2018年高考数学分类汇编:专题十一复数
- 格式:docx
- 大小:40.86 KB
- 文档页数:2
2018届高考数学热点难点突破—熟记概念巧解复数问题考纲要求:1.理解复数的基本概念.理解复数相等的充要条件.2.了解复数的代数表示形式及其几何意义.会进行复数代数形式的四则运算.3.了解复数的代数形式的加、减运算的几何意义.基础知识回顾:一、复数的有关概念 1.复数的概念形如a +bi (a ,b ∈R )的数叫复数,其中a ,b 分别是它的实部和虚部.若b =0,则a +bi 为实数;若b ≠0,则a +bi 为虚数;若a =0且b ≠0,则a +bi 为纯虚数. 2.复数相等a +bi =c +di ⇔a =c 且b =d (a ,b ,c ,d ∈R ). 3共轭复数a +bi 与c +di 共轭⇔a =c ,b =-d (a ,b ,c ,d ∈R ). 4.复数的模向量OZ的模r 叫做复数z =a +bi (a ,b ∈R )的模,记作|z |或|a +bi |,即|z |=|a +bi |=a 2+b 2.二、复数的几何表示及意义(1)复数z =a +bi ←−−−→一一对应复平面内的点Z (a ,b )(a ,b ∈R ).(2)复数z =a +bi (a ,b ∈R ) ←−−−→一一对应平面向量 OZ .三、复数的运算1.复数的乘、除运算法则设z 1=a +bi ,z 2=c +di (a ,b ,c ,d ∈R ),则(1)乘法:z 1·z 2=(a +bi )·(c +di )=(ac -bd )+(ad +bc )i ;(2)除法:z 1z 2=a +b i c +d i = a +b i c -d i c +d i c -d i =ac +bd c 2+d 2+bc -ad c 2+d 2i (c +di ≠0).2.复数加法的运算定律复数的加法满足交换律、结合律,即对任何z 1,z 2,z 3∈C ,有z 1+z 2=z 2+z 1,(z 1+z 2)+z 3=z 1+(z 2+z 3).应用举例:类型一复数的概念例1.【2017-2018学年辽宁省沈阳市四校协作体高三年级联合考试】若复数z 满足()()325z i --=(i 为虚数单位),则z 的共轭复数z 为() A . 2i +B . 2i -C . 5i +D . 5i - 【答案】D点睛:复数的除法.除法的关键是分子分母同乘以分母的共轭复数,解题中要注意把i 的幂写成最简形式,复数z a b i =+实部为a ,虚部为b ,共轭复数OP 实部为()1O P t O A t O B =-+,虚部为()1O P t O A t O B=-+,在复平面内对应的点关于是轴对称。
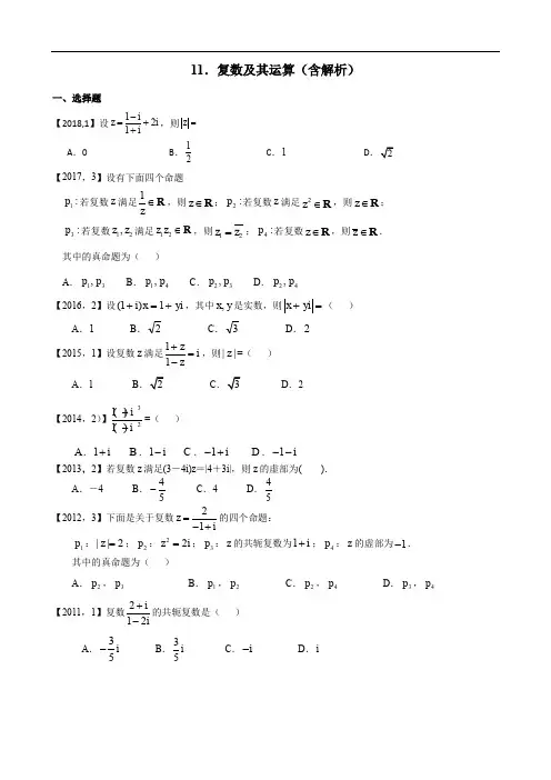
一、选择题【2018,1】设1i 2i 1i z -=++,则z =A .0B .12C .1 D【2017,3】设有下面四个命题1:p 若复数z 满足1z∈R ,则z ∈R ;2:p 若复数z 满足2z ∈R ,则z ∈R ; 3:p 若复数12,z z 满足12z z ∈R ,则12z z =;4:p 若复数z ∈R ,则z ∈R .其中的真命题为( )A .13,p pB .14,p pC .23,p pD .24,p p【2016,2】设yi x i +=+1)1(,其中y x ,是实数,则=+yi x ( )A .1B .2C .3D .2【2015,1】设复数z 满足1i 1z z+=-,则||z =( )A .1BCD .2【2014,2)】32(1)(1)i i +-=( )A .1i +B .1i -C .1i -+D .1i --【2013,2】若复数z 满足(3-4i)z =|4+3i|,则z 的虚部为( ).A .-4B .45-C .4D .45 【2012,3】下面是关于复数21z i =-+的四个命题: 1p :||2z =;2p :22z i =;3p :z 的共轭复数为1i +;4p :z 的虚部为1-.其中的真命题为( )A .2p ,3pB .1p ,2pC .2p ,4pD .3p ,4p 【2011,1】复数212i i+-的共轭复数是( ) A .35i - B .35i C .i - D .i一、选择题【2018,1】设1i 2i 1i z -=++,则z =A .0B .12C .1 D解:选C 。
i i i i i i i z 2)1)(1()1(2112+-+-=++-= i i i =+-=2221=∴z 【2017,3】设有下面四个命题1:p 若复数z 满足1z∈R ,则z ∈R ;2:p 若复数z 满足2z ∈R ,则z ∈R ; 3:p 若复数12,z z 满足12z z ∈R ,则12z z =;4:p 若复数z ∈R ,则z ∈R .其中的真命题为( )A .13,p pB .14,p pC .23,p pD .24,p p【解析】1:p 设z a bi =+,则2211a bi z a bi a b -==∈++R ,得到0b =,所以z ∈R .故1P 正确; 2:p 若z =-21,满足2z ∈R ,而z i =,不满足2z ∈R ,故2p 不正确;3:p 若1z 1=,2z 2=,则12z z 2=,满足12z z ∈R ,而它们实部不相等,不是共轭复数,故3p 不正确; 4:p 实数没有虚部,所以它的共轭复数是它本身,也属于实数,故4p 正确;【2016,2】设yi x i +=+1)1(,其中y x ,是实数,则=+yi x ( )A .1B .2C .3D .2【解析】由()11i x yi +=+可知:1x xi yi +=+,故1x x y =⎧⎨=⎩,解得:11x y =⎧⎨=⎩.所以,x yi + 故选B .【2015,1】设复数z 满足1i 1z z+=-,则||z =( )A .1BCD .2 解析:由1i 1z z +=-得1i(1)z z +=-,即1i 1iz -+=+,2(1i)(1i)(1i)i (1i)(1i)2z -+---===+-,||z =1,选A . 【2014,2)】32(1)(1)i i +-=( )A .1i +B .1i -C .1i -+D .1i --【解析】∵32(1)(1)i i +-=2(1)12i i i i +=---,选D. 【2013,2】若复数z 满足(3-4i)z =|4+3i|,则z 的虚部为( ).A .-4B .45-C .4D .45 解析:∵(3-4i)z =|4+3i|,∴55(34i)34i 34i (34i)(34i)55z +===+--+. 故z 的虚部为45,选D. 【2012,3】下面是关于复数21z i =-+的四个命题: 1p :||2z =;2p :22z i =;3p :z 的共轭复数为1i +;4p :z 的虚部为1-.其中的真命题为( )A .2p ,3pB .1p ,2pC .2p ,4pD .3p ,4p【解析】因为22(1)11(1)(1)i z i i i i --===---+-+--,所以||z =22(1)2z i i =--=, z 的共轭复数为1i -+,z 的虚部为1-,所以2p ,4p 为真命题,故选择C .【2011,1】复数212i i+-的共轭复数是( ) A .35i - B .35i C .i - D .i 解析:212i i+-=(2)(12),5i i i ++=共轭复数为C 古今中外有学问的人,有成就的人,总是十分注意积累的。
复数一.基础题组1. 【2014课标Ⅰ,理2】( )A. B. C. D.【答案】D【解析】由已知得.2. 【2011全国新课标,理1】复数的共轭复数是( )A .-B .C .-iD .i【答案】C【解析】3. 【2009全国卷Ⅰ,理】已知,则复数z=( )A.-1+3iB.1-3iC.3+iD.3-i【答案】B【解析】∵,∴=(2+i)(1+i)=2+3i+i 2=1+3i. ∴ z=1-3i.4. 【2008全国1,理4】设,且为正实数,则( )A .2B .1C .0D .【答案】D.【解析】.5. 【2006全国,理4】如果复数(m 2+i)(1+mi)是实数,则实数( )(A )1 (B )-1 (C) (D )- =-+23)1()1(i i i +1i -1i +-1i --1=-+23)1()1(i i 22(1)(1)2(1)1(1)2i i i i i i i +++==----2+i12i -3i 53i 5i i z+=+21i i z+=+21a ∈R 2()a i i +a =1-()()()22221210,1a i i a ai i a a i a +=+-=-+->=-=m 22【答案】B【解析】6. 【2005全国1,理12】复数 ( )A .B .C .D .【答案】A7. 【2015高考新课标1,理1】设复数z 满足=,则|z|=( )(A )1 (B(C(D )2【答案】A【考点定位】本题主要考查复数的运算和复数的模等. 二.能力题组 1. 【2013课标全国Ⅰ,理2】若复数z 满足(3-4i)z =|4+3i|,则z 的虚部为( ).A .-4B .C .4D . 【答案】D【解析】∵(3-4i)z =|4+3i|,∴.故z 的虚部为,选D.2. 【2011全国,理1】复数z =1+i ,为z 的共轭复数,则 ( )A .-2iB .