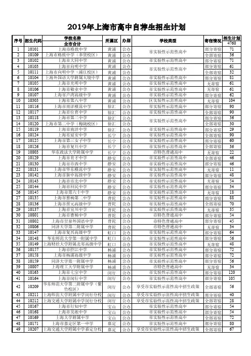
2019年上海市高中招生计划(中考)-推荐生数量
- 格式:pdf
- 大小:153.60 KB
- 文档页数:2
2019年上海高中招生计划随着教育竞争的日益激烈,上海高中招生成为了广大初中毕业生和家长关注的焦点。
2019年上海高中招生计划正式公布,为了让广大考生和家长更好地了解招生政策,本文将对2019年上海高中招生计划进行详细解读,并为大家提供一些应对策略。
首先,我们来了解2019年上海高中招生的总体情况。
根据招生计划,全市范围内的高中招生总数为多少人,相比往年有何变化?各类高中(如市重点、区重点、一般高中)的招生名额分配情况如何?这些信息对于初中毕业生来说至关重要,有助于他们根据自身实际情况选择合适的高中。
接下来,我们将详细分析2019年上海高中招生计划中的各项数据和政策变化。
例如,招生政策对择校生、艺术特长生、体育特长生等特殊类型学生的录取有何影响?招生计划中是否对这些特殊类型的学生设置了专门的名额?了解这些信息,有助于考生和家长制定更为明确的报考策略。
此外,我们还将探讨招生政策对不同类型学生的影响。
例如,对于学习成绩优秀的学生,有哪些优惠政策?对于家庭经济困难的学生,有哪些资助政策?这些政策的变化对于考生的报考选择有哪些影响?在了解招生计划的基础上,如何提高自己的录取概率?这是广大考生和家长关心的问题。
本文将为大家提供一些建议,如:如何合理规划学业,提高自身综合素质;如何关注招生的各类信息,提前做好准备;如何在面试环节展现自己的特长,给考官留下深刻印象等。
最后,我们来展望上海高中招生市场的未来发展。
随着教育改革的不断深入,招生政策会呈现出怎样的趋势?考生和家长又该如何应对这些变化?我们将持续关注上海高中招生市场的动态,为大家提供最新的政策解读和报考建议。
总之,2019年上海高中招生计划对于广大初中毕业生来说具有重要的指导意义。
考生和家长需要关注招生政策的方方面面,为自己的报考选择做好充分的准备。
2009年上海中考招生政策汇总一、2009年上海中考政策概况 上海地区高中阶段参加统一招生的有四种类型的学校:普通高中、普通中专、技工学校、职业学校、还有综 合高中。
普通高中又含重点与一般、公办与民办。
1、08与07年进档分数线比较 2008年中考零志愿送档线 代码简称预测投档线备注00101格致中学595语数外三科总分422.5以上00102大同中学60200103上外大境587 00104光明中学无到市最低录取线考生 00105敬业中学577 00114上海中学595.5 00115上师附中598 00116南洋模范58900118市二中学578按规定计划3人,送档4人 00119南洋中学577.500130市西中学600 00136晋元高中589 00144回民中学无到市最低录取线考生 00155复旦附中595.5 00156交大附中59700159同济一附575 00175华师二附59900177建平中学603 00178洋泾中学无到市最低录取线考生 00187松江二中591.5语数外三科总分423以上00302久隆模范5742007年中考零志愿送档线代码简称 格致中学 大同中学 大境中学 光明中学 敬业中学 上海中学 送档线末位同分送档条件 00101 00102 00103 00104 00105 0011400115 00116 00118 00119 00124 00130 00131 00136 00143 0014400155 00156 00159 00167 00175 00176 561. 0 563. 5 552. 5 541. 5 543. 0 561. 5上师大附中549.5 南洋模范中学563. 