高数下要点含微分方程自己的完整版
- 格式:docx
- 大小:643.89 KB
- 文档页数:24
高数第七章微分方程知识点
高数第七章微分方程的知识点主要包括:
1. 微分方程的基本概念:微分方程是包含导数或微分的方程,一般形式为
f(x, y', ..., y^{(n)}) = 0。
微分方程的阶数是指微分方程中所含导数或微分的最高阶数。
微分方程的解是指使微分方程成立的函数,不含任意常数的解称为特解,若微分方程的解中所含的相互独立的任意常数的个数与微分方程的阶数相等,称这个解为通解。
2. 高阶微分方程:高阶微分方程是阶数大于一的微分方程。
例如,二阶常系数齐次线性微分方程,形如 y'' + py' + q = 0 (p, q为常数)的方程。
3. 齐次方程:齐次方程是一种特殊的微分方程,可以通过变量代换化为另一种形式的一阶微分方程。
一阶齐次方程的形式为dydx=φ(yx),或者可化为这种形式的方程。
4. 一阶线性微分方程:一阶线性微分方程是包含一个未知函数及其导数的一次幂的方程,形式为 dydx+P(x)y=Q(x)。
如果Q(x)=0,则方程为齐次的,反之为非齐次的。
以上内容仅供参考,建议查阅高数教材或咨询专业人士以获取更准确的信息。
高数大一下知识点框架总结一、导数与微分1. 导数的定义及计算方法2. 函数的微分与微分形式3. 高阶导数及求导法则4. 隐函数微分与相关问题二、不定积分与定积分1. 不定积分的定义及基本积分表2. 定积分的定义及几何意义3. 牛顿-莱布尼茨公式与基本性质4. 微元法与变量代换法三、微分方程1. 一阶微分方程的基本概念与解法2. 高阶常系数线性微分方程及其解法3. 变系数线性微分方程的特解与齐次解4. 常见的常微分方程应用问题四、多元函数与偏导数1. 多元函数的定义及性质2. 偏导数的计算与几何意义3. 链式法则与不完全微分4. 梯度、方向导数与极值判定五、重积分与曲线曲面积分1. 二重积分的计算方法与性质2. 三重积分的计算方法与性质3. 曲线积分的计算与应用问题4. 曲面积分的计算与应用问题六、无穷级数1. 数项级数与常数项级数的收敛性2. 收敛级数的性质与判别法3. 幂级数的收敛域与展开式4. 泰勒级数与常见函数的级数展开七、常微分方程的应用1. 随机增长与衰减问题2. 物理问题中的常微分方程建模3. 经济学问题中的常微分方程建模4. 生物学问题中的常微分方程建模八、向量代数与空间解析几何1. 向量的基本概念与运算法则2. 空间直线和平面方程的求解3. 空间曲线的参数方程与弧长4. 球面与圆柱面的参数方程与切线以上是高数大一下知识点的框架总结,涵盖了导数与微分、不定积分与定积分、微分方程、多元函数与偏导数、重积分与曲线曲面积分、无穷级数、常微分方程的应用、向量代数与空间解析几何等内容。
希望对你的学习有所帮助!。
高等数学(下)知识点总结[汇编]
1.常微分方程:常微分方程是涉及未知函数在某个函数域内的导数与该未知函数自身
的关系的方程。
在常微分方程的解法中,可以使用分离变量法、齐次法等方法求解。
同时,也需要掌握一阶线性微分方程、一阶非线性微分方程、高阶线性微分方程等方程的解法。
3.多元函数微积分学:多元函数微积分学是研究多元函数的微积分理论及其应用的学科。
在多元函数微积分学的知识点中,需要掌握多元函数的极限、连续性、偏导数、方向
导数、梯度、多元函数的微分、多元函数的积分等内容。
4.向量代数与空间解析几何:向量代数与空间解析几何是研究向量相关理论及其在空
间解析几何中的应用的学科。
在向量代数与空间解析几何的知识点中,需要掌握向量的基
本运算、向量的数量积与向量积、直线及平面的方程、空间曲面方程等内容。
6.常微分方程的数值解法:常微分方程的数值解法是利用数值方法求解常微分方程的
近似解。
其中,欧拉法、龙格-库塔法等是常用的数值解法。
掌握常微分方程的数值解法
有利于在实际问题中应用数学知识进行求解。
以上就是高等数学下学期的知识点总结。
对于学习这门学科的学生来说,掌握以上知
识点是非常重要的,可以帮助他们更好地应对考试和实际问题的求解。
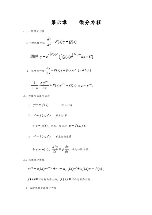
第六章 微分方程一、一阶微分方程1、一阶线性方程 )()(x Q y x P dxdy=+])([)()(C dx e x Q e y dx x P dxx P +⎰⎰=⎰-通解2、伯努利方程 )1,0()()(d d ≠=+n y x Q y x P xyn ).()(d d 1111x Q y x P xy n n n=+⋅---令.1n y z -= 二、可降阶的高阶方程1.)()(x f y n = n 次积分2.)',("y x f y = 不显含y令)('x p y =,化为一阶方程 ),('p x f p =。
3.)',("y y f y = 不显含自变量令)('y p y =,dydpp dx y d =22,化为一阶方程。
