2016-2017学年哈尔滨市第三中学高一第一学期数学期中试卷
- 格式:pdf
- 大小:271.71 KB
- 文档页数:4
哈32中2016~2017学年度上学期高一期中考试数学试卷(考试时间70分钟,满分100分) 一、选择题(单选题,每题5分,共50分)1. 已知A={(x,y )| y =-4x+6}, B ={(x,y) | y =5x -3},则A ∩B 等于 ( )A. {1,2}B. {(1,2)}C. {(2,1)}D.{(x,y )| x =1或y = 2}2. 若集合P = {x |x ≥5},Q = {x | 5≤ x ≤7},则P 与Q 的关系是 ( )A. P =QB. P QC. PQ D. P ⊄Q3. 函数① y =1-x ,②y = 2x -1, ③ y = x 2-1 , ④ y = x5,其中定义域与值域相同的函数有( )A. 1个B. 2个C. 3个D. 4个4. 若f(x)=21x x+,则下列等式成立的是 ( ) A. 1()()f f x x = B. 1()()f f x x=-C. 1()f x =)(1x f D. )(1)1(x f x f -=5. 函数y=xx ++-1912是 ( ) A. 奇函数 B. 偶函数 C. 既是奇函数又是偶函数 D. 非奇非偶函数6. 函数y=122+-x x 的值域是 ( )A. [0,+∞)B. (0,+∞)C. (-∞,+∞)D. [1,+∞)7.设函数()()()12,1,x x f x x x ≥⎧=⎨<⎩,则()2log 3f 的值为 ( )A. 2B. 3C. 2log 3D. 3log 28. 53()8f x x ax bx =++-且(2)0f -=,则(2)f 等于 ( )A. -16B. -18C. -10D.109. 化简)31()3)((656131212132b a b a b a ÷-的结果( )A .9ab -B .a -C .a 9-D .29a -10.如图的曲线是幂函数n x y =在第一象限内的图象. 已知n 分别取2±,12±四个值, 与曲线1c 、2c 、3c 、4c 相应的n 依次为 ( ). A .112,,,222-- B. 112,,2,22--C. 11,2,2,22--D. 112,,,222--二、填空题(每题5分,共20分)11、函数y=xx x --224的定义域为 _______;12、现有:①不小于3的有理数 ②某中学所有高个子的同学③全部正方形 ④全体无实数根的一元二次方程。
哈尔滨市高一上学期期中数学试卷(I)卷姓名:________ 班级:________ 成绩:________一、选择题 (共12题;共24分)1. (2分)已知集合P={1,3},则满足P∪Q={1,2,3,4}的集合Q的个数是()A . 1B . 2C . 3D . 42. (2分)已知R是实数集,M={x|<1},N={y|y=+1}则N∩∁RM=()A . (1,2)B . [0,2]C . ∅D . [1,2]3. (2分)函数y=ax﹣b(a>0且a≠1)的图象经过第二、三、四象限,则ab的取值范围为()A . (1,+∞)B . (0,+∞)C . (0,1)D . 无法确定4. (2分)已知集合,则的真子集个数为()A . 5B . 7C . 31D . 35. (2分) (2016高一上·嘉兴期中) 若f(x)=x ,则f(2)=()A . 3B . ﹣3C .D . -6. (2分) (2017高二下·淄川期中) 若函数f(x)= x4+ ax2+bx+d的导函数有三个零点,分别为x1 ,x2 , x3且满足:x1<﹣2,x2=2,x3>2,则实数a的取值范围是()A . (﹣∞,﹣1)B . (﹣∞,﹣3)C . (﹣7,+∞)D . (﹣∞,﹣12)7. (2分)(2018·邯郸模拟) 已知函数若,且函数存在最小值,则实数的取值范围为()A .B .C .D .8. (2分) (2016高一上·陆川期中) 已知函数f(x)=x2﹣2(a+2)x+a2 , g(x)=﹣x2+2(a﹣2)x﹣a2+8.设H1(x)=max{f(x),g(x)},H2(x)=min{f(x),g(x)},(其中max{p,q}表示p,q中的较大值,min{p,q}表示p,q中的较小值).记H1(x)的最小值为A,H2(x)的最大值为B,则A﹣B=()A . a2﹣2a﹣16B . a2+2a﹣16C . ﹣16D . 169. (2分)设函数y=f(x)的图象与y=2x+a的图象关于y=﹣x对称,且f(﹣2)+f(﹣4)=1,则a=()A . -1B . 1C . 2D . 410. (2分)已知,以下结论中成立的是()A .B .C .D .11. (2分)已知f(x)= 是定义在R上的减函数,则a的取值范围是()A .B .C .D .12. (2分)已知是定义在上的偶函数,且在区间上是增函数,设,,,则的大小关系是()A .B .C .D .二、填空题 (共4题;共4分)13. (1分) (2017高一上·上海期中) 函数的定义域是________.14. (1分)计算(lg2)2+lg20•lg5=________15. (1分)已知含有三个元素的集合A={a,,1},集合B={a2 , a+b,0},若A=B,则b﹣a=________.16. (1分)已知f(x)=log2x,x∈[, 4],则函数y=[f()]×f(2x)的值域是________三、解答题 (共6题;共100分)17. (20分) (2016高三上·鹰潭期中) 已知集合A={x|x2﹣2x﹣3≤0,x∈R},B={x|(x﹣m+2)(x﹣m﹣2)≤0,x∈R,m∈R}.(1)若A∩B={x|0≤x≤3},求实数m的值;(2)若A∩B={x|0≤x≤3},求实数m的值;(3)若A⊆∁RB,求实数m的取值范围.(4)若A⊆∁RB,求实数m的取值范围.18. (10分) (2016高一上·高青期中) 已知a>0且a≠1,函数f(x)=loga .(1)求f(x)的定义域及其零点;(2)设g(x)=mx2﹣2mx+3,当a>1时,若对任意x1∈(﹣∞,﹣1],存在x2∈[3,4],使得f(x1)≤g (x2),求实数m的取值范围.19. (20分) (2018高一上·和平期中) 设.(1)判断函数的奇偶性;(2)判断函数的奇偶性;(3)讨论函数在区间上的单调性.(4)讨论函数在区间上的单调性.20. (30分) (2019高一上·仁寿期中) 已知(1)求的定义域;(2)求的定义域;(3)判断的奇偶性并予以证;;(4)判断的奇偶性并予以证;;(5)求使 >0成立的x的取值范围.(6)求使 >0成立的x的取值范围.21. (10分) (2016高一上·上杭期中) 某公司制定了一个激励销售人员的奖励方案:当销售利润不超过8万元时,按销售利润的15%进行奖励;当销售利润超过8万元时,若超出A万元,则超出部分按log5(2A+1)进行奖励.记奖金为y(单位:万元),销售利润为x(单位:万元).(1)写出奖金y关于销售利润x的关系式;(2)如果业务员小江获得3.2万元的奖金,那么他的销售利润是多少万元?22. (10分)已知二次函数y=f(x)满足:f(0)=0且f(x+1)=f(x)+2x+5.求:(1) f(x)的表达式;(2)求函数y=f(x)在[t,t+3]上的最小值.参考答案一、选择题 (共12题;共24分)1-1、答案:略2-1、3-1、4-1、答案:略5-1、答案:略6-1、答案:略7-1、答案:略8-1、9-1、答案:略10-1、答案:略11-1、答案:略12-1、二、填空题 (共4题;共4分)13-1、14-1、15-1、16-1、三、解答题 (共6题;共100分) 17-1、答案:略17-2、答案:略17-3、答案:略17-4、答案:略18-1、答案:略18-2、答案:略19-1、答案:略19-2、答案:略19-3、答案:略19-4、答案:略20-1、答案:略20-2、答案:略20-3、答案:略20-4、答案:略20-5、答案:略20-6、答案:略21-1、答案:略21-2、答案:略22-1、答案:略22-2、答案:略。
