝⎦⎣⎦8.已知函数()2242af x x x x =---在区间(),2-∞-,)+∞上都单调递增,则实数a 的取值范围是()A.0a <≤B.04a <≤C.0a <≤D.0a <≤湖南省长沙市长郡中学2024届高三上学期月考(二)数学(单选题)1.若集合{}()(){}41,,190A x x k k B x x x ==-∈=+-≤N ,则A B ⋂的元素个数为()A.2B.3C.4D.52.设a ∈R ,若复数20231i ia -的虚部为3(其中i 为虚数单位),则=a ()A.13-B.3- C.13 D.33.已知非零向量a ,b满足)b =,π,3a b = ,若()a b a -⊥ ,则向量a 在向量b 方向上的投影向量为()A.14bB.12b C.D.b4.设抛物线C :22x py =的焦点为F ,(),4M x 在C 上,5MF =,则C 的方程为()A.24x y =B.24x y =-C.22x y =-D.22x y=5.若函数()1e x af x x -+=-在区间()0,∞+上单调递增,则实数a 的取值范围为()A.(],1-∞-B.(),1-∞C.[)0,∞+ D.(],1-∞6.直线:1l y kx =+与圆22:1O x y +=相交于,A B 两点,则"1"k =是“OAB 的面积为12”的()A.充分而不必要条件 B.必要而不充分条件C.充分必要条件D.既不充分又不必要条件7.已知π0,2α⎛⎫∈ ⎪⎝⎭π2sin 4αα⎛⎫=+ ⎪⎝⎭,则sin 2α=()A.34-B.34C.1-D.18.若实数a b c d ,,,满足2e 111a a cb d --==-,则22()()ac bd -+-的最小值是()A.8 B.9 C.10D.11湖南省长沙市长郡中学2024届高三上学期月考(三)数学(单选题)1.已知集合{}2430,{ln 1}A x x x B x x =-+<=≤∣∣,则A B = ()A .(1,e]B .[1,3]C .(0,e]D .(0,3]2.若i 是虚数单位,则复数23i1i ++的实部与虚部之积为()A .54-B .54C .5i 4D .5i4-3.函数2sin (09)63x y x ππ⎛⎫=-≤≤ ⎪⎝⎭的最大值与最小值之差为()A .2B .0C .2D .2+4.已知函数()2()lg 45f x x x =--在(,)a +∞上单调递增,则a 的取值范围是()A .[5,)+∞B .[2,)+∞C .(,2]-∞D .(,1]-∞-5.已知12,F F 是双曲线C 的两个焦点,P 为C 上一点,且121260,3F PF PF PF ∠=︒=,则C 的离心率为()A B .132C .72D 6.“阿基米德多面体”也称为半正多面体,是由边数不全相同的正多边形为面围成的多面体,它体现了数学的对称美.如图,将一个正方体沿交于一顶点的三条棱的中点截去一个三棱锥,共可截去八个三棱锥,得到八个面为正三角形,六个面为正方形的“阿基米德多面体”,则该多面体中具有公共顶点的两个正三角形所在平面的夹角的正切值为()A .22B .1C D .7.设正实数,,x y z 满足22430x xy y z -+-=,则xyz的最大值为()A .0B .1C .2D .38.已知函数3ln ()2xf x a ax x=+-,若存在唯一的整数0x ,使()00f x >,则实数a 的取值范围是()A .(ln 2,ln 3)B .ln 3ln 2,52⎛⎫⎪⎝⎭C .ln 3ln 2,52⎡⎫⎪⎢⎣⎭D .ln 2ln 3,23⎛⎫⎪⎝⎭湖南省长沙市长郡中学2024届高三上学期月考(四)数学(单选题)1.设集合{}{13},2,1,0,1M xx N =-<<=--∣,则M N ⋂=()A.{}1,0,1- B.{}0,1C.{11}x x -<<∣ D.{11}xx -<≤∣2.已知i 是虚数单位,若()()2i 1i 4i a ++=,则实数=a ()A.2B.0C.1- D.2-3.设随机变量2(,)X N μσ ,且()3()P X a P X a <=≥,则()P X a ≥=()A.0.75B.0.5C.0.3D.0.254.已知43log log 5,log 2a b c ===,则下列结论正确的是()A.<<b c aB.c b a <<C.b a c<< D.<<c a b5.已知圆锥的高为3,若该圆锥的内切球的半径为1,则该圆锥的表面积为()A.6πB. C.9πD.12π6.已知角π02α⎛⎫∈ ⎪⎝⎭,,且满足cos 4παα⎛⎫-= ⎪⎝⎭,则sin 2cos αα+=()A.2- B.2516 C.2516-D. 27.在等腰ABC 中,2,30,AC CB CAB ABC ∠===︒ 的外接圆圆心为O ,点P 在优弧AB 上运动,则2PA PB PO PC PA PB⎡⎤⎛⎫⎢⎥ ⎪-+⋅⎢⎥⎪⎝⎭⎣⎦的最小值为()A.4B.2C.-D.6-8.已知椭圆E :22221(0)x y a b a b +=>>的右焦点为()3,0F ,过点F 的直线交椭圆E 于,A B 两点,若AB 的中点坐标为()1,1-,则椭圆E 的方程为()A.221189x y += B.2212718x y +=C.2213627x y += D.2214536x y +=湖南省长沙市长郡中学2024届高三上学期月考(五)数学(单选题)1.若i 为虚数单位,则()()2i 1i +-的虚部为()A.iB.1C.i- D.-12.若集合{}2log 1,{1}A xx B x x =<=∣∣ ,则A B ⋃=R ð()A.{01}x x <<∣B.{12}xx -<<∣C.{10xx -<<∣或02}x << D.{2}xx <∣3.已知不共线的两个非零向量,a b ,则“a b + 与a b - 所成角为锐角”是“a b > ”的()A.充分不必要条件B.必要不充分条件C.充分必要条件D.既不充分也不必要条件4.要得到函数()πcos 23g x x ⎛⎫=+⎪⎝⎭的图象,可以将函数()πsin 26f x x ⎛⎫=+ ⎪⎝⎭的图象()A.向右平移π3个单位长度 B.向左平移π3个单位长度C.向右平移π6个单位长度D.向左平移π6个单位长度5.已知()()4223,0,,0,x x x f x g x x ⎧-->⎪=⎨<⎪⎩若()f x 为()(),00,∞∞-⋃+上的奇函数,()0(0)g a a =<,则a =()A.2±B.32-C.2-D.-16.已知双曲线2222:1(0,0)x y C a b a b-=>>的左、右顶点分别为12,,A A F 为C 的右焦点,C的离心率为2,若P 为C 右支上一点,2PF FA ⊥,记12π02A PA ∠θθ⎛⎫=<< ⎪⎝⎭,则tan θ=()A.12B.1D.27.已知二面角l αβ--的平面角为π0,,,,,,2A B C l D l AB l AB θθαβ⎛⎫<<∈∈∈∈⊥ ⎪⎝⎭与平面β所成角为π3.记ACD 的面积为1,S BCD 的面积为2S ,则12S S 的取值范围为()A.1,12⎡⎫⎪⎢⎣⎭B.12⎡⎢⎣C.32⎣D.3,12⎫⎪⎪⎣⎭8.在长郡中学文体活动时间,举办高三年级绳子打结计时赛,现有()*5n ∈N根绳子,共有10个绳头,每个绳头只打一次结,且每个结仅含两个绳头,所有绳头打结完毕视为结束.则这5根绳子恰好能围成一个圈的概率为()A.64315B.256315C.32315D.128315湖南省长沙市雅礼中学2024届高三上学期月考(一)数学(单选题)1.若集合{}2|log 4M x x =<,{}|21N x x =≥,则M N ⋂=()A.{}08x x ≤< B.182x x ⎧⎫≤<⎨⎬⎩⎭C.{}216x x ≤< D.1162xx ⎧⎫≤<⎨⎬⎩⎭2.记等差数列{a n }的前n 项和为S n .若a 6=16,S 5=35,则{a n }的公差为()A.3B.2C.-2D.-33.已知1z ,2z 是关于x 的方程2220x x +=-的两个根.若11i z =+,则2z =()A.2B.1C.D.24.函数sin exx x y =的图象大致为()A. B.C. D.5.已知220x kx m +-<的解集为()(),11t t -<-,则k m +的值为()A.1B.2C.-1D.-26.古代数学家刘徽编撰的《重差》是中国最早的一部测量学著作,也为地图学提供了数学基础,根据刘徽的《重差》测量一个球体建筑的高度,已知点A 是球体建筑物与水平地面的接触点(切点),地面上B ,C 两点与点A 在同一条直线上,且在点A 的同侧,若在B ,C 处分别测量球体建筑物的最大仰角为60°和20°,且BC =100m ,则该球体建筑物的高度约为()(cos10°≈0.985)A.45.25mB.50.76mC.56.74mD.58.60m7.已知定义域是R 的函数()f x 满足:x ∀∈R ,()()40f x f x ++-=,()1f x +为偶函数,()11f =,则()2023f =()A.1B.-1C.2D.-38.如今中国被誉为基建狂魔,可谓是逢山开路,遇水架桥.公路里程、高铁里程双双都是世界第一.