微分几何彭家贵答案
- 格式:pdf
- 大小:4.13 MB
- 文档页数:21
《微分几何》复习题与参考答案一、填空题1.极限232lim[(31)i j k]t t t →+-+=138i j k -+.2.设f ()(sin )i j t t t =+,2g()(1)i j t t t e =++,求0lim(()())t f t g t →⋅=0.3.已知{}42r()d =1,2,3t t -⎰,{}64r()d =2,1,2t t -⎰,{}2,1,1a =,{}1,1,0b =-,则46()()a r t dt+b a r t dt=⨯⋅⋅{}3,9,5-.4526.贴近”空间曲线的直线和平面分别是该曲线的___切线___7.曲率恒等于零的曲线是_________________.8.9.切线(副法线)和固定方向成固定角的曲线称为一般螺线3αβ=,则曲线在0≠,则(,u v 12.()(2)(ln )f t t j t k =++,()(sin )(cos )g t t i t j =-,0t >,则 曲线{}3()2,,t r t t t e =在任意点的切向量为{}22,3,t t e . 曲线{()cosh r t a =曲线{()cos r t a =设曲线:C x e =17.设曲线t t t e z t e y t e x ===,sin ,cos ,当0t =时的切线方程为11-==-z y x . 18.曲面的曲纹坐标网是曲率线网的充要条件是____F =M =0_______________.19.u -曲线(v -曲线)的正交轨线的微分方程是_____E d u +F d v =0(F d u +G d v =0)__. 20.在欧拉公式2212cos sin n k k k θθ=+中,θ是方向(d)与u -曲线的夹角.21.曲面的三个基本形式,,I II III 、高斯曲率K 、平均曲率H 之间的关系是20H K III -II +I =. 22.已知{}r(,),,u v u v u v uv =+-,其中2,sin u t v t ==,则drd t={}2cos ,2cos ,2cos t t t t vt u t +-+.23.已知{}r(,)cos cos ,cos sin ,sin a a a ϕθϕθϕθϕ=,其中t =ϕ,2t =θ,则dr(,)d tϕθ={}sin cos 2cos sin ,sin sin 2cos cos ,cos a at a at a ϕθϕθϕθϕθϕ---+.24.设(,)r r u v =为曲面的参数表示,如果0u v r r ⨯≠,则称参数曲面是正则的;如果:()r G r G →是一一对应的,则称曲面是简单曲面.25.如果u -曲线族和v -曲线族处处不相切,则称相应的坐标网为正规坐标网. 26.平面{}r(,),,0u v u v =的第一基本形式为22d d u v +,面积微元为d d u v .27.悬链面{}r(,)cosh cos ,cosh sin ,u v u v u v u =第一基本量是22cosh 0,cosh E u F G u ===,. 2829224)d b v u +31{cos ,u v =32(d)d :d u v =和34.是主曲率的充要条件是35. 根据罗德里格斯定理,如果方向n n dn k dr k =-,其中是沿方向37旋转曲面中的极小曲面是平面或悬链面.38.测地曲率的几何意义是曲面S 上的曲线在P 点的测地曲率的绝对值等于(C )在P 点的切平面?上的正投影曲线(C*)的曲率. 39.,,g n k k k 之间的关系是222g n k k k =+.40.如果曲面上存在直线,则此直线的测地曲率为0. 41.正交网时测地线的方程为d ds du ds dv dsθθθ⎧⎪⎪⎪⎨⎪⎪⎪⎩. 42.曲线是曲面的测地线,曲线(C )上任一点在其切平面的正投影曲线是直线. 二、单项选择题12其中a 为常向量.3.是一般螺线,以下命题不正确的是(.切线与固定方向成固定角;4.5.曲率线;C .法截线; 6.(1,2)dr 为(C.{d -d ,d x y x d ,d ,2d x y x +7圆柱螺线{cos ,sin r t =8C ).A.α为单位向量;B.αα⊥;C.k αβ=-;D.k βατγ=-+. 9.直线的曲率为(B ).A.-1;B.0;C.1;D.2.10.关于平面曲线的曲率:()C r r s =不正确的是(D ).A.()()k s s α=;B.()()k s s ϕ=,ϕ为()s α的旋转角;C.()k s αβ=-⋅;D.()|()|k s r s =.11.对于曲线,“曲率恒等于0”是“曲线是直线”的(D ).A.充分不必要条件;B.必要不充分条件;C.既不充分也不必要条件;D.充要条件. 12.下列论述不正确的是(D ).A.,αβγ,均为单位向量;B.αβ⊥;C.βγ⊥;D.αβ. 13.对于空间曲线C ,“挠率为零”是“曲线是直线”的(B ).A.充分不必要条件;B. 必要不充分条件;C.既不充分也不必要条件;D. 充要条件. 56x y z +--球面{(,)r u v R =2(d sinh d u u v +正圆柱面{(,)r u v R =在第一基本形式为的曲线段的弧长为(B ).A .21cosh cosh v v -;B .21sinh sinh v v -;C .12cosh cosh v v -;D .12sinh sinh v v -.20.