工程测试技术习题答案
- 格式:doc
- 大小:603.00 KB
- 文档页数:21
第三章:常用传感器技术 3-1 传感器主要包括哪几部分?试举例说明。
传感器一般由敏感元件、转换元件、基本转换电路三部分组成。
如图所示的气体压力传感器。
其内部的膜盒就是敏感元件,它的外部与大气压力相通,内部感受被测压力p ,当p 发生变化时,引起膜盒上半部分移动,可变线圈是传感器的转换元件,它把输入的位移量转换成电感的变化。
基本电路则是完成上述电感变化量接入基本转换电路,便可转换成电量输出。
3-2 请举例说明结构型传感器与物性型传感器的区别。
答:结构型传感器主要是通过传感器结构参量的变化实现信号变换的。
例如,电容式传感器依靠极板间距离变化引起电容量的变化;电感式传感器依靠衔铁位移引起自感或互感的变化。
物性型传感器则是利用敏感元件材料本身物理性质的变化来实现信号变换。
例如,水银温度计是利用水银的热胀冷缩性质;压电式传感器是利用石英晶体的压电效应等。
3-3 金属电阻应变片与半导体应变片在工作原理上有何区别?答:(1)金属电阻应变片是基于金属导体的“电阻应变效应”, 即电阻材料在外力作用下发生机械变形时,其电阻值发生变化的现象,其电阻的相对变化为()12dR Rμε=+; (2)半导体应变片是基于半导体材料的“压阻效应”,即电阻材料受到载荷作用而产生应力时,其电阻率发生变化的现象,其电阻的相对变化为dR d E R ρλερ== 。
3-4 有一电阻应变片(见图3-105),其灵敏度S 0=2,R =120Ω,设工作时其应变为1000με,问ΔR =?设将此应变片接成图中所示的电路,试求:1)无应变时电流指示值;2)有应变时电流指示值;3)试分析这个变量能否从表中读出?解:根据应变效应表达式?R /R =S g ?得?R =S g ? R =2?1000?10-6?120=?1)I 1=R =120=0.0125A=2)I 2=(R +?R )=(120+?0.012475A=3)电流变化量太小,很难从电流表中读出。
第一章习题一、选择题1.描述周期信号的数学工具是( )。
A.相关函数B.傅氏级数C. 傅氏变换D.拉氏变换2. 傅氏级数中的各项系数是表示各谐波分量的( )。
A.相位B.周期C.振幅D.频率3.复杂的信号的周期频谱是( )。
A .离散的 B.连续的 C.δ函数 D.sinc 函数4.如果一个信号的频谱是离散的。
则该信号的频率成分是( )。
A.有限的B.无限的C.可能是有限的,也可能是无限的5.下列函数表达式中,( )是周期信号。
A. 5cos10()0x t ππ ≥⎧= ⎨≤⎩当t 0当t 0 B.()5sin2010cos10)x t t t t ππ=+ (-∞<<+∞ C.()20cos20()at x t e t t π-= -∞<<+∞6.多种信号之和的频谱是( )。
A. 离散的B.连续的C.随机性的D.周期性的7.描述非周期信号的数学工具是( )。
A.三角函数B.拉氏变换C.傅氏变换D.傅氏级数8.下列信号中,( )信号的频谱是连续的。
A.12()sin()sin(3)x t A t B t ωϕωϕ=+++B.()5sin 303sin 50x t t t =+ C.0()sin at x t e t ω-=⋅9.连续非周期信号的频谱是( )。
A.离散、周期的B.离散、非周期的C.连续非周期的D.连续周期的10.时域信号,当持续时间延长时,则频域中的高频成分( )。
A.不变B.增加C.减少D.变化不定11.将时域信号进行时移,则频域信号将会( )。
A.扩展B.压缩C.不变D.仅有移项12.已知 ()12sin ,()x t t t ωδ=为单位脉冲函数,则积分()()2x t t dt πδω∞-∞⋅-⎰的函数值为( )。
A .6 B.0 C.12 D.任意值13.如果信号分析设备的通频带比磁带记录下的信号频带窄,将磁带记录仪的重放速度( ),则也可以满足分析要求。
工程测试技术基础复习题答案TYYGROUP system office room 【TYYUA16H-TYY-TYYYUA8Q8-《工程测试技术基础》复习题答案一、选择题1.信息与信号之间的关系是 ( D )。
A .信息与信号并列B .信息与信号无关C .信息包含信号D .信息在信号之中2.描述周期信号的数学工具是( B )。
A .相关函数B .傅氏级数C . 傅氏变换D .拉氏变换3. 傅氏级数中的各项系数是表示各谐波分量的( C )。
