2007年山东大学线性代数与常微分方程考研真题
- 格式:doc
- 大小:108.00 KB
- 文档页数:1
2007年考研数学一真题及参考答案一、选择题(本题共10小题,每小题4分,满分40分,在每小题给的四个选项中,只有一项符合题目要求,把所选项前的字母填在题后括号内)(1) 当0x +→时,与x 等价的无穷小量是 (B) A. 1xe- B.1ln1xx+- C. 11x +- D.1cos x -(2) 曲线y=1ln(1x e x++), 渐近线的条数为 (D) A.0 B.1 C.2 D.3(3)如图,连续函数y=f(x)在区间[-3,-2],[2,3]上的图形分别是直径为1的上、下半圆周,在区间[-2,0],[0,2]的图形分别是直径为2的上、下半圆周,设F(x)=0()xf t dt ⎰.则下列结论正确的是 (C) A. F(3)=3(2)4F -- B. F(3)=5(2)4F C. F(3)=3(2)4F + D. F(3)= 5(2)4F --(4)设函数f (x )在x=0处连续,下列命题错误的是 (C)A. 若0()limx f x x →存在,则f (0)=0 B. 若0()()lim x f x f x x→+- 存在,则f (0)=0C. 若0()lim x f x x → 存在,则'(0)f =0D. 若0()()lim x f x f x x→-- 存在,则'(0)f =0(5)设函数f (x )在(0, +∞)上具有二阶导数,且"()f x o >, 令n u =f(n)=1,2,…..n, 则下列结论正确的是(D)A.若12u u >,则{n u }必收敛B. 若12u u >,则{n u }必发散C. 若12u u <,则{n u }必收敛D. 若12u u <,则{n u }必发散(6)设曲线L :f(x, y) = 1 (f(x, y)具有一阶连续偏导数),过第Ⅱ象限内的点M 和第Ⅳ象限内的点N,T 为L 上从点M 到N 的一段弧,则下列小于零的是 (B) A.(,)rx y dx ⎰ B. (,)rf x y dy ⎰C.(,)rf x y ds ⎰D.'(,)'(,)x y rf x y dx f x y dy +⎰(7)设向量组1α,2α,3α线形无关,则下列向量组线形相关的是: (A) (A ) ,,122331αααααα--- (B ) ,,122331αααααα+++(C )1223312,2,2αααααα--- (D )1223312,2,2αααααα+++(8)设矩阵A=211121112--⎛⎫ ⎪-- ⎪ ⎪--⎝⎭,B=100010000⎛⎫ ⎪⎪ ⎪⎝⎭,则A 于B , (B)(A) 合同,且相似(B) 合同,但不相似 (C) 不合同,但相似(D)既不合同,也不相似(9)某人向同一目标独立重复射击,每次射击命中目标的概率为p ()01p <<,则此人第4次射击恰好第2次命中目标的概率为: (C) (A )23(1)p p - (B)26(1)p p - (C) 223(1)p p -(D) 226(1)p p -(10) 设随即变量(X ,Y )服从二维正态分布,且X 与Y 不相关,()X f x ,()Y f y 分别表示X ,Y 的概率密度,则在Y =y 的条件下,X 的条件概率密度|(|)XYf x y 为 (A)(A )()X f x(B) ()Y f y(C) ()X f x ()Y f y(D)()()X Y f x f y 二.填空题:11-16小题,每小题4分,共24分,请将答案写在答题纸指定位置上。
07年考研数学试题(线性代数)第一篇:07年考研数学试题(线性代数)07年考研数学试题(线性代数)选择题(每小题4分)⎡2-1-1⎤⎢⎥1.(07010804、07021004、07030804、07040804)设矩阵A=-12-1,⎢⎥⎢⎣-1-12⎥⎦⎡100⎤⎥,则A与B()B=⎢010⎢⎥⎢⎣000⎥⎦(A)合同,且相似;(B)合同,但不相似;(C)不合同,但相似;(D)合同,但不相似;2.(07020904、07030704、07040704)设向量组α1,α2,α3线性无关,则下列向量组线性相关的是()(A)α1-α2,α2-α3,α3-α1 ;(B)α1+α2,α2+α3,α3+α1;(C)α1-2α2,α2-2α3,α3-2α1 ;(D)α1+2α2,α2+2α3,α3+2α1.二、填空题(每小题4分)⎡0⎢03.(07011504、07021604、07030504、07041504)设矩阵A=⎢⎢0⎢⎣0秩为.三、解答题 100001000⎤0⎥⎥,则 A3 的1⎥⎥0⎦⎧x1+x2+x3=0⎪4.(07012111、07022311、07032111、07042111)设线性方程组⎨x1+2x2+ax3=0①⎪2⎩x1+4x2+ax3=0与方程 x1+2x2+x3 = a-1② 有公共解,求a的值及所有公共解.5.(07012211、07022411、07032211、07042211)设3阶对称矩阵A的特征值为λ1 = 1,λ2 =2,λ3 =-2 ;向量α1=(1,-1,1)是A的属于λ1 的一个特征向量,记 TB = A5-4A3 + E,其中E为3阶单位矩阵.(Ⅰ)验证α1是矩阵B的特征向量,并求B的全部特征值与特征向量;(Ⅱ)求矩阵B.第二篇:考研数学一线性代数公式1、行列式1.n行列式共有n2个元素,展开后有n!项,可分解为2n行列式;2.行列式的重要公式:①、主对角行列式:主对角元素的乘积;n(n-1)②、副对角行列式:副对角元素的乘积⨯ (-1)③、上、下三角行列式(④、 ◤◥ = ◣2;):主对角元素的乘积;n(n-1)2和◢:副对角元素的乘积⨯ (-1)ACOB=AOCB;、CBAO=OBAC=(-1)mγn⑤、拉普拉斯展开式:=ABAB⑥、范德蒙行列式:大指标减小指标的连乘积; 3.证明①、A=0的方法:;③构造齐次方程组Ax=0A=-A,证明其有非零解;④证明r(A)<n⑤证明0是其特征值;2、矩阵1.是n阶可逆矩阵:⇔A≠0(是非奇异矩阵);A⇔⇔⇔⇔⇔⇔r(A)=nA(是满秩矩阵)有非零解;的行(列)向量组线性无关;=0齐次方程组Ax∀b∈Rn,Ax=b总有唯一解;A与E等价;可表示成若干个初等矩阵的乘积;的特征值全不为0;TAA⇔⇔⇔⇔AAA是正定矩阵;的行(列)向量组是Rn的一组基;是Rn中某两组基的过渡矩阵;=AA=AE*A2.对于n阶矩阵A:AA*3.(A-1无条件恒成立;-1)=(A)TT**-1(A-1)T=(A)**T(A)*T=(A)-1T*-1(AB)=BAT(AB)=BA*(AB)=B-1A4.矩阵是表格,推导符号为波浪号或箭头;行列式是数值,可求代数和;5.关于分块矩阵的重要结论,其中均A、B可逆:若⎛A1 A=⎝A2O⎫⎪⎪⎪⎪As⎭-1,则:Ⅰ、A=A1A2ΛAs ;Ⅱ、A-1⎛A1 =⎝-1-1A2OAs⎫⎪O⎭-1-1-1⎫⎪⎪⎪⎪⎪⎭;⎛A②、⎝O⎛A④、⎝OO⎫⎪B⎭C⎫⎪B⎭-1⎛A=⎝OO⎫-1⎪B⎭-A-1⎛O;(主对角分块)③、 ⎝BCB-1-1A⎫⎪O⎭-1⎛O=-1⎝A-1B;(副对角分块)O⎫-1⎪B⎭-1⎛A=⎝O-1B⎫⎪⎭⎛A;(拉普拉斯)⑤、⎝CO⎫⎪B⎭⎛A=-1-1⎝-BCA;(拉普拉斯)3、矩阵的初等变换与线性方程组1.一个m⨯n矩阵A,总可经过初等变换化为标准形,其标准形是唯一确定的:F⎛Er=⎝OO⎫⎪O⎭m⨯n;等价类:所有与A等价的矩阵组成的一个集合,称为一个等价类;标准形为其形状最简单的矩阵;对于同型矩阵A、B,若r(A) =r(B) ⇔ AγB;2.行最简形矩阵:①、只能通过初等行变换获得;②、每行首个非0元素必须为1;③、每行首个非0元素所在列的其他元素必须为0;3.初等行变换的应用:(初等列变换类似,或转置后采用初等行变换)①、若(A , E) γ (E , X),则A可逆,且X②、对矩阵(A,B)做初等行变化,当Ar=AE-1;就变成A-1变为时,BB,即:(A,B) ~ (E,A-1B);rc③、求解线形方程组:对于n个未知数n个方程Ax=b,如果(A,b)γ(E,x),则A可逆,且x=A-1b;4.初等矩阵和对角矩阵的概念:①、初等矩阵是行变换还是列变换,由其位置决定:左乘为初等行矩阵、右乘为初等列矩阵;⎛λ1②、Λ=⎝λ2O⎫⎪⎪⎪⎪λn⎭,左乘矩阵A,λi乘A的各行元素;右乘,λi乘A的各列元素;③、对调两行或两列,符号E(i,5.矩阵秩的基本性质:①、0≤r(Am⨯n)≤min(m⑥、r(A+j),且E(i,j)-1⎛=E(i,j),例如:1⎝⎫⎪⎪1⎪⎭-1⎛=1 ⎝⎫⎪⎪1⎪⎭;,n);②、r(A)=r(A)T;③、若AγB,则r(A)=r(B);④、若P、Q可逆,则;(※)r(A)=r(PA)=r(AQ)=r(PAQ);(可逆矩阵不影响矩阵的秩)⑤、max(r(A),r(B))≤;(※)⑦、r(AB)≤min(r(A),r(B))r(A,B)≤r(A)+r(B)B)≤r(A)+r(B)⨯n;(※)⑧、如果A是m矩阵,B是n⨯s矩阵,且AB=0n=0,则:(※)Ⅰ、B的列向量全部是齐次方程组AXⅡ、r(A)+r(B)≤解(转置运算后的结论);;⑨、若A、B均为n阶方阵,则r(AB)≥r(A)+r(B)-n6.三种特殊矩阵的方幂:①、秩为1的矩阵:一定可以分解为列矩阵(向量)⨯行矩阵(向量)的形式,再采用结合律;⎛1②、型如 00⎝a10c⎫⎪b⎪1⎪⎭的矩阵:利用二项展开式;③、利用特征值和相似对角化:7.伴随矩阵:⎧n⎪①、伴随矩阵的秩:r(A*)=⎨1⎪⎩0r(A)=n r(A)=n-1r(A)<n-1*-1*;②、伴随矩阵的特征值:Aλ(AX=λX,A=AA ⇒ AX=AλX);③、A*=AA-1、A*=An-18.关于A矩阵秩的描述:①、r(A)=n,A中有n阶子式不为0,n+1阶子式全部为0;(两句话)②、r(A)<n,A中有n阶子式全部为0;③、r(A)≥n,A中有n阶子式不为0;9.线性方程组:Ax=b,其中A为m⨯n矩阵,则:①、m与方程的个数相同,即方程组Ax=b有m个方程;②、n与方程组得未知数个数相同,方程组Ax=b为n元方程;10.线性方程组Ax=b的求解:①、对增广矩阵B进行初等行变换(只能使用初等行变换);②、齐次解为对应齐次方程组的解;③、特解:自由变量赋初值后求得;4、向量组的线性相关性11.①、向量组的线性相关、无关⇔Ax=0有、无非零解;(齐次线性方程组)②、向量的线性表出⇔Ax=b是否有解;(线性方程组)③、向量组的相互线性表示⇔AX=B是否有解;(矩阵方程)12.矩阵Am⨯n与Bl⨯n行向量组等价的充分必要条件是:齐次方程组Ax=0和Bx=0同解;(P101例14)13.14.r(AA)=r(A)nT;(P101例15)⇔α=0维向量线性相关的几何意义:;③、α,β,γ线性相关⇔α,β,γ①、α线性相关②、α,β线性相关共面;⇔α,β坐标成比例或共线(平行);15.线性相关与无关的两套定理:若α1,α2,Λ,αs线性相关,则α1,α2,Λ,αs,αs+1必线性相关;若α1,α2,Λ,αs线性无关,则α1,α2,Λ,αs-1必线性无关;(向量的个数加加减减,二者为对偶)若r维向量组A的每个向量上添上n -r个分量,构成n维向量组B:若A线性无关,则B也线性无关;反之若B线性相关,则A也线性相关;(向量组的维数加加减减)简言之:无关组延长后仍无关,反之,不确定;16.向量组A(个数为r)能由向量组B(个数为s)线性表示,且A线性无关,则r向量组A能由向量组B线性表示,则r(A)≤向量组A能由向量组B 线性表示⇔AX=Br(B)≤s(二版P74定理7);;(P86定理3)r(A)=r(A,B)有解;⇔(P85定理2)向量组A能由向量组B等价⇔ r(A)=①、矩阵行等价:A~crr(B)=r(A,B)(P85定理2推论)=P1P2ΛPl17.方阵A可逆⇔存在有限个初等矩阵P1,P2,Λ,Pl,使AB⇔PA=B;=0(左乘,P可逆)⇔Ax=0与Bx同解18.19.20.21.②、矩阵列等价:A~B⇔AQ=B(右乘,Q可逆);③、矩阵等价:A~B⇔PAQ=B(P、Q可逆);对于矩阵Am⨯n与Bl⨯n:①、若A与B行等价,则A与B的行秩相等;②、若A与B行等价,则Ax=0与Bx=0同解,且A与B的任何对应的列向量组具有相同的线性相关性;④、矩阵A的行秩等于列秩;若Am⨯sBs⨯n=Cm⨯n,则:①、C的列向量组能由A的列向量组线性表示,B为系数矩阵;②、C的行向量组能由B的行向量组线性表示,AT为系数矩阵;(转置)齐次方程组Bx=0的解一定是ABx=0的解,考试中可以直接作为定理使用,而无需证明;①、ABx=0 只有零解⇒ Bx=0只有零解;②、Bx=0 有非零解⇒ ABx=0一定存在非零解;设向量组Bn⨯r:b1,b2,Λ,br可由向量组An⨯s:a1,a2,Λ,as线性表示为:(P110题19结论)(B=AK)其中K为s⨯r,且A线性无关,则B组线性无关⇔r(K)=r;(B与K的列向量组具有相同线性相关性)(必要性:Θr=r(B)=r(AK)≤r(K),r(K)≤r,∴r(K)=r;充分性:反证法)(b1,b2,Λ,br)=(a1,a2,Λ,as)K=m注:当r=s时,K为方阵,可当作定理使用;22.①、对矩阵Am⨯n,存在Qn⨯m,AQ=Em ⇔r(A)②、对矩阵Am⨯n,存在Pn⨯m,PA=En、Q的列向量线性无关;(P87)、P的行向量线性无关;⇔r(A)=n23.若η*为Ax=b的一个解,ξ1,ξ2,Λ,ξn-r为Ax=0的一个基础解系,则η*,ξ1,ξ2,Λ,ξn-r线性无关5、相似矩阵和二次型1.正交矩阵⇔AA=ET或A-1=AT(定义),性质:⎧1=⎨⎩0i=ji≠j(i,j=1,2,Λn)①、A的列向量都是单位向量,且两两正交,即aiTaj②、若A为正交矩阵,则A-1=AT;也为正交阵,且A=±1;③、若A、B正交阵,则AB也是正交阵;注意:求解正交阵,千万不要忘记施密特正交化和单位化; 2.施密特正交化:(a1,a2,Λ,ar) b1=a1;b2=a2-[b1,a2][b1,b1]γb1ΛΛΛ[b1,ar][b1,b1]γb1-[b2,ar][b2,b2]γb2-Λ-[br-1,ar][br-1,br-1]γbr-1br=ar-;3.对于普通方阵,不同特征值对应的特征向量线性无关;对于实对称阵,不同特征值对应的特征向量正交;4.①、A与B等价⇔A经过初等变换得到B;⇔PAQ=B,P、Q可逆;⇔r(A)=r(B),A、B同型;②、A与B 合同⇔CTAC=B,其中可逆;TT⇔xAx与xBx有相同的正、负惯性指数;③、A与B相似⇔P-1AP=B; 5.相似一定合同、合同未必相似;若C为正交矩阵,则CTAC=B⇒AγB,(合同、相似的约束条件不同,相似的更严格); 6.n元二次型xTAx为正定:T⇔A的正惯性指数为n⇔A与E合同,即存在可逆矩阵C,使CAC=E⇔A的所有特征值均为正数;⇔A的各阶顺序主子式均大于0⇒aii>0,A>0;(必要条件)第三篇:2013线性代数考研复习建议2013考研线性代数复习建议2013考研备考已经开始了,网校老师结合往年考研复习情况,也2013年考研的学生们一点建议。