设M 为正则曲面,则M 的参数曲线网为正交曲线网的充要条件是(B ).A .0E =;B .0F =;C .0G =;D .0M =. 21.高斯曲率为零的的曲面称为(A ).A .极小曲面;B .球面;C .常高斯曲率曲面;D .平面.22.曲面上直线(如果存在)的测地曲率等于(A).A.0;B.1;C.2;D.3.23.当参数曲线构成正交网时,参数曲线u-曲线的测地曲率为(B).;B.AC.A.直线;B.平面曲线;C.抛物线;D.圆柱螺线.1.2.()r t.√r t'.×3.()r t关于t的旋转速度等于其微商的模()4.的曲率、挠率都为常数,则曲线Γ是圆柱螺线5.的曲率、挠率都为非零常数,则曲线是圆柱螺线6.7.8.两个曲面间的变换等角的充要条件是它们的第一基本形式成比例9.16.19.坐标曲线网是正交网的充要条件是0F=,这里F是第一基本量.√20.高斯曲率恒为零的曲面必是可展曲面.√21.连接曲面上两点的所有曲线段中,测地线一定是最短的.×22.球面上的圆一定是测地线.×23.球面上经线一定是测地线.√24.测地曲率是曲面的内蕴量.√四、计算题1.求旋轮线)cos 1(),sin (t a y t t a x -=-=的π20≤≤t 一段的弧长.解旋轮线{}()(sin ),(1cos )r t a t t a t =--的切向量为{}()cos ,sin r t a a t a t '=-,则在π20≤≤t 一段的弧长为:220()d 8s r t t t a ππ'===⎰⎰.2.求曲线t te z t t y t t x ===,cos ,sin 在原点的切向量、主法向量、副法向量. 解由题意知 {}()sin cos ,cos sin ,t t r t t t t t t t e te '=+-+,{}()2cos sin ,2sin cos ,2t t r t t t t t tt e te ''=---+,, r r r r β='''''⋅⨯,r r γ='''⨯, 所以有22666333(0,,),(,,),(,,)223663αβγ==-=-. 3圆柱螺线为{}()cos ,sin ,r t a t a t bt =,}sin ,cos ,t a t b {}()cos ,sin ,0r t a t a t =--()(), ,r r r r r r r r r r r r r r r αβγ''''''''''''⋅-⋅⨯===''''''''⋅⨯⨯ ②由一般参数的曲率公式3()r r k t r '''⨯='及挠率公式2(,,)()r r r t r r τ''''''='''⨯ b +4求正螺面{(,)r u v u =解{cos ,sin u r v =,{sin v r u =-cos v 法线方程为cos sin sin cos x u v y u v z bvb v b v u---==-. 5.求球面{}(,)cos cos ,cos sin ,sin r a a a ϕθϕθϕθϕ=上任一点处的切平面与法线方程. 解{}sin cos ,sin sin ,cos r a a a ϕϕθϕθϕ=--,{}cos sin ,cos cos ,0r a a θϕθϕθ=-,∴球面上任意点的切平面方程为即cos cos cos sin sin 0x y z a θϕϕθϕ⋅+⋅+⋅-=, 法线方程为即cos cos cos sin sin cos cos cos sin sin x a y a z a ϕθϕθϕϕθϕθϕ---==.6.求圆柱螺线cos ,sin ,x a t y a t z t ===在点(,0,0)a 处的密切平面. 解(){sin ,cos ,1},r t a t a t '=-(){cos ,sin ,0},r t a t a t ''=--所以曲线在原点的密切平面的方程为 即sin )(cos )sin 0t x t y az a t -+-=(.7.求旋转抛物面22()z a x y =+的第一基本形式.228求正螺面}(,,sin ,r u v u v bv 的第一基本形式. 1u r =,F 2v v r r u b ⋅=+.9.计算正螺面{cos ,u v u =}cos ,sin ,0v v ,{}sin ,cos ,u v u v b =-,}0,0,0,{}uv r =,{cos vv r u =-}cos sin cos ,sin cos u v i j k r r v v b v u v u v b⨯=-{sin u v u v b r r n r r b u⨯==⨯+1u u E r r =⋅=,0u v F r r ⋅=,G 0uu r n ⋅=,2uv M uN r =.计算抛物面z x =的高斯曲率和平均曲率. 