黑龙江省哈尔滨市第三中学2017届高三上学期期中考试(理)本试题卷分选择题和非选择题两部分.全卷共4页, 选择题部分1至2页, 非选择题部分3至4页.满分150分, 考试时间120分钟.请考生按规定用笔将所有试题的答案涂、写在答题纸上. 参考公式:柱体的体积公式V =Sh 其中S 表示柱体的底面积,h 表示柱体的高锥体的体积公式 V =13Sh 其中S 表示锥体的底面积,h 表示锥体的高台体的体积公式1()123V h S S =++ 其中S 1,S 2分别表示台体的上,下底面积球的表面积公式S =4πR 2 其中R 表示球的半径,h 表示台体的高球的体积公式V =43πR 3 其中R 表示球的半径第Ⅰ卷(选择题 共40分)一、选择题:(每小题5分,共40分.在每小题给出的四个选项中,只有一项是符合题目要求的) 1.某几何体的三视图(单位:cm )如图所示,则此几何体的表面积是( )A .902cmB .1292cmC .1322cmD .1382cm2.若20π<<x ,则1tan <x x 是1sin <x x 的( )A.充分不必要条件B.必要不充分条件C.充要条件D.既不充分也不必要条件 3.已知圆()()161222=++-y x 的一条直径恰好经过直线230x y --=被圆所截弦的中点,则该直径所在直线的方程为( )A .20x y -=B .250x y +-=C .230x y +-=D .240x y -+= 4.如图,三棱锥V ABC -的底面为正三角形,侧面VAC 与底面垂直且VA VC =,已知其正视图的面积为23,则其侧视图的面积为( )A B C .4D .65.给定下列四个命题:①若一个平面内的两条直线与另一个平面都平行,那么这两个平面相互平行; ②若一个平面经过另一个平面的垂线,那么这两个平面相互垂直; ③垂直于同一直线的两条直线相互平行;④若两个平面垂直,那么一个平面内与它们的交线不垂直的直线与另一个平面也不垂直. 其中,为真命题的是( )A.①和②B.②和③C.③和④D.②和④6.已知21,F F 分别为双曲线12222=-b y a x ()0,0>>b a 的左右焦点,如果双曲线右支上存在一点P ,使得2F 关于直线1PF 的对称点恰在y 轴上,则该双曲线的离心率e 的取值范围为( ) A. 3321<<e B. 332>e C. 3>e D. 31<<e 7.已知1F 、2F 分别是椭圆22143x y +=的左、右焦点,A 是椭圆上一动点,圆C 与1F A 的延长线、12F F 的延长线以及线段2AF 相切,若(,0)M t 为其中一个切点,则( ) A .2t =B .2t >C .2t <D .t 与2的大小关系不确定8.在正方体1111ABCD A B C D -中,E 是棱1CC 的中点,F 是侧面11BCC B 内的动点,且1//A F 平面1D AE ,则1A F 与平面11BCC B 所成角的正切值t 构成的集合是( )A .t ⎧⎪≤≤⎨⎪⎩B .2t ⎧⎫⎪⎪≤≤⎨⎬⎪⎪⎩⎭ C .{2t t ≤≤ D .{2t t ≤≤第Ⅱ卷(非选择题 共110分)二、填空题:本大题共7小题,前4小题每题6分,后3小题每题4分,共36分9.双曲线2212x y -=的焦距是 ,渐近线方程是10.抛物线x y C 2:2=的准线方程是 ,经过点)1,4(P 的直线l 与抛物线C 相交于,A B 两点,且点P 恰为AB 的中点,F 为抛物线的焦点,则AF BF +=uu u r uu u r11.若某多面体的三视图如下图所示,则此多面体的体积为 ,外接球的表面积为 .12.所谓正三棱锥,指的是底面为正三角形,顶点在底面上的射影为底面三角形中心的三棱锥,在正三棱锥中,是的中点,且,底面边长,则正三棱锥的体积为 ,其外接球的表面积为13.将一个棱长为a 的正方体嵌入到四个半径为1且两两相切的实心小球所形成的球间空隙内,使得正方体能够任意自由地转动,则a 的最大值为_______ . 14.已知点O 为坐标原点,ABC ∆为圆M :的内接正三角形,则()OC OB OA +⋅的最小值为15.已知动圆Q 过定点()1,0-F ,且与直线1:=y l 相切,椭圆N 的对称轴为坐标轴,O 点为坐标原点,F 是其一个焦点,又点()2,0A 在椭圆N 上.若过F 的动直线m 交椭圆N 于C B ,点,交轨迹M 于E D ,两点,设1S 为ABC ∆的面积,2S 为ODE ∆的面积,令21S S Z =,Z 的最小值是_______三、解答题(共39分)16.(14分)已知命题212:,10p x x x mx --=是方程的两个实根,且不等式21243||a a x x +-≤-对任意m R ∈恒成立;命题q: 不等式+->2210ax x 有解,若命题p q ∨为真,p q ∧为假,求实数a 的取值范围.S ABC -M SC AM SB ⊥AB =S ABC -17.(15分)圆x 2+y 2=4的切线与x 轴正半轴,y 轴正半轴围成—个三角形,当该三角形面积最小时,切点为P .双曲线C 1:x 2a 2-y 2b 2=1过点P 且离心率为 3.(1)求C 1的方程;(2)椭圆C 2过点P 且与C 1有相同的焦点,直线l 过C 2的右焦点且与C 2交于A ,B 两点.若以线段AB 为直径的圆过点P ,求l 的方程.18.(15分)如图,四棱锥P ABCD -的底面ABCD 是正方形,侧棱PD ⊥底面ABCD ,PD DC =,E 是PC 的中点.(I )证明:PA //平面BDE ;(II )求二面角B DE C --的平面角的余弦值; (Ⅲ)在棱PB 上是否存在点F ,使PB ⊥平面DEF ?19.(15分)已知抛物线C :22(0)y px p =>的焦点为F ,过F 作垂直于x 轴的直线交抛物线于,A B ,两点,AOB ∆的面积为8,直线l 与抛物线C 相切于Q 点,P 是l 上一点(不与Q 重合). (I )求抛物线C 的方程;(II )若以线段PQ 为直径的圆恰好经过F ,求PF 的最小值.20.(15分)已知椭圆)0(1:2222>>=+b a by a x C 的左、右焦点分别为21,F F ,直线l 经过2F 且交椭圆C 于B A ,两点(如图),1ABF ∆的周长为24,原点O 到直线l 的最大距离为1. (Ⅰ)求椭圆C 的标准方程;(Ⅱ)过2F 作弦AB 的垂线交椭圆C 于N M ,两点,求四边形AMBN 面积最小时直线l 的方程.参考答案一、选择题:本大题共有8小题,每小题5分,共40分.二、填空题:本大题共7小题,第9-12题每题6分,第13-15题每题4分,共36分.9.2y x =± 10.9;21-=x ,11. 5263or ;3π 12. 43, 12π15.33223-16.5 17.9三、解答题:本大题共5小题,共74分。
哈三中2015—2016学年度上学期 高一学年第一模块考试 数学 答案二、填空题13. 4 14.15. 16. (4) 17.()[)+∞-∞-=,02, C A , 18.在内任取且,()()()()11211221---=-x x x x x f x f ,,01,01,02112>->->-∴x x x x ,, ,证得在上为单调递减函数19.(I ),()[][]()48222531=+⨯-==+-=-f f f f (II )由已知可得不等式等价于或或即或或,即20.设池底的长为米,泳池的造价为元由题意可得()[]6612002295)61200(135⨯÷÷⨯+⨯+÷⨯=x x y , 又由可得,解得,答:水池长在米范围内,满足题意21.(I )对于0144222=+-+-m m mx x ,得()()28422212212221-+-=-+=+=m m x x x x x x m g ,其定义域为(II )()2223841384m m m m m m f -+-=-+-= 令则则的值域为22.(I )在上单调递增因为()()x f x f x x-=-=--22所以为奇函数(II )可知的范围与的值域相同 令,则的值域为(III )由()()()0132≤--+m am f x g f 得()()()132---≤m am f x g f由(I )得()()()132++-≤m am f x g f ,对一切,恒成立,则()()()min 2max 13++-≤m am x g ,设,则对一切恒成立若则恒成立 若则得综上所述(][){}0,66, +∞-∞-∈m。