2007年山东大学法学考研试题年山东大学法学考研试题 考研加油站收集整理
卷一( 网友lovexiyang 提供)
1:简述法的效力
2:规范性法律文件系统化的方法
3:如何理解正当程序
4:简述法律传统的功能
5:科学技术对法的影响
6:司法体系
7:我国宪法结构
8:宗教信仰自由的含义是什么
9:国内外检察机关的设置有哪些模式
10:论述法律解释的方法
11:论法的渊源
12:我国2004年宪法修改同前三次修改相比有哪些特点?
综合B(回忆版, 网友小婧子提供)
简答
1.民事责任承担方式
2.民事权利的客体
3.表见代理的构成要件
4.刑法溯及力原则及从哪些方面比较新旧刑法的轻重
5.犯罪对象和犯罪客体的联系和区别
6.犯罪主体特殊身份的意义
7.越权的表现
8.依法行政的法的范围
9.行政处罚的种类
论述
1.诉讼时效的范围
2.论故意犯罪的着手
3.行政程序权利及意义。
目录Ⅰ历年考研真题试卷 (2)山东大学2007年招收硕士学位研究生入学考试试题 (2)山东大学2009年招收硕士学位研究生入学考试试题 (3)山东大学2010年招收硕士学位研究生入学考试试题 (5)山东大学2011年招收硕士学位研究生入学考试试题 (6)山东大学2012年招收硕士学位研究生入学考试试题 (7)山东大学2014年招收硕士学位研究生入学考试试题 (8)山东大学2015年招收硕士学位研究生入学考试试题 (10)山东大学2016年招收硕士学位研究生入学考试试题 (12)山东大学2017年招收硕士学位研究生入学考试试题 (14)Ⅱ历年考研真题试卷答案解析 (16)山东大学2007年招收硕士学位研究生入学考试试题答案解析 (16)山东大学2009年招收硕士学位研究生入学考试试题答案解析 (22)山东大学2010年招收硕士学位研究生入学考试试题答案解析 (29)山东大学2011年招收硕士学位研究生入学考试试题答案解析 (34)山东大学2012年招收硕士学位研究生入学考试试题答案解析 (39)山东大学2014年招收硕士学位研究生入学考试试题答案解析 (46)山东大学2015年招收硕士学位研究生入学考试试题答案解析 (52)山东大学2016年招收硕士学位研究生入学考试试题答案解析 (59)山东大学2017年招收硕士学位研究生入学考试试题答案解析 (68)Ⅰ历年考研真题试卷山东大学2007年招收硕士学位研究生入学考试试题科目代码:651科目名称:数学分析(答案必须写在答卷纸上,写在试卷上无效)1.求()sin 0lim cot xx x →2.求222222222222(),: 1.Vx y z x y z dxdydz V a b c a b c ++++=⎰⎰⎰3.求211.n n n x ∞-=∑()0,1x ∈4.证明:20lim sin 0.n n xdx π→∞=⎰5.()()0,()f a f b f x ''==有二阶导数,证明:存在,ξ满足24()()().()f f b f a b a ξ''≥--6.22220(,)0,0.x y f x y x y +≠=+≠⎩,证明:(,)f x y 在(0,0)连续,有有界偏导数,x y f f ''在(0,0)不可微。
2007年研究生入学考试数学三试题一、选择题:1~10小题,每小题4分,共40分. 在每小题给出的四个选项中,只有一项符合题目要求,把所选项前的字母填在题后的括号内.(1)当0x +→时,与x 等价的无穷小量是(A )1ex- (B )ln1x- (C )11x +- (D )1cos x - [ ](2)设函数()f x 在0x =处连续,下列命题错误的是:(A )若0()limx f x x →存在,则(0)0f = (B )若0()()lim x f x f x x→+-存在,则(0)0f = .(B )若0()lim x f x x →存在,则(0)0f '= (D )若0()()lim x f x f x x→--存在,则(0)0f '=.[ ](3)如图,连续函数()y f x =在区间[][]3,2,2,3--上的图形分别是直径为1的上、下半圆周,在区间[][]2,0,0,2-的图形分别是直径为2的下、上半圆周,设0()()d xF x f t t =⎰,则下列结论正确的是:(A )3(3)(2)4F F =-- (B) 5(3)(2)4F F = (C )3(3)(2)4F F = (D )5(3)(2)4F F =-- [ ](4)设函数(,)f x y 连续,则二次积分1sin 2d (,)d xx f x y y ππ⎰⎰等于(A )10arcsin d (,)d yy f x y x ππ+⎰⎰(B )10arcsin d (,)d yy f x y x ππ-⎰⎰(C )1arcsin 02d (,)d yy f x y x ππ+⎰⎰ (D )1arcsin 02d (,)d yy f x y x ππ-⎰⎰(5)设某商品的需求函数为1602Q P =-,其中,Q P 分别表示需要量和价格,如果该商品需求弹性的绝对值(6)曲线()1ln 1e x y x=++的渐近线的条数为 (A )0. (B )1. (C )2. (D )3. [ ] (7)设向量组123,,ααα线性无关,则下列向量组线性相关的是线性相关,则 (A) 122331,,αααααα---(B) 122331,,αααααα+++(C) 1223312,2,2αααααα---.(D) 1223312,2,2αααααα+++. [ ](8)设矩阵211100121,010112000A B --⎛⎫⎛⎫ ⎪ ⎪=--= ⎪ ⎪ ⎪ ⎪--⎝⎭⎝⎭,则A 与B(A) 合同且相似(B )合同,但不相似.(C) 不合同,但相似. (D) 既不合同也不相似 [ ] (9)某人向同一目标独立重复射击,每次射击命中目标的概率为(01)p p <<,则此人第4次射击恰好第2次击中目标的概率为(A )23(1)p p -. (B )26(1)p p -.(C )223(1)p p -. (D )226(1)p p - [ ](10)设随机变量(),X Y 服从二维正态分布,且X 与Y 不相关,(),()X Y f x f y 分别表示,X Y 的概率密度,则在Y y =的条件下,X 的条件概率密度|(|)X Y f x y 为 (A) ()X f x . (B) ()Y f y . (C) ()()X Y f x f y . (D)()()X Y f x f y . [ ] 二、填空题:11~16小题,每小题4分,共24分. 把答案填在题中横线上.(11) 3231lim(sin cos )2x x x x x x x →+∞+++=+ __________. (12)设函数123y x =+,则()(0)n y =________. (13) 设(,)f u v 是二元可微函数,,y x z f x y ⎛⎫=⎪⎝⎭,则z zx y x y ∂∂-=∂∂ __________.(14)微分方程3d 1d 2y y y x x x ⎛⎫=- ⎪⎝⎭满足11x y==的特解为y =________.(15)设矩阵0100001000010000A ⎛⎫⎪⎪= ⎪⎪⎝⎭,则3A 的秩为 .(16)在区间()0,1中随机地取两个数,则这两个数之差的绝对值小于12的概率为 . 三、解答题:17~24小题,共86分. 解答应写出文字说明、证明过程或演算步骤.(17) (本题满分10分)设函数()y y x =由方程ln 0y y x y -+=确定,试判断曲线()y y x =在点(1,1)附近的凹凸性. (18) (本题满分11分)设二元函数2,||||1(,)1||||2x x y f x y x y ⎧+≤⎪=<+≤,计算二重积分D(,)d f x y σ⎰⎰,其中(){},||||2D x y x y =+≤.(19) (本题满分11分)设函数(),()f x g x 在[],a b 上连续,在(,)a b 内具有二阶导数且存在相等的最大值,()(),()()f a g a f b g b ==,证明:存在(,)a b ξ∈,使得()()f g ξξ''''=.(20) (本题满分10分)将函数21()34f x x x =--展开成1x -的幂级数,并指出其收敛区间.(21) (本题满分11分)设线性方程组123123212302040x x x x x ax x x a x ⎧++=⎪++=⎨⎪++=⎩与方程12321x x x a ++=-有公共解,求a 的值及所有公共解.(22) (本题满分11分)设三阶对称矩阵A 的特征向量值1231,2,2λλλ===-,T1(1,1,1)α=-是A 的属于1λ的一个特征向量,记534B A A E =-+,其中E 为3阶单位矩阵.(I )验证1α是矩阵B 的特征向量,并求B 的全部特征值与特征向量; (II )求矩阵B . (23) (本题满分11分)设二维随机变量(,)X Y 的概率密度为2,01,01(,)0,x y x y f x y --<<<<⎧=⎨⎩其他.(I )求{}2P X Y >;(II) 求Z X Y =+的概率密度.2007答案1….【分析】本题为等价无穷小的判定,利用定义或等价无穷小代换即可. 【详解】当0x +→时,1-:1:,211122x -=:, 故用排除法可得正确选项为(B ).事实上,000lim lim lim 1x x +++→→→==,或lnln(1)ln(1()x x o x o o =+-=+=:.所以应选(B )【评注】本题为关于无穷小量比较的基本题型,利用等价无穷小代换可简化计算. .2…….【分析】本题考查可导的极限定义及连续与可导的关系. 由于题设条件含有抽象函数,本题最简便的方法是用赋值法求解,即取符合题设条件的特殊函数()f x 去进行判断,然后选择正确选项.【详解】取()||f x x =,则0()()lim0x f x f x x→--=,但()f x 在0x =不可导,故选(D ).事实上,在(A),(B)两项中,因为分母的极限为0,所以分子的极限也必须为0,则可推得(0)0f =.在(C )中,0()limx f x x →存在,则00()(0)()(0)0,(0)lim lim 00x x f x f f x f f x x→→-'====-,所以(C)项正确,故选(D)【评注】对于题设条件含抽象函数或备选项为抽象函数形式结果以及数值型结果的选择题,用赋值法求解往往能收到奇效.3…….【分析】本题实质上是求分段函数的定积分. 【详解】利用定积分的几何意义,可得221113(3)12228F πππ⎛⎫=-= ⎪⎝⎭,211(2)222F ππ==,202202011(2)()d ()d ()d 122F f x x f x x f x x ππ---==-===⎰⎰⎰. 所以 33(3)(2)(2)44F F F ==-,故选(C ).【评注】本题属基本题型. 本题利用定积分的几何意义比较简便.4…….【分析】本题更换二次积分的积分次序,先根据二次积分确定积分区域,然后写出新的二次积分.【详解】由题设可知,,sin 12x x y ππ≤≤≤≤,则01,arcsin y y x ππ≤≤-≤≤,故应选(B ).【评注】本题为基础题型. 画图更易看出.5…….【分析】本题考查需求弹性的概念. 【详解】选(D ).商品需求弹性的绝对值等于d 2140d 1602Q P P P P Q P-⋅==⇒=-, 故选(D ).【评注】需掌握微积分在经济中的应用中的边际,弹性等概念.6…….【分析】利用曲线的渐近线的求解公式求出水平渐近线,垂直渐近线和斜渐近线,然后判断. 【详解】()()11lim lim ln 1e ,lim lim ln 1e 0xxx x x x y y x x →+∞→+∞→-∞→-∞⎡⎤⎡⎤=++=+∞=++=⎢⎥⎢⎥⎣⎦⎣⎦,所以 0y =是曲线的水平渐近线;()001lim lim ln 1e xx x y x→→⎡⎤=++=∞⎢⎥⎣⎦,所以0x =是曲线的垂直渐近线; ()()1e ln 1e ln 1e 1e lim lim 0lim lim 11xxx x x x x x y x x x x →+∞→+∞→+∞→+∞++++==+==,[]()1lim lim ln 1e0xx x b y x x x →+∞→+∞⎡⎤=-=++-=⎢⎥⎣⎦,所以y x =是曲线的斜渐近线. 故选(D ).【评注】本题为基本题型,应熟练掌握曲线的水平渐近线,垂直渐近线和斜渐近线的求法.注意当曲线存在水平渐近线时,斜渐近线不存在. 本题要注意e x当,x x →+∞→-∞时的极限不同.7……..【分析】本题考查由线性无关的向量组123,,ααα构造的另一向量组123,,βββ的线性相关性. 一般令()()123123,,,,A βββααα=,若0A =,则123,,βββ线性相关;若0A ≠,则123,,βββ线性无关. 但考虑到本题备选项的特征,可通过简单的线性运算得到正确选项.【详解】由()()()1223310αααααα-+-+-=可知应选(A ).或者因为()()122331123101,,,,110011ααααααααα-⎛⎫ ⎪---=- ⎪ ⎪-⎝⎭,而1011100011--=-, 所以122331,,αααααα---线性相关,故选(A ).【评注】本题也可用赋值法求解,如取()()()TTT1231,0,0,0,1,0,0,0,1ααα===,以此求出(A ),(B ),(C ),(D )中的向量并分别组成一个矩阵,然后利用矩阵的秩或行列式是否为零可立即得到正确选项.8……【分析】本题考查矩阵的合同关系与相似关系及其之间的联系,只要求得A 的特征值,并考虑到实对称矩阵A 必可经正交变换使之相似于对角阵,便可得到答案.【详解】 由2211121(3)112E A λλλλλλ--=-=--可得1233,0λλλ===,所以A 的特征值为3,3,0;而B 的特征值为1,1,0.所以A 与B 不相似,但是A 与B 的秩均为2,且正惯性指数都为2,所以A 与B 合同,故选(B ). 【评注】若矩阵A 与B 相似,则A 与B 具有相同的行列式,相同的秩和相同的特征值. 所以通过计算A 与B 的特征值可立即排除(A )(C ).9……..【分析】本题计算贝努里概型,即二项分布的概率. 关键要搞清所求事件中的成功次数. 【详解】p ={前三次仅有一次击中目标,第4次击中目标}12223(1)3(1)C p p p p p =-=-,故选(C ).【评注】本题属基本题型.10…….【分析】本题求随机变量的条件概率密度,利用X 与Y 的独立性和公式|(,)(|)()X Y Y f x y f x y f y =可求解. 【详解】因为(),X Y 服从二维正态分布,且X 与Y 不相关,所以X 与Y 独立,所以(,)()()X Y f x y f x f y =.故|()()(,)(|)()()()X Y X Y X Y Y f x f y f x y f x y f x f y f y ===,应选(A ).【评注】若(),X Y 服从二维正态分布,则X 与Y 不相关与X 与Y 独立是等价的.11….