人教版高中数学必修四三角恒等变换题库
- 格式:doc
- 大小:495.50 KB
- 文档页数:6
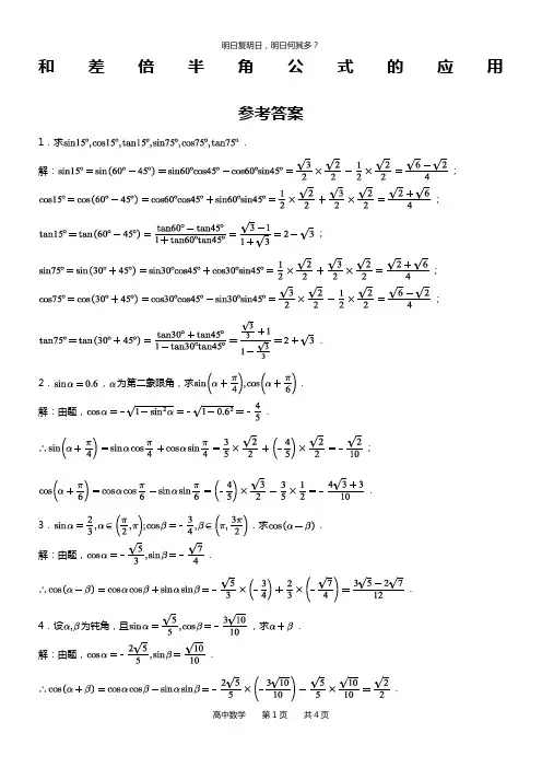
第三章 3.1 3.1.1一、选择题1.cos75°cos15°-sin435°sin15°的值是( ) A .0 B .12C .32D .-12[答案] A[解析] cos75°cos15°-sin435°sin15° =cos75°cos15°-sin(360°+75°)sin15° =cos75cos15°-sin75°sin15° =cos(75°+15°)=cos90°=0.2.在△ABC 中,若sin A sin B <cos A cos B ,则△ABC 一定为( ) A .等边三角形 B .直角三角形 C .锐角三角形 D .钝角三角形[答案] D[解析] ∵sin A sin B <cos A cos B , ∴cos A cos B -sin A sin B >0, ∴cos(A +B )>0,∵A 、B 、C 为三角形的内角, ∴A +B 为锐角, ∴C 为钝角.3.下列结论中,错误的是( )A .存在这样的α和β的值,使得cos(α+β)=cos αcos β+sin αsin βB .不存在无穷多个α和β的值,使得cos(α+β)=cos αcos β+sin αsin βC .对于任意的α和β,有cos(α+β)=cos αcos β-sin αsin βD .不存在这样的α和β的值,使得cos(α+β)≠cos αcos β-sin αsin β [答案] B[解析] 当α、β的终边都落在x 轴的正半轴上或都落在x 轴的负半轴上时,cos(α+β)=cos αcos β+sin αsin β成立,故选项B 是错误的.4.在锐角△ABC 中,设x =sin A sin B ,y =cos A cos B ,则x 、y 的大小关系是( )A .x ≥yB .x ≤yC .x >yD .x <y[答案] C[解析] y -x =cos(A +B ),在锐角三角形中π2<A +B <π,y -x <0,即x >y .5.化简sin(x +y )sin(x -y )+cos(x +y )cos(x -y )的结果是( ) A .sin2x B .cos2y C .-cos2x D .-cos2y [答案] B[解析] 原式=cos[(x +y )-(x -y )]=cos2y .6.△ABC 中,cos A =35,且cos B =513,则cos C 等于( )A .-3365B .3365C .-6365D .6365[答案] B[解析] 由cos A >0,cos B >0知A 、B 都是锐角, ∴sin A =1-⎝⎛⎭⎫352=45,sin B =1-⎝⎛⎭⎫5132=1213,∴cos C =-cos(A +B )=-(cos A cos B -sin A sin B ) =-⎝⎛⎭⎫35×513-45×1213=3365. 二、填空题7.若cos α=15,α∈(0,π2),则cos(α+π3)=________.[答案]1-6210[解析] ∵cos α=15,α∈(0,π2),∴sin α=265.∴cos(α+π3)=cos αcos π3-sin αsin π3=15×12-265×32=1-6210.8.已知cos(π3-α)=18,则cos α+3sin α的值为________.[答案] 14[解析] cos(π3-α)=cos π3cos α+sin π3sin α=12cos α+32sin α =12(cos α+3sin α)=18, ∴cos α+3sin α=14.三、解答题 9.已知cos α=55,sin(α-β)=1010,且α、β∈(0,π2). 求:cos(2α-β)的值. [解析] ∵α、β∈(0,π2),∴α-β∈(-π2,π2),∴sin α=1-cos 2α=255,cos(α-β)=1-sin 2(α-β)=31010,∴cos(2α-β)=cos[α+(α-β)] =cos αcos(α-β)-sin αsin(α-β) =55×31010-255×1010=210. 10. 已知sin α+sin β=310,cos α+cos β=9110,求cos(α-β)的值.[解析] 将sin α+sin β=310,两边平方得,sin 2α+2sin αsin β+sin 2β=9100①,将cos α+cos β=9110两边平方得,cos 2α+2cos αcos β+cos 2β=91100②,①+②得2+2cos(α-β)=1, ∴cos(α-β)=-12.一、选择题 1.cos47°+sin17°sin30°cos17°的值为( )A .-32B .-12C .12D .32[答案] D [解析]cos47°+sin17°sin30°cos17°=cos (30°+17°)+sin17°sin30°cos17°=cos30°cos17°-sin30°sin17°+sin17°sin30°cos17°=cos30°=32. 2.在△ABC 中,若tan A ·tan B >1,则△ABC 一定是( ) A .等边三角形 B .直角三角形 C .锐角三角形 D .钝角三角形[答案] C[解析] ∵sin A ·sin B >cos A ·cos B , ∴cos A ·cos B -sin A ·sin B <0, 即cos(A +B )<0,∵A 、B 、C 为三角形的内角, ∴A +B 为钝角,∴C 为锐角. 又∵tan A ·tan B >1, ∴tan A >0,tan B >0,∴A 、B 均为锐角,故△ABC 为锐角三角形.3.在锐角△ABC 中,设x =sin A ·sin B ,y =cos A ·cos B ,则x 、y 的大小关系为( )A .x ≤yB .x >yC .x <yD .x ≥y[答案] B[解析] y -x =cos A cos B -sin A sin B =cos(A +B ), ∵△ABC 为锐角三角形, ∴C 为锐角,∵A +B =π-C , ∴A +B 为钝角, ∴cos(A +B )<0,∴y <x .4.函数f (x )=sin x -cos(x +π6)的值域为( )A .[-2,2]B .[-3,3]C .[-1,1]D .[-32,32] [答案] B[解析] f (x )=sin x -cos(x +π6)=sin x -cos x cos π6+sin x sin π6=32sin x -32cos x =3(32sin x -12cos x ) =3sin(x -π6)∈[-3,3].二、填空题 5.