-iC .iD .2i【答案】B【解析】,则 =--i i 2123i -i -22i +-22333i i ====11z z+-45-4555(34i)34i 34i (34i)(34i)55z +===+--+451zz z --=1z i =+12(1)1zz z i i --=-+-=-3. 【2010新课标,理2】已知复数z, 是z 的共轭复数,则z ·=( ) A. B. C .1 D.2 【答案】A三.拔高题组 1. 【2012全国,理3】下面是关于复数的四个命题:p 1:|z |=2,p 2:z 2=2i ,p 3:z 的共轭复数为1+i ,p 4:z 的虚部为-1,其中的真命题为( )A .p 2,p 3 B.p 1,p 2C .p 2,p 4D .p 3,p4 【答案】C【解析】,故p 1错误;z 2=(-1-i)2=(1+i)2=2i ,p 2正确;z 的共轭复数为-1+i ,p 3错误;p 4正确.2.【2016高考新课标理数1】设,其中x ,y 是实数,则( )(A )1 (B (C (D )2【答案】B【解析】试题分析:因为所以故选B.【考点】复数运算【名师点睛】复数题也是每年高考的必考内容,一般以客观题的形式出现,属得分题.高考中考查频率较高的内容有:复数相等、复数的几何意义、共轭复数、复数的模及复数的乘除运141221iz =-+2(1i)1i (1i)(1i)z --==---+--||z (1i)1i x y +=+i =x y +(1i)=1+i,x y +i=1+i,=1,1,|i |=|1+i |x x y x y x x y +==+所以故算.这类问题一般难度不大,但容易出现运算错误,特别是中的负号易忽略,所以做复数题时要注意运算的准确性.3.【2017新课标1,理3】设有下面四个命题 :若复数满足,则; :若复数满足,则;:若复数满足,则;:若复数,则.其中的真命题为A .B .C .D .【答案】B【考点】复数的运算与性质【名师点睛】分式形式的复数,分子、分母同乘以分母的共轭复数,化简成的形式进行判断,共轭复数只需实部不变,虚部变为原来的相反数即可. 2i 1=-1p 1z∈R z ∈R 2p 2z ∈R z ∈R 3p 12,z z 12z z ∈R 12z z =4p z ∈R z ∈R 13,p p 14,p p 23,p p 24,pp i(,)z a b a b =+∈R。
专题11 复 数一、选择题1.(2018北京)在复平面内,复数11i-的共轭复数对应的点位于 A .第一象限 B .第二象限 C .第三象限D .第四象限D 【解析】11i 1i 11i1i (1i)(1i)222++===+--+,其共轭复数为11i 22-,对应的点为11(,)22-,故选D .2.(2018全国卷Ⅰ)设1i2i 1iz -=++,则||z = A .0B .12C .1D 2C 【解析】因为21i (1i)2i=2i i 2i i 1i (1i)(1i)--=++=-+=++-z ,所以|z |1=,故选C . 3.(2018全国卷Ⅱ)()i 23i += A .32i -B .32i +C .32i --D .32i -+D 【解析】()i 23i 32i +=-+,故选D . 4.(2018全国卷Ⅲ)(1i)(2i)+-= A .3i --B .3i -+C .3i -D .3i +D 【解析】2(1i)(2i)2i 2i i 3i +-=-+-=+.故选D 5.(2018浙江)复数21i- (i 为虚数单位)的共轭复数是 A .1i + B .1i -C .1i -+D .1i --B 【解析】因为22(1i)1i 1i (1i)(1i)+==+--+,所以复数21i-的共轭复数为1i -.故选B . 6.下列各式的运算结果为纯虚数的是A .2i(1i)+ B .2i (1i)- C .2(1i)+ D .i(1i)+ C 【解析】由2(1)2i i +=为纯虚数知选C . 7.(1)(2)i i ++=A .1i -B .13i +C .3i +D .33i +B 【解析】由复数的运算法则,2(1i)(2i)123i i 13i ++=⨯++=+,选B . 8.复平面内表示复数i(2i)z =-+的点位于A .第一象限B .第二象限C .第三象限D .第四象限C 【解析】∵i(2i)12i z =-+=--,∴复数z 在复平面内对应的点(1,2)Z --,位于第三象限,选C . 9.已知i 是虚数单位,若复数z 满足i 1i z =+,则2z =A .-2iB .2iC .-2D .2 A 【解析】由i 1i z =+,得1i1i iz +==-,22(1i)2i z =-=-,选A . 10.若复数(1i)(i)a -+在复平面内对应的点在第二象限,则实数a 的取值范围是A .(,1)-∞B .(,1)-∞-C .(1,)+∞D .(1,)-+∞B 【解析】(1i)(i)(1)(1)i z a a a =-+=++-,因为对应的点在第二象限,∴1010a a +<⎧⎨->⎩,解得1a <-,故选B.11.设(12i)(i)a ++的实部与虚部相等,其中a 为实数,则a=A .−3B .−2C .2D .3A 【解析】因为(12i)(i)a ++=(2)(21)i a a -++,由已知的221a a -=+,得3a =-.故选A . 12.设复数z 满足i 3i z +=-,则z =A .12i -+B .12i -C .32i +D .32i - .C 【解析】由i 3i z +=-得,32z i =-,所以32z i =+,故选C . 13.若43i z =+,则||zz = A .1B .1-C .43i 55+ D .43i 55-D 【解析】2243||5543z i z ==-+,故选D . 14.设复数z 满足11zi z+=-,则||z = A .1 B 2 C 3 D .2A 【解析】由题意知1z i zi +=-,21(1)1(1)(1)i i z i i i i --===++-,所以|z |1=. 15.若复数()32z i i =-(i 是虚数单位),则z =A .23i -B .23i +C .32i +D .32i - A 【解析】∵23z i =+,所以23z i =-. 16.设i 是虚数单位,则复数21ii-在复平面内所对应的点位于 A .第一象限 B .第二象限 C .第三象限 D .第四象限 B 【解析】由题意22(1)2211(1)(1)2i i i i i i i i +-+===-+--+,其对应的点坐标为(1,1)-,位于第二象限,故选B .17.若复数z 满足1zi i=-,其中i 为虚数单位,则z = A .1i - B .1i + C .1i -- D .1i -+A 【解析】2(1)1,1z i i i i i z i =-=-+=+=-.18.设i 是虚数单位,则复数32i i-= A .i - B .3i - C .i D .3iC 【解析】32222ii i i i i i i -=--=-+= 19.i 为虚数单位,607i 的共轭复数为A .iB .i -C .1D .1-20.A 【解析】i i i i -=⋅=⨯31514607,选 B.20.已知()211i i z-=+(i 为虚数单位),则复数z = A .1i + B .1i - C .1i -+ D .1i --D 【解析】由题意得,i iii i z --=+-=+-=1121)1(2,故选D . 二、填空题21.(2018天津)i 是虚数单位,复数67i12i+=+ .4i -【解析】67i (67i)(12i)205i4i 12i (12i)(12i)5++--===-++-. 22.(2018上海)已知复数z 满足(1i)17i z +=-(i 是虚数单位),则||z = .5【解析】由题意17i (17i)(1i)68i34i 1i (1i)(1i)2z -----====--++-所以22|||34i |345z =--=+=. 23.(2018江苏)若复数z 满足i 12i z ⋅=+,其中i 是虚数单位,则z 的实部为 . 2【解析】复数12i(12i)(i)2i iz +==+-=-的实部是2. 24.已知a ∈R ,i 为虚数单位,若i2ia -+为实数,则a 的值为 . 2-【解析】()(2)(21)(2)2122(2)(2)555a i a i i a a i a a i i i i -----+-+===-++-为实数,则20,25a a +==-. 25.已知a ,b ∈R ,2i 34i a b +=+()(i 是虚数单位)则22a b += ,ab = .5,2【解析】∵222(i)2i 34i a b a b ab +=-+=+,∴223a b -=,2ab =,又22222222()()491625a b a b a b +=-+=+=,∴225a b +=,2ab =.26.已知复数(1i)(12i)z =++,其中i 是虚数单位,则z 的模是______.10|||1i ||12i |2510z =++==27.i 是虚数单位,若复数(12)()i a i -+是纯虚数,则实数a 的值为 .2-【解析】()()()12212i a i a a i -+=++-是纯度数,所以20a +=,即2a =-.28.设复数(,R)a bi a b +∈3,则()()a bi a bi +-= .3【解析】由3a bi +=223a b +223a b +=,所以22()()3a bi a bi a b +-=+=29.已知复数2(52)z i =+ (i 为虚数单位),则z 的实部为 . 21【解析】2(52)z i =+=2120i +,z 的实部为21. 30.已知i 是虚数单位,计算21(1)ii -+=________.12i --【解析】211(1)1(1)222i i i i ii i -----===+-.。