0 上海市第二中学543. 5 南洋中学554. 0 延安中学551. 5语数外二科415. 5分,数学139分以上 市西中学548. 0 华东模范中学540.0 晋元高级中学544. 0市北中学 回民中学 复旦附中 交大附中 540. 5 535. 055& 0 559. 0 同济_附中540.0 行知中学540. 0 华师大二附中560. 0 进才中学550. 0上海2008中考分数线:1)零志愿最低录取分数线为575分;2回民中学、久隆模范中学567分;3)公办 普通高中520分;4)普通中专为340分。
最新独家整理2019上海中考自招考试资料(冲刺学校:交大附中)2019上海名校自招考试已来临,为了集中节约各位学爸学妈的时间,根据近几年实践的经验查阅所有资料,整理如下:本篇:交大附中(共20页,最新资料-独家)目录包括:1、介绍2、“提前招生录取”方案3、自招考试4、如何选拔优质生源5、自招类型及开放日自招参考6、历年部分自招试题及解答7、历年自招录取数据分析祝大家好运一、学校介绍上海交通大学附属中学是由上海市教委和上海交通大学双重领导的市重点寄宿制高中。
2005年被正式命名为首批“上海市实验性示范性高中”。
交大附中坚持“依托交大,内实外名”的办学策略,发扬“求实、求高、求新”的办学传统,生成了“思源致远,创生卓越”的办学理念。
学校率先推进学生生涯规划指导,为国内外一流高校输送了大批学科素养扎实、学习能力出众、志向远大的优秀毕业生。
学校积极探索创新人才早期培养的新模式,与上海交通大学联手创建了“拔尖创新人才培养基地”,揭开了“联手高校,共育英才”的创新型人才培养新篇章。
2018年高考中,清华北大录取12人,复旦交大共录取137人,双一流A类高校录取率超过60%,双一流高校录取率近90%,再创新高。
交大附中积极开拓国际化办学新格局,2006年开办国际部,招收了来自美国、德国、法国、日本等二十余国的外籍学生。
2011年,学校创建了国际课程中心,开设国际上公认含金量最高的IB国际课程。
近年,上海交通大学附属中学先后开办了嘉定分校、闵行分校,办学成绩斐然。
嘉定分校2018年清北复交四校录取占比41.72%,985高校录取占比64.9%,综评上线高达99.4%。
闵行分校在课程设置上对接本部致远英才实验班和创生科技实验班,2018年复交录取占比30%以上,双一流A类985高校录取占比62%,211大学录取占比85%,综评上线人数达100%。
面对教育现代化带来的新机遇、新挑战,上海交通大学附属中学正朝着“现代教育领先,国内著名、国际知名的实验性示范性高中”的目标迈进。
上海市普通高中学校毕业生数量、招生数量和在校学生数量3年数据分析报告2019版序言上海市普通高中学校毕业生数量、招生数量和在校学生数量数据分析报告从普通高中学校数量,普通高中学校毕业生数量,普通高中学校招生数量,普通高中学校在校学生数量等重要因素进行分析,剖析了上海市普通高中学校毕业生数量、招生数量和在校学生数量现状、趋势变化。
本报告知识产权为发布方即我公司天津旷维所有,其他方引用我方报告均请注明出处。
借助对数据的发掘及分析,提供严谨、客观的视角来了解上海市普通高中学校毕业生数量、招生数量和在校学生数量现状及发展趋势。
本报告数据来源于中国国家统计局等权威部门,并经过专业统计分析及清洗而得。
上海市普通高中学校毕业生数量、招生数量和在校学生数量数据分析报告以数据呈现方式客观、多维度、深入介绍上海市普通高中学校毕业生数量、招生数量和在校学生数量真实状况及发展脉络,为需求者提供必要借鉴及重要参考。
