CASS野外地物码和连接码参照表
- 格式:xls
- 大小:42.50 KB
- 文档页数:5
cass-简码识别cass 简码法1、简码引导文件中平行体:P,线上点号,通过点号因CASS6中可能存在BUG,因此可能要重复执行两次简码引导才能画出平行实体2、添加自定义野外操作码方法先在操作手册中查出相应地貌地物的CASS内码,再在jcode.def中新添加一行,并输入相应的野外操作码与对应的内码,如:添加了水涯线的野外操作码为:Q10,181101其中Q10是自定义的野外操作码,181101是水涯线的CASS内码砖房的野外操作码:F7,141121野外操作码由一个字母加两位数字组成,无效的0可以省略,如F07与F7等价如果要带参数而野外操作码又不足三位,则操作码与参数间需加“-”,如F2-2,141121表示房屋参数的2层,因F2不足三位因此野外操作码的“F2”与参数层数的“2”间要加“-”,但如果野外操作码是三位则参数可直接紧跟野外操作码如:F022,141121两种方法效果相同自定义野外操作码时请遵循CASS的约定,即表示线型的用“X”,拟合线型用“Q”,坎类用“K”,拟合坎类则用“U”,如:表D-1 线面状地物符号代码表===================================================================== ==================坎类(曲): K(U) + 数(0-陡坎,1-加固陡坎,2-斜坡,3-加固斜坡,4-垄,5-陡崖,6-干沟)线类(曲): X(Q) + 数(0-实线,1-内部道路,2-小路,3-大车路,4-建筑公路,5-地类界,6-乡.镇界,7-县.县级市界,8-地区.地级市界,9-省界线)垣栅类: W + 数(0,1-宽为0.5米的围墙,2-栅栏,3-铁丝网,4-篱笆,5-活树篱笆,6-不依比例围墙,不拟合,7-不依比例围墙,拟合)铁路类: T +数(0-标准铁路(大比例尺),1-标(小),2-窄轨铁路(大),3-窄(小),4-轻轨铁路(大),5-轻(小),6-缆车道(大),7-缆车道(小),8-架空索道,9-过河电缆)电力线类: D + 数 (0-电线塔,1-高压线,2-低压线,3-通讯线)房屋类: F +数 (0-坚固房,1-普通房,2-一般房屋,3-建筑中房,4-破坏房,5-棚房,6-简单房)管线类: G + 数(0-架空(大),1-架空(小),2-地面上的,3-地下的,4-有管堤的)植被土质:拟合边界:B - 数(0-旱地,1-水稻,2-菜地,3-天然草地,4-有林地,5-行树,6-狭长灌木林,7-盐碱地,8-沙地,9-花圃)不拟合边界: H - 数(0-旱地,1-水稻,2-菜地,3-天然草地,4-有林地,5-行树,6-狭长灌木林,7-盐碱地,8-沙地,9-花圃)平行体: P + (X(0-9),Q(0-9),K(0-6),U(0-6)…)控制点: C + 数(0-图根点,1-埋石图根点,2-导线点,3-小三角点,4-三角点,5-土堆上的三角点,6-土堆上的小三角点,7-天文点,8-水准点,9-界址点)===================================================================== ==================点状地物符号代码均以“A”开头,详情请参阅“用户手册”“附录A CASS野外操作码”部分3、坎类带有坡毛的图示坡毛均画在前进方向的左铡,因此在编号时请按此确定方向,但对于已编好编号的可用线型换向命令“H”随时换向4、成图时最好用无简码坐标数据文件、简码坐标数据文件、引导码一起使用,最方便的是使用无简码坐标数据文件+简码引导文件方法a.无简码坐标数据文件就是只含有点号、X、Y、H的简单坐标高程数据文件,文件结构如下:点号,,Y(E),X(N),H在点号与Y值间必须予留简码位置,但可不输入简码b.简码引导文件就是通过点号来定义地物地貌的代码文件:⑴ 每一行表示一个地物;?