解设抛物面的参数表示为{}22(,),,r x y x y x y =+,则{}1,0,2x r x =,{}0,1,2y r y =,{}0,0,2xx r =,{}0,0,0xy yx r r ==,{}002yy r =,,,{}1022,2,1012x y i j kr r x x y y⨯==--,22,2,1||4x y x y r r x y n r r x ⨯--==⨯214xx E r r x =⋅=+,4x y F r r xy =⋅=,214y y G r r y =⋅=+,xx L r n =⋅=,0xy M r n =⋅=,yy N r n =⋅=,2222222222404441(14)(14)(4)(441)LN M x y K EG F x y xy x y --++===-++-++, 220=,G =x 求螺旋面{cos r u v =解u v r {cos ,sin v,0},r {u sin v,u cos v,b}v ==-{}{}{}uu uv vv r =0,0,0,r =sin v,cos v,0,r ucos v,usin v,0-=--,L 0,M N 0===曲率线的微分方程为:2222dv dudv du 10u b =00-+或du bu dv 221+±=积分得两族曲率线方程:14.求马鞍面22{,,}r u v u v =-在原点处沿任意方向的法曲率. 解{1,0,2},{0,1,2}==-u v r u r v ,u v 2u v n r r 4u =⨯1=+Ⅱ,{0,0,2},{0,0,0},{0,0,2}===xx xy yy r a r r a ,代入主曲率公式,N2a 002a k=-,所以两主曲率分别为求曲面2{,,r u v u =解{u r =,u 1,02,{}v r ,v =01,2(1,1)(1,1)N =解由23{,,},r u v u v =+得{}u r =,u 1,02,{}2,v r ,v =01,3①v >0时,是椭圆点;②v <0时,是双曲点;③v =0时,是抛物点. 18.求曲面32(,){,,}r u v v u u v =+上的抛物点的轨迹方程. 解由32(,){,,},r u v v u u v =+得{}u r =u,0,21,{}2,v r v ,=30,1令320LN M .-=得u =0或v =0所以抛物点的轨迹方程为{}r=v ,,v 30或{}0r=,u ,u 2. 19.求圆柱螺线(){cos ,sin ,}r t a t a t bt =自然参数表示.解由(){cos ,sin ,},r t a t a t bt =得{sin ,cos ,}r a t a t b '=-,2()r t a '=弧长(),s t =⎰t =曲线的自然参数表示为(){sin r s a a =20.求挠曲线的主法线曲面的腰曲线.,=a=αb ==-k βατγ'+b =k,''-b '所以腰曲线是222b kr=a s s =a s s k bββτ'''()-()()+()+ 求位于正螺面cos ,sin ,x u v y u v z av ===上的圆柱螺线0x u av ==(0u =0u =,由2πθ=设曲线:(s),r r =证明:2()k -;r ,r ,r =k .ταγτ=⋅⑵ =k =-,αβγτβ,两式作点积,得=-k =-k,αγτββτ⋅⋅⑵r=r==k ,ααβ,2()r=k +k =k +k -k +=-k +k +k βββατγαβτγ 设曲线:(s),r r =证明:3()()r ,r ,r =k k -k .ττ 由伏雷内公式,得??()r r s =是一般螺线,证明:r Γ. 证明1r R ds αβ=-⎰,两边关于s 微商,得1αα∴,由于Γ是一般螺线,所以Γ也是一般螺线.4.证明曲线(){sin (),s (),}(r t a t dt a co t dt bt a,b ϕϕ=⎰⎰是常数)是一般螺线. 证明(){sin (),cos (),},r t a t a t b ϕϕ'=k abτ∴=-.5.曲面S 上一条曲线(C),P 是曲线(C)上的正常点,n g k ,k ,k 分别是曲线(C)在点P 的曲率、法曲率与测地曲率,证明222n g k =k +k .证明测地曲率()g k k k n βεβα=⋅=⋅⨯(,,)k n k n αβγ==⋅sin k .θ=±(θ是主法向量β与法向量n 的夹角)法曲率cos n k k n k βθ=⋅=,6.证明曲线{}cos ,sin ,0t t r e t e t =的切向量与曲线的位置向量成定角.证明对曲线上任意一点,曲线的位置向量为{}cos ,sin ,0t t r e t e t =,该点切线的切向量为:{t r e '=2t r r e ='由所取点的任意性可知,该曲线与曲线的切向量成定角.7证明:若r '和r ''()()()r t g t r t '''+=则 ,()t r t r '''∀⨯3r r r '''⨯',故t ∀有()k t =8.证明圆柱螺线t a x =,cos 证明由题意有{}{()sin ,cos ,,()cos ,sin r t a t a t b r t a t a '''=-=--()()r r r r r r r r r β''''''''⋅-⋅=''''⋅⨯知{cos ,t β=-另一方面z 轴的方向向量为{}0,0,1a =9证明曲线y t a x ,sin 2==}2,cos2sin t a t t ,则任意点的法平面为0)cos (sin )cos sin (2cos )sin (2sin 00000020=---+-t a z t a t t a y t a t a x t a 将点(0,0,0)代入上述方程有左边)cos 0(sin )cos sin 0(2cos )sin 0(2sin 00000020t a t a t t a t a t a t a ---+-===0右边, 故结论成立.10.