目录第一节上海市普通高中学校毕业生数量、招生数量和在校学生数量现状 (1)第二节上海市普通高中学校数量指标分析 (3)一、上海市普通高中学校数量现状统计 (3)二、全国普通高中学校数量现状统计 (3)三、上海市普通高中学校数量占全国普通高中学校数量比重统计 (3)四、上海市普通高中学校数量(2016-2018)统计分析 (4)五、上海市普通高中学校数量(2017-2018)变动分析 (4)六、全国普通高中学校数量(2016-2018)统计分析 (5)七、全国普通高中学校数量(2017-2018)变动分析 (5)八、上海市普通高中学校数量同全国普通高中学校数量(2017-2018)变动对比分析 (6)第三节上海市普通高中学校毕业生数量指标分析 (7)一、上海市普通高中学校毕业生数量现状统计 (7)二、全国普通高中学校毕业生数量现状统计分析 (7)三、上海市普通高中学校毕业生数量占全国普通高中学校毕业生数量比重统计分析 (7)四、上海市普通高中学校毕业生数量(2016-2018)统计分析 (8)五、上海市普通高中学校毕业生数量(2017-2018)变动分析 (8)六、全国普通高中学校毕业生数量(2016-2018)统计分析 (9)七、全国普通高中学校毕业生数量(2017-2018)变动分析 (9)八、上海市普通高中学校毕业生数量同全国普通高中学校毕业生数量(2017-2018)变动对比分析 (10)第四节上海市普通高中学校招生数量指标分析 (11)一、上海市普通高中学校招生数量现状统计 (11)二、全国普通高中学校招生数量现状统计分析 (11)三、上海市普通高中学校招生数量占全国普通高中学校招生数量比重统计分析 (11)四、上海市普通高中学校招生数量(2016-2018)统计分析 (12)五、上海市普通高中学校招生数量(2017-2018)变动分析 (12)六、全国普通高中学校招生数量(2016-2018)统计分析 (13)七、全国普通高中学校招生数量(2017-2018)变动分析 (13)八、上海市普通高中学校招生数量同全国普通高中学校招生数量(2017-2018)变动对比分析 (14)第五节上海市普通高中学校在校学生数量指标分析 (15)一、上海市普通高中学校在校学生数量现状统计 (15)二、全国普通高中学校在校学生数量现状统计 (15)三、上海市普通高中学校在校学生数量占全国普通高中学校在校学生数量比重统计 (15)四、上海市普通高中学校在校学生数量(2016-2018)统计分析 (16)五、上海市普通高中学校在校学生数量(2017-2018)变动分析 (16)六、全国普通高中学校在校学生数量(2016-2018)统计分析 (17)七、全国普通高中学校在校学生数量(2017-2018)变动分析 (17)八、上海市普通高中学校在校学生数量同全国普通高中学校在校学生数量(2017-2018)变动对比分析 (18)图表目录表1:上海市普通高中学校毕业生数量、招生数量和在校学生数量现状统计表 (1)表2:上海市普通高中学校数量现状统计表 (3)表3:全国普通高中学校数量现状统计表 (3)表4:上海市普通高中学校数量占全国普通高中学校数量比重统计表 (3)表5:上海市普通高中学校数量(2016-2018)统计表 (4)表6:上海市普通高中学校数量(2017-2018)变动统计表(比上年增长%) (4)表7:全国普通高中学校数量(2016-2018)统计表 (5)表8:全国普通高中学校数量(2017-2018)变动统计表(比上年增长%) (5)表9:上海市普通高中学校数量同全国普通高中学校数量(2017-2018)变动对比统计表 (6)表10:上海市普通高中学校毕业生数量现状统计表 (7)表11:全国普通高中学校毕业生数量现状统计表 (7)表12:上海市普通高中学校毕业生数量占全国普通高中学校毕业生数量比重统计表 (7)表13:上海市普通高中学校毕业生数量(2016-2018)统计表 (8)表14:上海市普通高中学校毕业生数量(2017-2018)变动统计表(比上年增长%) (8)表15:全国普通高中学校毕业生数量(2016-2018)统计表 (9)表16:全国普通高中学校毕业生数量(2017-2018)变动统计表(比上年增长%) (9)表17:上海市普通高中学校毕业生数量同全国普通高中学校毕业生数量(2017-2018)变动对比统计表(比上年增长%)10表17:上海市普通高中学校毕业生数量同全国普通高中学校毕业生数量(2017-2018)变动对比统计表(比上年增长%) (10)表18:上海市普通高中学校招生数量现状统计表 (11)表19:全国普通高中学校招生数量现状统计分析表 (11)表20:上海市普通高中学校招生数量占全国普通高中学校招生数量比重统计表 (11)表21:上海市普通高中学校招生数量(2016-2018)统计表 (12)表22:上海市普通高中学校招生数量(2017-2018)变动分析表(比上年增长%) (12)表23:全国普通高中学校招生数量(2016-2018)统计表 (13)表24:全国普通高中学校招生数量(2017-2018)变动分析表(比上年增长%) (13)表25:上海市普通高中学校招生数量同全国普通高中学校招生数量(2017-2018)变动对比统计表(比上年增长%) (14)表26:上海市普通高中学校在校学生数量现状统计表 (15)表27:全国普通高中学校在校学生数量现状统计表 (15)表28:上海市普通高中学校在校学生数量占全国普通高中学校在校学生数量比重统计表..15 表29:上海市普通高中学校在校学生数量(2016-2018)统计表 (16)表30:上海市普通高中学校在校学生数量(2017-2018)变动统计表(比上年增长%) (16)表31:全国普通高中学校在校学生数量(2016-2018)统计表 (17)表32:全国普通高中学校在校学生数量(2017-2018)变动统计表(比上年增长%) (17)表33:上海市普通高中学校在校学生数量同全国普通高中学校在校学生数量(2017-2018)变动对比统计表(比上年增长%) (18)第一节上海市普通高中学校毕业生数量、招生数量和在校学生数量现状上海市普通高中学校毕业生数量、招生数量和在校学生数量现状详细情况见下表(2018年):表1:上海市普通高中学校毕业生数量、招生数量和在校学生数量现状统计表注:本报告以国家各级统计部门数据为基准,并借助专业统计分析方法得出。
2019年上海高中招生计划
根据上海市教育局发布的信息,2019年上海市高中招生计划
如下:
1. 招生名额:上海市高中招生计划总名额为约60万人。
其中,普通高中计划招生约35万人,中职中专计划招生约3.5万人,特殊教育高中计划招生约0.5万人,示范性高中计划招生约20万人。
2. 招生范围:上海市各区的普通初中毕业生均可以报名参加高中招生。
各区会根据本地区实际情况,制定不同的招生政策与办法。
3. 招生方式:2019年上海市将继续实行综合素质评价招生方式。
考生的报名、遴选、录取等环节均由各区教育局负责组织和管理。
4. 成绩评定:除综合素质评价外,2019年上海市高中招生还
将考虑考生的学业水平考试成绩、学科竞赛成绩、文化课程成绩等综合素质评价指标。
5. 特长生招生:上海市还将保持特长生招生政策,为具有特殊艺术、体育、科学研究等方面特长的学生提供相应的优惠政策。
需要注意的是,以上信息仅为参考,具体的招生计划以上海市各区的相关通知和公示为准。
如果您需要更详细的信息,建议咨询当地教育局或相关部门。
2019年上海市普陀区中等学校高中阶段
招生计划网上公示