三、线性微分方程)()()()(1)1(1)(x f y x a y x a y x a y n n n n =+'+++-- ,0)(≡x f 时称为齐次的,0)(≡/x f 称为非齐次的。
1.二阶线性齐次线性方程0)()(=+'+''y x Q y x P y (1)如果函数)(1x y 与)(2x y 是方程(1)的两个解,则)()(2211x y C x y C y += 也是(1)的解,其中21,C C 是任意常数。
如果)(1x y 与)(2x y 是方程(1)的两个线性无关的特解,则)()(2211x y C x y C y += (21,C C 是任意常数)是(1)的通解.两个函数)(1x y 与)(2x y 线性无关的充要条件为C x y x y ≡/)()(21(常数)2.二阶线性非齐次线性方程设)(*x y 是二阶线性非齐次线性方程 )()()(x f y x Q y x P y =+'+''的一个特解,)(x Y 是它对应的齐次方程(1)的通解,则 )()(*x y x Y y += 是该方程的通解.设)(*1x y 与)(*2x y 分别是二阶线性非齐次方程)()()(1x f y x Q y x P y =+'+'' 与 )()()(2x f y x Q y x P y =+'+''的两个特解。
高数同济版下高数(下)小结一、微分方程复习要点解微分方程时,先要判断一下方程是属于什么类型,然后按所属类型的相应解法求出其通解. 一阶微分方程的解法小结:高数同济版下二阶微分方程的解法小结:非齐次方程的特解的形式为:高数同济版下主要一阶1、可分离变量方程、线性微分方程的求解; 2、二阶常系数齐次线性微分方程的求解; 3、二阶常系数非齐次线性微分方程的特解二、多元函数微分学复习要点一、偏导数的求法 1、显函数的偏导数的求法时,应将看作常量,对求导,在求时,应将看作常量,对求导,所运用的是一元函数的求导法则与求导公式2、复合函数的偏导数的求法设,,,则,几种特殊情况: 1),,,则2),,则 3),则3、隐函数求偏导数的求法 1)一个方程的情况,设是由方程唯一确定的隐函数,则,高数同济版下或者视,由方程两边同时对 2)方程组的情况由方程组 . 两边同时对求导解出即可二、全微分的求法方法1:利用公式方法2:直接两边同时求微分,解出即可.其中要注意应用微分形式的不变性:三、空间曲线的切线及空间曲面的法平面的求法 1)设空间曲线Г的参数方程为,则当时,在曲线上对应处的切线方向向量为,切线方程为法平面方程为2)若曲面的方程为,则在点处的法向,切平面方程为法线方程为高数同济版下若曲面的方程为,则在点处的法向,切平面方程为法线方程为四、多元函数极值(最值)的求法 1 无条件极值的求法设函数在点的某邻域内具有二阶连续偏导数,由,解出驻点,记, 1)若时有极小值 2)若,则在点处无极值 3)若,不能判定在点处是否取得极值,则在点处取得极值,且当时有极大值,当2 条件极值的求法函数在满足条件下极值的方法如下: 1)化为无条件极值:若能从条件解出代入中,则使函数成为一元函数无条件的极值问题 2)拉格朗日乘数法作辅助函数,其中为参数,解方程组高数同济版下求出驻点坐标,则驻点可能是条件极值点 3 最大值与最小值的求法若多元函数在闭区域上连续,求出函数在区域内部的驻点,计算出在这些点处的函数值,并与区域的边界上的最大(最小)值比较,最大(最小)者,就是最大(最小)值. 主要1、偏导数的求法与全微分的求法;2、空间曲线的切线及空间曲面的法平面的求法3、最大值与最小值的求法三、多元函数积分学复习要点七种积分的概念、计算方法及应用如下表所示:高数同济版下高数同济版下*定积分的几何应用定积分应用的常用公式: (1)面积 (2)体积(型区域的面积)(横截面面积已知的立体体积)(所围图形绕的立体体积)(所围图形绕体体积)(所围图形绕轴的立体体积)。
大一高数下册总结知识点高等数学是大学数学教学中的一门重要课程,为了帮助大家更好地掌握高数下册的知识,以下是对该学期知识点进行的全面总结。
一、导数与微分1. 导数的定义和基本性质:导数的定义、导数的几何意义、导数的四则运算、导数的代数运算法则等。
2. 常用函数的导数:多项式函数、幂函数、指数函数、对数函数、三角函数等函数的导数。
3. 高阶导数与高阶微分:高阶导数的定义、高阶导数与高阶微分的关系、高阶导数的几何意义等。
二、常微分方程1. 常微分方程的基本概念:微分方程的定义、常微分方程和常微分方程解的关系。
2. 一阶常微分方程:可分离变量的一阶微分方程、首次线性微分方程、恰当方程等。
3. 高阶常微分方程:二阶线性常微分方程、齐次线性微分方程、非齐次线性微分方程等。
三、多元函数微分学1. 多元函数的极限与连续性:多元函数极限的定义和性质、多元函数连续性的定义和性质。
2. 偏导数和全微分:偏导数的定义和性质、全微分的定义和性质。
3. 隐函数与参数方程:隐函数的存在定理、参数方程及其求导法则。
