2017山东省内院校本科投档表
- 格式:docx
- 大小:49.97 KB
- 文档页数:9
学校院校计划比例投出最高最低分A001北京大学2410028670647.130227150140A003清华大学21002664662.138241140143A246复旦大学1210014645640.119231145145E430中国科学院大学A248上海交通大学81008639633.129225135144H001北京大学医学部H248上海交通大学医学院H246复旦大学医学院A335浙江大学2110021639632.120234140138A358中国科学技术大学A284南京大学2110021640631.132228130141A002中国人民大学4010040646637.129226149133A003清华大学 (定向)H335浙江大学医学院A006北京航空航天大学71007631616.122208144142A272上海财经大学71007639628.131209145143A034中央财经大学2210824635617.121224134138A247同济大学1510015624618.127210142139A055南开大学4410245635621.128229128136E596中国社会科学院大学2110021632615.123215142135A007北京理工大学91009614610.119216142133A036对外经济贸易大学2510426633617.123210150134A486武汉大学3110031637620.134211144131A286东南大学1410014613610.121223142124A487华中科技大学2210323611607.120198141148A698西安交通大学1210012610604.124211132137A030北京外国语大学1610016635621.132211141137A034中央财经大学 (中外合作办学)A013北京邮电大学1110512604597.126200130141A558中山大学4310043632613.133216137127H002中国人民大学(苏州校区)(中61006621612.129204137142A384厦门大学2910029631617.118219138142A053中国政法大学4610046635617.129214135139A213哈尔滨工业大学61006611598.134192135137A269华东师范大学3111035625613.129217128139A056天津大学1510015617612.131223134124A486武汉大学 (中外合作办学)A614电子科技大学51005589587.129184137137A271上海外国语大学1210513620612.136203128145A561华南理工大学1010010602596.133191140132A007北京理工大学 (中外合作办学)A004北京交通大学81008615607.122211136138A062天津医科大学61006580577.114196137130A422山东大学 (非西藏生定藏就业)A651西南财经大学2610026619601.127187142145A610四川大学3310334619606.128207130141A141大连理工大学1510516595590.135200122133批次:本科普通批 投档志愿:首文科A019中国农业大学1210213613602.124216123139 A699西北工业大学81008597588.119192140137 H614电子科技大学(沙河校区)A422山东大学398101402629600.124211133132 A033中国传媒大学1510015618612.121219144128 A614电子科技大学 (专业志愿)A008北京科技大学2310023605595.121208134132 A280上海大学51005606597.124222134117 A287南京航空航天大学1510516612590.126197133134 A533中南大学2410024611599.132210123134 A611重庆大学1710017605598.123203138134 A025首都医科大学A052中央民族大学2310023609601.123206139133 A054华北电力大学(北京)1210513596586.127203132124 A384厦门大学 (中外合作办学)1010010605591.118212134127 A532湖南大学1810519612601.120198145138 A251华东理工大学4410547606589.122209130128 A288南京理工大学2710529591583.117197139130 A276华东政法大学2510226625608.118202146142 A423中国海洋大学141101143620596.122221122131 A520中南财经政法大学6410064621597.126198137136 A611重庆大学 (中外合作办学)A005北京工业大学A285苏州大学1710518605596.121208131136 A701西安电子科技大学3110533582577.122211125119 A511华中师范大学2810028604595.126203133133 H614电子科技大学(沙河校区)(中A145东北大学2110021594588.120214124130 A183吉林大学4610448616596.122215122137 H013北京邮电大学(宏福校区)(中A255东华大学1210513606591.124200134133 A183吉林大学 (专业志愿)A268上海中医药大学A280上海大学 (中外合作办学)21002589589.116214125134 A559暨南大学2410526607595.126203121145 H213哈尔滨工业大学(威海)1510015587582.128187130137 A273上海对外经贸大学81008600592.124230127111 A038首都经济贸易大学61006595592.126203141122 A319南京师范大学3410034613595.126192142135 A730兰州大学4910351599588.114214130130 A010北京化工大学1311015594584.115230119120 A033中国传媒大学 (中外合作办学)1110011602584.117210130127 A079华北电力大学(保定)1610016586579.119183137140 A159中国医科大学A173东北财经大学1710017606581.121185142133 A316中国药科大学31405590585.119209131126 B287南京审计大学1610016622587.117192145133 H422山东大学威海分校273101276608589.124206130129 A312南京医科大学A497武汉理工大学3310033594583.117201137128 A590深圳大学1110011598586.117208133128A294河海大学2510527598586.127196125138 A613西南交通大学2110021587582.132178133139 A004北京交通大学 (中外合作办学)A022北京林业大学1810018600591.121199131140 A610四川大学 (中外合作办学)A635西南大学31003595592.122210137123 A652西南政法大学4810551612592.118197141136 A031北京第二外国语学院1010010600593.118209128138 A032北京语言大学1210012606598.119205142132 A295江南大学5710862597587.116201133137 A019中国农业大学 (中外合作办学)61006587582.123200144115 A028首都师范大学91009595591.135203125128 A652西南政法大学 (中外合作办学)61006599587.121203132131 B846广东外语外贸大学1110512594583.124192129138 H141大连理工大学(盘锦校区)A070天津财经大学2410024597583.118219123123 A200东北师范大学1210012598590.126204130130 