建设过程中研制出用于基建的大型龙门吊、平衡盾构机等国之重器更是世界领先.如图是某重器上一零件结构模型,中间最大球为正四面体ABCD 的内切球,中等球与最大球和正四面体三个面均相切,最小球与中等球和正四面体三个面均相切,已知正四面体ABCD 棱长为,则模型中九个球的表面积和为()A.6πB.9πC.31π4D.21π湖南省长沙市雅礼中学2024届高三上学期月考(二)数学(单选题)1.若12z i =+,则()1z z +⋅=()A.24i-- B.24i-+ C.62i- D.62i+2.全集U =R ,集合{2,3,5,7,9}A =,{4,5,6,8}B =,则阴影部分表示的集合是()A.{2,3,5,7,9}B.{2,3,4,5,6,7,8,9}C.{4,6,8}D.{5}3.函数()2log 22xxx x f x -=+的部分图象大致是()A.B.C.D.4.在边长为3的正方形ABCD 中,点E 满足2CE EB = ,则AC DE ⋅=()A.3B.3- C.4- D.45.某校科技社利用3D 打印技术制作实心模型.如图,该模型的上部分是半球,下部分是圆台.其中半球的体积为3144πcm ,圆台的上底面半径及高均是下底面半径的一半.打印所用原料密度为31.5g/cm ,不考虑打印损耗,制作该模型所需原料的质量约为()(1.5 4.7π≈)A.3045.6gB.1565.1gC.972.9gD.296.1g6.已知数列{} n a 为等比数列,其前n 项和为n S ,10a >,则“公比0q >”是“对于任意*n ∈N ,0n S >”的()A.充分而不必要条件B.必要而不充分条件C.充分必要条件D.既不充分也不必要条件7.若存在实数a ,对任意的x ∈[0,m ],都有(sin x -a )·(cos x -a )≤0恒成立,则实数m 的最大值为()A.4πB.2πC.34π D.54π8.已知函数()f x 的定义域为R ,()()()()2,24f x f x f f +=--=-,且()f x 在[)1,+∞上递增,则()10xf x ->的解集为()A.()()2,04,∞-⋃+ B.()(),15,∞∞--⋃+C.()(),24,-∞-+∞ D.()()1,05,∞-⋃+湖南省长沙市雅礼中学2024届高三上学期月考(三)数学(单选题)1.已知复数1i z =-(i 为虚数单位),z 是z 的共轭复数,则1z的值为A .1B .22C .12D2.设全集U R =,{A x y ==,{}2,x B y y x R ==∈,则()U A B =ðA .{}0x x <B .{}01x x <≤C .{}12x x <≤D .{}2x x >3.已知向量a ,b满足7a b += ,3a = ,4b = ,则a b -=A .5B .3C .2D .14.我国数学家陈景润在哥德巴赫猜想的研究中取得了世界领先成果,哥德巴赫猜想如下:每个大于2的偶数都可以表示为两个素数(一个整数除了1和它本身没有其他约数的数称为素数)的和,如30723=+,633=+,在不超过25的素数中,随机选取2个不同的数,则这2个数恰好含有这组数的中位数的概率是A .14B .13C .29D .385.若函数()32132x a f x x x =-++在区间1,32⎛⎫⎪⎝⎭上有极值点,则实数a 的取值范围是A .52,2⎛⎫ ⎪⎝⎭B .52,2⎡⎫⎪⎢⎣⎭C .102,3⎛⎫⎪⎝⎭D .102,3⎡⎫⎪⎢⎣⎭6.已知3log 2a =,ln 3ln 4b =,23c =.则a ,b ,c 的大小关系是A .a b c <<B .a c b<<C .c a b<<D .b a c<<7.已知tan tan 3αβ+=,()sin 2sin sin αβαβ+=,则()tan αβ+=A .6-B .32-C .6D .48.已知函数()()32sin 4x f x x x x π=-+的零点分别为1x ,2x ,…,n x ,*n N ∈),则22212n x x x +++=A .12B .14C .0D .2湖南省长沙市雅礼中学2024届高三上学期月考(四)数学(单选题)1.已知集合{}2|1A x x =≤,{}|1B y y =≥-,则A B = ()A.∅B.[]1,1- C.[1,)-+∞ D.[1,1)-2.已知复数z 满足2(1i)z 24i -=-,其中i 为虚数单位,则复数z 的虚部为()A.1B.1- C.iD.i-3.如图所示,九连环是中国传统民间智力玩具,以金属丝制成9个圆环,解开九连环共需要256步,解下或套上一个环算一步,且九连环的解下和套上是一对逆过程.九连环把玩时按照一定的程序反复操作,可以将九个环全部从框架上解下或者全部套上.将第n 个圆环解下最少需要移动的次数记为n a (9n ≤,*n ∈N ),已知11a =,21a =,按规则有1221n n n a a a --++=(3n ≥,*n ∈N ),则解下第4个圆环最少需要移动的次数为()A.31B.16C.11D.74.二项式61x x ⎛⎫- ⎪⎝⎭的展开式中4x 的系数与6x 的系数之比为()A.6B.-6C.15D.-155.函数()()e e 2cos x x x f x x-+=+的部分图象大致为()A. B.C. D.6.已知定义域是R 的函数()f x 满足:x ∀∈R ,()()40f x f x ++-=,()1f x +为偶函数,()11f =,则()2023f =()A.1B.-1C.2D.-37.若点G 是ABC 所在平面上一点,且0,AG BG CG H →++=是直线BG 上一点,AH xAB =+ y AC ,则224x y +的最小值是().A.2 B.1C.12D.148.已知0.05a e =,ln1.112b =+,c =)A.a b c >> B.c b a >>C.b a c>> D.a c b>>参考答案湖南省长沙市长郡中学2024届高三上学期月考(一)数学(单选题)参考答案1.A【解析】解不等式260x x --<,得23x -<<,则{}23A x x =-<<,解不等式2log 1x <,得02x <<,即{}02B x x =<<,所以()2,3A B =- ,故选A.2.B【解析】若向量a b ∥ ,则()3210λλ⨯--=,即260λλ--=,解得2λ=-或3λ=,所以“3λ=”是“a b ∥”的充分不必要条件,故选B.3.D【解析】因为i z a b =-,所以i z a b -=-+,故A 错误;()()22i i z z a b a b a b ⨯=+-=+,z =,故B 错误;2222i z a b ab =-+,222z a b =+,故C 错误;由复数的几何意义可知,()1212z z z z --≤+-,则1212z z z z +≤+,故D 正确.故选D.4.C【解析】依题意,圆C :(2218x y +-=,故圆心(C 到直线l :3sin 20x y θ⋅-=的距离d =,故MN =≥,当且仅当2sin 0θ=时等号成立,故min MN = C.5.C【解析】因为12152a =<,所以245a =,335a =,415a =,525a =,所以数列具有周期性,周期为4,所以202333$5a a ==.故选C.6.B【解析】截成的铁丝最小为1,因此第一段为1,因n 段之和为定值,欲n 尽可能的大,则必须每段的长度尽可能小,所以第二段为1,又因为任意三条线段都不能构成三角形,所以三条线段中较小两条之和不超过最长线段,又因为每段的长度尽可能小,所以第三段为2,为了使得n 最大,因此要使剩下的铁丝尽可能长,因此每一条线段总是前面的相邻两段之和,依次为:1,1,2,3,5,8,13,21,34,以上各数之和为88,与89相差1,因此可以取最后一段为35,这时n 达到最大为9.故选B.7.D【解析】由题设有()1cos 11sin 22224x f x x x ωπωω-⎛⎫=+-=- ⎪⎝⎭,令()0f x =,则有4x k πωπ-=,k ∈Z ,即4k x ππω+=,k ∈Z .因为()f x 在区间(),2ππ内没有零点,故存在整数k ,使得5442k k ππππππωω++≤<≤,即1,45,28k k ωω⎧≥+⎪⎪⎨⎪≤+⎪⎩因为0ω>,所以1k ≥-且15428k k +≤+,故1k =-或0k =,所以108ω<≤或1548ω≤≤,故选D.8.D【解析】设()242a g x x x =--,其判别式21604a =+>△,∴函数()g x 一定有两个零点,设()g x 的两个零点为1x ,2x 且12x x <,由2402a x x --=,得1x =2x =,∴()121224,,224,,24,.2ax x x a f x x x x x x ax x x ⎧+<⎪⎪⎪=--≤⎨⎪⎪+>⎪⎩≤①当0a ≤时,()f x 在()1,x -∞上单调递减或为常函数,从而()f x 在(),2-∞-不可能单调递增,故0a >;②当0a >时,()20g a -=>,故12x >-,则120x -<<,∵()f x 在()1,x -∞上单调递增,∴()f x 在(),2-∞-上也单调递增,102ga =--<2x <,由()f x 在2,8a x ⎡⎤⎢⎥⎣⎦和()2,x +∞上都单调递增,且函数的图象是连续的,∴()f x 在,8a ⎡⎫+∞⎪⎢⎣⎭上单调递增,欲使()f x在)+∞上单调递增,只需8a≤,得a ≤,综上,实数a的范围是0a <≤故选D.