四、多元函数的积分学1. 重积分:二重积分的概念、性质和计算方法,三重积分的概念、性质和计算方法。
2. 曲线积分与曲面积分:第一类曲线积分、第二类曲线积分及其计算方法,曲面积分及其计算方法。
3. 广义积分:广义积分的定义和性质、收敛性判定、常用的广义积分计算方法等。
五、无穷级数1. 数项级数:正项级数、任意项级数、级数的收敛、发散和条件收敛等概念。
2. 幂级数:幂级数的收敛半径、收敛域、幂函数展开、函数的幂级数展开等内容。
3. Taylor级数和Maclaurin级数:函数的Taylor展开、Maclaurin级数的计算等。
六、空间解析几何1. 点、直线、平面的位置关系:平面的点法式与一般式、直线的点向式与一般式等内容。
2. 空间曲线与曲面:空间曲线的参数方程与一般方程、曲面的参数方程与一般方程等。
七、数列与数列极限1. 数列极限:数列收敛与发散的定义和判定、无穷极限的性质等。
高等数学下知识点总结高等数学是大学阶段的一门重要课程,它是数学的一个重要分支,也是理工科学生必修的一门课程。
高等数学下学期的内容相对较为复杂,包括微分方程、多元函数微积分、无穷级数等知识点。
下面我们将对高等数学下知识点进行总结,希望能够帮助大家更好地理解和掌握这门课程。
1. 微分方程。
微分方程是研究函数的微分和积分的关系的数学分支,它在物理、化学、生物等领域有着广泛的应用。
微分方程分为常微分方程和偏微分方程两大类,常微分方程是指未知函数的自变量只有一个自变量的微分方程,而偏微分方程是指未知函数的自变量有两个或两个以上的微分方程。
在学习微分方程时,需要掌握常微分方程的解法、一阶线性微分方程、二阶线性常系数齐次微分方程等内容。
2. 多元函数微积分。
多元函数微积分是高等数学下的重要内容,它是对多元函数的微分和积分进行研究。
在学习多元函数微积分时,需要了解多元函数的极限、偏导数、全微分、多元函数的微分法、多元函数的积分计算等知识点。
同时,还需要掌握多元函数的梯度、散度、旋度等概念,这些知识对于理解物理、工程等领域的问题具有重要意义。
3. 无穷级数。
无穷级数是指由无穷多项式组成的级数,它在数学分析、实变函数等领域有着重要的应用。
在学习无穷级数时,需要了解级数的收敛性、级数的性质、级数的审敛法等内容。
同时,还需要掌握级数的收敛域、幂级数、傅立叶级数等知识点,这些知识对于理解物理、信号处理等领域的问题具有重要意义。
4. 空间解析几何。
空间解析几何是高等数学下的一门重要课程,它是对空间中点、直线、平面等几何对象进行研究的数学分支。
在学习空间解析几何时,需要了解空间中直线和平面的方程、空间曲线的参数方程、空间曲面的方程等知识点。
同时,还需要掌握空间中直线和平面的位置关系、空间曲线的切线、法平面等内容,这些知识对于理解三维空间中的几何关系具有重要意义。
总之,高等数学下的知识点涉及到微分方程、多元函数微积分、无穷级数、空间解析几何等内容,这些知识对于理解和应用数学具有重要意义。
高数大一同济版下册知识点第一章一元函数微分学1.1 函数极限与连续性1.1.1 函数极限的定义与性质1.1.2 函数连续性的概念与判定1.1.3 连续函数的性质与运算1.2 导数与微分1.2.1 导数的定义与几何意义1.2.2 导数的计算方法1.2.3 微分的概念与计算1.3 高阶导数与高阶微分1.3.1 高阶导数的定义与计算1.3.2 高阶微分的概念与计算1.3.3 高阶导数与高阶微分的关系第二章微分学的应用2.1 极值与最值问题2.1.1 极值点的判定2.1.2 最值问题的求解方法2.1.3 应用实例2.2 函数的单调性与凹凸性2.2.1 函数单调性的判定2.2.2 函数凹凸性的判定2.2.3 应用实例2.3 泰勒展开与函数的近似计算 2.3.1 泰勒公式的导出与性质 2.3.2 函数近似计算的应用示例 2.3.3 应用实例第三章一元函数不定积分3.1 不定积分的定义与性质3.1.1 不定积分的定义3.1.2 不定积分的基本法则 3.1.3 基本积分表与换元法则3.2 积分方法与技巧3.2.1 分部积分法3.2.2 有理函数积分法3.2.3 三角函数积分法3.3 定积分的概念与性质3.3.1 定积分的定义3.3.2 定积分的计算法则3.3.3 定积分的几何应用第四章一元函数定积分4.1 定积分与不定积分的关系4.1.1 反常积分的概念与性质4.1.2 无穷限的换元法与分部积分法4.1.3 无穷限的比较判别法4.2 定积分的应用4.2.1 平面图形的面积与弧长4.2.2 物理学问题与定积分4.2.3 应用实例4.3 定积分的计算方法4.3.1 定积分的常用计算方法4.3.2 积分计算常用技巧4.3.3 定积分的应用实例这些知识点是高数大一同济版下册中的重要内容。
通过系统地学习与掌握这些知识点,你将对微积分理论有更深入的了解,并可以应用于实际问题的求解。
希望你能够认真学习,掌握这些知识点,在未来的学习与工作中能够灵活运用。
大一下高数笔记