A651西南财经大学 (中外合作办学)31003585580.121205132122 A217哈尔滨工程大学2410024580574.122197135120 A252上海理工大学2110422584577.119203125130 A287南京航空航天大学 (中外合作办学)A574华南师范大学1110011594582.130193122137 B414中国石油大学(北京)51056593588.128194134132 A080河北工业大学1610016582578.111207134126 A161大连医科大学A698西安交通大学 (专业志愿)A005北京工业大学 (中外合作办学)A026北京中医药大学51005629594.118223123130 A293南京邮电大学2610026583577.121195125136 A697西北大学2011022595587.124186137140 Y011山东大学威海分校 (走读)3010030599575.120199118138 A141大连理工大学 (中外合作办学大连开发区)A226哈尔滨医科大学61006558544.119188120117 A336杭州电子科技大学1510015586575.121182132140 A343温州医科大学A386福州大学1010010593582.126185135136 A542湖南师范大学5110051598584.126214111133 B415中国地质大学(北京)41004589584.120207135122 A295江南大学 (中外合作办学)31003583577.121198134124 A359合肥工业大学1510015581575.119197127132 A699西北工业大学 (中外合作办学)1910019588584.118198144124 H422山东大学威海分校 (中外合作办学)A288南京理工大学 (中外合作办学)A392福建医科大学A425中国石油大学(华东)109100109596585.121209142113 A726西北政法大学4810249592579.121189134135 C121南方医科大学1210012581564.119185128132 H145东北大学秦皇岛分校1310013587579.133186124136 A068天津外国语大学2210022587582.126183135138A307南京农业大学4010040597585.122204125134 A316中国药科大学 (中外合作办学)A366安徽医科大学A423中国海洋大学 (民族预科)11001564564.114213109128 A459郑州大学5810159594583.121199128135 B413中国矿业大学(北京)1110512588582.122213134113 A140辽宁大学2110021592583.120202122139 A141大连理工大学 (中外合作办学)A151大连海事大学2710027595582.127201120134 A337浙江工业大学1010511575566.119184133130 A357安徽大学4710047596584.125199130130 A491中国地质大学(武汉)910510586584.135179134136 A497武汉理工大学 (中外合作办学)21002583582.116207130129 A701西安电子科技大学 (中外合作办学)A710长安大学1510015586581.133201118129 F301宁波诺丁汉大学2110021605575.118188132137 A172大连外国语大学3810038593578.114185142137 A290中国矿业大学3410034590580.124193129134 A327南京财经大学2410024596582.112200142128 A403南昌大学3411038592582.126198130128 H359合肥工业大学(宣城校区)91009575568.125190122131 A712西北农林科技大学2310424584580.118195136131 A011北京工商大学81008592588.120210129129 A254上海海事大学1310013587578.126186127139 A291南京工业大学1513320576569.126211122110 A617重庆邮电大学21002564561.122184128127 A673云南大学3410034586579.116193137133 A016北京建筑大学A043北京体育大学1310013590579.132184124139 A112太原理工大学2010020581572.124186126136 A353浙江工商大学2310023591581.114203135129 A504华中农业大学2911032586580.120190134136 A560汕头大学81008581577.117202135123 A022北京林业大学 (中外合作办学)A299江苏大学1310013584580.125211115129 A338浙江理工大学1510015572565.119191116139 A613西南交通大学 (中外合作办学)A009北方工业大学1011011582573.113217123120 A060天津理工大学3010030555537.117173115132 A145东北大学 (中外合作办学)A216燕山大学2610327579568.120185131132 A010北京化工大学 (中外合作办学)A300南京信息工程大学1710518577567.116198133120 A572广州中医药大学81008591569.127191119132 A016北京建筑大学 (中外合作办学)A270上海师范大学4310043586578.123208119128 A488武汉科技大学2410526569558.125207100126 A657贵州大学1210513586569.127191125126 B047上海立信会计金融学院3210032594576.124200130122 B646宁波大学61006574570.113212130115 A252上海理工大学 (中外合作办学)61006580569.127176129137A356中国计量大学1510015572566.118194128126 A359合肥工业大学 (中外合作办学)A421江西财经大学2310525593575.127184139125 A423中国海洋大学 (中外合作办学)3010331589574.118203123130 A633成都中医药大学61006584563.121203130109 A635西南大学 (中外合作办学)71007573568.120197123128 B232北京信息科技大学1210012575559.117188127127 B482浙江财经大学3010030579572.122208110132 A063天津中医药大学1010010556536.125173123115 A080河北工业大学 (中外合作办学)A256上海电力学院1110011570558.120180129129 A285苏州大学 (中外合作办学)A313徐州医科大学A512湖北大学1211514577573.122187133131 A700西安理工大学A703西安建筑科技大学81109559545.112177140116 B117扬州大学910510585578.119197127135 F302西交利物浦大学3010532585568.119183130136 A023北京协和医学院A274上海海关学院11001569569.125180128136 A173东北财经大学 (中外合作办学)1910019573562.118185132127 A650四川外国语大学1710518582573.121197122133 A697西北大学 (中外合作办学)B845广东工业大学H004北京交通大学(威海校区)(中41055579569.124198130117 A059中国民航大学1210012584577.120202133122 A070天津财经大学 (中外合作办学)51005578563.109191132131 A530湘潭大学6110866582567.125200117125 A571广东医科大学41004526519.113165122119 B664西安邮电大学81008560556.118192135111 A593广西大学 (中外合作办学)A712西北农林科技大学 (中外合作办学)B835上海政法学院3010030580574.118199142115 A225东北林业大学4810048578569.128184131126 A290中国矿业大学 (中外合作办学)A384厦门大学 (马来西亚41004574569.118200130121 A486武汉大学 (专业志愿)A589海南大学7510075582572.120198132122 P004陆军工程大学A298南京林业大学1010010576570.130192121127 A345浙江师范大学2610528584574.131188130125 A385华侨大学4410245581571.114200125132 A536长沙理工大学1010511563552.125191113123 A593广西大学4510045583570.110192142126 A183吉林大学 (单列计划A184延边大学2312028578564.134208107115 A268上海中医药大学 (中外合作办学)A058天津工业大学1310013563548.119183132114 A126内蒙古大学5110051574559.118183142116 A403南昌大学 (中外合作办学)A626四川农业大学A150大连交通大学31003553546.116198121111 A159中国医科大学 (中外合作办学)A188东北电力大学 (中外合作办学)A264上海海洋大学61006575554.119178138119 A616成都理工大学3310033565552.109203119121 H141大连理工大学(盘锦校区)(中A224东北农业大学4110041576564.112205125122 A631重庆医科大学A058天津工业大学 (专业志愿)A108山西大学5110454575557.128171124134 A254上海海事大学 (中外合作办学)A300南京信息工程大学 (中外合作办学)41004564560.112184138126A475河南大学7710279578558.123189129117 A724西安外国语大学2110021584568.117168141142 A749宁夏大学1210012571561.116204115126 B078广州大学1610016573561.118177133133 F405温州肯恩大学1210012563554.109190130125 A289江苏科技大学91009565560.120160145135 A386福州大学 (专业志愿)A678昆明医科大学11001514514.107174119114 A856上海工程技术大学21002559552.117166130139 B065青岛大学806103831589562.124198119121 A291南京工业大学 (中外合作办学)A404华东交通大学91009566556.110193129124 A504华中农业大学 (中外合作办学)81008568560.121191120128 A618重庆交通大学1010010559555.110179137129 A366安徽医科大学 (中外合作办学)A592广东财经大学21002553551.127178117129 B647浙江传媒学院1710017592567.124203126114 A188东北电力大学3510019554483.104160117102 A200东北师范大学 (中外合作办学)1510015568557.112189127129 A378安徽财经大学2710027577562.128193119122 A390集美大学1610016582567.110189137131 A406南昌航空大学31003545534.120171119124 A490武汉工程大学1010010555545.104198119124 A564华南农业大学A593广西大学 (专业志愿)A617重庆邮电大学 (专业志愿)A704西安科技大学61006555548.105188130125B065青岛大学 (地方农村专项计划)4010342573553.115179137122B799重庆工商大学2210022572564.119186126133 F401北京师范大学-香港浸会大学1910019580556.105187130134 F410广东以色列理工学院A332苏州科技大学1110011558537.124191106116 A445山东师范大学15961031644597560.111189140120 A617重庆邮电大学 (中外合作办学)B664西安邮电大学 (中外合作办学)A394福建师范大学91009570566.116186130134 A593广西大学 (专业志愿)A703西安建筑科技大学 (中外合作办学)A636四川师范大学2010020572559.120184127128A143沈阳航空航天大学21002539531.122182112115 A292常州大学1110011561552.108184129131 A378安徽财经大学 (中外合作办学)11001512512.124184100104 B646宁波大学 (中外合作办学)51005577555.120180130125 A065天津师范大学1910019571556.113179140124 A500湖北工业大学81008558544.123181118122 A632西南医科大学51005541532.107193120112 A674昆明理工大学41004530518.110170112126 A752宁夏医科大学A011北京工商大学 (中外合作办学)A089河北医科大学61006545529.110176132111 A107石家庄铁道大学1110011576541.119196118108 A110中北大学2010020555545.119197115114 A214哈尔滨理工大学1510015551524.123159110132 A624中国民用航空飞行学院41004563551.114198120119 A315南京中医药大学51005555529.113167128121A650四川外国语大学 (中外合作办学)41004562553.122182122127E275浙江外国语学院2210022567552.120176124132 A019中国农业大学 (专业志愿)130100130582561.112195125129 A075河北大学1310013565554.122175129128 A142沈阳工业大学91009530516.117207105087 A216燕山大学 (中外合作办学)H635西南大学(荣昌校区)1510015570556.113192133118 A063天津中医药大学 (中外合作办学)A114山西医科大学21002528525.112165137111A445山东师范大学 (地方农村专项计划)3710339568553.120206118109A456山东财经大学 (中外合作办学)8010383566546.125218101102 B075三峡大学2610026541536.117185105129 B799重庆工商大学 (中外合作办学)21002546545.112184133116 A186长春理工大学1910011555486.123163107093 A346杭州师范大学51005565556.116203118119A456山东财经大学 (地方农村专项计划)5610358569544.123191113117A618重庆交通大学 (中外合作办学)A660贵州医科大学A673云南大学 (中外合作办学)31003562540.110185123122 B417北京联合大学2610026570553.104199130120 A125山西财经大学5810058566548.117178122131 A456山东财经大学10101031041597554.115196125118 B540广东金融学院41004556543.114170138121 A163沈阳药科大学A270上海师范大学 (中外合作办学)1510015572554.117207110120 A445山东师范大学 (中外合作办学)4510347562539.101188123127 A704西安科技大学 (中外合作办学)C050上海商学院51005560544.124156134130 A037北京物资学院71007554542.126181121114 A165辽宁师范大学A207吉林财经大学 (中外合作办学)41004545539.121169123126 