形如⎪⎪⎪⎪⎪⎪ab cd 的式子叫做行列式,其运算法则为⎪⎪⎪⎪⎪⎪a b cd =ad -bc ,则行列式⎪⎪⎪⎪⎪⎪cos π3 sin π6sin π3 cos π6的值是________. [答案] 0[解析] ⎪⎪⎪⎪⎪⎪a b c d =ad -bc ,∴⎪⎪⎪⎪⎪⎪cos π3 sin π6sin π3cos π6=cos π3cos π6-sin π3sin π6=cos(π3+π6)=cos π2=0.6.已知cos(α+β)=13,cos(α-β)=15,则tan α·tan β=________.[答案] -14[解析] ∵cos(α+β)=13,∴cos αcos β-sin αsin β=13,①∵cos(α-β)=15,∴cos αcos β+sin αsin β=15,②由①②得⎩⎨⎧sin αsin β=-115cos αcos β=415,∴tan αtan β=sin αsin βcos αcos β=-14.三、解答题7.已知cos(α-30°)=1517,30°<α<90°,求cos α的值.[解析] ∵30°<α<90°, ∴0°<α-30°<60°. ∵cos(α-30°)=1517,∴sin(α-30°)=1-cos 2(α-30°)=817,∴cos α=cos[(α-30°)+30°]=cos(α-30°)cos30°-sin(α-30°)sin30°=1517×32-817×12=153-834.8.已知向量a =(2cos α,2sin α),b =(3cos β,3sin β),若向量a 与b 的夹角为60°,求cos(α-β)的值.[解析] ∵a·b =6cos αcos β+6sin αsin β=6cos(α-β), ∴|a |=2,|b |=3, 又∵a 与b 的夹角为60°,∴cos60°=a·b |a|·|b|=6cos (α-β)2×3=cos(α-β),∴cos(α-β)=12.9. 已知函数f (x )=2cos(ωx +π6)(其中ω>0,x ∈R )的最小正周期为10π.(1)求ω的值;(2)设α、β∈[0,π2],f (5α+5π3)=-65,f (5β-5π6)=1617,求cos(α+β)的值.[解析] (1)∵T =10π=2πω,∴ω=15.(2)由(1)得f (x )=2cos(15x +π6),∵-65=f (5α+5π3)=2cos[15(5α+5π3)+π6]=2cos(α+π2)=-2sin α,∴sin α=35,cos α=45.∵1617=f (5β-5π6)=2cos[15(5β-5π6)+π6]=2cos β, ∴cos β=817,sin β=1517.∴cos(α+β)=cos αcos β-sin αsin β=45×817-35×1517=-1385.。
高中数学学习材料金戈铁骑整理制作一、填空题(本大题共14小题,每小题5分,共70分,把答案填在题中横线上) 1.tan π121-tan 2π12=__________.2.已知sin θ2+cos θ2=233,那么sin θ=__________,cos2θ=__________.3.若sin(α-β)cos α-cos(β-α)sin α=45,则cos2β=________4.设α∈(0,π2),若sin α=35,则2cos(α+π4)等于__________.5.sin163°sin223°+sin253°sin313°的值为__________.6.已知sin(π4-x )=35,则sin2x 的值为__________.7.已知A ,B ,C 是△ABC 的三个内角,且tan A ,tan B 是方程3x 2-5x +1=0的两个实数根,则△ABC 是________三角形.8.化简21+sin4+2+2cos4的结果是__________.9.在△ABC 中,若sin 2B =sin A sin C ,则cos2B +cos B +cos(A -C )的值为__________.14.在△ABC 中,A ,B ,C 是其三个内角,设f (B )=4sin B ·cos 2⎝⎛⎭⎫π4-B 2+cos2B .当f (B )-m <2恒成立时,实数m 的取值范围是__________.二、解答题(本大题共6小题,共90分,解答时应写出必要的文字说明、证明过程或演算步骤)15.(本小题满分14分)已知cos2θ=78,θ∈⎝⎛⎭⎫π2,π,求sin ⎝⎛⎭⎫θ+π6-sin2θ的值.16.(本小题满分14分)已知tan(π4+θ)+tan(π4-θ)=4,且-π<θ<-π2,求sin 2θ-2sin θcos θ-cos 2θ的值.17.(本小题满分14分)在△ABC 中,已知tan B =cos (C -B )sin A +sin (C -B ),试判断△ABC 的形状.18.(本小题满分16分)求证:2-2sin (α+3π4)cos (α+π4)cos 4α-sin 4α=1+tan α1-tan α.20.(本小题满分16分)已知A,B,C是△ABC的三个内角,若1+sin2Bcos2B-sin2B=2+3,求角B.。
人教版高中数学必修四三角恒等变换(二倍角的正弦、余弦、正切公式)同步练习(含答案解析)一、选择题1.计算1-2sin 222.5°的结果等于( )A.12B.22C.33D.322.函数y =2cos 2(x -π4)-1是( ) A .最小正周期为π的奇函数B .最小正周期为π2的奇函数 C .最小正周期为π的偶函数D .最小正周期为π2的偶函数 3.若sin(π6-α)=13,则cos(2π3+2α)的值为( ) A .-13 B .-79 C.13 D.794.若1-tan θ2+tan θ=1,则cos 2θ1+sin 2θ的值为( ) A .3 B .-3 C .-2 D .-125.如果|cos θ|=15,5π2<θ<3π,则sin θ2的值是( ) A .-105 B.105 C .-155 D.1556.已知角α在第一象限且cos α=35,则1+2cos (2α-π4)sin (α+π2)等于( ) A.25 B.75 C.145 D .-25二、填空题7.3-sin 70°2-cos 210°的值是________. 8.函数f (x )=cos x -sin 2x -cos 2x +74的最大值是______. 9.已知tan θ2=3,则1-cos θ+sin θ1+cos θ+sin θ=______. 10.已知sin 22α+sin 2αcos α-cos 2α=1,α∈(0,π2),则α=________.三、解答题11.求证:3-4cos 2A +cos 4A 3+4cos 2A +cos 4A=tan 4 A .12.