专题10.2 复数1.(2020·全国高考真题(理))复数113i-的虚部是( )A .310-B .110-C .110D .310【答案】D 【解析】因为1131313(13)(13)1010i z i i i i +===+--+,所以复数113z i =-的虚部为310.故选:D.2.(2020·全国高考真题(文))(1–i )4=( )A .–4B .4C .–4i D .4i【答案】A 【解析】422222(1)[(1)](12)(2)4i i i i i -=-=-+=-=-.故选:A.3.(2021·北京·高考真题)在复平面内,复数z 满足(1)2i z -=,则z =( )A .1i --B .1i-+C .1i-D .1i+【答案】D 【分析】由题意利用复数的运算法则整理计算即可求得最终结果.【详解】由题意可得:()()()()2121211112i i z i i i i ++====+--+.故选:D.4.(2021·全国·高考真题)已知2i z =-,则()i z z +=( )A .62i -B .42i-C .62i+D .42i+【答案】C 【分析】练基础利用复数的乘法和共轭复数的定义可求得结果.【详解】因为2z i =-,故2z i =+,故()()()2222=4+42262z z i i i i i i i+=-+--=+故选:C.5.(2021·全国·高考真题(文))已知2(1)32i z i -=+,则z =( )A .312i--B .312i-+C .32i-+D .32i--【答案】B 【分析】由已知得322iz i+=-,根据复数除法运算法则,即可求解.【详解】2(1)232i z iz i -=-=+,32(32)23312222i i i i z i i i i ++⋅-+====-+--⋅.故选:B.6.(2021·全国·高考真题(理))设()()2346z z z z i ++-=+,则z =( )A .12i -B .12i+C .1i+D .1i-【答案】C 【分析】设z a bi =+,利用共轭复数的定义以及复数的加减法可得出关于a 、b 的等式,解出这两个未知数的值,即可得出复数z .【详解】设z a bi =+,则z a bi =-,则()()234646z z z z a bi i ++-=+=+,所以,4466a b =⎧⎨=⎩,解得1a b ==,因此,1z i =+.故选:C.7.(2021·全国·高考真题(文))设i 43i z =+,则z =( )A .–34i -B .34i-+C .34i-D .34i+【答案】C 【分析】由题意结合复数的运算法则即可求得z 的值.【详解】由题意可得:()2434343341i i i i z i i i ++-====--.故选:C.8.(2021·浙江·高考真题)已知a R ∈,()13ai i i +=+,(i 为虚数单位),则a =( )A .1-B .1C .3-D .3【答案】C 【分析】首先计算左侧的结果,然后结合复数相等的充分必要条件即可求得实数a 的值.【详解】()213ai i i ai i a a i i +=-=-+=++=,利用复数相等的充分必要条件可得:3,3a a -=∴=-.故选:C.9.(2019·北京高考真题(文))已知复数z =2+i ,则( )ABC .3D .5【答案】D 【解析】∵ 故选D.10.(2019·全国高考真题(文))设,则=( )A.2B CD .1【答案】C 【解析】因为,所以,所以,故选C .1.(2010·山东高考真题(文))已知 ,,其中 为虚数单位,则=( )A .-1B .1C .2D .3【答案】B 【解析】z z ⋅=z 2i,z z (2i)(2i)5=+⋅=+-=3i12iz -=+z 312iz i -=+(3)(12)17(12)(12)55i i z i i i --==-+-z ==2a ib i i+=+,a b ∈R i +a b 练提升因为 ,,所以,则,故选B.2.(全国高考真题(理))复数的共轭复数是( )A .B .iC .D .【答案】A 【解析】,故其共轭复数为.所以选A.3.(2018·全国高考真题(理))设,则( )A .B .C .D【答案】C 【解析】,则,故选c.4.(2009·重庆高考真题(理))已知复数的实部为,虚部为2,则的共轭复数是( )A .B .C .D .【答案】B 【解析】由题意得:所以,共轭负数为2+i 故选B5.(2017·山东高考真题(理))已知,是虚数单位,若,,22222a i ai i ai b i i i+--==-=+-,a b ∈R 2211b b a a ==⎧⎧⇒⎨⎨-==-⎩⎩+1a b =212ii+-i -35i-35i()()()()2i 12i 5i i12i 12i 5++==-+i -1i2i 1iz -=++||z =0121()()()()1i 1i 1i2i 2i 1i 1i 1i z ---=+=++-+i 2i i =-+=1z =z 1-5iz2i -2i+2i--2i-+R a ∈i z a =4z z ⋅=则( )A .1或B或C .D【答案】A 【解析】由得,所以,故选A.6.(2021·广东龙岗·高三期中)已知复数z 满足()2i 34i z +=+(其中i 为虚数单位),则复数z =( )A .2i -B .2i-+C .2i+D .2i--【答案】C 【分析】根据复数除法运算求出z ,即可得出答案.【详解】()2i 35z +=+= ,()()()52i 52i 2i 2i 2i z -∴===-++-,则2i z =+.故选:C.7.(2021·安徽·合肥一六八中学高一期中)欧拉公式i s co in s i x e x x +=(i 是虚数单位)是由瑞士著名数学家欧拉发现的,它将指数函数的定义域扩大到复数,建立了三角函数和指数函数的关系,它在复变函数论里非常重要,被誉为“数学中的天桥”.根据欧拉公式可知,i 3e π表示的复数位于复平面中的( )A .第一象限B .第二象限C .第三象限D .第四象限【答案】A 【分析】先由欧拉公式计算可得312e π=,然后根据复数的几何意义作出判断即可.【详解】根据题意i s co in s i xe x x +=,故i3is n 1cos 33i 2e πππ=+=,对应点12⎛ ⎝,在第一象限.故选:A .8.【多选题】(2021·全国·模拟预测)已知复数z =(i 为虚数单位),则下列说法正确的是()A .复数z 在复平面内对应的点坐标为()sin 3cos3,sin 3cos3+-a =1-,4z a z z =+⋅=234a +=1a =±B .z 的虚部为C .2z z ⋅=D .z ⋅为纯虚数【答案】CD 【分析】根据复数的概念、共轭复数的概念、复数的几何意义以及四则运算法则即可求解.【详解】复数3cos3i sin 3cos3z =++-.因为334ππ<<,所以sin 3cos3304π⎛⎫+=+< ⎪⎝⎭,sin 3cos30->,所以原式()()sin 3cos3i sin 3cos3=-++-,所以选项A 错误;复数z B错误;222z z ⋅=+=,所以选项C 正确;z ⋅=()i 1sin 61sin 62i⋅=++-=,所以选项D 正确.故选:CD.9.【多选题】(2021·河北武强中学高三月考)已知复数cos isin z θθ=+(其中i 为虚数单位),下列说法正确的是( )A .1z z ⋅=B .1z z+为实数C .若83πθ=,则复数z 在复平面上对应的点落在第一象限D .若(0,)θπ∈,复数z 是纯虚数,则2πθ=【答案】ABD 【分析】对选项A ,根据计算1z z ⋅=即可判断A 正确,对选项B ,根据12cos z zθ+=即可判断B 正确,对选项C ,根据88cosisin 33z ππ=+在复平面对应的点落在第二象限,即可判断C 错误,对选项D ,根据z 是纯虚数得到2πθ=即可判断D 正确.【详解】对选项A ,()()()2222cos isin cos isin cos isin cos sin 1z z θθθθθθθθ⋅=+-=-=+=,故A 正确.对选项B ,因为11cos isin cos isin z z θθθθ+=+++()()cos isin cos isin cos isin cos isin θθθθθθθθ-=+++-cos isin cos isin 2cos θθθθθ=++-=,所以1z z+为实数.故B 正确.对选项C ,因为83πθ=为第二象限角,所以8cos03π<,8sin 03π>,所以88cos isin 33z ππ=+在复平面对应的点落在第二象限.故C 错误.对选项D ,复数z 是纯虚数,则cos 0sin 0θθ=⎧⎨≠⎩,又因为(0,)θπ∈,所以2πθ=,故D 正确.故选:ABD10.