A320江苏师范大学1510015561550.116203112119 A541湖南中医药大学A593广西大学 (专业志愿)A708陕西科技大学81008553543.115190118120A081华北理工大学1210012549540.112179123126 A424山东科技大学488103503580550.120194117119 A057天津科技大学1410014552548.116197111124 A615西南石油大学2510025556544.117179125123 A012北京服装学院81008575522.111150133128 A153沈阳建筑大学1310013538506.116171113106 A340浙江海洋大学A414江西师范大学3810038556542.111190125116 A621成都信息工程大学1210012546534.121187115111 D705成都医学院A212黑龙江大学4010040571556.113195124124 A264上海海洋大学 (中外合作办学)51005557546.125195110116 A344浙江中医药大学A424山东科技大学 (地方农村专项计划)A426青岛科技大学367103379566544.117176126125 A078华北水利水电大学1510015535520.114166125115 A207吉林财经大学2810028555540.112179119130 A298南京林业大学 (中外合作办学)A856上海工程技术大学 (中外合作办学)A351温州大学61006552544.113174134123 C044上海第二工业大学A341浙江农林大学1110011546542.115175124128 A484河南财经政法大学2210022553539.123179123114 A507湖北中医药大学1010010568541.115193119114 A530湘潭大学 (中外合作办学)A534湖南科技大学3710037562538.123157134124 B660重庆理工大学81059568536.113182123118 Y014山东财经大学 (走读)98103101570537.117191117112 A058天津工业大学 (中外合作办学)A360安徽工业大学81007547501.117166112106 A429青岛理工大学427103440562533.118179112124 B840西安医学院41004510508.110184116098 A107石家庄铁道大学 (中外合作办学)A623西华大学1810018551543.126170134113 D177北京师范大学珠海分校(中外61006534521.118155122126 A069天津商业大学1410014560549.134170123122 A184延边大学 (中外合作办学)31003542535.123187107118 A015北京印刷学院51005560558.129199129101 A370安徽师范大学1610016558547.108198122119 A404华东交通大学 (高收费专业)61006552545.109176136124 A426青岛科技大学 (地方农村专项计划)A538中南林业科技大学2610026562546.108174132132 A619西南科技大学2110322551535.114189113119 A732兰州交通大学1410014549533.121166112134 A094河北师范大学2510025566548.117175123133 A160锦州医科大学A705西安石油大学1310013539531.107202120102 A743青海大学2210022581547.111178130128 A228黑龙江中医药大学3010030555532.125200120087 A489长江大学61006552544.121182108133 A637重庆师范大学4210042559540.121176121122A065天津师范大学 (专业志愿)A429青岛理工大学 (地方农村专项计划)B276南京工程学院1410014551537.116194111116 A075河北大学 (中外合作办学)A144沈阳理工大学61006536522.119156118129 A186长春理工大学 (中外合作办学)B458上海电机学院 (中外合作办学)A304南通大学1010010550541.110189134108A427济南大学 (地方农村专项计划)3010331558539.109189115126A441山东中医药大学 (地方农村专项计划)A566广东海洋大学A702西安工业大学1710017538529.111183122113Y006山东师范大学 (非西藏生定藏就业)151001521521.118161136106A060天津理工大学 (中外合作办学)A595桂林电子科技大学1310013534521.112174122113 A689云南财经大学3010030556531.123169115124 A289江苏科技大学 (中外合作办学)D177北京师范大学珠海分校2810028558523.111188111113 A132内蒙古医科大学A259上海应用技术大学 (中外合作办学)A369安徽中医药大学A496武汉轻工大学B600湖北经济学院41004544537.111174132120 B832河北经贸大学4010040560534.123161127123 A634川北医学院B062厦门理工学院81008541531.121167115128 B258大连大学3810038548538.114187120117 Y017青岛大学(师范,面向青岛)160103165572536.122181120113 A152大连工业大学A158大连海洋大学11001543543.119196114114 A512湖北大学 (中外合作办学)41004553530.113183116118 A573广东药科大学A589海南大学 (中外合作办学)1710017562529.116173128112 A759石河子大学5110554569538.128184112114 A017北京石油化工学院71007547535.115180123117 A231哈尔滨师范大学2610026546533.119190111113 A427济南大学902103930571540.113195120112 B560西安财经学院2210022545533.108172131122 A082河北科技大学2310023538529.113191118107 A792天津城建大学B057浙江科技学院B065青岛大学 (中外合作办学)5310355558535.109190126110 A020北京农学院1010010552532.107193121111 A361安徽理工大学41004520514.111203113087 A405东华理工大学41004523521.117183104117 A427济南大学 (中外合作办学)5010352545523.119181116107A446曲阜师范大学 (地方农村专项计划)4510347549534.118186118112B632沈阳工程学院A057天津科技大学 (中外合作办学)31003544540.119184114123 A164沈阳医学院A292常州大学 (中外合作办学)A404华东交通大学 (中外合作办学)H414中国石油大学(北京)克拉玛依81008559528.108181121118 A329江苏警官学院81008545532.115175130112 A360安徽工业大学 (中外合作办学)41004524516.111174121110 A655四川美术学院61006549528.112179118119 A671贵州财经大学1810018539526.113187110116A718陕西师范大学 (非西藏生定藏就业)41001530530.106194097133A736西北师范大学1710017552537.116172122127 A020北京农学院 (中外合作办学)A069天津商业大学 (中外合作办学)1910019546523.120159124120 A709西安工程大学C453中国劳动关系学院2510025545533.121144134134 A143沈阳航空航天大学 (中外合作办学)A146辽宁科技大学 (专业志愿)A150大连交通大学 (中外合作办学)21002538537.131194099113 A433山东理工大学 (地方农村专项计划)A472新乡医学院A495武汉纺织大学21002538534.118168120128 A500湖北工业大学 (中外合作办学)A602广西师范大学2010020545531.121167120123 B066烟台大学617103636580539.115182123119 A440滨州医学院179103185550512.122153107130 A463河南工业大学1910019544525.116187117105 A199长春中医药大学1910019549520.106166118130 A407江西理工大学1510015545523.119166133105 A446曲阜师范大学15651031612570537.119167135116 B048金陵科技学院51005527523.108188124103 B420河北金融学院2110021535518.124170123101 B458上海电机学院81008542527.118165121123 A092河北北方学院A394福建师范大学 (中外合作办学)A681云南师范大学2610026545534.118170125121 A146辽宁科技大学A460河南理工大学1410014542525.117189130089 A601桂林医学院A929湖北医药学院B420河北金融学院 (中外合作办学)31003523515.103180114118 A554湖南商学院51106539535.108191117119 B460南京晓庄学院31003532520.124170104122 A364安徽农业大学910510542529.107171134117 A389福建农林大学1010010535494.120162114098 A513湖北师范大学91009549535.113200121101 A555南华大学1110011535520.112176117115 A731兰州理工大学61006522516.120185107104 B149中华女子学院2110523560530.111194114111 A139内蒙古财经大学3010030537522.112174126110 A451鲁东大学735103758562535.113168134120 A600广西中医药大学51005548520.121152130117 A716陕西中医药大学71007548526.109189120108 A741兰州财经大学2410024537518.114172121111B532湖南财政经济学院1510015534521.106175114126 C026大连民族大学2510025536529.113189124103 A066天津职业技术师范大学91009542532.113183125111 A109太原科技大学31003527525.112214120079 A464河南科技大学2010020542526.116188099123 A661遵义医学院71007503497.120161113103 A878安徽建筑大学41004523519.121182124092 A245哈尔滨金融学院1210012543516.115173123105 A367蚌埠医学院A430山东建筑大学 (地方农村专项计划)81039540518.118155125120Y016济南大学 (走读)240103248560519.114203115087 A076河北工程大学2210022545522.110200114098 A154辽宁工业大学71007530520.111144135130 A203吉林师范大学2710027544532.114184122112 B463江苏理工学院71007535521.113180106122 B736西安航空学院31003508500.113165117105 A093承德医学院41004528522.113177101131 A094河北师范大学 (专业志愿)A220东北石油大学2410024534517.131166100120 A412江西中医药大学71007546529.121180140088 A438潍坊医学院234103242550505.107181109108 A749宁夏大学 (高收费专业)61006553531.123165125118 B230齐齐哈尔医学院B535湖南工业大学2410024534524.100179127118 D687中国传媒大学南广学院2010020564506.113176109108 Y007山东财经大学(莱芜校区)180103186557525.122156126121 A389福建农林大学 (中外合作办学)41004533493.114156103120 A451鲁东大学 (非西藏生定藏就业)定藏就业)A741兰州财经大学 (中外合作办学)41004506501.115163112111 B418北京城市学院31003524503.118161102122 B654武汉商学院41004513509.110164118117 D218大连财经学院61006527511.115170113113 A117长治医学院41004504499.119160110110 A190长春工业大学2410024534516.114191120091 A363安徽工程大学B660重庆理工大学 (中外合作办学)A240哈尔滨商业大学4210042567539.110185144100 A305盐城工学院A596桂林理工大学1010010521513.118167106122 A638西华师范大学2110021538521.115186120100 B065青岛大学 (校企合作办学)B835上海政法学院 (民族预科)31003552526.110159134123 Y015山东建筑大学 (走读)4010342531518.102195098123 A413赣南医学院A681云南师范大学 (中外合作办学)21002497490.110184104092 A823长沙医学院41004523514.118181097118 B349五邑大学21002513509.115174114106 B726长春大学3110031534519.0991******** C214湖南医药学院31003517513.107167114125 A205长春师范大学5310053540525.118194116097A429青岛理工大学 (中外合作办学)4310345545524.118164122120 A430山东建筑大学329103339568528.107175115131 A537湖南农业大学1610016555530.101179132118 A735甘肃中医药大学81008532523.105172128118 D661天津医科大学临床医学院A201北华大学3910039542521.128160108125 A663贵州师范大学61006533514.104171116123 A760新疆医科大学B810海南医学院A077河北地质大学1610016540530.119196121094 A118山西师范大学1810018539526.110182116118 A433山东理工大学851103877551520.107153130130 A598广西医科大学B819东莞理工学院81008538503.113156129105 E432河北中医学院51005536511.116171118106 A476河南师范大学51005533517.118164113122 B055常州工学院A354嘉兴学院1510015547525.121156130118 B392云南警官学院21002526511.103166129113 A148辽宁石油化工大学41004519515.107171123114 A373淮北师范大学71058541532.122179120111 A680云南中医学院81008541518.112181108117 B035沈阳大学41004534517.115174116112 A167渤海大学1110011530526.117166127116 A264上海海洋大学 (民族预科)A427济南大学 (校企合作办学软件外包专业)A531吉首大学81008529520.110176107127 A543湖南理工学院91009517508.112163112121 H127内蒙古科技大学包头医学院Y000哈尔滨理工大学(荣城校区)6010060532512.114180115103 B058宁波工程学院 (中外合作办学)B658海南师范大学6110363537520.117155122126 