2018年中国农业大学农学院拟录取博士研究生名单
- 格式:pdf
- 大小:74.66 KB
- 文档页数:2
2018年东北⼤学学术型博⼠研究⽣拟录取名单录取学院名称录取专业代码录取专业名称姓名录取类别备注⼯商管理学院020201国民经济学艾⼒⾮定向就业⽂法学院120401⾏政管理⽩慧⽂定向就业对⼝⽀援材料科学与⼯程学院080503材料加⼯⼯程⽩景元⾮定向就业马克思主义学院010108科学技术哲学⽩岩定向就业冶⾦学院080603有⾊⾦属冶⾦⽩云龙⾮定向就业中荷⽣物医学与信息⼯程学院083100⽣物医学⼯程柏⾃松⾮定向就业信息科学与⼯程学院081103系统⼯程班韵淇⾮定向就业冶⾦学院080702热能⼯程包宇⾮定向就业⽂法学院120401⾏政管理鲍操⾮定向就业冶⾦学院080602钢铁冶⾦鲍继伟⾮定向就业信息科学与⼯程学院081101控制理论与控制⼯程⼘凯清⾮定向就业资源与⼟⽊⼯程学院083700安全科学与⼯程⼘亚杰⾮定向就业冶⾦学院080602钢铁冶⾦才瑶⾮定向就业录取学院名称录取专业代码录取专业名称姓名录取类别备注资源与⼟⽊⼯程学院081901采矿⼯程蔡荣宦定向就业少民冶⾦学院0807J1新能源材料与技术曹斌⾮定向就业理学院070302分析化学曹建芳⾮定向就业材料科学与⼯程学院080503材料加⼯⼯程曹雷⾮定向就业理学院0703J1化学⽣物学曹蕊⾮定向就业理学院070305⾼分⼦化学与物理曹天龙⾮定向就业冶⾦学院080702热能⼯程曹琬⾮定向就业钢研院联合培养资源与⼟⽊⼯程学院080104⼯程⼒学曹永胜⾮定向就业信息科学与⼯程学院081101控制理论与控制⼯程曹正保⾮定向就业材料科学与⼯程学院080503材料加⼯⼯程柴志松⾮定向就业钢研院联合培养机械⼯程与⾃动化学院080706化⼯过程机械常铭东⾮定向就业信息科学与⼯程学院081104模式识别与智能系统常兴亚⾮定向就业中荷⽣物医学与信息⼯程学院083100⽣物医学⼯程畅润笙⾮定向就业冶⾦学院080603有⾊⾦属冶⾦晁曦⾮定向就业信息科学与⼯程学院081103系统⼯程澈格乐根⾮定向就业冶⾦学院080602钢铁冶⾦陈超⾮定向就业理学院070305⾼分⼦化学与物理陈超先⾮定向就业材料科学与⼯程学院080503材料加⼯⼯程陈冬梅⾮定向就业理学院070305⾼分⼦化学与物理陈欢⾮定向就业录取学院名称录取专业代码录取专业名称姓名录取类别备注信息科学与⼯程学院081101控制理论与控制⼯程陈汲清⾮定向就业冶⾦学院080603有⾊⾦属冶⾦陈丽⽻⾮定向就业⼯商管理学院120202企业管理陈宁宁⾮定向就业信息科学与⼯程学院081104模式识别与智能系统陈秋⽣⾮定向就业机械⼯程与⾃动化学院080203机械设计及理论陈仁桢⾮定向就业⽂法学院120401⾏政管理陈诗怡⾮定向就业冶⾦学院080602钢铁冶⾦陈⼠富⾮定向就业资源与⼟⽊⼯程学院083700安全科学与⼯程陈守坤⾮定向就业软件学院083500软件⼯程陈爽⾮定向就业冶⾦学院080602钢铁冶⾦陈天赐⾮定向就业资源与⼟⽊⼯程学院080104⼯程⼒学陈甜甜⾮定向就业材料科学与⼯程学院080503材料加⼯⼯程陈星瑞⾮定向就业冶⾦学院080603有⾊⾦属冶⾦陈杨⾮定向就业⼯商管理学院120100管理科学与⼯程陈忠伟⾮定向就业材料科学与⼯程学院080503材料加⼯⼯程程春龙⾮定向就业⼯商管理学院020201国民经济学程晶晶定向就业马克思主义学院010108科学技术哲学程鹏⾮定向就业材料科学与⼯程学院080502材料学程思飞⾮定向就业计算机科学与⼯程学院081203计算机应⽤技术程维维⾮定向就业录取学院名称录取专业代码录取专业名称姓名录取类别备注中荷⽣物医学与信息⼯程学院083100⽣物医学⼯程丛培芳⾮定向就业计算机科学与⼯程学院081202计算机软件与理论崔鹏杰⾮定向就业⽂法学院120405⼟地资源管理崔俏定向就业冶⾦学院080601冶⾦物理化学崔⽥路⾮定向就业资源与⼟⽊⼯程学院081901采矿⼯程代连朋⾮定向就业材料科学与⼯程学院080501材料物理与化学戴步实⾮定向就业机械⼯程与⾃动化学院080203机械设计及理论戴卫兵⾮定向就业计算机科学与⼯程学院081201计算机系统结构单垚⾮定向就业资源与⼟⽊⼯程学院081901采矿⼯程邓磊⾮定向就业信息科学与⼯程学院081101控制理论与控制⼯程邓瑞祥⾮定向就业软件学院083500软件⼯程邓新洋⾮定向就业理学院070302分析化学丁⼦玲⾮定向就业资源与⼟⽊⼯程学院081901采矿⼯程董⼆虎⾮定向就业信息科学与⼯程学院081101控制理论与控制⼯程董海佩⾮定向就业机械⼯程与⾃动化学院080203机械设计及理论董洪⽂⾮定向就业资源与⼟⽊⼯程学院081901采矿⼯程董鑫⾮定向就业材料科学与⼯程学院080502材料学董鑫鑫⾮定向就业材料科学与⼯程学院080503材料加⼯⼯程董营⾮定向就业材料科学与⼯程学院080503材料加⼯⼯程段瑞海⾮定向就业录取学院名称录取专业代码录取专业名称姓名录取类别备注材料科学与⼯程学院080503材料加⼯⼯程段⽂超⾮定向就业⼯商管理学院120100管理科学与⼯程樊宁远⾮定向就业冶⾦学院080701⼯程热物理范俊赓⾮定向就业冶⾦学院080602钢铁冶⾦范磊⾮定向就业中荷⽣物医学与信息⼯程学院083100⽣物医学⼯程房佳瑶⾮定向就业信息科学与⼯程学院081101控制理论与控制⼯程房志铭⾮定向就业理学院080101⼀般⼒学与⼒学基础费洪柱⾮定向就业材料科学与⼯程学院080502材料学丰敏⾮定向就业计算机科学与⼯程学院081001通信与信息系统冯川⾮定向就业⼯商管理学院120100管理科学与⼯程冯⼴琦⾮定向就业信息科学与⼯程学院081103系统⼯程冯桂林⾮定向就业材料科学与⼯程学院080502材料学冯建⾮定向就业机械⼯程与⾃动化学院080202机械电⼦⼯程冯乃诗⾮定向就业材料科学与⼯程学院080503材料加⼯⼯程付⾦禹⾮定向就业机械⼯程与⾃动化学院080203机械设计及理论付柯⾮定向就业冶⾦学院080601冶⾦物理化学⾼峰⾮定向就业⼯商管理学院020206国际贸易学⾼瑞⾮定向就业信息科学与⼯程学院081102检测技术与⾃动化装置⾼硕⾮定向就业资源与⼟⽊⼯程学院080104⼯程⼒学⾼源⾮定向就业录取学院名称录取专业代码录取专业名称姓名录取类别备注资源与⼟⽊⼯程学院083700安全科学与⼯程葛及⾮定向就业材料科学与⼯程学院080502材料学葛建⽂⾮定向就业冶⾦学院0807J2⼯业⽣态学宫赫⾮定向就业中荷⽣物医学与信息⼯程学院083100⽣物医学⼯程巩⽴鑫⾮定向就业理学院070305⾼分⼦化学与物理⾕志达⾮定向就业理学院070301⽆机化学关葆乐⾮定向就业机械⼯程与⾃动化学院080201机械制造及其⾃动化关闯⾮定向就业资源与⼟⽊⼯程学院081401岩⼟⼯程桂婉妹⾮定向就业信息科学与⼯程学院081101控制理论与控制⼯程郭策⾮定向就业机械⼯程与⾃动化学院080203机械设计及理论郭凡逸⾮定向就业信息科学与⼯程学院081101控制理论与控制⼯程郭慧萍⾮定向就业冶⾦学院080603有⾊⾦属冶⾦郭军华⾮定向就业理学院070302分析化学郭俊丽⾮定向就业⼯商管理学院020201国民经济学郭晴定向就业中荷⽣物医学与信息⼯程学院083100⽣物医学⼯程郭瑞芳⾮定向就业⼯商管理学院020201国民经济学郭信峰定向就业理学院070302分析化学果婷婷⾮定向就业机械⼯程与⾃动化学院080706化⼯过程机械韩峰⾮定向就业机械⼯程与⾃动化学院080203机械设计及理论韩洪征⾮定向就业录取学院名称录取专业代码录取专业名称姓名录取类别备注冶⾦学院080603有⾊⾦属冶⾦韩⾦儒⾮定向就业有⾊院联合培养资源与⼟⽊⼯程学院081401岩⼟⼯程韩⽂帅⾮定向就业马克思主义学院010108科学技术哲学韩雪⾮定向就业信息科学与⼯程学院080804电⼒电⼦与电⼒传动汉焕英⾮定向就业材料科学与⼯程学院080503材料加⼯⼯程郝俊杰⾮定向就业机械⼯程与⾃动化学院080704流体机械及⼯程郝明⾮定向就业材料科学与⼯程学院080502材料学郝晓⽂⾮定向就业机械⼯程与⾃动化学院080202机械电⼦⼯程何凤霞⾮定向就业冶⾦学院080602钢铁冶⾦何鹏⾮定向就业信息科学与⼯程学院081103系统⼯程和柏杨⾮定向就业理学院080101⼀般⼒学与⼒学基础洪⼴洋⾮定向就业材料科学与⼯程学院080503材料加⼯⼯程侯迪⽂⾮定向就业资源与⼟⽊⼯程学院081902矿物加⼯⼯程侯端旭⾮定向就业资源与⼟⽊⼯程学院081901采矿⼯程侯朋远⾮定向就业⼯商管理学院020204⾦融学侯⽻婷⾮定向就业理学院070305⾼分⼦化学与物理侯治鹏⾮定向就业信息科学与⼯程学院081101控制理论与控制⼯程胡杰⾮定向就业信息科学与⼯程学院081101控制理论与控制⼯程胡锦兴⾮定向就业中荷⽣物医学与信息⼯程学院083100⽣物医学⼯程胡深明⾮定向就业录取学院名称录取专业代码录取专业名称姓名录取类别备注材料科学与⼯程学院080503材料加⼯⼯程胡晓⾮定向就业信息科学与⼯程学院081102检测技术与⾃动化装置胡旭光⾮定向就业理学院070305⾼分⼦化学与物理胡泽楠⾮定向就业理学院070302分析化学胡徵杰⾮定向就业马克思主义学院030501马克思主义基本原理黄成敬欣⾮定向就业材料科学与⼯程学院080502材料学黄东⾮定向就业材料科学与⼯程学院080502材料学黄略⾮定向就业有⾊院联合培养材料科学与⼯程学院080503材料加⼯⼯程黄鹏⾮定向就业信息科学与⼯程学院081101控制理论与控制⼯程黄⽟坤⾮定向就业冶⾦学院080602钢铁冶⾦黄壮⾮定向就业材料科学与⼯程学院080501材料物理与化学冀连泽⾮定向就业材料科学与⼯程学院080502材料学贾⽆名⾮定向就业材料科学与⼯程学院080503材料加⼯⼯程贾永辉⾮定向就业理学院070304物理化学贾中秋⾮定向就业理学院070302分析化学菅晓霞⾮定向就业软件学院083500软件⼯程江欣蓓⾮定向就业信息科学与⼯程学院081101控制理论与控制⼯程姜琳⾮定向就业信息科学与⼯程学院081103系统⼯程姜雪莹⾮定向就业机械⼯程与⾃动化学院080704流体机械及⼯程姜玥⾮定向就业录取学院名称录取专业代码录取专业名称姓名录取类别备注材料科学与⼯程学院080502材料学蒋⾦哲⾮定向就业理学院0703J1化学⽣物学蒋⼩涵⾮定向就业信息科学与⼯程学院081103系统⼯程焦国帅⾮定向就业冶⾦学院080602钢铁冶⾦焦卫超⾮定向就业钢研院联合培养⼯商管理学院020202区域经济学焦阳⾮定向就业材料科学与⼯程学院080502材料学解磊鹏⾮定向就业马克思主义学院010108科学技术哲学⾦⽕⾮定向就业信息科学与⼯程学院081101控制理论与控制⼯程⾦正红⾮定向就业材料科学与⼯程学院080503材料加⼯⼯程荆毅⾮定向就业冶⾦学院080603有⾊⾦属冶⾦瞿⾦为⾮定向就业材料科学与⼯程学院080503材料加⼯⼯程阚⽴烨⾮定向就业马克思主义学院010101马克思主义哲学阚予⼼⾮定向就业冶⾦学院080602钢铁冶⾦康从鹏⾮定向就业机械⼯程与⾃动化学院080201机械制造及其⾃动化康迪⾮定向就业冶⾦学院080702热能⼯程康天宇⾮定向就业马克思主义学院010108科学技术哲学孔璐⾮定向就业材料科学与⼯程学院080502材料学孔轩⾮定向就业⼯商管理学院020209数量经济学寇坡⾮定向就业⼯商管理学院020201国民经济学蓝管秀锋⾮定向就业录取学院名称录取专业代码录取专业名称姓名录取类别备注⼯商管理学院020205产业经济学冷丽婧⾮定向就业资源与⼟⽊⼯程学院081801矿产普查与勘探黎永丽⾮定向就业机器⼈科学与⼯程学院0811J1机器⼈科学与⼯程礼冬雪⾮定向就业冶⾦学院080602钢铁冶⾦李博洋⾮定向就业资源与⼟⽊⼯程学院081801矿产普查与勘探李超定向就业材料科学与⼯程学院080503材料加⼯⼯程李成儒⾮定向就业理学院070304物理化学李翠翠⾮定向就业⼯商管理学院120100管理科学与⼯程李峰⾹⾮定向就业材料科学与⼯程学院080502材料学李烽杰⾮定向就业资源与⼟⽊⼯程学院083700安全科学与⼯程李国栋⾮定向就业⽂法学院120401⾏政管理李过⾮定向就业⼯商管理学院020204⾦融学李鹤⾮定向就业信息科学与⼯程学院081101控制理论与控制⼯程李欢⾮定向就业材料科学与⼯程学院080503材料加⼯⼯程李慧定向就业对⼝⽀援信息科学与⼯程学院081101控制理论与控制⼯程李慧婷⾮定向就业材料科学与⼯程学院080503材料加⼯⼯程李佳彧⾮定向就业材料科学与⼯程学院080503材料加⼯⼯程李家智⾮定向就业材料科学与⼯程学院080502材料学李嘉琦⾮定向就业材料科学与⼯程学院080502材料学李景仁⾮定向就业录取学院名称录取专业代码录取专业名称姓名录取类别备注材料科学与⼯程学院080501材料物理与化学李静⾮定向就业计算机科学与⼯程学院081203计算机应⽤技术李可欣⾮定向就业信息科学与⼯程学院081101控制理论与控制⼯程李克勤⾮定向就业材料科学与⼯程学院080503材料加⼯⼯程李坤⾮定向就业机械⼯程与⾃动化学院080202机械电⼦⼯程李雷⾮定向就业信息科学与⼯程学院081101控制理论与控制⼯程李莉⾮定向就业计算机科学与⼯程学院081201计算机系统结构李玲⾮定向就业⼯商管理学院020204⾦融学李玲格⾮定向就业⼯商管理学院120202企业管理李梦伊⾮定向就业冶⾦学院080701⼯程热物理李鹏定向就业机械⼯程与⾃动化学院080201机械制造及其⾃动化李奇⾮定向就业计算机科学与⼯程学院081202计算机软件与理论李倩⾮定向就业⽂法学院120401⾏政管理李倩夫⾮定向就业理学院070205凝聚态物理李姗姗⾮定向就业资源与⼟⽊⼯程学院081401岩⼟⼯程李世平⾮定向就业材料科学与⼯程学院080502材料学李思远⾮定向就业理学院070304物理化学李同同⾮定向就业⽂法学院120405⼟地资源管理李桐⾮定向就业资源与⼟⽊⼯程学院081401岩⼟⼯程李崴⾮定向就业录取学院名称录取专业代码录取专业名称姓名录取类别备注信息科学与⼯程学院081101控制理论与控制⼯程李伟华⾮定向就业材料科学与⼯程学院080502材料学李显亮⾮定向就业⼯商管理学院020205产业经济学李相⾠⾮定向就业计算机科学与⼯程学院081001通信与信息系统李想⾮定向就业材料科学与⼯程学院080503材料加⼯⼯程李⼩强⾮定向就业信息科学与⼯程学院081101控制理论与控制⼯程李谢欢⾮定向就业材料科学与⼯程学院080503材料加⼯⼯程李鑫⾮定向就业机械⼯程与⾃动化学院080202机械电⼦⼯程李星晨⾮定向就业资源与⼟⽊⼯程学院083700安全科学与⼯程李雪洁⾮定向就业冶⾦学院080603有⾊⾦属冶⾦李雪珂⾮定向就业⼯商管理学院020204⾦融学李延双⾮定向就业材料科学与⼯程学院080502材料学李岩⾮定向就业⼯商管理学院120100管理科学与⼯程李艳婷⾮定向就业计算机科学与⼯程学院081202计算机软件与理论李洋⾮定向就业计算机科学与⼯程学院081202计算机软件与理论李垠桥⾮定向就业计算机科学与⼯程学院081203计算机应⽤技术李莹定向就业材料科学与⼯程学院080503材料加⼯⼯程李泳⾮定向就业理学院0703J1化学⽣物学李由⾮定向就业马克思主义学院030501马克思主义基本原理李⾬珊⾮定向就业录取学院名称录取专业代码录取专业名称姓名录取类别备注理学院070302分析化学李圆圆⾮定向就业材料科学与⼯程学院080503材料加⼯⼯程李峥先⾮定向就业机械⼯程与⾃动化学院080203机械设计及理论李