证明曲线222132225,1x t+t ,y t t z t =+=-+=-为平面曲线,并求出它所在的平面方程. 证明{}222132225,1r t+t ,t t t =+-+-,{}34210,2r +t,t t '=-+-,{}410,2r ,''=-,{}00,0r ,'''=(,,)0r r r ,''''''=0τ=,所以曲线是平面曲线.它所在的平面就是密切平面{}(0)32,0r ,'=-,{}(0)410,2r ,''=- 密切平面方程为12132004102x y z -=----, 化简得其所在的平面方程是2x +3y +19z –27=0.11.证明如果曲线的所有切线都经过一个定点,那么它是直线.证明设曲线方程()r r s =,定点的向径为0R ,则())s λαλ-0λ= 曲线是直线.证明如果曲线的所有密切平面都经过一个定点,那么它是平面曲线取定点为坐标原点,曲线的方程为()r r t =,(),(),())0r t r t r t '''-=,即((),(),())0r t r t r t '''=所以平行于固定平面,所以()r r t =是平面曲线13.若一条曲线的所有法平面包含非零常向量e ,证明曲线是直线或平面曲线根据已知条件,得0.............e α⋅=①,0e α⋅=,由伏雷内公式得0k =,则曲线是直线;ⅱ)0e β⋅=又有①可知γ‖e因e 是常向量,所以γ是常向量,|||0,τγ==所以0,所以曲线为平面曲线设在两条挠曲线的点之间建立了一一对应关系,使它们在对应的点的副法线互相平行,证明它们在对应点的切线和主法线也分别平行证明γγ±12=,21ds ds γγ±12= 由伏雷内公式得211ds ds τβτβ±122=12ββ∴±=进而12αα=± 15.证明挠曲线(0τ≠)的主法线曲面是不可展曲面.证明设挠曲线为()r r s =,则挠率0τ≠,其主法线曲面的方程是:()()r s t s ρβ=+取(),()a r s b s β==,则(),()k a s b s αβατγ''===-+所以,(,,)((),(),k )((),(),k )((),(),)0a b b s s s s s s αβατγαβααβτγτ''=-=-≠++= 所以挠曲线的主法线曲面不是可展曲面.16.证明挠曲线(0τ≠)的副法线曲面是不可展曲面.证明设挠曲线为()r r s =,则挠率0τ≠,其副法线曲面的方程是:()()r s t s ργ=+取(),()a r s b s γ==,则(),()a s b s αγτβ''===-.s v s v =r r vk ⨯(1-)n=γ, 所以主法向量与曲面的法向量夹角θcos 0,θ=沿每一条直母线只有一个切平面0()ϕθ+u 为直纹面(0,ϕ所以,曲面可展,即沿每一条直母线只有一个切平面. 19.cos γθ0n=0γγn+n=是曲率线,所以αn,进而0γn=,由伏雷内公式得 是一平面曲线⑵n 0β=,即n β⊥,n kcos =0k θ=,又因为Γ是曲率线,所以0n dn k dr =-=即n 是常向量,所以Γ是平面曲线.20.求证正螺面上的坐标曲线(即u -曲线族v -曲线族)互相垂直.证明设正螺面的参数表示是{}(,)cos ,sin ,r u v u v u v bv =,则{}cos ,sin ,0u r v v =,{}sin ,cos ,v r u v u v b =-,{}{}cos ,sin ,0sin ,cos ,0u v r r v v u v u v b ⇒⋅=⋅-=,故正螺面上的坐标曲线互相垂直.21.证明在曲面上的给定点处,沿互相垂直的方向的法曲率之和为常数.证明由欧拉公式2212cos sin θθ=+n k k k所以*n n 12k k k k +=+=常数.22.如果曲面上非直线的测地线Γ均为平面曲线,则Γ必是曲率线.证明因为曲线Γ是非直线的测地线,所以沿此曲线有,β=±n从而(),κατγ=±-+n 又因为曲线是平面曲线,所以0,τ=进一步n κα=±.由罗德里格斯定理可知曲线的切线方向为主方向,故所给曲线为曲率线.23.证明在曲面()()z f x f y =+上曲线族x =常数,y =常数构成共轭网.因为20xy M r EG F =⋅=-常数,y =常数构成共轭网.证明马鞍面z xy =上所有点都是双曲点.},{0,0,0xx r =,{}0,0,1xy r ={},1x y r r x ⨯=-,{2|1x yx y r r y n r r x ⨯-==⨯++0xx r n =⋅=,2211xy M r n x y =⋅=++221001M y x -=⨯-=-++, {}(,)cos cos ,cos sin ,sin r u v R v u R v u R v =,则{}cos sin ,cos cos ,0u r R v u R v u =-,{}sin cos ,sin sin ,cos v r R v u R v u R v =--, {}cos cos ,cos sin ,0uu r R v u R v u =--,{}sin sin ,sin cos ,0uv vu r r R v u R v u ==-, {}cos cos ,cos sin ,sin vv r R v u R v u R v =---,22cos u u E r r R v =⋅=,0u v F r r =⋅=,2v v G r r R =⋅=,2cosL R v==-,0M==,N R==-,1(,,)(,,)L M N E F GR∴=-,故球面是全脐的.26.