湖南省长沙市长郡中学2024届高三上学期月考(二)数学(单选题)参考答案1.B 【解析】集合{}19B x x =-≤≤,{}1,3,7,11,15,A =- ,则{}1,3,7A B ⋂=-,即元素个数为3.故选:B 2.A 【解析】复数()20231i i 1i 1i 1i 1i i i +-+-+====---a a a a a a,因为其虚部为3,所以13-=a ,可得13=-a .故选:A.3.A 【解析】因为()a b a -⊥ ,所以()20a b a a a b -⋅=-⋅=,∴2102a a b -=,又)b =,所以2b ==,∴1a =或0a = (舍去),所以21a b a ⋅== ,所以a 在b方向上的投影向量为14a b b b b b⋅⋅=⋅.故选:A.4.A 【解析】抛物线22x py =的开口向上,由于(),4M x 在C 上,且5MF =,根据抛物线的定义可知45,22pp +==,所以抛物线C 的方程为24x y =.故选:A 5.D 【解析】由()1ex a f x x -+=-,得()1e 1x a f x -+=-',因为函数()1e x af x x -+=-在区间()0,∞+上单调递增,所以()1e10x a f x -+'=-≥在区间()0,∞+恒成立,所以10x a -+≥在区间()0,∞+恒成立,即1a x ≤+在区间()0,∞+恒成立,所以1a ≤.故选:D 6.A 【解析】由1k =时,圆心到直线:1l y x =+的距离2d =..所以11222OAB S ∆==.所以充分性成立,由图形的对称性,当1k =-时,OAB 的面积为12.所以必要性不成立.故选A.7.B 【解析】π2sin()4αα=+Q ,)222(sin cos )2cos sin αααα=+-Q ,1(cos sin )(cos sin )02αααα∴+--=,又π0,2α⎛⎫∈ ⎪⎝⎭,则sin 0,cos 0αα>>,即cos sin 0αα+>所以1cos sin 2αα-=,因为π0,2α⎛⎫∈ ⎪⎝⎭,所以2(0,π)α∈,sin 20α>.由1cos sin 2αα-=平方可得11sin 24α-=,即3sin 24α=,符合题意.综上,3sin 24α=.故选:B.8.A 【解析】由2e 1a a b-=,得2e a b a =-,令()2e x f x x =-,则()'12e x f x =-,令()'0fx =得ln 2x =-,当ln 2x >-时,()()'0,f x f x <单调递减,当ln 2x <-时,()()'0,f x f x >单调递增;由111cd -=-,得2d c =-+,令()2g x x =-+,()(),f x g x 的图像如下图:则22()()a c b d -+-表示()y f x =上一点(),M a b 与()y g x =上一点(),N c d 的距离的平方,显然,当过M 点的()f x 的切线与()g x 平行时,MN 最小,设()y f x =上与()y g x =平行的切线的切点为()000,M x y ,由()0'012e 1xf x =-=-,解得00x =,所以切点为()00,2M -,切点到()y g x =的距离的平方为28=,即22()()a c b d -+-的最小值为8;故选:A.湖南省长沙市长郡中学2024届高三上学期月考(三)数学(单选题)参考答案1.A【解析】{}2430(1,3),{ln 1}(0,e],(1,e]A x x x B x x A B =-+<==≤=∴= ∣∣,故选A .2.B 【解析】因为23i (23i)(1i)51i 1i (1i)(1i)22++-==+++-,所以实部为52,虚部为12,实部与虚部之积为54.故选B .3.D【解析】因为09x ≤≤,所以9066x ππ≤≤,所以73636x ππππ-≤-≤,所以当633x πππ-=-时,有最小值为2sin 3π⎛⎫-= ⎪⎝⎭,所以当632x πππ-=时,有最大值为2sin 22π=,所以最大值与最小值之差为2,故选D .4.A【解析】由于()2()lg 45f x x x =--在(,)a +∞上单调递增,而lg y x =在(0,)+∞上单调递增,所以2450,2,a a a ⎧--≥⎨≥⎩所以5a ≥,故a 的取值范围是[5,)+∞,故选A .5.C【解析】由双曲线的定义得,12||||||2PF PF a -=,又123PF PF =,所以21,3PF a PF a ==,所以在12F PF △中,有222121212122cos F F PF PF PF PF F PF =+-⋅∠,即2224923cos 60c a a a a =+-⋅⋅︒,化简得2247c a =,即2274c a =,所以离心率72c e a ===,故选C .6.D【解析】将该“阿基米德多面体”放入正方体中,如图,平面EFG 和平面GHK 为有公共顶点的两个正三角形所在平面,建立如图所示空间直角坐标系,设正方体的棱长为2,则(1,0,2),(2,1,2),(2,0,1),(2,1,0),(1,0,0)E F G H K ,设平面EFG 的法向量为(,,),(1,1,0),(1,0,1)m x y z EF EG ===-,所以0,0,EF m x y EG m x z ⎧⋅=+=⎪⎨⋅=-=⎪⎩令1,1,1x y z ==-=,所以(1,1,1)m =- ,设平面GHK 的法向量为(,,),(0,1,1),(1,0,1)n a b c GH GK ==-=--,所以0,0,GH n b c GK n a c ⎧⋅=-=⎪⎨⋅=--=⎪⎩令1,1,1a b c ==-=-,所以(1,1,1)n =-- ,设平面EFG 和平面GHK 的夹角为θ,则1cos ,3||||m n m n m n ⋅〈〉===⋅,因为平面EFG 和平面GHK 的夹角为锐角,所以1cos |cos ,|3m n θ=〈〉= ,所以22sin sin ,tan 3cos θθθθ====,故选D .7.B【解析】2243z x xy y =-+,则22114433xy xy x y z x xy y y x ==≤=-++-.8.C【解析】由()0f x >,得3ln 2x a ax x >-+,令3ln (),()2xg x h x a ax x==-+,则23(1ln )()x g x x -'=,则()g x 在(0,e)上单调递增,在(e,)+∞上单调递减,作出()g x 的大致图象如图所示,易知()h x 的图象是恒过,点1,02⎛⎫⎪⎝⎭的直线,若0a ≤,则显然不符合题意;若0a >,则(2)(2),(3)(3),g h g h >⎧⎨≤⎩即3ln 24,23ln 36,3a a a a ⎧>-+⎪⎪⎨⎪≤-+⎪⎩解得ln 3ln 252a ≤<.故选C .湖南省长沙市长郡中学2024届高三上学期月考(四)数学(单选题)参考答案1.B 【解析】由已知得{}0,1M N = .故选:B 2.A 【解析】因为R a ∈,()()()2i 1i 22i 4i a a a ++=-++=,所以2024a a -=⎧⎨+=⎩,解得2a =.故选:A 3.D 【解析】随机变量2(,)X N μσ ,显然()()1P X a P X a <+≥=,而()3()P X a P X a <=≥,所以()0.25P X a ≥=.故选:D 4.B 【解析】因为2234422log 62log log 21log 5log 6==log log 42c b a =<<=<=,即c b a <<.故选:B .5.C【解析】圆锥与其内切球的轴截面如下图所示,由已知111,2O D SO ==,可知130O SD ∠=,所以圆锥的轴截面为正三角形,因为3SO =,所以圆锥底面圆半径tan 30AO SO =⋅=cos 06AOSA ==o,则圆锥的表面积为2ππ9πS =⨯+=.故选:C .6.D 【解析】由已知得π4α⎛⎫-= ⎪⎝⎭3(sin cos )cos ααα-=,∴4tan 3α=,∵π(0,2α∈,∴43sin ,cos ,sin 2cos 255αααα==+=.故选:D.7.D 【解析】由已知2,30AC CB CAB ∠===︒,所以圆O 的外接圆直径为24sin BCR A==,因为30APC ABC BPC BAC ∠∠∠∠====︒,所以PA PB PA PB += ,所以2223112|2(2622PA PB PO PC PO PC PC PC PA PB PC ⎡⎤⎛⎫⎛⎫⎢⎥ ⎪ -+⋅=-⋅=-=--⎢⎥⎪ ⎪⎝⎭⎝⎭⎣⎦,因为2AC PC R <≤ ,即24PC <≤,所以PC = 时,取到最小值6-.