A809山西中医药大学1510015543521.121167113120 D505新乡医学院三全学院A219黑龙江科技大学2510025526513.109154116134 A418赣南师范大学1110011526520.117178111114 A431齐鲁工业大学525103541546520.105174137104 A439泰山医学院743103766548502.102201124075 B058宁波工程学院A333常熟理工学院91009522513.109175119110 A388福建工程学院A679大理大学1610517533514.112163122117 A719延安大学1310013534520.111182116111 B641淮海工学院51005517511.124160105122 A424山东科技大学 (中外合作办学)133103137545510.113156124117 A524中南民族大学 (民族预科)21002513509.104163125117 B406甘肃政法学院2810028543513.123146124120 D901北京邮电大学世纪学院11001504504.101190118095 A262上海健康医学院A471河南中医药大学A149沈阳化工大学2010020522515.117159130109 A720陕西理工大学31003545513.113165111124 D632上海视觉艺术学院61006529499.117175109098 A456山东财经大学 (校企合作办学软件外包专业)A766新疆财经大学61006516511.115178118100 D213锦州医科大学医疗学院A061天津农学院21002524522.118161127116 A191吉林建筑大学61006517511.105180120106 A402闽南师范大学2410024540523.106172128117 A435青岛农业大学532103548548527.110197135085 A441山东中医药大学772103796595521.122188106105 A447聊城大学10571031089548525.113164131117 A452临沂大学666103686557522.111176115120 A639绵阳师范学院51005510504.120175101108 B332湖北警官学院1010010537516.104193119100 B664西安邮电大学 (边防军人11001488488.102155125106 D706吉林医药学院21002504498.107168096127 A166沈阳师范大学2510025538518.117165117119 A186长春理工大学 (民族预科)11001498498.107159113119 A410江西农业大学1410014527521.116188105112 A466河南农业大学71007528522.112180118112 A545湘南学院1610016511499.105173109112 A642重庆文理学院1310013528515.111179132093 A676云南农业大学61006537516.114181121100 A677西南林业大学1410014529519.114175110120 A443济宁医学院140103145553507.118171119099 A485郑州航空工业管理学院1410014518511.109187111104 A691云南民族大学1010010522514.107191122094 A723渭南师范学院11001503503.112194086111 D249湖北医药学院药护学院A078华北水利水电大学 (中外合作办学)A119太原师范学院2110021537514.121187107099 A229牡丹江医学院A430山东建筑大学 (中外合作办学)B319南昌工程学院61006524507.118165110114 B441吉林警察学院1410014515510.098169129114 B688山东工商学院572103590565517.111166125115 D021浙江大学城市学院2010020543513.112183109109 E100山东政法学院10091031040562516.112184116104 A084河北建筑工程学院A102石家庄学院1810018517505.111157126111 A162辽宁中医药大学A462郑州轻工业学院31003513501.124156122099 A594广西科技大学E276齐鲁师范学院388103400542515.113167122113 Y004青岛理工大学(费县校区)A098河北民族师范学院1010010519508.120179104105 A100廊坊师范学院1010010526518.119192118089 A113山西农业大学1510015536519.113167120119 A120山西大同大学1510015524516.122180105109A193吉林农业大学2210022545516.112168117119 A347湖州师范学院1010010528521.106164118133 A408景德镇陶瓷大学51005535519.119148122130 A416上饶师范学院11001505505.1061841190969010393537504.117162128097 A424山东科技大学 (校企合作办学软件外包专业济南校区)A426青岛科技大学 (校企合作办学软件外包专业))A622四川理工学院1010010517504.112166108118 A653成都体育学院1410014540493.119169095110 A694西藏大学2510025533513.104178122109 B318江西科技师范大学1010010533514.117178102117 B969郑州师范学院21002531525.113173120119 D285浙江中医药大学滨江学院E436江苏第二师范学院1510015535523.118156132117 A232齐齐哈尔大学1110011532519.123184120092 A320江苏师范大学 (中外合作办学)A395闽江学院1510015562516.108161120127 A419井冈山大学1512018526512.115170108119 A736西北师范大学 (校企合作办学)B049淮阴工学院81008524506.118161106121 B059合肥学院81059519509.120155109125 A127内蒙古科技大学2410024535514.111161133109 A349绍兴文理学院A525湖北汽车工业学院B629北华航天工业学院1410014518510.128154092136 C048南京特殊教育师范学院1210012524512.111182113106 D332昆明医科大学海源学院D994南京审计大学金审学院1010010518501.115149117120 A128内蒙古工业大学A528湖北工程学院A608广西民族大学2110021536513.124174122093 A742西北民族大学2210022536513.112175121105 B067潍坊学院504103520542514.119153123119 B080西安文理学院41004514512.116163110123 B104华北科技学院4410044533515.113188108106 B116成都工业学院B510山东交通学院255103263546514.107149135123 A096保定学院1210012530512.115152119126 A453泰山学院513103529535512.109162119122 A475河南大学 (中外合作办学)1310013544512.100179118115 B077长沙学院1010010515509.122163098126 B551重庆科技学院1010010527512.119164121108 D980南京医科大学康达学院81005502483.112141118112 A222佳木斯大学A352丽水学院1010010543510.119179102110 A424山东科技大学 (校企合作办学软件外包专业青岛校区)A429青岛理工大学 (校企合作办学)4010342541512.1131461201337010373519503.112172118101 A430山东建筑大学 (校企合作办学软件外包专业)A463河南工业大学 (中外合作办学)1110011520504.108144129123A603广西师范学院21002521516.111168117120 A798河北科技师范学院A879安徽科技学院A920湖北理工学院61006514504.110161117116 B053徐州工程学院1610016515510.107166114123 D437江西中医药大学科技学院41004514510.108183134085 D469厦门大学嘉庚学院2510025536509.103183109114 D663南开大学滨海学院1210012529507.114191104098 D899北京中医药大学东方学院91009524506.110180118098 Y003青岛科技大学(高密校区)A085河北水利电力学院A323淮阴师范学院A330南京体育学院A482洛阳师范学院3310033522513.109190129085 A643重庆三峡学院1010010515507.113168109117 B407北方民族大学3610036523512.127198115072 A105沧州师范学院81008534510.126178100106 A129内蒙古农业大学A234哈尔滨学院1210012515508.102185124097 A372安庆师范大学1510015520510.112155113130 A549湖南文理学院41004513510.117167117109 A695西藏民族大学4610046528505.107172118108 A733甘肃农业大学B070洛阳理工学院1910019517503.112162110119 C362武汉生物工程学院21002499492.104162121105 A094河北师范大学 (专业志愿)A099唐山师范学院1710017520507.123168107109 A223黑龙江八一农垦大学1510015515506.118164109115 A397武夷学院51005511504.114151128111 A465中原工学院2410024520504.104162113125 A547邵阳学院41004501498.112150120116 D646南京大学金陵学院1410014548509.118150115126 A381淮南师范学院A434山东农业大学 (校企合作办学软件外包专业)A449滨州学院265103273532511.107170113121 A489长江大学 (中外合作办学)A647长江师范学院51005516513.118177097121 A762新疆师范大学3710539537508.106191121090 B066烟台大学 (中外合作办学)5010352555529.125190106108 B261吉林工商学院1510015517502.112182118090 B775防灾科技学院D673四川外国语大学成都学院1510015524500.106177123094 D763福建江夏学院71007515506.110163106127 E037西南财经大学天府学院11001496496.115168096117 E437南昌师范学院1310013513502.114170122096 M721河北环境工程学院41004502498.112168113105 A399泉州师范学院A434山东农业大学 (地方农村专项计划)1010311538520.115172110123A448德州学院380103392535510.111165137097 A546衡阳师范学院1010010538513.117194109093A927湖北科技学院71007511505.118171114102 B833上海杉达学院1010010517498.108160115115 D658天津外国语大学滨海外事学院1910019521499.113162103121 A071天津体育学院1810018534508.107161125115 A350台州学院71007521510.109174123104 B437长春工程学院61006509503.106182122093 B653南阳理工学院91009509501.116158107120 C105天津中德应用技术大学21002497493.116165111101 D292中国计量大学现代科技学院A103邯郸学院81008509500.115156118111 A190长春工业大学 (中外合作办学)A324盐城师范学院51005508502.112171124095 A434山东农业大学 (中外合作办学)165103170531500.111182101106 A454济宁学院385103397525508.110174114110 B033唐山学院51005511503.116182122083 B066烟台大学 (校企合作办学)135103140543510.117154122117 B342湖南工程学院61006508502.103187129083 B843九江学院1810018524505.116168105116 D290浙江工商大学杭州商学院2210022534495.114166101114 D611安徽财经大学商学院21002496491.108185123075 D655南京航空航天大学金城学院51005508500.104195122079 E458张家口学院41004506504.114145136109 A383铜陵学院51005519511.109196109097 A433山东理工大学 (中外合作办学)A551湖南科技学院81008512501.117159120105 A748青海民族大学2610528512503.106181130086 B427集宁师范学院1010010505500.103179112106 B430辽宁科技学院B528湖南工学院B802黑龙江工程学院1610016517501.114154123110 E099湖北第二师范学院51005528511.111186109105 E207上海财经大学浙江学院21002509503.117175106105 E388重庆第二师范学院21002508502.101154126121 A109太原科技大学 (中外合作办学)A192吉林化工学院A204吉林工程技术师范学院31003510502.106170117109 A205长春师范大学 (中外合作办学)A371阜阳师范学院31003510506.105167123111 A455菏泽学院300103309523505.111154122118 A477信阳师范学院51005518513.105175105128 A481南阳师范学院2710027515506.102168121115 A483商丘师范学院2510025521509.119168125097 A742西北民族大学 (民族预科)21002512512.100180117115 A904枣庄学院275103284526506.117166127096 B104华北科技学院 (中外合作办学)B825桂林航天工业学院1410014509497.125156125091 D665电子科技大学成都学院51005494489.108160129092 D811琼台师范学院41004503500.121175102102 E438山东管理学院507103523521503.114167113109 A104邢台学院A121晋中学院2510025507502.118142131111A124忻州师范学院1410014514506.109188107102 A136内蒙古民族大学2410024524506.112158122114 A158大连海洋大学 (中外合作办学)6010362520504.112193122077 A433山东理工大学 (校企合作办学软件外包专业)A478周口师范学院2710529513505.104155129117 A479安阳师范学院3810038519505.120177096112 A676云南农业大学 (中外合作办学)A976贵阳学院61006505502.114148117123 B393昆明学院1210012511501.114185110092 B407北方民族大学 (民族预科)21002501501.108152129112 B517河南工程学院61006508503.128141122112 B656广东石油化工学院1010010507496.111174119092 D284温州医科大学仁济学院E101太原工业学院1410014509502.118162116106 