壮⾮定向就业冶⾦学院080603有⾊⾦属冶⾦李卓⾮定向就业冶⾦学院080603有⾊⾦属冶⾦李⼦申⾮定向就业⽂法学院120401⾏政管理廉⽟⾦定向就业少民机械⼯程与⾃动化学院080706化⼯过程机械梁宝瑞定向就业对⼝⽀援材料科学与⼯程学院080503材料加⼯⼯程梁佳伟⾮定向就业计算机科学与⼯程学院081202计算机软件与理论梁伟⾮定向就业材料科学与⼯程学院080502材料学梁新增⾮定向就业冶⾦学院080603有⾊⾦属冶⾦梁智鹏⾮定向就业材料科学与⼯程学院080502材料学廖依敏⾮定向就业材料科学与⼯程学院080503材料加⼯⼯程林保森⾮定向就业资源与⼟⽊⼯程学院081901采矿⼯程林峰⾮定向就业机械⼯程与⾃动化学院080203机械设计及理论刘畅⾮定向就业材料科学与⼯程学院080502材料学刘忱⾮定向就业信息科学与⼯程学院081104模式识别与智能系统刘宸⾮定向就业资源与⼟⽊⼯程学院0814Z1⽣态城镇与绿⾊建筑刘晨⾮定向就业冶⾦学院080603有⾊⾦属冶⾦刘川⾮定向就业录取学院名称录取专业代码录取专业名称姓名录取类别备注⼯商管理学院120100管理科学与⼯程刘春怡⾮定向就业信息科学与⼯程学院081101控制理论与控制⼯程刘丹⾮定向就业⽂法学院120401⾏政管理刘冠男⾮定向就业马克思主义学院030501马克思主义基本原理刘海军定向就业资源与⼟⽊⼯程学院0814Z1⽣态城镇与绿⾊建筑刘海涛⾮定向就业理学院070304物理化学刘欢⾮定向就业信息科学与⼯程学院081103系统⼯程刘慧媛⾮定向就业信息科学与⼯程学院081102检测技术与⾃动化装置刘磊⾮定向就业⼯商管理学院120100管理科学与⼯程刘莉⾮定向就业⼯商管理学院120201会计学刘林⾮定向就业理学院070302分析化学刘孟先⾮定向就业材料科学与⼯程学院080502材料学刘明磊⾮定向就业冶⾦学院080603有⾊⾦属冶⾦刘宁定向就业有⾊院联合培养信息科学与⼯程学院081101控制理论与控制⼯程刘晴⾮定向就业信息科学与⼯程学院081103系统⼯程刘晴晴⾮定向就业机械⼯程与⾃动化学院080203机械设计及理论刘⽣磊⾮定向就业机械⼯程与⾃动化学院080202机械电⼦⼯程刘⼠琦⾮定向就业计算机科学与⼯程学院081001通信与信息系统刘树美⾮定向就业理学院0703J1化学⽣物学刘崴⾮定向就业录取学院名称录取专业代码录取专业名称姓名录取类别备注⽂法学院120401⾏政管理刘伟民⾮定向就业资源与⼟⽊⼯程学院0819Z2资源开发决策与数字矿⼭刘⽂芳⾮定向就业中荷⽣物医学与信息⼯程学院083100⽣物医学⼯程刘⽂彦⾮定向就业计算机科学与⼯程学院081203计算机应⽤技术刘⼩洁⾮定向就业软件学院083500软件⼯程刘昕靓⾮定向就业冶⾦学院080702热能⼯程刘馨⾮定向就业机器⼈科学与⼯程学院0811J1机器⼈科学与⼯程刘闫⾮定向就业理学院070201理论物理刘彦⾮定向就业机械⼯程与⾃动化学院080204车辆⼯程刘晏⾮定向就业信息科学与⼯程学院081104模式识别与智能系统刘怡彤⾮定向就业马克思主义学院010108科学技术哲学刘影⾮定向就业材料科学与⼯程学院080503材料加⼯⼯程刘宇洋⾮定向就业冶⾦学院080603有⾊⾦属冶⾦刘兆顺⾮定向就业机械⼯程与⾃动化学院080203机械设计及理论刘振东⾮定向就业材料科学与⼯程学院080502材料学龙猜⾮定向就业冶⾦学院080602钢铁冶⾦龙防定向就业理学院0703J1化学⽣物学娄宏跃⾮定向就业材料科学与⼯程学院080503材料加⼯⼯程卢兵⾮定向就业计算机科学与⼯程学院081201计算机系统结构卢晶⾮定向就业录取学院名称录取专业代码录取专业名称姓名录取类别备注⽂法学院120404社会保障卢珊⾮定向就业机械⼯程与⾃动化学院080202机械电⼦⼯程卢衍正⾮定向就业⼯商管理学院020201国民经济学鲁欣定向就业⽂法学院120405⼟地资源管理路中⾮定向就业⼯商管理学院120202企业管理吕靓欣⾮定向就业⼯商管理学院020205产业经济学吕思蒙⾮定向就业冶⾦学院0807J1新能源材料与技术吕汶璋⾮定向就业⽂法学院120401⾏政管理栾超⾮定向就业冶⾦学院080601冶⾦物理化学罗亚丹⾮定向就业材料科学与⼯程学院080502材料学罗砚⽂⾮定向就业⼯商管理学院120100管理科学与⼯程⿇志佳⾮定向就业材料科学与⼯程学院080502材料学马晨⾬⾮定向就业材料科学与⼯程学院080502材料学马春春定向就业矿冶院联合培养计算机科学与⼯程学院081202计算机软件与理论马德龙⾮定向就业机械⼯程与⾃动化学院080202机械电⼦⼯程马⾼科⾮定向就业冶⾦学院080602钢铁冶⾦马晶⾮定向就业冶⾦学院080603有⾊⾦属冶⾦马静雯⾮定向就业理学院0703J1化学⽣物学马兰菁⾮定向就业中荷⽣物医学与信息⼯程学院083100⽣物医学⼯程马丽敏⾮定向就业录取学院名称录取专业代码录取专业名称姓名录取类别备注冶⾦学院0807J1新能源材料与技术马强⾮定向就业有⾊院联合培养理学院0703J1化学⽣物学马仕欣⾮定向就业资源与⼟⽊⼯程学院081801矿产普查与勘探马思顺⾮定向就业材料科学与⼯程学院080501材料物理与化学马志攀⾮定向就业冶⾦学院080603有⾊⾦属冶⾦孟德亮⾮定向就业软件学院083500软件⼯程孟繁祎⾮定向就业材料科学与⼯程学院080502材料学孟磊⾮定向就业资源与⼟⽊⼯程学院081902矿物加⼯⼯程孟令国⾮定向就业信息科学与⼯程学院081104模式识别与智能系统孟天琦⾮定向就业中荷⽣物医学与信息⼯程学院083100⽣物医学⼯程⽶妍⾮定向就业信息科学与⼯程学院081103系统⼯程密⼦恒⾮定向就业计算机科学与⼯程学院081203计算机应⽤技术闵新⾮定向就业机械⼯程与⾃动化学院080203机械设计及理论穆⼠博⾮定向就业机械⼯程与⾃动化学院080203机械设计及理论穆童⾮定向就业信息科学与⼯程学院081101控制理论与控制⼯程穆云飞⾮定向就业机械⼯程与⾃动化学院080201机械制造及其⾃动化宁晋⽣⾮定向就业冶⾦学院080603有⾊⾦属冶⾦⽜宏坤⾮定向就业冶⾦学院080603有⾊⾦属冶⾦⽜会群⾮定向就业马克思主义学院010108科学技术哲学潘宝君⾮定向就业录取学院名称录取专业代码录取专业名称姓名录取类别备注材料科学与⼯程学院080503材料加⼯⼯程潘苑罡⾮定向就业中荷⽣物医学与信息⼯程学院083100⽣物医学⼯程庞娜⾮定向就业计算机科学与⼯程学院081201计算机系统结构庞为光⾮定向就业机器⼈科学与⼯程学院0811J1机器⼈科学与⼯程庞宇⾮定向就业信息科学与⼯程学院081101控制理论与控制⼯程裴兴龙⾮定向就业计算机科学与⼯程学院081202计算机软件与理论彭锦峰⾮定向就业资源与⼟⽊⼯程学院081902矿物加⼯⼯程彭祥⽟⾮定向就业计算机科学与⼯程学院081202计算机软件与理论普蓉⾮定向就业冶⾦学院080602钢铁冶⾦祁腾飞⾮定向就业材料科学与⼯程学院080503材料加⼯⼯程齐敏⾮定向就业材料科学与⼯程学院080503材料加⼯⼯程齐霄楠⾮定向就业马克思主义学院030501马克思主义基本原理綦玮⾮定向就业⼯商管理学院120202企业管理钱⾬⾮定向就业信息科学与⼯程学院080804电⼒电⼦与电⼒传动秦佳⾮定向就业信息科学与⼯程学院081102检测技术与⾃动化装置秦闻博⾮定向就业资源与⼟⽊⼯程学院081902矿物加⼯⼯程秦永红⾮定向就业理学院070304物理化学秦增明⾮定向就业⼯商管理学院020205产业经济学邱锐定向就业信息科学与⼯程学院081101控制理论与控制⼯程曲瀚清⾮定向就业录取学院名称录取专业代码录取专业名称姓名录取类别备注机械⼯程与⾃动化学院080201机械制造及其⾃动化曲晟⾮定向就业材料科学与⼯程学院080503材料加⼯⼯程冉蓉⾮定向就业材料科学与⼯程学院080502材料学任培⾮定向就业信息科学与⼯程学院081101控制理论与控制⼯程任秀秀⾮定向就业信息科学与⼯程学院081101控制理论与控制⼯程任⼀夫⾮定向就业计算机科学与⼯程学院081202计算机软件与理论任⾣贵定向就业⼯商管理学院020201国民经济学尚蔚定向就业理学院070305⾼分⼦化学与物理邵雷⾮定向就业中荷⽣物医学与信息⼯程学院083100⽣物医学⼯程沈晓燕⾮定向就业机械⼯程与⾃动化学院080204车辆⼯程沈⽵楠⾮定向就业计算机科学与⼯程学院081203计算机应⽤技术施瀚⾮定向就业冶⾦学院080603有⾊⾦属冶⾦⽯浩⾮定向就业资源与⼟⽊⼯程学院081901采矿⼯程⽯磊⾮定向就业冶⾦学院080602钢铁冶⾦⽯泉⾮定向就业材料科学与⼯程学院080502材料学⽯鑫⾮定向就业计算机科学与⼯程学院081201计算机系统结构时宇岑⾮定向就业资源与⼟⽊⼯程学院0814Z1⽣态城镇与绿⾊建筑司笑萌⾮定向就业理学院070301⽆机化学宋会会⾮定向就业计算机科学与⼯程学院081001通信与信息系统宋静⾮定向就业。
2018年中国农业大学硕士研究生招生专业目录(最新版)说明:1、各院拟招生人数含推免生;2、专业代码第三位为5的专业为专业学位,其余为学术型;3、701、702、801、802、806科目名称有变,但科目代码及考试内容不变。
农艺与种业1. 联系人:石宝霞、李文2. 联系方式:工程学院招生总人数:245人Array 1. 联系人:石宝霞、李文2. 联系方式:shbx@3. 咨询请查询食品学院主页研究生招生信息管理系统4. 招生人数包括推荐免试生5. 学院不提供任何参考书和复习资料,无考研辅导班和暑期学校。
6. 请参考研究生院招生导师目录或提前与导师联系,确保报考专业与导师招生专业一致!7. 复试:①面试②专业综合考试③实验技能考试 8.请务必按照预报导师招生专业报名;9.各招生专业招生人数会根据最终录取情况进行微调。
机械设计及理论招生总人数:80人包括接收推免生35人联系人:王玉红联系电话:62733474生导师等相关信息请查询中国农业大学人试生 联系人:刘晓林联系电话;62732200不出售往年试题,不Array提供参考书目。
招生导师等相关信息请查询中国农业大学人文与发展学院网页。
接收校内特长生)话:010-627322449招生总人数:107人招生人数包括推荐免试生 联系人:丁荣娥 电Array话:010-627322449中国农业大学硕士研究生招生专业目录(最新版)说明:1、各院拟招生人数含推免生;、专业代码第三位为5的专业为专业学位,其余为学术型;02、801、802、806科目名称有变,但科目代码及考试内容不变。
染病学各占50%专业课复试:兽医微生。
2012年中国农业大学博士拟录取名单录取学院姓名农学与生物技术学院赵继荣农学与生物技术学院郭欣慰农学与生物技术学院曹珂农学与生物技术学院朱明涛农学与生物技术学院邢佳毅农学与生物技术学院张美玲农学与生物技术学院关晔晴农学与生物技术学院党瑞红农学与生物技术学院杨清农学与生物技术学院崔亚娟农学与生物技术学院田给林农学与生物技术学院韩瑜农学与生物技术学院柴丽娟农学与生物技术学院李威农学与生物技术学院李倩农学与生物技术学院戴圣杰农学与生物技术学院梁彦农学与生物技术学院岳臻农学与生物技术学院杨和平农学与生物技术学院胡红岩农学与生物技术学院马广民农学与生物技术学院杜文晓农学与生物技术学院姚永生农学与生物技术学院辛娟娟农学与生物技术学院李彦蓉农学与生物技术学院闫硕农学与生物技术学院曹进军农学与生物技术学院甄丛爱农学与生物技术学院张鹏飞农学与生物技术学院田宝良农学与生物技术学院张林林农学与生物技术学院席玉强农学与生物技术学院张利娟农学与生物技术学院常文程农学与生物技术学院刘若思农学与生物技术学院罗心宇农学与生物技术学院张立伟农学与生物技术学院赵春桥农学与生物技术学院刘晶晶农学与生物技术学院刘良农学与生物技术学院任济伟农学与生物技术学院张万钦农学与生物技术学院曹亚从农学与生物技术学院李仁农学与生物技术学院吕建国农学与生物技术学院张帆农学与生物技术学院王丽农学与生物技术学院蒋励农学与生物技术学院王文娇农学与生物技术学院丁莲农学与生物技术学院刘斌农学与生物技术学院梁新书农学与生物技术学院苗妍秀农学与生物技术学院隋娟娟农学与生物技术学院寇亚平农学与生物技术学院温超农学与生物技术学院吴林农学与生物技术学院僧珊珊农学与生物技术学院刘春农学与生物技术学院陆旭东农学与生物技术学院陈继玮农学与生物技术学院骆海玉农学与生物技术学院徐小文农学与生物技术学院房文文农学与生物技术学院曲维娜农学与生物技术学院苏磊农学与生物技术学院刘俊莹农学与生物技术学院王廿农学与生物技术学院陈倩农学与生物技术学院况卫刚农学与生物技术学院孟嫣农学与生物技术学院沙月霞农学与生物技术学院卢灿华农学与生物技术学院李帅农学与生物技术学院房雅丽农学与生物技术学院王树和农学与生物技术学院刘琦农学与生物技术学院高旭声农学与生物技术学院王晓晗农学与生物技术学院张欣融农学与生物技术学院林东农学与生物技术学院王善之农学与生物技术学院周先贵农学与生物技术学院刘翠翠农学与生物技术学院赵彦翔农学与生物技术学院夏子豪农学与生物技术学院陈相儒农学与生物技术学院李旭农学与生物技术学院陈欣怡农学与生物技术学院郭松农学与生物技术学院郭彦农学与生物技术学院刘沛农学与生物技术学院潘成杰农学与生物技术学院余宗乔农学与生物技术学院许贤农学与生物技术学院王聪农学与生物技术学院姜帆农学与生物技术学院张煜文农学与生物技术学院胡新民农学与生物技术学院何骋农学与生物技术学院吴金芝农学与生物技术学院周丽丽农学与生物技术学院韩焕勇农学与生物技术学院穆春农学与生物技术学院张巧玉农学与生物技术学院王彬农学与生物技术学院张娟农学与生物技术学院高飞农学与生物技术学院何丽珊农学与生物技术学院朱卫红农学与生物技术学院黄敏农学与生物技术学院徐丁一农学与生物技术学院赵传志农学与生物技术学院王雁楠农学与生物技术学院李伟农学与生物技术学院李盼农学与生物技术学院李丹农学与生物技术学院曹廷杰农学与生物技术学院吴永振农学与生物技术学院陈晓阳农学与生物技术学院崔宇鹏农学与生物技术学院耿晓丽农学与生物技术学院孙思龙农学与生物技术学院张健农学与生物技术学院隋志鹏农学与生物技术学院李洋洋农学与生物技术学院韩英佳农学与生物技术学院王天雅农学与生物技术学院商连光农学与生物技术学院王冰农学与生物技术学院任姣姣农学与生物技术学院许语辉农学与生物技术学院张春农学与生物技术学院王飞兵农学与生物技术学院李知农学与生物技术学院王振忠农学与生物技术学院张卫峰农学与生物技术学院周慧农学与生物技术学院宋宁农学与生物技术学院张丽媛农学与生物技术学院金晶农学与生物技术学院黄伟农学与生物技术学院程雪姣农学与生物技术学院王超农学与生物技术学院朱金洁农学与生物技术学院岳亚飞农学与生物技术学院孙兴明农学与生物技术学院吴秋红农学与生物技术学院谢菁忠农学与生物技术学院余建平农学与生物技术学院韩瑶农学与生物技术学院杨华农学与生物技术学院朱奇琳农学与生物技术学院张丽丽农学与生物技术学院高英波农学与生物技术学院薛建福农学与生物技术学院王冀川农学与生物技术学院王占彪农学与生物技术学院李统帅农学与生物技术学院于春欣农学与生物技术学院次仁央金农学与生物技术学院张新军农学与生物技术学院冯晓敏农学与生物技术学院刘惠惠农学与生物技术学院叶德练农学与生物技术学院王庆燕农学与生物技术学院郑雷农学与生物技术学院尹小刚农学与生物技术学院刘建刚农学与生物技术学院杨晓琳资源与环境学院王立建资源与环境学院夏志超资源与环境学院张一资源与环境学院董楠资源与环境学院刘坤资源与环境学院吴明资源与环境学院李清清资源与环境学院段美春资源