若cos ⎝⎛⎭⎫π4-x =-45,5π4<x <7π4,求sin 2x -2sin 2x 1+tan x 的值.13.求值:cos 20°cos 40°cos 80°.14.求值:tan 70°·cos 10°·(3tan 20°-1).参考答案与解析1.B 2.A3.B [cos(2π3+2α)=-cos(π3-2α)=-cos[2(π6-α)] =-[1-2sin 2(π6-α)]=2sin 2(π6-α)-1=-79.] 4.A [∵1-tan θ2+tan θ=1,∴tan θ=-12. ∴cos 2θ1+sin 2θ=cos 2θ-sin 2θ(sin θ+cos θ)2=cos θ-sin θcos θ+sin θ=1-tan θ1+tan θ=1-⎝⎛⎭⎫-121+⎝⎛⎭⎫-12=3.] 5.C [∵5π2<θ<3π,|cos θ|=15, ∴cos θ<0,cos θ=-15. ∵5π4<θ2<32π,∴sin θ2<0. 由sin 2θ2=1-cos θ2=35, ∴sin θ2=-155.] 6.C [∵cos α=35且α在第一象限,∴sin α=45. ∴cos 2α=cos 2α-sin 2α=-725, sin 2α=2sin αcos α=2425, 原式=1+2(cos 2αcos π4+sin 2αsin π4)cos α=1+cos 2α+sin 2αcos α=145.] 7.2解析 3-sin 70°2-cos 210°=3-sin 70°2-1+cos 20°2=2(3-cos 20°)3-cos 20°=2. 8.2解析 f (x )=cos x -(1-cos 2x )-(2cos 2x -1)+74=-cos 2x +cos x +74=-⎝⎛⎭⎫cos x -122+2. ∴当cos x =12时,f (x )max =2. 9.3解析 1-cos θ+sin θ1+cos θ+sin θ=2sin 2θ2+2sin θ2cos θ22cos 2θ2+2sin θ2cos θ2=2sin θ2⎝⎛⎭⎫sin θ2+cos θ22cos θ2⎝⎛⎭⎫cos θ2+sin θ2=tan θ2=3. 10.π6解析 ∵sin 22α+sin 2αcos α-(cos 2α+1)=0.∴4sin 2αcos 2α+2sin αcos 2α-2cos 2α=0.∵α∈(0,π2).∴2cos 2α>0. ∴2sin 2α+sin α-1=0.∴sin α=12(sin α=-1舍).∴α=π6. 11.证明 ∵左边=3-4cos 2A +2cos 2 2A -13+4cos 2A +2cos 2 2A -1=⎝ ⎛⎭⎪⎫1-cos 2A 1+cos 2A 2=⎝⎛⎭⎫2sin 2 A 2cos 2 A 2=(tan 2 A )2 =tan 4 A =右边.∴3-4cos 2A +cos 4A 3+4cos 2A +cos 4A=tan 4 A . 12.解 sin 2x -2sin 2x 1+tan x =2sin x (cos x -sin x )cos x cos x +sin x =sin 2x (cos x -sin x )cos x +sin x =sin 2x 1-tan x 1+tan x =sin 2x tan ⎝⎛⎭⎫π4-x =cos ⎝⎛⎭⎫π2-2x tan ⎝⎛⎭⎫π4-x =⎣⎡⎦⎤2cos 2⎝⎛⎭⎫π4-x -1tan ⎝⎛⎭⎫π4-x , ∵5π4<x <7π4, ∴-3π2<π4-x <-π. 又∵cos ⎝⎛⎭⎫π4-x =-45, ∴sin ⎝⎛⎭⎫π4-x =35,tan ⎝⎛⎭⎫π4-x =-34. ∴原式=⎝⎛⎭⎫2×1625-1×⎝⎛⎭⎫-34=-21100. 13.解 原式=2sin 20°·cos 20°·cos 40°·cos 80°2sin 20°=2sin 40°·cos 40°·cos 80°4sin 20°=2sin 80°·cos 80°8sin 20°=sin 160°8sin 20°=18. 14.解 原式=sin 70°cos 70°·cos 10°⎝⎛⎭⎫3sin 20°cos 20°-1 =sin 70°cos 70°·cos 10°·⎝⎛⎭⎫3sin 20°-cos 20°cos 20°=cos 20°sin 20°·cos 10°·2⎝ ⎛⎭⎪⎪⎫32sin 20°-12cos 20°cos 20° =2cos 10°·sin (-10°)sin 20°=-sin 20°sin 20°=-1.。
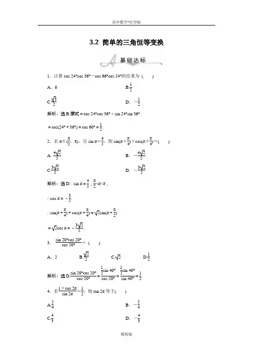
3.2 简单的三角恒等变换1.计算cos 24°cos 36°-cos 66°cos 54°的结果为 ( ) A .0 B.12 C.32D .-12解析:选B.原式=cos 24°cos 36°-sin 24°sin 36° =cos(24°+36°)=cos 60°=12.2.若α∈(π2,π),且sin α=45,则sin(α+π4)+cos(α+π4)=( )A. 425B .-425C.325D .-325解析:选D.∵sin α=45,π2<α<π,∴cos α=-35.∴sin(α+π4)+cos(α+π4)=2sin(α+π2)=2cos α=-325.3.sin 20°cos 20°cos 50°= ( )A .2 B.22 C.2 D.12解析:选D.sin 20°cos 20°cos 50°=12sin 40°cos 50°=12sin 40°sin 40°=12.4.若1+cos 2αsin 2α=12,则tan 2α等于( )A.54 B .-54C.43D .-43解析:选D.1+cos 2αsin 2α=2cos 2α2sin αcos α=cos αsin α=12,∴tan α=2,∴tan 2α=2tan α1-tan 2α=41-4=-43,故选D.5.计算tan (π4+α)·cos 2α2cos 2(π4-α)的值为( )A .-2B .2C .-1D .1解析:选D.tan (π4+α)·cos 2α2cos 2(π4-α)=sin (π4+α)·cos 2α2sin 2(π4+α)cos (π4+α)=cos 2α2sin (π4+α)cos (π4+α)=cos 2αsin2(π4+α)=cos 2αsin (π2+2α)=cos 2αcos 2α=1,选D. 6.已知sin θ2+cos θ2=233,则cos 2θ=__________.解析:因为sin θ2+cos θ2=233,所以1+sin θ=43,即sin θ=13,所以cos 2θ=1-2sin 2θ=1-29=79.答案:797.