(2021·福建·厦门一中模拟预测)在复平面内,复数(,)z a bi a b R =+∈对应向量OZ(O为坐标原点),设||OZ r =,以射线Ox 为始边,OZ 为终边旋转的角为θ,则(cos sin )z r i θθ=+,法国数学家棣莫弗发现了棣莫弗定理:1111(cos sin )z r i θθ=+,2222(cos sin )z r i θθ=+,则12121212[cos()sin()]z z rr i θθθθ=+++,由棣莫弗定理可以推导出复数乘方公式:[(cos sin )](cos sin )n n r i r n i n θθθθ+=+,已知4)z i =,则||z =______;若复数ω满足()*10n n ω-=∈N ,则称复数ω为n 次单位根,若复数ω是6次单位根,且ω∉R ,请写出一个满足条件的ω=______.【答案】16 ()22cossin 1,2,4,566k k i k ππ+= 【分析】2(cos sin )66i i ππ+=+,则4222(cos sin )33z i ππ=+,再由||||z z =求解,由题意知61ω=,设cos sin i ωθθ=+,即可取一个符合题意的θ,即可得解.【详解】解: 2(cos sin )66i i ππ=+,∴4422)2(cos sin )33z i i ππ==+,则4||||216z z ===.由题意知61ω=,设cos sin i ωθθ=+,则6cos 6sin 61i ωθθ=+=,所以sin 60cos 61θθ=⎧⎨=⎩,又ω∉R ,所以sin 0θ≠,故可取3πθ=,则cossin33i ππω=+故答案为:16,cossin33i ππω=+(答案不唯一).1.(2021·江苏·高考真题)若复数z 满足()1i 3i z +=-,则z 的虚部等于( )A .4B .2C .-2D .-4【答案】C 【分析】利用复数的运算性质,化简得出12z i =-.【详解】若复数z 满足()1i 3i z +=-,则()()()()3i 1i 3i 12i 1i 1i 1i z ---===-++-,所以z 的虚部等于2-.故选:C.2.(2021·全国·高考真题)复数2i13i--在复平面内对应的点所在的象限为( )A .第一象限B .第二象限C .第三象限D .第四象限【答案】A 【分析】利用复数的除法可化简2i13i--,从而可求对应的点的位置.【详解】()()2i 13i 2i 55i 1i13i 10102-+-++===-,所以该复数对应的点为11,22⎛⎫ ⎪⎝⎭,该点在第一象限,故选:A.3.(2020·全国高考真题(理))若z=1+i ,则|z 2–2z |=( )A .0B .1C D .2练真题【答案】D 【解析】由题意可得:()2212z i i =+=,则()222212z z i i -=-+=-.故2222z z -=-=.故选:D.4.(2020·全国高考真题(文))若312i i z =++,则||=z ( )A .0B .1CD .2【答案】C 【解析】因为31+21+21z i i i i i =+=-=+,所以z ==故选:C .5.(2019·全国高考真题(理))设z =-3+2i ,则在复平面内对应的点位于( )A .第一象限B .第二象限C .第三象限D .第四象限【答案】C 【解析】由得则对应点(-3,-2)位于第三象限.故选C .6.(2018·江苏高考真题)若复数满足,其中i 是虚数单位,则的实部为________.【答案】2【解析】因为,则,则的实部为.z 32,z i =-+32,z i =--32,z i =--z i 12i z ⋅=+z i 12i z ⋅=+12i2i iz +==-z 2。
复数—(2018-2022)高考真题汇编一、单选题(共35题;共70分)1.(2分)(2022·浙江)已知a,b∈R,a+3i=(b+i)i(i为虚数单位),则()A.a=1,b=−3B.a=−1,b=3C.a=−1,b=−3D.a=1,b=3【答案】B【解析】【解答】由题意得a+3i=bi−1,由复数相等定义,知a=−1,b=3.故答案为:B【分析】利用复数的乘法运算化简,再利用复数的相等求解.2.(2分)(2022·新高考Ⅱ卷)(2+2i)(1−2i)=()A.−2+4i B.−2−4i C.6+2i D.6−2i【答案】D【解析】【解答】(2+2i)(1−2i)=2+4−4i+2i=6−2i,故答案为:D【分析】根据复数代数形式的乘法法则即可求解.3.(2分)(2022·全国乙卷)设(1+2i)a+b=2i,其中a,b为实数,则()A.a=1,b=−1B.a=1,b=1C.a=−1,b=1D.a=−1,b=−1【答案】A【解析】【解答】易得(a+b)+2ai=2i,根据复数相等的充要条件可得a+b=0,2a=2,解得:a=1,b=−1.故选:A【分析】根据复数代数形式的乘法运算法则以及复数相等的充要条件即可求解.4.(2分)(2022·全国甲卷)若z=−1+√3i,则zzz̅−1=()A.−1+√3i B.−1−√3i C.−13+√33iD.−13−√33i【答案】C【解析】【解答】解:由题意得, z =−1−√3i ,则zz =(−1+√3i)(−1−√3i)=4 则z zz−1=−1+√3i 3=−13+√33i .故选:C【分析】由共轭复数的概念及复数的运算即可得解.5.(2分)(2022·全国甲卷)若 z =1+i .则 |iz +3z̅|= ( )A .4√5B .4√2C .2√5D .2√2【答案】D【解析】【解答】解:因为z=1+i ,所以iz +3z =i (1+i )+3(1−i )=2−2i ,所以 |iz +3z|=√4+4=2√2 . 故选:D【分析】根据复数代数形式的运算法则,共轭复数的概念先求得iz +3z =2−2i ,再由复数的求模公式即可求出.6.(2分)(2022·全国乙卷)已知 z =1−2i ,且 z +az̅+b =0 ,其中a ,b 为实数,则( )A .a =1,b =−2B .a =−1,b =2C .a =1,b =2D .a =−1,b =−2【答案】A【解析】【解答】易知 z̅=1+2i 所以 z +az̅+b =1−2i +a(1+2i)+b =(1+a +b)+(2a −2)i 由 z +az̅+b =0 ,得 {1+a +b =02a −2=0,即 {a =1b =−2 . 故选:A【分析】先求得 z̅ ,再代入计算,由实部与虚部都为零解方程组即可. 7.(2分)(2022·北京)若复数 z 满足 i ⋅z =3−4i ,则 |z|= ( )A .1B .5C .7D .25【答案】B【解析】【解答】由已知条件可知 z =3−4ii=−4−3i ,所以 |z|=√(−4)2+(−3)2=5 . 故答案为:B【分析】根据复数的代数运算以及模长公式,进行计算即可.8.(2分)(2022·新高考Ⅱ卷)若i(1−z)=1,则z+z̅=()A.-2B.-1C.1D.2【答案】D【解析】【解答】解:由题意得,z=1−1i=1−ii2=1+i,则z̅=1−i,则z+z̅=2,故选:D【分析】先由复数的四则运算,求得z,z̅,再求z+z̅即可.9.(2分)(2021·新高考Ⅱ卷)复数2−i1−3i在复平面内对应的点所在的象限为()A.第一象限B.第二象限C.第三象限D.第四象限【答案】A【解析】【解答】解:2−i1−3i=(2−i)(1+3i)(1−3i)(1+3i)=5+5i10=12+12i,表示的点为(12,12),位于第一象限.故答案为:A【分析】根据复数的运算法则,及复数的几何意义求解即可10.(2分)(2021·北京)在复平面内,复数z满足(1−i)z=2,则z=()A.2+i B.2−i C.1−i D.1+i 【答案】D【解析】【解答】解:z=21−i=2(1+i)(1−i)(1+i)=1+i,故答案为:D【分析】根据复数的运算法则直接求解即可.11.(2分)(2021·浙江)已知a∈R,(1+ai)i=3+i,(i为虚数单位),则a=()A.-1B.1C.-3D.3【答案】C【解析】【解答】因为(1+ai)i=3+i,所以1+ai=3+ii=3i−1i·i=1−3i利用复数相等的充分必要条件可得:a=−3.故答案为:C.【分析】根据复数相等的条件,即可求得a的值。
高考数学复数经典题型
高考数学复数经典题型
一、基本概念
1.什么是复数?
答:复数是一个具有实部和虚部的数,实部为实数,虚部为虚数。
2.怎样表示复数?
答:复数可以用符号表示,常见的有a+bi的形式,a为实部,b 为虚部,a、b都是实数。
3.复数的模是什么?
答:复数的模是表示复数的大小的一个数值,也叫做复数的模长。
记为|z|,它的值等于复数z的实部和虚部的平方和的开方。
二、复数的运算
1.复数的乘法怎么运算?
答:复数的乘法运算可以借助共轭复数的概念,将乘法运算转化为加法运算。
例如:(a+bi)·(c+di)=(ac-bd)+(ad+bc)i
2.复数的除法怎么运算?
答:复数的除法运算也可以借助共轭复数的概念,将除法运算转化为乘法运算。
例如:(a+bi)÷(c+di)=(ac+bd)/(c^2+d^2) +
(ad-bc)/(c^2+d^2)i
三、复数的其他用法
1.复数与实数的大小比较?
答:可以比较复数的模,如果两个复数的模大小相等,则可以比较它们的实部和虚部,实部大的复数比较大,虚部大的复数比较大。
2.复数的平面坐标表示?