证明平面是全脐的.证明设平面的参数表示为{}(,),,0r x y x y=,则{}1,0,0xr =,{}0,1,0yr =,{}0,0,0xxr =,{}0,0,0xyr =,{}0,0,0yyr =,1x xE r r=⋅=,0x yF r r=⋅=,1y yG r r=⋅=,},{}0,0,r=,{0,0,yyr =-}),1x y+|x yx yr rnr r⨯=⨯,{}5/3290,0,()xxr n x y n-=⋅=-+⋅,{}5/3290,0,()xyM r n x y n-=⋅=-+⋅,{}5/3290,0,()yyr n x y n-=⋅=-+⋅20LN M⇒-=,曲面3x y z+=的所有点为抛物点..求证正螺面{}(,)cos,sin,r u v u v u v av=是极小曲面.证明{}cos,sinur v=,{sinvr u=-{0,0,0uur=,{sinuvr v=-}cos sin cos,sin cosu vi j kr r v v a v uv u v a⨯=-sin,cos,||u vu va v a v ur rnr r-⨯==⨯1u uE r r=⋅=,0u vF r r=⋅=,22v vG r r a u=⋅=+,uuL r n=⋅=,uvM r n=⋅=0vvN r n=⋅=,21210,22EN FM GLHEG F-+∴=⋅==-故正螺面是极小曲面.29.圆柱面{cos ,sin ,}r a u a u v =上的纬线是测地线. 证明由{cos ,sin ,},r a u a u v =2,0, 1.E a F G ===g d k ds θθθ=+,纬线是u -线,此时0θπ=或, 0.g k ∴=所以,纬线是测地线.30.证明极小曲面上的点都是双曲点或平点. 证明1202k k H +==,12k k ∴=-,21220K k k k ∴=⋅=-≤ 当0K =时,31.因曲线是测地线,所以沿此曲线有βn ,所以βdn , 又曲线是曲率线,所以αdn dr ,k )ατγα+,所以0τ=,故所给曲线是平面曲线. 因所给曲线既是测地线又为曲率线,所以沿此曲线有,,n βα γαβ=⨯,所以,n γα=±⨯从而()(0)0n n k n γααβ=±⨯+⨯=±-⨯+=,γτβ=-,所以τ。
微分几何第四版答案第一部分曲线与曲面的局部微分几何第一章欧氏空间1.1 向量空间1.2 欧氏空间第二章曲线的局部理论2.1 曲线的概念2.2 平面曲线2.3 E的曲线2.4 曲线论基本定理第三章曲面的局部理论3.1 曲面的概念3.2 曲面的第一基本形式3.3 曲面的第二基本形式3.4 法曲率与weingarten变换3.5 主曲率与Gauss曲率3.6 曲面的一些例子第四章标架与曲面论基本定理4.1 活动标架4.2 自然标架的运动方程4.3 曲面的结构方程4.4 曲面的存在惟一性定理4.5 正交活动标架4.6 曲面的结构方程(外微分法)第五章曲面的内蕴几何学5.1 曲面的等距变换5.2 曲面的协变微分5.3 测地曲率与测地线5.4 测地坐标系5.5 Gauss-Bonnet公式5.6 曲面的Laplace算子5.7 Riemann度量第二部分整体微分几何选讲第六章平面曲线的整体性质6.1 平面的闭曲线6.2 平面的凸曲线第七章曲面的若干整体性质7.1 曲面的整体描述7.2 整体的Gauss-Bonnet公式7.3 紧致曲面的Gauss映射7.4 凸曲面7.5 曲面的完备性第八章常Gauss曲率曲面8.1 常正Gauss曲率曲面8.2 常负Gauss曲率曲面与sine-Gordon方程8.3 Hilbert定理8.4 Backlund变换第九章常平均曲率曲面9.1 Hopf微分与Hopf定理9.2 Alexsandrov惟一性定理9.3 附录:常平均曲率环面第十章极小曲面10.1 极小图10.2 极小曲面的weierstrass表示10.3 极小曲面的Gauss映射10.4 面积的变分与稳定极小曲面索引。
第二章 曲面论§1曲面的概念1.求正螺面r ={ u v cos ,u v sin , bv }的坐标曲线.解 u-曲线为r ={u 0cos v ,u 0sin v ,bv 0 }={0,0,bv 0}+u{0cos v ,0sin v ,0},为曲线的直母线;v-曲线为r ={0u v cos ,0u v sin ,bv }为圆柱螺线.2.证明双曲抛物面r ={a (u+v ),b (u-v ),2uv }的坐标曲线就是它的直母线。