A .相位B .周期C .振幅D .频率4.关于信息和信号,下面的说法正确的是( C )。
A .信息包含信号B .信息与信号无关C .信号是信息的载体D .信息描述了事物某物理量的变化过程5.多种信号之和的频谱是( C )。
A . 离散的B .连续的C .随机性的D .周期性的6.下列信号中,( C )信号的频谱是连续的。
A .12()sin()sin(3)x t A tB t ωϕωϕ=+++B .()5sin 303sinx t t =+ C .0()sin at x t e tω-=⋅ 7.不能用确定函数关系描述的信号是( C )。
A .复杂的周期信号B .瞬变信号C .随机信号8.复杂的周期信号的频谱是( A )。
A .离散的B .连续的C .δ函数D .sinc 函数9.数字信号的特性是( B )。
A .时间上离散、幅值上连续B .时间、幅值上均离散C .时间、幅值上都连续D .时间上连续、幅值上量化10.下列函数表达式中,( B )是周期信号。
A .5cos10()0x t ππ ≥⎧= ⎨ ≤⎩当t 0当t 0 B .()5sin 2010cos10)x t t t t ππ=+ (-∞<<+∞ C .()20cos 20()at x t e t t π-= -∞<<+∞ D .()1tx t eτ-=-11.下列信号属周期信号的有( A )。
习题1第3章1、传感器的定义及主要分类有哪些?2、试绘出典型传感器的构成框图?3、从哪些方面评价或选用传感器?4、在选用传感器时,应该遵循什么原则?5、应该采取什么方法来提高传感器的性能?第4章1什么叫金属的电阻应变效应?金属丝的应变灵敏度系数的物理意义是什么?2什么叫金属丝的应变灵敏度系数?它与金属丝的灵敏度系数有何区别?为什么?3何谓半导体的压阻效应?它与金属的电阻应变效应有什么本质区别?4电阻应变计的基本测量电路有哪些?试比较它们各自的特点。
5电阻应变片与半导体应变片的工作原理有何区别?它们各有何特点?6某截面积为5cm2的试件,已知材料的弹性模量为2.0X10u N/m2,沿轴向受到105N的拉力,若沿受力方向粘贴一阻值为120Q、灵敏系数为2的应变片,试求出其A R。
7试说明差动式电感传感器与差动变压器式电感传感器工作原理的区别。
8差动变压器和普通变压器的工作原理有何区别?如何提高差动变压器的灵敏度?9试说明电涡流式传感器的工作原理和特点。
10根据电容式传感器的工作原理分为几种类型?各有什么特点?适用于什么场合?11如何改善单极式变极距型传感器的非线性?12什么是压电效应?压电材料有哪些?压电传感器的结构和应用特点是什么?能否用压电传感器测量静态压力?13为什么压电传感器通常用来测量动态或瞬态参量?14用压电式加速度计及电荷放大器测量振动加速度,若传感器的灵敏度为70pC/g (g为重力加速度),电荷放大器灵敏度为10mV/pC,试确定输入3g (平均值)加速度时,电荷放大器的输出电压Uo (平均值,不考虑正负号),并计算此时该电荷放大器的反馈电容C f。
15.用压电式单向脉动力传感器测量一正弦变化的力,压电元件用两片压电陶瓷并联,压电常数为200X 10-12C/N,电荷放大器的反馈电容C =2000pF,测得输出电压u =5sinwt (V)。
f o求:1)该压电传感器产生的总电荷Q (峰值)为多少pC?2)此时作用在其上的正弦脉动力(瞬时值)为多少?16.试说明磁电式速度传感器非线性误差产生的原因以及补偿办法(画图说明)?17.试证明霍耳式位移传感器的输出U H与位移成正比关系?第5章1什么叫激光、激光器和激光传感器?试叙述激光产生的激理。
机械工程测试技术基础习题及答案第一章一、选择题1.描述周期信号的数学工具是。
A .相关函数B .傅氏级数C .博氏变换D 拉氏变换2.傅氏级数中的各项系数是表示各谐波分量的。
A .相位B .周期 C.振幅 D.频率3.复杂周期信号的频谱是。
A.离散的B.连续的C. δ函数函数4.下列函数表达式中,是周期信号。
A.=)(t x <≥00010cos 5t t t当当πB.)(10cos 1020sin 5)(+∞<<-∞+=t tt t x ππ C.)(20cos 20)(+∞<<-∞=-t t et x at π5.描述非周期信号的数学工具是。
A.三角函数 B .拉氏变换 C.傅氏变换 D.傅氏级数6.下列信号中信号的频谱是连续的。
A.)3sin()sin()(21?ω?ω+++=t B t A t xB.t t t x 50sin 330sin 5)(+=C.t e t x at 0sin )(ω?=-7.连续非周期信号的频谱是。