【分析】本题求类未定式,可利用“抓大头法”和无穷小乘以有界量仍为无穷小的结论.精选文库【详解】因为323233110222lim lim0,|sin cos |22112x x x x x x xx x x x x x x x →+∞→+∞++++===+<++, 所以3231lim(sin cos )02x x x x x x x →+∞+++=+. 【评注】无穷小的相关性质:(1) 有限个无穷小的代数和为无穷小; (2) 有限个无穷小的乘积为无穷小; (3) 无穷小与有界变量的乘积为无穷小.12,……..【分析】本题求函数的高阶导数,利用递推法或函数的麦克老林展开式.【详解】()212,2323y y x x '==-++,则()1(1)2!()(23)n n n n n y x x +-=+,故()1(1)2!(0)3n n n n n y +-=. 【评注】本题为基础题型.13…….【分析】本题为二元复合函数求偏导,直接利用公式即可. 【详解】利用求导公式可得1221z y f f x x y ∂''=-+∂, 1221z x f f y x y∂''=-∂, 所以122z z y x xy f f x y xy ⎛⎫∂∂''-=-- ⎪∂∂⎝⎭. 【评注】二元复合函数求偏导时,最好设出中间变量,注意计算的正确性.14…..【分析】本题为齐次方程的求解,可令y u x=. 【详解】令yu x=,则原方程变为 33d 1d d d 22u u x u x u u x u x+=-⇒=-.两边积分得 2111ln ln 222x C u -=--, 即222111e e y u x x x C C=⇒=,将11x y==代入左式得 e C =,故满足条件的方程的特解为 22e e x y x =,即y =,1e x ->.【评注】本题为基础题型.15……….【分析】先将3A 求出,然后利用定义判断其秩.【详解】30100000100100000()10001000000000000A A r A ⎛⎫⎛⎫⎪⎪⎪⎪=⇒=⇒= ⎪⎪ ⎪⎪⎝⎭⎝⎭. 【评注】本题为基础题型.16……….【分析】根据题意可得两个随机变量服从区间()0,1上的均匀分布,利用几何概型计算较为简便.【详解】利用几何概型计算. 图如下:所求概率2113214A D S S ⎛⎫- ⎪⎝⎭===.【评注】本题也可先写出两个随机变量的概率密度,然后利用它们的独立性求得所求概率.17……..【分析】由凹凸性判别方法和隐函数的求导可得.【详解】 方程 ln 0y y x y -+=两边对x 求导得ln 10y y y yy y'''+-+=, 即(2ln )1y y '+=,则1(1)2y '=.上式两边再对x 求导得()2(2ln )0y y y y'''++=则1(1)8y ''=-,所以曲线()y y x =在点(1,1)附近是凸的.【评注】本题为基础题型.18…….【分析】由于积分区域关于,x y 轴均对称,所以利用二重积分的对称性结论简化所求积分. 【详解】因为被积函数关于,x y 均为偶函数,且积分区域关于,x y 轴均对称,所以1DD (,)d (,)d f x y f x y σσ=⎰⎰⎰⎰,其中1D 为D 在第一象限内的部分.而12D 1,0,012,0,(,)d d x y x y x y x y f x y x σσσ+≤≥≥≤+≤≥≥=+⎰⎰⎰⎰⎰⎰1122220110d d d d xx x x x x y x y x y ---⎛⎫ ⎪=++ ⎪⎝⎭⎰⎰⎰⎰⎰⎰(1112=. 所以(D1(,)d 13f x y σ=++⎰⎰.【评注】被积函数包含22y x +时, 可考虑用极坐标,解答如下:1210,00,0(,)d x y x y x y x y f x y σσ≤+≤≤+≤>>>>=⎰⎰⎰⎰22sin cos 10sin cos d d r πθθθθθ++=⎰⎰=+..19…….【分析】由所证结论()()f g ξξ''''=可联想到构造辅助函数()()()F x f x g x =-,然后根据题设条件利用罗尔定理证明.【详解】令()()()F x f x g x =-,则()F x 在[],a b 上连续,在(,)a b 内具有二阶导数且()()0F a F b ==.(1)若(),()f x g x 在(,)a b 内同一点c 取得最大值,则()()()0f c g c F c =⇒=, 于是由罗尔定理可得,存在12(,),(,)a c c b ξξ∈∈,使得12()()0F F ξξ''==.再利用罗尔定理,可得 存在12(,)ξξξ∈,使得()0F ξ''=,即()()f g ξξ''''=. (2)若(),()f x g x 在(,)a b 内不同点12,c c 取得最大值,则12()()f c g c M ==,于是 111222()()()0,()()()0F c f c g c F c f c g c =->=-<, 于是由零值定理可得,存在312(,)c c c ∈,使得3()0F c = 于是由罗尔定理可得,存在1323(,),(,)a c c b ξξ∈∈,使得12()()0F F ξξ''==.再利用罗尔定理,可得 ,存在12(,)ξξξ∈,使得()0F ξ''=,即()()f g ξξ''''=. 【评注】对命题为()()0n fξ=的证明,一般利用以下两种方法:方法一:验证ξ为(1)()n fx -的最值或极值点,利用极值存在的必要条件或费尔马定理可得证;方法二:验证(1)()n fx -在包含x ξ=于其内的区间上满足罗尔定理条件..20….【分析】本题考查函数的幂级数展开,利用间接法. 【详解】211111()34(4)(1)541f x x x x x x x ⎛⎫===- ⎪---+-+⎝⎭,而10011111(1),2414333313nnn n n x x x x x ∞∞+==--⎛⎫=-⋅=-=--<< ⎪--⎝⎭-∑∑, 10011111(1)(1),1311222212nn nn n n x x x x x ∞∞+==---⎛⎫=⋅=-=-<< ⎪-+⎝⎭+∑∑ , 所以 1111000(1)(1)(1)1(1)()(1)3232n n n n nn n n n n n n x x f x x ∞∞∞++++===⎡⎤----=-+=-+-⎢⎥⎣⎦∑∑∑, 收敛区间为 13x -<<.【评注】请记住常见函数的幂级数展开.21…..【分析】将方程组和方程合并,然后利用非齐次线性方程有解的判定条件求得a . 【详解】将方程组和方程合并,后可得线性方程组12312321231230204021x x x x x ax x x a x x x x a ++=⎧⎪++=⎪⎨++=⎪⎪++=-⎩ 其系数矩阵22111011101200110140031012110101a a A a a a a ⎛⎫⎛⎫ ⎪ ⎪-⎪ ⎪=→ ⎪ ⎪- ⎪ ⎪--⎝⎭⎝⎭. 21110111001100110003200011001100(1)(2)0a a a a a a a a a a ⎛⎫⎛⎫⎪⎪-- ⎪ ⎪→→⎪ ⎪-+-- ⎪⎪----⎝⎭⎝⎭.显然,当1,2a a ≠≠时无公共解. 当1a =时,可求得公共解为 ()T1,0,1k ξ=-,k 为任意常数; 当2a =时,可求得公共解为()T0,1,1ξ=-.【评注】本题为基础题型,考查非齐次线性方程组解的判定和结构.22……【分析】本题考查实对称矩阵特征值和特征向量的概念和性质. 【详解】(I )()()5353531111111111144412B A A Eααλαλααλλαα=-+=-+=-+=-,则1α是矩阵B 的属于-2的特征向量. 同理可得 ()532222241B αλλαα=-+=,()533333341B αλλαα=-+=.所以B 的全部特征值为2,1,1设B 的属于1的特征向量为T2123(,,)x x x α=,显然B 为对称矩阵,所以根据不同特征值所对应的特征向量正交,可得T 120αα=.即 1230x x x -+=,解方程组可得B 的属于1的特征向量T T212(1,0,1)(0,1,0)k k α=-+,其中12,k k 为不全为零的任意常数. 由前可知B 的属于-2的特征向量为 T3(1,1,1)k -,其中3k 不为零.(II )令101011101P ⎛⎫ ⎪=- ⎪ ⎪-⎝⎭,由(Ⅰ)可得-1100010002P BP ⎛⎫ ⎪= ⎪ ⎪-⎝⎭,则011101110B -⎛⎫⎪= ⎪ ⎪-⎝⎭.【评注】本题主要考查求抽象矩阵的特征值和特征向量,此类问题一般用定义求解,要想方设法将题设条件转化为Ax x λ=的形式. 请记住以下结论:(1)设λ是方阵A 的特征值,则21*,,,(),,kA aA bE A f A A A -+分别有特征值 21,,,(),,(Ak a b f A λλλλλλ+可逆),且对应的特征向量是相同的.(2)对实对称矩阵来讲,不同特征值所对应的特征向量一定是正交的23…….【分析】(I )可化为二重积分计算; (II) 利用卷积公式可得. 【详解】(I ){}()()12002722d d d 2d 24xx yP X Y x y x y x x y y >>=--=--=⎰⎰⎰⎰. (II) 利用卷积公式可得 ()(,)d Z f z f x z x x +∞-∞=-⎰20121(2)d ,01201(2)d ,12(2)120,0,z z x x z z z z x x z z z -⎧-<<⎪⎧-<<⎪⎪=-<<=-≤<⎨⎨⎪⎪⎩⎪⎩⎰⎰其他其他.【评注】 (II)也可先求出分布函数,然后求导得概率密度..(24) (本题满分11分)设总体X 的概率密度为1,021(),12(1)0,x f x x θθθθ⎧<<⎪⎪⎪=≤<⎨-⎪⎪⎪⎩其他12(,,X X …,)n X 为来自总体X 的简单随机样本,X 是样本均值.精选文库(I )求参数θ的矩估计量θ);(II )判断24X 是否为2θ的无偏估计量,并说明理由.【分析】利用EX X =求(I );判断()?224E X θ=.【详解】(I )()101()d d d 22124x x EX xf x x x x θθθθθ+∞-∞==+=+-⎰⎰⎰,令112242X X θθ=+⇒=-). (II )()()()()222214444E XE X DX EX DX EX n ⎡⎤⎡⎤==+=+⎢⎥⎣⎦⎣⎦, 而()2221221()d d d 221336x x EX x f x x x x θθθθθθ+∞-∞==+=++-⎰⎰⎰,所以 ()2225121248DX EX EX θθ=-=-+, 所以()()222211115441133412E X DX EX n n n n θθθ⎡⎤⎛⎫⎛⎫⎛⎫=+=++-++≠ ⎪ ⎪ ⎪⎢⎥⎣⎦⎝⎭⎝⎭⎝⎭,故24X 不是2θ的无偏估计量.【评注】要熟练掌握总体未知参数点估计的矩估计法,最大似然估计法和区间估计法.。
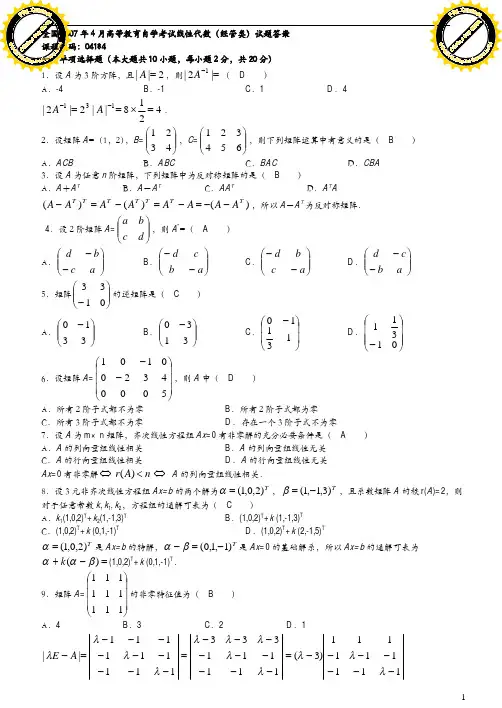
2007 04184 10 20 A 2|| A |2|1A D-4B -1C 1D 44218||2|2|131 A A A B = 4321 C =654321 BACB ABC BACCBAA n BA A TA A T AA TA T A )()()(T T T T T T T A A A A A A A A A A T 4 A =d c b a A * Aa cb d B a bcd Ca cb d Da b c d0133 C3310 B 3130 C 13110 D01311 A =500043200101 A D BDA m×n Ax =0 A AB A A D AAx =0 n A r )( AAx=b T )2,0,1(T )3,1,1( A r(A )=2k , k 1, k 2 Ck 1(1,0,2)T +k 2(1,-1,3)T B (1,0,2)T +k (1,-1,3)T (1,0,2)T +k (0,1,-1)T D (1,0,2)T +k (2,-1,5)TT )2,0,1( Ax=b T )1,1,0( Ax =0 Ax=b )( k (1,0,2)T +k (0,1,-1)TA =111111111 B4B 3C 2D 1111111111)3(111111333111111111||A El i w.t r a c k e r -s o f tw a r e C ck t o b u y NOW !w w.co m10 413121214321222),,,(x x x x x x x x x x x f C4B 3C 2D 1000000001110000100000000000111100001000100011111A10 2011 ,3,2,1,0 i b a i i 332313322212312111b a b a b a b a b a b a b a b a b a =__0__ 12 A =4321 |A T A |=__4__ 4)2(4321||||||||222A A A A A T T1300333232131323222121313212111x a x a x a x a x a x a x a x a x a __0__14 A =100020101E A B B r(B )= __2__ E A B =000010100 r(B )=215 V={x =(x 1,x 2,0)|x 1,x 2 __2__ 16 )3,2,1()1,2,3( ),( =__10__17 A 4×3 Ax =0 A r(A )= __3__18 Ax =b A1)1(0021201321a a a A a __0__0 a 2)( A r 3)( A r19 ),,(321x x x f 232221y y y3 r 2 k 123 k r 232221y y y20 A =300021011a a 1 a54217673679492493231230760300940200320100767367949249323123 22 A =523012101 1A100010001523012101103012001220210101127012001200210101 127012002200210202 1271151252000100022/112/71152/112/5100010001 1A2/112/71152/112/5 23 T )1,2,1,1(1 T )2,4,2,2(2 T )1,6,0,3(3 T)4,0,3,0(4),,,(4321 41210642302103214440000033000321 0000330044400321 0000110011100321 00001100001030210000110000103001321,, 4 321032400543321521x x x x x x x x x111000*********A 11100101001001101000101001001101000101001001155453225210x