色谱分析法概论
- 格式:doc
- 大小:702.50 KB
- 文档页数:4
1、色谱柱作为分析方法的最大特点是什么?色谱法以高超的分离能力为特点,具有高灵敏度、高选择性、高效能、分析速度快及应用范围广等优点。
2、一个组分的色谱峰可用哪些参数描述?这些参数各有何意义?一个组分的色谱峰可用三项参数即峰高或峰面积(用于定量)、峰位(用保留值表示,用于定性)、峰宽(用于衡量柱效)来说明。
峰高:组分在柱后出现浓度极大时的检测信号,即色谱峰顶至基线的距离。
峰面积:某色谱峰曲线与基线间包围的面积。
保留时间:是从进样到某组分在柱后出现浓度极大时的时间间隔,即从进样开始到某个组分的色谱峰顶点的时间间隔。
死时间:是分配系数为零的组分,即不被固定相吸附或溶解的组分的保留时间。
调整保留时间:是某组分由于溶解(或被吸附)于固定相,比不溶解(或不被吸附)的组分在柱中多停留的时间。
峰宽:是通过色谱峰两侧拐点做切线在基线上所截得的距离。
标准差:是正态色谱流出曲线上两拐点间距离之半,或0.607倍峰高处的峰宽之半。
半峰宽:是峰高一半处的峰宽。
W 1/2=2.355σ W=4σ W=1.699 W1/23、说明保留因子的物理含义及与分配系数的关系。
为什么保留因子(或分配系数)不等是分离的前提?保留因子k是在一定温度和压力下,达到分配平衡时,组分在固定相和流动相中的质量之比,故又称为质量分配系数。
而分配系数K是组分在固定相和流动相中的浓度之比。
二者的关系是k=KVs/Vm,可见保留因子除与固定相、流动相、组分三者的性质有关外,还与固定相和流动相的体积比有关。
保留因子越大的组分在色谱柱中的保留越强,tR =t(1+k),由于在一定色谱条件下t为定值,如果两组分的k相等,则它们的tR 也相等,即不能分离。
要使两组分分离,即tR不等,则他们的k(K)必须不等,即保留因子(或分配系数)不等是分离的前提。
4、各类基本类型色谱的分离原理有何不同?分配色谱法:利用被分离组分在固定相或流动相中的溶解度差别,即在两相间的分配系数的差别而实现分离的。
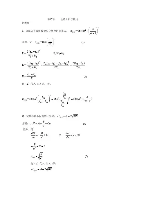
第17章色谱分析法概论思考题9.试推导有效塔板数与分离度的关系式: 22116⎪⎭⎫⎝⎛-⨯⨯ααR n =有效证明:∵ 2'2216R t n W ⎛⎫⨯ ⎪⎝⎭有效=(1) 22W W +R2R112(t -t )R =设W 1=W 2 22''2010212222[()()]2()22R R R R t t t t t t W W W W ----==+R2R112(t -t )R = ''1R t R-R22t W = (2)将(2)代入(1)式,得:'22''2222221'''221'11616()16()11R R R R R R R t t t n R R R t t t t αα⎛⎫⨯==⨯⨯ ⎪--⎝⎭-有效=10. 试推导最小板高的计算式:BC A H 2+=最小 证明:∵BH A Cu u=++ (1) 微分,得2dH B C du u =-+ 令 0dHdu=,则20BC u -+=opt u =(2) 将(2)代入(1),得:H A =+最小习题1.在一根2.00m 的硅油柱上分析一个混合物得下列数据:苯、甲苯及乙苯的保留时间分别为80s 、122s 、181s ;半峰宽为0.211cm 、0.291cm 及0.409cm(用读数显微镜测得),已知记录纸速为1200mm/h ,求此色谱柱对每种组分的理论塔板数及塔板高度。
解:∵22/1)(54.5W t n R = 注意:分子分母单位应保持一致 mm n L H W t n R 3.28852000,8853600/120011.28054.554.5222/1===)(=)(=苯苯苯苯苯=mm n L H W t n R 8.110822000,10823600/120091.212254.554.5222/1===)(=)(=甲苯甲苯甲苯甲苯甲苯=mm n L H W t n R 7.112062000,12063600/120009.418154.554.5222/1===)(=)(=乙苯乙苯乙苯乙苯乙苯=2.在一根3.0m 长的色谱柱上分离样品的结果如图17-14所示。
第十六章色谱分析法概论1.在分配色谱中,被分离组分分子与固定液分子的性质越相近,则他们之间的作用力(越大),该组份在柱中停留的时间越(长),越(后)流出色谱柱。
2.气液色谱法的流动相是(气体),固定相在操作温度下是(液体),组分与固定相间的作用机制是(分配或溶解)。
3.液固吸附色谱法的流动相是(液体),固定相是(固体吸附剂),组分与固定相的作用机制是(吸附)。
4.分配系数K是固定相和流动相中的溶质浓度之比。
待分离组分的K值越大,则保留值(越大),各组分的K值相差越大,则他们(越容易)分离。
5.色谱定性的依据是(保留值),定量的依据是(峰高或峰面积)。
6.某色谱峰的标准偏差是1.49mm,则该色谱峰的峰宽为(5.96mm),半峰宽为(3.51mm)。
7.气相色谱由如下五个系统组成:8.在GC中,分配系数越大的组分,分配在在其中的浓度越(低),保留时间(越长)。
9.如被测混合物中既有非极性组分,又有极性组分,则通常选择(极性)固定液。
10.载体钝化的方法有(),(),(),目的是(减弱载体表面的吸附活性)11.对内标物的要求是:内标物应当是被测样品中不存在的组分、保留时间与被测组分接近但完全分离、纯物质、加入量与被测组分量接近。
12.在正相健合色谱法中,极性强的组分的保留因子(大),极性强的流动相使组分的保留因子(小)。
13.根据疏溶剂理论,反相色谱中,组分的极性越弱,其疏水性越(强),受溶剂分子的排斥力越(强)。
14.分析性质相差较大的复杂试样时须采用(梯度)洗脱。