A.离散、周期的B.离散、非周期的C.连续非周期的 D .连续、周期的8.将时域信号进行时移,则频域信号将会。
A.扩展B.压缩C.不变D.仅有移相9.已知)(,sin 12)(t t t x δω=为单位脉冲函数,则积分dt t t x )2()(?∞∞--?ωπδ的函数值为。
A .6 B. 0 C .1210.如果1)(?t δ,根据傅氏变换的性质,则有0)(0t j et t ωδ-?-。
A.时移B.频移 C .相似 D.对称二、填空题l.信号可分为和两大类。
2.确定性信号可分为和两类,前者频谱特点是,后者频谱特点是。
3.周期信号的傅氏三角级数中的n 是从到展开的。
傅氏复指数级数中的n 是从到展开的。
4.工程中常见的周期信号,其谐波分量的幅值总是随谐波次数n 的增加而的,因此,没有必要取那些高次的谐波分量。
5.周期方波的傅氏级数:)?+++=t t AA t x 0013cos 31(cos 2)(ωωπ周期三角波的傅氏级数:)?++++=t t t A t x 000225cos 2513cos 91(cos 42A )(ωωωπ,它们的直流分量分别是和。
习题 21. 填空题3-1 典型的测试系统由________装置、________装置和________装置、________装置、________、________组成。
3-2 在稳态条件下,测试装置输出信号微变量d y和输入信号微变量d x之比,称之为________;3-3 测试装置的静态特性主要以________、________和________表征。
3-4 选用仪器时应注意到:灵敏度越高,仪器的测量范围越________,其稳定性越________。
3-5 常系数线性系统的三个重要特性为________、________和________。
3-6 线性系统具有________保持性,即若系统输入一个正弦信号,则其稳态输出的________保持不变,但输出的________和________一般会发生变化。
3-7 测试装置的动特性在频域中是用________表示,在时域中是用________表示的。
3-8 要使一阶测试装置的动态响应快,就应使________。
3-9 要使一阶系统接近于理想系统,则要求其频率响应的要满足此条件________和________。
3-10 测试装置的脉冲响应函数h(t)就是当输入为________时装置的输出。
当用h(t)来表示装置的动态特性时,输入x(t)、输入y(t)与h(t)三者的关系为________。
3-11 实现不失真测试的条件是:该测试装置的幅频特性________、相频特性________。
3-12 系统频率响应函数的定义是;在系统________为零的条件下,系统输出响应的________与输入激励的________之比。
在系统的稳态分析中,它的模等于系统________与________的幅值比,其幅角等于它们的________。
3-13 正弦输入时系统的响应称________,它表示系统对________中不同频率成分的传输能力。
3-14 系统的阶跃响应是表征系统对________的响应能力;系统的频率响应则表征系统对信号中________的响应能力。
复习总结一、概念题1.测试过程中,若所测试的信号不随时间变化或变化非常缓慢,称这种测试称为静态测试。
如果所测试的信号随时间周期变化或变化很快,这种测试称为动态测试。
2.传感器是把被测量转换成易于变换、传输和处理的一种器件或装置。
3.按构成原理分类,电阻应变片、热敏电阻、压电晶片属物性型传感器。
4.按构成原理分类,电容传感器、自感型电感式传感器属结构型传感器。
5.为提高和改善传感器的技术性能,可采取以下技术措施:差动技术、平均技术以及补偿与修正技术。
6.传感器的定度曲线(或标定曲线)与拟合直线之间的偏离程度称为传感器的线性度。
7.传感器的灵敏度是指稳态时,输出变化量与输入变化量之间的比值。
8.对于一阶传感器系统,当其时间常数(或τ)越小,其频率响应特性越好。
9.激波管标定系统中,激波管的作用是一种动态标定设备,能产生阶跃压力信号输出。
10.金属电阻应变片的规格一般以面积(或长×宽)和初始阻值表示。
11.用电阻应变片测量构件的变形,影响电阻应变片电阻变化的因素有:应变片的灵敏度和初始阻值、被测构件的应变量、以及应变片沿构件的粘贴方向。
(因为:△R=KεR,K 为灵敏度,R为应变片初始阻值,ε被测构件的应变量)12.将电阻丝绕成应变片后,由于存在横向效应,其灵敏系数一般会减小。