x x x x x x x x x 0001110101T T k k )1,0,1,0,1()0,0,0,1,1(2125 A =1221 P AP P 1)3)(1(324)1(1221||22A E11 3211 0)( x A E00112222A E 2221x x x x11121211121||1111 32 0)( x A E00112222A E 2221x x x x11221211121||122221212121P P30011AP P 26 0011101012001111012/12/10011210101||),(1211222l i w.t r a ck e r -s o f t w a r e C ckt o b u y NOW !w w.co m00 0027 A 1A332322131211000a a a a a a A3323133222123121111||1||1A A A A A A A A A A A A A 000332312a a A 00002213 a A 000121123 a a A3332223121111||1A A A A A A A A 2007 10 0418410 20 2211b a b a =1 2211c a c a =2 222111c b a c b a D -3B -1C 1D 3222111c b a c b a =2211b a b a +2211c a c a =1+2=3 A 2|2| A ||A B -1B 41C41 D 12|2| A 2||)2(3 A 41|| AA B C TABC )( B A T B T C T B C T B T A T C T A T B T D A T C T B TA4321)2(1A A D 2 4321B 432121C 214321 D 14321214321)2(1A 143212 A 1432121A s ,,,21 C s ,,,21 s ,,,21s ,,,21 s ,,,21A m×n Ax= A AB AA D AAx= n A r )( A21, Ax =b 21, Ax =0 1,C Ax =b A)()(212121121 C C B )()(212121121 C C )()(212121121 C C D )()(212121121 C C)(2121 Ax =b 211, Ax =0 A B A 2,2,3 ||1B A121B 71C 7D 12B300020002 12300020002|| B 121||||11 B BA 0|23| E A AB 23B 32C 32D 230|23| E A 032 A E A 3210312123222132142),,(x x x x x x x x x x f C104012421 B 100010421 C 102011211 D 12021101110 2011 A = 100012021 B = 310120001 A+2B =72025202312 A =002520310 1)(T A 002/1130250 ),(E A T10001000105302120000110001020*******001130010200010021001130250200010001002/1130250100010001 1)(T A002/1130250 13 A = 333022001 A *A =600060006l i w.t ra ck e r -s o f t w ar eC c k t ob uy NOW !w w .co m14 A m ×n C n A B =AC __r__B =AC C A B15 )1,1,1(31,31,31 16 T )1,1,1(1T )0,1,1(2 T )0,0,1(3 T )1,1,0( 321,,3210332211 k k k 001011111110321k k k110121321k k k k k k101321k k k 17320320321321321x x x ax x x x x x a =__2__02412141121200132132111a a a a 2 a18 A n A 1)2( A41 2 A 41)2(11)2( A 19 A =a a a 000103 a 30 a031 031322a a a0)3(00010323 a a aa a 30 a 202221212122),(x x x x x x f __2__301112111112A54211111112113114111630010201001100010001001102013001111111211311411122 )4,3,2,1()0,2,1,1( T ),(08440633042202110,2,1,14321 T50621),(23 A 21211b b a a A10211P 01102P 21AP P B 1B102111P011012P 111121P A P B =0110 2121b b a a 1021=2121a a b b 1021=12112122a a a b b b 24 T )3,1,1,1(1 T )1,5,3,1(2 T )4,1,2,3(3 T )2,10,6,2(4),,,(432124131015162312311 854012460412023110700070041202311 0000070041202311 0000010041202311 000001004020201100000100201020110000010020100001 321,,25223321321321ax x x x ax x a x x xa2112113111),(a a a b Aa a a a a 110010103111 1 a1 a ),(b A 00000000211133223212x x x x x x x10101100221k kl i w.t r a ck e r -s o f t w a r e C ckt ob uy NOW !w w.c o m26 A =011101110 110111)2(1111111)2(1212112111111||A E)2()1(221 132 21 0)( x A E000330211330330211112121211211121112A E000110101000110211333231xx x x x x 111 k k132 0)( x A E000000111111111111A E3322321x x x x x x x0111 10122211 k k 21,k k27 A n 0)(2 E A A0)(2E A 022 E A A E A A )2(2 E A E A )2(A )2(1E A A2007 0418410 20A |A |=21|A -1|= A -2 B 21 C21D 2A n ||A C||AB ||||AC ||A nD ||||A nA nB =A +A T A B T =BB B =2AB BTD B =0B A A A A A A A A B T T T T T T T T )()(A =1111 A * D1111 B 1111 C 1111 D 1111 Cl i w.t r a ck e r -s o f t w ar e C ckt o b u y NOW !w w.co m0001 B100101110 C101010001 D001300010)0,1,1(1 t )0,2,1(2 )1,0,0(23 ttBB 1C 2D 30)1)(1(2111)1(1021011222 t t t t t t 1 tA 4×5 (A )=3 DA 0B A A 0 D A A 021 23 (A )= B 0B 1C 2D 3A200000000D (A )= (D )=1 A n ||2A C -2B -1C 1D 2A E A A T22||||A A 1|||||| A A A A TT10 2.2),,(y x z y x f p BB 1C 2D 310 20 11 A =1121 ||TAA __1__ 1)1(1121||||||||22A A A AA T T121694432111 )2,3( 32A __-2__2421132A13 A =21 B =21 B A T__5__ 521)2,1(B A T1432125 )1,4,3(1 )3,0,1(2 )5,2,0( 3211,1,1211,1,1)11,2,2(21)]3,0,1(5)1,4,3()5,2,0[(213 l i w.t r a c k e r -s o f t w a r e C ck t o b u y NOW !w w.co m15 A =613101 =__2__ 613101 603001003001 =2 16 )1,1,1(1 )0,2,1(2 )0,0,3(3 3R )3,7,8()1,2,3(332211 x x x )0,0,3()0,2,1()1,1,1()3,7,8(321x x x37283121321x x x x x x123321x x x 170202121tx x x x t =__2__02211 t t2 t18 T )1,3,1(T )4,2,1( ),( __1__19 A =x 01010101 x =__1__A 0|| A 0111101010101 x xx1 x20 323121232221321822532),,(x x x x x x x x x x x x f541431112 5421 D=2101210124)26(21232112123021012101222 A = 3512 B =0231 XA =B X252610022501101220016101210013512),(E A25131001 25131A 26512251302311BA X l i w.t r a ck e r -s o f t w ar e C ckt o b u y NOW !w w.co m23 A =a 363124843121 a (A )=1 (A )=2 a 363124843121 900000003121a000090003121a 9 a (A )=1 9 a (A )=224 1 = 111 2 = 531 3 = 626 4 =542),,,(4321 565142312611 3126028402611142014202611000014202611 0000142041222 00001420580200002/12102/5401 1 ,225362232234232132321x x x x x x x x 362232203421),(b A 322032203421 000032203421000032200201 00002/31100201 333231232x x x x x x11202/30k261630310104A P D D AP P 1 2)1)(2(31104)1(1630310104|| A E21 13221 0)( x A E00013050300013001531300000511210510513630510102A El i w.t r a ck e r -s o f t w ar e C ckt o b u y NOW !w w.co m000333x x 1 132 0)( x A E0000000210210210210630210105A E3322212x x x x x x0122 1003101013/1023/5P 100010002D P D AP P 127 1 ,2 211 21202211 k k 0)()(212211 k k 0)()(221121 k k k k1 ,2002121k k k k 021111 1 ,2365, !2008 0418410 201. ,2 AA A T 3 D A.-108 B.-12 C.12 D.1082.0404033232321kx x x x x kx x k= B A.-2 B.-1 C.1 D.23. DA.AB=BAB.111B A B AC.BA B A D.T T T B A B A4.,2 A*A C A.2 B.4 C.8 D.125.1 =2 = ( B )A. B. -3 C. D. 0,-1,06. 1 2 s s(s 2 C A. 1 2 s B. 1 … sC. 1 …D. 1 … s7. m n AX=0 C A.A B.A C.A D.A8. D A.BA B.C. P-1AP=BD. E-A= E-B9. A=200010001 A A.100020001 B.200010011 C.200011001 D. 100020101 10.,x x x )x ,x ,x (f 232221321 )x ,x ,x (f 321 C A. B. C. D.10 2011.,0211k k=_______1/2____.12. A=411023,B=,010201 AB=___326010142________.13. A=220010002, A-1=2110010002114. 33 A x=0 (A)= _____1______. 15. -2, B=A 2+2E ___6_________.l i w.t r a ck e r -s o f t w ar e C ck t o b u y NOW !w w.co m16. 0x x x 321 _____ __ c 1 011_+__ c 2 _101_.17. 1 =(1,0,0) 2 =(1,1,0), 3 =(-5,2,0) _______2____.18. A=200020002 112233c c c . 19. -2,1,1,B2=__-16_________.20. A= 3010121212221231213342x x x x x x x . 5421.1002210002100021 .1002210002100021=151500021000210002122. A=101111123 A 1 . A1=211211102112123. A=200200011,B=300220011 A,B,X (E-B 1 A).E X B T T X,X .1 (E-B1A).E X B T T()T TB A E X X= ()T TB A 1 =10021002001l i w.t ra ck e r -s o f t w ar eC ck t ob uy NOW !w w .co mX 1 =()T T B A =20002000124. 