答:复数也可以用平面直角坐标表示,实部用横坐标表示,虚部用纵坐标表示,用(x, y)表示复数z,则有z=x+yi。
11.1 复数一.复数的有关概念(1)定义:形如a +b i(a ,b ∈R)的数叫做复数,其中a 叫做复数z 的实部,b 叫做复数z 的虚部(i 为虚数单位).规定i 2=-1(2)分类:(3)复数相等:a +b i =c +d i ⇔a =c 且b =d (a ,b ,c ,d ∈R).(4)共轭复数:a +b i 与c +d i 共轭⇔a =c ,b =-d (a ,b ,c ,d ∈R).(5)模:向量OZ →的模叫做复数z =a +b i 的模,记作|a +b i|或|z |,即|z |=|a +b i|=a 2+b 2(a ,b ∈R).二.复数的几何意义复数z =a +b i 与复平面内的点Z (a ,b )及平面向量OZ →=(a ,b )(a ,b ∈R)是一一对应关系.三.复数的运算(1)复数的加、减、乘、除运算法则设12i,i(,,,)z a b z c d a b c d =+=+∈R ,则①加法:12(i)(i)()()i z z a b c d a c b d +=+++=+++;②减法:;③乘法:; ④除法:1222i (i)(i)()i (i 0)i (i)(i)z a b a b c d ac bd bc ad c d z c d c d c d c d++-++-===+≠++-+. (2)复数加法的运算定律复数的加法满足交换律、结合律,即对任何z 1,z 2,z 3∈C ,有1221123123()(),z z z z z z z z z z +=+++=++.(3)复数乘法的运算定律复数的乘法满足交换律、结合律、分配律,即对于任意z 1,z 2,z 3∈C ,有1221z z z z ⋅=⋅,,1231213()z z z z z z z +=+.(2)几何意义:复数加减法可按向量的平行四边形或三角形法则进行.如图给出的平行四边形OZ 1ZZ 2可以直观地反映出复数加减法的几何意义,即OZ →=OZ 1→+OZ 2→,Z 1Z 2→=OZ 2→-OZ 1→.考向一 复数的基本概念【例1】(1)复数12z i =-的虚部是 。
十年(2014-2023)年高考真题分项汇编—复数目录题型一:复数的有关概念 ........................................................................... 1 题型二:复数的几何意义 ........................................................................... 4 题型三:复数的四则运算 ........................................................................... 7 题型四:复数的其他问题 . (16)题型一:复数的有关概念一、选择题1.(2023年北京卷·第2题)在复平面内,复数z对应的点的坐标是(−,则z 的共轭复数z =( )A 1+ B.1C.1− D.1−【答案】D解析:z在复平面对应的点是(−,根据复数的几何意义,1z =−+,由共轭复数的定义可知,1z =−. 故选:D2.(2023年新课标全国Ⅰ卷·第2题)已知1i22iz −=+,则z z −=( )A .i −B .iC .0D .1【答案】A 解析:因为()()()()1i 1i 1i 2i 1i 22i 21i 1i 42z −−−−====−++−,所以1i 2z =,即i z z −=−. 故选:A .3.(2023年全国乙卷理科·第1题)设252i1i iz +=++,则z = ( )A .12i −B .12i +C .2i −D .2i +【答案】B解析:由题意可得()252i 2i 2i 2i2i 112i 1i i 11i i 1z +++−=====−++−+−, .则12i z =+.故选:B .4.(2021年高考浙江卷·第2题)已知a R ∈,()13ai i i +=+,(i 为虚数单位),则a = ( )A .1−B .1C .3−D .3【答案】C解析:()1ai i i a a i +=−=−+,利用复数相等的充分必要条件可得:3,3a a −=∴=−,故选C . 5.(2020年浙江省高考数学试卷·第2题)已知a ∈R ,若a –1+(a –2)i (i 为虚数单位)是实数,则a = ( )A .1B .–1C .2D .–2【答案】C解析:因为(1)(2)a a i −+−为实数,所以202a a −=∴=,,故选:C6. (2015高考数学新课标2理科·第2题)若a 为实数且(2)(2)4ai a i i +−=−,则a =( )A .1−B .0C .D .2【答案】B解析:由已知得24(4)4a a i i +−=−,所以240,44a a =−=−,解得0a =,故选B . 7.(2015高考数学新课标1理科·第1题)设复数z 满足1+z1i z =−,则z = ( )A .1BC D .2【答案】A 解析:由11zi z +=−得,11i z i −+=+=(1)(1)(1)(1)i i i i −+−+−=,故|z|=1,故选A . 8.(2015高考数学湖北理科·第1题)i 为虚数单位,607i的共轭复数....为 ( )A .iB .i −C .1D .1−【答案】A 解析:i i i i−=⋅=×31514607,所以607i 的共轭复数....为,选A .9.(2015高考数学广东理科·第2题)若复数(32)z i i =−(i 是虚数单位),则z =A .23i −B .23i +C .32i +D .32i −【答案】A解析:因为(32)23z i i i =−=+,所以23z i =−,故选A . 10.(2017年高考数学新课标Ⅰ卷理科·第3题)设有下面四个命题:若复数满足,则;:若复数满足,则;:若复数满足,则;:若复数,则.其中的真命题为 ( )A .B .C .D .【答案】 B【解析】令,则由得,所以,正确; 1p z 1z∈R z ∈R 2p z 2z ∈R z ∈R 3p 12,z z 12z z ∈R 12z z =4p z ∈R z ∈R 13,p p 14,p p 23,p p 24,p p (,)z a bi a b =+∈R 2211a bi z a bi a b −==∈++R 0b =z ∈R 1p当时,因为,而知,不正确;由知不正确;对于,因为实数没有虚部,所以它的共轭复数是它本身,也属于实数,故正确,故选B .11.(2017年高考数学课标Ⅲ卷理科·第2题)设复数z 满足,则 ( ).A .BCD .2【答案】 C【解析】法一:由可得,所以,故选C .法二:由可得,故选C .【考点】复数的模12.(2016高考数学课标Ⅰ卷理科·第2题)设(1i)1i x y +=+,其中,x y是实数,则i =x y +( )(D)2【答案】B【解析】由()11i x yi +=+可知:1x xi yi +=+,故1x x y == ,解得:11x y = =. 所以,x yi +.故选B .二、填空题1.(2019·浙江·第11题)复数11iz =+(i 为虚数单位),则z = . 【解析】解法一:由于11i 1i 11i 1i (1i)(1i)222z−−====−++−, . 解法二:11iz ==+ 2.(2019·天津·理·第9题)i 是虚数单位,则5i1i−+的值为 . 解析:解法1:5i (5i)(1i)46i 23i,1i (1i)(1i)25i23i 1i−−−−===−∴−−+++−解法2:5i5i 1i 1i−−==++3.(2019·江苏·第2题)已知复数()()21a i i ++的实部为0,其中i 为虚数单位,则实数a 的值是______.z i =221z i ==−∈R i ∉R 2p 1212,1z z i z z R ==⋅=−∈3p 4p 4p ()1i 2i z +=z =12()12i z i +=()2111iz i i i i==−=++z ()12i z i +=()1212i z i i z +=⇒+=z ⇒==【答案】2【解析】因为()()21(2)(2)a i i a a i ++=−++的实部为0,2a =.4.(2018年高考数学江苏卷·第2题)若复数z 满足i 12i z ⋅=+,其中i 是虚数单位,则z 的实部为 . 【答案】2解析:因为i 12i z ⋅=+,则122iz i i+==−,则z 的实部为2. 5.(2018年高考数学上海·第5题)已知复数z 满足(1i)17i z +=−(i 是虚数单位),则z = .【答案】5解析:17i17i 17i ,51i 1i 1iz z −−−=∴===+++. 6.(2017年高考数学江苏文理科·第2题)已知复数其中i 是虚数单位,则的模是________.【答案】.解析:,【考点】复数的模7.(2016高考数学天津理科·第9题)已知,,a b R i ∈是虚数单位,若(1)(1)i bi a +−=,则ab的值为_____________.【答案】2解析:()()11i bi a +−=,1b i bi a ++−=,∴1,10b a b +=−=,12b a = = ,2ab=8.(2016高考数学上海理科·第2题)设iiZ 23+=,期中i 为虚数单位,则Im z =______________________. 【答案】3−解析:32i23,Im z=3iz i +==−−.9.(2020江苏高考·第2题)已知i 是虚数单位,则复数(1i)(2i)z =+−的实部是_____. 【答案】3【解析】 复数()()12z i i =+−2223z i i i i ∴=−+−=+,∴复数的实部为3.