以下是一份大一下学期高等数学笔记的示例,主要内容包括导数、微积分、线性代数和微分方程等方面的知识点。
高等数学笔记
一、导数与微分
1. 导数的定义:导数描述了函数值随自变量变化的速率。
2. 导数的计算:基本初等函数的导数公式,链式法则,乘积法则,商的导数公式等。
3. 微分的概念:微分是函数在某点的局部线性逼近。
4. 微分的计算:基本初等函数的微分公式,链式法则,乘积法则,商的微分公式等。
二、微积分基本定理
1. 积分的基本性质:积分区间可加性,函数值的性质等。
2. 微积分基本定理:定积分可表示为某个函数的原函数在积分上下限处的函数值之差。
三、线性代数
1. 向量与矩阵的基本概念:向量的加法、数乘、向量的模等;矩阵的加法、数乘、矩阵的乘法等。
2. 行列式:行列式的定义、性质、计算方法等。
3. 矩阵的逆与行列式的关系:一个矩阵的逆矩阵与其行列式值的关系。
4. 线性方程组:线性方程组的解法,包括高斯消元法、行变换法等。
四、微分方程
1. 微分方程的基本概念:定义、类型等。
2. 一阶微分方程:可分离变量的一阶方程、线性方程、一阶隐式方程等。
3. 二阶常系数线性微分方程:特征方程、通解公式等。
4. 微分方程的应用:物理、工程等领域中的应用实例。
以上是一份大一下学期高等数学笔记的示例,可以根据自己的学习情况适当增减内容。
在记笔记时,注意保持清晰的结构和条理,以便于后续复习和巩固。
第十二章 微分方程 复习要点:一、了解微分方程的基本概念微分方程:表示未知函数﹑未知函数的导数与自变量之间的关系的方程,叫做微分方程。
微分方程的阶:方程中未知函数的导数或微分的最高阶数。
微分方程的解:满足微分方程的函数。
通解: 含有与微分方程阶数相同个数的任意常数微分方程的解。
特解:满足初始条件的微分方程的解。
二、会解一阶微分方程1.可分离变量的微分方程定义:若一阶微分方程可整理成:dx x f dy y g )()(=, 则称该微分方程为可分离变量的微分方程。
解法:方程两端同时求积分,即⎰⎰=dx x f dy y g )()(2.齐次微分方程 定义:若一阶微分方程可整理成:)(xy y ϕ=',则称其为齐次微分方程。
解法:做变量代换,令xy u =,即ux y =,则u x u y '+=' 将原方程化为可分离变量的微分方程:dx xdu u u 1)(1=-ϕ ,求得其通解后再把x y u =代回即可得原微分方程的通解。
3.一阶线性微分方程定义:形如)()(x Q y x P y =+'的方程称一阶线性微分方程。
求解公式:])([)()(⎰+⎰⎰=-C dx e x Q e y dx x P dx x P4.全微分方程定义:若微分方程0),(),(=+dy y x Q dx y x P 的左端恰好是某二元函数),(y x u 的全微分,即),(),(),(y x du dy y x Q dx y x P =+,则称该微分方程为全微分方程。
判断方法:0),(),(=+dy y x Q dx y x P 的是全微分方程⇔=∂∂x Q yP ∂∂ 全微分方程通解为:C y x u =),(二、会解高阶微分方程1.)()(x f y n =型的微分方程特点:该方程中不显含)1(,,,,-'''n y y y y解法:连续积分n 次,得其通解).,,,(21n C C C x y ϕ= 2.),(y x f y '=''型的微分方程特点:该方程中不显含未知函数y解法:令)(x p y =',将方程化为:),(p x f p =',这是一阶微分方程,解之得其通解),(1C x p ϕ=,代回)(x p y ='得),(1C x y ϕ=',又是一阶微分方程,方程两端同时求积分即可得原方程的通解3.),(y y f y '=''型的微分方程特点:该方程中不显含自变量x解法:令)(y p y =',则dydp y p y )(='',原方程化为:),(p y f dy dp p =,这是一阶微分方程,解之得其通解为),(1C y p ϕ=,代回)(y p y ='得),(1C y y ϕ=',这是一阶可分离变量的微分方程,再解之就可得原方程的通解。
大一高数下册知识点一、导数与微分1. 函数的导数定义在数学中,函数的导数是用来描述函数在某一点处的变化率的概念。
导数定义为函数在该点处的极限,表示函数曲线上一点处的切线斜率。
2. 基本导数公式基本导数公式是求常见函数导数的一些基本规则,包括常数函数导数、幂函数导数、指数函数导数、对数函数导数和三角函数导数等。
3. 高阶导数和导数法则高阶导数是指函数的导数再求导数,导数法则能够简化高阶导数计算的过程,包括线性性质、乘法法则、除法法则和链式法则等。
4. 函数的微分函数的微分是导数的另一种表示形式,用来描述函数在某一点的增量与自变量增量的比值,是函数曲线在该点处的线性逼近。
二、不定积分与定积分1. 不定积分的定义与性质不定积分是原函数的概念,反映了函数的积分与导数之间的联系。