1 =(1,-1,2,4) 2 =(0,3,1,2), 3 =(3,0,7,14), 4 =(2,1,5,6), 5 =(1,-1,2,0) .10321103011301101101217520001142146000001 2 425.12x x 3x 3x 4x 523x 6x 2x 2x 2x 3x x x 2x 37x x x x x 54321543254321543211111171001516321132000000012262301026235433112001000145245351623260X X X X X X X12(16,23,0,0,0)(15,21,0,1,0)(11,17,0,0,1)T T T k k26. A=020212022 AP P 1 . AP P 1 =400010002 P=122212221 1 P =T P 122212221,627. 3 A x =0 . 1+ 1 + 2 + Ax =02008 0418410 20l i w.t r a ck e r -s o f t w a r e C ckt o b u y NOW !w w.co mD 1=620222555333231232221131211333131232121131111D a a a a a a a a a a a a a a a a a ad b a 04=32c b a C 3,1,1,3 d c b aB 3,1,3,1 d c b a 3,0,1,3 d c b aD 3,0,3,1 d c b a 3,0,4,2 d c b a b a 3,0,1,3 d c b aA A B000000111 B 000110111 C 000222111 D 333222111A n 2 n |5|A A||)5(A n||5A C ||5A ||5A nA = 4321||A B -4B -2C 2D 424321||||||121A A A ns ,,,21 2 s D s ,,,21 s ,,,21s ,,,21 1 ss ,,,21 1 s b Ax A 1 ,2 ,3 T )4,0,2(21 T )1,2,1(31k b Ax D T T k )1,2,1()2,0,1(B T Tk )4,0,2()1,2,1(T Tk )1,2,1()4,0,2( D TT k )3,2,1()2,0,1(b Ax T)2,0,1()(21210 Ax T )3,2,1()()(312132 A 2,1,1 D A E B A E C A E 2D A E 2 2 A 0|2| A E A E 2=2 A 12)( A A41 B21C 2D 41B 2C 3D 400001100001000011100110000100001A10 2011332313322212312111b a b a b a b a b a b a b a b a b a =__0__ 12 A =4321 P = 1011 T AP4723 T AP 43211101=4723 13 A =111110100 1A 001011110100010001111110100 001010100100110111 001011101100010011001011110100010001 14 A =54332221t Ax =0 t =__2__02121412014022154332221|| t t t t A 2 t15 2111 1212113t t =__-2__11212111t 123013011t t t 20013011t t t 2 t 16 T )3,0,1,2(T k ),1,2,1( k =322),( 23022 k 3/2 k17 Tb21,21, b =__0__18 =0 A =222222A __4__ 021 220321 4319 32212322213212452),,(x x x x x x x x x x f510122021 20232221321)2()1()1(),,(x k x k x k x x x f k 2 k020101k k k211k k k 2 k 5421 D =400103010021111122021*******11122002100111011113110121011101111400103010021111122 A = 210011101 B =410011103A 1A B AX100010001210011101 100011001210110101111011001100110101111122112100010001 111122112100010001 1 A =111122112B A X 1111122112 410011103=322234225 23 )1,1,1,1( )1,1,1,1( TA 2ATA =)1,1,1,1(1111 11111111111111112A = 111111*********1 1111111111111111=4444444444444444 24 T)4,2,1,1(1 T )2,1,3,0(2 T )14,7,0,3(3 T )0,2,1,1(401424271210311301),,,(4321 42200110033013012110011001101301 200000000110130110000000011013010000100001101301 421,, 34210325ax x x x x x x x 32132131522312a),(b A a 51223111201 211011101201a300011101201a 3 a 3 a3 a ),(b A 000011101201333231121x x x x x x 112011k26 A =2178 A A P AP P 1)9)(1(9102178||2A E 11 92 11 0)( x A E00111177A E 2221x x x x11111 k 1k92 0)( x A E00717171A E 22217x x x x17222 k 2k1171P 9001 P AP P 1l i w.t r a c k e r -s o f t wa r e C ck t o b u y NOW !w w.co m27 n A A A 2A E 2 A E A E 2)2(1A A2E A A E A A E A E A E 4444)2)(2(2 A E 2A E A E 2)2(12008 0418410 20 ],,[321 A i 3,2,1 i A 2|| A|],,3[|||3221 B C -2B 0C 2D 6333231232221131211||a a a a a a a a a A 2||333||333232312322222113121211A a a a a a a a a a a a aB 02121x kx x x k A-1B 0C 1D 201111||k k A 1 k A B C ||||||B A AB B 111)( A B AB 111)(B A B A D T T TA B AB )(1001A 1001B A 2|| A |)(|1A A41 B 1C 2D 441||1||1||1|)(|211 A A A A nA 4321,,, 432,,B 4321,,, B 4321,,, 1 432,, D 43,s ,,,21 r s r C s ,,,21 B s ,,,21 r s ,,,21 r +1 D s ,,,21 r -1 A B DA ,B B A ,B E B E A D ||||B A21, b Ax 0 Ax B 1 0Ax B )(21 0 Ax 21 b Ax D 21 b Ax 00)]([2121 b b A A A A )1,1,1( D l i w.t ra ck e r -s o f t w ar eC ck t ob uy NOW !w w .c o m)1,1,1(1 B )1,1,1(2C )1,1,1(3D )1,1,0(40110),(4 102111A Ax x x x f T),(21 B B C D2111A 011 0121112A A10 2011 A 3||A |2|A __24__2438||2|2|3 A A12 )3,2,1(|| T __0__963642321)3,2,1(321 T || T 096364232113 200030021AA300020046 6200311A 0200012 A 0003013 A4200221 A 2200122 A 0002123 A0030231A 0000132 A 3302133A 14 A 4×5 (A )=2 0 Ax __3__ 325 r n15 )2,0,1(1 )7,0,3(2 )6,0,2(3 321,, __2__0001002011001002011000130020160270320116 1321 x x x T T Tk k )1,0,1()0,1,1()0,0,1(2133223211x x x x x x x 10101100121k k 17 A 032A A E 1A )(31E A032 A A E E A E A )(31 1A )(31E A18 A 3,2,1 ||E A __24__A 3,2,1 E A 4,3,2 ||E A 2443219 2),(2 ),2( __-8__8222||||),(2),(),2(),2(22l i w.t r a ck e r -s o f t w ar eC c k t ob uy NOW !w w .co m20221201113A 323121232132142223),,(x x x x x x x x x x x f 542110020001000000100020010000000300002110200010000001000200100000003000021 4102000100020100000030002141200210000030021 21202100023 *******2216223152A3421B 2512C X C B AX X10013152],[E A 01105231 211010312153100121531001 1A 2153BC 2512 3421= 1111 )(1B C A X 21531111=3182 23 )3,1,2,1(1 )6,5,1,4(2 )7,4,3,1(3),,(321TT T763451312141 10180590590141000000590141 0000005909369 00000059011090000009/5109/1101 21,24 b a ,3)2(321132132321b x a x x x x x x xl i w.t r a c k e r -s o f t w ar e C ckt o b u y NOW !w w.co m),(b A 323211101111b a 11011101111b ab a 10011101111 0,1 b a),(b A 000011101111 00001110020133323112x x x x x x 112010k2511713A)10)(4(401411713||2A E41 10241 0)( x A E00117711A E 2221x x x x11111 k 1k102 0)( x A E007/1100171717A E222171x x x x 17/1222 k 2k 262112A nA )3)(1(342112||2A E 11 32 11 0)( x A E001100111111A E 2221x x x x111 32 0)( x A E00111111A E 2221x x x x 1121111P 3001D111121212121211P D AP P 1 1 PDP A 1111)())(( P PD PDP PDP PDP A n n111121n 3001 1111n n 313121 1111n n n n 313131312127 0 Ax b Ax 0 b021 k k 0)(21 k k A 021 A k A k 0021 b k k 02 k 01 k 0 01 k l i w.t r a ck e r -s o f t w ar e C ckt o b u y NOW !w w.co m-9B -3C -1D 93131 A 31||313A 9|| A AB n 22B A DB AB B AC ||||B AD 22||||B AA = 1011B =1101 BA AB A1201B 1011 C1001D0000 BA AB 10111101 1101 1011= 11120111= 1201A A D0000 B 0001 C 0011D 1011 ),,(),,,(22221111c b a c b a ),,,(),,,,(2222211111d c b a d c b aB21, 21, 21, 21, 21, 21, 21, 21,132,121 Ax =0 A A)1,3,5( B112135 C 712321 D135221121 )1,3,5( 0121)1,3,5( 0132m ×n A r (A )=n -3 n >3 ,, Ax =0Ax =0 D,, B ,, C ,, D ,,,,A D =100010001 2A C AB DED EP D AP P11 PDP A E PP PEP P PD A 11122 A =001010100 A D0 B -1 1 C 1 D -1 -1)1()1()1)(1(11)1(0101010||22A E10 A n 2 n E A 2CA 1B A EA nD A 11||2 A 0|| A A n10 2011011103212 aa =__3__ 0)3(3323111103203111103212a a a a 3 a1202022121kx x x x k = __4__04221 k k4 k 13 A = 311102 B =753240 B A T19119753333 B A T311012753240= 19119753333 144212,0510,2001321t t =__3__000300110201000250110201402250110201t t t 3 t 15 )1,21,1,2( __5/2__16 )3,2,1(1 )6,5,4(2 )3,3,3(3 321,, 321,,__2__ l i w.t r a ck e r -s o f t w a r e C ckt o b u y NOW !w w.co m000630321630630321333654321 17 A 3,2,1||A __36__||A 36)321(||||221 A A n18 A 0,3321 r (A )= __2__A000030003 r (A )=219 A = 314122421 f =32312123222128432x x x x x x x x x 20 A =1002 Ax x T 2221y y222122212y y x x Ax x T 