高考数学专题复习专题6数列第38练数列的前n项和练习理
- 格式:doc
- 大小:56.50 KB
- 文档页数:6
第34讲 等差数列及其前n 项和夯实基础 【p 73】【学习目标】1.掌握等差数列的定义与性质、通项公式、前n 项和公式等. 2.掌握等差数列的判断方法. 3.掌握等差数列求和的方法. 【基础检测】1.数列{a n }是等差数列,a 1=1,a 4=8,则a 5=( )A .16B .-16C .32D .313【解析】因为a 4=8,所以a 1+3d =8, 又因为a 1=1,所以d =73,可得a 5=a 1+4d =313.【答案】D2.已知等差数列{a n }中,若a 4=15,则它的前7项和为( )A .120B .115C .110D .105【解析】由题得S 7=72(a 1+a 7)=72·2a 4=7a 4=7×15=105.【答案】D3.在数列{a n }中,若a 1=1,a 2=12,2a n +1=1a n +1a n +2(n∈N *),则该数列的通项为( )A .a n =1nB .a n =2n +1C .a n =2n +2D .a n =3n【解析】由2a n +1=1a n +1a n +2可得1a n +1-1a n =1a n +2-1a n +1,知⎩⎨⎧⎭⎬⎫1a n 是首项为1a 1=1,公差为1a 2-1a 1=2-1=1的等差数列,所以1a n=n ,即a n =1n.【答案】A4.记S n 为等差数列{}a n 的前n 项和,若S 9=45,a 3+a 8=12,则a 7等于( ) A .10 B .9 C .8 D .7【解析】S 9=9a 5=45a 5=5,而a 3+a 8=12a 5+a 6=12,a 6=7. ∵2a 6=a 5+a 7,∴a 7=9. 【答案】B5.设等差数列{a n }的前n 项和为S n ,若a 1=-11, a 3+a 7=-6,则当S n 取得最小值时,n 等于( )A .6B .7C .8D .9【解析】由题设⎩⎪⎨⎪⎧a 1=-112a 1+8d =-6d =2,则S n =n 2+(-11-1)n =n 2-12n ,所以当n =6时,S n =n 2-12n 最小.【答案】A 【知识要点】 1.等差数列的定义一般地,如果一个数列从第2项起,每一项与它的前一项的差等于同一个常数,那么这个数列就叫做等差数列,这个常数叫做等差数列的公差,通常用字母__d__表示.2.等差数列的通项公式如果等差数列{a n }的首项为a 1,公差为d ,那么它的通项公式是a n =a 1+(n -1)d (n∈N *). 3.等差中项如果A =a +b 2,那么A 叫做a 与b 的等差中项.4.等差数列的常用性质(1)通项公式的推广:a n =a k +(n -k)d(n ,k ∈N *).(2)若{a n }为等差数列,且m +n =p +q (m ,n ,p ,q ∈N *),则a m +a n =a p +a q . (3)若{a n }是等差数列,公差为d ,则a n ,a n +m ,a n +2m ,…(n ,m ∈N *)是公差为__md __的等差数列.(4)数列S m ,S 2m -S m ,S 3m -S 2m ,…也是等差数列. 5.等差数列的前n 项和公式设等差数列{a n }的公差为d ,其前n 项和S n =n (a 1+a n )2或S n =na 1+n (n -1)2d(n∈N *).6.等差数列的前n 项和公式与函数的关系 S n =d 2n 2+⎝⎛⎭⎪⎫a 1-d 2n(n∈N *).数列{a n }是等差数列S n =An 2+Bn (A 、B 为常数,n ∈N *). 7.等差数列的前n 项和的最值在等差数列{a n }中,若a 1>0,d<0,则S n 存在最__大__值;若a 1<0,d>0,则S n 存在最__小__值.典例剖析 【p 73】考点1 等差数列基本量的计算例1(1)已知等差数列共有10项,其中奇数项之和为15,偶数项之和为30,则其公差是( )A .5B .4C .3D .2【解析】写出数列的第一、三、五、七、九项的和,写出数列的第二、四、六、八、十项的和,都用首项和公差表示,两式相减,得到结果.由此得:⎩⎪⎨⎪⎧5a 1+20d =155a 1+25d =30d =3.【答案】C(2)已知数列{a n }为等差数列,S n 为其前n 项和,a 7-a 5=4,a 11=21,S k =9,则k =________. 【解析】a 7-a 5=2d =4,d =2,a 1=a 11-10d =21-20=1, S k =k +k (k -1)2×2=k 2=9.又k∈N *,故k =3.【答案】3【点评】在求解等差数列的基本量问题中主要使用的是方程思想,要注意公式使用时的准确性与合理性,更要注意运算的准确性.在遇到一些较复杂的方程组时,要注意整体代换思想的运用,使运算更加简捷. 考点2 等差数列的性质及应用例2(1)在等差数列{a n }中,a 3+a 9=27-a 6,S n 表示数列{a n }的前n 项和,则S 11=( ) A .18 B .99 C .198 D .297【解析】因为a 3+a 9=27-a 6,2a 6=a 3+a 9,所以3a 6=27,所以a 6=9,所以S 11=112(a 1+a 11)=11a 6=99.【答案】B(2)已知{a n }为等差数列,若a 1+a 2+a 3=5,a 7+a 8+a 9=10,则a 19+a 20+a 21=________. 【解析】法一:设数列{a n }的公差为d ,则a 7+a 8+a 9=a 1+6d +a 2+6d +a 3+6d =5+18d =10,所以18d =5,故a 19+a 20+a 21=a 7+12d +a 8+12d +a 9+12d =10+36d =20.法二:由等差数列的性质,可知S 3,S 6-S 3,S 9-S 6,…,S 21-S 18成等差数列,设此数列公差为D.所以5+2D =10,所以D =52.所以a 19+a 20+a 21=S 21-S 18=5+6D =5+15=20.【答案】20【点评】一般地,运用等差数列性质,可以化繁为简、优化解题过程.但要注意性质运用的条件,如m +n =p +q ,则a m +a n =a p +a q (m ,n ,p ,q ∈N *),只有当序号之和相等、项数相同时才成立.考点3 等差数列的判定与证明例3令 b n =2n ⎝ ⎛⎭⎪⎫n -12n +c ,数列{b n }为等差数列,则非零常数c 的值为________.【解析】∵b n =2n ⎝ ⎛⎭⎪⎫n -12n +c,c ≠0,数列{b n }为等差数列,∴b n =2n.得到c =-12.【答案】-12例4已知数列{a n }满足a 1=1,a n +1=2a n a n +2(n∈N ),b n =1a n .(1)证明:数列{b n }为等差数列. (2)求数列{a n }的通项公式.【解析】(1)∵a 1≠0,且有a n +1=2a n a n +2,所以有a n ≠0(n ∈N *),则有b n +1=1a n +1=a n +22a n=1 a n +12=b n+12,即b n+1-b n=12(n∈N*)且b1=1a1=1,所以{b n}是首项为1,公差为12的等差数列.(2)由(1)知b n=b1+(n-1)×12=1+n-12=n+12,即1a n=n+12,所以a n=2n+1.【点评】等差数列的判定与证明方法-1(n≥2,n∈N*)为同一常数{a n}{a n}是等差数列正整数n都成立{a n}是等差数任意的正整数n 都成立{a n }是考点4 等差数列前n 项和的最值问题例5已知{a n }是各项为正数的等差数列,S n 为其前n 项和,且4S n =(a n +1)2. (1)求a 1,a 2的值及{a n }的通项公式; (2)求数列⎝ ⎛⎭⎪⎫S n -72a n 的最小值. 【解析】(1)因为4S n =(a n +1)2,所以,当n =1时,4a 1=(a 1+1)2,解得a 1=1,所以,当n =2时,4(1+a 2)=(a 2+1)2,解得a 2=-1或a 2=3, 因为{a n }是各项为正数的等差数列,所以a 2=3, 所以{a n }的公差d =a 2-a 1=2,所以{a n }的通项公式a n =a 1+(n -1)d =2n -1. (2)因为4S n =(a n +1)2,所以S n =(2n -1+1)24=n 2,所以S n -72a n =n 2-72(2n -1)=n 2-7n +72=⎝ ⎛⎭⎪⎫n -722-354.所以,当n =3或n =4时,S n -72a n 取得最小值-172.方法总结 【p 74】1.等差数列的判定方法有定义法、中项公式法、通项公式法、前n 项和公式法,注意等差数列的证明只能用定义法.2.方程思想和基本量思想:在解有关等差数列问题时可以考虑化归为首项与公差等基本量,通过建立方程组获得解.3.用函数思想理解等差数列的通项公式和前n 项和公式,从而解最值问题.走进高考 【p 74】1.(2018·全国卷Ⅰ)设S n 为等差数列{a n }的前n 项和.若3S 3=S 2+S 4,a 1=2,则a 5=( )A .-12B .-10C .10D .12【解析】法一:设等差数列{a n }的公差为d ,∵3S 3=S 2+S 4, ∴3⎝ ⎛⎭⎪⎫3a 1+3×22d =2a 1+d +4a 1+4×32d ,解得d =-32a 1, ∵a 1=2,∴d =-3,∴a 5=a 1+4d =2+4×(-3)=-10.法二:设等差数列{a n }的公差为d ,∵3S 3=S 2+S 4,∴3S 3=S 3-a 3+S 3+a 4,∴S 3=a 4-a 3,∴3a 1+3×22d =d ,∵a 1=2,∴d =-3,∴a 5=a 1+4d =2+4×(-3)=-10.【答案】B2.(2018·全国卷Ⅱ)记S n 为等差数列{a n }的前n 项和,已知a 1=-7,S 3=-15. (1)求{a n }的通项公式; (2)求S n ,并求S n 的最小值.【解析】(1)设{a n }的公差为d ,由题意得3a 1+3d =-15.由a 1=-7得d =2.所以{a n }的通项公式为a n =2n -9. (2)由(1)得S n =n 2-8n =(n -4)2-16.所以当n =4时,S n 取得最小值,最小值为-16.考点集训 【p 214】A 组题1.在等差数列{a n }中,a 1=0,公差d ≠0,若a m =a 1+a 2+…+a 9,则m 的值为( ) A .37 B .36 C .20 D .19【解析】a m =a 1+a 2+…+a 9=9a 1+9×82d =36d =a 37.【答案】A2.记S n 为等差数列{}a n 的前n 项和,若a 7=1,a 1-S 4=9,则数列{}S n 中的最小项为( )A .S 1B .S 5,S 6C .S 4D .S 7【解析】令等差数列{}a n 的公差为d ,则⎩⎪⎨⎪⎧a 1+6d =1,a 1-4a 1-6d =9,解得a 1=-5,d =1,有a n =n -6,S n =n (n -11)2,则当n =5或6时,S n 最小.【答案】B3.已知数列{a n }满足a 1=15,且3a n +1=3a n -2.若a k ·a k +1<0,则正整数k =( ) A .21 B .22 C .23 D .24【解析】3a n +1=3a n -2a n +1=a n -23{a n }是等差数列,则a n =473-23n .∵a k ·a k +1<0,∴⎝⎛⎭⎪⎫473-23k ⎝ ⎛⎭⎪⎫453-23k <0,∴452<k <472,∴k =23.【答案】C4.设{a n }(n ∈N *)是等差数列,S n 是其前n 项的和,且S 5<S 6,S 6=S 7>S 8,则下列结论错误..的是( ) A. d <0 B. a 7=0 C. S 9>S 5D. S 6与S 7均为S n 的最大值【解析】由S 5<S 6得a 6=S 6-S 5>0,又S 6=S 7,所以a 7=0. 由S 7>S 8,得a 8<0,而C 选项S 9>S 5,即a 6+a 7+a 8+a 9>02(a 7+a 8)>0.由题设a 7=0,a 8<0,显然C 选项是错误的. 【答案】C5.设S n 为等差数列{a n }的前n 项和,若S 8=4a 3,a 7=-2,则a 9=________. 【解析】根据等差数列的定义和性质可得,S 8=4(a 3+a 6),又S 8=4a 3,所以a 6=0,又a 7=-2,所以a 8=-4,a 9=-6. 【答案】-66.设等差数列{a n }的前n 项和为S n ,S m -1=-2,S m =0,S m +1=3,则正整数m 的值为________. 【解析】因为等差数列{a n }的前n 项和为S n ,S m -1=-2,S m =0,S m +1=3,所以a m =S m-S m -1=2,a m +1=S m +1-S m =3,数列的公差d =1,a m +a m +1=S m +1-S m -1=5,即2a 1+2m -1=5,所以a 1=3-m .由S m =(3-m )m +m (m -1)2×1=0,解得正整数m 的值为5.【答案】57.已知等差数列{a n }的公差d >0.设{a n }的前n 项和为S n ,a 1=1,S 2·S 3=36.(1)求d 及S n ;(2)求m ,k (m ,k ∈N *)的值,使得a m +a m +1+a m +2+…+a m +k =65.【解析】(1)由题意知(2a 1+d )(3a 1+3d )=36,将a 1=1代入上式解得d =2或d =-5. 因为d >0,所以d =2.从而a n =2n -1,S n =n 2(n ∈N *).(2)由(1)得a m +a m +1+a m +2+…+a m +k =(2m +k -1)(k +1),所以(2m +k -1)(k +1)=65.由m ,k ∈N *知2m +k -1≥k +1>1,故⎩⎪⎨⎪⎧2m +k -1=13,k +1=5,所以⎩⎪⎨⎪⎧m =5,k =4. 8.已知等差数列{a n }前三项的和为-9,前三项的积为-15.(1)求等差数列{a n }的通项公式;(2)若{a n }为递增数列,求数列{|a n |}的前n 项和S n .【解析】(1)设公差为d ,则依题意得a 2=-3,则a 1=-3-d ,a 3=-3+d ,∴(-3-d )(-3)(-3+d )=-15,得d 2=4,d =±2,∴a n =-2n +1或a n =2n -7.(2)由题意得a n =2n -7,所以|a n |=⎩⎪⎨⎪⎧7-2n ,n ≤3,2n -7,n ≥4, ①n ≤3时,S n =-(a 1+a 2+…+a n )=5+(7-2n )2n =6n -n 2; ②n ≥4时,S n =-a 1-a 2-a 3+a 4+…+a n =-2(a 1+a 2+a 3)+(a 1+a 2+…+a n )=18-6n +n 2.综上,数列{|a n |}的前n 项和S n =⎩⎪⎨⎪⎧-n 2+6n ,n ≤3,n 2-6n +18,n ≥4. B 组题1.已知正项数列{a n }中,a 1=1, a 2=2, 2a 2n +1=a 2n +2+a 2n ,则a 6等于( )A .16B .8C .4D .2 2【解析】由2a 2n +1=a 2n +2+a 2n 知,数列{a 2n }是等差数列,前两项为1,4,所以公差d =3,故a 26=1+5×3=16,所以a 6=4,故选C.【答案】C2.若等差数列{a n }的前n 项和S n 满足S 4≤4,S 6≥12,则a 4的最小值为( )A .2 B.72C .3 D.52【解析】S 4=2(a 1+a 4)≤42a 4-3d ≤2,① S 6=3(a 1+a 6)≥122a 4-d ≥4,即d -2a 4≤-43d -6a 4≤-12,②①②两式相加得:a 4≥52. 【答案】D3.设数列{a n }满足a 1=2,a 2=6,且a n +2-2a n +1+a n =2,用[x ]表示不超过x 的最大整数,如[0.6]=0,[1.2]=1,则⎣⎢⎡⎦⎥⎤m a 1+m a 2+…+m a m 的值用m (m 为整数)表示为__________. 【解析】由题设可得(a n +2-a n +1)-(a n +1-a n )=2,令b n =a n +1-a n ,则由等差数列的定义可知数列{}b n 是首项为b 1=a 2-a 1=4,公差为d =2的等差数列,即a n +1-a n =4+2(n -1)=2n +2,由此可得a 2-a 1=2×1+2,a 3-a 2=2×2+2,…,a n -a n -1=2(n -1)+2,将以上(n -1)个等式两边相加可得a n -a 1=2×(1+n -1)2(n -1)+2n -2=n (n -1)+2n -2,即a n =n (n +1),所以m a 1+m a 2+…+m a m =m -m 2+m 2-m 3+…+m m -1-m m =m -1,故⎣⎢⎡⎦⎥⎤m a 1+m a 2+…+ma m=m -1.【答案】m -14.设数列{a n }的前n 项和为S n ,4S n =a 2n +2a n -3,且a 1,a 2,a 3,a 4,a 5成等比数列,当n ≥5时,a n >0.(1)求证:当n ≥5时,{a n }成等差数列;(2)求{a n }的前n 项和S n .【解析】(1)由4S n =a 2n +2a n -3,4S n +1=a 2n +1+2a n +1-3,得4a n +1=a 2n +1-a 2n +2a n +1-2a n , 即(a n +1+a n )(a n +1-a n -2)=0. 当n ≥5时,a n >0,所以a n +1-a n =2, 所以当n ≥5时,{a n }成等差数列.(2)由4a 1=a 21+2a 1-3,得a 1=3或a 1=-1,又a 1,a 2,a 3,a 4,a 5成等比数列, 而a 5>0,所以a 1>0,从而a 1=3, 所以a n +1+a n =0(n ≤5),q =-1,所以a n =⎩⎪⎨⎪⎧3(-1)n -1,1≤n ≤4,2n -7,n ≥5, 所以S n =⎩⎪⎨⎪⎧32[1-(-1)n ],1≤n ≤4,n 2-6n +8,n ≥5.。
高考复习序列-----高中数学数列一、数列的通项公式与前n 项的和的关系①11,1,2n n n s n a s s n -=⎧=⎨-≥⎩(注:该公式对任意数列都适用)②1(2)n n n S S a n -=+≥ (注:该公式对任意数列都适用) ③12n n S a a a =+++L (注:该公式对任意数列都适用) ④s n+1−s n−1=a n+1+a n (注:该公式对任意数列都适用) 二、等差与等比数列的基本知识 1、等差数列⑴ 通项公式与公差:定义式:d a a n n =--1一般式:()q pn a d n a a n n +=⇔-+=11 推广形式: ()n m a a n m d =+-ma a d mn --=⇔;⑵ 前n 项和与通项n a 的关系:前n 项和公式:1()n n n a a s +=1(1)n n na d -=+211()2d n a d n =+-.前n 项和公式的一般式:应用:若已知()n n n f +=22,即可判断为某个等差数列n 的前n 项和,并可求出首项及公差的值。
n a 与n S 的关系:1(2)n n n a S S n -=-≥(注:该公式对任意数列都适用)例:等差数列12-=n S n ,=--1n n a a (直接利用通项公式作差求解) ⑶ 常用性质:①若m+n=p+q ,则有 m n p q a a a a +=+ ;特别地:若,m n p a a a 是的等差中项,则有2m n p a a a =+⇔n 、m 、p 成等差数列;②等差数列的“间隔相等的连续等长片断和序列”(如123,a a a ++456,a a a ++789a a a ++,⋅⋅⋅)仍是等差数列;③{}n a 为公差为d 等差数列,n S 为其前.n .项和..,则232,,m m m m m S S S S S --,43m m S S -,...也成等差数列, A 、 构成的新数列公差为D=m 2d ,即m 2d=(S 2m -S m )- S m ;B 、 对于任意已知S m ,S n ,等差数列{}n a ⎭⎬⎫⎩⎨⎧n S n 也构成一个公差为2d 等差数列。
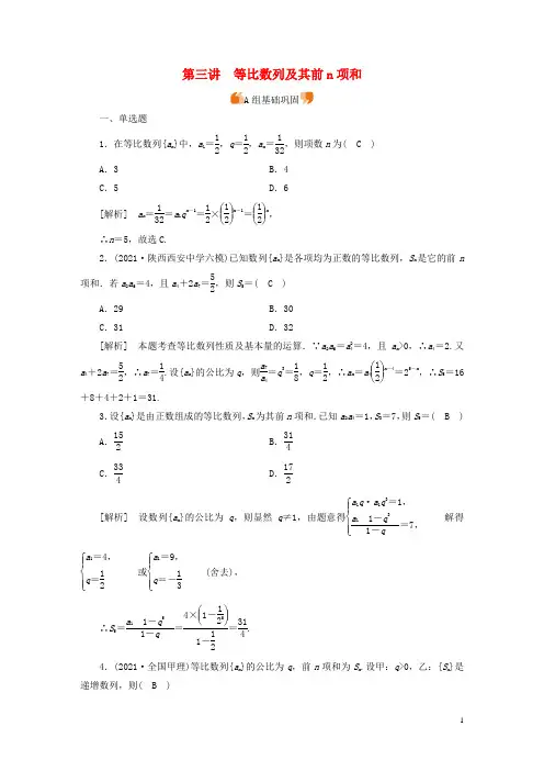
第三讲 等比数列及其前n 项和A 组基础巩固一、单选题1.在等比数列{a n }中,a 1=12,q =12,a n =132,则项数n 为( C )A .3B .4C .5D .6[解析] a n =132=a 1q n -1=12×⎝ ⎛⎭⎪⎫12n -1=⎝ ⎛⎭⎪⎫12n ,∴n =5,故选C.2.(2021·陕西西安中学六模)已知数列{a n }是各项均为正数的等比数列,S n 是它的前n 项和.若a 2a 6=4,且a 4+2a 7=52,则S 5=( C )A .29B .30C .31D .32[解析] 本题考查等比数列性质及基本量的运算.∵a 2a 6=a 24=4,且a n >0,∴a 4=2.又a 4+2a 7=52,∴a 7=14.设{a n }的公比为q ,则a 7a 4=q 3=18,q =12,∴a n =a 4⎝ ⎛⎭⎪⎫12n -4=25-n ,∴S 5=16+8+4+2+1=31.3.设{a n }是由正数组成的等比数列,S n 为其前n 项和.已知a 2a 4=1,S 3=7,则S 5=( B ) A .152B .314C .334D .172[解析] 设数列{a n }的公比为q ,则显然q ≠1,由题意得⎩⎪⎨⎪⎧a 1q ·a 1q 3=1,a 11-q 31-q =7,解得⎩⎪⎨⎪⎧a 1=4,q =12或⎩⎪⎨⎪⎧a 1=9,q =-13(舍去),∴S 5=a 11-q 51-q=4×⎝ ⎛⎭⎪⎫1-1251-12=314.4.(2021·全国甲理)等比数列{a n }的公比为q ,前n 项和为S n .设甲:q >0,乙:{S n }是递增数列,则( B )A .甲是乙的充分条件但不是必要条件B .甲是乙的必要条件但不是充分条件C .甲是乙的充要条件D .甲既不是乙的充分条件也不是乙的必要条件[解析] 当q =1,a 1<0时,等比数列{a n }的前n 项和S n =na 1<0,可知{S n }是单调递减数列,因此甲不是乙的充分条件;若{S n }是递增数列,则当n ≥2时,a n =S n -S n -1>0,即a 1qn -1>0恒成立,而只有当a 1>0,q >0时,a 1q n -1>0恒成立,所以可得q >0,因此甲是乙的必要条件.综上,甲是乙的必要条件但不是充分条件.故选B.5.(2021·深圳一模)已知等比数列{a n }的前n 项和S n =a ·3n -1+b ,则a b=( A )A .-3B .-1C .1D .3[解析] 解法一:a 1=a +b ,当n ≥2时,a n =S n -S n -1=2a ·3n -2,又∵{a n }是等比数列,∴a +b =2a ·31-2,∴a b=-3.故选A.解法二:a 1=a +b ,a 2=2a ,a 3=6a . 又∵{a n }是等比数列, ∴a 2a 1=a 3a 2,∴2a a +b =6a 2a, ∴a =-3b ,∴a b=-3,故选A.6.(2022·广东惠州一中月考)已知数列{a n }是等比数列,且a 2=2,a 5=14,则a 1a 2+a 2a 3+…+a n a n +1=( C )A .16(1-4-n) B .16(1-2-n) C .323(1-4-n)D .323(1-2-n )[解析] 因为等比数列{a n }中,a 2=2,a 5=14,所以a 5a 2=q 3=18,所以q =12.由等比数列的性质,易知数列{a n a n +1}为等比数列,其首项为a 1a 2=8,公比为q 2=14,所以要求的a 1a 2+a 2a 3+…+a n a n +1为数列{a n a n +1}的前n 项和.由等比数列的前n 项和公式得a 1a 2+a 2a 3+…+a n a n +1=8⎝ ⎛⎭⎪⎫1-14n 1-14=323(1-4-n).故选C.二、多选题7.(2021·辽宁大连八中模拟改编)记等比数列{a n }的前n 项和为S n ,若a 1=2,S 3=6,则S 4=( AC )A .-10B .-8C .8D .10[解析] 设等比数列的公比为q ,因为a 1=2,S 3=6,所以S 3=2+2q +2q 2=6,则q 2+q -2=0,所以q =1或q =-2.当q =1时,S 4=S 3+2=8;当q =-2时,S 4=S 3+a 1q 3=6+2×(-2)3=-10,故选A 、C.8.(2021·山西大同期中改编)中国古代数学名著《九章算术》中有这样一个问题:今有牛、马、羊食人苗.苗主责之粟五斗.