根据沪教委基〔2019〕21号文《上海市教育委员会关于2019年本市中等学校高中阶段考试招生工作的若干意见》附件3的要求,统一批次十五志愿各类普通高中在普陀区的招生计划公示如下:
普通高中招生计划
(统一录取志愿)
本区公办市实验性示范性高中。
此类志愿请填报在统一录取15个志愿栏内。
本区市特色普通高中。
此类志愿请填报在统一录取15个志愿栏内。
本区公办区实验性示范性高中。
此类志愿请填报在统一录取15个志愿栏内。
本区公办完中。
此类志愿请填报在统一录取15个志愿栏内。
全市招生艺术类高中。
此类志愿请填报在统一录取15个志愿栏内。
2019年上海市中等学校高中阶段考试招生工作意见导读:本文2019年上海市中等学校高中阶段考试招生工作意见,仅供参考,如果觉得很不错,欢迎点评和分享。
为进一步深化本市中等学校高中阶段考试招生改革,积极探索基于学业水平考试的多元评价和招生制度,促进学生全面而有个性地可持续发展,市教委现就2019年本市中招工作提出相关意见。
各区教育局,各有关委、局、控股(集团)公司:为贯彻《国务院关于深化考试招生制度改革的实施意见》(国发〔2014〕35号)的要求,落实国家和上海市中长期教育改革和发展规划纲要以及《教育部关于进一步推进高中阶段学校考试招生制度改革的指导意见》(教基二〔2016〕4号)等相关文件精神,进一步深化本市中等学校高中阶段考试招生(以下简称“中招”)改革,积极探索基于学业水平考试的多元评价和招生制度,促进学生全面而有个性地可持续发展,现就2019年本市中招工作提出如下意见:一、工作目标进一步完善本市中招制度,健全中招管理体制和运行机制,促进初中阶段学校办学水平和教育质量的全面提高,促进高中阶段教育优质多样协调发展,践行“阳光招生”工作要求,保证中招工作公开、公平、公正。
通过全市中招信息平台的应用,统一标准,规范操作,确保考试招生工作平稳有序进行。
二、综合评价工作(一)上海市初中毕业统一学业考试上海市初中毕业统一学业考试(以下简称“统一学业考试”)主要考核初中毕业生在学科学习方面所达到的水平,统一学业考试成绩既是衡量学生是否达到初中毕业标准的主要依据,也是高中阶段学校招生录取的主要依据之一。
统一学业考试科目设语文、数学、外语、物理、化学、思想品德、体育、理化实验操作技能。
其中,语文、数学、外语、物理、化学、体育科目考试成绩采用分数制,总分为630分;思想品德科目和理化实验操作技能考试成绩采用等第制。
1.考试时间和分值(1)语文、数学和外语科目考试时间均为100分钟,满分均为150分。
物理和化学科目合卷考试,考试时间为100分钟;物理科目满分为90分,化学科目满分为60分。
2019上海中考志愿填报指南公布作者:朱筱丽来源:《学生导报·初中版》2019年第11期2019年上海市高中阶段学校招生志愿分为“提前招生录取志愿”和“统一招生录取志愿”两部分。
(一)提前招生录取志愿参加“提前招生录取”的考生,须在规定时间内登录“上海招考热线”网站,进行网上填报志愿。
“提前招生录取志愿”类别顺序如下:1.市实验性示范性高中推荐生、自荐生和市特色普通高中自荐生:推荐生和自荐生分别可填报2个志愿。
2.中等职业教育—应用本科专业贯通培养模式:1个志愿。
3.中高职教育贯通培养模式:3个志愿。
4.中职校自主招生(含航空服务、艺术类、自荐生):4个志愿。
普通高中国际课程班招生在提前招生录取批次进行,其志愿填报根据招生学校公示的方案要求进行,无须在“上海招考热线”网站上填报志愿。
高中学校“提前招生录取”网上填报志愿5月11日10:00至13日10:00高中学校“提前招生录取”志愿填报现场确认5月13日14:00至14日16:00中职校“提前招生录取”网上填报志愿5月19日10:00至21日10:00中职校“提前招生录取”志愿填报现场确认;报考特殊教育高中阶段学校和中职特教班的考生填报志愿并现场确认5月22日至24日(二)统一招生录取志愿参加“统一招生录取”的考生,须在《2019年上海市高中阶段学校招生报考志愿表》上填報志愿。