15.判断两组分能否用平面色谱法分离的依据是(比移值),其值相差愈(大),分离效果愈好。
16.展开剂的极性(小),固定相的极性(大),称为正相薄层色谱;展开剂的极性(大),固定相的极性(小),称为反相薄层色谱,17.在吸附薄层色谱中,常以(硅胶)为固定相,(有机溶剂)为流动相,极性小的组分在板上移行的速度较(快),比移值较(大)。
18.薄层色谱板的活化作用是(去除水分)、(增加吸附力)。
第17章 色谱分析法概论
思考题
9.试推导有效塔板数与分离度的关系式: 22116Rn=有效
证明:∵ 2'2216RtnW有效= (1)
2
2WWR2R11
2(t-t)
R=
设W1=W
2
2
2
''
2010212222[()()]2()22RR
RRttttttWWWWR2R1
1
2(t-t)
R=
''
1RtRR2
2
t
W=
(2)
将(2)代入(1)式,得:
'
22''2222221'''221'11616()16()11R
RR
R
RR
R
t
tt
nRRRtttt有效=
10. 试推导最小板高的计算式:BCAH2=最小
证明:∵BHACuu (1)
微分,得
2
dHBCduu 令 0dH
du
,则
2
0BCu
opt
B
uC
(2)
将(2)代入(1),得:
2HABC
最小
习题
1.在一根2.00m的硅油柱上分析一个混合物得下列数据:苯、甲苯及乙苯的保留时间分别为
80s、122s、181s;半峰宽为0.211cm、0.291cm及0.409cm(用读数显微镜测得),已知记录
纸速为1200mm/h,求此色谱柱对每种组分的理论塔板数及塔板高度。
解:∵22/1)(54.5WtnR 注意:分子分母单位应保持一致
mmnLHWtnR3.28852000,8853600/120011.28054.554.5222/1===)(=)(=苯苯苯苯苯
mmnLHWtnR8.110822000,10823600/120091.212254.554.5222/1===)(=)(=甲苯甲苯甲苯甲苯甲苯
mmnLHWtnR7.112062000,12063600/120009.418154.554.5222/1===)(=)(=乙苯乙苯乙苯乙苯乙苯
2.在一根3.0m长的色谱柱上分离样品的结果如图17-14所示。
图17-14 一个样品的色谱图
(1)用组分2计算色谱柱的理论塔板数n及塔板高度H; (2)求调整保留时间tR1’及tR2`;(3)
求有效塔板数n有效及有效塔板高度H有效;(4)求容量因子k1及k2;(5)求使二组分Rs为1.5
时的柱长。
解:(1)3222106.4)0.117(16)(162wtnR mmnLH65.0106.430003
(2)tR1′= tR1-t0 =14-1.0=13.0min tR2′=tR2-t0=17-1.0=16.0min
(3) 3222'101.4)0.10.16(16)(162wtnR有效 mmnLH73.0101.430003有效有效
(4)130.10.130'11ttkR 160.10.160'22ttkR
(5)假设两组分峰宽相等。
30.10.1)1417(2)(212112WWttR
RR
2122
1
)(LLRR
mRRLL75.0)35.1(0.3)(221212
3.在2.0m长的某色谱柱上,分析苯(1)与甲苯(2)的混合物。测得死时间为0.20min,甲
苯的保留时间为2.10min及半峰宽为0.285cm,记录纸速为2.00cm/min。只知苯比甲苯先流
出色谱柱,且苯与甲苯的分离度为1.0。求:① 甲苯与苯的分配系数比(α):(2)苯的容
量因子与保留时间;(3)达到R=1.5时,柱长需几米?
解:(1)1203)2285.010.2(54.5)(54.5222/1甲苯甲苯甲苯wtnR
5.920.020.010.2000'222tttttk
RR
,
)1)(1(422kknR
127.0)5.95.91(12030.14)1(4122kknR
α=1.1
(2) min73.1,1.120.010.2'''0''111212RRRRRRttttttt
tR2’ = tR1’+ t0 = 1.73 + 0.20 = 1.93 min
65.820.073.10'11ttk
R
(3) 21221)(LLRR mRRLL5.4)0.15.1(0.2)(221212
4.在一根2.0 m色谱柱上,用He为载气,在3种流速下测得结果如表:
甲烷 tR / s 正十八烷
tR / s W /s
18.2 8.0 5.0 2020.0 888.0 558.0 223.0
99.0
68.0
求算:(1)3种流速下的线速度u; (2)3种不同线速度下的n及H; (3) 计算van Deemter
方程中参数A、B、C;(4)计算H最小和u最佳。
解:(1) 0Lut
120011.0/18.2cmucms 2
200250/8.0cm
ucms
3
20040/5.0cm
ucms
(2)212020.016()1313223.0n 22888.016()128799.0n
2
3
558.0
16()107768.0n
12000.1521313cmHcm 2
2000.1551287cm
Hcm
3
2000.1861077cm
Hcm
(3)由u1u2u3和H1H2H3可分别建立三个Van Deemter方程
0.15211.011.0BAC
0.15525.025.0BAC
0.18640.040.0BAC
解方程组得:
A=0.0605cm
B=0.683cm2/s
C=0.0027s
(4) 20.060520.6830.00270.146HABCcm最小
0.68315.9/0.0027optBucmsC