21x y 122x y5421 D =50210113210143219325310027126412227121641300012221502101132101432124)1527(29353222 A =2141 B = 1102 C =1013 X AXB =C X ),(E A 10012141 11016041 110360123112160036/16/13/23/16001 1A6/16/13/23/1)(E B 10011102 20012202 2101200212/102/11001 1B12/102/1 11CB A X6/16/13/23/1 1013 12/102/1= 114212110132101 = 03661212101= 031212121=04/111 l i w.t r a ck e r -s o f t w ar e C ck t o b u y NOW !w w.co m23 T )2,1,3( T )2,1,1(1 T )1,3,1(2 T )1,1,1(3332211 x x x T T T Tx x x )1,1,1()1,3,1()2,1,1()2,1,3(32122133321321321x x x x x x x x x A 211211313111413040403111413010103111 110010103111 110010103111110010102011110010101001 11 x 12 x 13 x321,, )1,1,1( 32124 321,, 311 32222 3213352321,, 0332211 k k k0)352()22()(3213322311 k k k 0)32()52()2(3321232131 k k k k k k k 321,,32052023213231k k k k k k k05252321520520321520201 321,,25322321321321 x x x x x x x x x),(b A 3112112113311001102112)1(3)2)(1(0001102112 2 1 11 ),(b A 00000000211133223212x x x x x x x10101100221k k l i w .t ra ck e r -s o f t w ar eC ck t ob uy NOW !w w .co m26 A = 111111111 P AP P 1111111111)3(113113113111111111|| A E)3(010101)3(2021 33021 0)( x A E000000111111111111A E3322321x x x x x x x0111 10121011112/12/101121101||),(1211222 02/12/101121||1111 6/26/16/112/12/162||122233 0)( x A E000330112330330112422242112211121112A E000110101000110202000110112333231x x x x x x 11133/13/13/111131||13333/16/203/16/12/13/16/12/1P300000000 P AP P 127 Ax =b r ,,,21 Ax =0r ,,,,2102211 r r k k k k 0)(2211 r r k k k k A 02211 r r A k A k A k kA 000021 r k k k kb 0 kbl i w.t r a ck e r -s o f t w ar e C ckt o b u y NOW !w w.co m0 b0 k ---------------------------------02211 r r k k k r ,,,21021 r k k k -------------- r ,,,,212009 0418410 204284103520z y x z y x z y x A2,0,2 z y x B 0,2,2 z y x 2,2,0 z y x D 1,0,1 z y x42841035201112100001020013421A A A B1423 B 1423 C 1243 D 1243 A 45 A =4 TA 5 C2B 3C 4D 5B A , n m k m A ),(B A CB DA A =3 0 Ax A 2B 3C 4D 55 n A 3 r 2 r nn m A 1 n 21, 0 Ax 0 AxD1 k R k B2 k R k C 21 k R k D )(21 k R k0 Ax21, 21 )(21 k R k b x A n m A =r r =m b Ax B r =n b Ax m =n b Ax D r <n b Ax r =m m A r b A r )(),( b Ax3000130011201111A A Cl i w.t ra ck e r -s o f t w ar eC c k t ob uy NOW !w w .co m1B 2C 3D 411 22343 11 22 343 0)( x A EA E0000100011101112 134 r n )2,2,1,4( B31B 51C 91D2515|||| 51||||110 22212135),(x x x x f D2221y y B 2221y y C 2221y y D 2221y y10 2011313522001_______________ 1315231352200112 )0,1,3( A530412B AB _______________AB )3,2(13 A 2||T A |3|A _______________|3|A 54227||27||)3(3 T A A14 )9,7,5,3( )0,2,5,1( _______________ )9,5,0,4()9,7,5,3()0,2,5,1(15333231232221131211a a a a a a a a a A000333232131323222121313212111x a x a x a x a x a x a x a x a x a_______________0|| A 0 Ax 0321 x x x16 b Ax642002101012001 _______________ ),(b A 321002*********4443424123221x x x x x x x x TT k )1,2,1,2()0,3,2,1( l i w .t ra ck e r -s o f t w ar e C ck t ob uy NOW !w w .c o m18 )1,2,1( ),1,0(y y _______________ 0),( 02 y 2 y19 ),,,(4321x x x x f 2423222123x x x x _______________20 ),,(321x x x f 32312123222142244x x x x x x x x x_______________4212411 A 011 D 0)2)(2(44122D 3122)2(322)2)(2(3224011421241123D0)1)(2(4 0)1)(2(0)2)(2(1222 125421 5333353333533335D112814200002000020333114533143531433514333145333353333533335D222/100110011A 011021B B AX X 1000100012/100110011).(E A 200010001100110011200210001100010011 200210211100010001200210211100010001 2002102111AB A X 1 20021021101102102123123100042853A030095201201B AB024253100042853||A AB AB24 )2,3,4,1(1 )1,4,5,2(2 )3,7,9,3(3379314522341321 323032302341000032302341 321,,25553204420432143214321x x x x x x x x x x x x553244211111A 331033101111 00003310111100003310220144334324313322x x x x x x x x x x 0132110322 26210120001A P AP P 1A||A E )34)(1(2112)1(2101200012)3()1(2121 33121 0)( x A EA E 110110000 000000110333211x x x x x x 0011p 1102p33 0)( x A EA E 110110002 000110001333210xx x x x 1103p110110001P P3000100011AP Pl i w.t r a ck e r -s o f t w ar e C ck t o b u y NOW !w w.co m27 321,, 211 322 133 321,0332211 k k k0)()()(133322211 k k k 0)()()(332221131 k k k k k k 321,,000322131k k k k k k021111110110101110011101||A0321 k k k 321,, 2009 10 2011101110|| ij a 21a 21A C 2B 1C 1D 21011121A22211211a a a a A121112221121a a a a a a B01101P 11012P A B A P P 21 B B A P P 12 C B P AP 21 D B P AP 12 1101011021A P P22211211222112110111a a a a a a a a B a a a a a a121112221121 n A B C E ABC 1B D11CA B 11A CC ACD CAE ABC E A B C 111CA B 1000100010A 2A BB 1C 2D 32A000000100000100010000100010 2A4321,,, 4 321,, 4321,,, C1B 2C 3D 4321,, 4321,,, 4321,,, 4321,,, Ali w.t ra ck e r -s o f t w ar e C ck t ob uy NOW!w w .c o m321,, 0 Ax B 2121,,B 133221,, 2121,,D 133221,,133221,,A3202B E A E C4101 B 4101 C 4201 D 4201 B A B AP P 1 B E P A E P )(14201B E A E120240002A Ax x x x x f T),,(321 D232221z z z B 232221z z z C 2221z z D 2221z z232212332222123322221)2(2)44(2442x x x x x x x x x x x x x 2221z z 10 )(ij a A A D0 B 1 C 2D 310 2011 696364232333231232221131211a a a a a a a a a 333231232221131211a a a a a a a a a _______________ 632323232323296364232333231232221131211333231232221131211333231232221131211 a a a a a a a a a a a a a a a a a a a a a a a a a a a 61333231232221131211 a a a a a a a a a 12 3D 3,2,11,2,3 3D _______________ 4132)2()3(12323222221213 A a A a A a D130121A E A A 22_______________112211201120)(222E A E A A14 A A 24321B A _____ B41125A l i w.t r a c k e r -s o f t wa r e C ckt o b u y NOW !w w.co m15333220100A 1A _______________001012103100020033001010100100220333100010001333220100),(E A00102/113/12/1010001001001012230100020006001012206100020066 1A00102/113/12/10 16 )1,1,(1a )1,2,1(2 )2,1,1(3 a ___________0363213103210311121112111 a a a a a aa 2 a17 T x )1,0,1(1T x )5,4,3(2 b Ax0 Ax _______________T x x )6,4,2(1218 A 2,1 T )1,1(1 T k ),1(2k ______________1 2 0),(21 01 k 1 k 19 A 3,2,0 B A ||E B _______________ E B 4,1,1 44)1(1|| E B20232221321)()(),,(x x x x x x x f A _______________2332222121321222),,(x x x x x x x x x x f110121011A5421 ||ija 4150231xx 12a 812 A21a 21A 8445012x x A 2 x 5)38(413221 A220111A 2011B X X B AX X X B AX B X A E )(13/113/1313131201121113120111112)(11B A E X23 T )3,1,1,1(1 T )1,5,3,1(2 T )4,1,2,3(3 T)2,10,6,2(4l i w.t r a ck e r -s o f t w ar e C ck t o b u y NOW !w w.co m。