羊主曰:“我羊食半马.”马主曰:“我马食半牛.”今欲衰偿之,问各出几何?此问题的译文是:今有牛、马、羊吃了别人的禾苗,禾苗主人要求赔偿5斗粟,羊主人说:“我羊所吃的禾苗只有马的一半.”马主人说:“我马所吃的禾苗只有牛的一半,”打算按此比例偿还,他们各应偿还多少?已知牛、马、羊的主人应分别偿还a 升,b 升,c 升,1斗为10升,则下列判断正确的是( BD )A .a =507B .c =507C .a ,b ,c 依次成公比为2的等比数列D .a ,b ,c 依次成公比为12的等比数列[解析] 由题意得a ,b ,c 依次成公比为12的等比数列,且c +2c +4c =50,即c =507,故选B 、D.三、填空题9.(2021·四川南充一诊)数列{a n }满足:log 2a n +1=1+log 2a n ,若a 3=10,则a 8= 320 . [解析] 由题意知log 2a n +1=log 2(2a n ),∴a n +1=2a n ,∴{a n }是公比为2的等比数列,又a 3=10,∴a 8=a 3·25=320.10.(2021·北京东城区期末)已知{a n }是各项均为正数的等比数列,S n 为其前n 项和.若a 1=6,a 2+2a 3=6,则公比q = 12 ,S 4=454. [解析] 本题考查等比数列的通项公式、前n 项和公式.由题意,数列{a n }是各项均为正数的等比数列,由a 1=6,a 2+2a 3=6,可得a 1q +2a 1q 2=6q +12q 2=6,即2q 2+q -1=0,解得q =12或q =-1(舍去).由等比数列的前n 项和公式,可得S 4=6×⎣⎢⎡⎦⎥⎤1-⎝ ⎛⎭⎪⎫1241-12=454.11.等比数列{a n }的各项均为实数,其前n 项和为S n .已知S 3=74,S 6=634,则a 8= 32 .[解析] 由题意知S 3=a 1+a 2+a 3=74,a 4+a 5+a 6=S 6-S 3=634-74=14=74·q 3,∴q =2.又a 1+2a 1+4a 1=74,∴a 1=14,∴a 8=14×27=32.12.(2021·长春市高三一检)等比数列{a n }的首项为a 1=-1,前n 项和为S n ,若S 10S 5=3132,则公比q = -12.[解析] 由S 10S 5=3132,a 1=-1,知公比q ≠1,S 10-S 5S 5=-132.由等比数列前n 项和的性质知S 5,S 10-S 5,S 15-S 10成等比数列,且公比为q 5,故q 5=-132,所以q =-12.四、解答题13.(2021·陕西榆林一模)已知数列{a n }满足a 1=1,na n +1=2(n +1)a n .设b n =a n n. (1)求b 1,b 2,b 3;(2)判断数列{b n }是否为等比数列,并说明理由; (3)求{a n }的通项公式. [解析] (1)由条件可得a n +1=2n +1na n , 将n =1代入得,a 2=4a 1,而a 1=1,所以a 2=4. 将n =2代入得,a 3=3a 2,所以a 3=12. 从而b 1=1,b 2=2,b 3=4.(2){b n }是首项为1,公比为2的等比数列.理由如下: 由条件可得a n +1n +1=2a nn,即b n +1=2b n , 又b 1=1,所以{b n }是首项为1,公比为2的等比数列. (3)由(2)可得a n n=2n -1,所以a n =n ·2n -1.14.(2021·安徽联考)已知S n 是数列{a n }的前n 项和,且满足S n -2a n =n -4.(1)证明:{S n -n +2}为等比数列; (2)求数列{S n }的前n 项和T n .[解析] (1)证明:由题意知S n -2(S n -S n -1)=n -4(n ≥2), 即S n =2S n -1-n +4,所以S n -n +2=2[S n -1-(n -1)+2], 又易知a 1=3,所以S 1-1+2=4,所以{S n -n +2}是首项为4,公比为2的等比数列. (2)由(1)知S n -n +2=2n +1,所以S n =2n +1+n -2,于是T n =(22+23+…+2n +1)+(1+2+…+n )-2n =41-2n1-2+n n +12-2n =2n +3+n 2-3n -82.B 组能力提升1.(2021·安徽六安一中调研)已知1,a 1,a 2,4成等差数列,1,b 1,b 2,b 3,4成等比数列,则a 1+a 2b 2的值是( C ) A .52或-52 B .-52C .52D .12[解析] 由题意得a 1+a 2=5,b 22=4,又b 2与第一项的符号相同,所以b 2=2.所以a 1+a 2b 2=52.故选C. 2.(多选题)(2021·海南海口模拟)已知正项等比数列{a n }满足a 1=2,a 4=2a 2+a 3.若设其公比为q ,前n 项和为S n ,则下面结论不正确的是( C 、D )A .q =2B .a n =2nC .S 10=2 047D .a n +a n +1>a n +2[解析] 本题考查等比数列基本量的计算.因为a 1=2,a 4=2a 2+a 3,公比为q ,所以2q 3=4q +2q 2,得q 2-q -2=0,解得q =2(负值舍去),故A 正确;a n =2×2n -1=2n,故B 正确;S n =2×2n -12-1=2n +1-2,所以S 10=2 046,故C 错误;a n +a n +1=2n +2×2n=3a n ,而a n +2=4a n >3a n ,故D 错误.故选C 、D.3.《张丘建算经》中“今有马行转迟,次日减半,疾七日,行七百里.问日行几何?”意思是:“现有一匹马行走的速度逐渐变慢,每天走的里数是前一天的一半,连续行走7天,共走了700里路,问每天走的里数为多少?”则该匹马第一天走的里数为( B )A .128127B .44 800127C .700127D .17532[解析] 由题意知每日所走的路程成等比数列{a n },且公比q =12,S 7=700,由等比数列的求和公式得a 1⎝⎛⎭⎪⎫1-1271-12=700,解得a 1=44 800127.故选B. 4.(2022·南昌模拟)在等比数列{a n }中,a 1+a n =66,a 2a n -1+a 3a n -2=256,且前n 项和S n =126,则n =( C )A .2B .4C .6D .8[解析] 因为数列{a n }是等比数列,所以a 2a n -1=a 3a n -2=a 1a n ,又因为a 2a n -1+a 3a n -2=256,所以a 1a n =128,又因为a 1+a n =66.所以a 1=2,a n =64或a 1=64,a n =2.因为S n =a 1-a n q1-q,且S n =126,所以若a 1=2,a n =64,则2-64q 1-q =126,得q =2.此时a n =2×2n -1=2n=64,n=6;若a 1=64,a n =2,则64-2q 1-q =126,得q =12,此时a n =64×⎝ ⎛⎭⎪⎫12n -1=2,得n =6.综上知,n =6.5.设等比数列{a n }满足a 1+a 2=4,a 3-a 1=8. (1)求{a n }的通项公式;(2)记S n 为数列{log 3a n }的前n 项和.若S m +S m +1=S m +3,求m . [解析] (1)设{a n }的公比为q ,则a n =a 1qn -1.由已知得⎩⎪⎨⎪⎧a 1+a 1q =4,a 1q 2-a 1=8,解得a 1=1,q =3.所以{a n }的通项公式为a n =3n -1.(2)由(1)知log 3a n =n -1. 故S n =n n -12.由S m +S m +1=S m +3得m (m -1)+(m +1)m =(m +3)(m +2),即m 2-5m -6=0.解得m =-1(舍去)或m =6.。
专题6.2 等差数列及其前n 项和1.(江西师范大学附属中学2019届高三三模)已知数列{}n a 为等差数列,n S 为其前n 项和,5632a a a +=+,则7S =( )A .2B .7C .14D .28【答案】C 【解析】5632a a a +=+ 44422a d a d a d ∴++=++-,解得:42a =()177477142a a S a +∴===,本题选C 。
2.(安徽省1号卷A10联盟2019届模拟)等差数列{}n a 的前n 项和为n S ,若2163S =,则31119a a a ++=( )A .12B .9C .6D .3【答案】B【解析】由等差数列性质可知:21112163S a ==,解得:113a =311191139a a a a ∴++==本题选B 。
3.(贵州省贵阳市2019届高三模拟)已知{a n }为递增的等差数列,a 4+a 7=2,a 5•a 6=-8,则公差d=( ) A .6 B .6-C .2-D .4【答案】A【解析】∵{a n }为递增的等差数列,且a 4+a 7=2,a 5•a 6=-8, ∴a 5+a 6=2,∴a 5,a 6是方程22x 80x --=的两个根,且a 5<a 6, ∴a 5=-2,a 6=4, ∴d=a 6-a 5=6, 故选A 。
4.(河北衡水中学2019届高三调研)已知等比数列{}n a 中,若12a =,且1324,,2a a a 成等差数列,则5a =( )A .2B .2或32C .2或-32D .-1【答案】B【解析】设等比数列{}n a 的公比为q (q 0≠),1324,,2a a a 成等差数列, 321224a a a ∴=+,10a ≠, 220q q ∴--=,解得:q=2q=-1或,451a =a q ∴,5a =232或,故选B.5.(浙江省金华十校2019届高三模拟)等差数列{}n a ,等比数列{}n b ,满足111a b ==,53a b =,则9a 能取到的最小整数是( )A .1-B .0C .2D .3【答案】B【解析】等差数列{}n a 的公差设为d ,等比数列{}n b 的公比设为q ,0q ≠,由111a b ==,53a b =,可得214d q +=,则2291812(1)211a d q q =+=+-=->-,可得9a 能取到的最小整数是0,故选B 。
课时作业8 等差数列的前n 项和时间:45分钟 满分:100分课堂训练1.已知{a n }为等差数列,a 1=35,d =-2,S n =0,则n 等于( ) A .33 B .34 C .35 D .36【答案】 D【解析】 本题考查等差数列的前n 项和公式.由S n =na 1+n (n -1)2d =35n +n (n -1)2×(-2)=0,可以求出n =36.2.等差数列{a n }中,3(a 3+a 5)+2(a 7+a 10+a 13)=24,则数列前13项的和是( )A .13B .26C .52D .156【答案】 B【解析】 3(a 3+a 5)+2(a 7+a 10+a 13)=24⇒6a 4+6a 10=24⇒a 4+a 10=4⇒S 13=13(a 1+a 13)2=13(a 4+a 10)2=13×42=26.3.等差数列的前n 项和为S n ,S 10=20,S 20=50.则S 30=________. 【答案】 90【解析】 等差数列的片断数列和依次成等差数列. ∴S 10,S 20-S 10,S 30-S 20也成等差数列. ∴2(S 20-S 10)=(S 30-S 20)+S 10,解得S 30=90.4.等差数列{a n }的前n 项和为S n ,若S 12=84,S 20=460,求S 28. 【分析】 (1)应用基本量法列出关于a 1和d 的方程组,解出a 1和d ,进而求得S 28;(2)因为数列不是常数列,因此S n 是关于n 的一元二次函数且常数项为零.设S n =an 2+bn ,代入条件S 12=84,S 20=460,可得a 、b ,则可求S 28;(3)由S n =d 2n 2+n (a 1-d 2)得S n n =d 2n +(a 1-d2),故⎩⎨⎧⎭⎬⎫S n n 是一个等差数列,又2×20=12+28,∴2×S 2020=S 1212+S 2828,可求得S 28.【解析】 方法一:设{a n }的公差为d ,则S n =na 1+n (n -1)2d .由已知条件得:⎩⎪⎨⎪⎧12a 1+12×112d =84,20a 1+20×192d =460,整理得⎩⎪⎨⎪⎧2a 1+11d =14,2a 1+19d =46,解得⎩⎪⎨⎪⎧a 1=-15,d =4.所以S n =-15n +n (n -1)2×4=2n 2-17n ,所以S 28=2×282-17×28=1 092.方法二:设数列的前n 项和为S n ,则S n =an 2+bn . 因为S 12=84,S 20=460,所以⎩⎪⎨⎪⎧122a +12b =84,202a +20b =460,整理得⎩⎪⎨⎪⎧12a +b =7,20a +b =23.解之得a =2,b =-17,所以S n =2n 2-17n ,S 28=1 092. 方法三:∵{a n }为等差数列,所以S n =na 1+n (n -1)2d ,所以S n n =a 1-d 2+d2n ,所以⎩⎨⎧⎭⎬⎫S n n 是等差数列.因为12,20,28成等差数列, 所以S 1212,S 2020,S 2828成等差数列, 所以2×S 2020=S 1212+S 2828,解得S 28=1 092.【规律方法】 基本量法求出a 1和d 是解决此类问题的基本方法,应熟练掌握.根据等差数列的性质探寻其他解法,可以开阔思路,有时可以简化计算.课后作业一、选择题(每小题5分,共40分)1.已知等差数列{a n }中,a 2=7,a 4=15,则前10项的和S 10等于( )A .100B .210C .380D .400【答案】 B 【解析】 d =a 4-a 24-2=15-72=4,则a 1=3,所以S 10=210.2.在等差数列{a n }中,a 2+a 5=19,S 5=40,则a 10=( ) A .27 B .24 C .29 D .48【答案】 C【解析】 由已知⎩⎪⎨⎪⎧2a 1+5d =19,5a 1+10d =40.解得⎩⎪⎨⎪⎧a 1=2,d =3.∴a 10=2+9×3=29.3.数列{a n }的前n 项和为S n =n 2+2n -1,则这个数列一定是( )A .等差数列B .非等差数列C .常数列D .等差数列或常数列 【答案】 B【解析】 当n ≥2时,a n =S n -S n -1=n 2+2n -1-[(n -1)2+2(n -1)-1]=2n +1,当n =1时a 1=S 1=2.∴a n =⎩⎪⎨⎪⎧2,n =1,2n +1,n ≥2,这不是等差数列.4.设等差数列{a n }的前n 项和为S n .若a 1=-11,a 4+a 6=-6,则当S n 取最小值时,n 等于( )A .6B .7C .8D .9【答案】 A【解析】 ⎩⎪⎨⎪⎧a 1=-11,a 4+a 6=-6,∴⎩⎪⎨⎪⎧a 1=-11,d =2,∴S n =na 1+n (n -1)2d =-11n +n 2-n =n 2-12n .=(n -6)2-36. 即n =6时,S n 最小.5.一个只有有限项的等差数列,它的前5项的和为34,最后5项的和为146,所有项的和为234,则它的第7项等于( )A .22B .21C .19D .18【答案】 D【解析】 ∵a 1+a 2+a 3+a 4+a 5=34,a n +a n -1+a n -2+a n -3+a n -4=146,∴5(a 1+a n )=180,a 1+a n =36,S n =n (a 1+a n )2=n ×362=234.∴n =13,S 13=13a 7=234.∴a 7=18.6.一个有11项的等差数列,奇数项之和为30,则它的中间项为( )A .8B .7C .6D .5【答案】 D 【解析】 S 奇=6a 1+6×52×2d =30,a 1+5d =5,S 偶=5a 2+5×42×2d =5(a 1+5d )=25,a 中=S 奇-S 偶=30-25=5.7.若两个等差数列{a n }和{b n }的前n 项和分别是S n ,T n ,已知S nT n=7n n +3,则a 5b 5等于( ) A .7 B.23 C.278 D.214【答案】 D【解析】 a 5b 5=2a 52b 5=a 1+a 9b 1+b 9=92(a 1+a 9)92(b 1+b 9)=S 9T 9=214.8.已知数列{a n }中,a 1=-60,a n +1=a n +3,则|a 1|+|a 2|+|a 3|+…+|a 30|等于( )A .445B .765C .1 080D .1 305【答案】 B【解析】 a n +1-a n =3,∴{a n }为等差数列. ∴a n =-60+(n -1)×3,即a n =3n -63.∴a n =0时,n =21,a n >0时,n >21,a n <0时,n <21.S ′30=|a 1|+|a 2|+|a 3|+…+|a 30|=-a 1-a 2-a 3-…-a 21+a 22+a 23+…+a 30 =-2(a 1+a 2+…+a 21)+S 30 =-2S 21+S 30 =765.二、填空题(每小题10分,共20分)9.设等差数列{a n }的前n 项和为S n ,若a 6=S 3=12,则数列的通项公式a n =________.【答案】 2n【解析】 设等差数列{a n }的公差d ,则⎩⎪⎨⎪⎧a 1+5d =12a 1+d =4,∴⎩⎪⎨⎪⎧a 1=2d =2,∴a n =2n .10.等差数列共有2n +1项,所有奇数项之和为132,所有偶数项之和为120,则n 等于________.【答案】 10【解析】 ∵等差数列共有2n +1项,∴S 奇-S 偶=a n +1=S 2n +12n +1.即132-120=132+1202n +1,求得n =10.【规律方法】 利用了等差数列前n 项和的性质,比较简捷. 三、解答题(每小题20分,共40分.解答应写出必要的文字说明、证明过程或演算步骤)11.在等差数列{a n }中,(1)已知a 6=10,S 5=5,求a 8和S 8; (2)若a 1=1,a n =-512,S n =-1 022,求d .【分析】 在等差数列中,五个重要的量,只要已知三个量,就可求出其他两个量,其中a 1和d 是两个最基本量,利用通项公式和前n 项和公式,先求出a 1和d ,然后再求前n 项和或特别的项.【解析】 (1)∵a 6=10,S 5=5,∴⎩⎪⎨⎪⎧a 1+5d =10,5a 1+10d =5.解方程组,得a 1=-5,d =3, ∴a 8=a 6+2d =10+2×3=16, S 8=8(a 1+a 8)2=44.(2)由S n =n (a 1+a n )2=n (-512+1)2=-1 022,解得n =4.又由a n =a 1+(n -1)d , 即-512=1+(4-1)d , 解得d =-171.【规律方法】 一般地,等差数列的五个基本量a 1,a n ,d ,n ,S n ,知道其中任意三个量可建立方程组,求出另外两个量,即“知三求二”.我们求解这类问题的通性通法,是先列方程组求出基本量a 1和d ,然后再用公式求出其他的量.12.已知等差数列{a n },且满足a n =40-4n ,求前多少项的和最大,最大值为多少?【解析】 方法一:(二次函数法)∵a n =40-4n ,∴a 1=40-4=36,∴S n =(a 1+a n )n 2=36+40-4n 2·n =-2n 2+38n=-2[n 2-19n +(192)2]+1922=-2(n -192)2+1922.令n -192=0,则n =192=9.5,且n ∈N +,∴当n =9或n =10时,S n 最大,∴S n 的最大值为S 9=S 10=-2(10-192)2+1922=180.方法二:(图象法)∵a n =40-4n ,∴a 1=40-4=36,a 2=40-4×2=32,∴d =32-36=-4,S n =na 1+n (n -1)2d =36n +n (n -1)2·(-4)=-2n 2+38n ,点(n ,S n )在二次函数y =-2x 2+38x 的图象上,S n 有最大值,其对称轴为x =-382×(-2)=192=9.5,∴当n =10或9时,S n 最大.∴S n 的最大值为S 9=S 10=-2×102+38×10=180.方法三:(通项法)∵a n =40-4n ,∴a 1=40-4=36,a 2=40-4×2=32,∴d =32-36=-4<0,数列{a n }为递减数列.令⎩⎪⎨⎪⎧ a n ≥0,a n +1≤0,有⎩⎪⎨⎪⎧40-4n ≥0,40-4(n +1)≤0,∴⎩⎪⎨⎪⎧n ≤10,n ≥9,即9≤n ≤10.当n =9或n =10时,S n 最大. ∴S n 的最大值为S 9=S 10=a 1+a 102×10=36+02×10=180.【规律方法】 对于方法一,一定要强调n ∈N +,也就是说用函数式求最值,不能忽略定义域,另外,三种方法中都得出n =9或n =10,需注意a m =0时,S m -1=S m 同为S n 的最值.欢迎您的下载,资料仅供参考!致力为企业和个人提供合同协议,策划案计划书,学习课件等等打造全网一站式需求。