13.在电桥测量中,由于电桥接法不同,输出电压的灵敏度也不同,全桥接法可以得到最大灵敏度输出。
14.应变片的温度误差补偿方法通常可分为:桥路补偿法、应变片自补偿法。
15.根据工作原理,变气隙型自感式传感器的灵敏度具有理论上的非线性。
16.电涡流接近开关结构简单,根据其工作原理,不可用来进行类似如玻璃瓶、塑料零件以及水的液位的检测。
17.在差动式自感传感器中,若采用交流桥路为变换电路,常出现零点残余电压现象,该现象使传感器灵敏度下降,灵敏阈值增大,非线性误差增大。
18.差动变压器式位移传感器是将被测位移量的变化转换成线圈互感系数的变化,两个次级线圈要求反向串接。
思考题与习题0-1 举例说明什么是测试?答:⑴测试的例子:为了确定一端固定的悬臂梁的的固有频率,可以采用锤击法对梁尽享激振,在利用压力传感器、电荷放大器、波形记录器记录信号波形,由衰减的振荡波形便可以计算出悬臂梁的固有频率。
⑵结论:由本例可知,测试是指确定被测对象悬臂梁固有频率的全部操作,是通过一定的技术手段-激振。
拾振、记录、数据处理等,获取悬臂梁固有频率的信息过程。
0-2 以方框图的形式说明测试系统的组成,简述主要组成部分的作用。
答:⑴:测试系统的方框图如图0-1所示。
⑵:各部分的作用如下。
传感器是将被测信息转换成某种电信号的器件;信号调理是把来自传感器的信号转换成适合传输和处理的形式;信号处理环节可对来自信号调理环节的信号,进行各种运算。
滤波和分析;信号显示、记录环节将来至信号处理环节的信号显示或存储;模数转换和数模转换是进行模拟信号与数字信号的相互转换,以便于用计算机处理。
0-3 针对工程测试技术课程的特点,思考如何学习该门课程?答:本课程具有很强的实践性,只有在学习过程中密切联系实际,加强实验,注意物理概念,才能真正掌握有关知识。
在教学环节中安排与本课程相关的必要的实验及习题,学习中学生必须主动积极的参加实验及完成相应的习题才能受到应有的实验能力的训练,才能在潜移默化中获得关于动态测试工作的比较完整的概念,也只有这样,才能初步具有处理实际测试工作的能力。
思考题与习题1-1 信号的分哪几类以及特点是什么? ⑴、 按信号随时间的变化规律分为确定性信号和分确定性信号,确定信号分为周期信号(包括谐波信号和一般周期信号)和非周期信号(准周期信号和以便非周期信号);非确定性信号包括平稳随机信号(包括各态历经信号和非各态历经信号)和非平稳随机信号。
⑵、 按信号幅值随时间变化的连续性分类,信号包括连续信号和离散信号,其中连续信号包括模拟信号和一般模拟信号,离散信号包括一般离散信号和数字信号。
⑶、 按信号的能量特征分类,信号包括能量有限信号和功率有限信号。
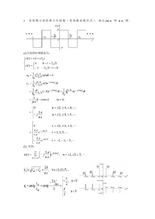
1 求周期方波的傅立叶级数(复指数函数形式),画出|cn|-ω和ϕ-ω图。
(1)方波的时域描述为:(2) 从而:2 . 求正弦信号的绝对均值和均方根值。
(1)(2)3.求符号函数和单位阶跃函数的频谱解:(1)因为不满足绝对可积条件,因此,可以把符合函数看作为双边指数衰减函数:其傅里叶变换为:(2)阶跃函数:4. 求被截断的余弦函数的傅里叶变换。
解:(1)被截断的余弦函数可以看成为:余弦函数与矩形窗的点积,即:(2)根据卷积定理,其傅里叶变换为:5.设有一时间函数f(t)及其频谱如图所示。
现乘以余弦函数cosω0t(ω0>ωm)。
在这个关系中函数f(t)称为调制信号,余弦函数cosω0t称为载波。
试求调幅信号的f(t)cosω0t傅氏变换,并绘制其频谱示意图。
又:若ω0<ωm将会出现什么情况?解:(1)令(2) 根据傅氏变换的频移性质,有:频谱示意图如下:(3) 当ω0<ωm时,由图可见,出现混叠,不能通过滤波的方法提取出原信号f(t)的频谱。
6.求被截断的余弦函数的傅立叶变换。
解:方法一:方法二:(1)其中为矩形窗函数,其频谱为:(2)根据傅氏变换的频移性质,有:第二章4. 求指数衰减函数的频谱函数,()。
并定性画出信号及其频谱图形。
解:(1)求单边指数函数的傅里叶变换及频谱(2)求余弦振荡信号的频谱。
利用函数的卷积特性,可求出信号的频谱为其幅值频谱为a a`b b`c c`题图信号及其频谱图注:本题可以用定义求,也可以用傅立叶变换的频移特性求解。
5 一线性系统,其传递函数为,当输入信号为时,求:(1);(2);(3);(4)。
解:(1) 线性系统的输入、输出关系为:已知,则由此可得:(2) 求有两种方法。