2007年硕士研究生入学考试数学一试题及答案解析一、选择题:(本题共10小题,每小题4分,共40分. 每小题给出的四个选项中,只有一项符合题目要求,把所选项前的字母填在题后的括号内)(2) 曲线1ln(1)x y e x=++,渐近线的条数为_______ 【详解】 因为01lim[ln(1)]xx e x→++=∞,所以0x =为垂直渐近线;又 1lim[ln(1)]0xx e x→-∞++=,所以y=0为水平渐近线;进一步,21ln(1)ln(1)lim lim []lim x x x x x y e e x x x x →+∞→+∞→+∞++=+==lim 11xx x e e→+∞=+, 1lim[1]lim[ln(1)]x x x y x e x x→+∞→+∞-⋅=++-=lim[ln(1)]xx e x →+∞+-=lim[ln (1)]lim ln(1)0x x xx x e e x e --→+∞→+∞+-=+=,于是有斜渐近线:y = x . 故3条(8) 设矩阵⎪⎪⎪⎭⎫ ⎝⎛------=211121112A , ⎪⎪⎪⎭⎫ ⎝⎛=000010001B , 则A 与B_______(填是否合同,相似)【详解】 由0||=-A E λ 得A 的特征值为0, 3, 3, 而B 的特征值为0, 1, 1,从而A 与B 不相似.又r (A )=r (B )=2, 且A 、B 有相同的正惯性指数, 因此A 与B 合同.二、填空题:(11-16小题,每小题4分,共24分. 把答案填在题中横线上)(11)12311x e dx x⎰=_______ 【分析】 先作变量代换,再分部积分。
【详解】111213213211211()t xt txe dx t e dt te dt x t ==-=⎰⎰⎰ =111121112221.2tt t tdetee dt e =-=⎰⎰(12) 设f (u ,v )为二元可微函数,(,)yxz f x y =,则zx∂∂=_______ 【详解】 利用复合函数求偏导公式,有z x∂∂=112ln .y xf yx f y y -''⋅+⋅ (13) 二阶常系数非齐次线性微分方程2432xy y y e'''-+=的通解为_______ 其中21,C C 为任意常数.【详解】 特征方程为2430λλ-+=,解得121, 3.λλ== 可见对应齐次线性微分方程430y y y '''-+=的通解为 312.x xy C e C e =+设非齐次线性微分方程2432xy y y e'''-+=的特解为*2xy ke=,代入非齐次方程可得k= −2. 故通解为32122.x x xy C e C e e =+-(14) 设曲面:1x y z ∑++=,则dS y x ⎰⎰∑+|)|(= _______【详解】 由于曲面∑关于平面x =0对称,因此dS x ⎰⎰∑=0. 又曲面:1x y z ∑++=具有轮换对称性,于是dS y x ⎰⎰∑+|)|(=dS y ⎰⎰∑||=dS x ⎰⎰∑||=dS z ⎰⎰∑||=dS z y x ⎰⎰∑++|)||||(|31=dS ⎰⎰∑3123831⨯⨯==43.3 (15) 设矩阵⎪⎪⎪⎪⎪⎭⎫ ⎝⎛=0000100001000010A , 则3A 的秩为_______. 【详解】 依矩阵乘法直接计算得 ⎪⎪⎪⎪⎪⎭⎫ ⎝⎛=00000000000010003A , 故r (3A )=1. 三、解答题:(17-24小题,共86分. ) (17) (本题满分11分)求函数2222(,)2f x y x y x y =+-在区域22{(,)4,0}D x y x y y =+≤≥上的最大值和最小值。
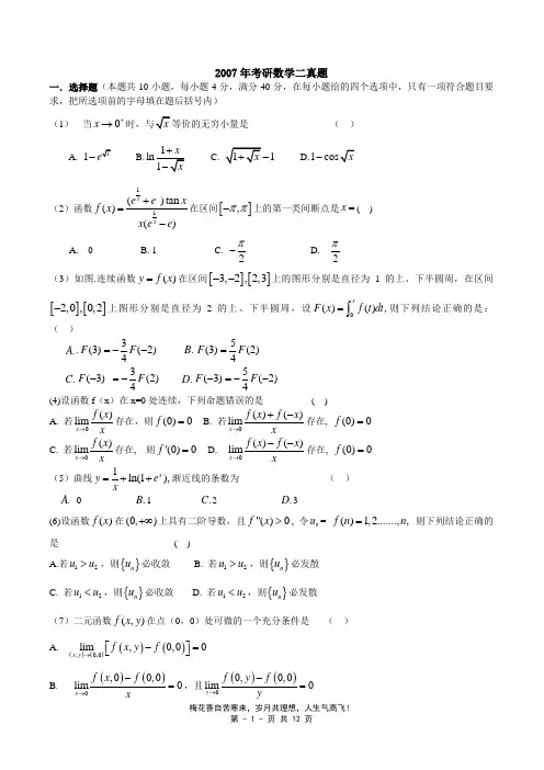
2007年考研数学二真题一.选择题(本题共10小题,每小题4分,满分40分,在每小题给的四个选项中,只有一项符合题目要求,把所选项前的字母填在题后括号内)(1) 当0x +→( )A. 1-B.lnC. 1D.1-(2)函数11()tan ()()xxe e xf x x e e +=-在区间[],ππ-上的第一类间断点是x =( )A. 0B. 1C. 2π-D.2π (3)如图.连续函数()y f x =在区间[][]3,2,2,3--上的图形分别是直径为1的上、下半圆周,在区间[][]2,0,0,2-上图形分别是直径为2的上、下半圆周,设0()(),xF x f t dt =⎰则下列结论正确的是:( ).A .(3)F 3(2)4F =-- .B (3)F 5(2)4F = .C (3)F - 3(2)4F =- .D (3)F -5(2)4F =--(4)设函数f (x )在x=0处连续,下列命题错误的是 ( )A. 若0()limx f x x →存在,则(0)0f = B. 若0()()lim x f x f x x→+-存在, (0)0f =C. 若0()lim x f x x →存在, 则(0)0f '=D. 0()()lim x f x f x x→--存在, (0)0f =(5)曲线1ln(1),xy e x=++渐近线的条数为 ( ).A 0 .B 1 .C 2 .D 3(6)设函数()f x 在(0,)+∞上具有二阶导数,且"()0f x >, 令n u = ()1,2.......,,f n n = 则下列结论正确的是 ( )A.若12u u >,则{}n u 必收敛B. 若12u u >,则{}n u 必发散C. 若12u u <,则{}n u 必收敛D. 若12u u <,则{}n u 必发散 (7)二元函数(,)f x y 在点(0,0)处可微的一个充分条件是 ( ) A.()()()(),0,0lim,0,00x y f x y f →-=⎡⎤⎣⎦B. ()()0,00,0lim0x f x f x →-=,且()()00,0,0lim 0y f y f y→-=C.()(,0,0,00,0lim0x y f x f →-=D. ()0lim ',0'(0,0)0,x x x f x f →-=⎡⎤⎣⎦且()0lim ',0'(0,0)0,y y y f x f →⎡⎤-=⎣⎦ (8)设函数(,)f x y 连续,则二次积分1sin 2(,)x dx f x y dy ππ⎰⎰等于 ( ).A10arcsin (,)y dy f x y dx ππ+⎰⎰ .B 10arcsin (,)y dy f x y dy ππ-⎰⎰.C 1arcsin 02(,)y dy f x y dx ππ+⎰⎰.D 1arcsin 02(,)y dy f x y dx ππ-⎰⎰(9)设向量组123,,ααα线形无关,则下列向量组线形相关的是: ( ) (A ),,122331αααααα--- (B ) ,,122331αααααα+++(C ) 1223312,2,2αααααα--- (D )1223312,2,2αααααα+++(10)设矩阵A=211121112--⎛⎫ ⎪-- ⎪ ⎪--⎝⎭,B=100010000⎛⎫ ⎪⎪ ⎪⎝⎭,则A 于B , ( )(A) 合同,且相似 (B) 合同,但不相似(C) 不合同,但相似 (D)既不合同,也不相似二.填空题:11-16小题,每小题4分,共24分,请将答案写在答题纸指定位置上(11)30arctan sin limx x xx→-=____. (12)曲线2cos cos 1sin x t t y t⎧=+⎨=+⎩上对应于4t π=的点处的法线斜率为_____(13)设函数123y x =+,则()0ny =_____.(14)二阶常系数非齐次线性微分方程2''4'32x y y y e -+=的通解y =_____.(15)设(,)f u v 是二元可微函数,(,)y x z f x y =,则_____z zx y x y∂∂-=∂∂.(16)设矩阵0100001000010000A ⎛⎫ ⎪⎪= ⎪ ⎪⎝⎭,则3A 的秩为______. 三、解答题:17-24小题,共86分.请将解答写在答题纸指定的位置上.解答应写出文字说明、证明过程或演算步骤.(17)设()f x 是区间0,4π⎡⎤⎢⎥⎣⎦上单调、可导函数,且满足()100cos sin ()sin cos f x x t t f t dt t dt t t --=+⎰⎰,其中1f -是f 的反函数,求()f x . (18)(本题满分11分) 设D是位于曲线y =- ()1,0a x >≤<+∞下方、x 轴上方的无界区域.(Ⅰ)求区域D 绕x 轴旋转一周所成旋转体的体积()V a ; (Ⅱ)当a 为何值时,()V a 最小?并求此最小值.(19)求微分方程()2''''y x y y +=满足初始条件(1)'(1)1y y ==的特解.(20)已知函数()f a 具有二阶导数,且'(0)f =1,函数()y y x =由方程11y y xe --=所确定.设(ln sin ),z f y x =-求0x dzdx=,202x d z dx =.(21)(本题11分) 设函数(),()f xg x 在[,]a b 上连续,在(,)a b 内具有二阶导数且存在相等的最大值,()(),()()f ag a f b g b ==证明:存在(,)a b ξ∈,使得''''()()f g ξξ=. (22)(本题满分11分)设二元函数2.1.(,)12.x x y f x y x y ⎧+≤⎪=≤+≤计算二重积分(,).Df x y d σ⎰⎰其中{}(,)2D x y x y =+≤(23)(本题满分11分)设线性方程组1231232123020(1)40x x x x x ax x x a x ⎧++=⎪++=⎨⎪++=⎩与方程12321(2)x x x a ++=-有公共解,求a 的值及所有公共解(24)设3阶对称矩阵A 的特征向量值1231,2,2,λλλ===-1(1,1,1)T α=-是A 的属于1λ的一个特征向量,记534B A A E =-+其中E 为3阶单位矩阵()I 验证1α是矩阵B 的特征向量,并求B 的全部特征值的特征向量; ()II 求矩阵B .2007年考研数学二真题解析一.选择题(本题共10小题,每小题4分,满分40分,在每小题给的四个选项中,只有一项符合题目要求,把所选项前的字母填在题后括号内)(2) 当0x +→(B )A. 1-B.lnC. 1D.1-(2)函数11()tan ()()xxe e xf x x e e +=-在区间[],ππ-上的第一类间断点是x =(A)A. 0B. 1C. 2π-D.2π (3)如图.连续函数()y f x =在区间[][]3,2,2,3--上的图形分别是直径为1的上、下半圆周,在区间[][]2,0,0,2-上图形分别是直径为2的上、下半圆周,设0()(),xF x f t dt =⎰则下列结论正确的是:(C ) .A .(3)F 3(2)4F =-- .B (3)F 5(2)4F = .C (3)F - 3(2)4F =- .D (3)F -5(2)4F =--(4)设函数f (x )在x=0处连续,下列命题错误的是 (C)A. 若0()limx f x x →存在,则(0)0f = B. 若0()()lim x f x f x x→+-存在, (0)0f =C. 若0()lim x f x x →存在, 则(0)0f '=D. 0()()lim x f x f x x→--存在, (0)0f =(5)曲线1ln(1),xy e x=++渐近线的条数为 (D ).A 0 .B 1 .C 2 .D 3(6)设函数()f x 在(0,)+∞上具有二阶导数,且"()0f x >, 令n u = ()1,2.......,,f n n = 则下列结论正确的是 (D)A.若12u u >,则{}n u 必收敛B. 若12u u >,则{}n u 必发散C. 若12u u <,则{}n u 必收敛D. 若12u u <,则{}n u 必发散 (7)二元函数(,)f x y 在点(0,0)处可微的一个充分条件是 (c ) A.()()()(),0,0lim,0,00x y f x y f →-=⎡⎤⎣⎦B. ()()0,00,0lim0x f x f x →-=,且()()00,0,0lim 0y f y f y→-=C.()(,0,0,00,0lim0x y f x f →-=D. ()0lim ',0'(0,0)0,x x x f x f →-=⎡⎤⎣⎦且()0lim ',0'(0,0)0,y y y f x f →⎡⎤-=⎣⎦ (8)设函数(,)f x y 连续,则二次积分1sin 2(,)x dx f x y dy ππ⎰⎰等于 (B ).A10arcsin (,)y dy f x y dx ππ+⎰⎰ .B 10arcsin (,)y dy f x y dy ππ-⎰⎰.C 1arcsin 02(,)y dy f x y dx ππ+⎰⎰.D 1arcsin 02(,)y dy f x y dx ππ-⎰⎰(9)设向量组123,,ααα线形无关,则下列向量组线形相关的是: (A) (A ),,122331αααααα--- (B ) ,,122331αααααα+++(C ) 1223312,2,2αααααα--- (D )1223312,2,2αααααα+++(10)设矩阵A=211121112--⎛⎫ ⎪-- ⎪ ⎪--⎝⎭,B=100010000⎛⎫ ⎪⎪ ⎪⎝⎭,则A 于B , (B )(A) 合同,且相似 (B) 合同,但不相似(C) 不合同,但相似 (D)既不合同,也不相似二.填空题:11-16小题,每小题4分,共24分,请将答案写在答题纸指定位置上(11)30arctan sin limx x x x →-=16.(12)曲线2cos cos 1sin x t t y t⎧=+⎨=+⎩上对应于4t π=1).(13)设函数123y x =+,则()0ny =23n -⋅.(14)二阶常系数非齐次线性微分方程2''4'32x y y y e -+=的通解y =_32122x x x C e C e e +-.(15)设(,)f u v 是二元可微函数,(,)y x z f x y =,则1222(,)(,)z z y y x x y xx y f f x y x x y y x y∂∂''-=-+∂∂.(16)设矩阵0100001000010000A ⎛⎫ ⎪⎪= ⎪ ⎪⎝⎭,则3A 的秩为_1______.三、解答题:17-24小题,共86分.请将解答写在答题纸指定的位置上.解答应写出文字说明、证明过程或演算步骤.(17)设()f x 是区间0,4π⎡⎤⎢⎥⎣⎦上单调、可导函数,且满足()100cos sin ()sin cos f x x t t f t dt t dt t t --=+⎰⎰,其中1f -是f 的反函数,求()f x . 【详解】:设(),y f t =则1()t f y -=.则原式可化为:1(0)0cos sin '()sin cos xxf t t yf y dy tdt t t--=+⎰⎰ 等式两边同时求导得:cos sin '()sin cos x xxf x x x x-=+c o s s i n '()s i n c o sx x f x x x -=+ (18)(本题满分11分) 设D是位于曲线y =- ()1,0a x >≤<+∞下方、x 轴上方的无界区域.(Ⅰ)求区域D 绕x 轴旋转一周所成旋转体的体积()V a ; (Ⅱ)当a 为何值时,()V a 最小?并求此最小值. 