第02节 等差数列及其前n 项和【考纲解读】【知识清单】一.等差数列的有关概念1.定义:等差数列定义:一般地,如果一个数列从第2项起,每一项与它的前一项的差等于同一个常数,那么这个数列就叫等差数列,这个常数叫做等差数列的公差,公差通常用字母d 表示.用递推公式表示为1(2)n n a a d n --=≥或1(1)n n a a d n +-=≥.2.等差数列的通项公式:1(1)n a a n d =+-;说明:等差数列(通常可称为A P 数列)的单调性:d 0>为递增数列,0d =为常数列,0d < 为递减数列.3.等差中项的概念:定义:如果a ,A ,b 成等差数列,那么A 叫做a 与b 的等差中项,其中2a bA +=. a ,A ,b 成等差数列⇔2a bA +=. 4.等差数列的前n 和的求和公式:11()(1)22n n n a a n n S na d +-==+. 5.要注意概念中的“从第2项起”.如果一个数列不是从第2项起,而是从第3项或第4项起,每一项与它前一项的差是同一个常数,那么此数列不是等差数列.6.注意区分等差数列定义中同一个常数与常数的区别. 对点练习:【2017届某某省某某市二模】在等差数列中,若,则_______.【答案】二、等差数列的前n 项和等差数列的前n 和的求和公式:11()(1)22n n n a a n n S na d +-==+. 对点练习:【2018届某某省“七彩阳光”联盟高三上期初联考】已知等差数列{}n a 的前n 项和为n S ,若14k S -=,9k S =,则k a =__________,1a 的最大值为__________.【答案】 54.【解析】15k k k a S S -=-=,因为()1592k k a S +==,又k 的最小值为2,可知1a 的最大值为4.三、等差数列的相关性质 1.等差数列的性质:(1)在等差数列{}n a 中,从第2项起,每一项是它相邻二项的等差中项;(2)在等差数列{}n a 中,相隔等距离的项组成的数列是等差数列, 如:1a ,3a ,5a ,7a ,……;3a ,8a ,13a ,18a ,……;(3)在等差数列{}n a 中,对任意m ,n N +∈,()n m a a n m d =+-,n ma a d n m-=-()m n ≠;(4)在等差数列{}n a 中,若m ,n ,p ,q N +∈且m n p q +=+,则m n p q a a a a +=+,特殊地,2m p q =+时,则2m p q a a a =+,m a 是p q a a 、的等差中项.(5)等差数列被均匀分段求和后,得到的数列仍是等差数列,即232,,n n n n n S S S S S --成等差数列. (6)两个等差数列{}n a 与{}n b 的和差的数列{}n n a b ±仍为等差数列. (7)若数列{}n a 是等差数列,则{}n ka 仍为等差数列.2.设数列{}n a 是等差数列,且公差为d ,(Ⅰ)若项数为偶数,设共有2n 项,则①-S S nd =奇偶; ②1n n S a S a +=奇偶;(Ⅱ)若项数为奇数,设共有21n -项,则①S S -偶奇n a a ==中(中间项);②1S nS n =-奇偶. 3.(),p q a q a p p q ==≠,则0p q a +=,m n m n S S S mnd +=++.4.如果两个等差数列有公共项,那么由它们的公共项顺次组成的新数列也是等差数列,且新等差数列的公差是两个原等差数列公差的最小公倍数.5.若{}n a 与{}n b 为等差数列,且前n 项和分别为n S 与'n S ,则2121'm m m m a S b S --=. 6.等差数列的增减性:0d >时为递增数列,且当10a <时前n 项和n S 有最小值.0d <时为递减数列,且当10a >时前n 项和n S 有最大值. 对点练习:1.在等差数列{}n a 中,已知3810a a +=,则753a a += ( ) A .10 B .18 C .20 D .28 【答案】C2.已知等差数列}{n a 的前n 项和为n S ,满足95S S =,且01>a ,则n S 中最大的是( ) A .6S B .7S C .8S D .15S 【答案】B【解析】由95S S =,得()67897820a a a a a a +++=+=,由01>a 知,0,087<>a a ,所以7S 最大,故B 正确.【考点深度剖析】等差数列的性质、通项公式和前n 项和公式构成等差数列的重要内容,在历届高考中必考,既有独立考查的情况,也有与等比数列等其它知识内容综合考查的情况.选择题、填空题、解答题多种题型加以考查.【重点难点突破】考点1 等差数列的定义、通项公式、基本运算【1-1】【2017全国卷1(理)】记n S 为等差数列{}n a 的前n 项和.若4524a a +=,68S =,则{}n a 的公 差为( ). A .1B .2C .4D .8【答案】C【1-2】【2017全国卷2(理))】等差数列{}n a 的前n 项和为n S ,33a =,410S =,则11nk kS ==∑. 【答案】21nn + 【解析】设{}n a 首项为1a ,公差为d .则3123a a d =+=, 414610S a d =+=,求得11a =,1d =,则n a n =,()12n n n S +=,()()112222122311nk kS n n n n ==++++⨯⨯-+∑11111112122311n n n n ⎛⎫=-+-++-+-= ⎪-+⎝⎭122111n n n ⎛⎫-=⎪++⎝⎭.【1-3】【2017届某某市耀华中学二模】已知等差数列{}n a 的前项和为n S ,且2142S =,若记2119132aa a nb --=,则数列{}n b ( )A. 是等差数列但不是等比数列B. 是等比数列但不是等差数列C. 既是等差数列又是等比数列D. 既不是等差数列又不是等比数列 【答案】C【领悟技法】1.等差数列的四种判断方法(1) 定义法:对于数列{}n a ,若d a a n n =-+1()n N ∈*(常数),则数列{}n a 是等差数列; (2) 等差中项:对于数列{}n a ,若212+++=n n n a a a ()n N ∈*,则数列{}n a 是等差数列; (3)通项公式:n a pn q =+(,p q 为常数,n N ∈*)⇔{}n a 是等差数列; (4)前n 项和公式:2n S An Bn =+(,A B 为常数, n N ∈*)⇔{}n a 是等差数列; (5){}n a 是等差数列⇔n S n ⎧⎫⎨⎬⎩⎭是等差数列. 2.活用方程思想和化归思想在解有关等差数列的问题时可以考虑化归为1a 和d 等基本量,通过建立方程(组)获得解.即等差数列的通项公式1(1)n a a n d =+-及前n 项和公式11()(1)22n n n a a n n S na d +-==+,共涉及五个量1,,,,n n a d n a S ,知其中三个就能求另外两个,即知三求二,多利用方程组的思想,体现了用方程的思想解决问题,注意要弄准它们的值.运用方程的思想解等差数列是常见题型,解决此类问题需要抓住基本量1a 、d ,掌握好设未知数、列出方程、解方程三个环节,常通过“设而不求,整体代入”来简化运算.3.特殊设法:三个数成等差数列,一般设为,,a d a a d -+;四个数成等差数列,一般设为3,,,3a d a d a d a d --++.这对已知和,求数列各项,运算很方便.4.若判断一个数列既不是等差数列又不是等比数列,只需用123,,a a a 验证即可. 5.等差数列的前n 项和公式若已知首项1a 和末项n a ,则1()2n n n a a S +=,或等差数列{a n }的首项是1a ,公差是d ,则其前n 项和公式为1(1)2n n n S na d -=+. 【触类旁通】【变式一】【2018届某某省某某市西北师X 大学附属中学高三一调】在《X 丘建算经》有一道题:“今有女子不善织布,逐日所织的布同数递减,初日织五尺,末一日织一尺,计织三十日,问共织布几何?” ( ) A.尺 B. 尺 C.尺 D.尺【答案】C【变式二】【2018届某某省某某市高三调研性检测】数列{}n a 满足1111,021n n n a a a a ++=+=-.(Ⅰ)求证:数列1n a ⎧⎫⎨⎬⎩⎭是等差数列;(Ⅱ)若数列{}n b 满足1122,1n nn n b a b b a +==+,求{}n b 的前n 项和n S . 【答案】(Ⅰ)证明见解析 (Ⅱ)()12326n n S n +=-⋅+【解析】试题分析:(1)先依据题设条件将11021n n n a a a +++=-变形为1112n na a +-=,进而借助等差数列的定义证明数列1n a ⎧⎫⎨⎬⎩⎭是等差数列;(2)借助(1)的结论可求得()112121n n n a =+-=-,进而依据112n n n n b a b a ++=⋅求得1222n nn n a b -=⨯= 从而求得()212n n b n =-⋅,然后与运用错位相减法求得()12326n n S n +=-⋅+:解:(Ⅰ)若10n a +=,则0n a =,这与11a =矛盾, ∴10n a +≠,由已知得1120n n n n a a a a ++-+=,∴1112n na a +-=, 故数列{}n a 是以111a =为首项,2为公差的等差数列. (Ⅱ)由(Ⅰ)可知,()1112121n n a =+-=-, 由112n n n n b ab a ++=⋅可知112n n n n a b a b ++=.又112a b = ∴1222n nn n a b -=⨯= ∴()212n n b n =-⋅,∴()123123252212n n S n =⋅+⋅+⋅++-⋅, 则()23412123252212n n S n +=⋅+⋅+⋅++-⋅,∴()()231122222222123226n n n n S n n ++-=+⋅+⋅++⋅--⋅=-⋅-,∴()12326n n S n +=-⋅+考点2 等差数列的性质【2-1】【某某省武邑中学2018届高三上学期第二次调研数学(理)】数列{}n a 满足112n n n a a a -+=+()2n ≥,且1359a a a ++=, 24612a a a ++=,则345a a a ++=( ) A. 9 B. 10 C. 11 D. 12 【答案】D【2-2】【某某省某某一中2018届高三第二次月考】在数列{}n a 中, 28a =, 52a =,且122n n n a a a ++-=(*n N ∈),则1210a a a +++的值是( )A. -10B. 10C. 50D. 70【答案】C【解析】由122n n n a a a ++-=得122n n n a a a ++=+,即数列{}n a 是等差数列,由2582a a ==,,可得1102a d ==-,,,所以212n a n =-+,,当1n 6≤≤时, 0n a ≥,当7n ≥时, 0n a <,所以1210610250a a a S S +++=-=,选C .【2-3】 【2017届某某某某市第三中学高三三模】已知函数()f x 在()1,-+∞上单调,且函数()2y f x =-的图象关于1x =对称,若数列{}n a 是公差不为0的等差数列,且()()5051f a f a =,则{}n a 的前100项的和为( )A. 200-B. 100-C. 0D. 50- 【答案】B【领悟技法】1. 等差数列的性质是等差数列的定义、通项公式以及前n 项和公式等基础知识的推广与变形,熟练掌握和灵活应用这些性质可以有效、方便、快捷地解决许多等差数列问题.2.等差数列的性质多与其下标有关,解题需多注意观察,发现其联系,加以应用, 故应用等差数列的性质解答问题的关键是寻找项的序号之间的关系.3.应用等差数列的性质要注意结合其通项公式、前n 项和公式.4.解综合题的成败在于审清题目,弄懂来龙去脉,透过给定信息的表象,抓住问题的本质,揭示问题的内在联系和隐含条件,明确解题方向、形成解题策略. 【触类旁通】【变式一】【2017届某某省某某市高三下第二次联考】设等差数列{}n a 的前n 项和为n S ,已知()355134a a -+=, ()388132a a -+=,则下列选项正确的是( )A. 1212S =, 58a a >B. 1224S =, 58a a >C. 1212S =, 58a a <D. 1224S =, 58a a < 【答案】A【解析】由()355134a a -+=, ()388132a a -+=可得:()()33558813(1)1,13(1)1a a a a -+-=-+-=-,构造函数3()f x x x =+,显然函数是奇函数且为增函数,所以5858(1)11(1)11f a f a a a -=>-=-⇒->-, 58a a >,又58(1)(1)0f a f a -+-=所以58(1)(1)a a -=--所以582a a +=,故112125812()6()122a a S a a +==+=【变式二】【”超级全能生”2018届高考全国卷26省9月联考乙卷】已知数列{}{},n n a b 满足1211,2,1a a b ===-,且对任意的正整数m,n,p,q ,当m n p q +=+时,都有m n p q a b a b -=-,则()2018112018i i i a b =∑-的值是__________. 【答案】2019【解析】由题意可得2112a b a b -=-, 22b =-, 3122,a b a b -=-得33a =,又11n n n n a b a b ++-=-,11110n n n n a b a b a b +++=+==+=,即,2n n n n n a b a b a =--=,原式可化为当m+n=p+q 时m n p q a a a a +=+,即{}n a 为等差列, n a n =, ()2018112018i i i a b =∑-=()20181122018i i a =∑=2019,填2019.考点3 等差数列的前n 项和公式的综合应用【3-1】【2017届某某省黄陵中学高三(重点班)模拟一】若数列{}n a 满足115a =且1332n n a a +=-,则使10k k a a +⋅<的k 的值为( )A. 21B. 22C. 23D. 24 【答案】C【3-2】【2017届某某某某市高三上基础测试】设等差数列{}n a 的前n 项和为n S ,已知316a =,610a =,则公差d =;n S 为最大值时的n =.【答案】2d =-10n =或11【解析】63(63),10163,2a a d d d =+-∴=+∴=-,因为31(31)a a d =+-,1162(2)a ∴=+⨯-,120a ∴=,221n S n n ∴=-+,当212(1)n =-⨯-,由n ∈Z 得10n =或11时,n S 为最大值.【3-3】【2017届某某省池州市东至县高三12月联考】已知n S 是等差数列{}n a 的前n 项和,且675S S S >>,给出下列五个命题:①0d <;②110S >;③120S <;④数列{}n S 中的最大项为11S ;⑤67a a >,其中正确命题的个数为( ) A. 2 B. 3 C. 4 D. 5 【答案】B【领悟技法】求等差数列前n 项和的最值,常用的方法:1.利用等差数列的单调性或性质,求出其正负转折项,便可求得和的最值.当10a >,0d <时,n S 有最大值;10a <,0d >时,n S 有最小值;若已知n a ,则n S 最值时n 的值(n N +∈)则当10a >,0d <,满足100n n a a +≥⎧⎨≤⎩的项数n 使得n S 取最大值,(2)当10a <,0d >时,满足100n n a a +≤⎧⎨≥⎩的项数n 使得n S 取最小值.2.利用等差数列的前n 项和:2n S An Bn =+(,A B 为常数, n N ∈*)为二次函数,通过配方或借助图像,二次函数的性质,转化为二次函数的最值的方法求解;有时利用数列的单调性(0d >,递增;0d <,递减);3. 利用数列中最大项和最小项的求法:求最大项的方法:设n a 为最大项,则有11n n nn a a a a -+≥⎧⎨≥⎩;求最小项的方法:设n a 为最小项,则有11n n n n a a a a -+≤⎧⎨≤⎩.只需将等差数列的前n 项和1,2,3,n =依次看成数列{}n S ,利用数列中最大项和最小项的求法即可.4.在解含绝对值的数列最值问题时,注意转化思想的应用. 【触类旁通】【变式一】【2017某某卷6】已知等差数列{a n }的公差为d ,前n 项和为S n ,则“d >0”是“S 4 + S 6>2S 5”的A .充分不必要条件B .必要不充分条件C .充分必要条件D .既不充分也不必要条件【答案】C【变式二】【2018届某某省某某市部分学校新高三起点调研】设等差数列{}n a 满足3736a a +=,46275a a =,且1n n a a +有最小值,则这个最小值为__________.【答案】-12【解析】因为数列{}n a 是等差数列,且3736a a +=,所以4636a a +=,4646275,,a a a a =∴是一元二次方程2362750t t -+=的二根,由2362750t t -+=得()()25110t t --=, 125t ∴=或211t =,当4625,11a a ==时, 6411257642a a d --===--, ()44753n a a n d n ∴=+-=-+,当10,0n n a a +><时, 1n n a a +取得最小值,由()7530{71530n n -+>-++<解得465377n <<, 7n ∴=时, 1n n a a +取得最小值,此时()781min 4,3,12n n a a a a +==-=-,当4611,25a a ==时, 6425117642a a d --===-, ()44717n a a n d n ∴=+-=-,当10,0n n a a +时, 1n n a a +取得最小值,由()7170{71170n n -<+->解得101777n <<, 2n ∴=时, 1n n a a +取得最小值,此时()231min 3,4,12n n a a a a +=-==-, 故答案为12-. 【易错试题常警惕】易错典例:在等差数列{}n a 中,已知a 1=20,前n 项和为n S ,且S 10=S 15,求当n 取何值时,n S 有最大值,并求出它的最大值.【错解一】 设公差为d ,∵S 10=S 15,∴10×20+10×92d =15×20+15×142 d.得d =-53,a n =20-(n -1)·53.当a n >0时,20-(n -1)·53>0,∴n<13.∴n=12时,S n 最大,S 12=12×20+12×112×⎝ ⎛⎭⎪⎫-53=130.当n =12时,S n 有最大值S 12=130.【错解二】 由a 1=20,S 10=S 15,解得公差d =-53,令⎩⎪⎨⎪⎧20+(n -1)⎝ ⎛⎭⎪⎫-53>0, ①20+n ⎝ ⎛⎭⎪⎫-53≤0, ② 由①得n <13,由②得n≥12,∴n=12时,S n 有最大值S 12=130.易错分析: 错解一中仅解不等式a n >0不能保证S n 最大,也可能a n +1>0,应有a n ≥0且a n +1≤0. 错解二中仅解a n +1≤0也不能保证S n 最大,也可能a n ≤0,应保证a n ≥0才行. 正确解析: 解法一:∵a 1=20,S 10=S 15,∴10×20+10×92d =15×20+15×142 d.∴d=-53. ∴a n =20+(n -1)×⎝ ⎛⎭⎪⎫-53=-53n +653.∴a 13=0.即当n≤12时,a n >0,n≥14时,a n <0.∴当n =12或13时,S n 取得最大值,且最大值为S 12=S 13=12×20+12×112×⎝ ⎛⎭⎪⎫-53=130.解法二:同解法一,求得d =-53,∴S n =20n +n (n -1)2·⎝ ⎛⎭⎪⎫-53=-56n 2+1256n=-56⎝ ⎛⎭⎪⎫n -2522+3 12524.∵n∈N *,∴当n =12或13时,S n 有最大值,且最大值为S 12=S 13=130.解法三:同解法一,求得d =-53,又由S 10=S 15,得a 11+a 12+a 13+a 14+a 15=0,∴5a 13=0,即a 13=0.又a 1>0,∴a 1,a 2,…,a 12均为正数.而a 14及以后各项均为负数, ∴当n =12或13时,S n 有最大值,且最大值为S 12=S 13=130.温馨提醒:1.解决等差数列前n 项和最值问题时一般利用通项不等式组法,即①当a 1>0,d <0时,S n 最大⇔100n n a a +≥⎧⎨≤⎩;②当a 1<0,d >0时,S n 最小⇔10n n a a +≤⎧⎨≥⎩.2.在关于正整数n 的二次函数中其取最值的点要根据正整数距离二次函数的对称轴的远近而定.3.等差数列的基本运算中,容易出现的问题主要有两个方面:一是忽视题中的条件限制,如公差与公比的符号、大小等,导致增解;二是不能灵活利用等差(比)数列的基本性质转化已知条件,导致列出的方程或方程组较为复杂,增大运算量.【学科素养提升之思想方法篇】----函数思想在数列求最值问题中的应用数列是特殊的函数关系,因此常利用函数的思想解决数列中最值问题 1.等差数列的前n 项和与函数的关系 等差数列的前n 项和公式为1(1)2n n n S na d -=+可变形为S n =d 2n 2+⎝ ⎛⎭⎪⎫a 1-d 2n ,令A =d 2,B =a 1-d 2,则S n =An 2+Bn .当A ≠0,即d ≠0时,S n 是关于n 的二次函数,(n ,S n )在二次函数y =Ax 2+Bx 的图象上,为抛物线y =Ax 2+Bx 上一群孤立的点.利用此性质可解决前n 项和S n 的最值问题. 2.等差数列前n 项和的最值(1)若等差数列的首项a 1>0,公差d <0,则等差数列是递减数列,正数项有限,前n 项和有最大值,且满足⎩⎪⎨⎪⎧ a n ≥0,a n +1≤0.(2)若等差数列的首项a 1<0,公差d >0,则等差数列是递增数列,负数项有限,前n 项和有最小值,且满足⎩⎪⎨⎪⎧a n ≤0,a n +1≥0.3.求等差数列前n 项和的最值的方法(1)二次函数法:用求二次函数最值的方法(配方法)求其前n 项和的最值,但要注意n ∈N *. (2)图象法:利用二次函数图象的对称性来确定n 的值,使S n 取得最值.(3)项的符号法:当a 1>0,d <0时,满足⎩⎪⎨⎪⎧a n ≥0,a n +1≤0的项数n ,使S n 取最大值;当a 1<0,d >0时,满足⎩⎪⎨⎪⎧a n ≤0,a n +1≥0的项数n ,使S n 取最小值,即正项变负项处最大,负项变正项处最小,若有零项,则使S n 取最值的n 有两个.【典例】【2018届某某省某某市五十五中开学考试】已知数列{}n a 是一个等差数列,且21a =,55a =-. (Ⅰ)求{}n a 的通项n a ;(Ⅱ)求{}n a 前n 项和n S 的最大值.【答案】(1)25n a n =-+;(2)n S 的最大值为4. 【解析】方得()224n S n =--+,根据二次函数图象及性质可知,当2n =时,前n 项和取得最大值,最大值为4.等差数列前n 项和22n S An Bn =+,因此可以看出二次函数或一次函数(0d =时)来求最值,考查数列与函数.试题解析:(1)525125252a a d ---===---, 所以()()()2212225n a a n d n n =+-=+-⨯-=-+; (2)13a =,()()213242n n n S n n n -=+⨯-=-+ 当2n =时,前n 项和取得最大值,最大值为4。
第3讲 等比数列及其前n 项和一、知识梳理1.等比数列的有关概念 (1)定义:①文字语言:一个数列从第2项起,每一项与它的前一项的比都等于同一个常数(非零). ②符号语言:a n +1a n=q (n ∈N *,q 为非零常数).(2)等比中项:如果a ,G ,b 成等比数列,那么G 叫做a 与b 的等比中项.即G 2=ab . 2.等比数列的有关公式 (1)通项公式:a n =a 1q n -1.(2)前n 项和公式:S n =⎪⎨⎪⎧na 1,q =1,a 1(1-q n )1-q =a 1-a n q 1-q ,q ≠1.3.等比数列的性质已知数列{a n }是等比数列,S n 是其前n 项和.(m ,n ,p ,q ,r ,k ∈N *) (1)若m +n =p +q =2r ,则a m ·a n =a p ·a q =a 2r ; (2)数列a m ,a m +k ,a m +2k ,a m +3k ,…仍是等比数列;(3)数列S m ,S 2m -S m ,S 3m -S 2m ,…仍是等比数列(此时{a n }的公比q ≠-1). 常用结论1.等比数列的单调性当q >1,a 1>0或0<q <1,a 1<0时,{a n }是递增数列; 当q >1,a 1<0或0<q <1,a 1>0时,{a n }是递减数列; 当q =1时,{a n }是常数列. 2.等比数列与指数函数的关系当q ≠1时,a n =a 1q ·q n,可以看成函数y =cq x ,是一个不为0的常数与指数函数的乘积,因此数列{a n }各项所对应的点都在函数y =cq x 的图象上.3.等比数列{a n }的前n 项和S n =A +B ·C n ⇔A +B =0,公比q =C (A ,B ,C 均不为零) 二、习题改编1.(必修5P53练习T3改编)对任意等比数列{a n },下列说法一定正确的是( ) A .a 1,a 3,a 9成等比数列 B .a 2,a 3,a 6成等比数列 C .a 2,a 4,a 8成等比数列D .a 3,a 6,a 9成等比数列解析:选 D.设等比数列的公比为q ,则a 3=a 1q 2,a 6=a 1q 5,a 9=a 1q 8,满足(a 1q 5)2=a 1q 2·a 1q 8,即a 26=a 3·a 9.2.(必修5P53习题T1改编)已知等比数列{a n }的前n 项和为S n ,且a 1+a 3=54,a 2+a 4=52,则q = . 答案:23.(必修5P54A 组T8改编)在9与243中间插入两个数,使它们同这两个数成等比数列,则这两个数为 .解析:设该数列的公比为q ,由题意知, 243=9×q 3,得q 3=27,所以q =3.所以插入的两个数分别为9×3=27,27×3=81. 答案:27,81一、思考辨析判断正误(正确的打“√”,错误的打“×”)(1)若一个数列从第2项起每一项与它的前一项的比都是常数,则这个数列是等比数列.( )(2)三个数a ,b ,c 成等比数列的充要条件是b 2=ac .( ) (3)满足a n +1=qa n (n ∈N *,q 为常数)的数列{a n }为等比数列.( )(4)如果{a n }为等比数列,b n =a 2n -1+a 2n ,则数列{b n }也是等比数列.( ) (5)等比数列中不存在数值为0的项.( ) 答案:(1)× (2)× (3)× (4)× (5)√ 二、易错纠偏常见误区(1)运用等比数列的前n 项和公式时,忽略q =1的情况; (2)“G 2=ab ”是“a ,G ,b 成等比数列”的必要不充分条件; (3)对等比数列项的符号不能作出正确判断.1.已知在等比数列{a n }中,a 3=7,前三项之和S 3=21,则公比q 的值是( ) A .1 B .-12C .1或-12D .-1或12解析:选C.当q =1时,a n=7,S 3=21,符合题意;当q ≠1时,⎩⎪⎨⎪⎧a 1q 2=7,a 1(1-q 3)1-q =21,得q =-12.综上,q 的值是1或-12,故选C.2.在等比数列{a n }中,a 3=2,a 7=8,则a 5= .解析:因数列{a n }为等比数列,则a 25=a 3a 7=16,又a 3>0,所以a 5=4. 答案:43.在等比数列{a n }中,a 2=4,a 10=16,则a 2和a 10的等比中项为 . 解析:设a 2与a 10的等比中项为G ,因为a 2=4,a 10=16,所以G 2=4×16=64,所以G =±8.答案:±8等比数列的基本运算(师生共研)(1)(一题多解)(2019·高考全国卷Ⅰ)记S n 为等比数列{a n }的前n 项和.若a 1=1,S 3=34,则S 4= .(2)已知{a n }是各项均为正数的等比数列,a 1=2,a 3=2a 2+16.则a n = .【解析】 (1)通解:设等比数列{a n }的公比为q ,由a 1=1及S 3=34,易知q ≠1.