与环境学院徐健钦资源与环境学院郭金花资源与环境学院王昕资源与环境学院许稳资源与环境学院张智烨资源与环境学院王勇资源与环境学院郑鹏资源与环境学院桂新资源与环境学院谢林资源与环境学院刘莉资源与环境学院臧冰资源与环境学院聂静资源与环境学院刘合满资源与环境学院刁万英资源与环境学院郑春莲资源与环境学院苏志慧资源与环境学院薛静资源与环境学院李智资源与环境学院赵龙华资源与环境学院孙增慧资源与环境学院赵楠资源与环境学院陈冲资源与环境学院刘骕资源与环境学院赵龙飞资源与环境学院程晓园资源与环境学院潘晓英资源与环境学院杨兰资源与环境学院郑良永资源与环境学院张德闪资源与环境学院李升东资源与环境学院孙东宝资源与环境学院杨柳青资源与环境学院乔旭资源与环境学院张白鸽资源与环境学院张少民资源与环境学院张丹资源与环境学院郭家萌资源与环境学院刘瑞丽资源与环境学院彭菲资源与环境学院宁鹏资源与环境学院石宁资源与环境学院焦小强资源与环境学院邱巍资源与环境学院徐梦资源与环境学院郭明亮资源与环境学院申锋资源与环境学院赵鹏飞资源与环境学院杨小丽资源与环境学院康凌云资源与环境学院王佳佳资源与环境学院陈丽资源与环境学院侯彤瑜资源与环境学院王雪姣资源与环境学院吕硕资源与环境学院赵锦资源与环境学院王立为资源与环境学院董宛麟资源与环境学院胡琦资源与环境学院朱传民资源与环境学院付永虎资源与环境学院张佰林资源与环境学院王彬武资源与环境学院余慧容资源与环境学院邱孟龙资源与环境学院郧宛琪资源与环境学院周宁动物科技学院马云龙动物科技学院金四华动物科技学院吴宪文动物科技学院王志贤动物科技学院张权动物科技学院吴明明动物科技学院秦春华动物科技学院刘莉莉动物科技学院田秀芝动物科技学院谭琨动物科技学院史建民动物科技学院任立坤动物科技学院姜午旗动物科技学院杨少华动物科技学院张瑞娜动物科技学院向海动物科技学院魏巨龙动物科技学院易国强动物科技学院邵凡动物科技学院崔晓钢动物科技学院苟文钰动物科技学院李聪动物科技学院葛雅琼动物科技学院李秀金动物科技学院方园动物科技学院程柯仁动物科技学院马文锋动物科技学院赵泮峰动物科技学院蒋红琴动物科技学院宿永波动物科技学院王建红动物科技学院曾志凯动物科技学院侯成立动物科技学院高静动物科技学院武如娟动物科技学院施传信动物科技学院李昌武动物科技学院曹斌斌动物科技学院孙玉丽动物科技学院耿春银动物科技学院毕研亮动物科技学院张红涛动物科技学院张兴隆动物科技学院林仕欣动物科技学院李洁动物科技学院黄强动物科技学院范彧动物科技学院郭双双动物科技学院赵龙妹动物科技学院李笑樱动物科技学院赵丽萍动物科技学院王朕朕动物科技学院张心壮动物科技学院陈东动物科技学院张玉娟动物科技学院叶文兴动物科技学院张涛动物科技学院于晓丹动物科技学院夏方山动物科技学院吴春会动物科技学院沈月动物科技学院陈文青动物科技学院田吉鹏动物医学院陈付菊动物医学院郭青云动物医学院李德喜动物医学院邓思君动物医学院吴玉苹动物医学院何涛动物医学院李向梅动物医学院张传美动物医学院李会动物医学院周洋动物医学院李兰动物医学院杨依霏动物医学院刘灿动物医学院朱婷动物医学院李荷丽动物医学院刘冠慧动物医学院邓凤如动物医学院杜芳动物医学院耿云云动物医学院许健动物医学院吴同垒动物医学院张志强动物医学院朱良全动物医学院陈兆叁动物医学院李木子动物医学院陈义锋动物医学院王飞动物医学院张锋动物医学院德艳艳动物医学院赵双成动物医学院张志榜动物医学院郑献进动物医学院孔维立动物医学院张龙动物医学院樊淑华动物医学院肖进动物医学院蔺文成动物医学院于童动物医学院汪运舟动物医学院胡永新动物医学院高慧杰动物医学院刘彦杰动物医学院王丹动物医学院薛佳动物医学院杜吉革动物医学院郝攀动物医学院窦全林动物医学院余芳动物医学院刘永夏动物医学院王永动物医学院徐霄龙动物医学院董世起动物医学院施尧动物医学院岳圆动物医学院李琴动物医学院万长荣动物医学院刘蒙蒙动物医学院陈飞动物医学院许傲天经济管理学院孙越经济管理学院杨凯文经济管理学院杨升经济管理学院郭代经济管理学院陈舒鹏经济管理学院董成武经济管理学院范莉丽经济管理学院王倩经济管理学院王天祥经济管理学院马涛经济管理学院孙玉忠经济管理学院乔金杰经济管理学院张熠婧经济管理学院韩静经济管理学院马欣经济管理学院麻吉亮经济管理学院孙中刚经济管理学院晏芳经济管理学院任杰经济管理学院韩旭经济管理学院吴天真经济管理学院方新平经济管理学院李拓经济管理学院王琳经济管理学院聂丽经济管理学院王海霞经济管理学院孙静经济管理学院李萍经济管理学院孙璐经济管理学院张怡经济管理学院叶云经济管理学院王洪波经济管理学院李亮科经济管理学院冯波经济管理学院刘桂峰经济管理学院肖国荣经济管理学院张莹经济管理学院董谦经济管理学院王佳友经济管理学院朱海燕经济管理学院李首涵经济管理学院陈甜经济管理学院韩秀丽经济管理学院吴天龙经济管理学院董欢经济管理学院刘庆经济管理学院刘增金经济管理学院王晓蜀经济管理学院沙敏经济管理学院杨旭经济管理学院储成兵经济管理学院王莹经济管理学院张玉梅经济管理学院张海姣经济管理学院李莎莎经济管理学院宋雨河经济管理学院范垄基经济管理学院周竹君经济管理学院唐爱慧经济管理学院张琳经济管理学院谷征生物学院周飒生物学院闫翠香生物学院吴伟生物学院钱丽丽生物学院温兵强生物学院林皓生物学院张丽生物学院秦永丽生物学院王华荣生物学院张延浩生物学院张波生物学院冀照君生物学院李岳珍生物学院牛草原生物学院胡玉净生物学院季蕾生物学院田琳生物学院吴寒宇生物学院谈成生物学院刘佳星生物学院仲亮生物学院王雁良生物学院刘章伟生物学院任肃霞生物学院余大为生物学院李佳生物学院李海涛生物学院李全生物学院武娟生物学院鞠大鹏生物学院李杨生物学院李媛生物学院邹志远生物学院冯涛生物学院于志海生物学院夏长剑生物学院彭静生物学院李想生物学院张越生物学院田玉华生物学院马向辉生物学院王凯生物学院李秋生物学院杜心桥生物学院朱玉娟生物学院王雅坤生物学院郭伟生物学院贺璟生物学院刘凯羚生物学院崔佳民生物学院杜银平生物学院王楚楚生物学院陈婧瑶生物学院高文青生物学院韩滨岳生物学院刘珺生物学院付航生物学院徐子健生物学院李孔潘生物学院安卫东生物学院胡益清生物学院孙梦依生物学院马双羽生物学院严滕生物学院郑文娜生物学院贾晓波生物学院许悦生物学院张海艳生物学院陈云生物学院闫晓婧生物学院林军凯生物学院温彤生物学院刘芹生物学院孙京波生物学院刘杨杨生物学院张振乾生物学院夏科科生物学院李金生物学院刘春城生物学院赵晓菲生物学院张云鹏生物学院苏纳生物学院廖婵璨生物学院李麟霄生物学院李世学生物学院刘翼浩生物学院刘玉卫生物学院高菲生物学院王宇哲生物学院贾玉鑫生物学院邢慧丽生物学院蔡春波生物学院耿圆圆生物学院王凤柳生物学院王晓玲生物学院江珍红生物学院高全秀生物学院何德云生物学院李正刚生物学院韩建普生物学院刘许晗生物学院祝富贵食品科学与营养工程学院孙沛然食品科学与营养工程学院陈振家食品科学与营养工程学院董鹏食品科学与营养工程学院毕秀芳食品科学与营养工程学院罗洁食品科学与营养工程学院史策食品科学与营养工程学院洪惠食品科学与营养工程学院杨剀舟食品科学与营养工程学院韩建勋食品科学与营养工程学院刘伟食品科学与营养工程学院朱雨辰食品科学与营养工程学院赵靓食品科学与营养工程学院许倩食品科学与营养工程学院姜云芸食品科学与营养工程学院彭勇食品科学与营养工程学院张颖食品科学与营养工程学院刘芳食品科学与营养工程学院王航食品科学与营养工程学院钱骁食品科学与营养工程学院邱爽食品科学与营养工程学院吕晨艳食品科学与营养工程学院戚淑叶食品科学与营养工程学院王鸥食品科学与营养工程学院赵文婷食品科学与营养工程学院张良食品科学与营养工程学院程雷食品科学与营养工程学院杨景食品科学与营养工程学院张丽梅食品科学与营养工程学院刘慧食品科学与营养工程学院潘秋月食品科学与营养工程学院黄家强食品科学与营养工程学院王然食品科学与营养工程学院刘蕾食品科学与营养工程学院鞠正食品科学与营养工程学院张波食品科学与营养工程学院高媛食品科学与营养工程学院王睿粲食品科学与营养工程学院王成食品科学与营养工程学院李芸食品科学与营养工程学院秦臻食品科学与营养工程学院魏征食品科学与营养工程学院罗剑鸣食品科学与营养工程学院孙润泽食品科学与营养工程学院李欣龙食品科学与营养工程学院孙倩食品科学与营养工程学院李兆杰食品科学与营养工程学院郑鄢燕食品科学与营养工程学院王云香食品科学与营养工程学院李小溪食品科学与营养工程学院许晓青食品科学与营养工程学院桂萌食品科学与营养工程学院苑蘅食品科学与营养工程学院孙娜食品科学与营养工程学院郝俊冉食品科学与营养工程学院夏凯食品科学与营养工程学院李晓红食品科学与营养工程学院周瑞食品科学与营养工程学院郭明璋理学院杜士杰理学院贾长青理学院徐高飞理学院侯绪和理学院理珍理学院赵文婷理学院王凯理学院赵卫松理学院刘卉理学院孙韫理学院杨米一理学院王潇楠理学院张传亮理学院孔涵楚理学院张浩理学院赵晋理学院张磊理学院姜辉理学院李晋栋理学院赵鹏跃理学院关文碧理学院薛佳莹理学院穆希岩理学院曹冲理学院陈维韬理学院解超理学院赵柳微理学院朴秀英理学院王祥云理学院狄珊珊理学院唐果理学院杨鑫刚理学院张瑞亭理学院张静静理学院赵新斌理学院王快妮工学院王承国工学院马勇骉工学院张亮亮工学院武秀恒工学院刘进一工学院陈随英工学院刘媛媛工学院马松柏工学院万其号工学院施火结工学院赵漫菲工学院梁方工学院宣佳敏工学院郭洪红工学院付成果工学院张朝阳工学院侯明工学院薛党勤工学院熊斌工学院马锃宏工学院李福强工学院赵建军工学院李翠玲工学院吕为乔工学院张雷蕾工学院郝薇工学院李伟工学院王景旭工学院张虎工学院郭志明工学院纪冠亚工学院牛文娟工学院宁婷婷工学院李萌工学院季方工学院沈秀丽工学院康宏彬工学院盛韶阳工学院毕崇浩工学院陈洲工学院何琼工学院王栋工学院初旭宏工学院张智龙工学院赵学观工学院崔巍工学院张丽娜工学院卿潇潇工学院邬备工学院张帝工学院褚佳工学院王粮局工学院代建武工学院史嵩水利与土木工程学院李维垚水利与土木工程学院郎琪水利与土木工程学院贺新水利与土木工程学院时学双水利与土木工程学院李连豪水利与土木工程学院姚宝林水利与土木工程学院杨改强水利与土木工程学院陈丽燕水利与土木工程学院陈金亮水利与土木工程学院薄晓东水利与土木工程学院商放泽水利与土木工程学院王明水利与土木工程学院张丽水利与土木工程学院臧一天水利与土木工程学院丁露雨水利与土木工程学院惠雪水利与土木工程学院张馨水利与土木工程学院张春玲水利与土木工程学院曹晏飞水利与土木工程学院李昊水利与土木工程学院李想水利与土木工程学院李雪水利与土木工程学院苏砚文水利与土木工程学院张自超水利与土木工程学院付大春水利与土木工程学院孟龙水利与土木工程学院蒋文山水利与土木工程学院李永冲水利与土木工程学院陈飞水利与土木工程学院吕威信息与电气工程学院董静信息与电气工程学院马晓丹信息与电气工程学院于丽娜信息与电气工程学院尹宝全信息与电气工程学院肖颖信息与电气工程学院袁晓庆信息与电气工程学院张航信息与电气工程学院薛琳信息与电气工程学院马浚诚信息与电气工程学院叶思菁信息与电气工程学院张驰信息与电气工程学院陈彦清信息与电气工程学院于鹏信息与电气工程学院芦晶晶信息与电气工程学院宋墩文信息与电气工程学院楚晓蕊信息与电气工程学院程洪信息与电气工程学院张猛信息与电气工程学院李新成信息与电气工程学院李文勇信息与电气工程学院袁洪波信息与电气工程学院蒲攀信息与电气工程学院孙钦斐信息与电气工程学院白牧可信息与电气工程学院张天蛟人文与发展学院梁雪红人文与发展学院赵羽人文与发展学院谢小芹人文与发展学院王敬培人文与发展学院雷文艳人文与发展学院王宇人文与发展学院务伊琼人文与发展学院冯小人文与发展学院王朔晨人文与发展学院张晓颖人文与发展学院付会洋人文与发展学院黄谦人文与发展学院雷雯人文与发展学院周易人文与发展学院徐进人文与发展学院杨雨鑫人文与发展学院卢琰人文与发展学院于圣洁人文与发展学院魏同洋人文与发展学院姚云浩人文与发展学院杨文人文与发展学院穆哈拜提.帕热提人文与发展学院张国栋人文与发展学院任超人文与发展学院杨亮承人文与发展学院李晓聪人文与发展学院常亮人文与发展学院薛晶天公示时间:2012年6月29日-7月6日联系电话: 研究生院招生办 电话:62732884 中国农业大学研招办2012-6-29。
2015年中国农业大学拟录取博士生公示名单拟录取学院姓名录取类别农学与生物技术学院唐朝臣非定向就业农学与生物技术学院傅童成非定向就业农学与生物技术学院陈丽丽非定向就业农学与生物技术学院安静非定向就业农学与生物技术学院张学鹏非定向就业农学与生物技术学院孙福东非定向就业农学与生物技术学院王逸茹非定向就业农学与生物技术学院李柘锦非定向就业农学与生物技术学院贾浩非定向就业农学与生物技术学院吴尧非定向就业农学与生物技术学院刘胜利非定向就业农学与生物技术学院刘少金非定向就业农学与生物技术学院田昊非定向就业农学与生物技术学院张钰石非定向就业农学与生物技术学院李叶蓓非定向就业农学与生物技术学院刘建菊非定向就业农学与生物技术学院李德林非定向就业农学与生物技术学院许光辉非定向就业农学与生物技术学院赵怡锟非定向就业农学与生物技术学院方辉非定向就业农学与生物技术学院马亚飞非定向就业农学与生物技术学院魏子尧非定向就业农学与生物技术学院朱梦娇非定向就业农学与生物技术学院刘行芹非定向就业农学与生物技术学院冯阳非定向就业农学与生物技术学院聂虎帅非定向就业农学与生物技术学院田小龙非定向就业农学与生物技术学院王亮定向就业农学与生物技术学院陈文康非定向就业农学与生物技术学院高翔非定向就业农学与生物技术学院景居里非定向就业农学与生物技术学院李波非定向就业农学与生物技术学院林哲龙非定向就业农学与生物技术学院吴问广非定向就业农学与生物技术学院唐艳艳非定向就业农学与生物技术学院张少蔓非定向就业农学与生物技术学院刘红兵非定向就业农学与生物技术学院谢仕意非定向就业农学与生物技术学院缪金莉非定向就业农学与生物技术学院赵杰非定向就业农学与生物技术学院张德云非定向就业农学与生物技术学院谢淑燕非定向就业农学与生物技术学院郑美非定向就业农学与生物技术学院张湘博非定向就业农学与生物技术学院姜露光非定向就业农学与生物技术学院张博琦非定向就业农学与生物技术学院曹杰非定向就业农学与生物技术学院王学强非定向就业农学与生物技术学院郭海峰非定向就业农学与生物技术学院张旋非定向就业农学与生物技术学院陈朝燕非定向就业农学与生物技术学院马新非定向就业农学与生物技术学院吴瑶瑶非定向就业农学与生物技术学院朱芒非定向就业农学与生物技术学院付修义非定向就业农学与生物技术学院孟羽莎非定向就业农学与生物技术学院李峰非定向就业农学与生物技术学院郭丹丹非定向就业农学与生物技术学院康忱非定向就业农学与生物技术学院赵宏媛非定向就业农学与生物技术学院杨光辉非定向就业农学与生物技术学院关攀锋非定向就业农学与生物技术学院高路路非定向就业农学与生物技术学院陈明非定向就业农学与生物技术学院赵天瑶非定向就业农学与生物技术学院陈卫卫非定向就业农学与生物技术学院王平喜非定向就业农学与生物技术学院陈全全非定向就业农学与生物技术学院詹延廷非定向就业农学与生物技术学院张萌非定向就业农学与生物技术学院梁效贵非定向就业农学与生物技术学院杨锋定向就业农学与生物技术学院韩振云非定向就业农学与生物技术学院李洋非定向就业农学与生物技术学院史昆非定向就业农学与生物技术学院梁晋军非定向就业农学与生物技术学院王梓然非定向就业农学与生物技术学院梁斌非定向就业农学与生物技术学院郝理非定向就业农学与生物技术学院黄振宇非定向就业农学与生物技术学院开文斌非定向就业农学与生物技术学院魏灵芝非定向就业农