志愿栏目设置如下:1.零志愿:1个志愿。
2.名额分配志愿:1个志愿。
3.一至十五志愿:含普通高中学校和中职校,共设置15个志愿。
对未被以上志愿录取且愿意征求志愿的考生,由区招考机构负责在有招生余额的学校或专业中进行征求志愿的填报工作。
(三)志愿填报的注意事项1.“提前招生录取志愿”须是具有相应资格或符合招生学校招生要求的考生方可填报。
考生严格按照时间节点和填报要求,自主在“上海招考热线”网站上填报“提前招生录取志愿”。
填报时间截止后,任何人不得以任何理由补报、撤销或更改志愿。
2019年上海各高中招生计划2019年上海各高中招生计划一、简介在2019年,上海各高中将继续实施以综合素质评价为主的招生录取政策。
不同于传统的高考分数,综合素质评价注重考察学生的综合素质,包括学业成绩、学科竞赛、科技创新、艺术特长及体育特长等方面。
该政策的出台旨在鼓励学生全面发展,培养更加多元化的人才。
二、重点高中招生计划1. 上海中学上海中学作为上海市的重点高中之一,将招收450名学生。
录取依据为学业水平测试成绩加上其他附加分项目的综合评定结果。
其中,艺术特长、科技创新以及体育特长加分项将给予重点关注。
2. 上海交通大学附属中学上海交通大学附属中学计划招收550名学生。
学生综合评价主要依据为学业成绩和学科竞赛成绩,特别是数学和物理相关竞赛的成绩。
同样,艺术特长也是该高中录取时重要的加分项目。
3. 上海外国语高级中学该校计划招生450名学生,综合评价以学业成绩和学科竞赛成绩为主。
英语水平测试成绩将是录取的重要指标之一。
同时,该校对学生在国际交流和学科综合素质上的表现也将给予一定的加分。
三、普通高中招生计划除了重点高中外,上海还有众多普通高中。
这些高中的招生计划相对较大,可以给更多学生提供学习机会。
1. 上海市实验中学该校招收学生1000名,并以学业成绩为主要录取依据。
此外,学生的学科竞赛成绩和综合素质评价也会参与录取决策。
实验中学注重培养学生的实践能力和创新精神。
2. 上海市第一中学招生计划为800名学生。
学生的学业成绩和学科竞赛成绩将是主要录取依据,戏剧、舞蹈、音乐和体育等特长项目也在加分范畴之内。
3. 上海市杨浦区中学作为杨浦区的重点高中之一,该校计划招生800名。
学生的学业成绩和学科竞赛成绩将是录取的主要考虑因素,此外,艺术特长及体育特长也将给予一定的加分。
四、总结2019年上海各高中的招生计划注重学生的综合素质评价。
综合素质评价政策的出台使得学生综合能力的培养更加全面,不再仅仅限制于高考成绩。
2019年上海市中招政策发布【摘要】2019年上海市中招政策发布,对学生和家长具有重要意义。
该政策的背景包括教育改革和社会竞争压力增加。
具体内容包括考试科目的调整和录取方式的变化。
政策的影响主要体现在学生备考压力的减轻和录取机会的增加。
为了落实政策,相关部门采取了一系列措施,如加强教育资源配置和提升评价制度公正性。
目前政策执行情况良好,但仍需进一步完善。
总结来看,2019年上海市中招政策推动了教育公平和质量提升。
展望未来,政策将继续优化,为更多学生提供更好的教育机会。
这一政策的意义在于促进社会公平和学生综合素质的提高。
【关键词】上海市,中招政策,发布,背景,具体内容,影响,措施,执行情况,总结,展望,意义.1. 引言1.1 2019年上海市中招政策发布2019年上海市中招政策发布意味着上海市教育部门对中学招生政策进行了更新和调整,为即将参加中考的学生和家长提供了更清晰的指导。