把a 1=1代入S 3=a 1(1-q 3)1-q=34,得1+q +q 2=34,解得q =-12,所以S 4=a 1(1-q 4)1-q=1×⎣⎡⎦⎤1-⎝⎛⎭⎫-1241-⎝⎛⎭⎫-12=58. 优解一:设等比数列{a n }的公比为q ,因为S 3=a 1+a 2+a 3=a 1(1+q +q 2)=34,a 1=1,所以1+q +q 2=34,解得q =-12,所以a 4=a 1·q 3=⎝⎛⎭⎫-123=-18,所以S 4=S 3+a 4=34+⎝⎛⎭⎫-18=58. 优解二:设等比数列{a n }的公比为q ,由题意易知q ≠1.设数列{a n }的前n 项和S n =A (1-q n )(其中A 为常数),则a 1=S 1=A (1-q )=1 ①,S 3=A (1-q 3)=34 ②,由①②可得A =23,q =-12.所以S 4=23×⎣⎡⎦⎤1-⎝⎛⎭⎫-124=58.(2)设{a n }的公比为q ,由题设得 2q 2=4q +16,即q 2-2q -8=0. 解得q =-2(舍去)或q =4.因此{a n }的通项公式为a n =2×4n -1=22n -1. 【答案】 (1)58(2)22n -1解决等比数列有关问题的常见数学思想(1)方程思想:等比数列中有五个量a 1,n ,q ,a n ,S n ,一般可以“知三求二”,通过列方程(组)求关键量a 1和q ,问题可迎刃而解.(2)分类讨论思想:因为等比数列的前n 项和公式涉及对公比q 的分类讨论,所以当某一参数为公比进行求和时,就要对参数是否为1进行分类讨论.(3)整体思想:应用等比数列前n 项和公式时,常把q n 或a 11-q当成整体进行求解.1.(一题多解)(2020·福州市质量检测)等比数列{a n }的各项均为正实数,其前n 项和为S n .若a 3=4,a 2a 6=64,则S 5=( )A .32B .31C .64D .63解析:选B.通解:设首项为a 1,公比为q ,因为a n >0,所以q >0,由条件得⎩⎪⎨⎪⎧a 1·q 2=4,a 1q ·a 1q 5=64,解得⎩⎪⎨⎪⎧a 1=1,q =2,所以S 5=31,故选B.优解:设首项为a 1,公比为q ,因为a n >0,所以q >0,由a 2a 6=a 24=64,a 3=4,得q =2,a 1=1,所以S 5=31,故选B.2.(2019·高考全国卷Ⅲ)已知各项均为正数的等比数列{a n }的前4项和为15,且a 5=3a 3+4a 1,则a 3=( )A .16B .8C .4D .2解析:选C.设等比数列{a n }的公比为q (q >0),由a 5=3a 3+4a 1,得a 1q 4=3a 1q 2+4a 1,得q 4-3q 2-4=0,令q 2=t ,则t 2-3t -4=0,解得t =4或t =-1(舍去),所以q 2=4,即q =2或q =-2(舍去).又S 4=a 1(1-q 4)1-q=15,所以a 1=1,所以a 3=a 1q 2=4.故选C.3.设等比数列{a n }的前n 项和为S n ,且满足a 6=8a 3,则( ) A .数列{a n }的公比为2 B .数列{a n }的公比为8 C.S 6S 3=8 D .S 6S 3=4解析:选A.因为等比数列{a n }的前n 项和为S n ,且满足a 6=8a 3,所以a 6a 3=q 3=8,解得q =2,所以S 6S 3=1-q 61-q 3=1+q 3=9.等比数列的判定与证明(典例迁移)(1)已知数列{a n }是等比数列,则下列命题不正确的是( ) A .数列{|a n |}是等比数列B .数列{a n a n +1}是等比数列C .数列⎩⎨⎧⎭⎬⎫1a n 是等比数列D .数列{lg a 2n}是等比数列 (2)已知数列{a n }的前n 项和为S n ,a 1=1,S n +1=4a n +2(n ∈N *),若b n =a n +1-2a n ,求证:{b n }是等比数列.【解】 (1)选D.因为数列{a n }是等比数列,所以a n +1a n =q .对于A ,|a n +1||a n |=⎪⎪⎪⎪⎪⎪a n +1a n =|q |,所以数列{|a n |}是等比数列,A 正确;对于B ,a n +1a n +2a n a n +1=q 2,所以数列{a n a n +1}是等比数列,B 正确;对于C ,1a n +11a n =a n a n +1=1q ,所以数列⎩⎨⎧⎭⎬⎫1a n 是等比数列,C 正确;对于D ,lg a 2n +1lg a 2n =2lg a n +12lg a n =lg a n +1lg a n,不一定是常数,所以D 错误. (2)证明:因为a n +2=S n +2-S n +1=4a n +1+2-4a n -2=4a n +1-4a n ,所以b n +1b n=a n +2-2a n +1a n +1-2a n =4a n +1-4a n -2a n +1a n +1-2a n =2a n +1-4a na n +1-2a n=2.因为S 2=a 1+a 2=4a 1+2,所以a 2=5. 所以b 1=a 2-2a 1=3.所以数列{b n }是首项为3,公比为2的等比数列.【迁移探究1】 (变问法)若本例(2)中的条件不变,试求{a n }的通项公式. 解:由(2)知b n =a n +1-2a n =3·2n -1, 所以a n +12n +1-a n 2n =34,故⎩⎨⎧⎭⎬⎫a n 2n 是首项为12,公差为34的等差数列.所以a n 2n =12+(n -1)·34=3n -14,所以a n =(3n -1)·2n -2.【迁移探究2】 (变条件)在本例(2)中,若c n =a n3n -1,证明:数列{c n }为等比数列.证明:由[迁移探究1]知,a n =(3n -1)·2n -2,所以c n =2n -2. 所以c n +1c n =2n -12n -2=2,又c 1=a 13×1-1=12,所以数列{c n }是首项为12,公比为2的等比数列.等比数列的判定方法(1)定义法:若a n +1a n =q (q 为非零常数)或a na n -1=q (q 为非零常数且n ≥2),则{a n }是等比数列.(2)中项公式法:若数列{a n }中a n ≠0且a 2n +1=a n ·a n +2(n ∈N *),则数列{a n }是等比数列.(3)通项公式法:若数列的通项公式可写成a n =c ·q n -1(c ,q 均为不为0的常数,n ∈N *),则{a n }是等比数列.(4)前n 项和公式法:若数列{a n }的前n 项和S n =k ·q n -k (k 为常数且k ≠0,q ≠0,1),则{a n }是等比数列.[提醒] (1)前两种方法是判定等比数列的常用方法,常用于证明;后两种方法常用于选择题、填空题中的判定.(2)若要判定一个数列不是等比数列,则只需判定存在连续三项不成等比数列即可.1.(一题多解)已知等比数列{a n }的前n 项和为S n =a ·2n -1+16,则a 的值为( )A .-13B.13 C .-12D .12解析:选A.法一:当n ≥2时,a n =S n -S n -1=a ·2n -1-a ·2n -2=a ·2n -2,当n =1时,a 1=S 1=a +16,所以a +16=a 2,所以a =-13.法二:因为等比数列的前n 项和S n =k ×q n -k ,则12a =-16,a =-13.2.(2019·高考全国卷Ⅱ节选)已知数列{a n }和{b n }满足a 1=1,b 1=0,4a n +1=3a n -b n +4,4b n +1=3b n -a n -4.证明:{a n +b n }是等比数列,{a n -b n }是等差数列.证明:由题设得4(a n +1+b n +1)=2(a n +b n ),即a n +1+b n +1=12(a n +b n ).又因为a 1+b 1=1,所以{a n +b n }是首项为1,公比为12的等比数列.由题设得4(a n +1-b n +1)=4(a n -b n )+8,即a n +1-b n +1=a n -b n +2. 又因为a 1-b 1=1,所以{a n -b n }是首项为1,公差为2的等差数列.等比数列的性质及应用(多维探究) 角度一 等比数列项的性质的应用(1)(2020·洛阳市第一次联考)在等比数列{a n }中,a 3,a 15是方程x 2+6x +2=0的两根,则a 2a 16a 9的值为( )A .-2+22B .- 2 C. 2D .-2或 2(2)等比数列{a n }的各项均为正数,且a 1a 5=4,则log 2a 1+log 2a 2+log 2a 3+log 2a 4+log 2a 5= .【解析】 (1)设等比数列{a n }的公比为q ,因为a 3,a 15是方程x 2+6x +2=0的两根,所以a 3·a 15=a 29=2,a 3+a 15=-6,所以a 3<0,a 15<0,则a 9=-2,所以a 2a 16a 9=a 29a 9=a 9=- 2.(2)由题意知a 1a 5=a 23=4,因为数列{a n }的各项均为正数,所以a 3=2.所以a 1a 2a 3a 4a 5=(a 1a 5)·(a 2a 4)·a 3=(a 23)2·a 3=a 53=25.所以log 2a 1+log 2a 2+log 2a 3+log 2a 4+log 2a 5=log 2(a 1a 2a 3a 4a 5)=log 225=5.【答案】 (1)B (2)5角度二 等比数列前n 项和的性质的应用(1)已知等比数列{a n }共有2n 项,其和为-240,且奇数项的和比偶数项的和大80,则公比q = .(2)设等比数列{a n }的前n 项和为S n ,若S 6S 3=12,则S 9S 3= .【解析】 (1)由题意,得⎩⎪⎨⎪⎧S 奇+S 偶=-240,S 奇-S 偶=80,解得⎩⎪⎨⎪⎧S 奇=-80,S 偶=-160,所以q =S 偶S 奇=-160-80=2.(2)设等比数列{a n }的公比为q ,因为S 6S 3=12,所以{a n }的公比q ≠1.由a 1(1-q 6)1-q÷a 1(1-q 3)1-q =12,得q 3=-12,所以S 9S 3=1-q 91-q 3=34. 【答案】 (1)2 (2)34等比数列性质应用问题的解题突破口等比数列的性质可以分为三类:一是通项公式的变形,二是等比中项公式的变形,三是前n 项和公式的变形,根据题目条件,认真分析,发现具体的变化特征即可找出解决问题的突破口.[提醒] 在应用相应性质解题时,要注意性质成立的前提条件,有时需要对性质进行适当变形.此外,解题时注意“设而不求”的运用.1.已知等比数列{a n }中,a 4+a 8=-2,则a 6(a 2+2a 6+a 10)的值为( ) A .4 B .6 C .8D .-9解析:选A.a 6(a 2+2a 6+a 10)=a 6a 2+2a 26+a 6a 10=a 24+2a 4a 8+a 28=(a 4+a 8)2,因为a 4+a 8=-2,所以a 6(a 2+2a 6+a 10)=4.2.在正项等比数列{a n }中,已知a 1a 2a 3=4,a 4a 5a 6=12,a n -1a n a n +1=324,则n 等于( ) A .12 B .13 C .14D .15解析:选 C.因为数列{a n }是各项均为正数的等比数列,所以a 1a 2a 3,a 4a 5a 6,a 7a 8a 9,a 10a 11a 12,…也成等比数列.不妨令b 1=a 1a 2a 3,b 2=a 4a 5a 6,则公比q =b 2b 1=124=3.所以b m =4×3m -1.令b m =324,即4×3m -1=324,解得m =5, 所以b 5=324,即a 13a 14a 15=324. 所以n =14.3.在等比数列{a n }中,若a 7+a 8+a 9+a 10=158,a 8a 9=-98,则1a 7+1a 8+1a 9+1a 10= .解析:因为1a 7+1a 10=a 7+a 10a 7a 10,1a 8+1a 9=a 8+a 9a 8a 9,由等比数列的性质知a 7a 10=a 8a 9, 所以1a 7+1a 8+1a 9+1a 10=a 7+a 8+a 9+a 10a 8a 9=158÷⎝⎛⎭⎫-98=-53. 答案:-53思想方法系列11 分类讨论思想求解数列问题(2020·武汉市调研测试)已知正项等比数列{a n }的前n 项和为S n ,满足a 1=1,a 3-4a 1=0.(1)求S n ;(2)令b n =a n -15,求T =|b 1|+|b 2|+…+|b 10|的值.【解】 (1){a n }是正项等比数列,由a 3-4a 1=0,所以a 1q 2-4a 1=0 所以q =2,则a n 的前n 项和S n =1-2n1-2=2n -1.(2)由(1)知a n =2n -1,当n ≥5时,b n =2n -1-15>0,n ≤4时,b n =2n -1-15<0, 所以T =-(b 1+b 2+b 3+b 4)+(b 5+b 6+…+b 10)=-(a 1+a 2+a 3+a 4-15×4)+(a 5+a 6+…+a 10-15×6)=-S 4+S 10-S 4+60-90 =S 10-2S 4-30=(210-1)-2×(24-1)-30 =210-25-29 =1 024-32-29 =963.分类讨论思想在数列中应用较多,常见的分类讨论有: (1)已知S n 与a n 的关系,要分n =1,n ≥2两种情况. (2)等比数列中遇到求和问题要分公比q =1,q ≠1讨论. (3)项数的奇、偶数讨论.(4)等比数列的单调性的判断注意与a 1,q 的取值的讨论.1.(2020·福建厦门模拟)设等比数列{a n }的前n 项和为S n ,若S n =2n +1+λ,则λ=( ) A .-2 B .-1 C .1D .2解析:选A.法一:当n =1时,a 1=S 1=4+λ. 当n ≥2时,a n =S n -S n -1=(2n +1+λ)-(2n+λ)=2n,此时a n +1a n =2n +12n =2.因为{a n }是等比数列,所以a 2a 1=2,即44+λ=2,解得λ=-2.故选A. 法二:依题意,a 1=S 1=4+λ,a 2=S 2-S 1=4,a 3=S 3-S 2=8,因为{a n }是等比数列,所以a 22=a 1·a 3,所以8(4+λ)=42,解得λ=-2.故选A.2.已知等比数列{a n }中a 2=1,则其前3项的和S 3的取值范围是( ) A .(-∞,-1]B .(-∞,0)∪[1,+∞)C .[3,+∞)D .(-∞,-1]∪[3,+∞)解析:选D.设等比数列{a n }的公比为q , 则S 3=a 1+a 2+a 3=a 2⎝⎛⎭⎫1q +1+q =1+q +1q . 当公比q >0时,S 3=1+q +1q≥1+2q ·1q=3,当且仅当q =1时,等号成立; 当公比q <0时,S 3=1-⎝⎛⎭⎫-q -1q ≤1-2 (-q )·⎝⎛⎭⎫-1q =-1,当且仅当q =-1时,等号成立.所以S 3∈(-∞,-1]∪[3,+∞).[基础题组练]1.(2020·广东六校第一次联考)等比数列{a n }的前n 项和为S n ,且4a 1,2a 2,a 3成等差数列.若a 1=1,则S 4=( )A .16B .15C .8D .7解析:选B.设公比为q ,由题意得4a 2=4a 1+a 3,即4a 1q =4a 1+a 1q 2,又a 1≠0,所以4q =4+q 2,解得q =2,所以S 4=1×(1-24)1-2=15,故选B.2.(2020·辽宁五校联考)各项为正数的等比数列{a n }中,a 4与a 14的等比中项为22,则log 2a 7+log 2a 11的值为( )A .1B .2C .3D .4解析:选C.由题意得a 4a 14=(22)2=8,由等比数列的性质,得a 4a 14=a 7a 11=8,所以log 2a 7+log 2a 11=log 2(a 7a 11)=log 28=3,故选C.3.(2020·辽宁部分重点高中联考)已知数列{a n }的前n 项和为S n ,满足S n =2a n -1,则{a n }的通项公式a n =( )A .2n -1B .2n -1 C .2n -1D .2n +1解析:选B.当n =1时,S 1=2a 1-1=a 1,所以a 1=1, 当n ≥2时,a n =S n -S n -1=2a n -2a n -1,所以a n =2a n -1, 因此a n =2n -1,故选B.4.(2020·长春市质量监测(一))已知S n 是等比数列{a n }的前n 项和,若公比q =2,则a 1+a 3+a 5S 6=( ) A.13 B.17 C.23D .37解析:选A.法一:由题意知a 1+a 3+a 5=a 1(1+22+24)=21a 1,而S 6=a 1(1-26)1-2=63a 1,所以a 1+a 3+a 5S 6=21a 163a 1=13,故选A.法二:由题意知S 6=a 1+a 2+a 3+a 4+a 5+a 6=a 1+a 3+a 5+(a 2+a 4+a 6)=a 1+a 3+a 5+2(a 1+a 3+a 5)=3(a 1+a 3+a 5),故a 1+a 3+a 5S 6=13,故选A.5.(2020·宁夏中卫一模)中国古代数学著作《算法统宗》中有这一个问题:“三百七十八里关,初步健步不为难,次日脚痛减一半,六朝才得到其关,要见次日行里数,请公仔细算相还.”其大意为:“有一个人走378里路,第一天健步行走,从第二天起脚痛每天走的路程为前一天的一半,走了6天后到达目的地.”则该人最后一天走的路程为( )A .24里B .12里C .6里D .3里解析:选C.记该人每天走的路程里数为{a n },可知{a n }是公比q =12的等比数列,由S 6=378,得S 6=a 1⎝⎛⎭⎫1-1261-12=378,解得a 1=192,所以a 6=192×125=6,故选C.6.(2019·高考全国卷Ⅰ)记S n 为等比数列{a n }的前n 项和.若a 1=13,a 24=a 6,则S 5= .解析:通解:设等比数列{a n }的公比为q ,因为a 24=a 6,所以(a 1q 3)2=a 1q 5,所以a 1q =1,又a 1=13,所以q =3,所以S 5=a 1(1-q 5)1-q =13×(1-35)1-3=1213.优解:设等比数列{a n }的公比为q ,因为a 24=a 6,所以a 2a 6=a 6,所以a 2=1,又a 1=13,所以q =3,所以S 5=a 1(1-q 5)1-q=13×(1-35)1-3=1213.答案:12137.(2020·陕西第二次质量检测)公比为2的等比数列{a n }的各项都是正数,且a 2a 12=16,则log 2a 15= .解析:等比数列{a n }的各项都是正数,且公比为2,a 2a 12=16,所以a 1qa 1q 11=16,即a 21q 12=16,所以a 1q 6=22,所以a 15=a 1q 14=a 1q 6(q 2)4=26,则log 2a 15=log 226=6. 答案:68.已知{a n }是递减的等比数列,且a 2=2,a 1+a 3=5,则{a n }的通项公式为 ;a 1a 2+a 2a 3+…+a n a n +1(n ∈N *)= .解析:由a 2=2,a 1+a 3=5,{a n }是递减的等比数列,得a 1=4,a 3=1,a n =4×⎝⎛⎭⎫12n -1,则a 1a 2+a 2a 3+…+a n a n +1是首项为8,公比为14的等比数列的前n 项和.故a 1a 2+a 2a 3+…+a n a n +1=8+2+12+…+8×⎝⎛⎭⎫14n -1=8×⎣⎡⎦⎤1-⎝⎛⎭⎫14n1-14=323×⎣⎡⎦⎤1-⎝⎛⎭⎫14n .答案:a n =4×⎝⎛⎭⎫12n -1323×⎣⎡⎦⎤1-⎝⎛⎭⎫14n 9.(2018·高考全国卷Ⅲ)等比数列{a n }中,a 1=1,a 5=4a 3. (1)求{a n }的通项公式;(2)记S n 为{a n }的前n 项和.若S m =63,求m . 解:(1)设{a n }的公比为q ,由题设得a n =q n -1. 由已知得q 4=4q 2,解得q =0(舍去),q =-2或q =2. 故a n =(-2)n -1或a n =2n -1.(2)若a n =(-2)n -1,则S n =1-(-2)n3.由S m =63得(-2)m =-188,此方程没有正整数解. 若a n =2n -1,则S n =2n -1.由S m =63得2m =64,解得m =6. 综上,m =6.10.已知数列{a n }满足a 1=1,na n +1=2(n +1)a n .设b n =a nn .(1)求b 1,b 2,b 3的值;(2)判断数列{b n }是否为等比数列,并说明理由. 解:(1)由条件可得a n +1=2(n +1)na n .将n =1代入得,a 2=4a 1,而a 1=1,所以,a 2=4, 将n =2代入得,a 3=3a 2,所以,a 3=12, 从而b 1=1,b 2=2,b 3=4.(2){b n }是首项为1,公比为2的等比数列.由条件可得a n +1n +1=2a nn ,即b n +1=2b n ,又b 1=1,所以{b n }是首项为1,公比为2的等比数列.[综合题组练]1.(2020·河南郑州三测)已知数列{a n },{b n }满足a 1=b 1=1,a n +1-a n =b n +1b n=3,n ∈N *,则数列{ba n }的前10项和为( )A.12×(310-1) B.18×(910-1) C.126×(279-1) D .126×(2710-1)解析:选D.因为a n +1-a n =b n +1b n=3,所以{a n }为等差数列,公差为3,{b n }为等比数列,公比为3,所以a n =1+3(n -1)=3n -2,b n =1×3n -1=3n -1,所以ba n =33n -3=27n -1,所以{ba n }是以1为首项,27为公比的等比数列,所以{ba n }的前10项和为1×(1-2710)1-27=126×(2710-1),故选D.2.(2020·陕西榆林二模)已知数列{a n }满足a 1=2,na n +1-(n +1)a n =2(n 2+n ),若b n =22a n ,则{b n }的前n 项和S n = .解析:由na n +1-(n +1)a n =2(n 2+n ),得a n +1n +1-a n n =2,又a 1=2,所以数列⎩⎨⎧⎭⎬⎫a n n 是首项为2,公差为2的等差数列,所以a nn =2+2(n -1)=2n ,即a n =2n 2,所以b n =22a n =4n ,所以数列{b n }是首项为4,公比为4的等比数列,所以S n =4-4n +11-4=4n +1-43.答案:4n +1-433.(2020·昆明市诊断测试)已知数列{a n }是等比数列,公比q <1,前n 项和为S n ,若a 2=2,S 3=7.(1)求{a n }的通项公式;(2)设m ∈Z ,若S n <m 恒成立,求m 的最小值.解:(1)由a 2=2,S 3=7得⎩⎪⎨⎪⎧a 1q =2,a 1+a 1q +a 1q 2=7,解得⎩⎪⎨⎪⎧a 1=4,q =12或⎩⎪⎨⎪⎧a 1=1,q =2.(舍去)所以a n =4·⎝⎛⎭⎫12n -1=⎝⎛⎭⎫12n -3.(2)由(1)可知,S n =a 1(1-q n)1-q =4⎝⎛⎭⎫1-12n 1-12=8⎝⎛⎭⎫1-12n <8. 因为a n >0,所以S n 单调递增. 又S 3=7,所以当n ≥4时,S n ∈(7,8). 又S n <m 恒成立,m ∈Z ,所以m 的最小值为8.4.(2020·山西长治二模)S n 为等比数列{a n }的前n 项和,已知a 4=9a 2,S 3=13,且公比q >0.(1)求a n 及S n ;(2)是否存在常数λ,使得数列{S n +λ}是等比数列?若存在,求λ的值;若不存在,请说明现由.解:(1)由题意可得⎩⎪⎨⎪⎧a 1q 3=9a 1q ,a 1(1-q 3)1-q =13,q >0,解得a 1=1,q =3,所以a n =3n -1,S n =1-3n 1-3=3n -12.(2)假设存在常数λ,使得数列{S n +λ}是等比数列, 因为S 1+λ=λ+1,S 2+λ=λ+4,S 3+λ=λ+13,所以(λ+4)2=(λ+1)(λ+13),解得λ=12,此时S n +12=12×3n ,则S n +1+12S n +12=3,故存在常数λ=12,使得数列⎩⎨⎧⎭⎬⎫S n +12是等比数列.。
班级__________ 姓名_____________ 学号___________ 得分__________一、选择题(本大题共12小题,每小题5分,在每小题给出的四个选择中,只有一个是符合题目要求的.) 1. 【2022届陕西省高三下学期教学质检二数学(理)】已知等比数列{}n a 的前n 项和为n S .若321510,9S a a a =+=,则1a =( )。