故选:D .8.A 【解析】根据题意设()()1122,,,A x y B x y ,代入椭圆方程可得22112222222211x y a bx y a b ⎧+=⎪⎪⎨⎪+=⎪⎩;两式相减可得22221212220x x y y a b --+=,整理可得2221211122y y x x b a x x y y --++=-;又因为AB 的中点坐标为()1,1-,可得12122,2x x y y +=+=-;因此过,A B 两点的直线斜率为212212ABy y b k x x a -==-,又()3,0F 和AB 的中点()1,1-在直线上,所以101132AB k --==-,即2212b a =,可得222a b =;又易知3c =,且22229a b c b =+=+,计算可得2218,9a b ==;所以椭圆E 的方程为221189x y +=,代入AB 的中点坐标为()1,1-,得()22113118918-+=<,则其在椭圆内部,则此时直线AB 与椭圆相交两点.故选:A.湖南省长沙市长郡中学2024届高三上学期月考(五)数学(单选题)参考答案1.D【解析】因为()()2i 1i 22i i 13i +-=-++=-,故选D.2.B【解析】不等式2log 1x <解得02x <<,则{02}A xx =<<∣,{1},{1}{11},{12}B x x B x x x x A B x x ==<=-<<∴⋃=-<<R R∣∣∣∣ ,故选B.3.C【解析】因为,a b 不共线,可知a b + 与a b - 不共线,则a b + 与a b - 所成角为锐角等价于()()0a b a b +⋅-> ,即22a b > ,即a b > ,所以“a b + 与a b - 所成角为锐角”是“a b > ”的充分必要条件.故选C.4.B【解析】()()π5π5πsin2,sin 2sin212612f x x g x x x ⎛⎫⎛⎫⎛⎫=+=+=+ ⎪ ⎪ ⎪⎝⎭⎝⎭⎝⎭,5πππ12123-=,故选B.5.C【解析】由题意可得当0a <时,()()0f a g a ==,因为()f x 为()(),00,∞∞-⋃+上的奇函数,所以()()f a f a =--,所以()()()()4222230,1230g a f a a a a a =--=-++=+-=,所以21a =-(舍去),或232a =,因为0a <,所以2a =-.故选C.6.A【解析】设C 的焦距为2c ,点()00,P x y ,由C 的离心率为2可知2,c a b ==,因为2PF FA ⊥,所以0x c =,将()0,P c y 代入C 的方程得220221y c a b-=,即0y =,所以()2133tan 3,tan 1PA F PA F c a c a ∠∠====---,故()21311tan tan 1312PA F PA F θ∠∠-=-==+⨯.故选A.7.C【解析】作AE CD ⊥,垂足为E ,连接BE ,因为AB l ⊥,即,,,AB CD AE AB A AE AB ⊥⋂=⊂平面AEB ,故CD ⊥平面,AEB BE ⊂平面AEB ,故CD BE ⊥,又CD ⊂平面β,故平面AEB ⊥平面β,平面AEB ⋂平面BE β=,则AB 在平面β内的射影在直线BE 上,则ABE ∠为AB 与平面β所成角,即π3ABE ∠=,由于,AE CD CD BE ⊥⊥,故AEB ∠为二面角l αβ--的平面角,即π02AEB ∠θθ⎛⎫=<< ⎪⎝⎭,121212AE CD S AE S BEBE CD ⨯==⨯,在ABE 中,sin sin sin AE BE ABABE BAE AEB∠∠∠==,则sin 1sin 2sin AE ABE BE BAE BAE∠∠∠==⋅,而π02θ<<,则π2ππ33BAE ∠θθ=--=-,则π2π1,,sin ,1632BAE BAE ∠∠⎛⎫⎛⎤∈∴∈⎪ ⎥⎝⎭⎝⎦,故sin 313sin 2sin 2AE ABE BE BAE BAE ∠∠∠==⋅∈⎣,故选C.8.D【解析】不妨令绳头编号为1,2,3,4,,2n ,可以与绳头1打结形成一个圆的绳头除了1,2外有22n -种可能,假设绳头1与绳头3打结,那么相当于对剩下1n -根绳子进行打结,令()*n n ∈N根绳子打结后可成圆的种数为na,那么经过一次打结后,剩下1n -根绳子打结后可成圆的种数为1n a -,由此可得,()122,2n n a n a n -=- ,所以()1212122,24,,2n n n n a a an n a a a ---=-=-= ,所以()()()112224221!n na n n n a -=-⨯-⨯⨯=⋅- ,显然11a =,故()121!n n a n -=⋅-;另一方面,对2n 个绳头进行任意2个绳头打结,总共有()()()222222224222122212!C C C C ;!2!2!n n n nn n n n n N n n n --⋅-⋅-⋅⋅⋅===⋅⋅ 所以()()()()12121!2!1!2!2!2!n n n n n n n a P n N n n --⋅-⋅-===⋅.所以当5n =时,128315P =,故选D .湖南省长沙市雅礼中学2024届高三上学期月考(一)数学(单选题)参考答案1.D 【解析】{}{}2|log 4|016M x x x x =<=<<,1|2N x x ⎧⎫=≥⎨⎩⎭,则1162M N x x ⎧⎫⋂=≤<⎨⎬⎩⎭.故选:D.2.A 【解析】解:由等差数列性质可知,S 5=152a a +×5=5a 3=35,解得a 3=7,设等差数列的公差为d ,所以11+27516a d a d =⎧⎨+=⎩,解之得3d =.故选:A.3.C 【解析】法一:由1z ,2z 是关于x 的方程2220x x +=-的两个根,得122z z +=,所以()21221i 1i z z =-=-+=-,所以21i z =-=法二:由1z ,2z 是关于x 的方程2220x x +=-的两个根,得122z z ⋅=,所以21221i z z ==+,所以2221i 1i z ====++.故选:C .4.D 【解析】令()sin exx x f x =,该函数的定义域为R ,()()()sin sin eexxx x x x f x f x ----===,所以,函数sin exx x y =为偶函数,排除AB 选项,当0πx <<时,sin 0x >,则sin 0exx x y =>,排除C 选项.故选:D.5.B 【解析】因为220x kx m +-<的解集为()(),11t t -<-,所以=1x -为方程220x kx m +-=的一个根,所以2k m +=.故选:B .6.B 【解析】设球的半径为R,,tan10R AB AC ==,100tan10RBC =-=- ,25250.760.985R R ==故选:B.7.B【解析】因为()1f x +为偶函数,所以()f x 的图象关于直线1x =对称,所以()()2=f x f x -,又由()()40f x f x ++-=,得()()4f x f x +=--,所以()()()846f x f x f x +=---=-+,所以()()2f x f x +=-,所以()()4f x f x +=,故()f x 的周期为4,所以()()()2023311f f f ==-=-.故选:B .8.B 【解析】如图,取BC 的中点E ,连接DE ,AE ,则CE BE ==,AE DE ===,过点A 作AF ⊥底面BCD ,垂足在DE 上,且2DF EF =,所以DF EF ==4AF ===,点O 为最大球的球心,连接DO 并延长,交AE 于点M ,则DM ⊥AE ,设最大球的半径为R ,则OF OM R ==,因为Rt AOM △∽Rt AEF ,所以AO OMAE EF ==1R =,即1OM OF ==,则413AO =-=,故1sin 3OM EAF AO ∠==设最小球的球心为J ,中间球的球心为K ,则两球均与直线AE 相切,设切点分别为,H G ,连接,HJ KG ,则,HJ KG 分别为最小球和中间球的半径,长度分别设为,a b ,则33,33AJ HJ a AK GK b ====,则33JK AK AJ b a =-=-,又JK a b =+,所以33b a a b -=+,解得2b a =,又33OK R b AO AK b =+=-=-,故432b R =-=,解得12b =,所以14a =,模型中九个球的表面积和为2224π4π44π44π4ππ9πR b a +⨯+⨯=++=.故选:B湖南省长沙市雅礼中学2024届高三上学期月考(二)数学(单选题)参考答案1.C 【解析】()()()122i 12i 244i 2i 62i z z +⋅=+-=+-+=-.故选:C .2.C 【解析】韦恩图的阴影部分表示的集合为()U A B ð,而全集U =R ,集合{2,3,5,7,9}A =,{4,5,6,8}B =,所以(){4,6,8}U A B ⋂=ð.故选:C 3.A 【解析】易知()2log 22xxx x f x -=+的定义域为{}0x x ≠,因为()()22log log 2222xxxxx x x f x x f x -----==-=-++,所以()f x 为奇函数,排除答案B ,D ;又()2202222f -=>+,排除选项C .