其一是利用的傅立叶逆变换;其二是先求出,再求,其三是直接利用公式求。
下面用第一种方法。
(3)由可得:(4) 可以由的傅立叶逆变换求得,也可以直接由、积分求得:第三章1.说明线性系统的频率保持性在测量中的作用。
信号及其描述习题1.1求周期方波求周期方波(图(图1-4)的傅立叶级数的傅立叶级数(复指数函数形式)(复指数函数形式)。
画出频谱图|C n |—ω ;φn —ω 图并与表1-1对比。
对比。
解:傅立叶级数的复指数形式表达式:×××±±±==å+¥-¥=,3,2,1,0;)(0n e C t x n t jn n w 式中:所以:幅值频谱:幅值频谱:相位频谱:相位频谱:傅立叶级数的复指数形式的幅值频谱图和相位频谱都是双边频谱图。
傅立叶级数的复指数形式的幅值频谱图和相位频谱都是双边频谱图。
1.2求正弦信号求正弦信号 x (t )=x 0sin ωt 的绝对均值μ|x |和均方根值x rms解:解:1.3求指数函数求指数函数 的频谱。
的频谱。
解:解:1.4求符号函数(题图1-1a )和单位阶跃函数(题图1-1b )的频谱. []()ïîíì×××±±±=×××±±±=-=--=+´+-=úûùêëé-+úûùêëé--=úûù+êëé-==---------òòò,6,4,2;0,5,3,1;2cos 12111)(1)(120002002022200000000000n n n A j n n A j e e n jA n jA e jn A T e jn A T dt Ae dt eA T dt et x TC jnjn T t jn T t jn T t jn T tjn T T tjn n p p pp p w w p p w w w w w ×××±±±±=÷øöçèæ-=å+¥-¥=,7,5,3,1;2)(0n e n A j t x t jn n w p ×××±±±==+=,5,3,1;222n n AC C C nI nR n p ïîïíì×××---=×××=-=÷÷÷÷øöççççèæ-==,5,3,1;2,5,3,1;202n n n A arctg C C arctg nR nI n p pp j wp p w m 2;2sin 1)(lim 0000000====òò¥®T x tdt x T dt t x T T Tx 式中:()2sin 1)(1020002000x dt dt x T dt t x T x T T rms ===òòw )0;0(;)(³>=-t Ae t x ta a f j A dt e Ae dt e t x f X ft j t ftj p a p a p 2)()(022+=×==òò¥+--¥+¥--解:1) 符号函数的频谱: 令: 2)单位阶跃函数的频谱: 1.5求被截断的余弦函数cos ω0t (题图1-2)的傅立叶变换。
机械工程测试技术习题及解答答案本文将提供机械工程测试技术习题及解答答案,共计。
1. 请列举机械测试中常见的非破坏性检测方法及其作用。
常见的机械测试中非破坏性检测方法包括:X射线检测:用于检测金属材料的内部缺陷,如裂纹、气孔等。
超声波检测:用于检测各种材料的缺陷,包括裂纹、夹杂、空洞等。
磁粉检测:主要用于金属材料的表面缺陷检测,如裂纹、缺陷等。
涡流检测:用于检测金属材料表面或近表面的缺陷。
作用:非破坏性检测可以在不损伤材料的前提下,检测物体内部的缺陷或表面的问题,为评估材料质量和安全性提供关键依据。
2. 简述材料拉伸试验中,应力-应变曲线的特点及含义。
应力-应变曲线是材料拉伸试验中的一种基础试验曲线,记录了材料在施加不同应变下的变形应力。
其特点如下:阶段1:弹性变形阶段。
该阶段材料的应力随着应变逐渐增加,材料很快的恢复到原始状态。
阶段2:屈服点之前的塑性变形阶段。
材料的应变继续增加,应力也随之增加,但是应力-应变比例不再是线性的。
当材料到达一定的应力值(屈服点)时,其应力不再随着应变增加而增加。
此时,材料在局部发生了塑性变形,也就是说,材料的形状已经发生了无法恢复的变化。
阶段3:应变硬化阶段。
当材料过了屈服点,其应力在应变增加的同时不断增加。
此时,材料已经发生了不可逆的变形。
阶段4:断裂阶段。
材料发生拉伸断裂,应力瞬间归零。
3. 请说明动平衡和静平衡的区别。
动平衡和静平衡均是机械测试中的平衡测试方法,其区别如下:静平衡:指在不动的状态下平衡物体,使物体重心和支撑点重合。
例如,在制作家具时需要对家具进行静平衡测试。
动平衡:指在运动状态下平衡物体,使物体在运动时不出现振动和失衡。