故答案为:3. 10.(2019·上海·第2题)已知C z ∈且满足i z=−51,求=z ________. 【答案】512626i − 【解析】i z+=51,i i i i i z 261265)5)(5(551−=−+−=+=. 题型二:复数的几何意义一、选择题(1i)(12i),z =++z (1)(12)112z i i i i =++=++=1.(2021年新高考全国Ⅱ卷·第1题)复数2i13i−−在复平面内对应的点所在的象限为 ( )A .第一象限B .第二象限C .第三象限D .第四象限【答案】A 解析:()()2i 13i 2i 55i 1i13i10102−+−++===−,所以该复数对应的点为11,22 ,该点在第一象限,故选A . 2.(2022高考北京卷·第2题)若复数z 满足i 34i z ⋅=−,则z =( )A .1B .5C .7D .25【答案】B 解析:由题意有()()()34i i 34i 43i i i i z −−−===−−⋅−,故|5|z =.故选,B .3.(2019·全国Ⅱ·理·第2题)设32z i =−+,则在复平面内z 对应的点位于( )A .第一象限B .第二象限C .第三象限D .第四象限【答案】C【解析】∵32z i =−+,∴32z i =−−,对应坐标()3,2−−,是第三象限. 4.(2023年新课标全国Ⅱ卷·第1题)在复平面内,()()13i 3i +−对应的点位于( ).A .第一象限B .第二象限C .第三象限D .第四象限【答案】A解析:因为()()213i 3i 38i 3i 68i +−=+−=+,则所求复数对应的点为()6,8,位于第一象限. 故选:A .5.(2018年高考数学北京(理)·第2题)在复平面内,复数11i−的共轭复数对应的点位于 ( )A .第一象限B .第二象限C .第三象限D .第四象限【答案】D 解析:11i 11i 1i (1i)(1+i)22z +===+−− ,则11i 22z =− ,其对应的点为11,22−,位于第四象限.6.(2014高考数学重庆理科·第1题)复平面内表示复数)21(i i −的点位于( ) A .第一象限B .第二象限C .第三象限D .第四象限【答案】A解析:根据复数的乘法分配律可得,因此该复数在复平面内所对应的坐标为,它在第一象限。
数学高考知识点复数公式复数是数学中的一个重要概念,它由实数和虚数部分构成。
在高考数学中,掌握复数的概念和运算是非常重要的。
下面将介绍数学高考中常见的复数公式。
1. 复数的表示复数可表示为 a + bi 的形式,其中 a 为实数部分,b 为虚数部分,i为虚数单位,满足 i² = -1。
例如,2 + 3i 就是一个复数,其中实数部分为 2,虚数部分为 3。
2. 共轭复数共轭复数是指虚数部分符号相反的复数。
设 z = a + bi 是一个复数,那么它的共轭复数记为z = a - bi。
例如,对于复数 2 + 3i,它的共轭复数为 2 - 3i。
3. 复数的加法和减法复数的加法和减法与实数的加法和减法类似,将实数部分分别相加或相减,虚数部分也分别相加或相减。
例如,(2 + 3i) + (4 + 2i) = 6 + 5i,(2 + 3i) - (4 + 2i) = -2 + i。
4. 复数的乘法两个复数相乘时,可应用分配律展开并根据 i² = -1 化简。
例如,(2+ 3i)(4 + 2i) = 8 + 4i + 12i + 6i² = 8 + 4i + 12i - 6 = 2 + 16i。
5. 复数的除法两个复数相除时,可利用共轭复数将分母有理化,然后根据乘法的性质进行计算。
例如,(2 + 3i) / (4 + 2i) = (2 + 3i)(4 - 2i) / (4² - (2i)²) = (8+ 14i + 6) / (16 + 4) = (14 + 14i) / 20 = 7/10 + 7i/10。
6. 复数的模复数的模表示复数到原点的距离,记为 |z|。
对于一个复数 z = a + bi,其模为|z| = √(a² + b²)。
例如,对于复数 2 + 3i,其模为|2 + 3i| = √(2² +3²) = √13。
《2018年高考文科数学分类汇编》
第十一篇:复数
一、选择题
1.【2018全国一卷2】设1i 2i 1i z -=
++,则||z = A .0 B .12
C .1 D
2.【2018全国二卷1】
A .
B .
C .
D .
3.【2018全国三卷2】
A .
B .
C .
D .
4.【2018北京卷2】在复平面内,复数
11i -的共轭复数对应的点位于 A.第一象限
B.第二象限
C.第三象限
D.第四象限
5.【2018浙江卷4】复数
21i - (i 为虚数单位)的共轭复数是 A .1+i
B .1−i
C .−1+i
D .−1−i
二、填空题 1.【2018天津卷9】i 是虚数单位,复数67i 12i
+=+ . 2.【2018江苏卷2】若复数z 满足i 12i z ⋅=+,其中i 是虚数单位,则z 的实部为 .
3.【2018上海卷5】已知复数z 满足117i z i +=-()(i 是虚数单位),则∣z ∣= .
参考答案
()i 23i +=32i -32i +32i --32i -+()()1i 2i +-=3i --3i -+3i -3i +
一、选择题
1.C
2.D
3.D
4.D
5.B
二、填空题
4 2.2 3.5
1.i
欢迎您的下载,
资料仅供参考!
致力为企业和个人提供合同协议,策划案计划书,学习资料等等
打造全网一站式需求。
2018高考复习专题复数2【三年高考】1. 【2017江苏】复数(12i)(3i),z =+-其中i 为虚数单位,则z 的实部是 . 【答案】5 【解析】试题分析:(12i)(3i)55i z =+-=+.故答案应填:5 【考点】复数概念【名师点睛】本题重点考查复数的基本运算和复数的概念,属于基本题.首先对于复数的四则运算,要切实掌握其运算技巧和常规思路,如()()()(),,,a b c d ac bd ad bc a b c d +=-++∈R +i i i ,,其次要熟悉复数的相关概念,如复数i(,)a b a b +∈R 的实部为a ,虚部为b ,模为22a b +,共轭为i a b -2.【2017课标1,理3】设有下面四个命题1p :若复数z 满足1z ∈R ,则z ∈R ;2p :若复数z 满足2z ∈R ,则z ∈R ;3p :若复数12,z z 满足12z z ∈R ,则12z z =;4p :若复数z ∈R ,则z ∈R .其中的真命题为 A.13,p pB .14,p pC .23,p pD .24,p p【答案】B【考点】复数的运算与性质.【名师点睛】分式形式的复数,分子分母同乘分母的共轭复数,化简成(,)z a bi a b R =+∈的形式进行判断,共轭复数只需实部不变,虚部变为原来的相反数即可.3.【2017课标II ,理1】31ii+=+( ) A .12i + B .12i - C .2i + D .2i - 【答案】D 【解析】试题分析:由复数除法的运算法则有:()()3+13212i i i i i -+==-+,故选D 。
【考点】 复数的除法【名师点睛】复数的代数形式的运算主要有加、减、乘、除。
除法实际上是分母实数化的过程。
在做复数的除法时,要注意利用共轭复数的性质:若z 1,z 2互为共轭复数,则z 1·z 2=|z 1|2=|z 2|2,通过分子、分母同乘以分母的共轭复数将分母实数化。
高考复习试卷 ( 附参照答案 )一、选择题 (每题只有一个选项是正确的,每题 5 分,共 100 分,在每题给出的四个选项中,只有一项为哪一项切合题目要求的。
)1. (2013 山·东 )复数 3- i 等于()1- iA .1+ 2iB . 1-2iC . 2+ iD . 2-i答案: C分析: 3-i =(3- i)(1 + i) = 4+ 2i = 2+ i.应选 C.1- i (1- i)(1 + i)23+ 2i - 3- 2i =(2. (2013 宁·夏、海南 )复数 2- 3i 2+ 3i A .0 B . 2 C .- 2i D .2i 答案: D分析: 3+2i - 3- 2i = (3+ 2i)(2 + 3i)- (3- 2i)(2 - 3i)= 13i --13i= i +i =2i.2-3i 2+ 3i (2- 3i)(2 + 3i) (2- 3i)(2 + 3i) 1313z + 2是实数,那么 z 等于()3. (2013 陕·西 )已知 z 是纯虚数, 1- iA .2iB . iC .- iD .- 2i答案: D分析: 由题意得 z = ai.( a ∈R 且 a ≠ 0).∴z + 2=(2 +ai)(1 + i) = 2- a + (a +2)i ,21-i(1-i)(1+i)则 a + 2=0, ∴ a =- 2.有 z =- 2i ,应选 D.3 2,则 f(i) = ()4. (2013 武·汉市高三年级 2 月调研考试 )若 f(x)= x - x + x - 1A .2iB . 0C .- 2iD .-2 答案: B 分析: 依题意, f(i) = i 3- i 2+ i -1=- i + 1+ i - 1=0,选择 B.2- i5. (2013 北·京旭日 4 月 )复数 z = 1+ i (i 是虚数单位 )在复平面内对应的点位于 ( )A .第一象限B .第二象限C .第三象限D .第四象限 答案: D分析: z =2- i = 1- 3i ,它对应的点在第四象限,应选 D.1+ i 2 26. (2013 北·京东城 3月 )若将复数 2+i 表示为 a + bi(a , b ∈ R , i 是虚数单位 )的形式,则 i( ))b 的值为a 1 1 A .