学与生物技术学院邢思年非定向就业农学与生物技术学院赵迪非定向就业农学与生物技术学院申飞非定向就业农学与生物技术学院王鹏非定向就业农学与生物技术学院顾冉非定向就业农学与生物技术学院肖遥非定向就业农学与生物技术学院范敬伟非定向就业农学与生物技术学院田恬非定向就业农学与生物技术学院薛舒丹非定向就业农学与生物技术学院赵文圣非定向就业农学与生物技术学院李雅忻非定向就业农学与生物技术学院陈子敬非定向就业农学与生物技术学院曹芸运非定向就业农学与生物技术学院刘洋非定向就业农学与生物技术学院王亚茹非定向就业农学与生物技术学院梁跃非定向就业农学与生物技术学院吕菁非定向就业农学与生物技术学院冯明非定向就业农学与生物技术学院范又维非定向就业农学与生物技术学院孟星尧非定向就业农学与生物技术学院郑泽慧非定向就业农学与生物技术学院王雅雅非定向就业农学与生物技术学院赵宇宾非定向就业农学与生物技术学院祁鹤兴非定向就业农学与生物技术学院徐晓晖定向就业农学与生物技术学院王吐虹非定向就业农学与生物技术学院李俊州非定向就业农学与生物技术学院魏超非定向就业农学与生物技术学院张鑫非定向就业农学与生物技术学院丁小兰非定向就业农学与生物技术学院杨姗姗非定向就业农学与生物技术学院潘嵩非定向就业农学与生物技术学院石颖斐非定向就业农学与生物技术学院刘学东非定向就业农学与生物技术学院刘航非定向就业农学与生物技术学院韩树英非定向就业农学与生物技术学院葛思雨非定向就业农学与生物技术学院芦文博非定向就业农学与生物技术学院吴优非定向就业农学与生物技术学院李磊福非定向就业农学与生物技术学院费利旺非定向就业农学与生物技术学院孙秋玉非定向就业农学与生物技术学院胡志宏非定向就业农学与生物技术学院彭钦非定向就业农学与生物技术学院阚玉敏非定向就业农学与生物技术学院张俊威非定向就业农学与生物技术学院许腾之非定向就业农学与生物技术学院赵灿非定向就业农学与生物技术学院陈俊斌非定向就业农学与生物技术学院姜宁非定向就业农学与生物技术学院张亢非定向就业农学与生物技术学院傅小香非定向就业农学与生物技术学院付俊瑞非定向就业农学与生物技术学院范银君非定向就业农学与生物技术学院马卓非定向就业农学与生物技术学院张璟非定向就业农学与生物技术学院范文敏非定向就业农学与生物技术学院王洋非定向就业农学与生物技术学院单双非定向就业农学与生物技术学院侯鹏非定向就业农学与生物技术学院徐曼宇非定向就业农学与生物技术学院孙子强非定向就业农学与生物技术学院卢秀梅非定向就业农学与生物技术学院张银翘非定向就业农学与生物技术学院张怡非定向就业农学与生物技术学院成印洁非定向就业农学与生物技术学院周晓飞非定向就业农学与生物技术学院葛阳非定向就业农学与生物技术学院李红卫非定向就业农学与生物技术学院沈东旭非定向就业农学与生物技术学院郑洋非定向就业农学与生物技术学院魏淑花定向就业农学与生物技术学院张成成非定向就业农学与生物技术学院李文明非定向就业农学与生物技术学院马晨非定向就业农学与生物技术学院王晨光非定向就业农学与生物技术学院耿倩倩非定向就业农学与生物技术学院张文兵非定向就业农学与生物技术学院郭韶堃非定向就业农学与生物技术学院李源非定向就业农学与生物技术学院郭维非定向就业生物学院孙鑫非定向就业生物学院梁晓燕非定向就业生物学院王红阳非定向就业生物学院于淼非定向就业生物学院蒋海芳非定向就业生物学院齐立娟非定向就业生物学院宋鹏宇非定向就业生物学院韩润非定向就业生物学院孙志慧非定向就业生物学院胡晓莹非定向就业生物学院马爱芳非定向就业生物学院王亚平非定向就业生物学院时会影非定向就业生物学院张三强非定向就业生物学院王璞非定向就业生物学院刘亚男非定向就业生物学院赵军非定向就业生物学院张美玲非定向就业生物学院王晓吉非定向就业生物学院王雪非定向就业生物学院邹雪非定向就业生物学院王亚璐非定向就业生物学院万方芳非定向就业生物学院韩春燕非定向就业生物学院赵新杰非定向就业生物学院王炳艳定向就业生物学院杜玉昕非定向就业生物学院宋丽丽非定向就业生物学院周烨文非定向就业生物学院张玉托非定向就业生物学院胡洪梅非定向就业生物学院李海峰非定向就业生物学院王明明非定向就业生物学院孙光宏非定向就业生物学院张玉非定向就业生物学院王治娟非定向就业生物学院王悦非定向就业生物学院饶喻非定向就业生物学院孙海涛非定向就业生物学院吴忠钰非定向就业生物学院吴月非定向就业生物学院郭文芳非定向就业生物学院高宗玉非定向就业生物学院刘芳非定向就业生物学院赵率军非定向就业生物学院周祎珂非定向就业生物学院张樾非定向就业生物学院刘克寒非定向就业生物学院赵喜云非定向就业生物学院尚佼颖非定向就业生物学院石文涛非定向就业生物学院王红蕾非定向就业生物学院张晓鹏非定向就业生物学院张璇非定向就业生物学院曹雪美非定向就业生物学院李晓丽非定向就业生物学院刘路非定向就业生物学院董晴非定向就业生物学院张蕴之非定向就业生物学院张盼非定向就业生物学院李梦琳非定向就业生物学院石皓文非定向就业生物学院刘军权非定向就业生物学院宋丽娜非定向就业生物学院李姝丽非定向就业生物学院姜自琴非定向就业生物学院郭紫航非定向就业生物学院刘胜蕊非定向就业生物学院刘鹏非定向就业生物学院齐晓兰非定向就业生物学院李攀非定向就业生物学院王明非定向就业生物学院葛梦旭非定向就业生物学院鲁恒星非定向就业生物学院孙帆非定向就业生物学院宋泰然非定向就业生物学院钟华非定向就业生物学院胡可非定向就业生物学院周鹏民非定向就业生物学院王兴娟非定向就业生物学院刘小娟非定向就业生物学院豆丽茹非定向就业生物学院李沛然非定向就业生物学院沈良才非定向就业生物学院梁作翔非定向就业生物学院于永乐非定向就业生物学院朱帆非定向就业生物学院赵悦非定向就业生物学院杨月非定向就业生物学院杨婷婷非定向就业生物学院史旭焱非定向就业生物学院刘国永非定向就业生物学院王萍非定向就业生物学院邓宏颖非定向就业生物学院张满丰非定向就业生物学院岳亮非定向就业生物学院吕聪非定向就业生物学院张少鹏非定向就业生物学院崔正之非定向就业生物学院牛帅帅非定向就业生物学院白建慧非定向就业生物学院石建云非定向就业生物学院曹登超非定向就业生物学院相金柱非定向就业生物学院穆海元非定向就业生物学院李建锐非定向就业生物学院李婉影非定向就业生物学院陈虹非定向就业生物学院杨志佳非定向就业生物学院薛媛非定向就业生物学院赵晓云非定向就业生物学院安晶非定向就业生物学院赵楠楠非定向就业生物学院李宏非定向就业生物学院刘悦非定向就业资源与环境学院张鸿渊非定向就业资源与环境学院李双伟非定向就业资源与环境学院兴安定向就业资源与环境学院李昊儒定向就业资源与环境学院任瑞琪非定向就业资源与环境学院赵诣非定向就业资源与环境学院赵欢欢非定向就业资源与环境学院虞光辉非定向就业资源与环境学院李楠非定向就业资源与环境学院叶彦辉定向就业资源与环境学院伍盘龙非定向就业资源与环境学院田秀丽非定向就业资源与环境学院贾阳阳非定向就业资源与环境学院何金鑫非定向就业资源与环境学院刘思凝非定向就业资源与环境学院王瑞萍非定向就业资源与环境学院岳士忠非定向就业资源与环境学院张鑫非定向就业资源与环境学院陈思非定向就业资源与环境学院张海波非定向就业资源与环境学院王佳非定向就业资源与环境学院王森非定向就业资源与环境学院王伟定向就业资源与环境学院张邦喜定向就业资源与环境学院冯浩杰非定向就业资源与环境学院李晓峰非定向就业资源与环境学院陈硕非定向就业资源与环境学院马颖非定向就业资源与环境学院李恕艳非定向就业资源与环境学院方慈非定向就业资源与环境学院万亚男非定向就业资源与环境学院余垚非定向就业资源与环境学院陈崇娟非定向就业资源与环境学院王燕非定向就业资源与环境学院陈雪娇非定向就业资源与环境学院卓志清非定向就业资源与环境学院王力非定向就业资源与环境学院孙涛非定向就业资源与环境学院李佩非定向就业资源与环境学院张沫非定向就业资源与环境学院田彦芳非定向就业资源与环境学院吴训非定向就业资源与环境学院杨雯非定向就业资源与环境学院营浩非定向就业资源与环境学院王朋非定向就业资源与环境学院张务帅非定向就业资源与环境学院张磊非定向就业资源与环境学院任伟非定向就业资源与环境学院温智辉非定向就业资源与环境学院乔磊非定向就业资源与环境学院尹宇龙非定向就业资源与环境学院李可力非定向就业资源与环境学院惠静非定向就业资源与环境学院易俊杰非定向就业资源与环境学院刘保花非定向就业资源与环境学院潘军晓非定向就业资源与环境学院郭琳非定向就业资源与环境学院赵英杰非定向就业资源与环境学院贝水宽非定向就业资源与环境学院代晶非定向就业资源与环境学院潘宇鹰非定向就业资源与环境学院王旗非定向就业资源与环境学院毛钧定向就业资源与环境学院唐建昭非定向就业资源与环境学院高继卿非定向就业资源与环境学院王晓煜非定向就业资源与环境学院高嘉辰非定向就业资源与环境学院魏培非定向就业资源与环境学院杜挺非定向就业资源与环境学院胡莹洁非定向就业资源与环境学院李超非定向就业资源与环境学院刘应成非定向就业资源与环境学院刘超非定向就业资源与环境学院许吉仁非定向就业资源与环境学院姚静韬非定向就业资源与环境学院李牧非定向就业资源与环境学院孙锦非定向就业动物科技学院蒋尧非定向就业动物科技学院吴宏平非定向就业动物科技学院杨凯捷非定向就业动物科技学院王力圆非定向就业动物科技学院张超非定向就业动物科技学院赵鹏举非定向就业动物科技学院刘磊非定向就业动物科技学院严伟非定向就业动物科技学院黄河天非定向就业动物科技学院陶景丽非定向就业动物科技学院席广银非定向就业动物科技学院王建魁非定向就业动物科技学院李岩非定向就业动物科技学院高亚辉非定向就业动物科技学院王琼非定向就业动物科技学院梁若冰非定向就业动物科技学院王源非定向就业动物科技学院刘澳星非定向就业动物科技学院董响贵非定向就业动物科技学院赵春芳非定向就业动物科技学院蔡文涛非定向就业动物科技学院姜顺严非定向就业动物科技学院李兴正非定向就业动物科技学院张俊非定向就业动物科技学院王蜀金非定向就业动物科技学院张振威非定向就业动物科技学院何阳非定向就业动物科技学院周克非定向就业动物科技学院梁海威非定向就业动物科技学院杨勇智非定向就业动物科技学院吴媛媛定向就业动物科技学院刘宁非定向就业动物科技学院杨春合非定向就业动物科技学院何东亭非定向就业动物科技学院范肖肖非定向就业动物科技学院何贝贝非定向就业动物科技学院李文祥非定向就业动物科技学院尹达菲非定向就业动物科技学院李宁非定向就业动物科技学院肖鉴鑫非定向就业动物科技学院张贝贝非定向就业动物科技学院吕增鹏非定向就业动物科技学院李培丽非定向就业动物科技学院曲扬华非定向就业动物科技学院何龙非定向就业动物科技学院张亚伟非定向就业动物科技学院刘虎非定向就业动物科技学院李天天非定向就业动物科技学院刘红宾非定向就业动物科技学院邱凯非定向就业动物科技学院卫旭彪非定向就业动物科技学院张帅非定向就业动物科技学院程航非定向就业动物科技学院李东霞非定向就业动物科技学院张颖超非定向就业动物科技学院王目森非定向就业动物科技学院万江春定向就业动物科技学院杨月娟非定向就业动物科技学院杨合龙非定向就业动物科技学院奇立敏定向就业动物科技学院崔鑫非定向就业动物科技学院刘燕蓉非定向就业动物科技学院杨鑫非定向就业动物医学院边疆非定向就业动物医学院宁淑杰非定向就业动物医学院王杰非定向就业动物医学院张朋非定向就业动物医学院王晓明非定向就业动物医学院王见一非定向就业动物医学院何文娟非定向就业动物医学院黄晓勇非定向就业动物医学院彭涛非定向就业动物医学院郎玥非定向就业动物医学院孙菲菲非定向就业动物医学院刘源非定向就业动物医学院刘志海非定向就业动物医学院李道稳非定向就业动物医学院李成龙非定向就业动物医学院付琴非定向就业动物医学院杨夏云非定向就业动物医学院王迪非定向就业动物医学院韩世充非定向就业动物医学院陈冬杰非定向就业动物医学院李子彬非定向就业动物医学院张武超非定向就业动物医学院包珂岩非定向就业动物医学院高鹏非定向就业动物医学院任建乐非定向就业动物医学院张振东非定向就业动物医学院杨佳非定向就业动物医学院苏朝非定向就业动物医学院朱俊达非定向就业动物医学院徐刚非定向就业动物医学院张树栋非定向就业动物医学院杨聪山非定向就业动物医学院胡丹丹非定向就业动物医学院李鹏非定向就业动物医学院高卫华非定向就业动物医学院张清水非定向就业动物医学院别鹏飞非定向就业动物医学院宁康非定向就业动物医学院付梦姣非定向就业动物医学院陈祥非定向就业动物医学院李超非定向就业动物医学院贺婷非定向就业动物医学院范迎赛非定向就业动物医学院王梦玲非定向就业动物医学院杨贵燕非定向就业动物医学院张亚茹非定向就业动物医学院韩丹丹非定向就业动物医学院张红非定向就业动物医学院卞艺斐非定向就业动物医学院左宗辉非定向就业动物医学院张强非定向就业动物医学院何至远非定向就业动物医学院孟雯非定向就业动物医学院王家毅非定向就业食品科学与营养工程学院胡晓沛非定向就业食品科学与营养工程学院刘晓畅非定向就业食品科学与营养工程学院邢寒竹非定向就业食品科学与营养工程学院张哲定向就业食品科学与营养工程学院宋洪东非定向就业食品科学与营养工程学院王晶非定向就业食品科学与营养工程学院王璇非定向就业食品科学与营养工程学院王宇晓非定向就业食品科学与营养工程学院贾国梁非定向就业食品科学与营养工程学院代蕾非定向就业食品科学与营养工程学院万洋灵非定向就业食品科学与营养工程学院刘济源非定向就业食品科学与营养工程学院程楠非定向就业食品科学与营养工程学院刘文非定向就业食品科学与营养工程学院刘妍非定向就业食品科学与营养工程学院赵亮非定向就业食品科学与营养工程学院陈存坤定向就业食品科学与营养工程学院吴伟菁定向就业食品科学与营养工程学院王超非定向就业食品科学与营养工程学院喻倩倩非定向就业食品科学与营养工程学院李睿非定向就业食品科学与营养工程学院陈善斌非定向就业食品科学与营养工程学院李扬非定向就业食品科学与营养工程学院赵丽丽非定向就业食品科学与营养工程学院罗东升非定向就业食品科学与营养工程学院马秀丽非定向就业食品科学与营养工程学院于丹非定向就业食品科学与营养工程学院赵韩栋非定向就业食品科学与营养工程学院李道通非定向就业食品科学与营养工程学院于国泳非定向就业食品科学与营养工程学院章慧莺非定向就业食品科学与营养工程学院任承龙非定向就业食品科学与营养工程学院李晶钰非定向就业。
中国农业大学考博-中国农业大学考博院校介绍学院介绍中国农业大学研究生院设立于1984年,是教育部首批批准设立研究生院的院校之一。
中国农业大学考博,研究生院院长由校长柯炳生教授兼任,常务副院长为于嘉林教授。
研究生院下设综合办公室、管理处、招生办公室、培养处、学位办公室五个处室。
党委研究生工作部与管理处合署办公;中国农业大学研究生教育创新研究中心挂靠研究生院。
学校现有全日制研究生6765名,其中全日制硕士研究生4122名,全日制博士研究生2643名。
导师1162人,博士生导师547人。
其中,中国科学院院士5人,中国工程院院士7人。
19个博士学位授权一级学科,95个博士学位授权点,37个硕士学位授权一级学科,171个硕士学位授权点,12个博士后流动站。
拥有6个国家重点一级学科,6个国家重点二级学科,共覆盖了24个二级学科,21个省部级重点学科。
学科覆盖农学、理学、工学、法学、管理学、哲学、经济学、医学、文学9个学科门类。
中国农业大学是中国的十六所一流大学之一。
中国农业大学考博大学科门中农学排名全国第一,在全国80个一级学科整体水平评估中中国农业大学植物保护、畜牧学、兽医学、食品科学与工程、农业工程等7个一级学科排名全国第一。
其数量在全国排第三,仅次于北京大学和清华大学。