⑵ 每一行的第一项为地物的“地物代码”(即野外操作码,在jcode.def中定义后即与CASS内码对应了,也可理解为CASS内码的助记码),以后各数据为构成该地物的各测点的点号(依连接顺序的排列);⑶ 同行的数据之间用逗号分隔;⑷ 表示地物代码的字母要大写;⑸用户可根据自己的需要定制野外操作简码如(以下以“;”开头的为下一行的解释内容,非引导文件内容,去掉以“;”开头的注释内容后为一完整的简码引导文件):;D1定义高压电线,后续点依次相连,各点上画有电杆与表示电力线的双箭头D1,H293,H009,HY033,HY001,HY014;D3定义通讯线,后续点依次相连D3,HY013,HY011,HY004,HY021,HY023,HY031,H003,H008;C0定义不埋石图根点,不同控制点用C0、C1等表示,具体请查用户手册,C0之后紧接写入图中的点名,逗号之后是该控制点在坐标文件中的点号C0-H6,H6;U0定义加固陡坎,后续点依次相连,陡坎线拟合,如用“K0”则不拟合陡坎线U0,H3152,H3149,H3155,H3156,H291,H010,H007,H006,H005,H004,H002,HY034,H Y032,HY030,HY029,HY028,HY027,HY026,HY025,HY024,HY042,HY022,HY095,HY09 8,HY002,HY003,HY004,HY005,HY006,HY007,HY008,HY009,HY076,HY010,HY012,H Y015;Q10是本人在jcode.def中自定义的水涯线的野外操作码,系统默认中无此代码,对应内码为:181101,在jcode.def中新加一行:Q10,181101,保存后重启CASS即可生效Q10,HY075,HY073,HY072,HY071,HY070,HY068,HY067,HY066,HY065,HY064,HY063 ,HY062,HY061,HY060,HY059,H139,H140,H141,H142,H143,H144,H145,H146,H147 ,H148,H170,H149,HY056,HY057,H151,H152,H089,H090,H091,H093,H094,H095,H 096,H097,H212,H213,H214,H232,H233,H289;K5定义陡崖K5,H3162,H3160K5,H3003,H3002;同前Q10,1161,1162,1163,1164,1165,1166,1167;A87,以“A”开头的是点状地物,此表示纪念碑,系统中有此代码A87,1153A87,1043;A42表示独立电线杆A42,1148;拟合曲线,此表示公路Q0,1085,1086,1087,1088,1089,1090,1157,1158,1159,1160,C3Q0,1147,1149,1150,1151;F7表示砖房,后接依序三点或多点,系统中无此代码,本人自定义,jcode.def 中加一行:F7,141121F7,9001,1055,1057;同“C0-H6,H6”C0-C3,C3C0-C4,C4C0-C4_1,C4-1;拟合封闭边线旱地B0,1154,1155,1156,1157,1090,1089,1088;非拟合封闭边线旱地H0,1046,1048,1045,1051,1053,1049,1036,1034,1032,1030,1029,1023,1022,1 021,1020,1025,1026,1035,1042,1044;非加固坎K0,1025,1024,1023K0,1026,1028,1029K0,1035,1033,1031,1030K0,1042,1037,1039,1041,1032K0,1044,1040,1038,1034K0,1045,1047,1049;B10表示沙滩区域,后续点依次相连并封闭,系统中无此代码,本人自定义,B 表示区域性地物,边线封闭并拟合,jcode.def中加一行:B10,186510B10,3327,3323,3322,3321,3320,3319,3226,3318,3317,3316,3227,3315,3334, 3333,3331,3330,3329,33285、不同比例出图对高程注记的密度有不同要求,如果是针对1:500制作的图需要在1:2000比例尺下出图时,需要抽稀高程注记,此时可利用展高程点的过滤功能即在展高程点时提示“注记高程点的距离(米):”时输入规范要求的高程注记的间距,如在1:2000比例尺下要求3~5cm注记一个高程点,对应的距离是60~100米,此时只要输入这之间的任一个数值即可过滤掉小于此距离的高程注记,这只是针对出图进行的展点,要生成DTM和等高线则可不过滤,在出图之前,关闭其它层只打开“GCD”层并删除该层上的所有对象,重新按出图要求展一次高程点并进行过滤即可。