例如,在生产车辆零部件时需要对轮胎进行动平衡测试。
总的来说,静平衡是解决静态问题的方法,动平衡是解决动态问题的方法,两者的测试方法和目的不同。
4. 请简述机械测试中常见的可靠性检测机械测试中常见的可靠性检测包括:振动试验:测试设备或机器在振动作用下的耐用性和可靠性。
1.何为标定?标定可分为几种类型?静态标定的作用和意义有哪些?答:用已知的标准校正仪器或测量系统的过程称为标定。
根据标定时输入到测量系统中的已知量是静态量还是动态量,标定分静态标定和动态标定。
作用:(1)确定仪器或测量系统的输入-输出关系,赋予仪器或测量系统分度值。
(2)确定仪器或测量系统的静态特性标定。
(3)消除系统误差,改善仪器或测量系统的正确度。
通过标定,可得到测量系统的响应值yi 和激励值xi 之间的一一对应关系。
2.试证明:二阶测量系统当阻尼率ζ为0.7时,输入信号在0~0.58ωn 的频率范围内,其幅频特性A(ω)的变化不超过5%。
答:二阶系统的幅频特性为当阻尼率ζ为0.7时,输入信号在0~0.58ωn 的频率范围内,其幅频特性A(ω)的变化范围为1~0.9535。
即A(ω)的最大变化率为4.65%,小于5%,命题得证。
3.欲测量某回路中一标称值为10Ω±1%电阻器的功率损耗P,可采用两种方法进行,一是只测电阻器两端的电压V,然后用公式P=V 2/R 计算功率损耗;二是分别测量电阻器两端的电压V 和流过电阻器的电流I,由公式P=VI 计算电阻器上的功率损耗。
估算这两种方案的电功率误差,设V 和I 的测量结果为V=100±1%(V), I=10±1%(A)。
4.叙述测量系统实现不失真测量的条件。
在工程测试技术中如何保证测试系统的测试不失真?答:其幅频和相频特性应分别满足:A (ω)=A 0=const ,φ(ω)=-t 0ω即为实现不失真测试的条件。
对一阶测试系统而言,测试系统的时间常数τ原则上越小越好。
对二阶测试系统而言,其特性曲线中有两段值得注意。
一般而言,在ω<0.3ωn 范围内,φ(ω)的数值较小,而且 φ(ω)- ω特性接近直线。
A(ω)在该范围内的变化不超过10%,因此这个范围是理想的工作范围。
在ω>(2.5~3)ωn 范围内φ(ω)接近180°且差值很小,如在实测或数据处理中采用减去固定相位差值或把测试信号反相180°的方法,则也可接近于不失真地恢复被测信号波形,若输入信号频率范围在上述两者之间,则系统的频率特性受阻尼比ζ的影响较大,因此需做具体分析。
第一章三、计算题1-2 求正弦信号的绝对均值和均方根值。
解答:0002200000224211()d sin d sin d cos TTT Tx x x x x μx t t x ωt t ωt t ωt T T TT ωT ωπ====-==⎰⎰⎰222200rms000111cos 2()d sin d d 22T T Tx x ωtx x t t x ωt t t T T T-====⎰⎰⎰1-3求指数函数的频谱。
解答:(2)22022(2)()()(2)2(2)a j f t j f tat j f te A A a jf X f x t edt Ae edt A a j f a j f a f -+∞∞---∞-∞-=====-+++⎰⎰πππππππ22()(2)k X f a f π=+Im ()2()arctanarctanRe ()X f ff X f a==-πϕ单边指数衰减信号频谱图f|X (f )| A /φ(f) f0 π/2-π/21-5求被截断的余弦函数(见图1-26)的傅里叶变换。
0cos ()0ωt t T x t t T⎧<⎪=⎨≥⎪⎩解:0()()cos(2)x t w t f t =πw(t)为矩形脉冲信号()2sinc(2)W f T Tf =π()002201cos(2)2j f t j f tf t e eπππ-=+ 所以002211()()()22j f tj f t x t w t e w t e -=+ππ根据频移特性和叠加性得:000011()()()22sinc[2()]sinc[2()]X f W f f W f f T T f f T T f f =-++=-++ππ可见被截断余弦函数的频谱等于将矩形脉冲的频谱一分为二,各向左右移动f 0,同时谱线高度减小一半。
也说明,单一频率的简谐信号由于截断导致频谱变得无限宽。