哈尔滨市第六中学2016—2017学年度上学期期中考试高一数学试题考试时间:120分钟满分:150分一、选择题:本大题共12小题,每小题5分,共60分.1.设全集,集合,则=()A.ØB.{2} C.{2,5}D.2.设函数,若,则实数等于()A.-4或-2 B.-4或2 C.-2或4 D.-2或23.若函数的值域是,则函数的值域是()A.[-5,-1] B.[-2,0]C.[-6,-2] D.[1,3]4.若函数的最小值为,则实数的取值范围是()A.(1,3) B.(1,3]C.[3,+∞) D.(3,+∞) 5.下列函数中,满足“任意且,”的是()A.B.C.D.6.函数的图象()A.关于原点对称B.关于直线y=x对称C.关于x轴对称D.关于y轴对称7.函数的最大值是()A.45B.54C.34D.438.设,则()A.B.C.D.9.已知函数(且),当时,,则在R上()A .是增函数B .是减函数C .当时是增函数,当时是减函数D .当时是减函数,当时是增函数10.函数的单调递减区间是( )A .⎝ ⎛⎦⎥⎤-∞,32B .⎣⎢⎡⎭⎪⎫32,+∞C .⎝ ⎛⎦⎥⎤-1,32D .⎣⎢⎡⎭⎪⎫32,4 11.若不等式对一切恒成立,则的取值范围是( )A .(-∞,2]B .[-2,2]C .(-2,2]D .(-∞,-2)12.若函数的图象如图所示,其中a ,b 为常数,则函数的大致图象是( )二、填空题:本大题共4小题,每小题5分,共20分.13.如果函数是奇函数,则=________.14.函数的定义域是________.15.已知幂函数,若,则的取值范围是________.16.直线与曲线有四个交点,则的取值范围是________.三、解答题:本大题共6小题,共70分,解答时写出必要的文字说明,证明过程或解题步骤.17.(本小题满分10分)(1)计算.(2)设,且,求的值.18.(本小题满分12分)若集合,且,求实数的取值范围.19.(本小题满分12分)已知二次函数的最小值为(1)求的解析式,并写出单调区间;(2)在区间上恒成立,求的取值范围.20.(本小题满分12分)函数在区间上的最大值记为.(1)求的解析式;(2)求的最大值.21.(本小题满分12分)已知函数,且.(1)求函数的解析式;(2)证明:,其中.22.(本小题满分12分)已知,(且).(1)判断的奇偶性并用定义证明;(2)判断的单调性并有合理说明;(3)当时,恒成立,求的取值范围.高一数学答案1 B2 B3 A4B5 C6 D7 D8 B9A10D11C12 D13、2x +3 14、(-∞,1)∪(2,+∞)15、(3,5) 16、1<a <5417(1)=lg 1100÷110=-2÷110=-20 ……5分(2)将两边平方得a +a -1+2=9即a +a -1=7.将a +a -1=7两边平方有a 2+a -2+2=49,得a 2+a -2=47,∴a 2+a -2+1a +a -1+1=47+17+1=6. ……5分 18解:A ={-3,2}.……2分对于x 2+x +a =0,①当Δ=1-4a <0,即a >14时,B =,成立;……3分②当Δ=1-4a =0,即a =14时,B =⎩⎨⎧⎭⎬⎫-12,不成立;……3分 ③当Δ=1-4a >0,即a <14时,若成立,则B ={-3,2},∴a =-3×2=-6. ……3分综上,a 的取值范围为⎩⎪⎨⎪⎧⎭⎪⎬⎪⎫a ⎪⎪⎪ a >14或a =-6. ……1分 19解:(1)由题意有f (-1)=a -b +1=0,且-b 2a =-1,∴a =1,b =2.∴f (x )=x 2+2x +1,……4分单调减区间为(-∞,-1],单调增区间为[-1,+∞).……2分(2)f (x )>x +k 在区间[-3,1]上恒成立,转化为x 2+x +1>k 在[-3,1]上恒成立.设g (x )=x 2+x +1,x ∈[-3,1],……4分∴g (x )min =.∴ ……2分20解:(1)对区间[t ,t +1](t ∈R )与对称轴x =2的位置关系进行讨论:①当t +1<2,即t <1时,函数f (x )在区间[t ,t +1]上递增,此时g (t )=f (t +1)=-t 2+2t +2;②当t ≤2≤t +1,即1≤t ≤2时,函数f (x )在区间[t ,t +1]上先增后减,此时g (t )=f (2)=3;③当t >2时,函数f (x )在区间[t ,t +1]上递减,此时g (t )=f (t )=-t 2+4t -1.综上,g (t )=⎩⎪⎨⎪⎧ -t 2+2t +2,t <1,3,1≤t ≤2,-t 2+4t -1,t >2.……7分 (2) 分段求最大值得g (t )的最大值是3. ……5分21解:(1)由于f (-x )=-f (x ), 即log 2(-x +1)+t log 2(1+x )=-[log 2(x +1)+t log 2(1-x )],所以log 2(1-x )+log 2(1+x )+t [log 2(1-x )+log 2(1+x )]=0, 所以(1+t )[log 2(1-x )+log 2(1+x )]=0.(*)欲使(*)在定义域内恒成立,必须有1+t =0,即t =-1,故f (x )=log 2(x +1)-log 2(1-x ).……6分(2)证明:因为-1<x <1时,f (x )=log 2(x +1)-log 2(1-x )=log 21+x 1-x ,所以f (a )+f (b )=log 21+a 1-a +log 21+b 1-b=,又因为=, 所以f (a )+f (b )=f ⎝ ⎛⎭⎪⎫a +b 1+ab . ……6分 22解:(1)因为函数的定义域为R ,所以关于原点对称.又因为f (-x )=a a 2-1(a -x -a x )=-f (x ),所以f (x )为奇函数. ……4分(2)当a >1时,a 2-1>0,y =a x 为增函数,y =a -x 为减函数,从而y =a x -a -x 为增函数,所以f (x )为增函数,当0<a<1时,a2-1<0,y=a x为减函数,y=a-x为增函数,从而y=a x-a-x为减函数,所以f(x)为增函数.故当a>0,且a≠1时,f(x)在定义域内单调递增.……4分(3)由(2)知f(x)在R上是增函数,所以在区间[-1,1]上为增函数,所以f(-1)≤f(x)≤f(1),所以f(x)min=f(-1)=aa2-1(a-1-a)=aa2-1·1-a2a=-1,所以要使f(x)≥b在[-1,1]上恒成立,则只需b≤-1,故b的取值范围是(-∞,-1].……4分沁园春·雪<毛泽东>北国风光,千里冰封,万里雪飘。
黑龙江省哈尔滨市2016-2017学年高一数学上学期期中试题一、选择题:(本大题共12小题,每小题5分,共60分.在每小题给出的四个选项中,只有一项是符合题目要求的)1.已知全集U ={0,1,2,3,4},M ={0,1,2},N ={2,3},则(C u M )∩N =A .{}4,3,2B .{}2C .{}3D .{}4,3,2,1,02.下列四个集合中,是空集的是( )A . }33|{=+x xB . },,|),{(22R y x x y y x ∈-=C . }0|{2≤x xD . },01|{2R x x x x ∈=+-3.下面有四个命题:(1)集合N 中最小的数是1;(2)若a -不属于N ,则a 属于N ;(3)若,,N b N a ∈∈则b a +的最小值为2;(4)x x 212=+的解可表示为{}1,1;其中正确命题的个数为( )A . 0个B . 1个C . 2个D . 3个4.下列表示错误的是 (A )0∉Φ (B ){}12Φ⊆,(C ){}{}21035(,)3,4x y x y x y +=-== (D )若,A B ⊆则A B A ⋂=5.下列函数中,在区间()0,1上是增函数的是( )A . x y =B . x y -=3C . x y 1=D . 42+-=x y6.设集合{}02M x x =≤≤,{}02N y y =≤≤,给出如下四个图形,其中能表示从集合M 到集合N 的函数关系的是A BC D7.判断下列各组中的两个函数是同一函数的为( )⑴3)5)(3(1+-+=x x x y ,52-=x y ;⑵111-+=x x y ,)1)(1(2-+=x x y ; ⑶x x f =)(,2)(x x g =; ⑷()f x =()F x =;⑸21)52()(-=x x f ,52)(2-=x x f . A . ⑴、⑵ B . ⑵、⑶ C . ⑷ D . ⑶、⑸8.若函数y = f (x )的定义域为[]1,2,则(1)y f x =+的定义域为A .[]2,3B .[]0,1C .