野外操作码表D-1 线面状地物符号代码表例如:K0──直折线型的陡坎,U0──曲线型的陡坎,W1──土围墙T0──标准铁路(大比例尺),Y012.5──以该点为圆心半径为12.5m的圆表D-2 点状地物符号代码表表D-3 描述连接关系的符号的含义“+”、“-”符号的意义:(“+”、“-”表示连线方向) 12 1 2 1(F1) 2+ 1(F1) 2- 操作码的具体构成规则如下:1.对于地物的第一点,操作码=地物代码。
如图D-1中的1、5两点(点号表示测点顺序,括号中为该测点的编码,下同)。
图D-1 地物起点的操作码2.连续观测某一地物时,操作码为“+”或“-”。
其中“+”号表示连线依测点顺序进行;“-”号表示连线依测点顺序相反的方向进行,如图D-2所示。
在CASS中,连线顺序将决定类似于坎类的齿牙线的画向,齿牙线及其它类似标记总是画向连线方向的左边,因而改变连线方向就可改变其画向。
图D-2 连续观测点的操作码3.交叉观测不同地物时,操作码为“n+”或“n-”。
其中“+”、“-”号的意义同上,n表示该点应与以上n个点前面的点相连(n=当前点号-连接点号-1,即跳点数),还可用“+A$”或“-A$”标识断点,A$是任意助记字符,当一对A $断点出现后,可重复使用A$字符。
如图D-3所示。
图D-3 交叉观测点的操作码4.观测平行体时,操作码为“p”或“np”。
其中,“p”的含义为通过该点所画的符号应与上点所在地物的符号平行且同类,“np”的含义为通过该点所画的符号应与以上跳过n个点后的点所在的符号画平行体,对于带齿牙线的坎类符号,将会自动识别是堤还是沟。
若上点或跳过n个点后的点所在的符号不为坎类或线类,系统将会自动搜索已测过的坎类或线类符号的点。
因而,用于绘平行体的点,可在平行体的一“边”未测完时测对面点,亦可在测完后接着测对面的点,还可在加测其它地物点之后,测平行体的对面点。
如图D-4所示。
图D-4 平行体观测点的操作码。
线面状地物符号代码表坎类(曲):K(U)+数字(0-陡坎;1-加固陡坎;2-斜坡;3-加固斜坡; 4-垄;5-陡崖;6-干沟)线类(曲):X(Q)+数字(0-实线;1-内部道路;2-小路;3-大车路;4-建筑道路;5-地类界;6-乡镇界;7-县、县级市界;8-地区、地级市界;9-省界线)栏栅类: W+数字(0,1-宽0.5米的围墙;2-栅栏;3-铁丝网;4-篱笆; 5-活树篱笆;6-不依比例围墙,不拟合;7-不依比例围墙,拟合)铁路类: T+数字(0-标准铁路,大比例尺;1-标,小;2-窄轨铁路,大;3-窄,小;4-轻轨,大;5-轻轨,小;6-缆车道,大;7-缆车道,小;8-架空索道;9-过河电缆)电力线类:D+数字(0-电线塔;1-高压线;2-低压线;3-通信线)房屋类: F+数字(0-坚固房;1-普通房;2-一般房屋;3-建筑中房;4-破坏房;5-棚房;6-简单房)管线类: G+数字(0-架空,大;1-架空,小;2-地面上的;3-地下的; 4-有管堤的)植被土质:B(拟合)、H(不拟合)+数字(0-旱地;1-水稻;2-菜地;3-天然草地;4-有林地;5-行树;6-狭长灌木林;7-盐碱地;8-沙地;9-花圃)圆形物: Y+数字(0-半径;1-直径两端点;2-圆周三点)平形体: P 控制点: C+数字(0-图根点;1-埋石图根点;2-导线点;3-小三角点; 4-三角点;5-土堆上的三角点;6-土堆上的小三角点;7-天文点;8-水准点;9-界址点)点状地物符号代码标水系设施: A00水文站 A01 停泊场 A02航行灯塔 A03航行灯桩 A04航行灯船 A05左航行浮标 A06右航行浮标 A07系船浮筒 A08 急流 A09 过江管线标 A10 信号标 A11露出的沉船 A12淹没的沉船 A13 泉 A14 水井土质: A15 石堆居民地: A16学校 A17肥气池 A18 卫生所 A19地上的窑洞 A20电视发射塔 A21地下窑洞 A22窑 A23蒙古包管线设施: A24上水检修井 A25雨水检修井 A26圆污水篦子 A27下水暗井 A28煤气天然气检修井 A29热力检修井 A30电信入孔 A31电信出孔 A32电力检修井 A33工业、石油检修井 A34液展体气体储存设备 A35不明用途检修井 A36 消火栓 A37阀门 A38 水龙头 A39长形污水篦子电力设施: A40 变电室 