若3sin x -3cos x =23sin(x +φ),φ∈(-π,π),则φ=________. 解析:∵3sin x -3cos x =23(32sin x -12cos x ) =23sin(x -π6),∴φ=-π6.答案:-π68.化简:sin α+sin 2α1+cos α+cos 2α=________.解析:原式=sin α(1+2cos α)1+cos α+2cos 2α-1=sin α(1+2cos α)cos α(1+2cos α)=tan α.答案:tan α9.求3tan 12°-3sin 12°(4cos 212°-2)的值.解:原式=3sin 12°-3cos 12°cos 12°sin 12°·2cos 24°=3sin 12°-3cos 12°sin 24°cos 24°=43(sin 12°cos 60°-cos 12°sin 60°)2sin 24°cos 24°=43sin (-48°)sin 48°=-4 3.10.已知α为钝角,β为锐角,且sin α=45,sin β=1213,求cos α-β2.解:∵α为钝角,β为锐角,sin α=45,sin β=1213,∴cos α=-35,cos β=513.cos(α-β)=cos αcos β+sin αsin β =-35×513+45×1213=3365.又π2<α<π,0<β<π2, ∴0<α-β<π,0<α-β2<π2.∴cos α-β2=1+cos (α-β)2=1+33652=76565.。
高中数学必修四--三角恒等变换卷I (选择题)一、 选择题 (本题共计 12 小题 ,每题 5 分 ,共计60分 , )1. cos 75◦cos 15◦−sin 255◦sin 165◦的值是( ) A.−12 B.12C.√32D.−√322. 在△ABC 中,若AB →2>AB →⋅AC →+BA →⋅BC →+CA →⋅CB →,则△ABC 是( ) A.不等边三角形 B.三条边不全等的三角形C.锐角三角形D.钝角三角形3. 已知tan α=12,则tan 2α=( ) A.−43 B.43C.−34D.344. sin 50∘sin 70∘−cos 50∘sin 20∘的值等于( ) A.14 B.√32C.12D.√345.化简cos (α+β)cos α+sin (α+β)sin α=( ) A.sin (2α+β) B.sin β C.cos (2α+β) D.cos β6. 若sin (α−β)sin β−cos (α−β)cos β=45,且α是第二象限的角,则tan (π4+α)=( ) A.7 B.−7C.17D.−177. 已知α是锐角,则下列各式成立的是( )A.sin α+cos α=12 B.sin α+cos α=1 C.sin α+cos α=43 D.sin α+cos α=538. 已知tan α=−12,则2sin 2α+sin αcos α( ) A.0 B.−15C.−25D.259. 已知sin 2α=13,则cos 2(α−π4)=( )A.23 B.−23C.13D.−1310. 若 tan 110∘=a ,则tan 50∘ 的值为( ) A.√3+a1+√3aB.√3−a1+√3aC.√31−√3aD.√31+√3a11. 若x =π12,则sin 4x −cos 4x 的值为( )A.12B.−12C.−√32D.√3212. 设θ为第二象限角,则√1−sin 2θcos θ−sin θ的值为( )A.−1B.1C.−1或1D.不能确定卷II (非选择题)二、 填空题 (本题共计 6 小题 ,每题 5 分 ,共计30分 , )13. 已知 tan (α+β)=2,tan (α−β)=3 ,则sin 2αcos 2β的值为________.14. 若sin α2=√33,则cos α=________.15. 已知α∈(0, π),sin α+cos α=15,则tan α=________.16. (1)计算:cos (−163π)=________; 16.(2)已知sin α=12,α∈[0, 2π],则α=________.17. “无字证明”(proofs witℎout words),就是将数学命题用简单、有创意而且易于理解的几何图形来呈现.请利用图甲、图乙中阴影部分的面积关系,写出该图所验证的一个三角恒等变换公式:________.18. 已知sinα+cosα=−15(0≤α≤π),则tanα=________.三、解答题(本题共计 5 小题,每题 12 分,共计60分,)19. 已知函数f(x)=4a cos x⋅sin(x−π3)+√3a+b,设x∈[0.π2],f(x)的最小值是−2,最大值是√3,求实数a,b的值.20. (1)若cos(75∘+α)=35,(−180∘<α<−90∘),求sin(105∘−α)+cos(375∘−α)值; 20.(2)在△ABC中,若sin A+cos A=−713,求sin A−cos A,tan A的值.21. 在△ABC中,已知cos2(π2+A)+cos A=54且b+c=√3a,求cos B−C2的值.22. 利用两角和与差的正弦、余弦公式证明:sinαcosβ=12[sin(α+β)+sin(α−β)];cosαsinβ=12[sin(α+β)−sin(α−β)];cosαsinβ=12[cos(α+β)+cos(α−β)];sinαcosβ=12[cos(α+β)−cos(α−β)].23. 求证:(1)sinθ−sinφ=2cosθ+φ2sinθ−φ2;(2)cosθ+cosφ=2cosθ+φ2cosθ−φ2;(3)cosθ−cosφ=−2sinθ+φ2sinθ−φ2.参考答案与试题解析高中数学必修四--三角恒等变换一、选择题(本题共计 12 小题,每题 5 分,共计60分)1.【解答】解:cos75◦cos15◦−sin255◦sin165◦=cos75◦cos15◦+sin75◦sin15◦=cos(75◦−15◦)=cos60◦=12,故选B.2.【解答】∵在△ABC中AB→2>AB→⋅AC→+BA→⋅BC→+CA→⋅CB→,∴AB→2>AB→⋅AC→−AB→⋅BC→+CA→⋅CB→∴AB→2>AB→⋅(AC→−BC→)+CA→⋅CB→∴AB→2>AB→2+CA→⋅CB→∴CA→⋅CB→<0,∴∠C>90∘∴△ABC为钝角三角形3.【解答】解:已知tanα=12,则tan2α=2tanα1−tan2α=11−14=43.故选B.4.【解答】解:sin50∘sin70∘−cos50∘sin20∘=sin50∘cos20∘−cos50∘sin20∘=sin(50∘−20∘)=sin30∘=12,故选:C.5.