【详解】:22222()())(ln )xa a I V a y dx dx a πππ-+∞+∞===⎰⎰ 22412(ln )(2ln )2()()0(ln )a a a a II V a a π-'=⋅= 得ln (ln 1)0a a -=故ln 1a =即a e =是唯一驻点,也是最小值点,最小值2()V e eπ=(19)求微分方程()2''''y x y y +=满足初始条件(1)'(1)1y y ==的特解.【详解】: 设dy p y dx '==,则dpy dx''=代入得: 22()dp dx x p x x p p p dx dp p p++=⇒==+设x u p= 则()d pu u p dp =+du u p u p dp ⇒+=+1dudp ⇒=1u p c ⇒=+即21x p c p =+ 由于(1)1y '= 故11110c c =+⇒=即2x p =32223dy p y x c dx ⇒==⇒=±+ 由21(1)13y c =⇒=或253c = 特解为322133y x =+或322533y x =-+(20)已知函数()f a 具有二阶导数,且'(0)f =1,函数()y y x =由方程11y y xe --=所确定.设(ln sin ),z f y x =-求0x dzdx=,202x d zdx =.【详解】:11y y xe --=两边对x 求导得11()0y y y e xe y --''-+⋅=得 111y y e y xe --'=- (当01)x y ==,故有11121x e y -='==-1(ln sin )(cos )(0)(111)0x x dz f y x y x f dxy=='''=--=⨯-=222221()(ln sin )(cos )(ln sin )(sin )x x d z y f y x y x f y x x dx y y=='''''=--+--+221(0)(111)(0)(10)1(1)11f f -'''=⨯-+⨯+=⨯-=- (21)(本题11分)设函数(),()f xg x 在[,]a b 上连续,在(,)a b 内具有二阶导数且存在相等的最大值,()(),()()f ag a f b g b ==证明:存在(,)a b ξ∈,使得''''()()f g ξξ=. 【详解】:证明:设(),()f x g x 在(,)a b 内某点(,)c a b ∈同时取得最大值,则()()f c g c =,此时的c 就是所求点()()f g ηηη=使得.若两个函数取得最大值的点不同则有设()max (),()max ()f c f x g d g x ==故有()()0,()()0f c g c g d f d ->-<,由介值定理,在(,)c d 内肯定存在()()f g ηηη=使得由罗尔定理在区间(,),(,)a b ηη内分别存在一点''1212,,()()f f ξξξξ使得==0在区间12(,)ξξ内再用罗尔定理,即''''(,)()()a b f g ξξξ∈=存在,使得. (22)(本题满分11分)设二元函数2.1.(,)12.x x y f x y x y ⎧+≤⎪=≤+≤计算二重积分(,).Df x y d σ⎰⎰其中{}(,)2D x y x y =+≤【详解】:D 如图(1)所示,它关于x,y 轴对称,(,)f x y 对x,y 均为偶函数,得1(,)4(,)DD f x y d f x y d σσ=⎰⎰⎰⎰,其中1D 是D 的第一象限部分.由于被积函数分块表示,将1D 分成(如图(2)):11112D D D = ,且1112:1,0,0 :12,0,0D x y x y D x y x y +≤≥≥≤+≤≥≥于是11212(,)(,)(,)D D D f x y d f x y d f x y d σσσ=+⎰⎰⎰⎰⎰⎰.而111112200111(,)(1)3412xD f x y d dx x dy x x dx σ-==-=-=⎰⎰⎰⎰⎰(1)(2)121222cos sin 10cos sin 1(,)()D D f x y d d rdr rπθθθθσσθ++==⋅⎰⎰⎰⎰极坐标变换220221122200021112001cos sin cos sin 2sin cos222(tan )222122(1)1tan 2tan22221)u td d d du du u u u dt dtt πππθθθθθθθθθθθ-===+-+===-+---+==+-===⎰⎰⎰⎰⎰⎰ 所以11(,)1)12D f x y d σ=+⎰⎰得1(,)4(1))12Df x y d σ=⎰⎰(23)(本题满分11分)设线性方程组1231232123020(1)40x x x x x ax x x a x ⎧++=⎪++=⎨⎪++=⎩与方程12321(2)x x x a ++=-有公共解,求a 的值及所有公共解. 【详解】:因为方程组(1)、(2)有公共解,即由方程组(1)、(2)组成的方程组1231232123123020(3)4021x x x x x ax x x a x x x x a ++=⎧⎪++=⎪⎨++=⎪⎪++=-⎩的解.即矩阵211100201401211a a a ⎛⎫ ⎪⎪ ⎪ ⎪ ⎪-⎝⎭211100110001000340a a a ⎛⎫ ⎪- ⎪→ ⎪- ⎪ ⎪++⎝⎭方程组(3)有解的充要条件为1,2a a ==.当1a =时,方程组(3)等价于方程组(1)即此时的公共解为方程组(1)的解.解方程组(1)的基础解系为(1,0,1)Tξ=-此时的公共解为:,1,2,x k k ξ== 当2a =时,方程组(3)的系数矩阵为11101110122001101440000111110000⎛⎫⎛⎫⎪ ⎪ ⎪ ⎪→ ⎪ ⎪⎪ ⎪⎝⎭⎝⎭此时方程组(3)的解为1230,1,1x x x ===-,即公共解为:(0,1,1)T k -(24)设3阶对称矩阵A 的特征向量值1231,2,2,λλλ===-1(1,1,1)T α=-是A 的属于1λ的一个特征向量,记534B A A E =-+其中E 为3阶单位矩阵()I 验证1α是矩阵B 的特征向量,并求B 的全部特征值的特征向量; ()II 求矩阵B .【详解】:(Ⅰ)可以很容易验证111(1,2,3...)n n A n αλα==,于是5353111111(4)(41)2B A A E ααλλαα=-+=-+=- 于是1α是矩阵B 的特征向量.B 的特征值可以由A 的特征值以及B 与A 的关系得到,即53()()4()1B A A λλλ=-+,所以B 的全部特征值为-2,1,1.前面已经求得1α为B 的属于-2的特征值,而A 为实对称矩阵,于是根据B 与A 的关系可以知道B 也是实对称矩阵,于是属于不同的特征值的特征向量正交,设B 的属于1的特征向量为123(,,)T x x x ,所以有方程如下:1230x x x -+=于是求得B 的属于1的特征向量为23(1,0,1),(1,1,0)TTαα=-=(Ⅱ)令矩阵[]123111,,101110P ααα-⎡⎤⎢⎥==-⎢⎥⎢⎥⎣⎦,则1(2,1,1)P BP diag -=-,所以1111333111112(2,1,1)101(2,1,1)333110121333B P d i a g P d i a g -⎡⎤-⎢⎥-⎡⎤⎢⎥⎢⎥⎢⎥=⋅-⋅=---⎢⎥⎢⎥⎢⎥⎢⎥⎣⎦⎢⎥⎢⎥⎣⎦011101110-⎡⎤⎢⎥=⎢⎥⎢⎥-⎣⎦。
2007年考研数学一真题一、选择题(1~10小题,每小题4分,共40分。
下列每题给出的四个选项中,只有一个选项是符合题目要求的。
)(1)当x→0+时,与√x等价的无穷小量是(A)1−e−√x(B)ln1−√x(C)√1+√x−1 (D)1−cos√x【答案】B。
【解析】(当x→0+)时ln1−√x=[l n(1+x)−l n(1−√x)]~√xe√x~−√x √1+√x−1~12√x 1−cos√x~12x几个不同阶的无穷小量的代数和,其阶数由其中阶数最低的项来决定。
综上所述,本题正确答案是B。
【考点】高等数学—函数、极限、连续—无穷小量的性质及无穷小量的比较(2)曲线y=1x+ln (1+e x)渐近线的条数为(A)0 (B)1(C)2 (D)3【答案】D。
【解析】由于lim x→0y =lim x→01x+l n (1+e x )=∞,则x =0是曲线的垂直渐近线;又 lim x→−∞y =lim x→−∞[1x+l n (1+e x )]=0lim x→+∞y =lim x→+∞[1x+l n (1+e x )]=+∞所以y =0是曲线的水平渐近线;斜渐近线:由于−∞一侧有水平渐近线,则斜渐近线只可能出现在+∞一侧。
a =limx→+∞yx=limx→+∞1x+l n (1+e x )x=limx→+∞1x 2+limx→+∞l n (1+e x )x=0+limx→+∞e x1+e x=1b =lim x→+∞(y −x )=lim x→+∞[1x+l n (1+e x )−x] =lim x→+∞[1x+l n (1+e x )−lne x ] =lim x→+∞[1x +l n (1+1e x)]=0则曲线有斜渐近线y =x ,故该曲线有三条渐近线。
综上所述,本题正确答案是D 。
【考点】高等数学—一元函数微分学—函数图形的凹凸性、拐点及渐近线(3)如图,连续函数y =f(x)在区间[−3,−2],[2,3]上的图形分别是直径为1的上、下半圆周,在区间[−2,0],[0,2]上的图形分别是直径为2的下、上半圆周,设F (x )=∫f(t)dt x0,则下列结论正确的是 (A)F (3)=−34F(−2)(B)F (3)=54F(2)(C)F (−3)=34F(2)(D)F (−3)=−54F(−2)【答案】C 。
825-线性代数与常微分方程一、考查目标线性代数与常微分方程是为招收理学数学学院各专业硕士研究生而设置的具有选拔功能的考试科目。
其目的是科学、公平、有效地测试考生是否具备攻读数学专业硕士所必须的根本素质、一般能力和培养潜能,以利用选拔具有开展潜力的优秀人才入学,它的主要目的是测试考生对线性代数及常微分方程内容的掌握程度和应用相关知识解决问题的能力。
要求考生比拟系统地理解线性代数及常微分方程的根本概念和根本理论,掌握线性代数及常微分方程理论的根本方法。
要求考生具有抽象思维能力、逻辑推理能力、空间想象能力、运算能力和综合运用所学的知识分析问题和解决问题的能力。
二、考试形式和试卷结构试卷总分值为150分,考试时间180分钟。
答题方式为闭卷、笔试。
题型为计算题及证明题。
三、考查内容及要求Ⅰ.常微分方程1.微分方程的一些根本概念〔1〕考试内容1〕常微分方程2〕阶数3〕线性与非线性4〕解、隐式解、通解、特解〔2〕考试要求1〕了解微分方程与客观世界中某些实际问题的关系2〕掌握微分方程中线性与非线性、通解与特解等根本概念3〕了解一阶方程及其解的几何意义2.一阶微分方程的初等解法〔1〕考试内容1〕变量别离方程,齐次方程及可化为变量别离的方程2〕线性方程,贝努利方程3〕恰当方程的概念,充要条件,恰当方程的通解。
积分因子的概念及其求法4〕一阶隐式方程〔四种类型方程〕的解法〔2〕考试要求1〕能正确的识别一阶方程的类型2〕掌握变量别离方程、齐次方程及可化为变量别离方程的解法。
3〕掌握一阶线性方程、贝努利方程的解法4〕掌握恰当方程的解法及求积分因子的根本方法5〕掌握一阶隐式方程的解法3.一阶微分方程的存在定理〔1〕考试内容1〕一阶微分方程解的存在唯一性定理求近似解及误差估计2〕有界及无界区域中解的延拓定理3〕解对初值的连续依赖和可微性定理4〕奇解概念、求法及克莱罗方程〔2〕考试要求1〕理解和掌握存在唯一性定理及其证明2〕会求方程的近似解并估计其误差3〕了解解的延拓定理4〕了解解对初值的连续依赖定理和解对初值可微性定理5〕理解奇解的概念并会求方程的奇解6〕掌握克莱罗方程的解法4.高阶微分方程〔1〕考试内容1〕齐线性方程解的性质和结构2〕非齐线性方程通解的结构和常数变易法3〕常系数齐次线性方程通解的求法,4〕常系数非齐次方程特解的求法5〕高阶方程的降阶〔2〕考试要求1〕掌握齐次线性方程解的性质和通解的结构2〕熟练地求解常系数齐次及非齐次线性方程3〕会用降价法求高阶方程的解5.线性微分方程组〔1〕考试内容1〕一阶线性方程组的存在唯一性定理2〕线性方程组的一般理论3〕常系数线性方程组的标准基解矩阵4〕基解矩阵的计算〔2〕考试要求1〕理解一阶线性方程组的存在唯一性定理2〕理解线性方程组解的性质3〕掌握线性方程组通解的结构,会用常数变易法求非齐线性方程组的一个解向量4〕会求常系数线性方程组的基解矩阵Ⅱ.线性代数1.行列式〔1〕考试内容1〕行列式的定义、根本性质2〕行列式的计算3〕行列式按行〔列〕展开〔2〕考试要求1〕理解行列式的概念,会用行列式的性质计算行列式2〕会用克莱姆法那么求解线性方程组3〕掌握行列式按行〔列〕展开的应用2.线性方程组〔1〕考试内容1〕线性相关〔无关〕性,向量组的秩2〕矩阵的秩3〕齐次线性方程组的根底解系,通解4〕非齐次线性方程组有解的充要条件、解的结构与通解〔2〕考试要求1〕会讨论向量组的线性相关〔无关〕性,会计算矩阵的秩2〕会计算齐次线性方程组的根底解系,通解3〕掌握非齐次线性方程组有解的充要条件、会计算其通解4〕掌握齐次线性方程组的根底解系和矩阵秩的联系3.矩阵〔1〕考试内容1〕矩阵的运算和性质,矩阵的逆2〕初等变换和初等矩阵3〕乘积矩阵的秩和行列式4〕分块矩阵的应用〔2〕考试要求1〕理解和掌握矩阵的运算和性质2〕会求矩阵的逆3〕掌握初等变换和初等矩阵的联系4〕掌握分块矩阵的应用4.二次型〔1〕考试内容1〕二次型的标准型,矩阵的合同关系2〕惯性定理3〕正定矩阵和正定二次型4〕半正定矩阵和半正定二次型〔2〕考试要求1〕掌握二次型的标准型的求法2〕掌握惯性定理及其应用3〕熟练掌握正定矩阵和正定二次型4〕了解半正定矩阵和半正定二次型5.线性空间〔1〕考试内容1〕线性空间的根本概念、基和维数2〕线性空间的子空间、子空间的运算,维数公式3〕线性空间的直和分解和线性空间的同构〔2〕考试要求1〕掌握线性空间的根本概念、基和维数2〕掌握子空间的运算,维数公式3〕掌握线性空间的直和分解6.线性变换〔1〕考试内容1〕线性变换与矩阵2〕特征值和特征向量,不变子空间3〕矩阵的特征多项式和最小多项式4〕可对角化的矩阵〔2〕考试要求1〕掌握线性变换和矩阵之间的对应关系2〕掌握特征值和特征向量的计算3〕掌握矩阵可对角化的等价条件4〕了解线性空间相对于一个线性变换的直和分解及其应用7.λ-矩阵〔1〕考试内容1〕多项式矩阵的运算和等价,多项式矩阵的带余除法2〕数字矩阵的相似等价条件3〕行列式因子、不变因子、初等因子4〕矩阵的假设当标准型和有理标准型〔2〕考试要求1〕掌握矩阵的相似等价条件2〕掌握初等因子的计算,会计算矩阵的假设当标准型3〕掌握矩阵的最小多项式与不变因子的关系4〕了解矩阵的有理标准型8.欧式空间〔1〕考试内容1〕欧式空间的根本概念、内积的性质2〕标准正交基,正交变换与正交矩阵,对称变换与对称矩阵3〕实对称矩阵的特征值、特征向量4〕实二次型的主轴问题〔2〕考试要求1〕掌握欧式空间的根本概念、内积的性质2〕掌握实对称矩阵的相似标准型3〕掌握正交矩阵的性质4〕了解欧式空间关于子空间的直和分解。