A41无线电杆/塔 A42电杆军事设施: A43 旧碉堡 A44雷达站道路设施: A45里程碑 A46 坡度表 A47路标 A48 汽车站 A49劈板信号机独立树: A50阔叶独立树 A51针叶独立树 A52果树独立树 A53椰子独立树工矿设施: A54烟囱 A55露天设备 A56地磅 A57 起重机 A58探井 A59钻机 A60石油/天然气井 A61盐井 A62废弃小矿井 A63废弃的平峒洞口 A64废弃的竖井井口 A65开采的小矿井 A66开采的平峒洞口 A67开采的竖井井口公共设施: A68加油站 A69 气象站 A70路灯 A71照射灯 A72喷水池 A73 垃圾站 A74 旗杆 A75 亭 A76岗亭/岗楼 A77钟/楼/城楼 A78水塔 A79水塔烟囱 A80环保监测点 A81粮仓 A82风车 A83水磨房水车 A84 避雷针 A85抽水机站 A86地下建筑物天窗宗教设施: A87纪念祥碑 A88碑/柱/墩 A89塑像 A90庙宇 A91 土地庙 A92教堂 A93 清真寺 A94敖包/经堆。
cass 简码法1、简码引导文件中平行体:P,线上点号,通过点号因CASS6中可能存在BUG,因此可能要重复执行两次简码引导才能画出平行实体2、添加自定义野外操作码方法先在操作手册中查出相应地貌地物的CASS内码,再在jcode.def中新添加一行,并输入相应的野外操作码与对应的内码,如:添加了水涯线的野外操作码为:Q10,181101其中Q10是自定义的野外操作码,181101是水涯线的CASS内码砖房的野外操作码:F7,141121野外操作码由一个字母加两位数字组成,无效的0可以省略,如F07与F7等价如果要带参数而野外操作码又不足三位,则操作码与参数间需加“-”,如F2-2,141121表示房屋参数的2层,因F2不足三位因此野外操作码的“F2”与参数层数的“2”间要加“-”,但如果野外操作码是三位则参数可直接紧跟野外操作码如:F022,141121两种方法效果相同自定义野外操作码时请遵循CASS的约定,即表示线型的用“X”,拟合线型用“Q”,坎类用“K”,拟合坎类则用“U”,如:表D-1 线面状地物符号代码表===================================================================== ==================坎类(曲): K(U) + 数(0-陡坎,1-加固陡坎,2-斜坡,3-加固斜坡,4-垄,5-陡崖,6-干沟)线类(曲): X(Q) + 数(0-实线,1-内部道路,2-小路,3-大车路,4-建筑公路,5-地类界,6-乡.镇界,7-县.县级市界,8-地区.地级市界,9-省界线)垣栅类: W + 数(0,1-宽为0.5米的围墙,2-栅栏,3-铁丝网,4-篱笆,5-活树篱笆,6-不依比例围墙,不拟合,7-不依比例围墙,拟合)铁路类: T +数(0-标准铁路(大比例尺),1-标(小),2-窄轨铁路(大),3-窄(小),4-轻轨铁路(大),5-轻(小),6-缆车道(大),7-缆车道(小),8-架空索道,9-过河电缆)电力线类: D + 数 (0-电线塔,1-高压线,2-低压线,3-通讯线)房屋类: F +数 (0-坚固房,1-普通房,2-一般房屋,3-建筑中房,4-破坏房,5-棚房,6-简单房)。
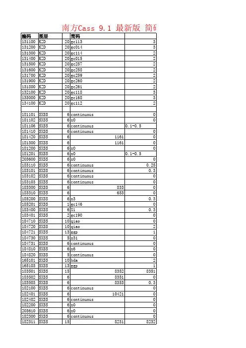
简码实体编码实体名称图层K0204201未加固陡坎DMTZ U0204201未加固陡坎DMTZ K1204202加固陡坎DMTZ U1204202加固陡坎DMTZ K2204101未加固斜坡DMTZ U2204101未加固斜坡DMTZ K3204102加固斜坡DMTZ U3204102加固斜坡DMTZ K4205402不依比例石垄DMTZ U4205402不依比例石垄DMTZ K5203320石质的陡崖DMTZ U5203320石质的陡崖DMTZ K6183502双线干沟SXSS U6183502双线干沟SXSS X0163300等外公路DLSS Q0163300等外公路DLSS X1164400内部道路DLSS Q1164400内部道路DLSS X2164300小路DLSS Q2164300小路DLSS X3164100大车路虚线边DLSS Q3164100大车路虚线边DLSS X4163600建筑中等外公路DLSS Q4163600建筑中等外公路DLSS X5216100地类界ZBTZ Q5216100地类界ZBTZ X6191501乡镇已定界JJX7191401县.