证 u-曲线为r ={ a (u+0v ), b (u-0v ),2u 0v }={ a 0v , b 0v ,0}+ u{a,b,20v }表示过点{ a 0v , b 0v ,0}以{a,b,20v }为方向向量的直线;v-曲线为r ={a (0u +v ), b (0u -v ),20u v }={a 0u , b 0u ,0}+v{a,-b,20u }表示过点(a 0u , b 0u ,0)以{a,-b,20u }为方向向量的直线。
3.求球面r =}sin ,sin cos ,sin cos {ϑϕϑϕϑa a a 上任意点的切平面和法线方程。
解 ϑr =}cos ,sin sin ,cos sin {ϑϕϑϕϑa a a -- ,ϕr=}0,cos cos ,sin cos {ϕϑϕϑa a -任意点的切平面方程为00cos cos sin cos cos sin sin cos sin sin sin cos cos cos =------ϕϑϕϑϑϕϑϕϑϑϕϑϕϑa a a a a a z a y a x即 xcos ϑcos ϕ+ycos ϑsin ϕ+zsin ϑ-a=0 ;法线方程为ϑϑϕϑϕϑϕϑϕϑsin sin sin cos sin cos cos cos cos cos a z a y a x -=-=- 。
4.求椭圆柱面22221x y a b+=在任意点的切平面方程,并证明沿每一条直母线,此曲面只有一个切平面 。
第二章 曲面论§1曲面的概念1.求正螺面r ={ u v cos ,u v sin , bv }的坐标曲线.解 u-曲线为r ={u 0cos v ,u 0sin v ,bv 0 }={0,0,bv 0}+u {0cos v ,0sin v ,0},为曲线的直母线;v-曲线为r ={0u v cos ,0u v sin ,bv }为圆柱螺线.2.证明双曲抛物面r ={a (u+v ), b (u-v ),2uv }的坐标曲线就是它的直母线。
证 u-曲线为r ={ a (u+0v ), b (u-0v ),2u 0v }={ a 0v , b 0v ,0}+ u{a,b,20v }表示过点{ a 0v , b 0v ,0}以{a,b,20v }为方向向量的直线;v-曲线为r ={a (0u +v ), b (0u -v ),20u v }={a 0u , b 0u ,0}+v{a,-b,20u }表示过点(a 0u , b 0u ,0)以{a,-b,20u }为方向向量的直线。
3.求球面r =}sin ,sin cos ,sin cos {ϑϕϑϕϑa a a 上任意点的切平面和法线方程。
解 ϑr =}cos ,sin sin ,cos sin {ϑϕϑϕϑa a a -- ,ϕr=}0,cos cos ,sin cos {ϕϑϕϑa a -任意点的切平面方程为00cos cos sin cos cos sin sin cos sin sin sin cos cos cos =------ϕϑϕϑϑϕϑϕϑϑϕϑϕϑa a a a a a z a y a x即 xcos ϑcos ϕ + ycos ϑsin ϕ + zsin ϑ - a = 0 ;法线方程为ϑϑϕϑϕϑϕϑϕϑsin sin sin cos sin cos cos cos cos cos a z a y a x -=-=- 。
第二章曲面论§ 1曲面的概念1.求正螺面r ={ u cos v ,u sin v , bv }的坐标曲线.解u-曲线为r ={u cos v0,u sin v0,bv 0}= {0,0 , bv0} + u { cos v0, sinv0,0}, 为曲线的直母线;v-曲线为r ={ u0cos v , u0 sin v ,bv }为圆柱螺线.2 .证明双曲抛物面r ={ a (u+v) , b (u-v ) ,2uv }的坐标曲线就是它的直母线。
证u-曲线为r ={ a (u+v。
), b (u-v。
),2u v o}={ a v。
,b v。
,0}+ u{a,b,2 v。
} 表示过点{ a v。
,b v。
,。
}以{a,b,2 v。
}为方向向量的直线;v-曲线为「= {a ( u0 +v) , b ( u 0 -v ) ,2 u 0 v} = {a u。
,b u。
,。
} +v{a,-b,2 u。
} 表示过点(a u。
, b u。
,。
)以{a,-b,2 u。
}为方向向量的直线。
3.求球面r ={acos ;:sin「,a cos;: sin ;:, a si n二}上任意点的切平面和法线方程。
saa. n解r ={ -a sin 二cos「,-a sinsin ::,acos「:} , r .匸{-a cossin ::, a coscos 「,0}x - a cos、:cos「y - a cos 二sin「z - a sin 二任意点的切平面方程为- a sin 二cos ::「:-a sinsin「 a cos=0「a cos、:sin「 a cos、:cos「0即xcos :cos + ycos :sin + zsin 二-a = 0 ;x a cos、:cos「y a cos、:sin「z a sin 二。
cos 二cos「cossin「sin 二2 24.求椭圆柱面令斗=1在任意点的切平面方程,并证明沿每一条直母线,此 a b 曲面只有一个切平面。
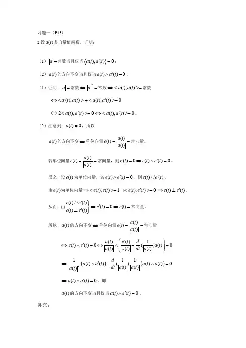
