西北农林科技大学2019年动物医学院专硕研究生入学拟录取名单
- 格式:xls
- 大小:46.00 KB
- 文档页数:5
西北农林科技大学学院特辑——动物医学院动物医学院是西北农林科技大学传统优势学院之一,其前身溯源于1936年的国立西北农林专科学校始设的畜牧兽医组。
1958年成立畜牧兽医系。
1984年分设为畜牧系和兽医系。
1998年两系合并为动物科学与动物医学学院,2002年正式更名为动物科技学院。
2007年9月动物科技学院分设为动物科技学院和动物医学院。
学院经过70余年的发展和壮大,已基本形成了以本科教育为主体、以研究生教育为发展方向的多层次办学体系。
1936年开始招收本科生,1963年开始招收研究生。
学院现设临床兽医系、基础兽医系、预防兽医系、动物生物技术系;动物医学专业为陕西省名牌专业。
学院拥有1个国家级重点学科临床兽医学,兽医学一级学科博士授权点和兽医学博士后流动站;兽医学一级学科下属的基础兽医学、预防兽医学、临床兽医学和动物生物技术4个二级学科博、硕士点,生物学一级学科下属的发育生物学、神经生物学和生理学3个二级学科博、硕士点。
学院现有农业部动物生物技术实验室,农业部兽用药物与兽医生物技术陕西科学观测试验站,国家干细胞研究中心陕西分中心,陕西省胚胎干细胞研究中心,国家级动物科学实验教学示范中心建设单位,陕西省生物技术研究中心;有西北农林科技大学动物医院、西安宠物医院、实验动物中心、动物标本馆等校内教学(科研)试验基地4个,主办《动物医学进展》学术刊物。
为中国畜牧兽医学会动物毒物学分会挂靠单位。
学院现有教职工135人,其中正高级职称27人,副高级职称29人,博士生导师18人,硕士生导师34人。
其中国家级有突出贡献专家1人,百千万人才工程入选者1人,后稷学者特聘教授2人,教育部“新世纪优秀人才支持计划”入选者2人,陕西省“百人计划”入选者2人,陕西省“三五人才”1人,校级教学名师4人。
学院现有学生1394人,其中本科生874人,硕士研究生399人,博士研究生121人。
75年来,先后为社会培养各类人才13000人。
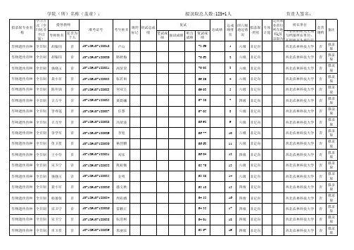
2019年硕士研究生复试成绩、录取情况汇总表
学院(所)名称(盖章):动物医学院拟录取总人数:86人
负责人签名:
2019年硕士研究生复试成绩、录取情况汇总表
学院(所)名称(盖章):动物医学院拟录取总人数:86人
负责人签名:
2019年硕士研究生复试成绩、录取情况汇总表
学院(所)名称(盖章):动物医学院拟录取总人数:86人
负责人签名:
2019年硕士研究生复试成绩、录取情况汇总表
学院(所)名称(盖章):动物医学院拟录取总人数:86人
负责人签名:
2019年硕士研究生复试成绩、录取情况汇总表
学院(所)名称(盖章):动物医学院拟录取总人数:86人
负责人签名:
2019年硕士研究生复试成绩、录取情况汇总表
学院(所)名称(盖章):动物医学院拟录取总人数:86人
负责人签名:。