1-6 求指数衰减信号0()sin atx t eωt -=的频谱fX (f )Tf-f 0 被截断的余弦函数频谱解答:()0001sin()2j t j tt e e j-=-ωωω所以()001()2j t j tatx t e e e j--=-ωω单边指数衰减信号1()(0,0)atx t ea t -=>≥的频谱密度函数为11221()()j t at j t a j X f x t e dt e e dt a j a ∞∞----∞-====++⎰⎰ωωωωω根据频移特性和叠加性得:[]001010222200222000222222220000()()11()()()22()()[()]2[()][()][()][()]a j a j X X X j j a a a a ja a a a ⎡⎤---+=--+=-⎢⎥+-++⎣⎦--=-+-+++-++ωωωωωωωωωωωωωωωωωωωωωωωωωω指数衰减信号指数衰减信号的频谱图1-7 设有一时间函数f (t )及其频谱如图1-27所示。
现乘以余弦型振荡00cos ()m ωt ωω>。
在这个关系中,函数f (t )叫做调制信号,余弦振荡0cos ωt 叫做载波。
试求调幅信号0()cos f t ωt 的傅里叶变换,示意画出调幅信号及其频谱。
又问:若0m ωω<时将会出现什么情况?解:0()()cos()x t f t t =ω()[()]F f t =ωF()0001cos()2j t j tt e e-=+ωωω 所以0011()()()22j t j t x t f t e f t e -=+ωω根据频移特性和叠加性得: 0011()()()22X f F F =-++ωωωω可见调幅信号的频谱等于将调制信号的频谱一分为二,各向左右移动载频ω0,同时谱线高度减小一半。
若0m ωω<将发生混叠。
fX (f )ω-ω0矩形调幅信号频谱图1-27 题1-7图ωF (ω)f (t )0 t -ωmωm1-8求正弦信号0()sin()x t x ωt φ=+的均值x μ、均方值2x ψ和概率密度函数p (x )。
解答:(1)000011lim()d sin()d 0T T xT μx t t x ωt φt T T →∞==+=⎰⎰,式中02πT ω=—正弦信号周期(2)22222200000111cos 2()lim ()d sin ()d d 22T T T xT x x ωt φψx t t x ωt φt t T T T →∞-+==+==⎰⎰⎰(3)在一个周期内012ΔΔ2Δx T t t t =+=0002Δ[()Δ]limx x T T T tP x x t x x T T T →∞<≤+===Δ0Δ000[()Δ]2Δ2d ()limlim ΔΔd x x P x x t x x t t p x x T x T x →→<≤+====四、判断题1.非周期信号不是确定性信号。
( X)2.δ(t) 的频谱为Δ(f)=1.(V )3.因为非周期信号是周期无限大的周期信号,所以它的频谱和周期信号一样是离散的。
( X)正弦信号x x4.当信号的时间尺度压缩时,其频谱的频带加宽、幅值增高。
( X)5.各态历经随机过程是平稳随机过程。
(V )6.具有离散频谱的信号不一定是周期信号。
(V )7.在频域中每个信号都需要同时用幅频谱和相频谱来描述。
(V )参考答案 (本答案仅供参考哦) 一、选择题1.B2.C3.A4.C5.B6.C7.C8.C9.C 10.C 11.D 12.C 13.B 14.A 15.B 16.C 17.C 18.B 19.C 20.B 二、填空题1.周期信号;非周期信号;离散的;连续的2. 均方根值;均方值3. 傅氏三角级数中的各项系数(0,,,n n n a a b A 等 )傅氏复指数级数中的各项系数(,,n nnc c c -)。
4.0;+∞;–∞;+∞5. 衰减n a —余弦分量的幅值;n b —正弦分量的幅值;0a —直流分量;n A -- n 次谐波分量的幅值;n ϕ--n 次谐波分量的相位角;0n ω--n 次谐波分量的角频率 7.A ;A/2;更慢;工作频带 8.sin j f e c f πττπτ-⋅⋅9.展宽;降低;慢录快放 10.1;等强度;白噪声11.实频;虚频 . 12.能量有限;能量有限;功率有限 13.5e- 14.12()()x t x t d ττ∞-∞⋅-⎰15.0()x tt -;把原函数图象平移至 位置处 16. 0()f t ;脉冲采样 .17.0()f f δ- 18.12()()X f X f * 19.2()()j tX f X f e df π∞-∞=⋅⎰第二章四、计算题2-1进行某动态压力测量时,所采用的压电式力传感器的灵敏度为90.9nC/MPa ,将它与增益为0.005V/nC 的电荷放大器相连,而电荷放大器的输出接到一台笔式记录仪上,记录仪的灵敏度为20mm/V 。