习题一( P13)2.设 a(t ) 是向量值函数,证明:(1)a常数当且仅当a(t ), a (t )0 ;(2)a(t )的方向不变当且仅当a(t ) a (t)0 。
(1)证明:a2a(t), a(t )常数a常数常数a (t ), a(t)a(t ),a (t)02a(t), a (t)0a(t), a (t )0。
(2)注意到:a(t ) 0 ,所以a(t )a(t ) 的方向不变单位向量e(t)常向量。
a(t )若单位向量 e(t )a(t)e (t )0 e(t ) e (t )0。
常向量,则a(t)反之,设 e(t) 为单位向量,若 e(t ) e (t)0 ,则 e(t ) / /e (t ) 。
由 e(t) 为单位向量e(t ), e(t )1e(t ), e (t )0e(t) e (t ) 。
e(t ) / /e (t)e (t )0e(t)从而,由e (t )常向量。
e(t )所以, a(t) 的方向不变a(t )常向量单位向量 e(t )a(t )e(t) e (t )0a(t ) a (t) d (1)a(t )0a(t )a(t)dt a(t)12 a(t) a (t )d11a(t )a(t)0a(t)()a(t ) dt a(t)a(t ) a (t )0 。
即a(t ) 的方向不变当且仅当a(t) a (t )0 。
补充:定理 r (t)平行于固定平面的充要条件是r (t), r(t), r (t )0 。
证明: "" :若r (t )平行于固定平面,设 n 是平面的法向量,为一常向量。
于是,r (t ), n0r (t ), n0,r (t ), n0r (t ), r (t), r (t)共面r (t), r(t), r(t )0 。
"" :若 r (t ), r (t ), r(t)0 ,则r (t ), r(t), r(t)共面。
13第一章 曲线论§2 向量函数向量函数5. 向量函数)(t r 具有固定方向的充要条件是)(t r ×)('t r= 0 。
分析:一个向量函数)(t r 一般可以写成)(t r =)(t l )(t e 的形式,其中)(t e 为单位向量函数,)(t l 为数量函数,那么)(t r 具有固定方向的充要条件是)(t e具有固定方向,即)(t e 为常向量,(因为)(t e 的长度固定)。
证 对于向量函数)(t r ,设)(t e 为其单位向量,则)(t r =)(t l )(t e ,若)(t r 具有固定方向,则)(t e 为常向量,那么)('t r=)('t l e ,所以所以 r ×'r =l 'l (e ×e )=0 。
反之,若r ×'r =0 ,对)(t r =)(t l )(t e求微商得'r ='l e +l 'e ,于是r ×'r =2l (e ×'e )=0 ,则有则有 l = 0 或e ×'e =0 。
当)(t l = 0时,)(t r =0 可与任意方向平行;当l¹0时,有e ×'e =0 ,而(e ×'e 2)=22'e e -(e ·'e 2)=2'e ,(因为e具有固定长, e ·'e = 0) ,所以所以'e =0 ,即e 为常向量。
所以,)(t r具有固定方向。
6.向量函数)(t r平行于固定平面的充要条件是(r 'r ''r )=0 。
分析:向量函数)(t r 平行于固定平面的充要条件是存在一个定向向量)(t n,使)(t r ·n = 0 ,所以我们要寻求这个向量n 及n 与'r ,''r 的关系。
习题一(P13)2.设()a t 是向量值函数,证明:(1)a =常数当且仅当(),()0a t a t '=; (2)()a t 的方向不变当且仅当()()0a t a t '∧=。
(1)证明:a =常数⇔2a =常数⇔(),()a t a t <>=常数⇔(),()(),()0a t a t a t a t ''<>+<>=⇔2(),()0a t a t '<>=⇔(),()0a t a t '<>=。
(2)注意到:()0a t ≠,所以()a t 的方向不变⇔单位向量()()()a t e t a t ==常向量。
若单位向量()()()a t e t a t ==常向量,则()0()()0e t e t e t ''=⇒∧=。
反之,设()e t 为单位向量,若()()0e t e t '∧=,则()//()e t e t '。
由()e t 为单位向量⇒(),()1(),()0e t e t e t e t '<>=⇒<>=⇒()()e t e t '⊥。
从而,由()//()()0()()()e t e t e t e t e t e t '⎫'⇒=⇒=⎬'⊥⎭常向量。
所以,()a t 的方向不变⇔单位向量()()()a t e t a t ==常向量 ⇔()()1()()0()()0()()()a t a t d e t e t a t a t a t dt a t ⎛⎫''∧=⇔∧+= ⎪ ⎪⎝⎭()()2111()()()()()0()()()d a t a t a t a t dt a t a t a t '⇔∧+∧= ()()0a t a t '⇔∧=。