[]1,0-D .[]3,2--9.设()()f x x R ∈为偶函数,且()f x 在[)0,+∞上是增函数,则(2)f -、()f π-、(3)f 的大小顺序是A .()(3)(2)f f f π->>-B .()(2)(3)f f f π->->C .()(2)f f f π-<(3)<-D .()(2)(3)f f f π-<-<10. 二次函数])5,0[(4)(2∈-=x xx x f 的值域为 A.),4[+∞- B.]5,0[C.]5,4[-D.]0,4[- 11. 若函数2()(32)f x k k x b =-++在R 上是减函数,则k 的取值范围为( )A (1,3)B (1,2)C (2,3)D (3,4)12.若函数()f x 为定义在R 上的奇函数,且在(0,)+∞内是增函数,又(2)f 0=,则不等式0)(<x xf 的解集为A .(2,0)(2,)-+∞ B .(,2)(0,2)-∞- C .(,2)(2,)-∞-+∞ D .)2,0()0,2( -二.填空题(共4题,每题5分,共20分)13.计算4________=14. 若集合{}|37A x x =≤<,{}|210B x x =<<,则AB =_____________. 15. 函数422--=x x y 的定义域 . 16. 已知22(1)()(12)2(2)x x f x x x x x +≤-⎧⎪=-<<⎨⎪≥⎩,若()3f x =,则x 的值是三.解答题(共6题,共70分)17.(本题满分10分)已知全集{}{}{}21,2,23,|2|,2,0U U a a A a C A =+-=-=,求a 的值.18.已知全集R U =,集合{}1,4>-<=x x x A 或,{}213≤-≤-=x x B ,求B A 、)()(B C A C U U ;19.集合{}42<<=X X A ,集合{}123+<<=K X X M ,若集合M 是集合A 的子集,求实数k 的取值范围.20.若函数f (x )在区间(-1,2)上是减函数,求使f (1+x )<f(2x-1)成立的x 的取值范围21.不用计算器求下列各式的值。
2016-2017学年黑龙江省哈尔滨三中高三(上)期中数学试卷(文科)一、选择题(本大题共12小题,每小题5分,共60分.在每小题给出的四个选项中,只有一项是符合题目要求的)1.(5分)sin15°+cos15°的值为()A.B.C.D.2.(5分)已知向量=(2,3),,若⊥,则实数x的值是()A.B.C.D.3.(5分)设A,B是两个集合,则“A∪B=A”是“A⊇B”的()A.充分不必要条件 B.必要不充分条件C.充要条件D.既不充分也不必要条件4.(5分)若等差数列{a n}满足a1+a7+a13=π,则tana7的值为()A.B.C.D.5.(5分)将函数的图象向右平移个单位长度后,所得图象的一条对称轴方程可以是()A.B.C.D.6.(5分)在边长为4的菱形ABCD中,∠BAD=60°,E为CD的中点,则•=()A.4 B.8 C.﹣6 D.﹣47.(5分)在△ABC中,内角A,B,C的对边边长分别是a,b,c,已知a=2bcosC,则△ABC的形状为()A.锐角三角形B.等边三角形C.等腰三角形D.直角三角形8.(5分)设P为△ABC所在平面内一点,且2+2+=,则△PAC的面积与△ABC的面积之比等于()A.B.C.D.不确定9.(5分)函数f(x)=的零点个数为()A.1个 B.2个 C.3个 D.4个10.(5分)已知,且,则cosβ=()A.B.C.D.11.(5分)在△ABC中,()⊥,则角A的最大值为()A.B.C.D.12.(5分)已知O是锐角△ABC的外接圆的圆心,且∠A=,若+=2m,则m=()A.B.C.D.二、填空题(本大题共4小题,每小题5分,共20分.将答案填在答题卡相应的位置上)13.(5分)已知向量=(1,2),=(1,1),则在方向上的投影为.14.(5分)已知tan(+θ)=3,则sin2θ﹣2cos2θ的值为.15.(5分)已知x>0,y>0,x+y+xy=8,则x+y的最小值是.16.(5分)设△ABC中,角A,B,C的对边分别为a、b、c,且2sinA=sinB+sinC,a=2,则△ABC面积的最大值为.三、解答题(本大题共5小题,共70分,解答应写出文字说明,证明过程或演算步骤.)17.(12分)在△ABC中,内角A,B,C所对的边分别为a,b,c,已知向量=(2a,1),=(2b﹣c,cosC),且∥.(Ⅰ)求角A的大小;(Ⅱ)若,求b+c的取值范围.18.(12分)若向量=,=(sinωx,0),其中ω>0,记函数f(x)=(+)•﹣.若函数f(x)的图象与直线y=m(m为常数)相切,并且切点的横坐标依次成公差是π的等差数列.(Ⅰ)求f(x)的表达式及m的值;(Ⅱ)将f(x)的图象向左平移个单位,再将得到的图象上各点的纵坐标变为原来的2倍(横坐标不变)后得到y=g(x)的图象,求y=g(x)在上的值域.19.(12分)在△ABC中,内角A,B,C所对的边分别为a,b,c,已知,,.(Ⅰ)求b和c;(Ⅱ)求sin(A﹣B)的值.20.(12分)已知函数f(x)=log3(9x+1)+mx为偶函数,g(x)=为奇函数.(Ⅰ)求m﹣n的值;(Ⅱ)若函数y=f(x)与的图象有且只有一个交点,求实数a的取值范围.21.(12分)已知函数f(x)=lnx﹣a(x﹣1),其中a为实数.(Ⅰ)讨论并求出f(x)的极值;(Ⅱ)若x≥1时,不等式f(x)≤a(x﹣1)2恒成立,求a的取值范围.请考生在第22、23二题中任选一题作答,如果多做,则按所做的第一题记分.22.(10分)在平面直角坐标系xoy中,已知曲线C的参数方程为(α为参数).以直角坐标系原点O为极点,x轴的正半轴为极轴建立极坐标系,直线l的极坐标方程为ρcos(θ﹣)=2(Ⅰ)求直线l的直角坐标方程;(Ⅱ)点P为曲线C上的动点,求点P到直线l距离的最大值.23.已知a,b,c均为正数.(Ⅰ)求证:a2+b2+()2≥4;(Ⅱ)若a+4b+9c=1,求证:≥100.2016-2017学年黑龙江省哈尔滨三中高三(上)期中数学试卷(文科)参考答案与试题解析一、选择题(本大题共12小题,每小题5分,共60分.在每小题给出的四个选项中,只有一项是符合题目要求的)1.(5分)sin15°+cos15°的值为()A.B.C.D.【解答】解:sin15°+cos15°=(sin15°+cos15°)=(sin15°cos45°+cos15°sin45°)=sin(15°+45°)=sin60°=×=.故选:C.2.(5分)已知向量=(2,3),,若⊥,则实数x的值是()A.B.C.D.【解答】解:∵向量=(2,3),,由⊥,得2x+3=0,解得:.故选:B.3.(5分)设A,B是两个集合,则“A∪B=A”是“A⊇B”的()A.充分不必要条件 B.必要不充分条件C.充要条件D.既不充分也不必要条件【解答】解:若A∪B=A,则B⊆A,反之若B⊆A,则A∪B=A成立,即A∪B=A”是“B⊆A”的充要条件,故选:C.4.(5分)若等差数列{a n}满足a1+a7+a13=π,则tana7的值为()A.B.C.D.【解答】解:由等差数列{a n}的性质可得:a1+a7+a13=π=3a7,∴a7=.则tana7==.故选:D.5.(5分)将函数的图象向右平移个单位长度后,所得图象的一条对称轴方程可以是()A.B.C.D.【解答】解:将函数y=cos(2x﹣)图象向右平移个单位,所得函数图象对应的函数的解析式为y=cos[2(x﹣)﹣]=cos(2x﹣),令2x﹣=kπ,k∈Z,解得:x=+,k∈Z,当x=0时,可得所得函数图象的一条对称轴的方程是x=.故选:A.6.(5分)在边长为4的菱形ABCD中,∠BAD=60°,E为CD的中点,则•=()A.4 B.8 C.﹣6 D.﹣4【解答】解:如图,根据条件:∠ADC=120°,;且,;∴==16﹣4﹣8=4.故选:A.7.(5分)在△ABC中,内角A,B,C的对边边长分别是a,b,c,已知a=2bcosC,则△ABC的形状为()A.锐角三角形B.等边三角形C.等腰三角形D.直角三角形【解答】解:∵在△ABC中,cosC=,∴a=2bcosC=2b•∴a2=a2+b2﹣c2,∴b2=c2,∴b=c.∴△ABC为等腰三角形.故选:C.8.(5分)设P为△ABC所在平面内一点,且2+2+=,则△PAC的面积与△ABC的面积之比等于()A.B.C.D.