中国农业大学具备培养学士、硕士、博士及博士后的完整教育体系。
学校拥有12个博士学位授权一级学科,71个博士学位授权点,136个硕士学位授权点;65个本科专业,其中生物学、化学两个学科被列入“国家理科基础学科研究和教育人才培养基地”。
中国农大考博学校重视教学质量,大力推进教育教学改革,积极探索培养高素质创新人才的培养模式。
截至2011年12月,中国农业大学有全日制本科生12944名,全日制研究生6765名,其中全日制硕士研究生4122名,全日制博士研究生2643名;在站博士后研究人员164名。
中国农业大学广泛深入开展科学技术研究。
学校坚持面向国民经济主战场,着重开展具有应用前景的基础研究和对国民经济发展有重大意义的应用研究,生物与农业高技术领域的研究居领先水平。
中国农大研究生各专业招生计划
一、农学院
1.农业资源与农业环境
招生专业:农业资源与环境、土壤学、环境科学与工程
招生计划:全日制硕士研究生25名、博士研究生10名
2.植物保护
招生专业:植物保护
招生计划:全日制硕士研究生20名、博士研究生8名
3.动物科学
招生专业:动物遗传育种与繁殖、动物营养与饲料科学、动物疫病防控
招生计划:全日制硕士研究生30名、博士研究生12名
二、生命科学学院
1.生物化学与分子生物学
招生专业:生物化学与分子生物学
招生计划:全日制硕士研究生15名、博士研究生6名
2.生物技术
招生专业:生物技术
招生计划:全日制硕士研究生20名、博士研究生8名
3.生态学
招生专业:生态学
招生计划:全日制硕士研究生25名、博士研究生10名
三、工学院
1.农业工程
招生专业:农业机械化与土地资源工程、农业电气化与自动化工程招生计划:全日制硕士研究生20名、博士研究生8名
2.食品科学与工程
招生专业:食品科学与工程
招生计划:全日制硕士研究生30名、博士研究生12名
以上仅为中国农业大学部分研究生专业的招生计划,实际情况可能会有所变动,请以学校发布的官方招生通知为准。
希望各位同学根据自己的兴趣和专业背景,选择适合自己的专业,努力学习,为未来的发展打下坚实的基础。
祝各位同学在中国农业大学的学习生活中取得优异成绩,实现自己的梦想!。
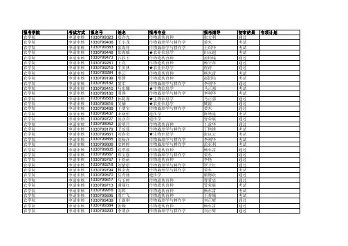
报考学院考试方式报名号姓名报考专业报考博导初审结果专项计划农学院申请审核1030799323郑许光作物遗传育种张文利通过农学院申请审核1030799406王小龙作物栽培学与耕作学姜东考试农学院申请审核1030799383张海祥作物栽培学与耕作学王绍华考试农学院申请审核1030799448张海威★农业信息学田永超考试农学院申请审核1030799473谷胜玉作物遗传育种盖钧镒通过农学院申请审核1030799281王亮作物遗传育种杨守萍通过农学院申请审核1030799219牛庆林★农业信息学程涛通过农学院申请审核1030799284李云作物遗传育种杨东雷考试农学院申请审核1030799199邢静作物遗传育种赵团结考试农学院申请审核1030799182晏军作物栽培学与耕作学李刚华通过农学院申请审核1030799410马东娜★生物信息学马正强考试农学院申请审核1030799180周燕作物栽培学与耕作学李刚华考试农学院申请审核1030799583孙聪睿★生物信息学马正强通过农学院申请审核1030799816吴楠★农业信息学姚霞通过农学院申请审核1030799489王朋宝作物栽培学与耕作学姜东通过农学院申请审核1030799437宋晓恒遗传学陈增建考试农学院申请审核1030799727范彦君遗传学管荣展通过农学院申请审核1030798952黄明月作物遗传育种王益华通过农学院申请审核1030799179卫琼茹作物栽培学与耕作学丁艳锋考试农学院申请审核1030799661刘春奇★生物信息学张良云考试农学院申请审核1030799855刘杨洋作物栽培学与耕作学李刚华考试农学院申请审核1030799606安婷婷作物栽培学与耕作学孟亚利考试农学院申请审核1030799805底翠茹作物遗传育种杨东雷通过农学院申请审核1030799667郑宝强作物栽培学与耕作学姜东通过农学院申请审核1030799767于舒函作物遗传育种李艳通过农学院申请审核1030799218刘紫娟作物栽培学与耕作学罗卫红通过农学院申请审核1030799794穆金虎作物栽培学与耕作学姜东考试农学院申请审核1030799570岳秀丽遗传学喻德跃通过农学院申请审核1030799617马玉婷作物遗传育种曹爱忠通过农学院申请审核1030799713谢丽红作物遗传育种管荣展考试农学院申请审核1030799916刘辉作物遗传育种杨东雷考试农学院申请审核1030799595周广飞作物遗传育种王秀娥考试农学院申请审核1030799439王露祺作物栽培学与耕作学刘正辉通过农学院申请审核1030799384张嫚作物遗传育种杨东雷通过农学院申请审核1030799293李朋彦作物栽培学与耕作学刘正辉通过报考学院考试方式报名号姓名报考专业报考博导初审结果专项计划农学院申请审核1030799454徐从杉作物栽培学与耕作学丁艳锋通过农学院申请审核1030798951崔梦杰作物遗传育种张新友通过农学院申请审核1030799815刘佳作物遗传育种王秀娥通过农学院申请审核1030799770左文君★农业信息学曹卫星通过农学院申请审核1030799758任婷婷★农业信息学曹卫星通过农学院申请审核1030799602李梦琪★生物信息学张文利通过农学院申请审核1030799163俞志杰作物遗传育种杨守萍通过农学院申请审核1030799114潘永鹏作物遗传育种盖钧镒通过农学院申请审核1030799792胡乃月作物栽培学与耕作学王绍华考试农学院申请审核1030799237李生栋作物栽培学与耕作学丁艳锋考试农学院申请审核1030799145耿慧晶★种子科学与技术鲍永美通过农学院申请审核1030799931张峥男★农业信息学程涛通过农学院申请审核1030799825江峥嵘作物栽培学与耕作学李刚华通过农学院申请审核1030799989凯楠★农业信息学程涛考试农学院申请审核1030799750张冰蕾遗传学万建民通过农学院申请审核1030799672陈友桃作物栽培学与耕作学朱利群通过农学院申请审核1030799558丁国辉作物栽培学与耕作学丁艳锋考试农学院申请审核1030799841孙磊作物遗传育种盖钧镒考试农学院申请审核1030799814潘嫄嫄★农业信息学田永超通过农学院申请审核1030799704王吉作物遗传育种张文利考试农学院申请审核1030799508程浩作物遗传育种麻浩通过农学院申请审核1030799338王海彦★生物信息学吴玉峰通过农学院申请审核1030799152年宇薇作物遗传育种张文利考试农学院申请审核1030799185韩馥容作物遗传育种李艳考试农学院申请审核1030799304高维维作物遗传育种管荣展通过农学院申请审核1030799106翟思龙作物栽培学与耕作学孟亚利考试农学院申请审核1030799398万可作物遗传育种关雪莹通过农学院申请审核1030799101闫文亮作物遗传育种赵团结通过农学院申请审核1030799385詹静作物栽培学与耕作学徐志刚考试农学院申请审核1030799215李春艳作物栽培学与耕作学周治国考试农学院申请审核1030799193李洁作物遗传育种关雪莹考试农学院转博1030798900徐宏发作物栽培学与耕作学刘正辉通过农学院转博1030798904刘嘉俊作物栽培学与耕作学丁艳锋通过农学院转博1030798921荀倩作物栽培学与耕作学丁艳锋通过农学院转博1030798924宋韵琳作物栽培学与耕作学姜东通过报考学院考试方式报名号姓名报考专业报考博导初审结果专项计划农学院转博1030798719葛于伟作物遗传育种王春明通过农学院转博1030798693雷佳作物遗传育种王秀娥通过农学院转博1030798738朱沛文★种子科学与技术张红生通过农学院转博1030798745李亚蔚作物遗传育种赵团结通过农学院转博1030798711黄云帅作物遗传育种江玲通过农学院转博1030798725孙颖作物遗传育种唐灿明考试农学院转博1030798685唐一宁★农业信息学田永超通过农学院转博1030798666许敏作物遗传育种周宝良通过农学院转博1030798795雷德坤遗传学万建民通过农学院转博1030798703周晨辉作物遗传育种周宝良通过农学院转博1030798698余耀作物遗传育种鲍永美通过农学院转博1030798739李玉霞作物栽培学与耕作学周治国通过农学院转博1030798735何佳奇作物栽培学与耕作学罗卫红通过农学院转博1030798694黄振朴作物遗传育种曹爱忠考试农学院转博1030798712王欢欢作物遗传育种华健通过农学院转博1030798707包秀浩遗传学万建民通过农学院转博1030798686孙睿东作物遗传育种邢邯通过农学院转博1030798670崔长江作物遗传育种周宝良考试农学院转博1030798731巫威作物遗传育种王春明考试农学院转博1030798743陈小丽作物遗传育种万建民通过农学院转博1030798779刘东丽作物遗传育种盖钧镒通过农学院转博1030798772郝晓帅作物遗传育种盖钧镒通过农学院转博1030798770李梦琳作物遗传育种关雪莹通过农学院转博1030798708郑东洋★生物信息学张文利通过农学院转博1030798679王琮琮作物遗传育种邢邯通过农学院转博1030798783张旭作物遗传育种王秀娥通过农学院转博1030798716杜康作物栽培学与耕作学周治国通过农学院转博1030798769崔松作物遗传育种万建民通过农学院转博1030798700蒋欣羽作物遗传育种陈增建通过农学院转博1030798740曹楠作物栽培学与耕作学孟亚利通过农学院转博1030798676陈一鸣作物遗传育种王秀娥通过农学院转博1030798776伍洪铭作物遗传育种万建民通过农学院转博1030798659吴春华作物遗传育种李艳通过农学院转博1030798715余钟毓作物遗传育种王秀娥通过农学院转博1030798791陆佳雨遗传学赵志刚通过报考学院考试方式报名号姓名报考专业报考博导初审结果专项计划农学院转博1030798782张鹏程作物遗传育种万建民通过农学院转博1030798751路克宁作物遗传育种关雪莹通过农学院转博1030798705刘慧敏作物遗传育种华健通过农学院转博1030798750张培培作物遗传育种喻德跃考试农学院转博1030798790王莉作物遗传育种喻德跃通过农学院转博1030798786贾慧颖作物遗传育种盖钧镒考试农学院转博1030798799张佳琪作物遗传育种黄骥通过农学院转博1030798704晋彤彤作物遗传育种赵团结通过农学院转博1030798665沈英姿作物遗传育种麻浩通过农学院转博1030798729江九华作物遗传育种唐灿明通过农学院转博1030798880陈川作物遗传育种郭旺珍通过农学院转博1030798836邹洁作物栽培学与耕作学周治国通过农学院转博1030798826付洁作物遗传育种喻树迅通过农学院转博1030798825王巍★农业信息学朱艳通过农学院转博1030798838于羽嘉作物遗传育种喻树迅通过农学院转博1030798840朱杰★农业信息学姚霞通过农学院转博1030798839雷康琦作物栽培学与耕作学戴廷波通过农学院转博1030798814米新月作物遗传育种郭旺珍通过农学院转博1030798812何影作物遗传育种张红生通过农学院转博1030798823叶天洋★农业信息学朱艳考试农学院转博1030798856晁盛茜作物遗传育种喻德跃通过农学院转博1030798829胡金玲作物栽培学与耕作学戴廷波通过农学院转博1030798866苏炜宣作物栽培学与耕作学徐志刚通过农学院转博1030798865田龙★农业信息学程涛通过农学院转博1030798837叶紫★农业信息学朱艳考试农学院转博1030798855刘富杰作物遗传育种周宝良考试农学院转博1030798845何庆飞作物遗传育种郭旺珍通过农学院转博1030798828李永清作物遗传育种郭旺珍通过农学院转博1030798830李维希作物遗传育种郭旺珍通过农学院转博1030798925安璐作物栽培学与耕作学刘正辉通过植物保护学院申请审核1030799127林清彩农业昆虫与害虫防治李保平考试植物保护学院申请审核1030799498时东亚农药学陈长军通过植物保护学院申请审核1030799438毛雪伟农药学周明国考试植物保护学院申请审核1030799110贾忠强农业昆虫与害虫防治韩召军通过植物保护学院申请审核1030799656孙建鲁植物病理学钱国良通过报考学院考试方式报名号姓名报考专业报考博导初审结果专项计划植物保护学院申请审核1030799363刘宏毅植物病理学张正光通过植物保护学院申请审核1030799121陈敬祥农业昆虫与害虫防治李国清通过植物保护学院申请审核1030799614肖丽芳农业昆虫与害虫防治洪晓月通过植物保护学院申请审核1030799399张书舍植物病理学张正光通过植物保护学院申请审核1030799377张杰农药学周明国通过植物保护学院申请审核1030799679翟孟源农业昆虫与害虫防治刘向东通过植物保护学院申请审核1030799552李文倩植物病理学陈剑平考试植物保护学院申请审核1030799355赵东磊农药学周明国通过植物保护学院申请审核1030799400张云骅农药学苏建亚考试植物保护学院申请审核1030799772孔云农业昆虫与害虫防治吴益东考试植物保护学院申请审核1030799452杨磊农业昆虫与害虫防治洪晓月考试植物保护学院申请审核1030799784李开怀植物病理学钱国良通过植物保护学院申请审核1030799676王玲农业昆虫与害虫防治李国清通过植物保护学院申请审核1030799870刘乃一农业昆虫与害虫防治洪晓月通过植物保护学院申请审核1030799717房加鹏农药学董立尧通过植物保护学院申请审核1030799628李开霞农业昆虫与害虫防治吴益东通过植物保护学院申请审核1030799624彭金凤植物病理学董汉松通过植物保护学院申请审核1030799461徐继伟农业昆虫与害虫防治刘向东通过植物保护学院申请审核1030799518杨丙烨植物病理学郭坚华通过植物保护学院申请审核1030799286马家新植物病理学郑小波通过植物保护学院申请审核1030799288何雨娟农业昆虫与害虫防治刘向东通过植物保护学院申请审核1030799775夏添植物病理学董汉松通过植物保护学院申请审核1030799739杨燕川农业昆虫与害虫防治吴益东通过植物保护学院申请审核1030799566姚国胜植物病理学高学文通过植物保护学院申请审核1030799959陈静植物病理学陶小荣通过植物保护学院申请审核1030799756许龙农药学王鸣华通过植物保护学院申请审核1030799728霍鸣飞农业昆虫与害虫防治董双林考试植物保护学院申请审核1030799236张俊植物病理学胡白石通过植物保护学院申请审核1030799330尤红杰农药学王鸣华通过植物保护学院申请审核1030799783展恩玲农业昆虫与害虫防治吴益东考试植物保护学院申请审核1030798971陈耕农业昆虫与害虫防治陈法军通过植物保护学院申请审核1030799969郭金梦农业昆虫与害虫防治董双林通过植物保护学院申请审核1030799886梁昭植物病理学高学文通过植物保护学院申请审核1030799662