【解答】解:cos(α+β)cosα+sin(α+β)sinα=cos[(α+β)−α]=cosβ.故选D.6.【解答】解:依题意,由sin(α−β)sinβ−cos(α−β)cosβ=45,得cosα=−45,又α是第二象限角,所以tanα=−34,tan(α+π4)=1−341+34=17,故选C.7.【解答】解:由α是锐角,即0<α<π2,则sinα+cosα=√2(√22sinα+√22cosα)=√2sin(α+π4),由于π4<α+π4<3π4,则√22<sin(α+π4)≤1.即有1<sinα+cosα≤√2.则A,B,D错,C对.故选C.8.【解答】此题暂无解答9.【解答】解:∵sin2α=13,∴cos2(α−π4)=1+cos2(α−π4)2=1+sin2α2=23.故选A.10.【解答】此题暂无解答11.【解答】解:∵x=π12,∴sin4x−cos4x=sin2x−cos2x=−cos2x=−cosπ6=−√32,故选:C.12.【解答】解:∵θ为第二象限角,∴sinθ>0,cosθ<0,∴√1−sin2θ=√(sinθ−cosθ)2=sinθ−cosθ,∴√1−sin2θcosθ−sinθ=sinθ−cosθcosθ−sinθ=−1.故选A.二、填空题(本题共计 6 小题,每题 5 分,共计30分)13.【解答】解:sin2αcos2β=sin[(α+β)+(α−β)] cos[(α+β)−(α−β)]=sin(α+β)cos(α−β)+cos(α+β)sin(α−β) cos(α+β)cos(α−β)+sin(α+β)sin(α−β)=tan(α+β)+tan(α−β) 1+tan(α+β)tan(α−β)=2+31+2×3=57.故答案为:57.14.【解答】解:∵sinα2=√33,∴cosα=1−2sin2α2=1−2×39=13,故答案为:13.15.【解答】解:由于α∈(0, π),所以{sinα+cosα=15,sin2α+cos2α=1,解方程组整理得{sinα=45,cosα=−35,所以tanα=−43.16. 【解答】 解:(1) cos (−16π3)=cos (−6π+2π3)=cos 2π3=−12,(2) 已知sin α=12,α∈[0, 2π],∴ α=π6,或α=5π6,17.【解答】解:在左边的图中大矩形的面积S =(cos β+cos α)(sin β+sin α)=sin βcos β+cos βsin α+cos αsin α+sin βcos α+sin αcos α=sin (α+β)+sin βcos β+sin αcos α.用大矩形的面积S 减去4个直角三角形的面积就等于阴影部分的面积 S 1. 空白部分的面积等于4个直角三角形的面积,即2×(12sin βcos β+12sin αcos α)=sin βcos β+sin αcos α.故阴影部分的面积 S 1=S −sin βcos β+sin αcos α=sin (α+β).而在右边的图中阴影部分的面积 S 2 等于2个阴影小矩形的面积之和,即S 2=sin αcos β+cos αsin β.在右边的图中大矩形的面积也等于S ,S 2等于大矩形得面积S 减去2个小空白矩形的面积,而2个空白矩形的面积之和,即sin βcos β+sin αcos α, 故左图中空白部分的面积等于右图中空白部分的面积.故左右图中阴影部分的面积也相等,即 S 1=S 2,故有sin (α+β)=sin αcos β+cos αsin β,故答案为 sin (α+β)=sin αcos β+cos αsin β. 18. 【解答】解:∵ sin α+cos α=−15∴ (sin α+cos α)2=sin 2α+2sin αcos α+cos 2α=1+2sin αcos α=125 ∴ 2sin αcos α=−2425 ∴ 1sin αcos α=sin 2α+cos 2αsin αcos α=tan α+1tan α=−1225∴ 25tan 2α+12tan α+25=0 ∴ tan α=−43或−34∵ 0≤α≤π,sin α>0,cos α<0,sin α+cos α=−15<0 ∴ |sin α|<|cos α|∴ |tan α|<1,tan α=−43不符合题意三、解答题(本题共计 5 小题,每题 12 分,共计60分)19.【解答】解:∵f(x)=4a cos x⋅sin(x−π3)+√3a+b=4a cos x[12sin x−√32cos x]+√3a+b=a sin2x−√3a cos2x+b=2a sin(2x−π3)+b∵x∈[0.π2],∴2x−π3∈[−π3, 2π3],可得−√32≤sin(2x−π3)≤1,∴−√3a+b≤f(x)≤2a+b∴由已知可得:−√3a+b=−2,2a+b=√3,从而解得:a=4√3−7,b=14−7√3.20.【解答】解:(1)sin(105∘−α)=sin[180∘−(75∘+α)]=sin(75∘+α)∵−180∘<α<−90∘∴−105∘<75∘+α<−15∘又cos(75∘+α)=35>0∴−90∘<75∘+α<−15∘∴sin(75∘+α)=−45cos(375∘−α)=cos(15∘−α)=cos[90∘−(75∘+α)]=sin(75∘+α)=−4 5∴原式=−85(2)由sin A+cos A=−713两边平方得1+2sin A cos A=49169而0<A<π2sin A cos A=−120169<0∴π2<A<π∴1−2sin A cos A=289169即(sin A−cos A)2=(1713)2又sin A−cos A>0sin A−cos A=1713∴{sin A=513cos A=−1213∴tan A=−51221. 【解答】解:由cos 2(π2+A)+cos A =54得(cos A −12)2=0则cos A =12,∴ A =60∘,B +C =120∘.又由b +c =√3a 得sin B +sin C =32, sin B +sin C =sin (120∘−C)+sin C =√32cos C +32sin C =√3cos (60∘−C) ∴ √3cos (60∘−C)=32,则cos (60∘−C)=√32, 于是B +C =120∘,B−C 2=60∘−C ,即cosB−C 2=√3222.【解答】证明:∵ sin (α+β)+sin (α−β)=sin αcos β+cos αsin β+sin αcos β−cos αsin β=2sin αcos β,∴ sin αcos β=12[sin (α+β)+sin (α−β)]. 