A .19 B .19- C .13D .13-【答案】A 【解析】试题分析:由已知可得⎪⎩⎪⎨⎧==+91041211q a q a a ,解之得⎪⎩⎪⎨⎧==3911q a ,应选A 。
2.【2022届福建厦门外国语学校高三5月适应性数学】我国明朝有名数学家程大位在其名著《算法统宗》中记载了如下数学问题:“远看巍巍塔七层,红光点点倍加增,共灯三百八十一,请问尖头几盏灯”。
诗中描述的这个宝塔古称浮屠,本题说它一共有7层,每层悬挂的红灯数是上一层的2倍,共有381盏灯,那么塔顶有( )盏灯。
A .2B .3C .5D .6【答案】B【解析】3. 【海淀区高三年纪其次学期其中练习】在数列{}n a 中,“12,2,3,4,n n a a n -==”是“{}n a 是公比为2的等比数列”的( ) A .充分不必要条件 B .必要不充分条件 C .充要条件D .既不充分也不必要条件【答案】B4. 【原创题】设等比数列{}n a 的前n 项和为n S ,满足0,1n a q >>,且3520a a +=,2664a a ⋅=,则5S =( )A .31B .36C .42D .48 【答案】A【解析】由已知得,3564a a ⋅=,又3520a a +=,则354,16a a ==,故24q =,2q =,11a =,所以55123112S -==-.5. 【改编题】函数21(3)y x =--图象上存在不同的三点到原点的距离构成等比数列,则以下不行能...成为公比的数是( ) A .21B 2.1 D .33【答案】A【解析】函数21(3)y x =--2,最大值为4,故2122q ≤≤,即22q ≤≤122<,因此选A. 6.【2022届四川凉山州高三第三次诊断数学】《庄子·天下篇》中记述了一个有名命题:“一尺之棰,日取其半,万世不竭.”反映这个命题本质的式子是( )A .21111122222n n +++⋅⋅⋅+=- B .211112222n +++⋅⋅⋅++⋅⋅⋅<C .21111222n ++⋅⋅⋅+=D .21111222n ++⋅⋅⋅++⋅⋅⋅<【答案】D 【解析】试题分析:据已知可得每次截取的长度构造一个以12为首项,以12为公比的等比数列, 21111112222n n ++⋅⋅⋅++⋅⋅⋅=-<.故反映这个命题本质的式子是21111222n ++⋅⋅⋅++⋅⋅⋅<.故选D7.【2022届安徽省安庆市高三第三次模拟考试数学】在等比数列{}n a 中,若720,2n a a >=,则31112a a +的最小值为( )A .22B .4C .8D .16 【答案】B 【解析】试题分析:由于720,2n a a >=,所以由基本不等式可得,231131171222224a a a a a +≥==,故选B. 8.【2022年高考冲刺卷(5)【浙江卷】理科】已知S n 是单调递减的等比数列{a n }的前n 项和,则( )A .S 2m ·S 2n ≤2n m S +,S 2m +S 2n ≤2S m +n B .S 2m ·S 2n ≤2n m S +,S 2m +S 2n ≥2S m +n C .S 2m ·S 2n ≥2n m S +,S 2m +S 2n ≤2S m +nD .S 2m ·S 2n ≥2n m S +,S 2m +S 2n ≥2S m +n【命题意图】这是一道数列的问题,主要考查了等比数列的概念、通项公式和前n 项和公式以及不等式等基础学问,还考查了基本运算力量. 【答案】B9.设等比数列}{n a 的前n 项和为n S ,若15m S -=,-11m S =,121m S +=,则=m ( ) A.3 B.4C.5D. 6【答案】C【解析】由已知得,116m m m S S a --==-,1132m m m S S a ++-==,故公比2q =-,又11m m a a qS q-=-11=-,故11a =-,又1116m m a a q-=⋅=-,代入可求得5m =. 10.【2022届河北省衡水高三下练习五】在等比数列{}n a 中,若25234535,44a a a a a a =-+++=,则23451111a a a a +++=( ) A .1 B .34- C .53- D .43- 【答案】C 【解析】试题分析:由于数列{}n a 为等比数列,所以2534234523452534251111a a a a a a a a a a a a a a a a a a ++++++++=+=⋅⋅⋅ 554334==--,故选C .11.若数列{}n a 满足211n n n na a k a a ++++=(k 为常数),则称数列{}n a 为“等比和数列”,k 称为公比和,已知数列{}n a 是以3为公比和的等比和数列,其中11a =,22a =,则2015a = ( )A. 1B. 2C. 10062D. 10072【答案】D 【解析】所以100720152=a .12.已知等差数列{}n a 的公差0d ≠,且1313,,a a a 成等比数列,若11,n a S =是数列{}n a 的前n 项的和,则*216()3n n S n N a +∈+的最小值为 ( )A .4B .3C .232-D .92【答案】A . 【解析】试题分析:∵11a =,1313,,a a a 成等比数列,∴2(12)1(112)d d +=⋅+.得2d =或0d =(舍去),∴21n a n =-,∴2(121)2nn n S n +-==,∴2216216322n n S n a n ++=++.令1t n =+,则216926243n n S t a t +=+-≥-=+,故选A. 二、填空题(本大题共4小题,每小题5分,共20分.把答案填在题中的横线上.)13. 【改编题】设n S 是等比数列}{n a 的前n 项和,若,13221=+a a 433a a =,则=+n n a S 2 . 【答案】1【解析】设等比数列}{n a 的公比为q ,由已知得,4313a q a ==,故1112313a a +⋅=,解得113a =,故 11332211113nn n n n n a S a a a a -+=+=-+=-.14. 【改编题】已知数列1,,9a 是等比数列,数列121,,,9b b 是等差数列,则12ab b +的值为 .【答案】310. 【解析】1,,9a 成等比数列,219,3a a ∴=⨯∴=.又121,,,9b b 是等差数列,121231910,10a b b b b +=+=∴=+. 15.【2022届上海市七宝高三模拟理科数学试卷】设()cos 2()cxf x ax bx x R =++∈,,,a b c R ∈且为常数,若存在一公差大于0的等差数列{}n x (*n N ∈),使得{()}n f x 为一公比大于1的等比数列,请写出满足条件的一组,,a b c 的值________.【答案】0,0,0a b c ≠=>(答案不唯一,一组即可) 【解析】试题分析:由题设可取1,0,1===c b a ,此时xx x f 2cos )(+=,存在数列25,23,2πππ,满足题设,应填答案1,0,1===c b a .16.已知{}n a 满足()*+∈⎪⎭⎫⎝⎛=+=N n a a a nn n 41,111, +⋅+⋅+=232144a a a S n 14-⋅n n a 类比课本中推导等比数列前项和公式的方法,可求得=-n n n a S 45___________. 【答案】n . 【解析】三、解答题 (本大题共6小题,共70分.解答应写出文字说明、证明过程或演算步骤.)17.【2022全国丙17】(本题满分10分)已知数列{}n a 的前n 项和1n S a =+,1n n S a λ=+.其中0λ≠. (1)证明{}n a 是等比数列,并求其通项公式; (2)若53132S =,求λ. 【答案】(1)()1*111n n a n λλλ-⎛⎫=∈ ⎪--⎝⎭N ;(2)1λ=-.【解析】(1)由题意得1111a S a λ==+,故1λ≠,111a λ=-,10a ≠. 由1n n S a λ=+,111n n S a λ++=+,得11n n n a a a λλ++=-,即()11n n a a λλ+-=.由10a ≠,0λ≠,得0n a ≠,所以11n n a a λλ+=-.因此{}n a 是首项为11λ-,公比为1λλ-的等比数列. 于是()1*111n n a n λλλ-⎛⎫=∈ ⎪--⎝⎭N .(2)由(1)得11nn S λλ⎛⎫=- ⎪-⎝⎭.由53132S =,得5311132λλ⎛⎫-= ⎪-⎝⎭,即51132λλ⎛⎫= ⎪-⎝⎭,解得1λ=-. 18.【改编题】已知等比数列{n a }的公比为q ,且满足1n n a a +<,1a +2a +3a =913,1a 2a 3a =271.(1)求数列{n a }的通项公式;(2)记数列{n a n ⋅-)12(}的前n 项和为n T ,求.n T故数列{n a }的通项公式为n a =131-n (n *N ∈) ………………6分(2)由(1)知n a n ⋅-)12(=1312--n n ,所以n T =1+33+235+⋯+1312--n n ①31n T =31+233+335+…+1332--n n +n n 312- ② ①-② 得:32n T =1+32+232+332+⋯+132-n -nn 312-=12+(31+231+331+⋯+131-n )-nn 312- =12+311)311(311--⋅-n -n n 312-=2-131-n -n n 312-,所以nT =3-131-+n n . 19.各项为正的数列{}n a 满足112a =,21,()n n n a a a n λ*+=+∈N , (1)取1n a λ+=,求证:数列1n n a a +⎧⎫⎨⎬⎩⎭是等比数列,并求其公比;(2)取2λ=时令12n n b a =+,记数列{}n b 的前n 项和为n S ,数列{}n b 的前n 项之积为n T ,求证:对任 意正整数n ,12n n n T S ++为定值.【答案】(1) 证明见解析,公比为1+52(2)定值为2 【解析】(2)由21111122222()n nn n n n n n n n a a a a a a a b a a +++=+⇒=+⇒==+ 所以+1121122311111111122222()()()()()()()n n n n n n n n a a a a T b b b a a a a a +++=⋅=== 211+1+1122111===222n n n n n n n n n n n n a a a a b a a a a a a a +++-=-所以12111111=2n n n n S a a a a a a ++=+++=--,故+12n n n T S +2=为定值. 20.已知数列{}n a 的前n 项和为n S ,10a =,1231n n a a a a n a ++++++=,*n ∈N .(Ⅰ) 求证:数列{1}n a +是等比数列;(Ⅱ) 设数列{}n b 的前n 项和为n T ,11b =,点1(,)n n T T +在直线112x y n n -=+上,若不等式1212911122n n nb b bm a a a a +++≥-++++对于*n ∈N 恒成立,求实数m 的最大值. 【答案】(Ⅰ)详见解析; (Ⅱ) 6116. 【解析】试题解析:(Ⅰ)由1231n n a a a a n a ++++++=,得12311(2)n n a a a a n a n -+++++-=≥ ,两式相减得121n n a a +=+, 所以112(1)n n a a ++=+ (2n ≥), 由于10a =,所以111a +=,21211a a =+=,2112(1)a a +=+ 所以{1}n a +是以1为首项,公比为2的等比数列 (Ⅱ)由(Ⅰ)得121n n a -=-,由于点1(,)n n T T +在直线112x y n n -=+上,所以1112n n T T n n +-=+,又11232527(4)(4)222n n n n n n ++------=, 故当3n ≤时,25{4}2nn --单调递减;当3n =时,323531428⨯--=; 当4n ≥时,25{4}2nn --单调递增;当4n =时,4245614216⨯--=; 则2542nn --的最小值为6116,所以实数m的最大值是6116 21.【2022届河南新乡名校学术联盟高三高考押题四理数学试卷】已知等比数列{}n a 中,11a =,且()24331a a a +=+.(1)求数列{}n a 的通项公式;(2)设32333431log log log log n n b a a a a +=+++⋅⋅⋅+,求数列1n b ⎧⎫⎨⎬⎩⎭的前n 项和. 【答案】(1)13n n a -=;(2)21nn +. 【解析】试题分析:(1)用公比q 表示出234,,a a a ,即可求出q ,从而得通项公式;(2)由(1)13n n a -=,因此故()1211211n b n n n n ⎛⎫==- ⎪++⎝⎭12111111111122211223111n n b b b n n n n ⎡⎤⎛⎫⎛⎫⎛⎫⎛⎫++⋅⋅⋅+=-+-+⋅⋅⋅+-=-=⎪ ⎪ ⎪ ⎪⎢⎥+++⎝⎭⎝⎭⎝⎭⎝⎭⎣⎦,所以数列1n b ⎧⎫⎨⎬⎩⎭的前n 项和为21nn +. 22.【2022届湖南师大附中高三上学期月考六数学(理)试卷】设数列{}n x 的前n 项和为n S ,若存在非零常数p ,使对任意n *∈N 都有2nnS p S =成立,则称数列{}n x 为“和比数列”.(1)若数列{}n a 是首项为2,公比为4的等比数列,推断数列{}2log n a 是否为“和比数列”; (2)设数列{}n b 是首项为2,且各项互不相等的等差数列,若数列{}n b 是“和比数列”,求数列{}n b 的 通项公式.【答案】(1)是,证明见解析;(2)()24142n b n n =+-=- 【解析】试题分析:(1)已知可得121242n n n a --=⋅=2log 21n a n ⇒=-()21212n n S n n +-⇒=⋅=24n n SS ⇒=;(2)由已知可得前n 项和()122n n n n d -T =+()()()()222148*********n n n n n d n d p n n n d n d-++-T ⇒===-T +-+恒成立()222142n n n n d -T =+,所以()()()()222148*********n n n n n d n d n n n d n d-++-T ==-T +-+由于{}n b 是“和比数列”,则存在非零常数p ,使()()822141n dp n d+-=+-恒成立.即()()822141n d p n d +-=+-⎡⎤⎣⎦,即()()()4240p dn p d -+--=恒成立.所以()()()40240p d p d -=⎧⎪⎨--=⎪⎩由于0d ≠,则4p =,4d =所以数列{}n b 的通项公式是()24142n b n n =+-=-。
第六章 数 列第二节 等差数列及其前n 项和A 级·基础过关 |固根基|1.(2019届南昌市一模)已知{a n }为等差数列,若a 2=2a 3+1,a 4=2a 3+7,则a 5=( ) A .1 B .2 C .3D .6解析:选B 设等差数列{a n }的公差为d ,将题中两式相减可得2d =6,所以d =3,所以a 2=2(a 2+3)+1,解得a 2=-7,所以a 5=a 2+(5-2)d =-7+9=2,故选B .2.(2019届合肥市一检)已知正项等差数列{a n }的前n 项和为S n (n∈N *),a 5+a 7-a 26=0,则S 11的值为( )A .11B .12C .20D .22解析:选D 解法一:设等差数列的公差为d(d>0),由题意得(a 1+4d)+(a 1+6d)-(a 1+5d)2=0,即(a 1+5d)·(2-a 1-5d)=0,所以a 1+5d =0或a 1+5d =2.又{a n }为正项等差数列,所以a 1+5d>0,则a 1+5d =2,则S 11=11a 1+11×102d =11(a 1+5d)=11×2=22,故选D .解法二:因为{a n }为正项等差数列,所以由等差数列的性质,并结合a 5+a 7-a 26=0,得2a 6-a 26=0,所以a 6=2,所以S 11=11(a 1+a 11)2=11×2a 62=11a 6=22,故选D .3.(2019届贵阳市质量检测)在等差数列{a n }中,若a 1+a 9=8,则(a 2+a 8)2-a 5=( ) A .60 B .56 C .12D .4解析:选A 因为在等差数列{a n }中,a 1+a 9=a 2+a 8=2a 5=8,所以(a 2+a 8)2-a 5=64-4=60,故选A .4.(2019届广东七校第二次联考)已知等差数列{a n }的前n 项和为S n ,a 6+a 8=6,S 9-S 6=3,则S n 取得最大值时n 的值为( )A .5B .6C .7D .8解析:选D 解法一:设等差数列{a n }的公差为d ,则由题意得,⎩⎪⎨⎪⎧a 1+5d +a 1+7d =6,a 1+6d +a 1+7d +a 1+8d =3,解得⎩⎪⎨⎪⎧a 1=15,d =-2,所以a n =-2n +17,由于a 8=-2×8+17=1>0,a 9=-2×9+17=-1<0,所以S n 取得最大值时n 的值是8,故选D .解法二:设等差数列{a n }的公差为d ,则由题意得,⎩⎪⎨⎪⎧a 1+5d +a 1+7d =6,a 1+6d +a 1+7d +a 1+8d =3,解得⎩⎪⎨⎪⎧a 1=15,d =-2,则S n =15n +n (n -1)2×(-2)=-(n -8)2+64,所以当n =8时,S n 取得最大值,故选D .5.(2019届广州市第一次综合测试)设S n 是等差数列{a n }的前n 项和,若m 为大于1的正整数,且a m-1-a 2m +a m +1=1,S 2m -1=11,则m =( ) A .11 B .10 C .6D .5解析:选 C 由a m -1-a 2m +a m +1=1可得2a m -a 2m =1,即a 2m -2a m +1=0,解得a m =1.由S 2m -1=(a 1+a 2m -1)(2m -1)2=a m ×(2m -1)=11,得2m -1=11,解得m =6,故选C .6.(2019届桂林市、百色市、崇左市联考)设S n 为等差数列{a n }的前n 项和,若a 4a 3=34,则3S 5a 4=( )A .12B .15C .20D .25解析:选C 因为数列{a n }是等差数列,所以3S 5a 4=3×5a 3a 4=15a 3a 4.又a 4a 3=34,所以3S 5a 4=15a 3a 4=15×43=20.故选C .7.(2019届西安八校联考)设等差数列{a n }的前n 项和为S n ,若S 6>S 7>S 5,则满足S n S n +1<0的正整数n 的值为( )A .10B .11C .12D .13解析:选C 由S 6>S 7>S 5,得S 7=S 6+a 7<S 6,S 7=S 5+a 6+a 7>S 5,所以a 7<0,a 6+a 7>0.所以S 13=13(a 1+a 13)2=13a 7<0,S 12=12(a 1+a 12)2=6(a 6+a 7)>0,所以S 12S 13<0,即满足S n S n +1<0的正整数n 的值为12,故选C .8.设S n 是公差不为0的等差数列{a n }的前n 项和,S 3=a 22,且S 1,S 2,S 4成等比数列,则a 10=( ) A .15 B .19 C .21D .30解析:选B 设等差数列{a n }的公差为d.由S 3=a 22得3a 2=a 22,所以a 2=0或a 2=3.由S 1,S 2,S 4成等比数列可得S 22=S 1·S 4,又S 1=a 2-d ,S 2=2a 2-d ,S 4=4a 2+2d ,所以(2a 2-d)2=(a 2-d)·(4a 2+2d),化简得3d 2=2a 2d ,又d≠0,所以a 2=3,d =2,所以a n =3+2(n -2)=2n -1,所以a 10=19.9.已知{a n }是等差数列,S n 是其前n 项和,若S k +10-S k =12k +10,则S 2k +10=( )A .1B .12C .15D .110解析:选 D 由题意知S k +10-S k =a k +1+a k +2+…+a k +10=a k +1+a k +102×10=12k +10,∴a k +1+a k +10=110(k +5),∴S 2k +10=a 1+a 2k +102×(2k +10)=a k +1+a k +102×(2k +10)=110.10.正项等差数列{a n }的前n 项和为S n ,已知a 1=1,a 3+a 7-a 25+15=0,且S n =45,则n =( ) A .8 B .9 C .10D .11解析:选B 因为{a n }是正项等差数列,a 3+a 7-a 25+15=0,所以a 25-2a 5-15=0,解得a 5=5(a 5=-3舍去).设{a n }的公差为d ,由a 5=a 1+4d =1+4d =5,解得d =1,所以S n =n[2a 1+(n -1)d]2=n[2+(n -1)]2=n (n +1)2=45,即n 2+n -90=(n +10)(n -9)=0,解得n =9(n =-10舍去),故选B .11.(2019年全国卷Ⅲ)记S n 为等差数列{a n }的前n 项和.若a 3=5,a 7=13,则S 10=________.解析:解法一:设等差数列{a n }的公差为d ,则由题意,得⎩⎪⎨⎪⎧a 1+2d =5,a 1+6d =13,解得⎩⎪⎨⎪⎧a 1=1,d =2,所以S 10=10×1+10×92×2=100. 解法二:由题意,得公差d =14(a 7-a 3)=2,所以a 4=a 3+d =7,所以S 10=10(a 1+a 10)2=5(a 4+a 7)=100.答案:10012.(2019年江苏卷)已知数列{a n }(n∈N *)是等差数列,S n 是其前n 项和.若a 2a 5+a 8=0,S 9=27,则S 8的值是________.解析:解法一:设等差数列{a n }的公差为d ,则a 2a 5+a 8=(a 1+d)(a 1+4d)+a 1+7d =a 21+4d 2+5a 1d +a 1+7d =0,S 9=9a 1+36d =27,解得a 1=-5,d =2,则S 8=8a 1+28d =-40+56=16.解法二:设等差数列{a n }的公差为d.∵S 9=9(a 1+a 9)2=9a 5=27,∴a 5=3.又a 2a 5+a 8=0,则3(3-3d)+3+3d =0,解得d =2,则S 8=8(a 1+a 8)2=4(a 4+a 5)=4×(1+3)=16.答案:1613.(2019届广东七校第二次联考)已知数列{a n }满足a 1=1,a n +1=a n a n +1,且b n =1a n ,n∈N *.(1)求证:数列{b n }为等差数列;(2)设数列⎩⎨⎧⎭⎬⎫a n n +1的前n 项和为T n ,求T n 的表达式. 解:(1)证明:因为b n =1a n ,且a n +1=a na n +1,所以b n +1=1a n +1=a n +1a n =1+1a n =1+b n ,故b n +1-b n =1. 又b 1=1a 1=1,所以数列{b n }是以1为首项,1为公差的等差数列. (2)由(1)知数列{b n }的通项公式为b n =n , 又b n =1a n ,所以a n =1b n =1n .故a n n +1=1n (n +1)=1n -1n +1, 所以T n =⎝ ⎛⎭⎪⎫1-12+⎝ ⎛⎭⎪⎫12-13+⎝ ⎛⎭⎪⎫13-14+…+⎝ ⎛⎭⎪⎫1n -1n +1=1-1n +1=n n +1. 14.(2019届南昌市二模)已知数列{a n }是公差不为零的等差数列,a 1=1,且存在实数λ满足2a n +1=λa n +4,n ∈N *.(1)求λ的值及通项公式a n ; (2)求数列{a 2n -n }的前n 项和S n .解:(1)设等差数列{a n }的公差为d ,d≠0, 由2a n +1=λa n +4(n∈N *), ① 得2a n =λa n -1+4(n∈N *,n≥2),②两式相减得,2d =λd,又d≠0,所以λ=2.将λ=2代入①可得2a n +1=2a n +4,即2d =4,所以d =2. 又a 1=1,所以a n =1+(n -1)×2=2n -1.(2)由(1)可得a 2n-n =2(2n -n)-1=2n +1-(2n +1),所以S n =(22+23+…+2n +1)-[3+5+…+(2n +1)]=4(1-2n)1-2-n (3+2n +1)2=2n +2-n 2-2n -4.B 级·素养提升 |练能力|15.我国古代数学著作《九章算术》有如下问题:“今有金箠,长五尺,斩本一尺,重四斤,斩末一尺,重二斤,问次一尺各重几何?”意思是:“现有一根金箠,长五尺,一头粗,一头细,在粗的一端截下1尺,重4斤,在细的一端截下1尺,重2斤,问依次每一尺各重多少斤?”根据已知条件,若金箠由粗到细是均匀变化的,问第二尺与第四尺的重量之和为( )A .6斤B .9斤C .9.5斤D .12斤解析:选A 依题意,金箠由粗到细各尺的重量构成一个等差数列,设首项a 1=4,则a 5=2,由等差数列的性质得a 2+a 4=a 1+a 5=6,所以第二尺与第四尺的重量之和为6斤.故选A .16.已知数列{a n }为等差数列,若a 21+a 210≤25恒成立,则a 1+3a 7的取值范围为( ) A .[-5,5] B .[-52,52] C .[-10,10]D .[-102,102]解析:选D 由数列{a n }为等差数列,可知a 1+3a 7=a 1+3(a 1+6d)=4a 1+18d =2(a 1+a 1+9d)=2(a 1+a 10).由基本不等式⎝ ⎛⎭⎪⎫a 1+a 1022≤a 21+a 2102得2|a 1+a 10|≤102,当且仅当a 1=a 10时取等号,所以a 1+3a 7的取值范围为[-102,102].17.(2019届江西红色七校第一次联考)已知数列{a n }为等差数列,若a 2+a 6+a 10=π2,则tan(a 3+a 9)的值为( )A .0B .33C .1D . 3解析:选D 因为数列{a n }是等差数列,所以a 2+a 6+a 10=3a 6=π2,所以a 6=π6,所以a 3+a 9=2a 6=π3,所以tan(a 3+a 9)=tan π3= 3.故选D . 18.(2019年全国卷Ⅱ)已知数列{a n }和{b n }满足a 1=1,b 1=0,4a n +1=3a n -b n +4,4b n +1=3b n -a n -4.(1)证明:{a n +b n }是等比数列,{a n -b n }是等差数列; (2)求{a n }和{b n }的通项公式.解:(1)证明:由题设得4(a n +1+b n +1)=2(a n +b n ),即a n +1+b n +1=12(a n +b n ).又因为a 1+b 1=1,所以{a n +b n }是首项为1,公比为12的等比数列.由题设得4(a n +1-b n +1)=4(a n -b n )+8,即a n +1-b n +1=a n -b n +2. 又因为a 1-b 1=1,所以{a n -b n }是首项为1,公差为2的等差数列. (2)由(1)知,a n +b n =12n -1,a n -b n =2n -1.所以a n =12[(a n +b n )+(a n -b n )]=12n +n -12,b n =12[(a n +b n )-(a n -b n )]=12n -n +12.。