-2 B .- 2 C . 2 D.2答案: A分析: 2+i = 1- 2i ,把它表示为 a +bi( a , b ∈ R ,i 是虚数单位 )的形式,则 b 的值为- 2,应选 A.i 2a 7. (2013 北·京西城 4 月 )设 i 是虚数单位,复数 z = tan45 -° i sin60· 等于 ( ),°则 z A. 7- 3iB. 1- 3i4 4 C. 7+ 3i D.1+ 3i 44答案: B分析: z = tan45 °-i ·sin60 °= 1- 3 2 1 3i ,应选 B.2 i ,z = -48. (2013 黄·冈中学一模 )过原点和 3- i 在复平面内对应的直线的倾斜角为()π π A. 6B .- 62 5 C.3πD.6π答案: D分析:3- i 对应的点为 ( 3,- 1),所求直线的斜率为-3,则倾斜角为536π,应选 D.a + bi为实数,则()9.设 a 、b 、 c 、 d ∈R ,若 c + diA .bc + ad ≠ 0B . bc - ad ≠0C . bc - ad = 0D . bc + ad = 0答案: Ca + bi(a + bi)( c - di) ac + bd bc - ad 分析: 因为 c + di =c 2+d 2= c 2+ d 2 + c 2+ d 2 i ,所以由题意有bc - adc 2+d 2 = 0? bc - ad = 0.10.已知复数 z = 1-2i ,那么 1 =()z5+ 255- 25 A. 55iB. 55 iC. 1+2iD. 1- 2i55 5 5答案: D分析: 由 z = 1- 2i 知 z = 1+2i ,于是1= 1 = 1- 2i = 1- 2i .应选 D.z 1+ 2i 1+ 4 5 511.已知复数 z 1=3- bi , z 2= 1- 2i ,若z 1是实数,则实数 b 的值为()z 21A .6B .- 6C . 0D.6答案: A分析: z 1= 3-bi = (3- bi)(1 + 2i)= (3+ 2b)+ (6-b)i 是实数,则实数 b 的值为 6,应选 A.z 2 1- 2i (1- 2i)(1 + 2i) 5 12. (2013 广·东 )设 z 是复数, α(z)表示知足 z n = 1 的最小正整数 n ,则对虚数单位 i , α(i)=( )A .2B . 4C . 6D . 8 答案: B 分析: α(i)表示 i n = 1 的最小正整数 n ,因 i 4k = 1(k ∈ N * ),明显 n = 4,即 α(i)= 4.应选 B.1 3 4 4 32 13.若 z =2+ 2 i ,且 (x - z) = a 0x + a 1x + a 2x+ a 3x + a 4,则 a 2 等于()A .- 1+ 3i B .- 3+ 3 3i2 2C . 6+ 3 3iD .- 3-3 3i答案: B分析: ∵T r + 1=C 4r x 4-r (- z)r ,由 4- r = 2 得 r = 2,∴ a 2= C 42 (- z)2= 6× (- 1- 3i)222=- 3+ 3 3i .应选 B.14.若△ ABC 是锐角三角形,则复数 z = (cosB - sinA)+ i(sinB - cosA)对应的点位于 () A .第一象限 B .第二象限 C .第三象限 D .第四象限 答案: B分析: ∵△ ABC 为锐角三角形,∴ A +B > 90°, B > 90°- A , ∴ cosB < sinA , sinB > cosA , ∴ cosB - sinA < 0, sinB - cosA > 0, ∴ z 对应的点在第二象限.2- bi15.假如复数 1+ 2i (此中 i 为虚数单位, b 为实数 )的实部和虚部互为相反数,那么b 等于2 2( )A. 2B. 3C .- 3D . 2答案: C分析: 2-bi = (2- bi)(1 - 2i)1+2i 5=(2- 2b)+ (- 4-b)i55由 2- 2b =- - 4- b 2 .5得 b =-5 35 432 13 () 16.设函数 f(x)=- x +5x- 10x + 10x- 5x +1,则 f( +i )的值为22A .- 1+ 3 iB.3 1222 - i2C. 1 + 3D .-3 12 2 i2 + i2答案: C分析: ∵f(x)=- (x - 1)51 + 31 3 5∴ f( 2 i )=- ( +2 i - 1)225此中 ω=- 1 3 i)=- ω ( + 221 3 1 3=- ω =- (-2 - 2 i )= 2 + 2 i .17.若 i 是虚数单位,则知足 (p +qi )2= q + pi 的实数 p , q 一共有()A .1 对B .2 对C .3对D .4 对 答案: D分析: 由(p + qi)2= q +pi 得(p 2- q 2)+ 2pqi =q + pi ,所以p 2- q 2= q , p = 0,p = 0,2pq = p.解得 q = 0, 或q =- 1,3,3,或 p = 2 或 p =- 2所以知足条件的实数 p , q 一共有 4 对.1,1,q =2 q = 2总结评论: 此题主要考察复数的基本运算,解回复数问题的基本策略是将复数问题转变为实数问题来解决,解答中要特别注意不要出现漏解现象,如由 2pq = p 应获得 p = 10 或 q = .2 x 6 20 218.已知 ( 的睁开式中,不含 x 的项是 ,那么正数 p 的值是 ( )2- ) 27x pA .1B . 2C . 3D . 4 答案: C分析: 由题意得: C 4 1 2 20 ,求得 p =3.应选 C.6·4·2 = 27p x 的项,即找常数项.总结评论: 此题考察二项式定理的睁开式,注意搭配睁开式中不含19.复数 z =- lg(x 2+2) -(2x + 2-x -1)i(x ∈ R )在复平面内对应的点位于( )A .第一象限B .第二象限C .第三象限D .第四象限 答案: C分析: 此题考察复数与复平面上的点之间的关系,复数与复平面上的点是一一对应的关系,即z = a +bi ,与复平面上的点 Z( a , b)对应,由 z =- lg(x 2+2) -(2 x + 2-x -1)i(x ∈ R )知:a =- lg(x 2+ 2)< 0,又 2x + 2 x - 1≥ 2 2x·2 x - 1= 1> 0;- -∴ - (2x +2-x - 1)< 0,即 b < 0.∴(a , b)应为第三象限的点,应选C.20.设复数 z + i(z ∈C )在映照 f 下的象为复数 z 的共轭复数与 i 的积,若复数 ω 在映照 f 下的象为- 1+ 2i ,则相应的 ω 为()A .2B . 2- 2iC .- 2+ iD . 2+ i答案: A分析: 令 ω= a + bi , a , b ∈ R ,则 ω= [a + (b -1)i] + i , ∴ 映照 f 下 ω的象为 [a - (b - 1)i] ·i = (b - 1)+ai =- 1+ 2i.b - 1=- 1, b = 0,∴ 解得∴ ω= 2.a = 2. a = 2.第Ⅱ卷(非选择题共 50 分)二、填空题 (本大题共 5 小题,每题 4 分,共 20 分,请将答案填在题中的横线上。
第4讲 复数基础巩固题组(建议用时:30分钟)一、选择题1.(2015·福建卷)若(1+i)+(2-3i)=a +b i(a ,b ∈R ,i 是虚数单位),则a ,b 的值分别等于( )A .3,-2B .3,2C .3,-3D .-1,4解析 (1+i)+(2-3i)=3-2i =a +b i ,∴a =3,b =-2,故选A. 答案 A2.(2016·四川卷)设i 为虚数单位,则复数(1+i)2=( )A .0B .2C .2iD .2+2i 解析 (1+i)2=1+2i +i 2=2i ,故选C. 答案 C3.(2016·山东卷)若复数z =21-i,其中i 为虚数单位,则z = ( )A .1+iB .1-iC .-1+iD .-1-i 解析 ∵z =21-i =2(1+i )(1-i )(1+i )=1+i ,∴z =1-i ,故选B. 答案 B4.(2015·安徽卷)设i 为虚数单位,则复数(1-i)(1+2i)=( )A .3+3iB .-1+3iC .3+iD .-1+i 解析 (1-i)(1+2i)=1+2i -i -2i 2=3+i. 答案 C5.复数1-i 2-i对应的点位于( )A .第一象限B .第二象限C .第三象限D .第四象限解析 复数1-i 2-i =(1-i )(2+i )(2-i )(2+i )=35-15i ,∴其对应的点为⎝ ⎛⎭⎪⎫35,-15,在第四象限,故选D. 答案 D6.(2017·北京东城综合测试)若复数(m 2-m )+m i 为纯虚数,则实数m 的值为( )A .-1B .0C .1D .2解析 因为复数(m 2-m )+m i 为纯虚数,所以⎩⎨⎧m 2-m =0,m ≠0,解得m =1,故选C. 答案 C 7.已知复数z =1+2i2-i(i 为虚数单位),则z 的虚部为 ( )A .-1B .0C .1D .i解析 ∵z =1+2i 2-i =(1+2i )(2+i )(2-i )(2+i )=5i5=i ,故虚部为1.答案 C8.设z 是复数,则下列命题中的假命题是( )A .若z 2≥0,则z 是实数B .若z 2<0,则z 是虚数C .若z 是虚数,则z 2≥0D .若z 是纯虚数,则z 2<0解析 举反例说明,若z =i ,则z 2=-1<0,故选C. 答案 C9.(2015·全国Ⅰ卷)已知复数z 满足(z -1)i =1+i ,则z 等于( )A .-2-iB .