不定积分的计算需要使用不定积分公式和换元法等。
2. 基本不定积分公式基本不定积分公式是求常见函数不定积分的一些基本规则,包括幂函数积分、指数函数积分、三角函数积分和反三角函数积分等。
3. 定积分的定义与性质定积分是函数曲线下方与x轴之间的有界区域面积,可以用来计算曲线长度、体积等物理量。
定积分的计算需要使用定积分公式和换元法等。
4. 基本定积分公式基本定积分公式是求常见函数定积分的一些基本规则,包括幂函数积分、指数函数积分、三角函数积分和反三角函数积分等。
三、级数与收敛性1. 级数的基本概念级数是由数列的前n项和所组成的无穷序列,是数学分析中的重要概念。
级数的和可以是有限的,也可以是无限的。
2. 常见级数的性质常见级数的性质包括级数的收敛性与发散性、级数的性质和级数的比较判别法等。
通过对级数进行分析,可以判断级数的求和结果。
3. 幂级数的收敛域幂级数是一种特殊的级数形式,可以表示为多项式的无限和。
对幂级数进行收敛域的分析,可以确定幂级数在哪些区间内收敛。
4. 泰勒级数与麦克劳林级数泰勒级数和麦克劳林级数是将函数展开为幂级数的一种方法。
大一高数下知识点笔记(一)导数与微分1. 定义:导数表示函数在某一点的变化率,用于描述函数的局部性质。
2. 导数的计算方法:常用的方法有极限定义法、基本初等函数的导数法则、导数的四则运算法则等。
3. 微分的概念:微分是导数的一种应用形式,它表示函数值的微小变化与自变量的微小变化之间的关系。
(二)函数的极限1. 极限的定义:函数的极限表示自变量无限接近某一点时,函数值的变化趋势。
2. 极限的性质:极限存在唯一性、局部有界性、保号性等。
3. 常见的极限计算方法:夹逼定理、无穷小代换法、洛必达法则等。
(三)连续与间断1. 连续函数的定义:函数在某一点连续,表示函数在该点的极限存在且等于函数值。
2. 连续函数的性质:连续函数的四则运算、复合函数的连续性等。
3. 间断点的分类:可去间断、跳跃间断、无穷间断等。
(四)微分中值定理1. 雅可比定理:若函数在闭区间上连续,且在开区间内可导,则在闭区间上至少存在一个点,使得导数在该点处等于函数的平均变化率。
2. 拉格朗日中值定理:若函数在闭区间上连续,且在开区间内可导,则在闭区间上至少存在一个点,使得导数在该点处等于函数在区间两端点连线上的斜率。
3. 柯西中值定理:若两个函数在闭区间上连续且可导,其中一个函数在开区间内不恒为零,则在闭区间上至少存在一个点,使得两个函数的导数之比等于两个函数在区间两端点连线上的斜率。
(五)不定积分1. 不定积分的定义:不定积分是函数的反导数,即求导的逆运算。
2. 基本积分公式:常见的基本积分公式包括幂函数积分、三角函数积分、指数函数积分等。
3. 替换法则与分部积分法:替换法则用于处理复合函数的积分,分部积分法用于处理乘积的积分。
(六)定积分与定积分的应用1. 定积分的定义:定积分是对函数在一定区间上的区域面积的近似求和。
2. 定积分的计算方法:分割求和法、换元法、分部积分法等。
3. 定积分的应用:用定积分求曲线下的面积、求物体的体积、计算平均值等。
高数下要点含微分方程自己的HUA system office room 【HUA16H-TTMS2A-HUAS8Q8-HUAH1688】第六章 微分方程一、一阶微分方程1、一阶线性方程 )()(x Q y x P dxdy=+2、伯努利方程 )1,0()()(d d ≠=+n y x Q y x P xyn ).()(d d 1111x Q y x P xy n n n=+⋅---令.1n y z -= 二、可降阶的高阶方程1.)()(x f yn = n 次积分2.)',("y x f y = 不显含y令)('x p y =,化为一阶方程 ),('p x f p =。
3.)',("y y f y = 不显含自变量令)('y p y =,dydpp dx y d =22,化为一阶方程。
三、线性微分方程)()()()(1)1(1)(x f y x a y x a y x a y n n n n =+'+++-- ,0)(≡x f 时称为齐次的,0)(≡/x f 称为非齐次的。
1.二阶线性齐次线性方程0)()(=+'+''y x Q y x P y (1)如果函数)(1x y 与)(2x y 是方程(1)的两个解,则)()(2211x y C x y C y += 也是(1)的解,其中21,C C 是任意常数。
如果)(1x y 与)(2x y 是方程(1)的两个线性无关的特解,则)()(2211x y C x y C y += (21,C C 是任意常数)是(1)的通解.两个函数)(1x y 与)(2x y 线性无关的充要条件为C x y x y ≡/)()(21(常数)2.二阶线性非齐次线性方程设)(*x y 是二阶线性非齐次线性方程 )()()(x f y x Q y x P y =+'+''的一个特解,)(x Y 是它对应的齐次方程(1)的通解,则 )()(*x y x Y y += 是该方程的通解.设)(*1x y 与)(*2x y 分别是二阶线性非齐次方程 )()()(1x f y x Q y x P y =+'+'' 与 )()()(2x f y x Q y x P y =+'+''的两个特解。