郝凯强植物病理学董莎萌考试植物保护学院申请审核1030799646权澎琪农业昆虫与害虫防治刘向东通过报考学院考试方式报名号姓名报考专业报考博导初审结果专项计划植物保护学院申请审核1030799850郭春晖农业昆虫与害虫防治刘向东通过植物保护学院申请审核1030799669陈议亮农药学叶永浩通过植物保护学院申请审核1030799955陈兆杰农药学杨红通过植物保护学院申请审核1030799230马超农业昆虫与害虫防治杨亦桦通过植物保护学院申请审核1030799155高蕾植物病理学赵弘巍通过植物保护学院申请审核1030799188陆洁植物病理学赵弘巍通过植物保护学院申请审核1030799027谭乐勇植物病理学张正光考试植物保护学院申请审核1030799366李婧农业昆虫与害虫防治吴益东通过植物保护学院申请审核1030799254李静农药学周明国考试植物保护学院申请审核1030799334逯欣宇植物病理学董莎萌通过植物保护学院申请审核1030799331程传英农药学杨红通过植物保护学院申请审核1030799322雷双农业昆虫与害虫防治王备新通过植物保护学院申请审核1030799337孙毓璟植物病理学王源超通过植物保护学院申请审核1030799174詹海霞农业昆虫与害虫防治李国清考试植物保护学院申请审核1030799389刘畅皓植物病理学赵弘巍通过植物保护学院申请审核1030799252汪佩佩农业昆虫与害虫防治李国清考试植物保护学院申请审核1030799245赵小强植物病理学董莎萌通过植物保护学院转博1030798914吴建建农业昆虫与害虫防治李国清考试植物保护学院转博1030798898李立坤农业昆虫与害虫防治陈法军通过植物保护学院转博1030798920时东亚农药学陈长军通过植物保护学院转博1030798911舒海东植物病理学董莎萌通过植物保护学院转博1030798886刘青青农业昆虫与害虫防治吴益东通过植物保护学院转博1030798917张帆植物病理学董莎萌通过植物保护学院转博1030798906朱金义植物病理学王源超通过植物保护学院转博1030798908邱序方植物病理学王源超通过植物保护学院转博1030798892王淑琛植物病理学郑小波通过植物保护学院转博1030798913赵霞植物病理学陈剑平考试植物保护学院转博1030798778殷越农业昆虫与害虫防治薛晓峰通过植物保护学院转博1030798796秦鑫植物病理学李红梅通过植物保护学院转博1030798803冯慧植物病理学郑小波通过植物保护学院转博1030798767肖雨涵植物病理学张海峰通过植物保护学院转博1030798714谢康农业昆虫与害虫防治洪晓月考试植物保护学院转博1030798759杨志明农药学刘泽文考试植物保护学院转博1030798742王春莉植物病理学陶小荣通过植物保护学院转博1030798800车舒植物病理学胡白石通过报考学院考试方式报名号姓名报考专业报考博导初审结果专项计划植物保护学院转博1030798807吴茜植物病理学陶小荣通过植物保护学院转博1030798882曲毓立农业昆虫与害虫防治李保平通过植物保护学院转博1030798881项青植物病理学陶小荣通过植物保护学院转博1030798851谷凯鑫农药学周明国通过植物保护学院转博1030798850迮隆基农业昆虫与害虫防治韩召军通过植物保护学院转博1030798883艾干植物病理学窦道龙通过植物保护学院转博1030798822何宗哲农药学王鸣华通过植物保护学院转博1030798859陈辉农业昆虫与害虫防治刘向东通过植物保护学院转博1030798874张海南农业昆虫与害虫防治韩召军通过植物保护学院转博1030798872陈贺农药学王鸣华考试植物保护学院转博1030798876胡杰雄植物病理学张正光通过植物保护学院转博1030798818徐康文植物病理学钱国良通过植物保护学院转博1030798833李同浦农业昆虫与害虫防治洪晓月通过植物保护学院转博1030798834高晋农业昆虫与害虫防治王备新通过植物保护学院转博1030798842钮建国农药学苏建亚考试植物保护学院转博1030798820戴晓光农业昆虫与害虫防治吴益东通过资源与环境科学学院申请审核1030799210张玉文农业资源与环境宣伟考试资源与环境科学学院申请审核1030799422程鹏飞农业资源与环境高彦征通过资源与环境科学学院申请审核1030799339颜学宾生态学胡水金通过资源与环境科学学院申请审核1030799342白彤硕生态学胡水金通过资源与环境科学学院申请审核1030799492阮楚晋★环境污染控制工程高彦征通过资源与环境科学学院申请审核1030799748马冲农业资源与环境潘根兴通过资源与环境科学学院申请审核1030799689舒向阳生态学胡水金通过资源与环境科学学院申请审核1030799859杨安娜生态学胡水金通过资源与环境科学学院申请审核1030799064邵正英农业资源与环境沈其荣通过资源与环境科学学院申请审核1030799096丁寒农业资源与环境赵方杰通过资源与环境科学学院申请审核1030798946周志波农业资源与环境汪鹏通过资源与环境科学学院申请审核1030799090李兵娟农业资源与环境孙淑斌通过资源与环境科学学院申请审核1030799801季凌飞农业资源与环境郭世伟通过资源与环境科学学院申请审核1030799720罗荣剑农业资源与环境黄新元通过资源与环境科学学院申请审核1030799788柴炳文农业资源与环境潘根兴通过资源与环境科学学院申请审核1030799858马建辉农业资源与环境沈其荣通过资源与环境科学学院申请审核1030799509刘文佳★环境污染控制工程凌婉婷通过资源与环境科学学院申请审核1030799702张军生态学潘剑君通过资源与环境科学学院申请审核1030799575闵凯凯农业资源与环境李辉信通过报考学院考试方式报名号姓名报考专业报考博导初审结果专项计划资源与环境科学学院申请审核1030799650朱经伟农业资源与环境沈标考试资源与环境科学学院申请审核1030799731熊仕娟农业资源与环境黄新元考试资源与环境科学学院申请审核1030799565霍举颂生态学刘满强考试资源与环境科学学院申请审核1030799328程赛赛生态学刘满强考试资源与环境科学学院申请审核1030799054许敬敬★环境污染控制工程周立祥通过资源与环境科学学院申请审核1030799571卢申堡生态学胡锋通过资源与环境科学学院申请审核1030799950李明沅★应用海洋生物学葛滢考试资源与环境科学学院申请审核1030799857王杰农业资源与环境赵方杰通过资源与环境科学学院申请审核1030799677王飞生态学潘剑君通过资源与环境科学学院申请审核1030799491万兵兵生态学刘满强考试资源与环境科学学院申请审核1030799553袁飞敏农业资源与环境黄新元通过资源与环境科学学院申请审核1030799132张明江★环境污染控制工程周立祥通过资源与环境科学学院申请审核1030799118张晓蓉★环境污染控制工程高彦征考试资源与环境科学学院申请审核1030799098肖杨生态学潘剑君通过资源与环境科学学院申请审核1030799097张金飞农业资源与环境徐国华通过资源与环境科学学院申请审核1030799659张天睿农业资源与环境邹建文通过资源与环境科学学院申请审核1030799897赵鹏农业资源与环境沈标通过资源与环境科学学院申请审核1030799660郑鹏★环境污染控制工程高彦征通过资源与环境科学学院申请审核1030799561李春楷农业资源与环境李辉信通过资源与环境科学学院申请审核1030799493董小娜★环境污染控制工程蔡天明通过资源与环境科学学院申请审核1030799534郭瞻宇农业资源与环境汪鹏通过资源与环境科学学院申请审核1030799515孔志坚农业资源与环境沈其荣考试资源与环境科学学院申请审核1030799137高阿祥农业资源与环境黄新元通过资源与环境科学学院申请审核1030799059张胜男农业资源与环境汪鹏通过资源与环境科学学院申请审核1030799503李丹★环境污染控制工程王长海通过资源与环境科学学院申请审核1030799928吴汉卿农业资源与环境邹建文通过资源与环境科学学院申请审核1030799929吴振华农业资源与环境沈标通过资源与环境科学学院申请审核1030799640吕晓杰农业资源与环境黄新元通过资源与环境科学学院申请审核1030799555刘凯农业资源与环境胡水金通过资源与环境科学学院申请审核1030799514赵政农业资源与环境沈其荣通过资源与环境科学学院申请审核1030799580张小康农业资源与环境宣伟考试资源与环境科学学院申请审核1030799828孙倩★环境污染控制工程凌婉婷通过资源与环境科学学院申请审核1030799396卢云峰农业资源与环境李荣考试资源与环境科学学院申请审核1030799540师振亚农业资源与环境汪鹏通过资源与环境科学学院申请审核1030799994潘金华生态学潘剑君考试报考学院考试方式报名号姓名报考专业报考博导初审结果专项计划资源与环境科学学院申请审核1030799538邬梦成生态学胡锋考试资源与环境科学学院申请审核1030799103杨果果生态学李福春通过资源与环境科学学院申请审核1030799092王小文生态学胡锋通过资源与环境科学学院申请审核1030799178邵天韵生态学胡锋通过资源与环境科学学院申请审核1030799297芮祥为生态学刘满强考试资源与环境科学学院申请审核1030799427李嘉康农业资源与环境高彦征考试资源与环境科学学院申请审核1030799244蒋卓睿★环境污染控制工程兰叶青考试资源与环境科学学院申请审核1030799404韩召强农业资源与环境邹建文考试资源与环境科学学院申请审核1030799307张楠农业资源与环境胡水金通过资源与环境科学学院申请审核1030799222张将农业资源与环境张亚丽通过资源与环境科学学院申请审核1030799232张娜农业资源与环境李荣通过资源与环境科学学院申请审核1030799250段志斌农业资源与环境汪鹏通过资源与环境科学学院申请审核1030798990何涛农业资源与环境汪鹏通过资源与环境科学学院申请审核1030798988胡星云农业资源与环境郭世伟考试资源与环境科学学院申请审核1030799354张少丽生态学李福春通过资源与环境科学学院申请审核1030799353韩书文★环境污染控制工程占新华通过资源与环境科学学院申请审核1030799440赵强农业资源与环境邹建文通过资源与环境科学学院申请审核1030799176彭昆宇农业资源与环境胡水金通过资源与环境科学学院申请审核1030798978陈泽慧★环境污染控制工程周立祥通过资源与环境科学学院申请审核1030799013陈阳阳★环境污染控制工程高彦征考试资源与环境科学学院申请审核1030798984谢先进农业资源与环境赵方杰通过资源与环境科学学院申请审核1030799320陶瑾晋农业资源与环境胡水金通过资源与环境科学学院申请审核1030799488赵乾旭农业资源与环境郭世伟通过资源与环境科学学院申请审核1030799352池志濑农业资源与环境余光辉通过资源与环境科学学院申请审核1030799076李崇华★环境污染控制工程葛滢通过资源与环境科学学院申请审核1030799242张哲媛★环境污染控制工程高彦征考试资源与环境科学学院申请审核1030799238张腾农业资源与环境汪鹏考试资源与环境科学学院申请审核1030799190李玲农业资源与环境沈其荣考试资源与环境科学学院申请审核1030799445彭莉润农业资源与环境余玲通过资源与环境科学学院转博1030798926阮杨农业资源与环境朱毅勇通过资源与环境科学学院转博1030798923孙逸飞农业资源与环境沈其荣通过资源与环境科学学院转博1030798893陈旭文★环境污染控制工程凌婉婷通过资源与环境科学学院转博1030798905王兵爽农业资源与环境范晓荣考试资源与环境科学学院转博1030798888杨培增★环境污染控制工程陆隽鹤通过资源与环境科学学院转博1030798916郭赛农业资源与环境沈其荣考试。
中国农业大学授予博士、硕士学位与培养研究生的学科专业设置学科一级学科学科名称授权所属学院门类等级作物学作物栽培学与耕作学博士农学与生物技术学农学院作物遗传育种学博士农学与生物技术学院种子科学*博士农学与生物技术学院作物生理学*博士农学与生物技术学院园艺学果树学博士农学与生物技术学院蔬菜学博士农学与生物技术学院茶学博士农学与生物技术学院观赏园艺*博士农学与生物技术学院农业资源利土壤学博士资源与环境学院用学植物营养学博士资源与环境学院土地利用与信息技术*博士资源与环境学院资源环境生物技术*博士资源与环境学院植物保护学植物病理学博士农学与生物技术学院农业昆虫与害虫防治博士农学与生物技术学院农药学博士理学院植物检疫与生态健康*博士农学与生物技术学院农产品安全*博士理学院畜牧学动物遗传育种与繁殖博士动物科技学院动物营养与饲料科学博士动物科技学院草业科学博士动物科技学院特种经济动物饲养(含博士动物科技学院蚕蜂)畜牧生物工程*博士动物科技学院兽医学基础兽医学博士动物医学院预防兽医学博士动物医学院临床兽医学博士动物医学院兽医生物医学*博士动物医学院兽医公共卫生*博士动物医学院林学园林植物与观赏园艺硕士农学与生物技术学院水土保持与荒漠化防硕士水利与土木工程学治院工学力学固体力学硕士理学院机械工程机械设计及其自动化硕士工学院机械电子工程硕士工学院机械设计及理论博士工学院水利与土木工程学院车辆工程博士工学院动力工程及工流体机械及工程硕士水利与土木工程学程热物理院电气工程电力系统及其自动化硕士信息与电气工程学院控制科学与工检测技术与自动化装硕士信息与电气工程学程置院计算机科学与计算机应用技术硕士信息与电气工程学技术院土木工程结构工程硕士水利与土木工程学院水利工程水文学及水资源硕士水利与土木工程学院交通运输工程载运工具运用工程硕士工学院农业工程农业机械化工程博士工学院农业水土工程博士水利与土木工程学院农业生物环境与能源博士水利与土木工程学工程院农学与生物技术学院农业电气化与自动化博士信息与电气工程学院农业装备工程* 博士工学院环境科学与工环境工程博士资源与环境学院程环境科学硕士资源与环境学院食品科学与食品科学博士食品科学与营养工工程程学院粮食、油脂及植物蛋白博士食品科学与营养工工程程学院农产品加工及贮藏工博士食品科学与营养工程程学院工学院水产品加工及贮藏工博士食品科学与营养工程程学院食品生物技术* 博士食品科学与营养工程学院营养与食品安全* 博士食品科学与营养工程学院理学数学应用数学硕士理学院化学分析化学硕士理学院有机化学硕士理学院地理学地图学与地理信息系硕士信息与电气工程学统院大气科学气象学硕士资源与环境学院生物学植物学博士生物学院动物学博士生物学院生理学博士生物学院水生生物学博士生物学院微生物学博士生物学院神经生物学博士生物学院遗传学博士生物学院发育生物学博士生物学院细胞生物学博士生物学院生物化学与分子生物博士生物学院学生物物理学博士理学院生态学博士资源与环境学院生物信息学* 博士生物学院科学技术史科学技术史硕士人文与发展学院管理科学与管理科学与工程博士经济管理学院管理工程城镇管理与区域规划* 博士经济管理学院学水利与土木工程学院理学院运筹与管理* 博士人文与发展学院农村发展与管理* 博士经济管理学院工商管理学企业管理学硕士农林经济管经济管理学院农业经济管理博士经济管理学院理林业经济管理博士人文与发展学院公共管理教育经济与管理学硕士人文与发展学院社会保障学硕士资源与环境学院土地资源管理博士图书馆图书馆、情报与情报学硕士档案学经济应用经济学区域经济学硕士人文与发展学院学金融学(含保险学)硕士经济管理学院产业经济学硕士经济管理学院国际贸易学硕士经济管理学院数量经济学硕士经济管理学院法学经济法硕士人文与发展学院马克思主义理论与思硕士人文与发展学院法学政治学想政治教育社会学社会学硕士人文与发展学院医学公共卫生与预防营养与食品卫生学硕士食品科学与营养工医学程学院哲学哲学科学技术哲学硕士人文与发展学院文学外国语言文学英语语言文学硕士人文与发展学院新闻传播学传播学硕士人文与发展学院注: 1、“”表示有权授予博士、硕士学位的一级学科; 2、“*” 表示在博士学位授权一级学科范围内自主设置学科; 3、“” 表示有权培养研究生但实际并未招生的学科。