-2+iC .2-iD .2+i解析 由(z -1)i =1+i ,两边同乘以-i ,则有z -1=1-i ,所以z =2-i.答案 C10.设z 1,z 2是复数,则下列命题中的假命题是( )A .若|z 1-z 2|=0,则z 1=z 2B .若z 1=z 2,则z 1=z 2C .若|z 1|=|z 2|,则z 1·z 1=z 2·z 2D .若|z 1|=|z 2|,则z 21=z 22解析 A 中,|z 1-z 2|=0,则z 1=z 2,故z 1=z 2,成立.B 中,z 1=z 2,则z 1=z 2成立.C 中,|z 1|=|z 2|,则|z 1|2=|z 2|2,即z 1z 1=z 2z2,C正确.D 不一定成立,如z 1=1+3i ,z 2=2,则|z 1|=2=|z 2|,但z 21=-2+23i ,z 22=4,z 21≠z 22.答案 D11.(2017·河北省三市联考)若复数z =a +3ii +a 在复平面上对应的点在第二象限,则实数a 可以是( )A .-4B .-3C .1D .2解析 因为z =a +3ii +a =(3+a )-a i 在复平面上对应的点在第二象限,所以a <-3,选A. 答案 A12.(2016·全国Ⅰ卷)设(1+i)x =1+y i ,其中x ,y 是实数,则|x +y i|=( )A .1 B. 2 C. 3 D .2解析 由(1+i)x =1+y i ,得x +x i =1+y i ⇒⎩⎨⎧ x =1,x =y ⇒⎩⎨⎧x =1,y =1.所以|x +y i|=x 2+y 2=2,故选B. 答案 B二、填空题13.(2016·江苏卷)复数z =(1+2i)(3-i),其中i 为虚数单位,则z 的实部是________.解析 (1+2i)(3-i)=3+5i -2i 2=5+5i ,所以z 的实部为5. 答案 514.(2015·四川卷)设i 是虚数单位,则复数i -1i =________. 解析 i -1i =i -ii 2=2i. 答案 2i15.(2015·江苏卷)设复数z 满足z 2=3+4i(i 是虚数单位),则z 的模为________. 解析 设复数z =a +b i ,a ,b ∈R ,则z 2=a 2-b 2+2ab i =3+4i ,a ,b ∈R ,则⎩⎨⎧ a 2-b 2=3,2ab =4(a ,b ∈R ),解得⎩⎨⎧ a =2,b =1或⎩⎨⎧a =-2,b =-1,则z =±(2+i),故|z |= 5. 答案516.若3+b i 1-i =a +b i(a ,b 为实数,i 为虚数单位),则a +b =________.解析 3+b i 1-i =(3+b i )(1+i )2=12[(3-b )+(3+b )i]=3-b 2+3+b 2i.∴⎩⎪⎨⎪⎧a =3-b2,b =3+b 2,解得⎩⎨⎧a =0,b =3.∴a +b =3.答案 3能力提升题组 (建议用时:25分钟)17.若i 为虚数单位,图中复平面内点Z 表示复数z ,则表示复数z1+i的点是 ( )A .EB .FC .GD .H解析 由题图知复数z =3+i , ∴z 1+i =3+i 1+i =(3+i )(1-i )(1+i )(1-i )=4-2i 2=2-i. ∴表示复数z1+i的点为H . 答案 D18.z 是z 的共轭复数,若z +z =2,(z -z )i =2(i 为虚数单位),则z 等于( )A .1+iB .-1-iC .-1+iD .1-i解析 法一 设z =a +b i ,a ,b 为实数,则z =a -b i. ∵z +z =2a =2,∴a =1.又(z -z )i =2b i 2=-2b =2,∴b =-1.故z =1-i. 法二 ∵(z -z )i =2,∴z -z =2i =-2i. 又z +z =2,∴(z -z )+(z +z )=-2i +2, ∴2z =-2i +2,∴z =1-i. 答案 D19.(2014·全国Ⅰ卷)设z =11+i+i ,则|z |= ( )A.12B.22C.32 D .2解析 ∵z =11+i +i =1-i (1+i )(1-i )+i =1-i 2+i =12+12i ,∴|z |=⎝ ⎛⎭⎪⎫122+⎝ ⎛⎭⎪⎫122=22,故选B.答案 B20.(2017·安徽师大附中月考)已知复数z =(cos θ-isin θ)·(1+i),则“z 为纯虚数”的一个充分不必要条件是( )A .θ=π4B .θ=π2C .θ=3π4D .θ=5π4解析 因为z =(cos θ+sin θ)+(cos θ-sin θ)i ,所以当θ=3π4时,z =-2i 为纯虚数,当z 为纯虚数时,θ=k π-π4.故选C. 答案 C21.(2017·哈尔滨六中期中)若复数z 满足i·z =-12(1+i),则z 的共轭复数的虚部是( )A .-12i B.12i C .-12 D.12解析 i·z =-12(1+i)⇒z =-12(1+i )i =-12(1+i )·ii·i =12(-1+i),则z 的共轭复数z =12(-1-i),其虚部是-12. 答案 C22.(2017·陕西高三四校联考)i 是虚数单位,若2+i1+i=a +b i(a ,b ∈R ),则lg(a +b )的值是( )A .-2B .-1C .0 D.12解析 ∵(2+i )(1-i )(1+i )(1-i )=3-i 2=32-12i =a +b i ,∴⎩⎪⎨⎪⎧a =32,b =-12,∴lg(a +b )=lg 1=0.答案 C23.下面是关于复数z =2-1+i的四个命题: p 1:|z |=2; p 2:z 2=2i ;p 3:z 的共轭复数为1+i; p 4:z 的虚部为-1.其中真命题为( )A .p 2,p 3B .p 1,p 2C .p 2,p 4D .p 3,p 4 解析 ∵z =2-1+i=-1-i , ∴|z |=(-1)2+(-1)2=2,∴p 1是假命题; ∵z 2=(-1-i)2=2i ,∴p 2是真命题;∵z =-1+i ,∴p 3是假命题;∵z 的虚部为-1,∴p 4是真命题.其中真命题共有2个:p 2,p 4. 答案 C24.(2017·广州综合测试)若1-i(i 是虚数单位)是关于x 的方程x 2+2px +q =0(p ,q ∈R )的一个解,则p +q =( )A .-3B .-1C .1D .3解析 依题意得(1-i)2+2p (1-i)+q =(2p +q )-2(p +1)i =0,即⎩⎨⎧2p +q =0,p +1=0,解得p =-1,q =2,所以p +q =1,故选C. 答案 C25.复数(3+i)m -(2+i)对应的点在第三象限内,则实数m 的取值范围是________.解析 z =(3m -2)+(m -1)i ,其对应点(3m -2,m -1)在第三象限内,故3m -2<0且m -1<0,∴m <23. 答案 ⎝ ⎛⎭⎪⎫-∞,2326.设f (n )=⎝⎛⎭⎪⎫1+i 1-i n +⎝ ⎛⎭⎪⎫1-i 1+i n(n ∈N +),则集合{f (n )}中元素的个数为________. 解析 f (n )=⎝⎛⎭⎪⎫1+i 1-i n +⎝ ⎛⎭⎪⎫1-i 1+i n =i n+(-i)n , f (1)=0,f (2)=-2,f (3)=0,f (4)=2,f (5)=0,… ∴集合中共有3个元素. 答案 327.已知复数z =x +y i ,且|z -2|=3,则yx 的最大值为________. 解析∵|z -2|=(x -2)2+y 2=3, ∴(x -2)2+y 2=3. 由图可知⎝ ⎛⎭⎪⎫y x max =31= 3.答案328.定义运算⎪⎪⎪⎪a c b d =ad -bc .若复数x =1-i 1+i ,y =⎪⎪⎪⎪4i 2 x i x +i ,则y =________. 解析 因为x =1-i 1+i =(1-i )22=-i.所以y =⎪⎪⎪⎪4i 2 x i x +i =⎪⎪⎪⎪4i 2 10=-2. 答案 -2。
2一、高考考什么?[考试说明]十一、复数数我最型工作室1. 了解复数的定义、复数的模和复数相等的概念。
2. 了解复数的加、减运算的几何意义。
3. 理解复数代数形式的四则运算。
[重要公式] 1. 复数的概念:(1) 虚数单位i :①它的平方等于-1,即i 2 = -1 ;②实数可以与它进行四则运算,进行四则运算时,原有加、乘运算律仍然成立。
(2) 数系的扩充:N Z Q R C.(3) 复数 z = a + bi (a , b ∈ R ) ,当b = 0 时,为实数;当b ≠ 0 时,为虚数;当 a = 0, b ≠ 0时,为纯虚数。
(4) 共轭复数:复数 z = a + bi (a , b ∈ R ) , z = a - bi (a , b ∈ R ) ,这两个复数叫做互为共轭复数2. 复数相等:如果 a ,b ,c ,d ∈R ,那么 a +bi =c +di ⇔ a =c ,b =d3. 复数的模:若 z = a + bi (a , b ∈ R ) ,则| z |=4. 复数的运算:(1) 加减运算:若 z 1 = a + bi , z 2 = c + di , 则 z 1 ± z 2 = a ± c + (b ± d )i (2) 乘法运算:若 z 1 = a + bi , z 2 = c + di , 则 z 1 ⋅ z 2 = (ac - bd ) + (ad + bc )i (3) 除法运算:若 z 1 = a + bi , z 2 = c + di ,则 z1 =ac + bd + bc - adi ,即为分母实数化z c 2 + d 2 c 2 + d 2(4) i 4n = 1;i 4n +1 = i ;i 4n +2 = -1;i 4n +3 = -i[全面解读]复数只需要掌握它的基本概念,四则运算,复数相等的充要条件和复数的几何意义就可以了。