则+)(*1x y )(*2x y 是的特解。
(叠加原理)3.二阶线性常系数齐次方程0'"=++qy py y特征方程02=++q pr r ,特征根 21,r r4.二阶线性常系数非齐次方程 )(x f qy y p y =+'+''i) 如果x m e x P x f λ)()(=,则二阶线性常系数非齐次方程具有形如x m k e x Q x y λ)(*= 的特解。
其中,)(x P m 是m 次多项式, )(x Q m 也是系数待定的m 次多项式;2,1,0=k 依照λ为特征根的重数而取值.i)如果[]x x P x x P e x f n l x ωωλsin )(cos )()(+=,则二阶线性常系数非齐次方程的特解可设为其中)(),()2()1(x R x R m m是系数待定的m次多项式,{}n l m,m ax =,1,0=k 依照ωλi +特征根的重数取值.四、欧拉方程二阶欧拉方程 )(2x f qy y px y x=+'+'',其中q p ,为常数.作变换te x =,则有 dt dy x dx dt dt dy dx dy 1=⋅=, ⎪⎪⎭⎫⎝⎛-=dt dy dt y d x dx y d 222221。
原方程变为二阶线性常系数方程 )()1(22te f qy dtdy p dx y d =+-+。
第七章 空间解析几何一、1、φβαβαsin ||||||=⨯,其中φ是α与β的夹角;2、向量积满足下列运算律:1)反交换律)(αββα⨯-=⨯; 2)结合律 )()()(βλαβαλβαλ⨯=⨯=⨯,其中λ是数量 ;3) 左分配律 βγαγβαγ⨯+⨯=+⨯)(,右分配律 γβγαγβα⨯+⨯=⨯+)(.3、321321212131313232b b b a a a k j i k b b a a j b b a a i b b a a=+-=⨯βα4、若0},,{321≠=a a a α,则ααα||10=称为α 单位化向量,并有0||ααα=.此时}cos ,cos ,{cos ,,2322213232221223222110γβαα=⎪⎭⎪⎬⎫⎪⎩⎪⎨⎧++++++=a a a a aa a a a a a a 其中γβαcos ,cos ,cos 是α的方向余弦.三、1、旋转面方程yoz 平面上的曲线C :⎩⎨⎧==00),(x z y f 绕z 轴的旋转面方程为0),(22=+±z y x f ;绕y 轴的旋转面方程为0),(22=+±z x y f .类似可得其它坐标面上的曲线绕坐标轴的旋转面方程.2、柱面方程以xoy 平面上的曲线C :⎩⎨⎧==0),(z y x f 为准线,母线平行于z 轴的柱面方程为0),(=y x f .同理方程0),(=z y g 和0),(=z x h 分别表示母线平行于x 轴和y 轴的柱面.3、曲线在坐标面上的投影在空间曲线的方程 ⎩⎨⎧==0),,(0),,(:21z y x F z y x F C 中,经过同解变形分别消去变量z y x ,,,则可得到C 在yoz 、xoz 、xoy 平面上的投影曲线,分别为:⎩⎨⎧==00),(x z y F ; ⎩⎨⎧==00),(y z x G ;⎩⎨⎧==00),(z y x H四、1、平面方程1)点法式:过点),,(0000z y x P ,法向量},,{C B A n =的平面方程为0)()()(000=-+-+-z z C y y B x x A ,2)一般式: 0=+++D Cz By Ax ,其中C B A ,,不全为零.3)截距式:1=++czb y a x4)两个平面之间的关系设两个平面Π1与Π2的法向量依次为},,{1111C B A n =和},,{2222C B A n = .Π1与Π2的夹角θ规定为它们法向量的夹角(取锐角).此时2、直线方程1)一般式:将直线表示为两个平面的交线⎩⎨⎧=+++=+++0022221111D z C y B x A D z C y B x A . 2)若直线L 经过点),,(0000z y x P 且与方向向量0},,{≠=n m l v 平行,则L 的方程为i) 对称式:nz z m y y l x x 000-=-=-. || || | | || cos CB A CB ACC B B AA nn n nii) 参数式:⎪⎩⎪⎨⎧+=+=+=tn z z t m y y t l x x 000,+∞<<∞-t.3)两条直线之间的关系设两条直线L 1和L 2方向向量分别为 },,{,},,{22221111n m l v n m l v ==,L 1 与 L 2 的夹角θ规定为它们方向向量的夹角(取锐角).