故选:A .4.A【解析】以B 为原点,BC ,BA 所在直线分别为x ,y 轴,建立如图所示直角坐标系,由题意得()()()()0,3,1,0,3,0,3,3A E C D ,所以()3,3AC =- ,()2,3DE =-- ,所以()()()32333AC DE ⋅=⨯-+-⨯-= .故选:A.5.C【解析】设半球的半径为R ,因为332π144πcm 3V R ==半球,所以6R =,由题意圆台的上底面半径及高均是3,下底面半径为6,所以((223113π6π363πcm 33V S S h =+=⋅+⋅+⨯=下上圆台,所以该实心模型的体积为3144π63π207πcm V V V =+=+=半球圆台,所以制作该模型所需原料的质量为207π 1.5207 4.7972.9g⨯≈⨯=故选:C.6.A【解析】若10a >,且公比0q >,则110n n a a q -=>,所以对于任意*n ∈N ,0n S >成立,故充分性成立;若10a >,且12q =-,则()111112212111101323212n n n n n a S a ⎡⎤⎛⎫--⎢⎥ ⎪⎡⎤⎡⎤⎝⎭⎢⎥⎛⎫⎛⎫⎣⎦==-=--⨯>⎢⎥⎢⎥ ⎪ ⎛⎫⎝⎭⎝⎭⎢⎥⎢⎥⎣⎦⎣⎦-- ⎪⎝⎭,所以由对于任意*n ∈N ,0n S >,推不出0q >,故必要性不成立;所以“公比0q >”是“对于任意*n ∈N ,0n S >”的充分不必要条件.故选:A.7.C【解析】在同一坐标系中,作出y =sin x 和y =cos x的图象,当m =4π时,要使不等式恒成立,只有a =22,当m >4π时,在x ∈[0,m ]上,必须要求y =sin x 和y =cos x 的图象不在y =a =22的同一侧.∴由图可知m 的最大值是34π.故选:C.8.D【解析】解:函数()f x ,满足()()2f x f x +=-,则()f x 关于直线1x =对称,所以()()()244f f f -==-,即()()240f f -==,又()f x 在[)1,+∞上递增,所以()f x 在(),1-∞上递减,则可得函数()f x的大致图象,如下图:所以由不等式()10xf x ->可得,20210x x -<<⎧⎨-<-<⎩或414x x >⎧⎨->⎩,解得10x -<<或5x >,故不等式()10xf x ->的解集为()()1,05,∞-⋃+.故选:D.湖南省长沙市雅礼中学2024届高三上学期月考(三)数学(单选题)参考答案1.B2.D【解析】易知{}02A x x =≤≤,{}0B y y =>,∴{}02U A x x x =<>或ð,故(){}2UA B x x => ð.故选D .3.D 【解析】由条件a b a b +=+ 知a ,b 同向共线,所以1a b a b -=-= ,故选D .4.C【解析】不超过25的素数有2,3,5,7,11,13,17,19,23共9个,中位数为11,任取两个数含有1l 的概率为182982369C p C ===,故选C .5.C【解析】由题意()2'1f x x ax =-+在区间1,32⎛⎫⎪⎝⎭上有零点,∴1a x x =+,1,32x ⎛⎫∈ ⎪⎝⎭,∴1023a <≤,又当2a =时,()()2'10f x x =-≥,()f x 单调,不符合,∴2a ≠,∴1023a <<,故选C .6.B【解析】∵2333332log 3log log log 23c a ===>=,∴c a >,又23442log 4log 3c ===44ln 3log log 3ln 4b ===,∴c b <,∴a c b <<.故选B .7.A【解析】由条件知cos cos 0αβ≠,sin cos cos sin 2sin sin αβαβαβ⇒+=,两边同除以cos cos αβ得:tan tan 2tan tan αβαβ+=,∴3tan tan 2αβ=,从而()tan tan tan 61tan tan αβαβαβ++==--,故选A .8.A 【解析】由()()210sin 04f x x x x x π⎡⎤=⇒-⋅+=⎢⎥⎣⎦,0x =为其中一个零点,令()()21sin 4g x x x x π=-+,∵()00g ≠,∴令()()2140sin x g x x x π+=⇒=,∵()1sin 1x π-≤≤∴2141x x +≤,∴214x x +≤,∴2102x ⎛⎫- ⎪⎝⎭≤,∴12x =±,所以()f x )共有三个零点12-,0,12,∴2221212n x x x +++= ,故选A .湖南省长沙市雅礼中学2024届高三上学期月考(四)数学(单选题)参考答案1.B【解析】因为21x ≤,所以11x -≤≤,即{}|11A x x =-≤≤,所以A B = {}|11x x -≤≤.故选:B.2.B【解析】由题意,化简得224i 24i 2i 42i (1i)2i 2z --+====+--,则2i z =-,所以复数z 的虚部为1-.故选:B3.D【解析】由题意,11a =,21a =,1221n n n a a a --++=(3n ≥,*n ∈N ),解下第4个圆环,则4n =,即43221a a a =++,而321211214a a a =++=++=,因此44217a =++=,所以解下第4个圆环最少需要移动的次数为7.故选:D.4.B【解析】由题设6621661C ()(1)C r r r r r r r T x x x--+=-=-,所以含4x 项为()1144261C 6T x x =-=-,含6x 项为()0066161C T x x =-=,,则系数之比为-6.故选:B.5.C【解析】解:根据题意,对于函数()()e e 2cos x xx f x x-+=+,有函数()()()()e e e e 2cos 2cos x xx xx x f x f x x x---++-==-=-++,即函数()f x 为奇函数,图象关于原点对称,故排除A 、B ;当0x >时,cos [1,1]x ∈-,则恒有()()e e 02cos x x x f x x -+=>+,排除D ;故选:C.6.B【解析】因为()1f x +为偶函数,所以()f x 的图象关于直线1x =对称,所以()()2=f x f x -,又由()()40f x f x ++-=,得()()4f x f x +=--,所以()()()846f x f x f x +=---=-+,所以()()2f x f x +=-,所以()()4f x f x +=,故()f x 的周期为4,所以()()()2023311f f f ==-=-.故选:B .7.C【解析】设()G x y ,,112233(,),(,),(,)A x y B x y C x y ,因为0AG BG CG ++= ,所以1233x x x x ++=,1233y y y y ++=,所以点G 是ABC 的重心,设点D 是AC 的中点,则2AC AD =,B 、G 、D 共线,如图,又2AH x AB y AD =+ .因为B 、H 、D 三点共线,所以21x y +=,所以()()22222214222x y x y x y ++=+≥=,当且仅当2x y =,即12x =,14y =时取等号,即224x y +的最小值是12.故选:C .8.D【解析】令()()10x f x e x x =-->,则()10x f e x ='->,()f x \在()0,∞+上单调递增,()()00f x f ∴>=,即1x e x >+,0.1 1.1e ∴>,0.05e ∴>,即a c >;令()ln 1g x x x =-+,则()111x g x x x-'=-=,∴当()0,1x ∈时,()0g x '>;当()1,x ∈+∞时,()0g x '<;()g x ∴在()0,1上单调递增,在()1,+∞上单调递减,()()10g x g ∴≤=,ln 1x x ∴≤-(当且仅当1x =时取等号),1∴≤-,即ln 12x +≤1x =时取等号),ln1.112∴+<,即b c <;综上所述:a c b >>.故选:D.。
高三数学都有哪些知识点数学作为一门学科,是高中阶段学习的重点科目之一。
在高三阶段,学生需要掌握和应用许多数学知识点,为高考的顺利通过打下坚实的基础。
以下是高三数学的主要知识点:一、函数与方程1. 一次函数与二次函数:包括函数的定义、性质、图像和应用,以及一次函数和二次函数的相关方程与不等式。
2. 三角函数:涉及正弦、余弦、正切等三角函数的定义、性质、图像和基本公式,以及相关方程与不等式的求解。
3. 指数函数与对数函数:包括指数函数和对数函数的定义、性质、图像和应用,以及相关方程与不等式的解法。
4. 数列与数列极限:涉及等差数列、等比数列、递归数列等的概念、性质和求和公式,以及数列极限的概念、性质和计算方法。
二、空间解析几何1. 点、直线和平面的方程:包括点的坐标表示、直线的斜率、截距,以及直线和平面的方程的确定和求解。
2. 空间几何图形:涉及球、圆锥、棱台等几何图形的性质、参数方程和相关计算。
3. 空间向量:包括向量的定义、性质、数量积、向量积的运算,以及向量方程、平面和直线的向量表示等。