同理可证,cos αsin β=12[sin (α+β)−sin (α−β)]; cos αsin β=12[cos (α+β)+cos (α−β)]; sin αcos β=12[cos (α+β)−cos (α−β)]. 23. 【解答】 证明:(1)令θ+φ2=α,θ−φ2=β,则θ=α+β,φ=α−β,即有sin θ−sin φ=sin (α+β)−sin (α−β) =sin αcos β+cos αsin β−sin αcos β+cos αsin β =2cos αsin β =2cos θ+φ2sinθ−φ2;(2)令θ+φ2=α,θ−φ2=β,则θ=α+β,φ=α−β,即有cos θ+cos φ=cos (α+β)+cos (α−β) =cos αcos β−sin αsin β+cos αcos β+sin αsin β =2cos αcos β =2cos θ+φ2cosθ−φ2;(3)令θ+φ2=α,θ−φ2=β,则θ=α+β,φ=α−β,即有cos θ−cos φ=cos (α+β)−cos (α−β) =cos αcos β−sin αsin β−cos αcos β−sin αsin β=−2sinαsinβ=−2sinθ+φ2sinθ−φ2;试卷第11页,总11页。
最新文件---------------- 仅供参考--------------------已改成-----------word 文本 --------------------- 方便更改三角恒等变换常考题型分析一选择题1.在△ABC 中,若B A B A cos cos sin sin <⋅,则△ABC 一定为( ).A .等边三角形B .直角三角形C .锐角三角形D .钝角三角形 2.︒⋅︒+︒+︒19tan 11tan 19tan 311tan 3的值是( ).A .3B .33C .0D .13. 48cos 78sin 24cos 6sin ⋅⋅⋅的值为( ).A .161B .161-C .321D .81 4.已知θ为第二象限角,225sin sin 240θθ+-=,则cos 2θ的值为( ).A .53-B .53±C .22D .54±5.已知不等式()2cos 0444x x x f x m =+-≤对于任意的 566x ππ-≤≤恒成立,则实数m 的取值范围是( ).A.m ≥B.m ≤C.m ≤D.m ≤≤二、填空题6.已知βα,3(,)4π∈π,53)sin(-=+βα,12sin()413βπ-=,则cos()4απ+= . 7.已知31cos cos ,41sin sin =+=+βαβα,则)tan(βα+的为 . 8.化简)120cos(3)60sin(2)60sin(x x x -︒-︒-+︒+的结果是 .三、解答题13.已知91)2cos(-=-βα,32)2sin(=-βα,0α<<π,02βπ<<,求)cos(βα+的值.14.(1)已知α为第二象限角,且415sin =α,求sin()4sin 2cos21αααπ+++的值.(2)已知0cos 2sin =+θθ,求θθθ2cos 12sin 2cos +-的值.17.已知函数2()sin()sin()cos 2f x x x x π=π--+. (1)求函数()f x 的最小正周期; (2)当3[,]88x ππ∈-时,求函数()f x 的单调区间.18.如图,在平面直角坐标系xOy 中,以Ox 轴为始边作两个锐角α,β,它们的终边分别与单位圆相交于A ,B 两点,已知A ,B 的横坐标分别为102,552. (1)求)tan(βα+的值; (2)求βα2+的值.最新文件---------------- 仅供参考--------------------已改成-----------word文本 --------------------- 方便更改赠人玫瑰,手留余香。
高中数学学习材料马鸣风萧萧*整理制作简单的三角恒等变换单元检测三一、选择题1.若tan 2θ=,则2sin 2cos2θθ+的值为( )A .1-B .1C .3D .122.若2cos()cos()(0)4462πππθθθ-⋅+=<<,则sin 2θ=( ) A .23 B .73 C .76D .3463.在ABC ∆中,若sin sin cos2AB C ⋅=,则ABC ∆是( ) A .等边三角形 B .等腰三角形 C .不等边三角形 D .直角三角形 4.已知等腰三角形顶角的余弦值为2425,则底角的余弦值为( ) A .210 B .710 C .76D .34105.函数sin()sin()44y x x ππ=+⋅-是()A .周期为2π的奇函数B .周期为π的奇函数C .周期为2π的偶函数D .周期为π的偶函数 6.函数y =-sin 2x -3cosx +3的最小值为( ) A.2B.0C.-41D.67.下列函数中,图象的一部分如右图所示的是( )A.sin 6y x π⎛⎫=+⎪⎝⎭B.sin 26y x π⎛⎫=-⎪⎝⎭C.cos 43y x π⎛⎫=-⎪⎝⎭D.cos 26y x π⎛⎫=-⎪⎝⎭8.将π2cos 36x y ⎛⎫=+ ⎪⎝⎭的图象按向量π24⎛⎫=-- ⎪⎝⎭,a 平移,平移后所得图象解析式为( )A.π2cos 234x y ⎛⎫=+- ⎪⎝⎭ B.π2cos 234x y ⎛⎫=-+ ⎪⎝⎭C.π2cos 2312x y ⎛⎫=-- ⎪⎝⎭D.π2cos 2312x y ⎛⎫=++ ⎪⎝⎭9.tan 20tan(50)1tan 20tan 50--=-( )A.3-B.3C.33-D.3310.2cos10sin 20cos 20-的值是 ( )A.3B.62 C.1 D.1211.0(1tan 21)(1tan 22)(1tan 23)(1tan 24)++++的值等于( ) A.16 B.8 C.4 D.2 12.13sin10sin 80-的值是( )A.1B.2C.4D.14二、填空题.13.已知1sin cos 5θθ+=,且324θππ≤≤,则cos2θ的值是 . 14.化简:21sin 422cos 4+++的结果是 .15.函数22sincos()336x x y π=++的图象中相邻两对称轴的距离是 . 16.若,22sin sin =+βα则βαcos cos +的取值范围. .三、解答题.17.已知函数f (x )=Asin (ωx +ϕ)(A>0,ω>0,||2πϕ<)在一个周期内的图象如图1所示。