县级市已定界JJX8191301地区.地级市已定界JJX9191201省.直辖市已定界JJ W0144301依比例围墙JMD W1144301依比例围墙JMD W2144400栅栏.栏杆JMD W3144700铁丝网JMD W4144500篱笆JMD W5144600活树篱笆JMD W6144302不依比例围墙JMD T0161101依比例一般铁路DLSS T1161102不依比例一般铁路DLSS T2161301依比例窄轨铁路DLSS T3161302不依比例窄轨铁路DLSS T4161501依比例轻便铁路DLSS T5161502不依比例轻便铁路DLSS T6161701依比例缆车轨道DLSS T7161702不依比例缆车轨道DLSS T8161800不依比例架空索道DLSS T9167500过河缆DLSS D0171101地面上的输电线GXYZ D1171101地面上的输电线GXYZ D2171201地面上的配电线GXYZ D3172001地面上的通信线GXYZ F0141101一般房屋JMD F1141103小比例尺房屋JMDF2141111砼房屋JMD F3141300建筑房屋JMD F4141400破坏房屋JMD F5141500棚房JMD F6141200简单房屋JMD G0173110架空的上水管道GXYZ G1173110架空的上水管道GXYZ G2173210地面上的上水管道GXYZ G3173310地面下的上水管道GXYZ G4173410有管堤的上水管道GXYZ B0211200旱地ZBTZ B1211100稻田ZBTZ B2215400花圃ZBTZ B3214100天然草地ZBTZ B4213100有林地ZBTZ B5211400菜地ZBTZ B6212100果园ZBTZ B7211300水生经济作物地ZBTZ B8213201大面积灌木林ZBTZ B9213901大面积竹林ZBTZ H0211200旱地ZBTZ H1211100稻田ZBTZ H2215400花圃ZBTZ H3214100天然草地ZBTZ H4213100有林地ZBTZ H5211400菜地ZBTZ H6212100果园ZBTZ H7211300水生经济作物地ZBTZ H8213201大面积灌木林ZBTZ H9213901大面积竹林ZBTZ C0131800不埋石图根点KZD C1131700埋石图根点KZD C2131500导线点KZD C3131300小三角点KZD C4131100三角点KZD C5131200土堆上的三角点KZD C6131400土堆上的小三角点KZD C7134100天文点KZD C8132100水准点KZD C9133000GPS控制点KZD C10131600土堆上的导线点KZD A00154400水文站DLDW A01167800停泊场DLSS A02168101航行灯塔DLSS A03168102航行灯桩DLSS A04168103航行灯船DLSS A05168201左岸航行浮标DLSS A06168202右岸航行浮标DLSS A07168400系船浮筒DLSS A08169003急流DLSS A09168500过江管线标DLSS A10168600信号杆DLSS A11169001露出的沉船DLSS A12169002淹没的沉船DLSSA13185300泉SXSS A14185102水井SXSS A15205302不依比例石堆DMTZ A16154600学校DLDW A17153902不依比例肥气池DLDW A18154700卫生所DLDW A19142112地上窑洞不依比例JMD A20155800电视发射塔DLDW A21142122地下窑洞JMD A22158602窑DLDW A23142200蒙古包JMD A24174100上水检修井GXYZ A25174200下水.雨水检修井GXYZ A26175101污水蓖子园形GXYZ A27174300下水暗井GXYZ A28174400煤气.天然气检修井GXYZ A29174500热力检修井GXYZ A30174601电信人孔GXYZ A31174602电信手孔GXYZ A32174700电力检修井GXYZ A33174800工业.