三、数论与代数1. 数论基础:包括整除性质、质数与合数、最大公约数和最小公倍数的性质和应用,以及模运算的概念和运算规则。
2. 二项式定理:涉及二项式展开、二项系数的计算、二次方程的求解等数学公式和运算。
3. 排列与组合:包括排列组合的基本概念、计数原理、乘法原理和加法原理的运用。
四、微积分1. 导数与极限:涉及函数的极限、连续性、导数的定义、性质和计算方法,以及导数在函数图像和曲线研究中的应用。
2. 函数的应用:包括最值与最优化问题、函数的增减性与凹凸性以及曲线的拐点和渐近线的判断等。
3. 不定积分与定积分:涉及不定积分的基本性质和计算方法,以及定积分的定义、性质和计算方法。
五、概率与统计1. 概率基础:包括随机事件的概率、古典概型、条件概率和独立事件的概念和计算。
2. 统计分析:涉及统计数据的收集、整理和处理,包括频率分布表、统计图表和数据的分析与解读等。
第3讲 分类讨论思想1. 分类讨论思想是一种重要的数学思想方法.其基本思路是将一个较复杂的数学问题分解(或分割)成若干个基础性问题,通过对基础性问题的解答来实现解决原问题的思想策略.对问题实行分类与整合,分类标准等于增加一个已知条件,实现了有效增设,将大问题(或综合性问题)分解为小问题(或基础性问题),优化解题思路,降低问题难度.2. 分类讨论的常见类型条件下结论不一致,如等比数列的前n 项和公式、函数的单调性等.求,指数运算中底数的要求,不等式两边同乘以一个正数、负数,三角函数的定义域等.面的位置关系等.同会导致所得结果不同,或对于不同的参数值要使用不同的求解或证明方法.(6)由实际意义引起的讨论:此类问题在应用题中,特别是在解决排列、组合中的计数问题时常用.3. 分类讨论的原则(1)不重不漏.(2)标准要统一,层次要分明.(3)能不分类的要尽量避免或尽量推迟,决不无原则地讨论.4. 解分类问题的步骤(1)确定分类讨论的对象:即对哪个变量或参数实行分类讨论.(2)对所讨论的对象实行合理的分类.(3)逐类讨论:即对各类问题详细讨论,逐步解决.(4)归纳总结:将各类情况总结归纳.类型一 由概念、法则、公式、性质引起的分类讨论例1 (1)若函数f (x )=a x (a >0,a ≠1)在[-1,2]上的最大值为4,最小值为m ,且函数g (x )=(1-4m )x 在[0,+∞)上是增函数,则a =________.(2)已知实数a ≠0,函数f (x )=⎩⎪⎨⎪⎧2x +a ,x <1,-x -2a ,x ≥1.若f (1-a )=f (1+a ),则a 的值为________. 答案 (1)14 (2)-34解析 (1)讨论字母的取值,从而确定函数的最大值与最小值.若a >1,有a 2=4,a -1=m ,此时a =2,m =12,此时g (x )=-x 为减函数,不合题意.若0<a <1,有a -1=4,a 2=m ,故a =14,m =116,检验知符合题意. (2)当a >0时,1-a <1,1+a >1.这时f (1-a )=2(1-a )+a =2-a ,f (1+a )=-(1+a )-2a =-1-3a . 由f (1-a )=f (1+a )得2-a =-1-3a ,解得a =-32. 不合题意,舍去.当a <0时,1-a >1,1+a <1,这时f (1-a )=-(1-a )-2a =-1-a ,f (1+a )=2(1+a )+a =2+3a .由f (1-a )=f (1+a )得-1-a =2+3a ,解得a =-34. 综上可知,a 的值为-34. 应用指数、对数函数时往往对底数是否大于1实行讨论,这是由它的性质决定的.处理分段函数问题时,首先要确定自变量的取值属于哪个区间段,再选择相对应的对应法则,离开定义域讨论问题是产生错误的重要原因之一.已知圆的方程x 2+y 2=1,则过点P (1,2)的圆的切线方程为________.答案 x =1或3x -4y +5=0解析 当k 不存有时,直线为x =1,也是切线,当k 存有时,设直线方程为y -2=k (x -1),即kx -y -k +2=0.∴圆心(0,0)到直线的距离d =|2-k |k 2+1=1,解得k =34. ∴直线方程为3x -4y +5=0.∴切线方程为x =1或3x -4y +5=0.类型二 由元素的位置、图形的形状变化引起的分类讨论例2 已知m ∈R ,求函数f (x )=(4-3m )x 2-2x +m 在区间[0,1]上的最大值.解 ①当4-3m =0,即m =43时,函数y =-2x +43, 它在[0,1]上是减函数,所以y max =f (0)=43. ②当4-3m ≠0,即m ≠43时,y 是二次函数. 当4-3m >0,即m <43时,二次函数y 的图象开口向上,对称轴方程x =14-3m >0,它在[0,1]上的最大值只能在区间端点取得(因为此处不涉及最小值,故不需讨论区间与对称轴的关系).f (0)=m ,f (1)=2-2m ,当m ≥2-2m ,又m <43,即23≤m <43时,y max =m . 当m <2-2m ,又m <43,即m <23时,y max =2(1-m ). 当4-3m <0,即m >43时,二次函数y 的图象开口向下,又它的对称轴方程x =14-3m<0,所以函数y 在[0,1]上是减函数,于是y max =f (0)=m .由①、②可知,这个函数的最大值为y max =⎩⎨⎧ 2-2m ,m <23,m ,m ≥23.求解相关几何问题中,因为几何元素的形状、位置变化的不确定性,所以需要根据图形的特征实行分类讨论.一般由图形的位置或形状变化引发的讨论包括:二次函数对称轴位置的变化;函数问题中区间的变化;函数图象形状的变化;直线由斜率引起的位置变化;圆锥曲线由焦点引起的位置变化或由离心率引起的形状变化.设F 1,F 2为椭圆x 29+y 24=1的两个焦点,P 为椭圆上一点.已知P ,F 1,F 2是一个直角三角形的三个顶点,且PF 1>PF 2,则PF 1PF 2的值为________. 答案 2或72解析 若∠PF 2F 1=90°,则PF 21=PF 22+F 1F 22,∵PF 1+PF 2=6,F 1F 2=25,解得PF 1=143,PF 2=43, ∴PF 1PF 2=72. 若∠F 2PF 1=90°,则F 1F 22=PF 21+PF 22=PF 21+(6-PF 1)2, 解得PF 1=4,PF 2=2,∴PF 1PF 2=2.综上所述,PF 1PF 2=2或72. 类型三 由参数变化引起的分类讨论例3 已知函数f (x )=ln x -ax +1-a x(0<a <1),讨论函数f (x )的单调性.解 f ′(x )=1x -a +a -1x 2=-ax 2-x +1-a x 2,x ∈(0,+∞). 由f ′(x )=0,即ax 2-x +1-a =0,解得x 1=1,x 2=1a-1. (1)若0<a <12,则x 2>x 1. 当0<x <1或者x >1a-1时,f ′(x )<0; 当1<x <1a-1时,f ′(x )>0. 故此时函数f (x )的单调递减区间是(0,1),⎝⎛⎭⎫1a -1,+∞,单调递增区间是⎝⎛⎭⎫1,1a -1. (2)若a =12,则x 1=x 2,此时f ′(x )≤0恒成立,且仅在x =12处等于零,故此时函数f (x )在(0,+∞)上单调递减;(3)若12<a <1,则0<x 2<x 1, 当0<x <1a-1或者x >1时,f ′(x )<0; 当1a-1<x <1时,f ′(x )>0. 故此时函数f (x )的单调递减区间是⎝⎛⎭⎫0,1a -1,(1,+∞),单调递增区间是⎝⎛⎭⎫1a -1,1. 含有参数的问题,主要包括:(1)含有参数的不等式的求解;(2)含有参数的方程的求解;(3)函数解析式中含参数的最值与单调性问题;(4)二元二次方程表示曲线类型的判定等.求解时,要结合参数的意义,对参数的不同取值或不同取值范围实行分类讨论,分类要合理,要不重不漏,要符合最简原则.设a >0,函数f (x )=12x 2-(a +1)x +a (1+ln x ). (1)求曲线y =f (x )在(2,f (2))处与直线y =-x +1垂直的切线方程;(2)求函数f (x )的极值.解 (1)由已知x >0,f ′(x )=x -(a +1)+a x, 因为曲线y =f (x )在(2,f (2))处切线的斜率为1,所以f ′(2)=1,即2-(a +1)+a 2=1,所以a =0, 此时f (2)=2-2=0,故曲线f (x )在(2,f (2))处的切线方程为x -y -2=0.(2)f ′(x )=x -(a +1)+a x=x 2-(a +1)x +a x =(x -1)(x -a )x. ①当0<a <1时,若x ∈(0,a ),f ′(x )>0,函数f (x )单调递增;若x ∈(a,1),f ′(x )<0,函数f (x )单调递减;若x ∈(1,+∞),f ′(x )>0,函数f (x )单调递增.此时x =a 是f (x )的极大值点,x =1是f (x )的极小值点,函数f (x )的极大值是f (a )=-12a 2+a ln a , 极小值是f (1)=-12; ②当a =1时,若x ∈(0,1),f ′(x )>0,若x =1,f ′(x )=0,若x ∈(1,+∞),f ′(x )>0,所以函数f (x )在定义域内单调递增,此时f (x )没有极值点,也无极值.