这项政策发布的背后,旨在促进教育公平,提高中学教育质量,同时也是为了更好地适应社会发展的需要。
上海市中招政策的发布,通常会引起社会各界的关注和讨论,因为它直接关系到千千万万家庭的利益和孩子的未来。
随着社会竞争的加剧和教育资源的日益紧张,中招政策的发布也给了教育部门更多的挑战和责任。
2019年上海市中招政策的发布显得尤为重要,它将影响着每一个即将参加中考的学生和家庭,也将对整个教育体制产生深远的影响。
在这个政策发布的背景下,我们需要认真地理解政策的调整和变化,以便更好地应对未来的挑战和机遇。
2. 正文2.1 2019年上海市中招政策的背景2019年上海市中招政策的制定,是为了适应当地教育发展的需要,更好地规范中学招生工作,保障学生的权益,提高教育质量,促进教育公平。
随着上海市教育事业的快速发展,中学教育的普及率不断提高,学生数量逐年增加,中招工作面临着更多的挑战和压力。
为了解决这些问题,上海市政府决定对中招政策进行调整和优化,以适应新形势下教育的要求。
上海中考招生计划
上海中考招生计划根据教育部指导意见,一般由市教委根据当
地中小学生人数、学校容量、师资力量等因素制定。
根据最新的信息,上海市中考招生计划如下:
1. 拟招收考生总数为25万人;
2. 该计划主要包括普通高中(综合中学、职业中学)和国际学
校两部分;
3. 普通高中计划招生24万人,包括文科、理科和综合实践课
等专业方向,并根据学生的成绩进行分班和升学安排;
4. 国际学校计划招收1000人左右,主要面向留学生和符合条
件的中国学生;
5. 部分学校还可以通过绿色通道、艺术特长生招生计划等方式
进行特殊招生;
6. 每个学校的招生计划具体人数将由各学校根据实际情况提出,并由市教委审核和批准。
需要注意的是,上述招生计划仅供参考,具体以当年教育部门
公布的最终招生计划为准。
招生计划可能会根据实际情况有一定的
调整。
上海要求全市4158位市推优生参加中考推优生陪考普通生增压今年,本市第一次要求全市4158位市推优生参加中考,市推优生已经被市实验性示范性高中学校录取,参加中考只是一个形式,大部分推优生轻松陪考。
普通考生一边用羡慕的眼神看着这些陪考生,一边内心忐忑不安,甚至有学生出现患得患失等考前焦虑现象。
现象:考前焦虑者增多“我平时考试成绩比一些推优生的成绩好,没有推优成功,中考一定不能考砸了。
”、“推优生考很低的成绩也能进入好的学校,我要争取考到零志愿的分数线才有希望进好学校。
”、“中考只有一周,如果中考时间再推迟一个月多好啊。
”……昨天,从本市部分初中学校目前,越来越多考生开始出现多疑、自信心下降,甚至还有一些考生因为出现考前焦虑而失眠。
调查:陪考生成压力源“今年,全校有8位学生参加市推优成功,分别进入复旦附中、交大附中、华师大二附中等学校。
往年,市推优生在6月初推优结果公布后,就不用再参加初三的学习,直接参加高中学校的训练营。
根据今年中招政策,推优生要参加中考,只要中考成绩达到普通高中的分数线就行,这个要求对推优生基本上没有什么难度,因此,很多推优生中考只是陪考,不需要像其他学生那样分分必争。
”杨浦区上音杨浦学校的初三年级组长袁学俊介绍,这些陪考生的出现,增加了身边普通考生的复习迎考压力。
一些考生甚至暗地较劲,不断地进行自我心理暗示,结果,出现考前焦虑、失眠、自信心下降等现象。
措施:家长要镇定少追问孩子出现考前焦虑,家长该怎么办?对此,朱萍校长介绍,现在,一些学校已经放假,让初三学生在家自主复习,因此,减轻学生压力的重任压在家长的肩上。
对于出现考前焦虑的考生,老师也会主动找这些家长进行沟通,结果发现,部分家长和学生一样出现了种种担心、焦虑。
对于这种情况,学校为家长开出减压“药方”:对孩子一般的紧张表现,家长要少追问,装没看见,营造一个自然轻松的环境。