不确定【解答】解:∵2+2+=,∴﹣=+=,则D在AC上,且AD:CD=1:2,故PD:BD=2:5,即以AC为底时,△PAC的高是△ABC的,即△PAC的面积与△ABC的面积之比等于,故选:B.9.(5分)函数f(x)=的零点个数为()A.1个 B.2个 C.3个 D.4个【解答】解:方程|lgx|=1,(x>0)有两个根10、;方程x2﹣2|x|+=0 (x<0)⇒x2+2x+=0 (x<0)⇒x=<0,故有4个根,所以函数有4个零点,故选:D.10.(5分)已知,且,则cosβ=()A.B.C.D.【解答】解:∵已知,且,∴sinα==,sin(α+β)==,∴cosβ=cos[(α+β)﹣α]=cos(α+β)cosα+sin(α+β)sinα=•(﹣)+•=,故选:D.11.(5分)在△ABC中,()⊥,则角A的最大值为()A.B.C.D.【解答】解:在△ABC中,由于()⊥,则()•=()•()=0,即﹣4+3=0,即c2﹣4bc•cosA+3b2=0.解得cosA==()≥,当且仅当时,即c= b 时,等号成立.故cosA的最小值为,故A的最大值为,故选:A.12.(5分)已知O是锐角△ABC的外接圆的圆心,且∠A=,若+=2m,则m=()A.B.C.D.【解答】解:取AB中点D,则有=+,代入已知式子可得+=2m(+),由⊥,可得•=0,∴两边同乘,化简得:2+•=2m(+)•=2m•=m2,即c2+bc•cosA=mc2,由正弦定理化简可得sin2C+sinBsinC•cosA=sin2C,由sinC≠0,两边同时除以sinC得:cosB+cosAcosC=msinC,∴m===sinA=sin =故选:B.二、填空题(本大题共4小题,每小题5分,共20分.将答案填在答题卡相应的位置上)13.(5分)已知向量=(1,2),=(1,1),则在方向上的投影为.【解答】解:向量=(1,2),=(1,1),∴•=1×1+2×1=3,||==;∴在方向上的投影为:||cos<,>===.故答案为:.14.(5分)已知tan(+θ)=3,则sin2θ﹣2cos2θ的值为.【解答】解:由,得,解得.所以=.故答案为:﹣15.(5分)已知x>0,y>0,x+y+xy=8,则x+y的最小值是4.【解答】解:∵x>0,y>0,且x+y+xy=8,∴x+y=8﹣xy≥8﹣,即(x+y)2+4(x+y)﹣32≥0,∴x+y≤﹣8或x+y≥4,∵x>0,y>0,∴x+y≥4,当且仅当x=y,即x=y=2时取“=”,∴x+y的最小值是4.故答案为:4.16.(5分)设△ABC中,角A,B,C的对边分别为a、b、c,且2sinA=sinB+sinC,a=2,则△ABC面积的最大值为.【解答】解:∵2sinA=sinB+sinC,a=2,∴由正弦定理可得:2a=b+c=4,可得:bc≤4.∴两边平方可得:b2+c2+2bc=16,解得:b2+c2=16﹣2bc,∴由余弦定理a2=b2+c2﹣2bccosA,可得:22=b2+c2﹣2bccosA=16﹣2bc﹣2bccosA,∴解得:bc=≤4,可得:cosA≥,解得:A∈(0,],∴sinA∈(0,]=bcsinA≤=.∴S△ABC故答案为:.三、解答题(本大题共5小题,共70分,解答应写出文字说明,证明过程或演算步骤.)17.(12分)在△ABC中,内角A,B,C所对的边分别为a,b,c,已知向量=(2a,1),=(2b﹣c,cosC),且∥.(Ⅰ)求角A的大小;(Ⅱ)若,求b+c的取值范围.【解答】解:(Ⅰ)向量=(2a,1),=(2b﹣c,cosC),且∥;∴2acosC﹣(2b﹣c)=0,即2acosC=2b﹣c;由正弦定理得,2sinAcosC=2sinB﹣sinC,即2sinAcosC=2sin(A+C)﹣sinC,∴2sinAcosC=2sinAcosC+2cosAsinC﹣sinC,化简得2cosAsinC=sinC,即cosA=;又A∈(0,π),∴A=;(Ⅱ)△ABC中,A=,a=,设△ABC外接圆的直径为2r,由正弦定理得2r===2,∴b+c=2sinB+2sinC=2[sin(120°﹣C)+sinC]=4sin60°cos(60°﹣C)=2cos(60°﹣C);∵﹣60°<60°﹣C<60°,∴1≥cos(60°﹣C)>,∴2≥2cos(60°﹣C)>,即b+c的取值范围是(,2].18.(12分)若向量=,=(sinωx,0),其中ω>0,记函数f(x)=(+)•﹣.若函数f(x)的图象与直线y=m(m为常数)相切,并且切点的横坐标依次成公差是π的等差数列.(Ⅰ)求f(x)的表达式及m的值;(Ⅱ)将f(x)的图象向左平移个单位,再将得到的图象上各点的纵坐标变为原来的2倍(横坐标不变)后得到y=g(x)的图象,求y=g(x)在上的值域.【解答】解:(Ⅰ)∵向量=,=(sinωx,0),∴函数f(x)=(+)•﹣=+﹣=+sin2ωx﹣=sin2ωx﹣cos2ωx=sin(2ωx),∵函数f(x)的图象与直线y=m(m为常数)相切时,切点的横坐标依次成公差是π的等差数列.故T=π,m=±1,即2ω=2,ω=1,∴,m=±1(Ⅱ)将f(x)的图象向左平移个单位,可得的图象,再将得到的图象上各点的纵坐标变为原来的2倍(横坐标不变)后得到y=g(x)=的图象,当x∈时,∈,故当=即x=时,函数最最大值2,当=即x=时,函数最最小值﹣1,故y=g(x)在上的值域为:[﹣1,2]19.(12分)在△ABC中,内角A,B,C所对的边分别为a,b,c,已知,,.(Ⅰ)求b和c;(Ⅱ)求sin(A﹣B)的值.【解答】解:(Ⅰ)∵在△ABC中,cos2A=1﹣2sin2A=﹣,解得:sinA=,∵,可得:bccosA=﹣1<0,可得:cosA=﹣=﹣,解得:bc=3,①又∵,由余弦定理a2=b2+c2﹣2bccosA,可得8=b2+c2+2,∴解得:b2+c2=6,可得:(b+c)2﹣2bc=(b+c)2﹣6=6,解得:b+c=2,②∴联立①②解得:b=c=.(Ⅱ)∵,b=c=,sinA=,∴sinB==,cosB==,∴sin(A﹣B)=sinAcosB﹣cosAsinB=﹣(﹣)×=.20.(12分)已知函数f(x)=log3(9x+1)+mx为偶函数,g(x)=为奇函数.(Ⅰ)求m﹣n的值;(Ⅱ)若函数y=f(x)与的图象有且只有一个交点,求实数a的取值范围.【解答】解:(Ⅰ)∵函数f(x)=log3(9x+1)+mx为偶函数,∴f(﹣x)=f(x),则log3(9﹣x+1)﹣mx=log3(9x+1)+mx,即2mx=log3(9﹣x+1)﹣log3(9x+1)又右边=log3﹣log3(9x+1)=log39﹣x=log33﹣2x=﹣2x,∴2mx=﹣2x,解得m=﹣1,∵g(x)=为奇函数.∴g(0)=0,则g(0)==0,解得n=﹣1,∴m﹣n=0,即m﹣n的值0;(Ⅱ)由(Ⅰ)知:f(x)=log3(9x+1)﹣x,g(x)=,则=log3(+﹣4)+log3a=log3(3x﹣4)+log3a=log3(3x﹣4)a,∴y=log3(3x﹣4)a,且(a>0,3x>4)即f(x)=log3(9x+1)﹣x与y=log3(3x﹣4)a的图象有且只有一个交点,∴log3(9x+1)﹣x=log3(3x﹣4)a有且仅有一个解,∵log3(9x+1)﹣x=log3(9x+1)﹣log33x=,∴3x+=(3x﹣4)a有且仅有一解,设t=3x,t>4,代入上式得,,则a==,令y=,则y′==,∵函数y=﹣2t2﹣t+2在(4,+∞)上递减,且y<0,∴y′<0,则函数y=在(4,+∞)上递减,∴函数y=在(4,+∞)上的值域是(1,+∞),故实数a的取值范围是a>0.21.(12分)已知函数f(x)=lnx﹣a(x﹣1),其中a为实数.(Ⅰ)讨论并求出f(x)的极值;(Ⅱ)若x≥1时,不等式f(x)≤a(x﹣1)2恒成立,求a的取值范围.【解答】解:(Ⅰ)∵函数f(x)=lnx﹣a(x﹣1),其中a为实数,∴x>0,﹣a∴当a≤0时,无解,∴f(x)没有极值;当a>0时,由得x=,当x∈(0,),f′(x)>0;x∈(),f′(x)<0,∴f(x)有极大值,没有极小值.(Ⅱ)设g(x)=a(x﹣1)2﹣f(x)=ax2﹣ax﹣lnx,则=,∵x≥1时,不等式f(x)≤a(x﹣1)2恒成立,∴x≥1时,a≥1,g′(x)=≥0,g(x)≥g(1)=0恒成立;a<1时,g(x)≥0不恒成立.