第2节 等差数列及其前n 项和考试要求 1.理解等差数列的概念.2.掌握等差数列的通项公式与前n 项和公式.3.能在具体的问题情境中识别数列的等差关系,并能用等差数列的有关知识解决相应的问题.4.了解等差数列与一次函数的关系.1.等差数列的概念(1)如果一个数列从第2项起,每一项与它的前一项的差等于同一个常数,那么这个数列就叫做等差数列. 数学语言表达式:a n +1-a n =d (n ∈N *,d 为常数).(2)若a ,A ,b 成等差数列,则A 叫做a ,b 的等差中项,且A =a +b 2.2.等差数列的通项公式与前n 项和公式(1)若等差数列{a n }的首项是a 1,公差是d ,则其通项公式为a n =a 1+(n -1)d .(2)前n 项和公式:S n =na 1+n (n -1)d 2=n (a 1+a n )2. 3.等差数列的性质(1)通项公式的推广:a n =a m +(n -m )d (n ,m ∈N *).(2)若{a n }为等差数列,且k +l =m +n (k ,l ,m ,n ∈N *),则a k +a l =a m +a n .(3)若{a n }是等差数列,公差为d ,则a k ,a k +m ,a k +2m ,…(k ,m ∈N *)是公差为md 的等差数列.(4)若S n 为等差数列{a n }的前n 项和,则数列S m ,S 2m -S m ,S 3m -S 2m ,…也是等差数列.(5)若S n 为等差数列{a n }的前n 项和,则数列⎩⎨⎧⎭⎬⎫S n n 也为等差数列.1.已知数列{a n }的通项公式是a n =pn +q (其中p ,q 为常数),则数列{a n }一定是等差数列,且公差为p .2.在等差数列{a n }中,a 1>0,d <0,则S n 存在最大值;若a 1<0,d >0,则S n 存在最小值.3.等差数列{a n }的单调性:当d >0时,{a n }是递增数列;当d <0时,{a n }是递减数列;当d =0时,{a n }是常数列.4.数列{a n }是等差数列⇔S n =An 2+Bn (A ,B 为常数).1.思考辨析(在括号内打“√”或“×”)(1)数列{a n }为等差数列的充要条件是对任意n ∈N *,都有2a n +1=a n +a n +2.( )(2)等差数列{a n }的单调性是由公差d 决定的.( )(3)数列{a n }为等差数列的充要条件是其通项公式为n 的一次函数.( )(4)等差数列的前n 项和公式是常数项为0且关于n 的二次函数.( ) 答案 (1)√ (2)√ (3)× (4)×解析 (3)若公差d =0,则通项公式不是n 的一次函数.(4)若公差d =0,则前n 项和不是n 的二次函数.2.(2022·南宁一模)记S n 为等差数列{a n }的前n 项和,若a 1=1,S 3=92,则数列{a n }的通项公式a n =( )A.nB.n +12C.2n -1D.3n -12答案 B解析 设等差数列{a n }的公差为d ,则S 3=3a 1+3×22d =3+3d =92,解得d =12,∴a n =1+(n -1)×12=n +12.3.(2021·宝鸡二模)已知{a n }是等差数列,满足3(a 1+a 5)+2(a 3+a 6+a 9)=18,则该数列的前8项和为( )A.36B.24C.16D.12答案 D解析 由等差数列性质可得a 1+a 5=2a 3,a 3+a 6+a 9=3a 6,所以3×2a 3+2×3a 6=18,即a 3+a 6=3,所以S 8=8(a 1+a 8)2=8(a 3+a 6)2=12. 4.在等差数列{a n }中,若a 1+a 2=5,a 3+a 4=15,则a 5+a 6=( )A.10B.20C.25D.30答案 C解析 等差数列{a n }中,每相邻2项的和仍然构成等差数列,设其公差为d ,若a 1+a 2=5,a 3+a 4=15,则d =15-5=10,因此a 5+a 6=(a 3+a 4)+d =15+10=25.5.一物体从1 960 m 的高空降落,如果第1秒降落4.90 m ,以后每秒比前一秒多降落9.80 m ,那么经过________秒落到地面.答案 20解析 设物体经过t 秒降落到地面.物体在降落过程中,每一秒降落的距离构成首项为4.90,公差为9.80的等差数列.所以4.90t +12t (t -1)×9.80=1 960,即4.90t 2=1 960,解得t =20.6.(易错题)在等差数列{a n }中,|a 3|=|a 9|,公差d <0,则使数列{a n }的前n 项和S n 取最大值的正整数n 的值是________.答案 5或6解析 ∵|a 3|=|a 9|,∴|a 1+2d |=|a 1+8d |,可得a 1=-5d ,∴a 6=a 1+5d =0,且a 1>0,∴a 5>0,故S n 取最大值时n 的值为5或6.考点一 等差数列的基本运算1.记S n 为等差数列{a n }的前n 项和.已知S 4=0,a 5=5,则( )A.a n =2n -5B.a n =3n -10C.S n =2n 2-8nD.S n =12n 2-2n答案 A解析 设首项为a 1,公差为d .由S 4=0,a 5=5可得⎩⎪⎨⎪⎧a 1+4d =5,4a 1+6d =0,解得⎩⎪⎨⎪⎧a 1=-3,d =2.所以a n =-3+2(n -1)=2n -5,S n =n ×(-3)+n (n -1)2×2=n 2-4n . 2.(2022·太原调研)已知等差数列{a n }的前n 项和为S n ,若S 8=a 8=8,则公差d =( )A.14B.12C.1D.2 答案 D解析 ∵S 8=a 8=8,∴a 1+a 2+…+a 8=a 8,∴S 7=7a 4=0,则a 4=0.∴d =a 8-a 48-4=2. 3.(2020·全国Ⅱ卷)记S n 为等差数列{a n }的前n 项和.若a 1=-2,a 2+a 6=2,则S 10=________.答案 25解析 设等差数列{a n }的公差为d ,则a 2+a 6=2a 1+6d =2×(-2)+6d =2.解得d =1.所以S 10=10×(-2)+10×92×1=25.4.(2019·全国Ⅰ卷)记S n 为等差数列{a n }的前n 项和.已知S 9=-a5.(1)若 a 3=4,求{a n }的通项公式;(2)若a 1>0,求使得S n ≥a n 的n 的取值范围.解 (1)设{a n }的公差为d .由S 9=-a 5可知9a 5=-a 5,所以a 5=0.因为a 3=4,所以d =a 5-a 32=0-42=-2,所以a n =a 3+(n -3)×(-2)=10-2n ,因此{a n }的通项公式为a n =10-2n .(2)由(1)得a 5=0,因为a 1>0,所以等差数列{a n }单调递减,即d <0,a 1=a 5-4d =-4d ,S n =n (n -9)d 2, a n =-4d +d (n -1)=dn -5d ,因为S n ≥a n ,所以nd (n -9)2≥dn -5d , 又因为d <0,所以1≤n ≤10.感悟提升 1.等差数列的通项公式及前n 项和公式共涉及五个量a 1,a n ,d ,n ,S n ,知其中三个就能求另外两个,体现了用方程的思想来解决问题.2.数列的通项公式和前n 项和公式在解题中起到变量代换作用,而a 1和d 是等差数列的两个基本量,用它们表示已知和未知是常用方法.考点二 等差数列的判定与证明例1 (2021·全国甲卷)已知数列{a n }的各项均为正数,记S n 为{a n }的前n 项和,从下面①②③中选取两个作为条件,证明另外一个成立.①数列{a n }是等差数列;②数列{S n }是等差数列;③a 2=3a 1.注:若选择不同的组合分别解答,则按第一个解答计分.解 ①③⇒②.已知{a n }是等差数列,a 2=3a 1.设数列{a n }的公差为d ,则a 2=3a 1=a 1+d ,得d =2a 1,所以S n =na 1+n (n -1)2d =n 2a 1. 因为数列{a n }的各项均为正数, 所以S n =n a 1, 所以S n +1-S n =(n +1)a 1-n a 1=a 1(常数),所以数列{S n }是等差数列. ①②⇒③.已知{a n }是等差数列,{S n }是等差数列.设数列{a n }的公差为d ,则S n =na 1+n (n -1)2d =12n 2d +⎝ ⎛⎭⎪⎫a 1-d 2n . 因为数列{S n }是等差数列,所以数列{S n }的通项公式是关于n 的一次函数,则a1-d2=0,即d=2a1,所以a2=a1+d=3a1.②③⇒①.已知数列{S n}是等差数列,a2=3a1,所以S1=a1,S2=a1+a2=4a1.设数列{S n}的公差为d,d>0,则S2-S1=4a1-a1=d,得a1=d2,所以S n=S1+(n -1)d=nd,所以S n=n2d2,所以n≥2时,a n=S n-S n-1=n2d2-(n-1)2d2=2d2n-d2,对n=1也适合,所以a n=2d2n-d2,所以a n+1-a n=2d2(n+1)-d2-(2d2n-d2)=2d2(常数),所以数列{a n}是等差数列.感悟提升 1.证明数列是等差数列的主要方法:(1)定义法:对于n≥2的任意自然数,验证a n-a n-1为同一常数.即作差法,将关于a n-1的a n代入a n-a n-1,再化简得到定值.(2)等差中项法:验证2a n-1=a n+a n-2(n≥3,n∈N*)都成立.2.判定一个数列是等差数列还常用到的结论:(1)通项公式:a n=pn+q(p,q为常数)⇔{a n}是等差数列.(2)前n项和公式:S n=An2+Bn(A,B为常数)⇔{a n}是等差数列.问题的最终判定还是利用定义.训练1 (2021·全国乙卷)设S n为数列{a n}的前n项和,b n为数列{S n}的前n项积,已知2S n+1b n=2.(1)证明:数列{b n}是等差数列;(2)求{a n}的通项公式.(1)证明因为b n是数列{S n}的前n项积,所以n ≥2时,S n =b n b n -1, 代入2S n +1b n =2可得,2b n -1b n +1b n=2, 整理可得2b n -1+1=2b n ,即b n -b n -1=12(n ≥2).又2S 1+1b 1=3b 1=2,所以b 1=32, 故{b n }是以32为首项,12为公差的等差数列.(2)解 由(1)可知,b n =32+12(n -1)=n +22,则2S n +2n +2=2,所以S n =n +2n +1, 当n =1时,a 1=S 1=32,当n ≥2时,a n =S n -S n -1=n +2n +1-n +1n =-1n (n +1). 故a n =⎩⎪⎨⎪⎧32,n =1,-1n (n +1),n ≥2. 考点三 等差数列的性质及应用角度1 等差数列项的性质例2 (1)设S n 为等差数列{a n }的前n 项和,且4+a 5=a 6+a 4,则S 9等于( )A.72B.36C.18D.9 (2)在等差数列{a n }中,若a 5+a 6=4,则log 2(2a 1·2a 2·…·2a 10)=( )A.10B.20C.40D.2+log 25答案 (1)B (2)B解析 (1)∵a 6+a 4=2a 5,∴a 5=4,∴S 9=9(a 1+a 9)2=9a 5=36. (2)由等差数列的性质知a 1+a 10=a 2+a 9=a 3+a 8=a 4+a 7=a 5+a 6=a 4,则2a 1···2a 10=2a 1+a 2+…+a 10=25(a 5+a 6)=25×4,所以log 2(2a 1·2a 2·…·2a 10)=log 225×4=20. 角度2 等差数列前n 项和的性质例3 (1)已知等差数列{a n }的前n 项和为S n .若S 5=7,S 10=21,则S 15等于( )A.35B.42C.49D.63(2)(2020·全国Ⅱ卷)北京天坛的圜丘坛为古代祭天的场所,分上、中、下三层.上层中心有一块圆形石板(称为天心石),环绕天心石砌9块扇面形石板构成第一环,向外每环依次增加9块.下一层的第一环比上一层的最后一环多9块.向外每环依次也增加9块.已知每层环数相同,且下层比中层多729块,则三层共有扇面形石板(不含天心石)( )A.3 699块B.3 474块C.3 402块D.3 339块答案 (1)B (2)C解析 (1)在等差数列{a n }中,S 5,S 10-S 5,S 15-S 10成等差数列,即7,14,S 15-21成等差数列,所以7+(S 15-21)=2×14,解得S 15=42.(2)设每一层有n 环,由题可知从内到外每环之间构成公差d =9,a 1=9的等差数列.由等差数列的性质知S n ,S 2n -S n ,S 3n -S 2n 成等差数列,且(S 3n -S 2n )-(S 2n -S n )=n 2d ,则9n 2=729,得n =9,则三层共有扇面形石板S 3n =S 27=27×9+27×262×9=3 402(块).角度3 等差数列前n 项和的最值例4 等差数列{a n }中,设S n 为其前n 项和,且a 1>0,S 3=S 11,则当n 为多少时,S n 最大?解 法一 设公差为d .由S 3=S 11,可得3a 1+3×22d =11a 1+11×102d ,即d =-213a 1.从而S n =d 2n 2+⎝ ⎛⎭⎪⎫a 1-d 2n =-a 113(n -7)2+4913a 1, 因为a 1>0,所以-a 113<0.故当n =7时,S n 最大.法二 易知S n =An 2+Bn 是关于n 的二次函数,由S 3=S 11,可知S n =An 2+Bn 的图象关于直线n =3+112=7对称. 由解法一可知A =-a 113<0,故当n =7时,S n 最大.法三 设公差为d .由解法一可知d =-213a 1.要使S n 最大,则有⎩⎪⎨⎪⎧a n ≥0,a n +1≤0,即⎩⎪⎨⎪⎧a 1+(n -1)⎝ ⎛⎭⎪⎫-213a 1≥0,a 1+n ⎝ ⎛⎭⎪⎫-213a 1≤0, 解得6.5≤n ≤7.5,故当n =7时,S n 最大.法四 设公差为d .由S 3=S 11,可得2a 1+13d =0, 即(a 1+6d )+(a 1+7d )=0,故a 7+a 8=0, 又由a 1>0,S 3=S 11可知d <0,所以a 7>0,a 8<0,所以当n =7时,S n 最大.感悟提升 1.项的性质:在等差数列{a n }中,若m +n =p +q (m ,n ,p ,q ∈N *),则a m +a n =a p +a q .2.和的性质:在等差数列{a n }中,S n 为其前n 项和,则(1)S 2n =n (a 1+a 2n )=…=n (a n +a n +1);(2)S 2n -1=(2n -1)a n .(3)依次k 项和成等差数列,即S k ,S 2k -S k ,S 3k -S 2k ,…成等差数列.3.求等差数列前n 项和的最值,常用的方法:(1)利用等差数列的单调性,求出其正负转折项,或者利用性质求其正负转折项,便可求得和的最值;(2)利用公差不为零的等差数列的前n 项和S n =An 2+Bn (A ,B 为常数,A ≠0)为二次函数,通过二次函数的性质求最值.训练2 (1)(2021·洛阳质检)记等差数列{a n }的前n 项和为S n ,若S 17=272,则a 3+a 9+a 15=( )A.24B.36C.48D.64(2)已知S n 是等差数列{a n }的前n 项和,若a 1=-2 020,S 2 0202 020-S 2 0142 014=6,则S 2 023等于( )A.2 023B.-2 023C.4 046D.-4 046(3)设等差数列{a n }满足a 1=1,a n >0(n ∈N *),其前n 项和为S n ,若数列{S n }也为等差数列,则S n +10a 2n的最大值是________. 答案 (1)C (2)C (3)121解析 (1)因为数列{a n }是等差数列,其前n 项和为S n ,所以S 17=272=a 1+a 172×17=2a 92×17=17a 9,∴a 9=16,所以a 3+a 9+a 15=3a 9=48.(2)∵⎩⎨⎧⎭⎬⎫S n n 为等差数列,设公差为d ′, 则S 2 020 2 020-S 2 0142 014=6d ′=6,∴d ′=1,首项为S 11=-2 020,∴S 2 0232 023=-2 020+(2 023-1)×1=2,∴S 2 023=2 023×2=4 046,故选C.(3)设数列{a n }的公差为d ,依题意得2S 2=S 1+S 3,∴22a 1+d =a 1+3a 1+3d ,把a 1=1代入求得d =2,∴a n =1+(n -1)×2=2n -1,S n =n +n (n -1)2×2=n 2,∴S n +10a 2n =(n +10)2(2n -1)2=⎝ ⎛⎭⎪⎪⎫n +102n -12=⎣⎢⎡⎦⎥⎤12(2n -1)+2122n -12=14⎝ ⎛⎭⎪⎫1+212n -12≤121.∴S n +10a 2n 的最大值是121.1.在等差数列{a n }中,3a 5=2a 7,则此数列中一定为0的是() A.a 1 B.a 3 C.a 8 D.a 10答案 A解析 设{a n }的公差为d (d ≠0),∵3a 5=2a 7,∴3(a 1+4d )=2(a 1+6d ),得a 1=0.2.(2021·重庆二模)已知公差不为0的等差数列{a n }中,a 2+a 4=a 6,a 9=a 26,则a 10=( )A.52B.5C.10D.40答案 A解析 设公差为d ,由已知得⎩⎪⎨⎪⎧a 1+d +a 1+3d =a 1+5d ,a 1+8d =(a 1+5d )2,由于d ≠0,故a 1=d =14,所以a 10=14+14×9=52.3.已知数列{a n }满足5an +1=25·5an ,且a 2+a 4+a 6=9,则log 13(a 5+a 7+a 9)=() A.-3 B.3 C.-13 D.13答案 A解析 数列{a n }满足5an +1=25·5an ,∴a n +1=a n +2,即a n +1-a n =2,∴数列{a n }是等差数列,公差为2.∵a 2+a 4+a 6=9,∴3a 4=9,a 4=3.∴a 1+3×2=3,解得a 1=-3.∴a 5+a 7+a 9=3a 7=3×(-3+6×2)=27,则log 13(a 5+a 7+a 9)=log 1333=-3.故选A.4.(2022·太原一模)在数列{a n }中,a 1=3,a m +n =a m +a n (m ,n ∈N *),若a 1+a 2+a 3+…+a k =135,则k =( )A.10B.9C.8D.7 答案 B解析 令m =1,由a m +n =a m +a n 可得a n +1=a 1+a n ,所以a n +1-a n =3, 所以{a n }是首项为a 1=3,公差为3的等差数列,a n =3+3(n -1)=3n ,所以a 1+a 2+a 3+…+a k =k (a 1+a k )2=k (3+3k )2=135. 整理可得k 2+k -90=0,解得k =9或k =-10(舍).5.程大位《算法统宗》里有诗云“九百九十六斤棉,赠分八子做盘缠.次第每人多十七,要将第八数来言.务要分明依次弟,孝和休惹外人传.”意为:996斤棉花,分别赠送给8个子女做旅费,从第一个开始,以后每人依次多17斤,直到第八个孩子为止.分配时一定要等级分明,使孝顺子女的美德外传,则第八个孩子分得斤数为( )A.65B.176C.183D.184答案 D解析 根据题意可知每个孩子所得棉花的斤数构成一个等差数列{a n },其中d =17,n =8,S 8=996.由等差数列前n 项和公式可得8a 1+8×72×17=996,解得a 1=65.由等差数列通项公式得a 8=65+(8-1)×17=184.则第八个孩子分得斤数为184.6.(2021·全国大联考)在等差数列{a n }中,若a 10a 9<-1,且它的前n 项和S n 有最大值,则使S n >0成立的正整数n 的最大值是( )A.15B.16C.17D.14答案 C解析 ∵等差数列{a n }的前n 项和有最大值,∴等差数列{a n }为递减数列, 又a 10a 9<-1,∴a 9>0,a 10<0, ∴a 9+a 10<0,又S 18=18(a 1+a 18)2=9(a 9+a 10)<0, 且S 17=17(a 1+a 17)2=17a 9>0. 故使得S n >0成立的正整数n 的最大值为17.7.设S n 为等差数列{a n }的前n 项和,若S 6=1,S 12=4,则S 18=________. 答案 9解析 在等差数列中,S 6,S 12-S 6,S 18-S 12成等差数列,∵S 6=1,S 12=4,∴1,3,S 18-4成公差为2的等差数列,即S 18-4=5,S 18=9.8.等差数列{a n }与{b n }的前n 项和分别为S n 和T n ,若S n T n =3n -22n +1,则a 7b 7等于________. 答案 3727解析 a 7b 7=2a 72b 7=a 1+a 13b 1+b 13=a 1+a 132×13b 1+b 132×13=S 13T 13=3×13-22×13+1=3727. 9.(2021·西安一模)已知数列{a n }的前n 项和为S n ,满足a 1=32,a 2=2,2(S n +2+S n )=4S n +1+1,则数列{a n }的前16项和S 16=________.答案 84解析 将2(S n +2+S n )=4S n +1+1变形为(S n +2-S n +1)-(S n +1-S n )=12,即a n +2-a n+1=12,又a 1=32,a 2=2,∴a 2-a 1=12符合上式,∴{a n }是首项a 1=32,公差d =12的等差数列,∴S 16=16×32+16×152×12=84.10.已知公差大于零的等差数列{a n }的前n 项和为S n ,且满足a 2a 4=65,a 1+a 5=18.(1)求数列{a n }的通项公式;(2)是否存在常数k ,使得数列{S n +kn }为等差数列?若存在,求出常数k ;若不存在,请说明理由.