石油检修井GXYZ A34152802不依比例液体.气体储存设备DLDW A35174900不明用途的检修井GXYZ A36175200消火栓GXYZ A37175300阀门GXYZ A38175400水龙头GXYZ A39175102污水蓖子长形GXYZ A40171802不依比例变电室GXYZ A41155702无线电杆.塔DLDW A42171300电杆GXYZ A43157202旧碉堡DLDW A44154200雷达站DLDW A45165601里程碑DLSS A46165602坡度表DLSS A47165603路标DLSS A48165604汽车站DLSS A49162500臂板信号机DLSS A50213801阔叶独立树ZBTZ A51213802针叶独立树ZBTZ A52213803果树独立树ZBTZ A53213804椰子.槟榔独立树ZBTZ A54152700烟囱DLDW A55152900露天设备DLDW A56158400地磅DLDW A57152100起重机DLDW A58151200探井DLDW A59151100钻孔DLDW A60151700石油.天然气井DLDW A61151600盐井DLDW A62151504废弃的小矿井DLDW A63151503废弃的平洞洞口DLDW A64151501废弃的竖井井口(圆)DLDW A65151404开采的小矿井DLDW A66151403开采的平洞洞口DLDWA67151401开采的竖井井口(圆)DLDW A68155100加油站DLDW A69154100气象站DLDW A70155210路灯DLDW A71155221杆式照射灯DLDW A72155300喷水池DLDW A73155500垃圾台DLDW A74156400旗杆DLDW A75156602亭DLDW A76155600岗亭.岗楼DLDW A77157102钟楼.城楼.鼓楼DLDW A78152620水塔DLDW A79152630水塔烟囱DLDW A80154300环保检测站DLDW A81153102不依比例粮仓DLDW A82153200风车DLDW A83153300水磨房.水车DLDW A84155900避雷针DLDW A85153400水轮泵.抽水机站DLDW A86143502地下建筑物通风口JMD A87156102纪念碑DLDW A88156202碑.柱.墩DLDW A89156302塑像DLDW A90157502庙宇DLDW A91157602土地庙DLDW A92157702教堂DLDW A93157802清真寺DLDW A94157900A95157302宝塔.经塔DLDW A96155400假石山DLDW A97152610塔形建筑物DLDW A98158701独立坟DLDW A99158703散坟DLDW END。
本点与下一点相连,连线依测点顺序相反方向进行1 2 1 21(F1)2+ 1(F1)2-操作码的具体构成规则如下:1.对于地物的第一点,操作码=地物代码。
如图D-1中的1、5两点(点号表示测点顺序,括号中为该测点的编码,下同)。
图D-1 地物起点的操作码2.连续观测某一地物时,操作码为“+”或“-”。
其中“+”号表示连线依测点顺序进行;“-”号表示连线依测点顺序相反的方向进行,如图D-2所示。
在CASS中,连线顺序将决定类似于坎类的齿牙线的画向,齿牙线及其它类似标记总是画向连线方向的左边,因而改变连线方向就可改变其画向。
图D-2 连续观测点的操作码3.交叉观测不同地物时,操作码为“n+”或“n-”。
其中“+”、“-”号的意义同上,n表示该点应与以上n个点前面的点相连(n=当前点号-连接点号-1,即跳点数),还可用“+A $”或“-A$”标识断点,A$是任意助记字符,当一对A$断点出现后,可重复使用A$字符。
如图D-3所示。
图D-3 交叉观测点的操作码4.观测平行体时,操作码为“p”或“np”。
其中,“p”的含义为通过该点所画的符号应与上点所在地物的符号平行且同类,“np”的含义为通过该点所画的符号应与以上跳过n 个点后的点所在的符号画平行体,对于带齿牙线的坎类符号,将会自动识别是堤还是沟。
若上点或跳过n个点后的点所在的符号不为坎类或线类,系统将会自动搜索已测过的坎类或线类符号的点。
因而,用于绘平行体的点,可在平行体的一“边”未测完时测对面点,亦可在测完后接着测对面的点,还可在加测其它地物点之后,测平行体的对面点。