综上可得a的取值范围时[1,+∞).请考生在第22、23二题中任选一题作答,如果多做,则按所做的第一题记分.22.(10分)在平面直角坐标系xoy中,已知曲线C的参数方程为(α为参数).以直角坐标系原点O为极点,x轴的正半轴为极轴建立极坐标系,直线l的极坐标方程为ρcos(θ﹣)=2(Ⅰ)求直线l的直角坐标方程;(Ⅱ)点P为曲线C上的动点,求点P到直线l距离的最大值.【解答】解:(Ⅰ)∵直线l的极坐标方程为ρcos(θ﹣)=2,即ρcosθ+ρsinθ=4,化为直角坐标方程为x+y﹣4=0.(Ⅱ)设点P(2cosα,sinα),点P到直线l距离d==,其中,sinβ=,cosβ=.故当sin(α+β)=﹣1时,d取得最大值为=+2.23.已知a,b,c均为正数.(Ⅰ)求证:a2+b2+()2≥4;(Ⅱ)若a +4b +9c=1,求证:≥100.【解答】证明:(Ⅰ)∵a ,b 均为正数, ∴a 2+b 2≥2ab ,≥, ∴a 2+b 2+≥2ab +, ∴a 2+b 2+()2≥2ab +≥4,当且仅当a=b=时,等号成立.(Ⅱ)∵a +4b +9c=1,∴=(a +4b +9c )()=9+16+9+++≥34+24+18+24=100,当且仅当a=3b=9c 时等号成立.赠送—高中数学知识点【2.1.1】指数与指数幂的运算 (1)根式的概念①如果,,,1nx a a R x R n =∈∈>,且n N +∈,那么x 叫做a 的n 次方根.当n 是奇数时,a 的n n a n 是偶数时,正数a 的正的n n a 表示,负的n 次方根用符号n a -0的n 次方根是0;负数a 没有n 次方根.n a n 叫做根指数,a 叫做被开方数.当n 为奇数时,a 为任意实数;当n 为偶数时,0a ≥.③根式的性质:()n n a a =;当n 为奇数时,nn a a =;当n 为偶数时,(0)|| (0)nn a a a a a a ≥⎧==⎨-<⎩. (2)分数指数幂的概念①正数的正分数指数幂的意义是:(0,,,m nm na a a m n N +=>∈且1)n >.0的正分数指数幂等于0.②正数的负分数指数幂的意义是: 1()0,,,m m n n aa m n N a -+==>∈且1)n >.0的负分数指数幂没有意义. 注意口诀:底数取倒数,指数取相反数.(3)分数指数幂的运算性质①(0,,)r s r s a a a a r s R +⋅=>∈ ②()(0,,)r s rs a a a r s R =>∈ ③()(0,0,)r r r ab a b a b r R =>>∈【2.1.2】指数函数及其性质〖2.2〗对数函数【2.2.1】对数与对数运算(1)对数的定义①若(0,1)xa N a a =>≠且,则x 叫做以a 为底N 的对数,记作log a x N =,其中a 叫做底数,N 叫做真数.②负数和零没有对数.③对数式与指数式的互化:log (0,1,0)x a x N a N a a N =⇔=>≠>. (2)几个重要的对数恒等式log 10a =,log 1a a =,log b a a b =.(3)常用对数与自然对数常用对数:lg N ,即10log N ;自然对数:ln N ,即log e N (其中 2.71828e =…). (4)对数的运算性质 如果0,1,0,0a a M N >≠>>,那么①加法:log log log ()a a a M N MN += ②减法:log log log a a a MM N N-= ③数乘:log log ()n a a n M M n R =∈ ④log a Na N =⑤log log (0,)b n a a nM M b n R b=≠∈ ⑥换底公式:log log (0,1)log b a b NN b b a=>≠且【2.2.2】对数函数及其性质。
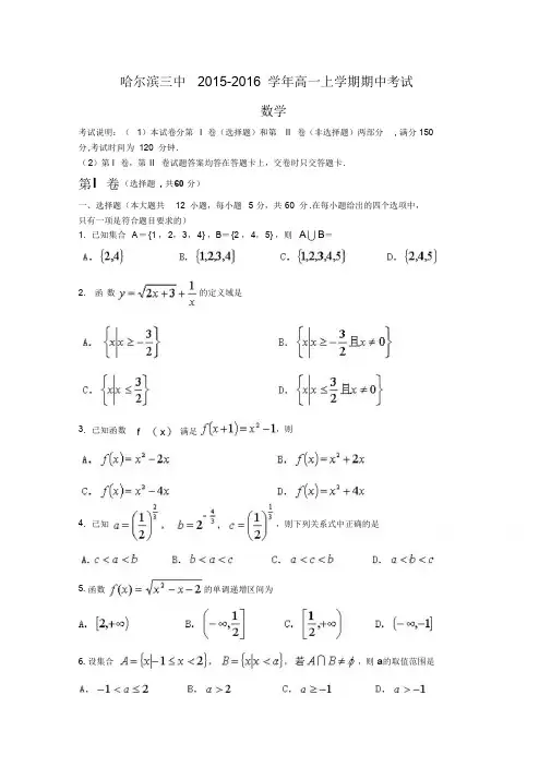
哈尔滨三中2015-2016 学年高一上学期期中考试数学考试说明:(1)本试卷分第I 卷(选择题)和第II 卷(非选择题)两部分, 满分150 分,考试时间为120 分钟.(2)第I 卷,第II 卷试题答案均答在答题卡上,交卷时只交答题卡.第I 卷(选择题, 共60 分)一、选择题(本大题共12 小题,每小题 5 分,共60 分.在每小题给出的四个选项中,只有一项是符合题目要求的)1.已知集合 A ={1 ,2,3,4} ,B={2 ,4,5} ,则 A B=2.函数的定义域是3.已知函数 f (x)满足,则4.已知,则下列关系式中正确的是5. 函数的单调递增区间为6. 设集合,则a的取值范围是7. 若函数的图像恒在x轴上方,则a的取值范围是8. 下列函数是偶函数且值域为的是A .①②B .②③C.①④.③④9. 如图所示的韦恩图中, A ,B 是非空集合,定义集合 A ⊙B为阴影部分表示的集合.若,,则A⊙B=10. 二次函数与指数函数的图象可以是11. 已知函数 f (x)是定义在R上的偶函数,且在上单调递增,若,则不等式解集为12. 设 f (x)是定义在的函数,对任意正实数x,,且,则使得的最小实数x为A .172 B. 415 C. 557 D. 89第Ⅱ卷(非选择题, 共90 分)二、填空题(本大题共4 小题,每小题 5 分,共20 分.将答案填在答题卡相应的位置上)13. 化简:的结果是.14. 已知函数 f (x)为R上的奇函数,且x ≥0 时,,则当x <0时,f (x)=____.15. 若函数是上的减函数,则实数a的取值范围是.16. 下列四个说法:(1)y =x +1与是相同的函数;(2)若函数 f (x)的定义域为[-1,1-,则 f (x +1)的定义域为[0,2];(3)函数 f (x)在[0,+)时是增函数,在(-,0)时也是增函数,所以 f (x)是(-,+ )上的增函数;(4)函数在区间[3,+ )上单调递减.其中正确的说法是(填序号).三、解答题(本大题共6 小题,共70 分.解答应写出文字说明、证明过程或演算步骤)17.(10分)已知集合(Ⅰ)求 A C ;(Ⅱ)求.18.(12 分)用单调性定义证明函数在区间上是减函数.19.(12 分)已知函数,求(Ⅰ)的值;(Ⅱ)若 f (a) >2,则a的取值范围.20.(12 分)要建造一个容量为1200m3,深为6m 的长方体无盖蓄水池,池壁的造2 2价为95元/ m ,池底的造价为135元/m ,求当水池的长在什么范围时,才能使水池的总造价不超过61200 元(规定长大于等于宽).21.(12分)设是方程x2 -2mx + 4m2 -4m+1=0的两个不等实根,(Ⅰ)将表示为m的函数g(m),并求其定义域;(Ⅱ)设,求 f (m)的值域.22.(12 分)已知函数,定义域为R ;函数,定义域为[-1,1].(Ⅰ)判断函数 f (x)的单调性(不必证明)并证明其奇偶性;(Ⅱ)若方程g(x) =t有解,求实数t的取值范围;(Ⅲ) 若不等式对一切恒成立,求m 的取值范围.一、选择题哈三中2015—2016 学年度上学期高一数学答案1 2 3 4 5 6 7 8 9 10 11 12C B A B AD D AD C C B二、填空题13. 4 a 14. x2 x15. 2,0 16. (4)17. A C, 2 0, , C R A B 2 ,1 318. 在1, 内任取x1 , x2 且x1 x2 , f x1 f x2x2 x1,x1 1 x2 11 x1x2 ,x2 x10, x1 1 0, x2 1 0 , f x1 f x2 0 ,f x1 f x2,证得 f x 在1, 上为单调递减函数1 19.(I)f 15 ,f f 1 f 3 5 f 2 2 2 8 4(II )由已知可得不等式等价于a 0 0 a 1或或3a 5 2 a 5 2a 12a 8 2即 1 a 0 或0 a 1或1 a 3 ,即 1 a 320. 设池底的长为x 米,泳池的造价为y 元由题意可得y 135 (1200 6) 95 2 x 22001200 6 x 6 ,x 10 20又由y 61200 可得x 30 0 ,解得x10 x 20 ,x2 2 x x 222答:水池长在 10,10 20 米范围内,满足题意21. ( I )对于 x22 m x 4m24m 10 ,0 得 m1,1 3g m 12x 1 22x 1x 2 4m28m 2 ,其定义域为1 ,13( II ) f mm 24 m28m 31 834m m2令 t1 m1,3 则 f m1 3t28t则 f m 4的值域为- ,1 4 , 7322. ( I ) fx 在 R 上单调递增因为 fx2x2xf x 所以 f x 为奇函数( II )可知 t 的范围与 g x 的值域相同g x2 2x2令 t 2 x1,2 2, 则 g x t2t 的值域为 0,1( III )由 f g xf 3am m 210 得 f g xf 3am m21由( I )得 f g xf3am m21 , g x3am m 1对一切 x 1,1 ,a2,2恒成立,则g xm a x3am m 21 m in , 设 h a3am m 2 1 ,则 h a1 对一切a2,2 恒成立若 m0 则恒成立若 m0 则h 2 1得 mh 21, 6 6,综上所述 m , 6 6, 0x2。