解 (1)设公差为d .∵{a n }为等差数列,∴a 1+a 5=a 2+a 4=18,又a 2a 4=65,∴a 2,a 4是方程x 2-18x +65=0的两个根,又公差d >0,∴a 2<a 4,∴a 2=5,a 4=13.∴⎩⎪⎨⎪⎧a 1+d =5,a 1+3d =13,∴⎩⎪⎨⎪⎧a 1=1,d =4,∴a n =4n -3. (2)由(1)知,S n =n +n (n -1)2×4=2n 2-n , 假设存在常数k ,使数列{S n +kn }为等差数列. 由S 1+k +S 3+3k =2S 2+2k , 得1+k +15+3k =26+2k ,解得k =1. ∴S n +kn =2n 2=2n ,当n ≥2时,2n -2(n -1)=2,为常数,∴数列{S n +kn }为等差数列.故存在常数k =1,使得数列{S n +kn }为等差数列. 11.设数列{a n }的各项都为正数,其前n 项和为S n ,已知对任意n ∈N *,S n 是a 2n 和a n 的等差中项.(1)证明:数列{a n }为等差数列;(2)若b n =-n +5,求{a n ·b n }的最大项的值并求出取最大值时n 的值.(1)证明 由已知可得2S n =a 2n +a n ,且a n >0,当n =1时,2a 1=a 21+a 1,解得a 1=1.当n ≥2时,有2S n -1=a 2n -1+a n -1,所以2a n =2S n -2S n -1=a 2n -a 2n -1+a n -a n -1,所以a 2n -a 2n -1=a n +a n -1,即(a n +a n -1)(a n -a n -1)=a n +a n -1,因为a n +a n -1>0,所以a n -a n -1=1(n ≥2).故数列{a n }是首项为1,公差为1的等差数列.(2)解 由(1)可知a n =n ,设c n =a n ·b n ,则c n =n (-n +5)=-n 2+5n=-⎝ ⎛⎭⎪⎫n -522+254, 因为n ∈N *,所以n =2或3,c 2=c 3=6,因此当n =2或n =3时,{a n ·b n }取最大项,且最大项的值为6.12.(2020·新高考山东卷)将数列{2n -1}与{3n -2}的公共项从小到大排列得到数列{a n },则{a n }的前n 项和为__________.答案 3n 2-2n解析 法一(观察归纳法) 数列{}2n -1的各项为1,3,5,7,9,11,13,…;数列{3n -2}的各项为1,4,7,10,13,….现观察归纳可知,两个数列的公共项为1,7,13,…,是首项为1,公差为6的等差数列, 则a n =1+6(n -1)=6n -5.故其前n 项和为S n =n (a 1+a n )2=n (1+6n -5)2=3n 2-2n . 法二(引入参变量法) 令b n =2n -1,c m =3m -2,b n =c m ,则2n -1=3m -2,即3m =2n +1,m 必为奇数.令m =2t -1,则n =3t -2(t =1,2,3,…).a t =b 3t -2=c 2t -1=6t -5,即a n =6n -5.以下同法一.13.(2022·衡水模拟)已知在数列{a n }中,a 6=11,且na n -(n -1)a n +1=1,则a n =______;a 2n +143n 的最小值为________.答案 2n -1 44解析 na n -(n -1)a n +1=1,∴(n +1)a n +1-na n +2=1,两式相减得na n -2na n +1+na n +2=0,∴a n +a n +2=2a n +1,∴数列{a n }为等差数列.当n =1时,由na n -(n -1)a n +1=1得a 1=1,由a 6=11,得公差d =2,∴a n =1+2(n -1)=2n -1,∴a 2n +143n =(2n -1)2+143n=4n +144n -4≥24n ·144n -4=44, 当且仅当4n =144n ,即n =6时等号成立.14.等差数列{a n }中,公差d <0,a 2+a 6=-8,a 3a 5=7.(1)求{a n }的通项公式;(2)记T n 为数列{b n }前n 项的和,其中b n =|a n |,n ∈N *,若T n ≥1 464,求n 的最小值.解 (1)∵等差数列{a n }中,公差d <0,a 2+a 6=-8, ∴a 2+a 6=a 3+a 5=-8,又∵a 3a 5=7,∴a 3,a 5是一元二次方程x 2+8x +7=0的两个根,且a 3>a 5, 解方程x 2+8x +7=0,得a 3=-1,a 5=-7,∴⎩⎪⎨⎪⎧a 1+2d =-1,a 1+4d =-7,解得a 1=5,d =-3. ∴a n =5+(n -1)×(-3)=-3n +8.(2)由(1)知{a n }的前n 项和S n =5n +n (n -1)2×(-3)=-32n 2+132n . ∵b n =|a n |,∴b 1=5,b 2=2,b 3=|-1|=1,b 4=|-4|=4, 当n ≥3时,b n =|a n |=3n -8.当n <3时,T 1=5,T 2=7;当n ≥3时,T n =-S n +2S 2=3n 22-13n 2+14.∵T n ≥1 464,∴T n =3n 22-13n 2+14≥1 464,即(3n-100)(n+29)≥0,解得n≥100,3∴n的最小值为34.。
某某省某某市博山区第六中学高考数学复习 第六篇 数列 第3讲等比数列及其前n 项和1.如果等比数列{a n }中,a 3·a 4·a 5·a 6·a 7=42,那么a 5=( )A .2 B.2C .±2 D.± 22.设数列{a n },{b n }分别为等差数列与等比数列,且a 1=b 1=4,a 4=b 4=1,则以下结论正确的是( )A .a 2>b 2B .a 3<b 3C .a 5>b 5D .a 6>b 63.设a 1,a 2,a 3,a 4成等比数列,其公比为2,则2a 1+a 22a 3+a 4的值为( )A.14B.12C.18D .1 4.已知等比数列{a n }中,a n >0,a 10a 11=e ,则ln a 1+ln a 2+…+ln a 20的值为( )A .12B .10C .8D .e5.若等比数列{a n }满足a n a n +1=16n,则公比为( )A .2B .4C .8D .166.a 1,a 2,a 3,a 4是各项不为零的等差数列且公差d ≠0,若将此数列删去某一项得到的数 列(按原来的顺序)是等比数列,则a 1d的值为( )A .-4或1B .1C .4D .4或-1 7.下列四个结论中,正确的个数是( )①等比数列{a n }的公比q >0且q ≠1,则{a n }是递增数列; ②等差数列不是递增数列就是递减数列;③{a n }是递增数列,{b n }是递减数列,则{a n -b n }是递增数列; ④{a n }是递增的等差数列,则{2a n }是递增的等比数列. A .1 B .2 C .3 D .48.等比数列{a n }中,若a 1+a 2=1,a 3+a 4=9,那么a 4+a 5等于( )A .27B .27或-27C .81D .81或-819.已知等比数列{a n }的公比为正数,且a 3·a 7=4a 24,a 2=2,则a 1=( )A .1 B.2C .2 D.2210.设S n 为等比数列{a n }的前n 项和,已知3S 3=a 4-2,3S 2=a 3-2,则公比q =( )A .3B .4C .5D .611.在等比数列{a n }中,若a 2a 3a 6a 9a 10=32,则a 29a 12的值为( )A .4B .2C .-2D .-412.已知数列{a n }是首项为1的等比数列,S n 是数列{a n }的前n 项和,且9S 3=S 6,则数列⎩⎨⎧⎭⎬⎫1a n的前5项和为( )A.158或15B.3116或15C.3116 D.15813.数列{a n }的前n 项和为S n ,若a 1=1,a n +1=3S n (n ≥1),则a 6=( )A .3×44B .3×44+1C .44D .44+114.已知公差不为0的等差数列{a n }满足a 1,a 3,a 4成等比数列,S n 为{a n }的前n 项和,则S 3-S 2S 5-S 3的值为( )A .2B .3C.15D .415.在等比数列{a n }中,a 7·a 11=6,a 4+a 14=5,则a 20a 10=( ) A.23 B.32C.23或32D .-23或-3216.在等比数列{a n }中a 1=2,前n 项和为S n ,若数列{a n +1}也是等比数列,则S n 等于( )A .2n +1-2 B .3n C .2n D .3n-117.设等比数列{a n }的前n 项和为S n ,若S 6S 3=12,则S 9S 3等于 ( )A .1 2B .23C .3 4D .1 318.已知等比数列{a n }中,a n >0,a 10a 11=e ,则ln a 1+ln a 2+…+ln a 20的值为( )A .12B .10C .8D .e19.若数列{a n }满足a 1=5,a n +1=a 2n +12a n +a n 2(n ∈N *),则其前10项和是( )A .200B .150C .100D .5020.在等比数列{a n }中,a 1+a 2+…+a n =2n-1(n ∈N *),则a 21+a 22+…+a 2n 等于( )A .(2n -1)2B.13(2n -1)2C .4n -1 D.13(4n -1)21.数列{a n }中,n 12(n )2n 1(n .)n a -⎧=⎨⎩-为正奇数为正偶数设数列{a n }的前n 项和为S n ,则S 9=________.22.数列{a n }的前n 项之和为S n ,S n =1-23a n ,则a n =________.23.{a n }是等比数列,前n 项和为S n ,S 2=7,S 6=91,则S 4=________. 24.设数列{a n }的前n 项和为S n (n ∈N +),关于数列{a n }有下列四个命题:①若{a n }既是等差数列又是等比数列,则a n =a n +1(n ∈N +) ②若S n =an 2+bn (a ,b ∈R),则{a n }是等差数列 ③若S n =1-(-1)n,则{a n }是等比数列④若{a n }是等比数列,则S m ,S 2m -S m ,S 3m -S 2m (m ∈N +)也成等比数列. 其中正确的命题是__________.(填上正确命题的序号)25.在△ABC 中,tan A 是以-4为第三项,4为第七项的等差数列的公差,tan B 是以13为第三项,9为第六项的等比数列的公比,则tan C =________.26.各项都为正数的等比数列{a n }中,a 1=1,a 2+a 3=271a 2+1a 3,则通项公式a n =________.27.设项数为10的等比数列的中间两项与2x 2+9x +6=0的两根相等,则数列的各项相乘 的积为________.28.在等比数列{a n }中,a n >0,且a 1·a 2·…·a 7·a 8=16,则a 4+a 5的最小值为________.29.已知a ,b ,c 是递减的等差数列,若将其中两个数的位置对换,得到一个等比数列,则a 2+c 2b2的值为________.30.已知{a n }是递增等比数列,a 2=2,a 4-a 3=4,则此数列的公比q =________. 31.已知数列{a n }的前n 项和S n =2n-3,则数列{a n }的通项公式为________.32.设{a n }是公比为q 的等比数列,|q |>1,令b n =a n +1(n =1,2,…),若数列{b n }有连续四项在集合{-53,-23,19,37,82}中,则6q =________.33.设等比数列{a n }的前n 项和为S n ·已知a 2=6,6a 1+a 3=30,求a n 和S n · 34.已知等比数列{a n }中,a 1=13,公比q =13.(1)S n 为{a n }的前n 项和,证明:S n =1-a n2;(2)设b n =log 3a 1+log 3a 2+…+log 3a n ,求数列{b n }的通项公式.35.已知两个等比数列{a n },{b n },满足a 1=a (a >0),b 1-a 1=1,b 2-a 2=2,b 3-a 3=3.(1)若a =1,求数列{a n }的通项公式;(2)若数列{a n }唯一,求a 的值.36.设等比数列{a n }的前n 项和为S n .已知a 2=6,6a 1+a 3=30,求a n 和S n . 37.已知等比数列{a n }的公比q =3,前3项和S 3=133.(1)求数列{a n }的通项公式;(2)若函数f (x )=A sin(2x +φ)(A >0,0<φ<π)在x =π6处取得最大值,且最大值为a 3,求函数f (x )的解析式.38.已知公差不为0的等差数列{a n }的首项a 1为a (a ∈R ),且1a 1,1a 2,1a 4成等比数列.(1)求数列{a n }的通项公式;(2)对n ∈N *,试比较1a 2+1a 22+…+1a 2n 与1a 1的大小.39.已知数列{a n }中,a 1=1,前n 项和为S n ,对任意的自然数n ≥2,a n 是 3S n -4与2-32S n -1的等差中项.(1)求{a n }的通项公式; (2)求S n .40.设数列{a n }的前n 项和为S n ,且(3-m )S n +2ma n =m +3(n ∈N *),其中m 为常数,且m ≠-3.(1)求证:{a n }是等比数列;(2)若数列{a n }的公比q =f (m ),数列{b n }满足b 1=a 1,b n =32f (b n -1)(n ∈N *,n ≥2),求证:{1b n}为等差数列,并求b n .41.已知{a n }是首项为a 1,公比q (q ≠1)为正数的等比数列,其前n 项和为S n ,且有5S 2=4S 4, 设b n =q +S n .(1)求q 的值;(2)数列{b n }能否是等比数列?若是,请求出a 1的值;若不是,请说明理由.。
第3讲 等比数列及其前n 项和配套课时作业1.(2019·某某某某模拟)已知等比数列{a n }中,a 2=2,a 6=8,则a 3a 4a 5=( ) A .±64 B .64 C .32 D .16答案 B解析 因为a 2=2,a 6=8,所以由等比数列的性质可知a 2·a 6=a 24=16,而a 2,a 4,a 6同号,所以a 4=4,所以a 3a 4a 5=a 34=64.故选B.2.(2019·某某调研)设等比数列{a n }的前n 项和为S n ,若a 1=3,a 4=24,则S 6=( ) A .93 B .189 C .99 D .195答案 B解析 ∵a 4=a 1q 3=3q 3=24,∴q =2,∴S 6=a 11-q 61-q=189.故选B.3.已知正项等比数列{a n }中,a n +1<a n ,a 2·a 8=6,a 4+a 6=5,则a 5a 7=( ) A.56 B.65 C.23 D.32答案 D解析 由等比数列性质可知a 2a 8=a 4a 6=6,故a 4,a 6分别是方程x 2-5x +6=0的两根.因为a n +1<a n ,所以a 4=3,a 6=2,故a 5a 7=a 4a 6=32.故选D.4.(2019·某某模拟)设a 1=2,数列{1+2a n }是公比为2的等比数列,则a 6=( ) A .31.5 B .160 C .79.5 D .159.5答案 C解析 因为1+2a n =(1+2a 1)·2n -1,则a n =5·2n -1-12,a n =5·2n -2-12. a 6=5×24-12=5×16-12=80-12=79.5.5.(2019·某某某某中学调研)等比数列{a n }的前n 项和为S n ,已知a 2a 5=2a 3,且a 4与2a 7的等差中项为54,则S 5=( )A .29B .31C .33D .36答案 B解析 由a 2a 5=a 3a 4=2a 3,得a 4= 2.又a 4+2a 7=2×54,所以a 7=14,又因为a 7=a 4q 3,所以q =12,所以a 1=16,所以S 5=16×⎣⎢⎡⎦⎥⎤1-⎝ ⎛⎭⎪⎫1251-12=31.故选B.6.已知等比数列{a n }满足a 1=3,a 1+a 3+a 5=21,则a 3+a 5+a 7=( ) A .21 B .42 C .63 D .84答案 B解析 设等比数列{a n }的公比为q ,a 1+a 3+a 5=a 1(1+q 2+q 4)=21,即q 4+q 2+1=7,解得q 2=2,所以a 3+a 5+a 7=(a 1+a 3+a 5)×q 2=21×2=42.故选B.7.在递增的等比数列{a n }中,已知a 1+a n =34,a 3·a n -2=64(n >2),且前n 项和S n =42,则n =( )A .3B .4C .5D .6答案 A解析 由a 1+a n =34,a 1a n =a 3a n -2=64及{a n }为递增数列,得a 1=2,a n =32=a 1qn -1,又S n =a 11-q n1-q=42,∴q =4,n =3.故选A.8.(2019·某某模拟)设S n 是等比数列{a n }的前n 项和,若S 4S 2=3,则S 6S 4=( ) A .2 B .73 C .310 D .1或2答案 B解析 设S 2=k ,S 4=3k ,由数列{a n }为等比数列,得S 2,S 4-S 2,S 6-S 4为等比数列,∴S 2=k ,S 4-S 2=2k ,S 6-S 4=4k ,∴S 6=7k ,S 4=3k ,∴S 6S 4=7k 3k =73.故选B.9.(2019·延庆模拟)等差数列{a n }的公差为2,若a 2,a 4,a 8成等比数列,则{a n }的前n 项和S n =( )A .n (n +1)B .n (n -1)C .n n +12D .n n -12答案 A解析 ∵a 2,a 4,a 8成等比数列,∴a 24=a 2·a 8,即(a 1+3d )2=(a 1+d )(a 1+7d ), 将d =2代入上式,解得a 1=2, ∴S n =2n +n n -1·22=n (n +1).故选A.10.(2019·北大附中模拟)若正项数列{a n }满足a 1=2,a 2n +1-3a n +1a n -4a 2n =0,则数列{a n }的通项公式为( )A .a n =22n -1B .a n =2nC .a n =22n +1D .a n =22n -3答案 A解析 ∵a 2n +1-3a n +1a n -4a 2n =(a n +1-4a n )(a n +1+a n )=0,又a n +1+a n >0,∴a n +1=4a n ,∴a n =2×4n -1=22n -1.故选A.11.设等比数列{a n }的前n 项和为S n ,若a 8=2a 4,S 4=4,则S 8的值为( ) A .4 B .8 C .10 D .12答案 D解析 设等比数列{a n }的公比为q ,由题意知q ≠1.因为a 8=2a 4,S 4=4,所以⎩⎪⎨⎪⎧a 1q 7a 1q 3=2,a 11-q 41-q=4,解得q 4=2,a 1=-4(1-q ),所以S 8=a 11-q 81-q=-41-q 1-221-q=12.故选D.12.记等比数列{a n }的前n 项积为T n (n ∈N *),已知a m -1·a m +1-2a m =0,且T 2m -1=128,则m 的值为( )A .4B .7C .10D .12答案 A解析 因为{a n }是等比数列,所以a m -1a m +1=a 2m .又a m -1a m +1-2a m =0,则a 2m -2a m =0,所以a m =2.由等比数列的性质可知前2m -1项积T 2m -1=a 2m -1m ,即22m -1=128,故m =4.故选A.13.(2019·某某模拟)设数列{a n }的前n 项和为S n ,且a 1=1,a n +1=2S n +3,则S 4=________.答案 66解析 依题意有a n =2S n -1+3(n ≥2),与原式作差,得a n +1-a n =2a n ,n ≥2,即a n +1=3a n ,n ≥2,可见,数列{a n }从第二项起是公比为3的等比数列,a 2=5,所以S 4=1+5×1-331-3=66.14.设S n 为等比数列{a n }的前n 项和.若a 1=1,且3S 1,2S 2,S 3成等差数列,则a n =________. 答案 3n -1解析 由3S 1,2S 2,S 3成等差数列可得4S 2=3S 1+S 3,所以3(S 2-S 1)=S 3-S 2,即3a 2=a 3,a 3a 2=3.所以q =3,所以a n =3n -1. 15.已知等比数列{a n }为递增数列,且a 25=a 10,2(a n +a n +2)=5a n +1,则数列{a n }的通项公式为a n =________.答案 2n解析 ∵a 25=a 10,∴(a 1q 4)2=a 1q 9,∴a 1=q ,∴a n =q n.∵2(a n +a n +2)=5a n +1,∴2a n (1+q 2)=5a n q ,∴2(1+q 2)=5q ,解得q =2或q =12(舍去).∴a n =2n.16.(2019·启东模拟)已知等比数列{a n }中,a 2>a 3=1,则使不等式⎝ ⎛⎭⎪⎫a 1-1a 1+⎝ ⎛⎭⎪⎫a 2-1a 2+⎝ ⎛⎭⎪⎫a 3-1a 3+…+⎝ ⎛⎭⎪⎫a n -1a n ≥0成立的最大自然数n 是________.答案 5解析 设公比为q ,由a 2>a 3=1知0<q <1,a n =q n -3,∴不等式的左端=q -21-q n1-q-q 21-q -n 1-q -1=1-q n1-q q2·(1-q 5-n)≥0,∵0<q <1,∴n ≤5. 17.(2018·高考)设{a n }是等差数列,且a 1=ln 2,a 2+a 3=5ln 2. (1)求{a n }的通项公式; (2)求e a 1+e a 2+…+e an . 解 (1)设{a n }的公差为d .因为a 2+a 3=5ln 2,所以2a 1+3d =5ln 2. 又a 1=ln 2,所以d =ln 2. 所以a n =a 1+(n -1)d =n ln 2. (2)因为ea 1=eln 2=2,eane a n -1=e an -an -1=eln 2=2,所以{e an }是首项为2,公比为2的等比数列. 所以ea 1+ea 2+…+e an =2×1-2n1-2=2(2n-1).18.已知数列{a n }中,a 1=1,a 2=2,a n +1=3a n -2a n -1(n ≥2,n ∈N *).设b n =a n +1-a n . (1)证明:数列{b n }是等比数列; (2)设=b n4n 2-12n,求数列{}的前n 项和S n .解 (1)证明:因为a n +1=3a n -2a n -1(n ≥2,n ∈N *),b n =a n +1-a n , 所以b n +1b n =a n +2-a n +1a n +1-a n =3a n +1-2a n -a n +1a n +1-a n =2a n +1-a na n +1-a n=2, 又b 1=a 2-a 1=2-1=1,所以数列{b n }是以1为首项,以2为公比的等比数列. (2)由(1)知b n =1×2n -1=2n -1,因为=b n4n 2-12n,所以=122n +12n -1=14⎝ ⎛⎭⎪⎫12n -1-12n +1,所以S n =c 1+c 2+…+=14⎝ ⎛⎭⎪⎫1-13+13-15+…+12n -1-12n +1=14⎝ ⎛⎭⎪⎫1-12n +1=n4n +2.19.(2019·某某省实验中学模拟)已知等比数列{a n }的前n 项和为S n ,公比q >0,S 2=2a 2-2,S 3=a 4-2.(1)求数列{a n }的通项公式; (2)设b n =n a n,求{b n }的前n 项和T n . 解 (1)设等比数列{a n }的公比为q , 因为S 2=2a 2-2,①S 3=a 4-2,②所以由①②两式相减得a 3=a 4-2a 2,即q 2-q -2=0. 又因为q >0,所以q =2.又因为S 2=2a 2-2,所以a 1+a 2=2a 2-2,所以a 1+a 1q =2a 1q -2, 代入q =2,解得a 1=2,所以a n =2n. (2)由(1)得b n =n2n ,所以T n =12+222+323+…+n -12n -1+n2n ,①将①式两边同乘12,得12T n =122+223+324+…+n -12n +n2n +1,②由①②两式错位相减得12T n =12+122+123+124+…+12n -n 2n +1=12⎣⎢⎡⎦⎥⎤1-⎝ ⎛⎭⎪⎫12n 1-12-n 2n +1=1-12n -n2n +1,整理得T n =2-n +22n.20.(2019·正定模拟)已知数列{a n }的前n 项和为S n ,a 1=1,且3a n +1+2S n =3(n ∈N *). (1)求数列{a n }的通项公式;(2)若对任意n ∈N *,k ≤S n 恒成立,某某数k 的最大值. 解 (1)因为3a n +1+2S n =3,① 所以当n ≥2时,3a n +2S n -1=3.②由①-②,得3a n +1-3a n +2a n =0(n ≥2),所以a n +1a n =13(n ≥2). 因为a 1=1,3a 2+2a 1=3,解得a 2=13,所以a 2a 1=13.所以数列{a n }是首项为1,公比为13的等比数列.所以a n =⎝ ⎛⎭⎪⎫13n -1.(2)由(1)知S n =32⎣⎢⎡⎦⎥⎤1-⎝ ⎛⎭⎪⎫13n .由题意,可知对于任意n ∈N *,恒有k ≤32⎣⎢⎡⎦⎥⎤1-⎝ ⎛⎭⎪⎫13n 成立.因为数列⎩⎨⎧⎭⎬⎫1-⎝ ⎛⎭⎪⎫13n 单调递增,所以数列⎩⎨⎧⎭⎬⎫1-⎝ ⎛⎭⎪⎫13n 中的最小项为23,所以k ≤32×23=1,故实数k 的最大值为1.。