如图D-4所示。
图D-4 平行体观测点的操作码数字化地形地籍成图系统CASS9.0。
野外操作码表D-1 线面状地物符号代码表9-界址点)例如:K0──直折线型的陡坎,U0──曲线型的陡坎,W1──土围墙T0──标准铁路(大比例尺),Y012.5──以该点为圆心半径为12.5m的圆表D-2 点状地物符号代码表表D-3 描述连接关系的符号的含义“+”、“-”符号的意义:(“+”、“-”表示连线方向)1 2 1 21(F1)2+ 1(F1)2-操作码的具体构成规则如下:1.对于地物的第一点,操作码=地物代码。
如图D-1中的1、5两点(点号表示测点顺序,括号中为该测点的编码,下同)。
图D-1 地物起点的操作码2.连续观测某一地物时,操作码为“+”或“-”。
其中“+”号表示连线依测点顺序进行;“-”号表示连线依测点顺序相反的方向进行,如图D-2所示。
在CASS中,连线顺序将决定类似于坎类的齿牙线的画向,齿牙线及其它类似标记总是画向连线方向的左边,因而改变连线方向就可改变其画向。
图D-2 连续观测点的操作码3.交叉观测不同地物时,操作码为“n+”或“n-”。
其中“+”、“-”号的意义同上,n表示该点应与以上n个点前面的点相连(n=当前点号-连接点号-1,即跳点数),还可用“+A$”或“-A$”标识断点,A$是任意助记字符,当一对A $断点出现后,可重复使用A$字符。
如图D-3所示。
图D-3 交叉观测点的操作码4.观测平行体时,操作码为“p”或“np”。
其中,“p”的含义为通过该点所画的符号应与上点所在地物的符号平行且同类,“np”的含义为通过该点所画的符号应与以上跳过n个点后的点所在的符号画平行体,对于带齿牙线的坎类符号,将会自动识别是堤还是沟。
若上点或跳过n个点后的点所在的符号不为坎类或线类,系统将会自动搜索已测过的坎类或线类符号的点。
因而,用于绘平行体的点,可在平行体的一“边”未测完时测对面点,亦可在测完后接着测对面的点,还可在加测其它地物点之后,测平行体的对面点。
如图D-4所示。
图D-4 平行体观测点的操作码。
CASS2008的野外操作码地物简码及其对应的属性代码如下:可以使用CASS 快捷命令V 查看已经绘制好的地物属性代码,就知道是地物类型的名称。
K0,204201未加固陡坎U0,204201未加固陡坎K1,204202加固陡坎U1,204202加固陡坎K2,204101未加固斜坡U2,204101未加固斜坡K3,204102加固斜坡U3,204102加固斜坡K4,205402不依比例石垄U4,205402不依比例石垄K5,203320石质的陡崖U5,203320石质的陡崖K6,183502双线干沟左边U6,183502双线干沟左边X0,163300等外公路Q0,163300等外公路X1,164400内部道路Q1,164400内部道路X2,164300小路Q2,164300小路X3,164100大车路虚线边Q3,164100大车路虚线边X4,163600建筑中等外公路Q4,163600建筑中等外公路X5,216100地类界Q5,216100地类界X6,191501乡镇已定界X7,191401县-县级市未定界X8,191301地区-地级市已定界X9,191201省-直辖市已定界W0,144301依比例围墙W1,144302不依比例围墙W2,144400栅栏-栏杆W3,144700铁丝网W4,144500篱笆W5,144600活树篱笆W6,144302不依比例围墙T0,161101依比例一般铁路T1,161102不依比例一般铁路T2,161301依比例窄轨铁路T3,161302不依比例窄轨铁路T4,161501依比例轻便铁路T5,161502不依比例轻便铁路T6,161701依比例缆车轨道T7,161702不依比例缆车轨道T8,161800不依比例架空索道T9,167500过河缆骨架线D0,171101地面上的输电线骨架线D1,171102地面下的输电线D2,171201地面上的配电线骨架线D3,172001地面上的通信线骨架线F0,141101一般房屋F1,141103小比例尺房屋F2,141111砼房屋F3,141300建筑房屋F4,141400建筑房屋F5,141500棚房F6,141200简单房屋G0,173110G1,173110架空的上水管道G2,173210架空的下水管道G3,173310地面下的上水管道G4,173410