E389成都师范学院1010010519510.123166107114 Y018山东科技大学(泰安校区)297103306551513.120158118117130103134526507.121154113119 A435青岛农业大学 (校企合作办学软件外包专业)A577惠州学院A746青海师范大学2210022518501.107165124105 B100海南热带海洋学院3010030513499.109166123101 B527湖南城市学院41004505500.107164103126 D636上海外国语大学贤达经济人文41004522495.116163109107 A576韶关学院51005503497.105193083116 A649乐山师范学院3010030517503.122141113127 B071新乡学院1810018507501.114171114102 B329河南工学院B390玉溪师范学院41004500496.110157112117 B653南阳理工学院 (专业志愿)B765河南城建学院41004508498.098176120104 D198大连理工大学城市学院31003501495.105143127120 D402河北外国语学院61006522497.118167103109 D596华北理工大学冀唐学院D603长春财经学院31003512505.106180106113 D982南京信息工程大学滨江学院21002497497.106172111108 E277山东青年政治学院710103732525504.121141124118 E440贵州理工学院A203吉林师范大学 (中外合作办学)1410014511497.108173124092 A235大庆师范学院3510035511500.113164122101 A443济宁医学院 (中外合作办学)3510337511490.108172117093 A480许昌学院4910049513503.119146112126 A525湖北汽车工业学院 (中外合作办学)A644四川文理学院1510015509500.114155118113 A684曲靖师范学院71007508502.113167119103 B242太原学院1610016507499.108178126087 B330安阳工学院61006502488.119171101097 B396商洛学院61006500497.118154117108 B726长春大学 (中外合作办学)D892三亚学院21002504496.123153114106 D991江苏科技大学苏州理工学院41004488485.107176114088。
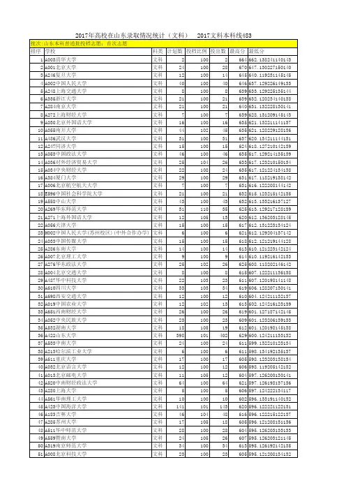
山东省高考本科普通批工程大学最低投档线Last updated on the afternoon of January 3, 20212017年山东省高考本科普通批985、211工程大学最低投档线注:由于华北电力大学、中国石油大学、中国地质大学、中国矿业大学拥有两个校区,故其“所在地”都有两处。
“211工程”意即面向21世纪,迎接世界新技术革命的挑战,中国政府集中中央、地方各方面的力量,重点建设100所左右的高等学校和一批重点学科、专业使其达到世界一流大学的水平的建设工程。
截止到2011年3月31日,全国共有112所211工程大学。
2011年3月7日,教育部部长袁贵仁在列席全国政协十一届四次会议教育界别联组会时明确表示,“985工程”、“211工程”已经关上大门,不会再有新的高校加入这个行列。
我国现有普通高等学校1700多所(也有2000多所的说法,这是因为计算方法不同造成的),211工程学校仅占其中的6%,却承担了全国4/5的博士生、2/3的硕士生、1/2的留学生和1/3的本科生的培养任务,拥有85%的国家重点学科和96%的国家重点实验室,占有70%科研经费。
“985工程”是我国政府为建设若干所世界一流大学和一批国际知名的高水平研究型大学而实施的高等教育建设工程。
名称源自1998年5月4日,江泽民在北京大学百年校庆上建设世界一流大学的讲话。
最初入选985工程的高校有九所,被称九校联盟,截至2011年年末,985工程共有39所高校。
第1档次高校——国家优先发展大学,共2所:北京大学、清华大学。
“985工程”最初只有北大和清华被确认为要建设“世界一流大学”,并且两校分别获得教育部18亿的拨款额度。
因此将这2所学校定位为第一档次高校——“国家优先发展大学”。
第2档次高校——国家重点建设大学,共7所:南京大学、复旦大学、浙江大学、哈尔滨工业大学、上海交通大学、中国科技大学、西安交通大学。
这7所大学连同北大、清华都是1999年就被确定的首批“985工程”建设高校。
2017年山东省高考本科普通批985、211工程大学最低投档线注:由于华北电力大学、中国石油大学、中国地质大学、中国矿业大学c:\iknow\docshare\data\cur_work\_blank拥有两个校区,故其“所在地”都有两处。
“211工程”意即面向21世纪,迎接世界新技术革命的挑战,中国政府集中中央、地方各方面的力量,重点建设100所左右的高等学校和一批重点学科、专业使其达到世界一流大学的水平的建设工程。
截止到2011年3月31日,全国共有112所211工程大学。
2011年3月7日,教育部部长袁贵仁在列席全国政协十一届四次会议教育界别联组会时明确表示,“985工程”、“211工程”已经关上大门,不会再有新的高校加入这个行列。
我国现有普通高等学校1700多所(也有2000多所的说法,这是因为计算方法不同造成的),211工程学校仅占其中的6%,却承担了全国4/5的博士生、2/3的硕士生、1/2的留学c:\iknow\docshare\data\cur_work\_blank生和1/3的本科生的培养任务,拥有85%的国家重点学科和96%的国家重点实验室,占有70%科研经费。
“985工程”是我国政府为建设若干所世界一流大学和一批国际知名的高水平研究型大学而实施的高等教育建设工程。
名称源自1998年5月4日,江泽民在北京大学c:\iknow\docshare\data\cur_work\_blank百年校庆上建设世界一流大学的讲话。
最初入选985工程的高校有九所,被称九校联盟,截至2011年年末,985工程共有39所高校。
第1档次高校——国家优先发展大学,共2所:北京大学、清华c:\iknow\docshare\data\cur_work\_blank大学c:\iknow\docshare\data\cur_work\_blank。
“985工程”最初只有北大和清华被确认为要建设“世界一流大学”,并且两校分别获得教育部18亿的拨款额度。
2017年山东省高考本科普通批985、211工程大学最低投档线注:由于华北电力大学、中国石油大学、中国地质大学、中国矿业大学拥有两个校区,故其“所在地”都有两处。
“211工程”意即面向21世纪,迎接世界新技术革命的挑战,中国政府集中中央、地方各方面的力量,重点建设100所左右的高等学校和一批重点学科、专业使其达到世界一流大学的水平的建设工程。
截止到2011年3月31日,全国共有112所211工程大学。
2011年3月7日,教育部部长袁贵仁在列席全国政协十一届四次会议教育界别联组会时明确表示,“985工程”、“211工程”已经关上大门,不会再有新的高校加入这个行列。
我国现有普通高等学校1700多所(也有2000多所的说法,这是因为计算方法不同造成的),211工程学校仅占其中的6%,却承担了全国4/5的博士生、2/3的硕士生、1/2的留学生和1/3的本科生的培养任务,拥有85%的国家重点学科和96%的国家重点实验室,占有70%科研经费。
“985工程”是我国政府为建设若干所世界一流大学和一批国际知名的高水平研究型大学而实施的高等教育建设工程。
名称源自1998年5月4日,江泽民在北京大学百年校庆上建设世界一流大学的讲话。
最初入选985工程的高校有九所,被称九校联盟,截至2011年年末,985工程共有39所高校。
第1档次高校——国家优先发展大学,共2所:北京大学、清华大学。
“985工程”最初只有北大和清华被确认为要建设“世界一流大学”,并且两校分别获得教育部18亿的拨款额度。
因此将这2所学校定位为第一档次高校——“国家优先发展大学”。
第2档次高校——国家重点建设大学,共7所:南京大学、复旦大学、浙江大学、哈尔滨工业大学、上海交通大学、中国科技大学、西安交通大学。
这7所大学连同北大、清华都是1999年就被确定的首批“985工程”建设高校。
2009年10月9日至10日,在西安交通大学举行第七届一流大学建设系列研讨会。