哈三中2016---2017学年度上学期高一学年第一模块数学考试答案一.选择题1.C 2.B 3.A 4.B 5.B 6.C 7.D 8.A 9.D 10.C 11.B 12.A二.填空题13. 2 14. 45 15. )3,0( 16. 261+ 三.解答题 17. 因为111222()27x xx x --+=+-=-------5分 所以331112222()()18x x x x x x ---+=++=---10分18.(1)当B φ=时,2m <;------------------2分当B φ≠时,32≤≤m ---------------------5分所以:3≤m -----------------------------------6分(2)当B φ= 时,2m <;------------------8分当B φ≠时, 4m >-------------------------11分所以:2<m 或4>m ------------------------12分19.(1)用1x替换原式中的x , 解得: x x x f 2)(-= ----------------6分(2)单调递减,证明略.---------------------12分20.(I )1=a -----------------------------------4分(II )计算得 ,对于任意x ,)()1(x g x g =-----8分所以:(3)(2),(2)(1),(1)(0)g g g g g g =-=-=所以:(3)(2)(1)(0)(1)(2)0g g g g g g ++-----=---12分21.(I )[]21()2,1,2f x t t t x=+=∈, 计算得值域为]8,3[----------------------------6分(II )化简得442(22)x x x x m --=+++----8分设22222(22)22xxx x t --=+=-+≥ 所以2(1)36m t =+-≥即:6≥m --------------------------------12分22.(I )令1x y ==得1)1(=f ,----------------1分当1x >时,()(1)(1)0()(1)f x f f x f x f --=>+----3分 整理得[]()()10f x f x -<所以0()1f x <<--------------------------------4分(II )单调递减------------------------------------5分证明:任取120x x <<,则210x x -> 所以212121()()()0()()f x f x f x x f x f x --=>-------7分 且12()0,()0f x f x >>所以12()()f x f x >,所以在()0,+∞单调递减---8分(III )任意1,,2,()()2s t f x g t ⎡⎤∈≥⎢⎥⎣⎦,只需2211(2)(1)722f mt m t m =≥+--+ 即对于任意1,22t ⎡⎤∈⎢⎥⎣⎦,22(1)70mt m t m +--≤恒成立-----9分 设22()(1)7P t mt m t m =+--①当0m =时,成立-----------------------------------------------------10分②当0m >时,1()0022(2)0P m P ⎧≤⎪⇒<≤⎨⎪≤⎩--------------------------11分 ③当0m <时,2122(2)0m m m P φ⎧--≥⎪⇒∈⎨⎪≤⎩或者2112774522041()02m m m P ⎧--≤⎪-⎪⇒≤<⎨⎪≤⎪⎩ 或者⎪⎪⎩⎪⎪⎨⎧≤--≤≤--221210)21(22m m m m P 无解 综上:2474527≤≤-m --------------------------------------12分。
2016-2017学年黑龙江省哈尔滨市四校联考高一(上)期中数学试卷一、选择题(本大题共12小题,每小题5分,共60分)1.(5分)设集合A={x|(x﹣1)(x﹣2)2=0},则集合A中元素的个数为()A.1个B.2个C.3个D.4个2.(5分)集合A={x|x<﹣1或x>2},B={x|0≤x≤2},则A∩(C R B)=()A.{x|x<2} B.{x|x<﹣1或x≥2}C.{x|x≥2} D.{x|x<﹣1或x>2}3.(5分)在映射f:A→B中,A=B={(x,y)|x,y∈R},且f:(x,y)→(x﹣y,x+y),则与A中的元素(﹣1,2)对应的B中的元素为()A.(﹣3,1)B.(1,3)C.(﹣1,﹣3)D.(3,1)4.(5分)若a=20.5,b=log43,c=log20.2,则()A.a>b>c B.b>a>c C.c>a>b D.b>c>a5.(5分)F(x)=(x3﹣2x)f(x)(x≠0)是奇函数,且f(x)不恒等于零,则f(x)为()A.奇函数B.偶函数C.奇函数或偶函数D.非奇非偶函数6.(5分)已知幂函数f(x)=x,若f(a+1)<f(10﹣2a),则a的取值范围是()A.[﹣1,3)B.(﹣∞,5)C.(3,5)D.(3,+∞)7.(5分)若3x=a,5x=b,则45x等于()A.a2b B.ab2C.a2+b D.a2+b28.(5分)若函数f(x)=a﹣x(a>0且a≠1)在(﹣∞,+∞)上是减函数,则g(x)=log a (x﹣1)的大致图象是()A. B. C. D.9.(5分)若函数f(x)=x2+4x+6,则f(x)在[﹣3,0)上的值域为()A.[2,6]B.[2,6)C.[2,3]D.[3,6]10.(5分)已知函数f(x)=3log a(4x﹣7)+2(a>0且a≠1)过定点P,则P点坐标()A.(1,2)B.(,2)C.(2,2)D.(3,2)11.(5分)已知函数f(x)是定义在R上的偶函数,且在[0,+∞)上单调递增,若f(﹣1)=0,则不等式f(2x﹣1)>0解集为()A.(﹣∞,0)∪(1,+∞)B.(﹣6,0)∪(1,3)C.(﹣∞,1)∪(3,+∞)D.(﹣∞,﹣1)∪(3,+∞)12.(5分)函数f(x)=log(x2﹣9)的单调递增区间为()A.(0,+∞)B.(﹣∞,0)C.(3,+∞)D.(﹣∞,﹣3)二、填空题:(本大题共4小题,每小题5分,共20分)13.(5分)已知集合A={﹣1,a},B={3a,b},若A∪B={﹣1,0,1},则a=.14.(5分)已知函数f(x)=,则f(3)的值为.15.(5分)若幂函数y=(m2﹣2m﹣2)x﹣4m﹣2在x∈(0,+∞)上为减函数,则实数m的值是.16.(5分)函数f(x)=的定义域是.三、解答题(本大题共6小题,共70分,解答时写出必要的文字说明,证明过程或解题步骤)17.(10分)设集合A={x|x2+ax﹣12=0},B={x|x2+bx+c=0},且A≠B,A∪B={﹣3,4},A∩B={﹣3},求实数b,c的值.18.(12分)已知全集U=R,集合A={x|﹣7≤2x﹣1≤7},B={x|m﹣1≤x≤3m﹣2}.若A∩B=B,求实数m的取值范围.19.(12分)已知f(x)=1﹣.(1)求证:f(x)是定义域内的增函数;(2)当x∈[0,1]时,求f(x)的值域.20.(12分)已知函数f(x)是奇函数,且定义域为(﹣∞,0)∪(0,+∞).若x<0时,f(x)=﹣x﹣1.(1)求f(x)的解析式;(2)解关于x的不等式f(x)>0.21.