必修4第三章三角恒等变换1.(2012·安徽高考卷·T18·5分)在平面直角坐标系中,点O (0,0),点()6,8P ,将向量OP 绕点O 按逆时针方向旋转34π后得向量OQ ,则点Q 的坐标是( ) (A )()72,2-- (B )()72,2- (C) ()46,2-- (D ) ()46,2- 【答案】A【解析】三角求值和定义.设POx α∠=,因为()6,8P ,所以4tan =3α,可得431tan tan3134tan =34471tan tan 143παπαπα-+⎛⎫+== ⎪⎝⎭-⨯+,验证可知只有当Q 点坐标为()72,2--时满足条件,故答案为A ;法二:估算.设POx α∠=,因为()6,8P ,所以4tan =3α,可得<43ππα<,313<412πππα<+,所以点Q 在第三象限,排除B ,D 选项,又30tan <234πα⎛⎫<+- ⎪⎝⎭,故答案为A.【技巧点拨】本题快速求解的办法是直接估测出角34πα+的范围,再利用三角函数定义加以排除.2.(2012·安徽高考卷·T4·5分)把函数y=cos2x+1的图象上所有点的横坐标伸长到原来的2倍(纵坐标不变),然后向左平移1个单位长度,再向下平移 1个单位长度,得到的图像是【答案】B【解析】把函数y =cos2x +1的图像上所有点的横坐标伸长到原来的2倍(纵坐标不变)得:y 1=cos x +1,向左平移1个单位长度得:y 2=cos(x —1)+1,再向下平移1个单位长度得:y 3=cos(x —1).令x =0,得:y 3>0;x =12π+,得:y 3=0;观察即得答案.【点评】本题主要考察三角函数的图象变化,三角变换是三角函数图象内容的一个重要的考点3.(2011年辽宁)设sin 1+=43πθ(),则sin 2θ= (A )79-(B )19-(C )19 (D )79【答案】A4.(2011年福建)若tan α=3,则2sin 2cos a α的值等于A .2B .3C .4D .6 【答案】D5.(2011年全国新课标)设函数()sin()cos()f x x x ωϕωϕ=+++(0,||)2πωϕ><的最小正周期为π,且()()f x f x -=则(A )()y f x =在(0,)2π单调递减 (B )()y f x =在3(,)44ππ单调递减 (C )()y f x =在(0,)2π单调递增 (D )()y f x =在3(,)44ππ单调递增 【答案】A6.(2011年上海)函数sin()cos()26y x x ππ=+-的最大值为 。
三角恒等变换一、选择题1.求值cos200<)cos350 1 sin 200A .1B .2C .2D .32.函数 y2sin(x) cos(6 x)( xR ) 的最小值等于 <)3. 3 B. 2C . 1D . 5A3.函数 ysin x cosx3cos 2 x 3 的图象的一个对称中心是< )A.(2 ,3)B.(5,3)C.(2,3)D.(,3)3 2623234.△ ABC 中,C900 ,则函数 y sin 2 A 2sin B 的值的状况 <)A .有最大值,无最小值B .无最大值,有最小值C .有最大值且有最小值D.无最大值且无最小值5. (1tan210 )(1 tan220 )(1 tan230 )(1 tan240 ) 的值是 (>A. 16B.8 C.4 D.26.当 0x时 , 函数 f ( x)cos 2 x的最小值是 <)cos x sin x sin 24xA .4B .1C .2D .124二、填空题1.给出以下命题:①存在实数x ,使 sin x cos x3;2②若 , 是第一象限角,且,则 coscos ;③函数 ysin( 2x) 是偶函数;32④函数 ysin 2x 的图象向左平移个单位,获得函数ysin(2 x) 的图象.44此中正确命题的序号是 ____________. <把正确命题的序号都填上)2.函数 y tanx1 的最小正周期是 ___________________ 。
2sin x3.已知sin cos 1cos1) =__________。
, sin,则 sin(324.函数y sin x 3 cos x 在区间0,上的最小值为.25.函数y(a cos x b sin x)cos x 有最大值 2 ,最小值1,则实数a____, b ___三、解答题1.已知函数 f ( x)sin( x)cos( x) 的定义域为 R ,<1)当0 时,求 f ( x) 的单一区间;<2)若(0,) ,且 sin x0 ,当为什么值时, f (x) 为偶函数.2.已知△ ABC的内角B知足2cos 2B 8cos B 5 0, ,若BC a,CA b且a, b知足:a b9 ,a3,b 5 ,为 a, b 的夹角.求sin( B) 。
(数学4必修)第三章 三角恒等变换[基础训练A 组]一、选择题1.已知(,0)2x π∈-,4cos 5x =,则=x 2tan ( ) A .247 B .247- C .724 D .724- 2.函数3sin 4cos 5y x x =++的最小正周期是( )A .5πB .2π C .π D .2π 3.在△ABC 中,cos cos sin sin A B A B >,则△ABC 为( )A .锐角三角形B .直角三角形C .钝角三角形D .无法判定4.设00sin14cos14a =+,00sin16cos16b =+,c =则,,a b c 大小关系( )A .a b c <<B .b a c <<C .c b a <<D .a c b <<5.函数)cos[2()]y x x ππ=-+是( ) A .周期为4π的奇函数 B .周期为4π的偶函数 C .周期为2π的奇函数 D .周期为2π的偶函数6.已知cos 2θ=44sin cos θθ+的值为( ) A .1813 B .1811 C .97 D .1- 二、填空题1.求值:0000tan 20tan 4020tan 40+=_____________。
2.若1tan 2008,1tan αα+=-则1tan 2cos 2αα+= 。
3.函数f x x x x ()cos sin cos =-223的最小正周期是___________。
4.已知sin cos 223θθ+=那么sin θ的值为 ,cos 2θ的值为 。
5.ABC ∆的三个内角为A 、B 、C ,当A 为 时,cos 2cos2B C A ++取得最大值,且这个最大值为 。
三、解答题1.已知sin sin sin 0,cos cos cos 0,αβγαβγ++=++=求cos()βγ-的值.2.若,22sin sin =+βα求βαcos cos +的取值范围。
(数学4必修)第三章 三角恒等变换
[基础训练A 组]
一、选择题
1.已知(,0)2x π∈-,4cos 5x =,则=x 2tan ( ) A .247 B .247- C .724 D .7
24- 2.函数3sin 4cos 5y x x =++的最小正周期是( )
A .