有管堤的上水管道B0,211200旱地边界B1,211100稻田边界B2,215400花圃B3,214100天然草地B4,213100有林地边界B5,211400菜地边界B6,212100果园边界B7,211300水生经济作物地边界B8,213201大面积灌木林边界B9,213901大面积竹林边界H0,211200旱地边界H1,211100稻田边界H2,215400花圃H3,214100天然草地H4,213100有林地边界H5,211400菜地边界H6,212100果园边界H7,211300水生经济作物地边界H8,213201大面积灌木林边界H9,213901大面积竹林边界C0,131800不埋石图根点C1,131700埋石图根点C2,131500导线点C3,131300小三角点C4,131100三角点C5,131200土堆上的三角点C6,131400土堆上的小三角点C7,134100天文点C8,132100水准点C9,133300GPS控制点A00,154400水文站A01,167800停泊场A02,168101航行灯塔A03,168102航行灯桩A04,168103航行灯船A05,168201左岸航行浮标A06,168202右岸航行浮标A07,168400系船浮筒A08,169003急流A09,168500过江管线标A10,168600信号杆A11,169001露出的沉船A12,169002淹没的沉船A13,185300泉A14,185102水井A15,205302不依比例石堆A16,154600学校A17,153902不依比例肥气池A18,154700卫生所A19,142112不依比例地上窑洞A20,155800电视发射塔A21,142122地下窑洞A22,158602窑A23,142200蒙古包A24,174100上水检修井A25,174200下水-雨水检修井A26,175101污水蓖子园形A27,174300下水暗井A28,174400煤气-天然气检修井A29,174500热力检修井A30,174601电信人孔A31,174602电信手孔A32,174700电力检修井A33,174800工业-石油检修井A34,152802不依比例液体-气体储存设备A35,174900不明用途的检修井A36,175200消火栓A37,175300阀门A38,175400水龙头A39,175102污水蓖子长形A40,171802不依比例变电室A41,155702无线电杆-塔A42,171300电杆A43,157202旧碉堡A44,154200雷达站A45,165601里程碑A46,165602坡度表A47,165603路标A48,165604汽车站A49,162500臂板信号机A50,213801阔叶独立树A51,213802针叶独立树A52,213803果树独立树A53,213804椰子-槟榔独立树A54,152700烟囱A55,152900露天设备A56,158400地磅A57,152100起重机A58,151200探井A59,151100钻孔A60,151700石油-天然气井A61,151600盐井A62,151504废弃的小矿井A63,151503废弃的平洞洞口A64,151501废弃的竖井井口(圆) A65,151404开采的小矿井A66,151403开采的平洞洞口A67,151401开采的竖井井口(圆) A68,155100加油站A69,154100气象站A70,155210路灯A71,155221杆式照射灯A72,155300喷水池A73,155500垃圾台A74,156400旗杆A75,156602亭A76,155600岗亭-岗楼A77,157102钟楼-城楼-鼓楼A78,152620水塔A79,152630水塔烟囱A80,154300环保检测站A81,153102不依比例粮仓A82,153200风车A83,153300水磨房-水车A84,155900避雷针A85,153400水轮泵-抽水机站A86,143502地下建筑物通风口A87,156102纪念碑A88,156202碑-柱-墩A89,156302塑像A90,157502庙宇A91,157602土地庙A92,157702教堂A93,157802清真寺A94,157902敖包.经堆A95,157302宝塔-经塔A96,155400假石山A97,152610塔形建筑物A98,158701独立坟A99,158703散坟。