于是3、直线与平面的关系设直线L 的方向向量为},,{n m l v = ,平面 Π 的法向量为},,{C B A n =.L 与Π的夹角φ规定为L 与它在Π上投影直线'L 的夹角(锐角).这时222222||||||||sin CB A n m l nC mB lA n v n v ++⋅++++=⋅•= φ. L 与 Π 垂直的充要条件是 CnB m A l ==.L 与 Π 平行的充要条件是 0=++nC mB lA五、1、椭圆抛物面: 2222by a x z +=,其中0,0>>b a (图3).例如22y x z +=,22y x z +=-等.2、椭圆锥面: 22222by a x z += ,其中 0,0>>b a (图4).例如,圆锥面222y x z +=.3、单叶双曲面 1222222=-+cz b y a x ,其中0,0,0>>>c b a (图5).例如 1222=-+z y x.4、双叶双曲面 1222222-=-+cz b y a x ,其中0,0,0>>>c b a(图6).例如1222=--y x z . 第八章 多元函数的微分学一、1.偏导数对某一个自变量求偏导数,就是将其余的自变量看作常数,对这个变量求一元函数的导数.2.高阶偏导数二元函数),(y x f 的二阶偏导数),(),(1122y x f y x f x zx z x xx ==∂∂=⎪⎭⎫ ⎝⎛∂∂∂∂ ,或 11f ,11z ; ),(),(122y x f y x f yx zx z y xy ==∂∂∂=⎪⎭⎫ ⎝⎛∂∂∂∂,或 12f ,12z ; ),(y x f xy 及),(y x f yx 称为二阶混合偏导数3、全微分二元函数),(y x f z =在点),(y x 处的全微分三元函数),,(z y x f u =的全微分,并有4、可微、可导、连续的关系在多元函数中,可微、可导、连续的关系与一元函数的情况有所不同.在多元函数中1)可微必可导,可导不一定可微;2)可微必连续,连续不一定可微;3)可导不一定连续,连续不一定可导5、复合函数的偏导数假设下列函数都可微,则有复合函数的求导公式(链式法则): a.若),(v u f z =,)(x u ϕ=,)(x v ψ=,则复合函数)](),([x x f z ψϕ=的导数为dx dz =dx du u z ∂∂+dxdv v z ∂∂; b.若),(v u f z =,),(y x u ϕ=,),(y x v ψ=,则复合函数)],(),,([y x y x f z ψϕ=的偏导数x z ∂∂=x u u z ∂∂∂∂+xvv z ∂∂∂∂ , y z ∂∂=y u u z ∂∂∂∂+y v v z ∂∂∂∂;6、隐函数的偏导数1)方程 0),(=y x F 所确定的隐函数的导数为yx F Fdx dy -=. 2)方程 0),,(=z y x F 所确定隐函数的偏导数为z x F F x z -=∂∂ , zy F F y z-=∂∂. 二、1、取得极值的必要条件如果函数),(y x f z =在点),(000y x P 的两个偏导数都存在,且在该点函数取得极值,则 0),(00=y x f x , 0),(00=y x f y .可导的极值点必是驻点,但极值点不一定是驻点.2.取得极值的充分条件设),(y x f z =在驻点),(00y x 的某个邻域内有二阶的连续偏导数.令),(00y x f A xx =, ),(00y x f B xy =,),(00y x f C yy =, AC B -=∆2,于是有1)如果0<∆,则点),(00y x 是函数的极值点.当0<A 时,),(00y x f 是极大值 ,当0>A 时,),(00y x f 是极小值.2)如果0>∆,则点),(00y x 不是函数的极值点.3)如果0=∆,则函数),(y x f z =在点),(00y x 有无极值不能确定,需用其它方法判别.3.条件极值1)求二元函数),(y x f z =在约束条件),(y x ϕ=0下的极值,可以按照如下步骤进行:i) 构造拉格朗日函数 ),(),(),(y x y x f y x L λϕ+=;ii) 解方程组 ⎪⎪⎪⎩⎪⎪⎪⎨⎧==+=∂∂=+=∂∂0),(0),(),(0),(),(y x y x y x f y L y x y x f x Ly y x x ϕϕλϕλ. 若 000,,y x λ是方程组的解,则),(00y x 是该条件极值问题的可疑极值点.三、多元微分学的几何应用1.空间曲线的切线与法平面给定空间曲线 ⎪⎩⎪⎨⎧===)()()(:t z z t y y t x x L ,其中的三个函数有连续的导数且导数不同时为零(光滑曲线).L 上的点),,(0000z y x P 对应的参数为0t .则曲线L 在点),,(0000z y x P 处的切向量为})(',)(',)('{000t z t y t x ,此时的切线方程为)(')(')('000000t z z z t y y y t x x x -=-=- . 