试计算这个测量系统的总灵敏度。
当压力变化为3.5MPa 时,记录笔在记录纸上的偏移量是多少? 解:若不考虑负载效应,则各装置串联后总的灵敏度等于各装置灵敏度相乘,即S =90.9(nC/MPa)⨯0.005(V/nC)⨯20(mm/V)=9.09mm/MPa 。
偏移量:y=S3.5=9.093.5=31.815mm 。
2-2用一个时间常数为0.35s 的一阶装置去测量周期分别为1s 、2s 和5s 的正弦信号,问稳态响应幅值误差将是多少?解:设一阶系统1()1H s s τ=+,1()1H j ωτω=+22()()21()1()A H Tωωπττω===++T 是输入的正弦信号的周期稳态响应相对幅值误差()1100%A δω=-⨯,将已知周期代入得58.6%1s 32.7%2s 8.5%5s T T T δ=⎧⎪≈=⎨⎪=⎩2-3求周期信号x(t)=0.5cos10t+0.2cos(100t −45)通过传递函数为H(s)=1/(0.005s+1)的装置后得到的稳态响应。
解:1()10.005H j ωω=+,()A ω=,()arctan(0.005)ϕωω=-该装置是一线性定常系统,设稳态响应为y (t ),根据线性定常系统的频率保持性、比例性和叠加性得到y (t )=y 01cos(10t +ϕ1)+y 02cos(100t −45︒+ϕ2)其中0101(10)0.50.499y A x ==≈,1(10)arctan(0.00510) 2.86ϕϕ==-⨯≈-︒0202(100)0.20.179y A x ==≈,2(100)arctan(0.005100)26.57ϕϕ==-⨯≈-︒所以稳态响应为()0.499cos(10 2.86)0.179cos(10071.57)y t t t =-︒+-︒2-5想用一个一阶系统做100Hz 正弦信号的测量,如要求限制振幅误差在5%以内,那么时间常数应取多少?若用该系统测量50Hz 正弦信号,问此时的振幅误差和相角差是多少? 解:设该一阶系统的频响函数为1()1H j ωτω=+,τ是时间常数则()A ω=稳态响应相对幅值误差()1100%1100%A δω⎛⎫=-⨯=-⨯ ⎝令δ≤5%,f =100Hz ,解得τ≤523μs 。
如果f =50Hz ,则相对幅值误差:1100%1100% 1.3%δ⎛⎫⎛⎫=⨯=⨯≈⎝⎝相角差:6()arctan(2)arctan(25231050)9.33f ϕωπτπ-=-=-⨯⨯⨯≈-︒2-6试说明二阶装置阻尼比多采用0.6~0.8的原因。
解答:从不失真条件出发分析。
在0.707左右时,幅频特性近似常数的频率范围最宽,而相频特性曲线最接近直线。
2-9试求传递函数分别为1.5/(3.5s + 0.5)和41n2/(s2 + 1.4ns + n2)的两环节串联后组成的系统的总灵敏度(不考虑负载效应)。
解:11 1.53() 3.50.57171K H s s s s ===+++,即静态灵敏度K 1=32222222241() 1.4 1.4n n n n n n K H s s s s s ωωωωωω==++++,即静态灵敏度K 2=41因为两者串联无负载效应,所以总静态灵敏度K = K 1 ⨯ K 2 = 3 ⨯ 41= 1232-10设某力传感器可作为二阶振荡系统处理。
已知传感器的固有频率为800Hz ,阻尼比=0.14,问使用该传感器作频率为400Hz 的正弦力测试时,其幅值比A()和相角差()各为多少?若该装置的阻尼比改为=0.7,问A()和()又将如何变化?解:设222()2n n n H s s ωωζωω=++,则()A ω=22()arctan1nn ωζωϕωωω=-⎛⎫- ⎪⎝⎭,即222()12n n A f f f f f ζ=⎡⎤⎛⎫⎛⎫⎢⎥-+ ⎪ ⎪⎢⎥⎝⎭⎝⎭⎣⎦,22()arctan1nn ff f f f ζϕ=-⎛⎫- ⎪⎝⎭将f n = 800Hz ,ζ = 0.14,f = 400Hz ,代入上面的式子得到A (400) ≈ 1.31,ϕ(400) ≈ −10.57︒如果ζ = 0.7,则A (400) ≈ 0.975,ϕ(400) ≈ −43.03︒例 2.测试系统分别由环节的串联、并联构成,如下图所示,求图示各系统的总灵敏度。