南京农业大学2018年博士初审资格名单公示报考学院考试方式报名号姓名报考专业报考博导初审结果专项计划农学院申请审核1030799323郑许光作物遗传育种张文利通过农学院申请审核1030799406王小龙作物栽培学与耕作学姜东考试农学院申请审核1030799383张海祥作物栽培学与耕作学王绍华考试农学院申请审核1030799448张海威★农业信息学田永超考试农学院申请审核1030799473谷胜玉作物遗传育种盖钧镒通过农学院申请审核1030799281王亮作物遗传育种杨守萍通过农学院申请审核1030799219牛庆林★农业信息学程涛通过农学院申请审核1030799284李云作物遗传育种杨东雷考试农学院申请审核1030799199邢静作物遗传育种赵团结考试农学院申请审核1030799182晏军作物栽培学与耕作学李刚华通过农学院申请审核1030799410马东娜★生物信息学马正强考试农学院申请审核1030799180周燕作物栽培学与耕作学李刚华考试农学院申请审核1030799583孙聪睿★生物信息学马正强通过农学院申请审核1030799816吴楠★农业信息学姚霞通过农学院申请审核1030799489王朋宝作物栽培学与耕作学姜东通过农学院申请审核1030799437宋晓恒遗传学陈增建考试农学院申请审核1030799727范彦君遗传学管荣展通过农学院申请审核1030798952黄明月作物遗传育种王益华通过农学院申请审核1030799179卫琼茹作物栽培学与耕作学丁艳锋考试农学院申请审核1030799661刘春奇★生物信息学张良云考试农学院申请审核1030799855刘杨洋作物栽培学与耕作学李刚华考试农学院申请审核1030799606安婷婷作物栽培学与耕作学孟亚利考试农学院申请审核1030799805底翠茹作物遗传育种杨东雷通过农学院申请审核1030799667郑宝强作物栽培学与耕作学姜东通过农学院申请审核1030799767于舒函作物遗传育种李艳通过农学院申请审核1030799218刘紫娟作物栽培学与耕作学罗卫红通过农学院申请审核1030799794穆金虎作物栽培学与耕作学姜东考试农学院申请审核1030799570岳秀丽遗传学喻德跃通过农学院申请审核1030799617马玉婷作物遗传育种曹爱忠通过农学院申请审核1030799713谢丽红作物遗传育种管荣展考试农学院申请审核1030799916刘辉作物遗传育种杨东雷考试农学院申请审核1030799595周广飞作物遗传育种王秀娥考试农学院申请审核1030799439王露祺作物栽培学与耕作学刘正辉通过农学院申请审核1030799384张嫚作物遗传育种杨东雷通过农学院申请审核1030799293李朋彦作物栽培学与耕作学刘正辉通过报考学院考试方式报名号姓名报考专业报考博导初审结果专项计划农学院申请审核1030799454徐从杉作物栽培学与耕作学丁艳锋通过农学院申请审核1030798951崔梦杰作物遗传育种张新友通过农学院申请审核1030799815刘佳作物遗传育种王秀娥通过农学院申请审核1030799770左文君★农业信息学曹卫星通过农学院申请审核1030799758任婷婷★农业信息学曹卫星通过农学院申请审核1030799602李梦琪★生物信息学张文利通过农学院申请审核1030799163俞志杰作物遗传育种杨守萍通过农学院申请审核1030799114潘永鹏作物遗传育种盖钧镒通过农学院申请审核1030799792胡乃月作物栽培学与耕作学王绍华考试农学院申请审核1030799237李生栋作物栽培学与耕作学丁艳锋考试农学院申请审核1030799145耿慧晶★种子科学与技术鲍永美通过农学院申请审核1030799931张峥男★农业信息学程涛通过农学院申请审核1030799825江峥嵘作物栽培学与耕作学李刚华通过农学院申请审核1030799989凯楠★农业信息学程涛考试农学院申请审核1030799750张冰蕾遗传学万建民通过农学院申请审核1030799672陈友桃作物栽培学与耕作学朱利群通过农学院申请审核1030799558丁国辉作物栽培学与耕作学丁艳锋考试农学院申请审核1030799841孙磊作物遗传育种盖钧镒考试农学院申请审核1030799814潘嫄嫄★农业信息学田永超通过农学院申请审核1030799704王吉作物遗传育种张文利考试农学院申请审核1030799508程浩作物遗传育种麻浩通过农学院申请审核1030799338王海彦★生物信息学吴玉峰通过农学院申请审核1030799152年宇薇作物遗传育种张文利考试农学院申请审核1030799185韩馥容作物遗传育种李艳考试农学院申请审核1030799304高维维作物遗传育种管荣展通过农学院申请审核1030799106翟思龙作物栽培学与耕作学孟亚利考试农学院申请审核1030799398万可作物遗传育种关雪莹通过农学院申请审核1030799101闫文亮作物遗传育种赵团结通过农学院申请审核1030799385詹静作物栽培学与耕作学徐志刚考试农学院申请审核1030799215李春艳作物栽培学与耕作学周治国考试农学院申请审核1030799193李洁作物遗传育种关雪莹考试农学院转博1030798900徐宏发作物栽培学与耕作学刘正辉通过农学院转博1030798904刘嘉俊作物栽培学与耕作学丁艳锋通过农学院转博1030798921荀倩作物栽培学与耕作学丁艳锋通过农学院转博1030798924宋韵琳作物栽培学与耕作学姜东通过报考学院考试方式报名号姓名报考专业报考博导初审结果专项计划农学院转博1030798719葛于伟作物遗传育种王春明通过农学院转博1030798693雷佳作物遗传育种王秀娥通过农学院转博1030798738朱沛文★种子科学与技术张红生通过农学院转博1030798745李亚蔚作物遗传育种赵团结通过农学院转博1030798711黄云帅作物遗传育种江玲通过农学院转博1030798725孙颖作物遗传育种唐灿明考试农学院转博1030798685唐一宁★农业信息学田永超通过农学院转博1030798666许敏作物遗传育种周宝良通过农学院转博1030798795雷德坤遗传学万建民通过农学院转博1030798703周晨辉作物遗传育种周宝良通过农学院转博1030798698余耀作物遗传育种鲍永美通过农学院转博1030798739李玉霞作物栽培学与耕作学周治国通过农学院转博1030798735何佳奇作物栽培学与耕作学罗卫红通过农学院转博1030798694黄振朴作物遗传育种曹爱忠考试农学院转博1030798712王欢欢作物遗传育种华健通过农学院转博1030798707包秀浩遗传学万建民通过农学院转博1030798686孙睿东作物遗传育种邢邯通过农学院转博1030798670崔长江作物遗传育种周宝良考试农学院转博1030798731巫威作物遗传育种王春明考试农学院转博1030798743陈小丽作物遗传育种万建民通过农学院转博1030798779刘东丽作物遗传育种盖钧镒通过农学院转博1030798772郝晓帅作物遗传育种盖钧镒通过农学院转博1030798770李梦琳作物遗传育种关雪莹通过农学院转博1030798708郑东洋★生物信息学张文利通过农学院转博1030798679王琮琮作物遗传育种邢邯通过农学院转博1030798783张旭作物遗传育种王秀娥通过农学院转博1030798716杜康作物栽培学与耕作学周治国通过农学院转博1030798769崔松作物遗传育种万建民通过农学院转博1030798700蒋欣羽作物遗传育种陈增建通过农学院转博1030798740曹楠作物栽培学与耕作学孟亚利通过农学院转博1030798676陈一鸣作物遗传育种王秀娥通过农学院转博1030798776伍洪铭作物遗传育种万建民通过农学院转博1030798659吴春华作物遗传育种李艳通过农学院转博1030798715余钟毓作物遗传育种王秀娥通过农学院转博1030798791陆佳雨遗传学赵志刚通过报考学院考试方式报名号姓名报考专业报考博导初审结果专项计划农学院转博1030798782张鹏程作物遗传育种万建民通过农学院转博1030798751路克宁作物遗传育种关雪莹通过农学院转博1030798705刘慧敏作物遗传育种华健通过农学院转博1030798750张培培作物遗传育种喻德跃考试农学院转博1030798790王莉作物遗传育种喻德跃通过农学院转博1030798786贾慧颖作物遗传育种盖钧镒考试农学院转博1030798799张佳琪作物遗传育种黄骥通过农学院转博1030798704晋彤彤作物遗传育种赵团结通过农学院转博1030798665沈英姿作物遗传育种麻浩通过农学院转博1030798729江九华作物遗传育种唐灿明通过农学院转博1030798880陈川作物遗传育种郭旺珍通过农学院转博1030798836邹洁作物栽培学与耕作学周治国通过农学院转博1030798826付洁作物遗传育种喻树迅通过农学院转博1030798825王巍★农业信息学朱艳通过农学院转博1030798838于羽嘉作物遗传育种喻树迅通过农学院转博1030798840朱杰★农业信息学姚霞通过农学院转博1030798839雷康琦作物栽培学与耕作学戴廷波通过农学院转博1030798814米新月作物遗传育种郭旺珍通过农学院转博1030798812何影作物遗传育种张红生通过农学院转博1030798823叶天洋★农业信息学朱艳考试农学院转博1030798856晁盛茜作物遗传育种喻德跃通过农学院转博1030798829胡金玲作物栽培学与耕作学戴廷波通过农学院转博1030798866苏炜宣作物栽培学与耕作学徐志刚通过农学院转博1030798865田龙★农业信息学程涛通过农学院转博1030798837叶紫★农业信息学朱艳考试农学院转博1030798855刘富杰作物遗传育种周宝良考试农学院转博1030798845何庆飞作物遗传育种郭旺珍通过农学院转博1030798828李永清作物遗传育种郭旺珍通过农学院转博1030798830李维希作物遗传育种郭旺珍通过农学院转博1030798925安璐作物栽培学与耕作学刘正辉通过植物保护学院申请审核1030799127林清彩农业昆虫与害虫防治李保平考试植物保护学院申请审核1030799498时东亚农药学陈长军通过植物保护学院申请审核1030799438毛雪伟农药学周明国考试植物保护学院申请审核1030799110贾忠强农业昆虫与害虫防治韩召军通过植物保护学院申请审核1030799656孙建鲁植物病理学钱国良通过报考学院考试方式报名号姓名报考专业报考博导初审结果专项计划植物保护学院申请审核1030799363刘宏毅植物病理学张正光通过植物保护学院申请审核1030799121陈敬祥农业昆虫与害虫防治李国清通过植物保护学院申请审核1030799614肖丽芳农业昆虫与害虫防治洪晓月通过植物保护学院申请审核1030799399张书舍植物病理学张正光通过植物保护学院申请审核1030799377张杰农药学周明国通过植物保护学院申请审核1030799679翟孟源农业昆虫与害虫防治刘向东通过植物保护学院申请审核1030799552李文倩植物病理学陈剑平考试植物保护学院申请审核1030799355赵东磊农药学周明国通过植物保护学院申请审核1030799400张云骅农药学苏建亚考试植物保护学院申请审核1030799772孔云农业昆虫与害虫防治吴益东考试植物保护学院申请审核1030799452杨磊农业昆虫与害虫防治洪晓月考试植物保护学院申请审核1030799784李开怀植物病理学钱国良通过植物保护学院申请审核1030799676王玲农业昆虫与害虫防治李国清通过植物保护学院申请审核1030799870刘乃一农业昆虫与害虫防治洪晓月通过植物保护学院申请审核1030799717房加鹏农药学董立尧通过植物保护学院申请审核1030799628李开霞农业昆虫与害虫防治吴益东通过植物保护学院申请审核1030799624彭金凤植物病理学董汉松通过植物保护学院申请审核1030799461徐继伟农业昆虫与害虫防治刘向东通过植物保护学院申请审核1030799518杨丙烨植物病理学郭坚华通过植物保护学院申请审核1030799286马家新植物病理学郑小波通过植物保护学院申请审核1030799288何雨娟农业昆虫与害虫防治刘向东通过植物保护学院申请审核1030799775夏添植物病理学董汉松通过植物保护学院申请审核1030799739杨燕川农业昆虫与害虫防治吴益东通过植物保护学院申请审核1030799566姚国胜植物病理学高学文通过植物保护学院申请审核1030799959陈静植物病理学陶小荣通过植物保护学院申请审核1030799756许龙农药学王鸣华通过植物保护学院申请审核1030799728霍鸣飞农业昆虫与害虫防治董双林考试植物保护学院申请审核1030799236张俊植物病理学胡白石通过植物保护学院申请审核1030799330尤红杰农药学王鸣华通过植物保护学院申请审核1030799783展恩玲农业昆虫与害虫防治吴益东考试植物保护学院申请审核1030798971陈耕农业昆虫与害虫防治陈法军通过植物保护学院申请审核1030799969郭金梦农业昆虫与害虫防治董双林通过植物保护学院申请审核1030799886梁昭植物病理学高学文通过植物保护学院申请审核1030799662郝凯强植物病理学董莎萌考试植物保护学院申请审核1030799646权澎琪农业昆虫与害虫防治刘向东通过报考学院考试方式报名号姓名报考专业报考博导初审结果专项计划植物保护学院申请审核1030799850郭春晖农业昆虫与害虫防治刘向东通过植物保护学院申请审核1030799669陈议亮农药学叶永浩通过植物保护学院申请审核1030799955陈兆杰农药学杨红通过植物保护学院申请审核1030799230马超农业昆虫与害虫防治杨亦桦通过植物保护学院申请审核1030799155高蕾植物病理学赵弘巍通过植物保护学院申请审核1030799188陆洁植物病理学赵弘巍通过植物保护学院申请审核1030799027谭乐勇植物病理学张正光考试植物保护学院申请审核1030799366李婧农业昆虫与害虫防治吴益东通过植物保护学院申请审核1030799254李静农药学周明国考试植物保护学院申请审核1030799334逯欣宇植物病理学董莎萌通过植物保护学院申请审核1030799331程传英农药学杨红通过植物保护学院申请审核1030799322雷双农业昆虫与害虫防治王备新通过植物保护学院申请审核1030799337孙毓璟植物病理学王源超通过植物保护学院申请审核1030799174詹海霞农业昆虫与害虫防治李国清考试植物保护学院申请审核1030799389刘