③当a >1时,若x ∈(0,1),f ′(x )>0,函数f (x )单调递增;若x ∈(1,a ),f ′(x )<0,函数f (x )单调递减;若x ∈(a ,+∞),f ′(x )>0,函数f (x )单调递增,此时x =1是f (x )的极大值点,x =a 是f (x )的极小值点,函数f (x )的极大值是f (1)=-12,极小值是f (a )=-12a 2+a ln a ; 综上,当0<a <1时,f (x )的极大值是-12a 2+a ln a ,极小值是-12; 当a =1时,f (x )无极值;当a >1时,f (x )的极大值是-12,极小值是-12a 2+a ln a .分类讨论思想的本质是“化整为零,积零为整”.用分类讨论的思维策略解数学问题的操作过程:明确讨论的对象和动机→确定分类的标准→逐类进行讨论→归纳综合结论→检验分类是否完备(即分类对象彼此交集为空集,并集为全集).做到“确定对象的全体,明确分类的标准,分类不重复、不遗漏”的分析讨论.常见的分类讨论问题有:(1)集合:注意集合中空集的讨论.(2)函数:对数或指数函数中的底数a ,一般应分a >1和0<a <1的讨论;函数y =ax 2+bx +c 有时候分a =0和a ≠0的讨论;对称轴位置的讨论;判别式的讨论.(3)数列:由S n 求a n 分n =1和n >1的讨论;等比数列中分公比q =1和q ≠1的讨论.(4)三角函数:角的象限及函数值范围的讨论.(5)不等式:解不等式时含参数的讨论,基本不等式相等条件是否满足的讨论.(6)立体几何:点线面及图形位置关系的不确定性引起的讨论;平面解析几何:直线点斜式中k 分存在和不存在,直线截距式中分b =0和b ≠0的讨论;轨迹方程中含参数时曲线类型及形状的讨论.(7)(理排列、组合、)概率中的分类计数问题.(8)去绝对值时的讨论及分段函数的讨论等.1. 正三棱柱的侧面展开图是边长分别为6和4的矩形,则它的体积为____________.答案 43或833解析 分侧面矩形长、宽分别为6和4或4和6两种情况.2. 等比数列{a n }中,a 3=7,前3项之和S 3=21,则公比q 的值是________.答案 1或-12解析 当公比q =1时,a 1=a 2=a 3=7,S 3=3a 1=21,符合要求.当q ≠1时,a 1q 2=7,a 1(1-q 3)1-q =21,解之得,q =-12. 3. 若x >0且x ≠1,则函数y =lg x +log x 10的值域为________.答案 (-∞,-2]∪[2,+∞)解析 当x >1时,y =lg x +log x 10=lg x +1lg x ≥2lg x ·1lg x=2; 当0<x <1时,y =lg x +log x 10=-⎣⎡⎦⎤(-lg x )+⎝⎛⎭⎫-1lg x ≤-2(-lg x )⎝⎛⎭⎫-1lg x =-2. 所以函数的值域为(-∞,-2]∪[2,+∞).4. 过双曲线2x 2-y 2=2的右焦点作直线l 交双曲线于A 、B 两点,若AB =4,则这样的直线有________条.答案 3解析 由2x 2-y 2=2,得x 2-y 22=1. 当l 无斜率时,AB =2b 2a=4,符合要求. 当l 有斜率时,若A 、B 两点都在右支上,则AB >4不符合要求.A 、B 在左、右两支上,有两条.所以共3条.5.函数f (x )=mx 2+mx +1的定义域为一切实数,则实数m 的取值范围是________.答案 [0,4]解析 因为函数f (x )的定义域为一切实数,所以mx 2+mx +1≥0对一切实数恒成立,当m =0时,原不等式即1≥0对一切实数恒成立,当m ≠0时,则需⎩⎪⎨⎪⎧m >0Δ=m 2-4m ≤0,解得0<m ≤4. 综上,实数m 的取值范围是[0,4].6. 已知线段AB 和平面α,A 、B 两点到平面α的距离分别为1和3,则线段AB 的中点到平面α的距离为________.答案 1或2解析 此题分线段AB 两端点在平面同侧和异侧两种情况,答案为1或2.7. (2013·江苏)在平面直角坐标系xOy 中,设定点A (a ,a ),P 是函数y =1x(x >0)图象上一动点,若点P ,A之间的最短距离为22,则满足条件的实数a 的所有值为________. 答案 10,-1解析 P A 2=(x -a )2+⎝⎛⎭⎫1x -a 2=x 2+1x 2-2ax -2a 1x +2a 2=⎝⎛⎭⎫x +1x 2-⎝⎛⎭⎫x +1x 2a +2a 2-2=⎝⎛⎭⎫x +1x -a 2+a 2-2由x >0,得x +1x ≥2,由已知条件⎩⎪⎨⎪⎧ a ≥2a 2-2=8或⎩⎪⎨⎪⎧ a <2(2-a )2+a 2-2=8解得a =10,或a =-1.8. 已知等差数列{a n }的前3项和为6,前8项和为-4.(1)求数列{a n }的通项公式;(2)设b n =(4-a n )q n -1 (q ≠0,n ∈N *),求数列{b n }的前n 项和S n . 解 (1)设数列{a n }的公差为d ,由已知,得⎩⎪⎨⎪⎧ 3a 1+3d =6,8a 1+28d =-4,解得⎩⎪⎨⎪⎧ a 1=3,d =-1.故a n =3-(n -1)=4-n .(2)由(1)可得b n =n ·q n -1,于是S n =1·q 0+2·q 1+3·q 2+…+n ·q n -1.若q ≠1,将上式两边同乘q ,得qS n =1·q 1+2·q 2+…+(n -1)·q n -1+n ·q n .两式相减,得(q -1)S n =nq n -1-q 1-q 2-…-q n -1=nq n -q n -1q -1=nq n +1-(n +1)q n +1q -1.于是,S n =nq n +1-(n +1)q n +1(q -1)2.若q =1,则S n =1+2+3+…+n =n (n +1)2.综上,S n =⎩⎪⎨⎪⎧ n (n +1)2 (q =1),nq n +1-(n +1)q n+1(q -1)2 (q ≠1).若方程242||20x x x a a ---++=恰有两个不同的实数解,求a 的范围.。
高三数学所有知识点归纳总结在高三阶段,数学是学生们必修的科目之一,也是很多人认为最具挑战性的科目之一。
为了帮助学生们更好地理解和掌握数学知识,本文将对高三数学的所有知识点进行归纳总结。
一、函数与方程函数与方程是数学中的基本概念之一,几乎贯穿于整个高三数学学习过程。
1. 一元二次方程:一元二次方程的一般形式为ax^2 + bx + c = 0。
根据判别式Δ = b^2 - 4ac的值,可以得到方程的根的性质(有实根或无实根)。
2. 二次函数:二次函数的一般形式为y = ax^2 + bx + c。
其中,a、b、c分别表示二次项系数、一次项系数和常数项。
通过对抛物线的开口方向、顶点坐标等特征的分析,可以描绘二次函数的图像。
3. 指数与对数函数:指数函数的一般形式为y = a^x,对数函数的一般形式为y = loga(x)。
指数与对数函数是互为反函数的关系。
4. 三角函数:包括正弦函数、余弦函数和正切函数等。
通过函数值在不同象限内的变化规律、周期性、图像性质以及相关的基本恒等式,可以解决与三角函数相关的问题。
二、解析几何解析几何是数学中的一个重要分支,通过数学函数和坐标系分析空间中的几何问题。
1. 直线与曲线:通过直线的斜率和截距等特征,可以判断直线之间的关系,如是否平行、是否垂直等。
而曲线则需要通过函数表达式和图像进行分析,比如抛物线的开口方向、渐近线等特征。
2. 圆与椭圆:圆的一般方程为(x-a)^2 + (y-b)^2 = r^2,其中(a,b)为圆心坐标,r为半径。
椭圆则需要通过离心率、焦点等特征进行描述。
3. 向量与直线:向量可以用来表示有方向和大小的物理量。
通过向量的数量积、矢量积和向量的坐标表示,可以解决与直线之间位置关系、夹角等相关的问题。
三、三角函数与三角恒等式三角函数是一个基本且重要的概念,也是高三数学考试的重点。
1. 常见角的三角函数值:通过特殊角的三角函数值,例如30度、45度和60度,可以推导出其他角度的三角函数值。
高三数学专题有哪些知识点高三数学专题是指高中三年级学生在数学课程中学习的重点内容,它们是建立在前几年基础知识的基础上,为高考做准备的重要知识点。
下面将介绍高三数学专题中的几个重点知识点。
一、函数与导数1. 函数的性质与运算:函数的定义域、值域、图像、奇偶性、周期性等属性,以及函数的四则运算、复合运算等。
2. 导数与函数的增减性:导数的定义,导数的几何意义,导数的运算法则,函数的单调性和极值问题等。
3. 高阶导数与函数的凹凸性:高阶导数的定义与性质,函数的凹凸性与拐点问题。
二、数列与数列极限1. 数列与数列极限的概念:数列的定义与性质,数列极限的定义,数列极限存在准则。
2. 数列极限的计算:数列极限的四则运算,夹逼准则,单调有界数列的极限。
3. 等差数列与等比数列:等差数列与等比数列的概念、通项公式与求和公式。
三、三角函数与向量1. 三角函数与单位圆:三角函数的概念与性质,单位圆上的三角函数。