5π B .2
π C .π D .2π 3.在△ABC 中,cos cos sin sin A B A B >,则△ABC 为( ) A .锐角三角形 B .直角三角形 C .钝角三角形 D .无法判定
4.设00sin14cos14a =+,00sin16cos16b =+,c =
, 则,,a b c 大小关系( )
A .a b c <<
B .b a c <<
C .c b a <<
D .a c b <<
5.函数)cos[2()]y x x ππ=
-+是( ) A .周期为4π的奇函数 B .周期为4
π的偶函数 C .周期为2π的奇函数 D .周期为2
π的偶函数
6.已知cos 2θ=
44sin cos θθ+的值为( ) A .1813 B .1811 C .9
7 D .1- 二、填空题
1.求值:0000
tan 20tan 4020tan 40+=_____________。
2.若1tan 2008,1tan αα+=-则1tan 2cos 2αα
+= 。
3.函数f x x x x ()cos sin cos =-223的最小正周期是___________。
4.已知sin cos 223
θ
θ
+=那么sin θ的值为 ,cos2θ的值为 。
5.ABC ∆的三个内角为A 、B 、C ,当A 为 时,cos 2cos
2
B C A ++取得最大值,且这个最大值为 。
三、解答题
1.已知sin sin sin 0,cos cos cos 0,αβγαβγ++=++=求cos()βγ-的值.
2.若,2
2sin sin =
+βα求βαcos cos +的取值范围。
3.求值:0
010001cos 20sin10(tan 5tan 5)2sin 20
-+--
4.已知函数.,2
cos 32sin R x x x y ∈+= (1)求y 取最大值时相应的x 的集合;
(2)该函数的图象经过怎样的平移和伸变换可以得到)(sin R x x y ∈=的图象.
(数学4必修)第三章 三角恒等变换
[综合训练B 组]
一、选择题
1.设2132tan131cos50cos6sin 6,,,221tan 13a b c -=-==+则有( ) A .a b c >> B .a b c << C .a c b << D .b c a <<
2.函数221tan 21tan 2x y x
-=+的最小正周期是( ) A .
4π B .2
π C .π D .2π 3.sin163sin 223sin 253sin313+=( )
A .12-
B .12
C .2-
D .2 4.已知3sin(),45
x π-=则sin 2x 的值为( ) A .1925 B .1625 C .1425 D .725
5.若(0,)απ∈,且1cos sin 3αα+=-,则cos2α=( )
A .917
B .
C .
D .317 6.函数x x y 24cos sin +=的最小正周期为( )
A .4π
B .2
π C .π D .2π 二、填空题
1.已知在ABC ∆中,3sin 4cos 6,4sin 3cos 1,A B B A +=+=则角C 的大小为 .
2.计算:o
o o o
o o 80cos 15cos 25sin 10sin 15sin 65sin -+的值为_______. 3.函数22sin
cos()336
x x y π=++的图象中相邻两对称轴的距离是 . 4.函数)(2cos 2
1cos )(R x x x x f ∈-=的最大值等于 . 5.已知)sin()(ϕω+=x A x f 在同一个周期内,当3π=x 时,)(x f 取得最大值为2,当 0=x 时,)(x f 取得最小值为2-,则函数)(x f 的一个表达式为______________.
三、解答题
1. 求值:(1)0
00078sin 66sin 42sin 6sin ; (2)0
0020250cos 20sin 50cos 20sin ++。
2.已知4A B π+=
,求证:(1tan )(1tan )2A B ++=
3.求值:94cos log 92cos log 9cos
log 222πππ++。
4.已知函数2()(cos sin cos )f x a x x x b =++
(1)当0a >时,求()f x 的单调递增区间;
(2)当0a <且[0,
]2x π∈时,()f x 的值域是[3,4],求,a b 的值.
(数学4必修)第三章 三角恒等变换
[提高训练C 组]
一、选择题
10
=( )
A .1
B .2
C D
2.函数))(6cos()3sin(2R x x x y ∈+--=π
π的最小值等于( ) A .3- B .2-
C .1-
D .
3.函数2sin cos y x x x =+的图象的一个对称中心是( )
A .2(,3π
B .5(,6π
C .2(,32π-
D .(,3
π 4.△ABC 中,090C ∠=,则函数2sin 2sin y A B =+的值的情况( )
A .有最大值,无最小值
B .无最大值,有最小值
C .有最大值且有最小值
D .无最大值且无最小值
5.0000
(1tan 21)(1tan 22)(1tan 23)(1tan 24)++++ 的值是( )
A . 16
B . 8
C . 4
D . 2 6.当04x π
<<时,函数22cos ()cos sin sin x f x x x x =-的最小值是( ) A .4 B .
12
C .2
D .14 二、填空题
1.给出下列命题:①存在实数x ,使3sin cos 2
x x +=; ②若,αβ是第一象限角,且αβ>,则cos cos αβ<; ③函数2sin()32
y x π=+是偶函数; ④函数sin 2y x =的图象向左平移4
π个单位,得到函数sin(2)4y x π=+的图象. 其中正确命题的序号是____________.(把正确命题的序号都填上)
2.函数x
x y sin 12tan
-=的最小正周期是___________________。
3.已知sin cos αβ+13=,sin cos βα-12=,则sin()αβ-=__________。
4.函数x x y cos 3sin +=在区间0,2π⎡⎤⎢⎥⎣⎦
上的最小值为 . 5.函数(cos sin )cos y a x b x x =+有最大值2,最小值1-,则实数a =____,b =___。
三、解答题 1.已知函数()sin()cos()f x x x θθ=+++的定义域为R ,
(1)当0θ=时,求()f x 的单调区间;
(2)若(0,)θπ∈,且sin 0x ≠,当θ为何值时,()f x 为偶函数.
2.已知△ABC 的内角B 满足2cos 28cos 50,B B -+=,若BC a =,CA b =且,a b 满足:
9a b =-,3,5a b ==,θ为,a
b 的夹角.求sin()B
θ+。
3.已知,135)4sin(,40=-<<x x ππ求)
4cos(2cos x x
+π的值。
4.已知函数2()sin cos cos (0)f x a x x x b a =⋅-++>
(1)写出函数的单调递减区间;
(2)设]20[π
,∈x ,()f x 的最小值是2-,最大值是3,求实数,a b 的值.。