曲线L 在点),,(0000z y x P 的法平面方程为2.曲面的切平面与法线给定曲面∑的方程0),,(=z y x F ,函数),,(z y x F 有连续的偏导数且三个偏导数不同时为零(光滑曲面).点),,(0000z y x P 是∑上的一个点.则曲面∑在点),,(0000z y x P 处的法向量为}),,(,),,(,),,({000000000z y x F z y x F z y x F z y x ,此时的切平面方程为0))(,,())(,,())(,,(000000000000=-+-+-z z z y x F y y z y x F x x z y x F z y x ,曲面∑在点),,(0000z y x P 的法线方程为),,(),,(),,(000000000000z y x F z z z y x F y y z y x F x x z y x -=-=- .四.方向导数与梯度1.若函数 ),,(z y x f u =在点),,(z y x P 可微,方向l 的方向余弦为γβαcos ,cos ,cos ,则函数在点),,(z y x P 沿方向l 的方向导数为γβαcos cos cos zu y u x u l u ∂∂+∂∂+∂∂=∂∂. 2.设函数),,(z y x f u =在空间区域G 内可微,则函数在点),,(0000z y x P 处的梯度定义为一个向量grad ),,(000z y x f =k z y x f j z y x f i z y x f z y x),,(),,(),,(000000000++.梯度方向是函数变化率最大的方向.在梯度方向上函数的方向导数取得最大值 |),,(grad |000z y x f .第九章 重积分一、 二重积分的计算1.直角坐标下二重积分的计算1)若积分区域可以表示为D :,b x a ≤≤ )()(21x y x ϕϕ≤≤,则 2)若积分区域可以表示为 D :,d y c ≤≤ )()(21y x y ψψ≤≤,则⎰⎰⎰⎰=)()(21),(),(y y d cDdx y x f dy dxdy y x f ψψ.2.极坐标下二重积分的计算直角坐标与极坐标的关系为 ⎩⎨⎧==θθsin cos r y r x,.20,0πθ<≤+∞<≤r此时面积元素为θσrdrd d =或θrdrd dxdy =.若在极坐标下积分区域可以表示为)()(,:21θϕθϕβθα≤≤≤≤r D ,则⎰⎰⎰⎰⎰⎰==)()(21)sin ,cos ()sin ,cos (),(θϕθϕβαθθθθθθrdr r r f d rdrd r r f dxdy y x f DD二、三重积分的计算||1Ω==⎰⎰⎰⎰⎰⎰ΩΩdv dv ,||Ω表示Ω的体积.1.直角坐标下三重积分的计算1)“先一后二”法若积分区域可表示为 Ω:),(),(,)()(,2121y x z z y x z x y y x y b x a ≤≤≤≤≤≤,则其中xy D 是Ω在xoy 坐标面上的投影.2) “先二后一”法设积分区域Ω在z 轴上的投影区间为],[d c .用平面z =z (常数)去截Ω,截面为z D .则⎰⎰⎰⎰⎰⎰=ΩzD dcdxdy z y x f dz dxdydz z y x f ),,(),,( 其中⎰⎰zD dxdy z y x f ),,( 是将z D 投影到xoy 坐标面上所做的二重积分.2.柱面坐标下三重积分的计算直角坐标与柱面坐标的关系为 ⎪⎩⎪⎨⎧+∞<<∞-=<≤=+∞<≤=z z z r y r r x πθθθ20sin 0cos ,,则体积元素为dz rdrd dv θ=或 dz rdrd dxdydz θ=.若积分区域在柱面坐标下可表示为:Ω,βθα≤≤)()(21θθr r r ≤≤,),(),(21θθr z z r z ≤≤,则⎰⎰⎰⎰⎰⎰ΩΩ=dzrdrd z r r f dxdydz z y x f θθθ),sin ,cos (),,(⎰⎰⎰=),(),()()(2121),sin ,cos (θθθθβαθθθr z r z r r rdz z r r f dr d3.球面坐标下计算三重积分直角坐标与球面坐标的关系为⎪⎩⎪⎨⎧===ϕϕθϕθcos sin sin sin cos r z r y r x ,πθπϕ2000<≤≤≤+∞<≤r ,体积元素为θϕϕd drd r dv sin 2= 或 θϕϕd drd r dxdydz sin 2=.如果积分区域在球面坐标下可表示为Ω:,βθα≤≤ ),(),(,)()(2121θϕθϕθϕϕθϕr r r ≤≤≤≤,则⎰⎰⎰⎰⎰⎰ΩΩ=θϕϕϕϕθϕθd d dr r r r r f dxdydz z y x f sin )cos ,sin sin ,sin cos (),,(24.简算:对称奇偶性, 重心公式。