畅皓植物病理学赵弘巍通过植物保护学院申请审核1030799252汪佩佩农业昆虫与害虫防治李国清考试植物保护学院申请审核1030799245赵小强植物病理学董莎萌通过植物保护学院转博1030798914吴建建农业昆虫与害虫防治李国清考试植物保护学院转博1030798898李立坤农业昆虫与害虫防治陈法军通过植物保护学院转博1030798920时东亚农药学陈长军通过植物保护学院转博1030798911舒海东植物病理学董莎萌通过植物保护学院转博1030798886刘青青农业昆虫与害虫防治吴益东通过植物保护学院转博1030798917张帆植物病理学董莎萌通过植物保护学院转博1030798906朱金义植物病理学王源超通过植物保护学院转博1030798908邱序方植物病理学王源超通过植物保护学院转博1030798892王淑琛植物病理学郑小波通过植物保护学院转博1030798913赵霞植物病理学陈剑平考试植物保护学院转博1030798778殷越农业昆虫与害虫防治薛晓峰通过植物保护学院转博1030798796秦鑫植物病理学李红梅通过植物保护学院转博1030798803冯慧植物病理学郑小波通过植物保护学院转博1030798767肖雨涵植物病理学张海峰通过植物保护学院转博1030798714谢康农业昆虫与害虫防治洪晓月考试植物保护学院转博1030798759杨志明农药学刘泽文考试植物保护学院转博1030798742王春莉植物病理学陶小荣通过植物保护学院转博1030798800车舒植物病理学胡白石通过报考学院考试方式报名号姓名报考专业报考博导初审结果专项计划植物保护学院转博1030798807吴茜植物病理学陶小荣通过植物保护学院转博1030798882曲毓立农业昆虫与害虫防治李保平通过植物保护学院转博1030798881项青植物病理学陶小荣通过植物保护学院转博1030798851谷凯鑫农药学周明国通过植物保护学院转博1030798850迮隆基农业昆虫与害虫防治韩召军通过植物保护学院转博1030798883艾干植物病理学窦道龙通过植物保护学院转博1030798822何宗哲农药学王鸣华通过植物保护学院转博1030798859陈辉农业昆虫与害虫防治刘向东通过植物保护学院转博1030798874张海南农业昆虫与害虫防治韩召军通过植物保护学院转博1030798872陈贺农药学王鸣华考试植物保护学院转博1030798876胡杰雄植物病理学张正光通过植物保护学院转博1030798818徐康文植物病理学钱国良通过植物保护学院转博1030798833李同浦农业昆虫与害虫防治洪晓月通过植物保护学院转博1030798834高晋农业昆虫与害虫防治王备新通过植物保护学院转博1030798842钮建国农药学苏建亚考试植物保护学院转博1030798820戴晓光农业昆虫与害虫防治吴益东通过资源与环境科学学院申请审核1030799210张玉文农业资源与环境宣伟考试资源与环境科学学院申请审核1030799422程鹏飞农业资源与环境高彦征通过资源与环境科学学院申请审核1030799339颜学宾生态学胡水金通过资源与环境科学学院申请审核1030799342白彤硕生态学胡水金通过资源与环境科学学院申请审核1030799492阮楚晋★环境污染控制工程高彦征通过资源与环境科学学院申请审核1030799748马冲农业资源与环境潘根兴通过资源与环境科学学院申请审核1030799689舒向阳生态学胡水金通过资源与环境科学学院申请审核1030799859杨安娜生态学胡水金通过资源与环境科学学院申请审核1030799064邵正英农业资源与环境沈其荣通过资源与环境科学学院申请审核1030799096丁寒农业资源与环境赵方杰通过资源与环境科学学院申请审核1030798946周志波农业资源与环境汪鹏通过资源与环境科学学院申请审核1030799090李兵娟农业资源与环境孙淑斌通过资源与环境科学学院申请审核1030799801季凌飞农业资源与环境郭世伟通过资源与环境科学学院申请审核1030799720罗荣剑农业资源与环境黄新元通过资源与环境科学学院申请审核1030799788柴炳文农业资源与环境潘根兴通过资源与环境科学学院申请审核1030799858马建辉农业资源与环境沈其荣通过资源与环境科学学院申请审核1030799509刘文佳★环境污染控制工程凌婉婷通过资源与环境科学学院申请审核1030799702张军生态学潘剑君通过资源与环境科学学院申请审核1030799575闵凯凯农业资源与环境李辉信通过报考学院考试方式报名号姓名报考专业报考博导初审结果专项计划资源与环境科学学院申请审核1030799650朱经伟农业资源与环境沈标考试资源与环境科学学院申请审核1030799731熊仕娟农业资源与环境黄新元考试资源与环境科学学院申请审核1030799565霍举颂生态学刘满强考试资源与环境科学学院申请审核1030799328程赛赛生态学刘满强考试资源与环境科学学院申请审核1030799054许敬敬★环境污染控制工程周立祥通过资源与环境科学学院申请审核1030799571卢申堡生态学胡锋通过资源与环境科学学院申请审核1030799950李明沅★应用海洋生物学葛滢考试资源与环境科学学院申请审核1030799857王杰农业资源与环境赵方杰通过资源与环境科学学院申请审核1030799677王飞生态学潘剑君通过资源与环境科学学院申请审核1030799491万兵兵生态学刘满强考试资源与环境科学学院申请审核1030799553袁飞敏农业资源与环境黄新元通过资源与环境科学学院申请审核1030799132张明江★环境污染控制工程周立祥通过资源与环境科学学院申请审核1030799118张晓蓉★环境污染控制工程高彦征考试资源与环境科学学院申请审核1030799098肖杨生态学潘剑君通过资源与环境科学学院申请审核1030799097张金飞农业资源与环境徐国华通过资源与环境科学学院申请审核1030799659张天睿农业资源与环境邹建文通过资源与环境科学学院申请审核1030799897赵鹏农业资源与环境沈标通过资源与环境科学学院申请审核1030799660郑鹏★环境污染控制工程高彦征通过资源与环境科学学院申请审核1030799561李春楷农业资源与环境李辉信通过资源与环境科学学院申请审核1030799493董小娜★环境污染控制工程蔡天明通过资源与环境科学学院申请审核1030799534郭瞻宇农业资源与环境汪鹏通过资源与环境科学学院申请审核1030799515孔志坚农业资源与环境沈其荣考试资源与环境科学学院申请审核1030799137高阿祥农业资源与环境黄新元通过资源与环境科学学院申请审核1030799059张胜男农业资源与环境汪鹏通过资源与环境科学学院申请审核1030799503李丹★环境污染控制工程王长海通过资源与环境科学学院申请审核1030799928吴汉卿农业资源与环境邹建文通过资源与环境科学学院申请审核1030799929吴振华农业资源与环境沈标通过资源与环境科学学院申请审核1030799640吕晓杰农业资源与环境黄新元通过资源与环境科学学院申请审核1030799555刘凯农业资源与环境胡水金通过资源与环境科学学院申请审核1030799514赵政农业资源与环境沈其荣通过资源与环境科学学院申请审核1030799580张小康农业资源与环境宣伟考试资源与环境科学学院申请审核1030799828孙倩★环境污染控制工程凌婉婷通过资源与环境科学学院申请审核1030799396卢云峰农业资源与环境李荣考试资源与环境科学学院申请审核1030799540师振亚农业资源与环境汪鹏通过资源与环境科学学院申请审核1030799994潘金华生态学潘剑君考试报考学院考试方式报名号姓名报考专业报考博导初审结果专项计划资源与环境科学学院申请审核1030799538邬梦成生态学胡锋考试资源与环境科学学院申请审核1030799103杨果果生态学李福春通过资源与环境科学学院申请审核1030799092王小文生态学胡锋通过资源与环境科学学院申请审核1030799178邵天韵生态学胡锋通过资源与环境科学学院申请审核1030799297芮祥为生态学刘满强考试资源与环境科学学院申请审核1030799427李嘉康农业资源与环境高彦征考试资源与环境科学学院申请审核1030799244蒋卓睿★环境污染控制工程兰叶青考试资源与环境科学学院申请审核1030799404韩召强农业资源与环境邹建文考试资源与环境科学学院申请审核1030799307张楠农业资源与环境胡水金通过资源与环境科学学院申请审核1030799222张将农业资源与环境张亚丽通过资源与环境科学学院申请审核1030799232张娜农业资源与环境李荣通过资源与环境科学学院申请审核1030799250段志斌农业资源与环境汪鹏通过资源与环境科学学院申请审核1030798990何涛农业资源与环境汪鹏通过资源与环境科学学院申请审核1030798988胡星云农业资源与环境郭世伟考试资源与环境科学学院申请审核1030799354张少丽生态学李福春通过资源与环境科学学院申请审核1030799353韩书文★环境污染控制工程占新华通过资源与环境科学学院申请审核1030799440赵强农业资源与环境资源与环境科学学院申请审核1030799176彭昆宇农业资源与环境胡水金通过资源与环境科学学院申请审核1030798978陈泽慧★环境污染控制工程周立祥通过资源与环境科学学院申请审核1030799013陈阳阳★环境污染控制工程高彦征考试资源与环境科学学院申请审核1030798984谢先进农业资源与环境赵方杰通过资源与环境科学学院申请审核1030799320陶瑾晋农业资源与环境胡水金通过资源与环境科学学院申请审核1030799488赵乾旭农业资源与环境郭世伟通过资源与环境科学学院申请审核1030799352池志濑农业资源与环境余光辉通过资源与环境科学学院申请审核1030799076李崇华★环境污染控制工程葛滢通过资源与环境科学学院申请审核1030799242张哲媛★环境污染控制工程高彦征考试资源与环境科学学院申请审核1030799238张腾农业资源与环境汪鹏考试资源与环境科学学院申请审核1030799190李玲农业资源与环境沈其荣考试资源与环境科学学院申请审核1030799445彭莉润农业资源与环境余玲通过资源与环境科学学院转博1030798926阮杨农业资源与环境朱毅勇通过资源与环境科学学院转博1030798923孙逸飞农业资源与环境沈其荣通过资源与环境科学学院转博1030798893陈旭文★环境污染控制工。
中国农业大学考博经验谈作者: baiyun70(站内联系TA)收录: 2012-02-20 发布: 2012-02-13考博已经过去快一年,想过去看今朝说一些感受吧。
我考的是中国农业大学,农学与生物技术学院的博士,考试时间是2011年3月19日、20日共3门(英语、分子遗传学、植物基因工程原理)。
1、考博难么当时实验室有5个人要考博,博考院校分别为:协和、中科院遗传所、中科院环境所、农科院作物所、中农农学院。
考协和那个,考前没有和导师联系好,成绩下来后发现自己成绩还不错,才去联系的导师,结果导师说他专业跨度太大于是只有他没有考上。
中农去年报考农学院的1300多人,录取120多人,另外好多名额都是直博生的。
2、考博英语2010年的英语比较难,阅读理解篇幅很大,听说最多一篇有满满一页。
一个平时英语不错的师兄那次才考了43分,不过线是40分。
2011年的英语较简单,阅读理解一共5篇,篇幅都较短,问题也较易;翻译包括英翻中和中翻英各一篇,英翻中那篇比较简单,中翻英的因为平时练的少,所以翻的比较差其实也比较简单。
写作是一个人说的一句话,印象中好像是关于网络对校园影响,让你阐述下你是怎么理解这句话的,总之背模板是不好使得靠自己的真功夫。
鉴于10年英语较难,所以我复习时候的力度也比较大,首先找了本外语专业的阅读习题集,里面的文章篇幅基本都在1500字左右。
单词么,主要背了GRE词汇,其实GRE词汇量太大了,主要把核心词汇掌握了就行了。
3、专业课专业课的参考书主要看了:基因VIII,基因工程原理(吴乃虎),遗传工程概论(谢友菊,王国英),分子遗传学(路铁刚)其中重点看的是遗传工程概论(谢友菊,王国英),分子遗传学(路铁刚),程度麽——基本背会吧。
另外还有两个复习资料,一个中国农科院,研究生楼下卖盗版书的出售的一本农科院历年考题集(包括了前几年的英语及专业课考题,题都比较旧但参考价值还是很高的)。
另外一个是考研时候用的一本分子遗传学的习题集,参考价值据2010年考博的一位师兄说很高(据说有60%-80%的原题或类似题),于是我把它背会了;但个人认为对于11年的考题来说参考价值没有他说的那么高了(估计也就15%-30%吧),这也主要是农大的考题已经破陈出新,很多题与最新的研究进展及研究动向联系密切。
中国农业大学农业经济管理考博真题-参考书-状元经验一、专业的设置中国农业大学经济管理学院每年招收博士生42人,下设金融学、产业经济学、国际贸易学、管理科学与工程、农业经济管理、农业经济史六个专业。
其中农业经济管理下设两个方向,农业经济理论与政策有韩青、韩一军、马骥、穆月英、司伟、肖海峰、朱俊峰、辛贤、陈锡文、程国强、郭玮、韩俊、黄守宏、刘奇、唐仁健、叶兴庆、赵阳十七位导师;农村区域发展张正河、陈前恒两位导师。
二、考试的科目农业经济管理复试科目:①专业英语②经济学③专业综合(含农业经济学、发展经济学)。
三、导师介绍朱俊峰,职称:副教授,博导兼硕导,单位:中国农业大学经济管理学院。
张正河,职称:教授,博导兼硕导,单位:中国农业大学经济管理学院。
陈前恒,职称:副教授,博导兼硕导,单位:中国农业大学经济管理学院。
辛贤,职称:副教授,博导兼硕导,单位:中国农业大学经济管理学院。
陈锡文(外聘),职称:研究员,博导,单位:国务院。
程国强(外聘),职称:研究员,博导,单位:中国农业大学经济管理学院。
郭玮(外聘),职称:研究员,博导,单位:中国农业大学经济管理学院。
韩俊(外聘),职称:研究员,博导,单位:国务院发展研究中心。
黄守宏(外聘),职称:研究员,博导,单位:国务院研究室。
刘奇(外聘),职称:研究员,博导,单位:中国农业大学经济管理学院。
唐仁健(外聘),职称:研究员,博导,单位:国务院。
叶兴庆(外聘),职称:研究员,博导兼硕导,单位:中国农业大学经济管理学院。
赵阳(外聘),职称:研究员,博导,单位:国务院。
韩青,职称:教授,博导兼硕导,单位:中国农业大学经济管理学院。
韩一军,职称:教授,博导兼硕导,单位:中国农业大学经济管理学院。
马骥,职称:教授,博导兼硕导,单位:中国农业大学经济管理学院。
穆月英,职称:教授,博导兼硕导,单位:中国农业大学经济管理学院。
司伟,职称:教授,博导兼硕导,单位:中国农业大学经济管理学院。
畜牧学博士点高校名单
畜牧学博士点高校名单包括中国农业大学、南京农业大学、华中农业大学、西北农林科技大学、华南农业大学、北京农学院、东北农业大学、四川农业大学、山东农业大学、湖南农业大学等。
这些高校在畜牧学领域都有各自的优势和特色。
例如,中国农业大学在动物遗传育种与繁殖领域具有国内领先地位,南京农业大学则在动物营养与饲料科学方面颇具影响力。
此外,还有其他一些高校也设有畜牧学博士点,如天津农学院、山西农业大学、延边大学、江苏科技大学、河南科技大学、武汉轻工大学和佛山科学技术学院等。
以上信息仅供参考,建议关注各高校的官网,以了解最新的畜牧学博士点高校名单。