2. 三角函数的图像与性质:正弦函数、余弦函数、正切函数的图像与性质,周期与对称性。
3. 向量的概念与运算:向量的定义与性质,向量的加法、减法、数量积、向量积等运算。
四、解析几何1. 平面直角坐标系:平面直角坐标系的建立与性质,点、直线、圆的方程。
2. 二次曲线:抛物线、椭圆、双曲线的定义、性质与方程。
3. 空间几何:空间直角坐标系的建立与性质,点、直线、平面的方程与位置关系。
五、概率与统计1. 随机事件与概率:随机事件的概念与性质,概率的定义与计算,基本概率公式。
2. 随机变量与概率分布:离散型随机变量与连续型随机变量的概念、分布律与期望。
3. 统计与抽样:总体与样本的概念,统计量与抽样分布,参数估计与假设检验。
以上所列举的是高三数学专题中的一些重点知识点,每个知识点的掌握都对高考成绩起到非常重要的作用。
在学习过程中,同学们应该注重理论知识的学习,并通过大量的习题训练加深对知识点的理解和运用能力。
只有扎实的基础和全面的掌握,才能在高考中取得好成绩。
“分类讨论专题讲解——函数、方程与不等式的分类情形〞分类讨论是一种逻辑方法,是一种重要的数学思想,同时也是一种重要的的解题策略,它表达了化整为零、积零为整的思想与归类整理的方法.有关分类讨论思想的数学问题具有明显的逻辑性、探索性,能训练人的思维挑理性和概括性,所以在高考题中占有重要的位置.引起分类讨论的原因主要是以下几方面:〔1〕问题所涉及到的数学概念是分类进展定义的.如a 的定义为0a >、0a =、0a <三种情况.这种分类讨论题型可以称为概念型.〔2〕问题中涉及到的数学定理、公式和运算性质、法则有围或者条件限制,或者时分类给出的.如等比例的前n 项和的公式,分0q =和1q ≠两种情况.这种分类讨论题型可以称为性质型.〔3〕解含有参数的题目时,必须根据参数的不同取值围进展讨论.如解不等式2ax >时分0a >、0a =、和0a <三种情况讨论.这种称为含参型.〔4〕*些不确定的数量、不确定的图形的形状和位置、不确定的结论等,都主要通过分类讨论,保证其完整性,使之具有确定性.〔5〕较复杂的或非常规的数学问题,需采用分类讨论的策略解决.分类讨论的标准:①涉及的数学概念是分类定义的;②涉及运算的数学定义、公式或运算性质、法则是分类给出的; ③涉及题中所给出的限制条件或研究对象的性质而引起的; ④涉及数学问题中参变量的不同取值导致不同结果二引起的; ⑤涉及几何图形的形状、位置的变化而引起的;⑥一些较复杂或非常规的数学问题,需要采用分类讨论的解题策略解决的.分类讨论的步骤一般可分为以下几步:①确定讨论的对象及其围;②确定分类讨论的标准,正确进展分类; ③逐步讨论,分级进展; ④归纳整合,作出结论.【试题来源】 【题目】函数()()0,1xf x aa a =>≠在[]1,2中的最大值比最小值大2a,则a 的值为____. 【答案】:当1a >是,原函数在[]1,2上单调递增,()()()()2max min 2,1f x f a f x f a ====22a a a ∴-=,解得0a =〔舍去〕,32a = 当01a <<时,原函数在[]1,2上单调递减,()()()()2max min 1,2f x f a f x f a ====22a a a ∴-=,解得0a =〔舍去〕,12a = 【解析】此处注意指数函数底的讨论,要求熟悉掌握指数对数函数的分类情形【知识点】【适用场合】当堂例题 【难度系数】2 【试题来源】【题目】设01x <<,0a >且1a ≠,比拟()log 1a x -与()log 1a x +的大小. 【答案】:01011,11x x x <<∴<-<+>〔1〕当()()01log 10log 10a a a x x <<->+<时,,,所以 〔2〕当1a >时,()()log 10log 10a a x x -<+>,,所以由〔1〕、〔2〕可知,()()log 1log 1a a x x ->+【解析】比拟对数大小,运用对数函数的单调性,而单调性与底数有关,所以对底数分两类情况进展讨论.此题要求对对数函数的单调性的两种情况十分熟悉,即当时其是增函数,当时其是减函数.去绝对值时要判别符号,用到了函数的单调性;最后差值的符号判断,也用到函数的单调性. 【知识点】【适用场合】当堂练习题 【难度系数】2【备注】对于根底不好的学生,解析时可引导学生回忆复习指数和对数的一些运算公式,指数对数函数的急图像和性质,注重根底知识的梳理和总结。
专题1集合
考点1: 集合的含义与表示、集合间的基本关系
考点2:集合的基本运算
考点3:与集合相关的新概念问题
专题2 命题及其关系、充分条件和必要条件
考点4、命题及其关系
考点5、充分条件和必要条件
考点6、利用关系或条件求解参数范围问题
?
专题3、简单的逻辑联结词、全称量词和存在量词
考点7、逻辑连接词
考点8、全称量词和存在量词
考点9、利用逻辑连接词探求参数问题
专题4:函数概念与基本初等函数
考点10、函数的表示与函数的定义域
考点11、分段函数及其应用
¥
专题5、函数的基本性质
考点12、函数的单调性
考点13、函数的奇偶性
考点14、函数性质的综合性质应用问题
二次函数与幂函数
考点15、二次函数及其应用
考点16、幂函数
主题7、指数与指数函数
?
考点17、幂的运算
考点18、指数函数的图像与性质
考点19、与指数函数相关的综合问题
专题8、对数与对数函数
考点20、对数的运算
考点21、对数函数的图像与性质
考点22、函数图像的应用问题
专题9、函数的图像
@
考点23、函数图像的辨识
考点24、函数图像的变换
考点25、函数图像的应用问题
专题10、函数与方程
考点26、函数零点所在区间的判断
考点27、函数零点、方程根的个数
考点28、函数零点的应用问题
函数的模型与应用
"
考点29、函数常见的模型与应用
考点30、函数与其他知识相联系问题
导数
专题12 导数及其运算
考点31、导数的概念与几何意义
考点32、导数的运算
专题13、导数的应用
考点33、导数与函数的单调性
》
考点34、函数与函数的极值、最值
考点35、利用导数求参数的范围问题
考点36、利用导数求参数的范围问题
考点37、利用导数解决综合问题
专题14、定积分与微积分基本定理
考点38、利用微积分基本定理求解定积分
考点39、利用定积分求分平面图形的面积
第四部分、三角函数
]
专题15、三角函数的概念、同角三角函数的的基本关系考点40、三角函数的概念
考点41、同角三角函数的基本关系、诱导公式
专题16、三角函数的图像与应用
考点42、三角函数的的图形与变换
考点43、求三角函数的解析式
专题17、三角函数的性质与应用
考点44、三角函数的定义域、值域、最值
&
考点45、三角函数的单调性、奇偶性、对称性和周期性
考点46、与三角函数相关的综合问题
专题18三角恒等变换
考点47、三角函数式的化简与求值
考点48、与三角化简求值相关的综合问题
专题19、解三角函数
?
考点49、正选定理与余弦定理
考点50、解三角形及其应用
考点51、与平面向量、不等式综合等综合的三角形问题
第五部分平面向量
专题20平面向量的概念与及线性运算、平面向量基本定理
考点52、平面向量的线性运算和几何意义
考点53、平面向量基本定理和坐标运算
考点54、平面向量的数量积
?
考点55、平面向量的长度与角度问题
考点56、平面向量的综合应用题
第六部分数列
专题22、数列的概念与数列的通项公式
考点57、数列的概念
考点58、数列的通项公式
专题23、等差数列
考点59、等差数列的概念与运算
[
考点60、等差数列的性质
考点61、等差数列相关的综合问题
专题24、等比数列
考点62、等比数列的概念与运算
考点63、等比数列的性质
考点64、等比数列相关的综合问题
专题25、数列的综合问日
考点65、数列求和
&
考点66、数列与不等式相结合问题
考点67、数列与函数相结合问题
考点68、数列中的探索问题
专题26、不等关系与不等式的解法
考点69、不懂关系
考点70、不等式的解法
专题27、二元一次不等式组与简单的线性规划
*
考点71、用二元一次不等式组表示区域问题
考点72、利用线性规划求目标函数
考点73、以可行域为载体与其他知识的教会问题
专题28、基本不等式及其应用
考点74、基本不等式
考点75、基本不等式的实际应用问题
第八部分立体几何
专题29、空间几何体结构及三视图和直观图
`
考点76、空间几何体的的结构
考点77、三视图与直观图
专题30、空间几何体的表面积和体积
考点78、几何体的表面积
考点79、几何体的体积
考点80、组合体的“接”“切”的综合问题
专题31、空间点、线、面的位置关系
/
考点81、空间点、线、面的位置关系
考点82、异面直线所成的角
专题32、直线、平面平行与垂直的判定与性质
考点83、直线、平面平行的判定与性质
考点84、直线、平面垂直的判定与性质
专题33、空间角与综合问题
考点85、直线与平面所成的角
考点86、二面角
考点87、立体几何中的折叠问题、最值问题和探索性问题
专题34、空间向量与立体几何
考点88、空间向量运算与利用平面向量证明平行、垂直的位置关系考点89、利用空间向量求空间角
考点90、利用空间向量解决开放性、探索性等问题
专题35、。