第二章 曲面论§1曲面的概念1.求正螺面r ={ u v cos ,u v sin , bv }的坐标曲线.解 u-曲线为r ={u 0cos v ,u 0sin v ,bv 0 }={0,0,bv 0}+u{0cos v ,0sin v ,0},为曲线的直母线;v-曲线为r ={0u v cos ,0u v sin ,bv }为圆柱螺线.2.证明双曲抛物面r ={a (u+v ),b (u-v ),2uv }的坐标曲线就是它的直母线。
证 u-曲线为r ={ a (u+0v ), b (u-0v ),2u 0v }={ a 0v , b 0v ,0}+ u{a,b,20v }表示过点{ a 0v , b 0v ,0}以{a,b,20v }为方向向量的直线;v-曲线为r ={a (0u +v ), b (0u -v ),20u v }={a 0u , b 0u ,0}+v{a,-b,20u }表示过点(a 0u , b 0u ,0)以{a,-b,20u }为方向向量的直线。
3.求球面r =}sin ,sin cos ,sin cos {ϑϕϑϕϑa a a 上任意点的切平面和法线方程。
解 ϑr =}cos ,sin sin ,cos sin {ϑϕϑϕϑa a a -- ,ϕr=}0,cos cos ,sin cos {ϕϑϕϑa a -任意点的切平面方程为00cos cos sin cos cos sin sin cos sin sin sin cos cos cos =------ϕϑϕϑϑϕϑϕϑϑϕϑϕϑa a a a a a z a y a x即 xcos ϑcos ϕ+ycos ϑsin ϕ+zsin ϑ-a=0 ;法线方程为ϑϑϕϑϕϑϕϑϕϑsin sin sin cos sin cos cos cos cos cos a z a y a x -=-=- 。
4.求椭圆柱面22221x y a b+=在任意点的切平面方程,并证明沿每一条直母线,此曲面只有一个切平面 。
、第一章 曲线论§2 向量函数5. 向量函数)(t r 具有固定方向的充要条件是)(t r × )('t r= 0 。
分析:一个向量函数)(t r 一般可以写成)(t r =)(t λ)(t e 的形式,其中)(t e为单位向量函数,)(t λ为数量函数,那么)(t r 具有固定方向的充要条件是)(t e具有固定方向,即)(t e 为常向量,(因为)(t e 的长度固定)。
证 对于向量函数)(t r ,设)(t e 为其单位向量,则)(t r =)(t λ)(t e ,若)(t r具有固定方向,则)(t e 为常向量,那么)('t r=)('t λe ,所以 r ×'r =λ'λ(e ×e )=0 。
反之,若r ×'r =0 ,对)(t r =)(t λ)(t e求微商得'r ='λe +λ'e ,于是r ×'r =2λ(e ×'e )=0 ,则有 λ = 0 或e ×'e =0 。
当)(t λ= 0时,)(t r =0 可与任意方向平行;当λ≠0时,有e ×'e =0 ,而(e ×'e 2)=22'e e -(e ·'e 2)=2'e ,(因为e 具有固定长, e ·'e = 0) ,所以 'e =0 ,即e 为常向量。
所以,)(t r具有固定方向。
6.向量函数)(t r平行于固定平面的充要条件是(r 'r ''r )=0 。
分析:向量函数)(t r 平行于固定平面的充要条件是存在一个定向向量)(t n,使)(t r·n = 0 ,所以我们要寻求这个向量n 及n 与'r ,''r 的关系。
§3曲面的第二基本形式1. 计算悬链面r ={coshucosv,coshusinv,u}的第一基本形式,第二基本形式.解 u r ={sinhucosv,sinhusinv,1},v r={-coshusinv,coshucosv,0} uu r ={coshucosv,coshusinv,0},uv r={-sinhusinv,sinhucosv,0},vv r ={-coshucosv,-coshusinv,0},2u r E == cosh 2u,v u r r F⋅==0,2v r G ==cosh 2u.所以错误!未找到引用源。
= cosh 2u 2du + cosh 2u 2dv .n =2F EG r r v u -⨯ =}sin sinh ,sin cosh ,cos cosh {cosh 12v u v u v u u--, L=11sinh cosh 2-=+-u , M=0, N=1sinh cosh 2+u =1 .所以错误!未找到引用源。
= -2du +2dv 。
2. 计算抛物面在原点的22212132452x x x x x ++=第一基本形式,第二基本形式.解 曲面的向量表示为}225,,{22212121x x x x x x r ++= ,}0,0,1{}25,0,1{)0,0(211=+=x x r x ,}0,1,0{}22,1,0{)0,0(212=+=x x r x ,}5,0,0{11=x x r, }2,0,0{21=x x r ,}2,0,0{22=x x r, E = 1, F = 0 , G = 1 ,L = 5 , M = 2 , N =2 ,错误!未找到引用源。
=2221dx dx +, 错误!未找到引用源。
=222121245dx dx dx dx ++.3. 证明对于正螺面r ={u v cos ,u v sin ,bv},-∞<u,v<∞处处有EN-2FM+GL=0。