班级__________ 姓名_____________ 学号___________ 得分__________一、选择题(本大题共12小题,每小题5分,在每小题给出的四个选择中,只有一个是符合题目要求的.)1.【浙江省高三第一次五校联考】在等差数列{}n a 中,53a =,62a =-,则348a a a ++等于( )A. 1B. 2C. 3D. 4 【答案】C. 【解析】试题分析:∵等差数列{}n a ,∴3847561a a a a a a +=+=+=,∴3483a a a ++=.2.【辽宁省沈阳市东北育才学校高三八模】等差数列{}n a 中,564a a +=,则10122log (222)a a a ⋅= ( )A.10B.20C.40D.22log 5+ 【答案】B 【解析】 试题分析:因为10121056125()54222222a a a a a a a a ++++⨯⋅⋅⋅===,所以10125422log (222)log 220.a a a ⨯⋅⋅⋅==选B.3. 数列{}n a 为等差数列,满足242010a a a +++=,则数列{}n a 前21项的和等于( )A .212B .21C .42D .84 【答案】B 【解析】4.各项均为正数的等差数列}{n a 中,4936a a =,则前12项和12S 的最小值为( ) (A )78 (B )48 (C )60 (D )72 【答案】D 【解析】试题分析:因为112124912()6()722a a S a a +==+≥=,当且仅当496a a ==时取等号,所以12S 的最小值为72,选D.5.【改编题】已知n S 是等差数列{}n a 的前n 项和,则=-nnn S S S 32( ) A. 30 B. 3 C. 300 D. 31 【答案】D【解析】因为)(2)(231212n n n n n a a n a a n S S +=+=-+,)(23313n n a a nS +=,所以3132=-n n n S S S .6.【改编题】已知n S 是公差d 不为零的等差数列}{n a 的前n 项和,且83S S =,k S S =7(7≠k ),则k 的值为( )A. 3B.4C.5D.6 【答案】B【解析】依题意,83S S =可知d a d a 2883311+=+,即d a 51-=,由k S S =7得d k k ka d a 2)1(2)17(7711-+=-⨯+,将d a 51-=代入化简得028112=+-k k , 解得4=k 或7-=k (舍去),选B.7.【2019新课标I 学易大联考二】已知数列{}n a 的前n 项和n S 满足21(1)22n n nS n S n n +-+=+*()n N ∈,13a =,则数列{}n a 的通项n a =( )A .41n -B .21n +C .3nD .2n +【命题意图】本题考查数列前n 项和n S 与通项n a 间的关系、等差数列通项公式等基础知识,意在考查学生的逻辑思维能力、运算求解能力,以及转化思想的应用. 【答案】A8.【2019新课标II 学易大联考一】《九章算术》有这样一个问题:今有女子善织,日增等尺,七日织二十一尺,第二日、第五日、第八日所织之和为十五尺,问第十日所织尺数为( ) A .6 B .9 C .12 D .15【命题意图】本题主要考查等差数列的通项公式与前n 项和公式,是基础题. 【答案】D【解析】由题知该女每天所织尺数等差数列,设为{}n a ,n S 是其前n 项和,则7S =177()2a a +=47a =21,所以4a =3,因为258a a a ++=53a =15,所以5a =5,所以公差54d a a =-=2,所以10a =55a d +=15,故选D.9.某企业为节能减排,用9万元购进一台新设备用于生产. 第一年需运营费用2万元,从第二年起,每年运营费用均比上一年增加2万元,该设备每年生产的收入均为11万元. 设该设备使用了()n n N *∈年后,盈利总额达到最大值(盈利额等于收入减去成本),则n 等于( ) A.4 B.5 C.6 D.7 【答案】A【解析】设该设备第()n n N *∈的营运费用为n a 万元,则数列{}n a 是以2为首项,以2为公差的等差数列,则2n a n =,则该设备到第()n n N *∈年的营运费用总和为12242n a a a n +++=+++=()2222n n n n +=+,设第()n n N *∈的盈利总额为nS 万元,则()22119109n S n n n n n =-+-=-+-()2516n =--+,因此,当5n =时,n S 取最大值16,故选B.10.【原创题】已知等差数列}{n a 中,59914,90a a S +==, 则12a 的值是( ) A . 15 B .12-C .32-D .32【答案】B11.【原创题】已知等差数列765)1()1()1(53}{x x x n a a n n +++++-=,则,的展开式中4x 项的系数是数列}{n a 中的 ( )A .第9项B .第10项C .第19项D .第20项 【答案】D .【解析】由二项式定理得567(1)(1)(1)x x x +++++的展开式中4x 项的系数为44456776551555123C C C ⨯⨯++=++=⨯⨯,由3555n -=,得20n =,故选D .12.【2019浙江理6】如图所示,点列{}{},n n A B 分别在某锐角的两边上,且1n n A A +=12n n A A ++,2n n A A +≠,n ∈*N ,112n n n n B B B B +++=,2n n B B +≠,n ∈*N (P Q≠表示点P 与点Q 不重合).若n n n d A B =,n S 为1n n n A B B +△的面积,则( ).S nB 1B 2B nB 3B n+1A n+1A 3A nS 1S 2A 2A 1••••••••••••••••••A. {}n S 是等差数列B.2{}n S 是等差数列 C.{}n d 是等差数列 D.2{}n d 是等差数列【答案】A .【解析】设点n A 到对面直线的距离为n h ,则112n n n n+S h B B =. 由题目中条件可知1n n B B +的长度为定值,则1212n n S h B B =.那么我们需要知道n h 的关系式,过点1A 作垂直得到初始距离1h ,那么1,n A A 和两个垂足构成了直角梯形,那11tan n n h h A A θ=+⋅,其中θ为两条线的夹角,那么11121(tan )2n n S h A A B B θ=+⋅.由题目中条件知112n n n n A A A A +++=,则()1121n A A n A A =-.所以()1121211tan 2n S h n A A B B θ=⎡+-⋅⎤⎣⎦,其中θ为定值,所以n S 为等差数列.故选A. 二、填空题(本大题共4小题,每小题5分,共20分.把答案填在题中的横线上.)13.【2019江苏8】已知{}n a 是等差数列,n S 是其前n 项和.若2123a a +=-,510S =,则9a 的值是 .【答案】20【解析】设公差为d ,则由题意可得()2111351010a a d a d ⎧++=-⎪⎨+=⎪⎩,解得143a d =-⎧⎨=⎩,则948320a =-+⨯=.14.【2019北京理12】已知{}n a 为等差数列,n S 为其前n 项和,若16a =,350a a +=,则6S =__________.【答案】615.如图,有一个形如六边形的点阵,它的中心是一个点(算第..1.层.),第2层每边有两个点,第3层每边有三个点,依次类推.(1) 试问第n 层()2n N n *∈≥且的点数为___________个; (2) 如果一个六边形点阵共有169个点,那么它一共有_____层.【答案】(1)()61n -;(2)8.16.【2019届江苏省盐城市高三第三次模拟考试】设n S 是等差数列{}n a 的前n 项和,若数列{}n a 满足2n n a S An Bn C +=++且0A >,则1B C A+-的最小值为 .【答案】【解析】试题分析:令1(1)n a a n d =+-,则1(1)2n n n S na d -=+, 又2n n a S An Bn C +=++ 所以2211(1)22d da n d na n n An Bn C +-++-=++ 即得2d A =,12dB a =+,1C a d =- 所以11122322d d B C a a d A d d +-=++-+=+因为0A >,所以0d >232d d +≥=232d d =即d =所以1B C A+-的最小值为故答案为三、解答题 (本大题共6小题,共70分.解答应写出文字说明、证明过程或演算步骤.)17.【2019届广东省惠州市高三第一次调研考试】(本题10分)已知{}n a 为等差数列,且满足138a a +=,2412a a +=.(Ⅰ)求数列{}n a 的通项公式;(Ⅱ)记{}n a 的前n 项和为n S ,若31,,k k a a S +成等比数列,求正整数k 的值. 【答案】(Ⅰ)2n a n =;(Ⅱ)2k = 【解析】18.【2019届宁夏银川一中高三上学期第一次月考】等差数列{}n a 中,13a =,前n 项和为n S ,等比数列{}n b 各项均为正数,11b =,且2212b S +=,{}n b 的公比22S q b = (1)求n a 与n b ;(2)求nS S S 11121+++ . 【答案】(1)n n a n 3)1(33=-+=,13-=n n b (2)23(1)n nS n =+【解析】19.【2019全国甲理17】n S 为等差数列{}n a 的前n 项和,且11a =,728S =.记[]lg n n b a =,其中[]x 表示不超过的最大整数,如[]0.90=,[]lg991=. (1)求1b ,11b ,101b ;(2)求数列{}n b 的前1000项和. 【答案】(1)0,1,2;(2)1893. 【解析】20.【江苏省盐城市高三第三次模拟考试】设函数21()1+f x px qx=+(其中220p q +≠),且存在无穷数列{}n a ,使得函数在其定义域内还可以表示为212()1n n f x a x a x a x =+++++.(1)求2a (用,p q 表示); (2)当1,1p q =-=-时,令12n n n n a b a a ++=,设数列{}n b 的前n 项和为n S ,求证:32n S <;(3)若数列{}n a 是公差不为零的等差数列,求{}n a 的通项公式. 【答案】(1)22a p q =-;(2)证明见解析;(3)1n a n =+. 【解析】试题分析:(1) 由21()1+f x px qx=+,得2212(1)(1)1n n px qx a x a x a x +++++++=,可利用展开式含未知量的系数为0,求得2a ;(2)由已知求出数列前两项,再由(3)nx n ≥的系数为0得到数列的递推式,代入12n n n n a b a a ++=后利用裂项相消法求得数列{}n b 的前n 项和为n S ,放大后证得32n S <; (3)由(2)120n n n a pa qa --++=,因数列{}n a 是等差数列,所以1220n n n a a a ---+=,所以12(2+)(1)n n p a q a --=-对一切3n ≥都成立,然后排出数列为常数列的情况,再结合数列的前两项即可得数列{}n a 的通项公式.21.【2019年山西高三四校联考】(本小题满分12分)在等差数列}{n a 中,11,552==a a ,数列}{n b 的前n 项和n n a n S +=2. (Ⅰ)求数列}{n a ,}{n b 的通项公式;(Ⅱ)求数列⎩⎨⎧⎭⎬⎫+11n n b b 的前n 项和n T .【答案】(I )12+=n a n ,⎩⎨⎧≥+==)2(,12)1(,4n n n b n ;(II ))32(2016+-=n n T n .(2)n=1时,2011211==b b T , n ≥2时,)321121(21)32)(12(111+-+=++=+n n n n b b n n , 所以 )32(201615101201)32151(21201)32112191717151(21201+-=+-+=+-+=+-+++-+-+=n n n n n n n T n n=1仍然适合上式, …………(10分) 综上,)32(201615101201+-=+-+=n n n n T n ………… (12分) 22.【2019年江西师大附中高三二模】(本小题满分12分)在公比为2的等比数列{}n a 中,2a 与5a 的等差中项是.(Ⅰ)求1a 的值;(Ⅱ)若函数1sin 4y a x πφ⎛⎫=+ ⎪⎝⎭,φπ<,的一部分图像如图所示,()11,M a -,()13,N a -为图像上的两点,设MPN β∠=,其中P 与坐标原点O 重合,πβ<<0,求()tan φβ-的值.【答案】(I );(II)32-+.【解析】 (Ⅱ)∵点在函数的图像上,∴,又∵,∴ -------------7分 如图,连接MN ,在中,由余弦定理得1a ()11,M a -1sin 4y a x πφ⎛⎫=+ ⎪⎝⎭sin 14πφ⎛⎫-+= ⎪⎝⎭φπ<34φπ=MPN ∆。
6.2 等差数列及其前n 项和必备知识预案自诊知识梳理1。
等差数列(1)定义:一般地,如果一个数列从 起,每一项与它的前一项的 都等于 ,那么这个数列就叫作等差数列,这个常数叫作等差数列的 ,公差通常用字母d 表示。
数学语言表示为a n+1-a n =d (n ∈N +),d 为常数。
(2)等差中项:数列a ,A ,b 成等差数列的充要条件是 ,其中A 叫作a ,b 的 .(3)等差数列{a n }的通项公式:a n = ,可推广为a n =a m +(n —m )d.(4)等差数列的前n 项和公式:S n =n (n1+n n )2=na 1+n (n -1)2d.2。
等差数列的通项公式及前n 项和公式与函数的关系 (1)a n =a 1+(n-1)d 可化为a n =dn+a 1—d 的形式。
当d ≠0时,a n 是关于n 的一次函数;当d 〉0时,数列为递增数列;当d 〈0时,数列为递减数列。
(2)数列{a n }是等差数列,且公差不为0⇔S n =An 2+Bn (A ,B 为常数)。
1.已知{a n }为等差数列,d 为公差,S n 为该数列的前n 项和.(1)在等差数列{a n }中,当m+n=p+q时,a m+a n=a p+a q(m,n,p,q∈N+)。
特别地,若m+n=2p,则2a p=a m+a n(m,n,p∈N+)。
(2)a k,a k+m,a k+2m,…仍是等差数列,公差为md(k,m∈N+)。
(3)S n,S2n-S n,S3n-S2n,…也成等差数列,公差为n2d. (4)若{a n},{b n}是等差数列,则{pa n+qb n}也是等差数列.(5)若项数为偶数2n,则S2n=n(a1+a2n)=n(a n+a n+1);S偶—S奇=nd;S奇S偶=a na n+1。
(6)若项数为奇数2n—1,则S2n-1=(2n—1)a n;S奇-S偶=a n;S奇S偶=nn-1。
第二节 等差数列及其前n项和 A组 专项基础测试 三年模拟精选 一、选择题 1.(2015·广东东莞一模)设{an}是等差数列,若a2=3,a7=13,则数列{an}前8项和为( ) A.128 B.80 C.64 D.56 解析 因为{an}是等差数列,且a2=3,a7=13,则公差d=2,a1=1,所以S8=8a1+8×72
d=8+56=64,故选C.
答案 C 2.(2015·云南省昆明模拟)已知公差不为零的等差数列{an}的前n项和为Sn,若a10=S4,则S8a9等于( ) A.4 B.5 C.8 D.10 解析 由a10=S4得a1+9d=4a1+4×32d=4a1+6d,即a1=d≠0.所以S8=8a1+8×72d=8a1
+28d=36d,所以S8a9=36da1+8d=36d9d=4,选A. 答案 A 3.(2014·广东梅县测试)已知等差数列{an}的前n项和为Sn,若OB→=a1OA→+a200OC→,且A、B、C三点共线(该直线不经过点O),则S200等于( )
A.100 B.101 C.200 D.201 解析 ∵OB→=a1OA→+a200OC→,且A、B、C三点共线,∴a1+a200=1,∴S200=200(a1+a200)2=100. 答案 A 4.(2014·辽宁抚顺调研)在等差数列{an}中,a1>0,a10·a11<0,若此数列的前10项和S10
=36,前18项和S18=12,则数列{|an|}的前18项和T18的值是( )
A.24 B.48 C.60 D.84 解析 由a1>0,a10·a11<0可知d<0,a10>0,a11<0,∴T18=a1+…+a10-a11-…-a18=S10
-(S18-S10)=60,故选C. 答案 C 二、填空题 5.(2014·福建福州一模)已知等差数列{an},其中a1=13,a2+a5=4,an=33,则n的值为________. 解析 在等差数列{an}中,a2+a5=2a1+5d=23+5d=4,所以d=23,又an=13+23(n-1)=33,解得n=50. 答案 50
所谓的光辉岁月,并不是以后,闪耀的日子,而是无人问津时,你对梦想的偏执
同是寒窗苦读,怎愿甘拜下风!
1
(江苏专用)2018版高考数学专题复习 专题6 数列 第38练 数列
的前n项和练习 理
训练目标 (1)求数列前n项和的常用方法;(2)数列通项求和的综合应用.
训练题型 (1)一般数列求和;(2)数列知识的综合应用.
解题策略
数列求和的常用方法:(1)公式法;(2)分组法;(3)并项法;(4)倒序相加法;
(5)裂项相消法;(6)错位相减法.
1.(2016·东营期中)若数列{an}的通项公式是an=(-1)n·(3n-2),则a1+a2+…+a10=
________.
2.(2017·山西晋中联考)已知数列{an}的通项公式是an=2n-12n,其前n项和Sn=32164,则项
数n=________.
3.(2016·河南中原名校联考二)已知函数f(x)=x2+ax的图象在点A(0,f(0))处的切线
l
与直线2x-y+2=0平行,若数列{1fn}的前n项和为Sn,则S20的值为________.
4.(2016·徐州模拟)若Sn是数列{an}的前n项和,且a1=-1,an+1=Sn·Sn+1,则Sn=
________.
5.数列{an}满足a1=1,且对于任意的n∈N*都有an+1=a1+an+n,则1a1+1a2+…+1a2 013=
________.
6.(2016·合肥第二次教学质量检测)已知数列{an}的前n项和为Sn,若Sn=2an-2n,则
S
n
=________.
7.(2016·苏州模拟)设f(x)是定义在R上恒不为零的函数,且对任意的x,y∈R,都有
f(x)·f(y)=f(x+y),若a1=12,an=f(n)(n∈N*),则数列{an}的前n项和S
n
的取值范围是
________________.
8.(2016·宿迁模拟)数列{an}的通项公式an=ncos nπ2+1,前n项和为Sn,则S2 012=
________.
9.(2016·云南师大附中月考)设S=1+112+122+1+122+132+ 1+132+142+…+
1+12 0142+12 0152,则不大于S的最大整数[S]等于________.
10.正项数列{an}的前n项和Sn满足:S2n-(n2+n-1)Sn-(n2+n)=0.
所谓的光辉岁月,并不是以后,闪耀的日子,而是无人问津时,你对梦想的偏执
同是寒窗苦读,怎愿甘拜下风!
2
(1)求数列{an}的通项公式an;
(2)令bn=n+1n+22a2n,数列{bn}的前n项和为Tn,证明:对于任意的n∈N*,都有Tn<564.
所谓的光辉岁月,并不是以后,闪耀的日子,而是无人问津时,你对梦想的偏执
同是寒窗苦读,怎愿甘拜下风!
3
答案精析
1.15 2.6 3.325462 4.-1n
5.2 0131 007
解析 因为an+1=a1+an+n=1+an+n,
所以an+1-an=n+1.
用累加法:an=a1+(a2-a1)+…
+(an-an-1)
=1+2+…+n=nn+12,
所以1an=2nn+1=21n-1n+1.
所以1a1+1a2+…+1a2 013
=2 1-12+12-13+13-14+…
+12 013-
1
2 014
=21-12 014=2 0131 007.
6.n·2n
解析 ∵Sn=2an-2n
=2(Sn-Sn-1)-2n,
即Sn=2Sn-1+2n(n≥2),
∴Sn2n=2Sn-12n+1=Sn-12n-1+1,
∴Sn2n-Sn-12n-1=1,
且S1=a1=2,∴S12=1,
∴数列{Sn2n}是首项为1,公差为1的等差数列,
所谓的光辉岁月,并不是以后,闪耀的日子,而是无人问津时,你对梦想的偏执
同是寒窗苦读,怎愿甘拜下风!
4
∴Sn2n=n,∴Sn=n·2n.
7.[12,1)
解析 由已知可得a1=f(1)=12,
a2=f(2)=[f
(1)]2=(12)2,
a3=f(3)=f(2)·f
(1)
=[f(1)]3=(12)3,…,
an=f(n)=[f
(1)]n=(12)n,
所以Sn=12+(12)2+(12)3+…+(12)n
=12[1-12n]1-12
=1-(12)n,
因为n∈N*,所以12≤Sn<1.
8.3 018
解析 由于f(n)=cos nπ2的值具有周期性,
所以可从数列的周期性及从头开始连续四项的和为定值入手解决.
当n=4k+1(k∈N)时,
an=(4k
+1)cos 4k+12π+1=1,
当n=4k+2(k∈N)时,
an=(4k
+2)cos 4k+22π+1
=-(4k+2)+1=-4k-1,
当n=4k+3(k∈N)时,
an=(4k
+3)cos 4k+32π+1=1,
当n=4k+4(k∈N)时,
所谓的光辉岁月,并不是以后,闪耀的日子,而是无人问津时,你对梦想的偏执
同是寒窗苦读,怎愿甘拜下风!
5
an=(4k
+4)cos 4k+42π+1
=(4k+4)+1=4k+5,
∴a4k+1+a4k+2+a4k+3+a4k+4=1-4k-1+1+4k+5=6.
∴S2 012=a1+a2+a3+a4+a5+…+a2 012
=(a1+a2+a3+a4)+(a5+a6+a7+a8)+…+(a2 009+a2 010+a2 011+a2 012)
=6×503=3 018.
9.2 014
解析 ∵1+1n2+11+n2
= n2+n2+2n2+n+1n21+n2
=n2+n+1nn+1=1+(1n-1n+1),
∴S=1+(11-12)+1+(12-13)+…+1+(12 014-12 015)
=2 015-12 015,故[S]=2 014.
10.(1)解 由S2n-(n2+n-1)Sn-(n2+n)=0,
得[Sn-(n2+n)](Sn+1)=0,
由于{an}是正项数列,所以Sn+1>0.
所以Sn=n2+n(n∈N*).
n≥2时,an=Sn-Sn-1=2n
,
n=1时,a1=S
1
=2适合上式.
所以an=2n(n∈N*).
(2)证明 由an=2n(n∈N*),
得bn=n+1n+22a2n=n+14n2n+22
=1161n2-1n+22,
T
n
=116 1-132+122-142
+132-152+…+ 1n-12-1n+12
+
1n2-1
n
+2
2
所谓的光辉岁月,并不是以后,闪耀的日子,而是无人问津时,你对梦想的偏执
同是寒窗苦读,怎愿甘拜下风!
6
=1161+122-1n+12-1n+22
<1161+122
=564(n∈N*).
即对于任意的n∈N*,都有Tn<564.