(12分)设f(x)=(log2x)2﹣2alog2x+b(x>0).当x=时,f(x)有最小值﹣1.(1)求a与b的值;(2)求满足f(x)<0的x的取值范围.22.(12分)若二次函数f(x)=ax2+bx+c(a,b,c∈R)满足f(x+1)﹣f(x)=4x+1,且f(0)=3.(1)求f(x)的解析式;(2)设g(x)=f(2x),求g(x)在[﹣3,0]的最大值与最小值.2016-2017学年黑龙江省哈尔滨市四校联考高一(上)期中数学试卷参考答案与试题解析一、选择题(本大题共12小题,每小题5分,共60分)1.(5分)(2016春•长春校级期末)设集合A={x|(x﹣1)(x﹣2)2=0},则集合A中元素的个数为()A.1个B.2个C.3个D.4个【考点】集合中元素个数的最值.【专题】计算题;规律型;集合.【分析】求出方程的解,即可得到结合A中元素的个数.【解答】解:(x﹣1)(x﹣2)2=0,可得x=1,或x=2.则集合A中元素的个数为:2.故选:B.【点评】本题考查集合元素个数问题,方程的解是解题的关键.2.(5分)(2016秋•哈尔滨期中)集合A={x|x<﹣1或x>2},B={x|0≤x≤2},则A∩(C R B)=()A.{x|x<2} B.{x|x<﹣1或x≥2}C.{x|x≥2} D.{x|x<﹣1或x>2}【考点】交、并、补集的混合运算.【专题】计算题;方程思想;综合法;集合.【分析】求出B的补集,根据交集的定义即可求出.【解答】解:∵全集为R,B={x|0≤x≤2},∴∁R B={x|x<0或x>2},∵A={x|x<﹣1或x>2},∴A∩C R B={x|x<﹣1或x>2}.故选:D.【点评】本题考查了交、并、补集的混合运算,熟练掌握各自的定义是解本题的关键.3.(5分)(2012秋•十堰期末)在映射f:A→B中,A=B={(x,y)|x,y∈R},且f:(x,y)→(x﹣y,x+y),则与A中的元素(﹣1,2)对应的B中的元素为()A.(﹣3,1)B.(1,3)C.(﹣1,﹣3)D.(3,1)【考点】映射.【专题】计算题.【分析】根据已知中映射f:A→B的对应法则,f:(x,y)→(x﹣y,x+y),将A中元素(﹣1,2)代入对应法则,即可得到答案.【解答】解:由映射的对应法则f:(x,y)→(x﹣y,x+y),故A中元素(﹣1,2)在B中对应的元素为(﹣1﹣2,﹣1+2)即(﹣3,1)故选A【点评】本题考查的知识点是映射的概念,属基础题型,熟练掌握映射的定义,是解答本题的关键.4.(5分)(2016秋•哈尔滨期中)若a=20.5,b=log43,c=log20.2,则()A.a>b>c B.b>a>c C.c>a>b D.b>c>a【考点】对数值大小的比较;指数函数的图象与性质.【专题】转化思想;函数的性质及应用.【分析】化简成底数相同,如果底数无法化成同底数,则利用中间值0,1,再利用对数函数和指数函数的性质求解.【解答】解:由指数函数的性质可知,底数大于1时,是增函数,指数越大,函数值越大.∵a=20.5>20=1,∴a>1由对数函数的性质可知,底数大于1时,是增函数,真数越大,函数值越大.b=log43=log23=log2,∵底数是2大于1,增函数,0.2<,∴log20.2<log2<log22=1,∴1>b>c所以:c<b<a故选:A.【点评】本题考查了利用对数的运算化简及指数函数和对数函数的性质比较大小,学会利用中间值:0,1进行转化比较是关键.属于基础题,5.(5分)(2016秋•哈尔滨期中)F(x)=(x3﹣2x)f(x)(x≠0)是奇函数,且f(x)不恒等于零,则f(x)为()A.奇函数B.偶函数C.奇函数或偶函数D.非奇非偶函数【考点】函数奇偶性的判断.【专题】函数思想;定义法;函数的性质及应用.【分析】由F(x)为奇函数,可得F(﹣x)=﹣F(x),进而得到f(﹣x)=f(x),即可判断f(x)的奇偶性.【解答】解:F(x)=(x3﹣2x)f(x)(x≠0)是奇函数,且f(x)不恒等于零,可得F(﹣x)=(﹣x3+2x)f(﹣x)=﹣F(x)=﹣(x3﹣2x)f(x),可得f(﹣x)=f(x),即有f(x)为偶函数.故选:B.【点评】本题考查函数的奇偶性的判断,注意运用定义法,考查化简运算能力,属于基础题.6.(5分)(2016秋•哈尔滨期中)已知幂函数f(x)=x,若f(a+1)<f(10﹣2a),则a的取值范围是()A.[﹣1,3)B.(﹣∞,5)C.(3,5)D.(3,+∞)【考点】幂函数的概念、解析式、定义域、值域.【专题】函数思想;转化法;函数的性质及应用.【分析】由幂函数f(x)=在[0,+∞)上单调递增可得0≤a+1<10﹣2a,从而解得.【解答】解:∵幂函数f(x)=在[0,+∞)上单调递增,又∵f(a+1)<f(10﹣2a),∴0≤a+1<10﹣2a,∴﹣1≤a<3,故选:A.【点评】本题考查了幂函数的性质,属于基础题.7.(5分)(2016秋•哈尔滨期中)若3x=a,5x=b,则45x等于()A.a2b B.ab2C.a2+b D.a2+b2【考点】对数的运算性质.【专题】计算题;转化思想;定义法;函数的性质及应用.【分析】直接根据指数幂的运算性质化简即可.【解答】解:3x=a,5x=b,则45x=9x•5x=a2b,故选:A【点评】本题考查了指数幂的运算性质,属于基础题.8.(5分)(2016秋•哈尔滨期中)若函数f(x)=a﹣x(a>0且a≠1)在(﹣∞,+∞)上是减函数,则g(x)=log a(x﹣1)的大致图象是()A. B. C. D.【考点】对数函数的单调区间.【专题】数形结合;转化思想;函数的性质及应用.【分析】函数f(x)=a﹣x=(a>0且a≠1)在(﹣∞,+∞)上是减函数,可得,a>1.则g (x)=log a(x﹣1)的定义域为{x|x>1},在定义域内单调递增,且g(2)=0.即可得出.【解答】解:∵函数f(x)=a﹣x=(a>0且a≠1)在(﹣∞,+∞)上是减函数,∴,∴a>1.则g(x)=log a(x﹣1)的定义域为{x|x>1},在定义域内单调递增,且g(2)=0.其大致图象是A.故选:A.【点评】本题考查了指数函数的定义域与单调性、图象与性质,考查了推理能力与计算能力,属于中档题.9.(5分)(2016秋•哈尔滨期中)若函数f(x)=x2+4x+6,则f(x)在[﹣3,0)上的值域为()A.[2,6]B.[2,6)C.[2,3]D.[3,6]【考点】二次函数的性质.【专题】函数的性质及应用.【分析】本题利用二次函数的单调性和图象研究函数的值域,得到本题结论.【解答】解:∵函数f(x)=x2+4x+6,∴当x∈[﹣3,0)时,函数f(x)在区间[﹣3,﹣2]上单调递减,函数f(x)在区间[﹣2,0)上单调递增.∵f(﹣2)=2,f(﹣3)=3,f(0)=6,∴2≤f(x)<6.故选B.【点评】本题考查了二次函数的单调性、图象和函数的值域,本题难度不大,属于基础题.10.(5分)(2016秋•哈尔滨期中)已知函数f(x)=3log a(4x﹣7)+2(a>0且a≠1)过定点P,则P点坐标()A.(1,2)B.(,2)C.(2,2)D.(3,2)【考点】函数恒成立问题;对数函数的图象与性质.【专题】规律型;方程思想;定义法;函数的性质及应用.【分析】根据log a1=0恒成立,令真数部分为1,可得定点坐标.【解答】解:当4x﹣7=1,即x=2时,log a(4x﹣7)=0恒成立,∴f(2)=2恒成立,故P点的坐标为(2,2),故选:C【点评】本题考查的知识点是恒成立问题,熟练掌握对数的性质:log a1=0恒成立,是解答的关键.11.(5分)(2016秋•哈尔滨期中)已知函数f(x)是定义在R上的偶函数,且在[0,+∞)上单调递增,若f(﹣1)=0,则不等式f(2x﹣1)>0解集为()A.(﹣∞,0)∪(1,+∞)B.(﹣6,0)∪(1,3)C.(﹣∞,1)∪(3,+∞)D.(﹣∞,﹣1)∪(3,+∞)【考点】奇偶性与单调性的综合.【专题】转化思想;数形结合法;函数的性质及应用;不等式的解法及应用.【分析】根据函数奇偶性和单调性的关系进行转化即可.【解答】解:∵f(﹣1)=0,∴不等式f(2x﹣1)>0等价为f(2x﹣1)>f(﹣1),∵f(x)是定义在R上的偶函数,且在[0,+∞)上单调递增,∴不等式等价为f(|2x﹣1|)>f(1),即|2x﹣1|>1,即2x﹣1>1或2x﹣1<﹣1,即x>1或x<0,则不等式的解集为(﹣∞,0)∪(1,+∞),故选:A.【点评】本题主要考查不等式的求解,利用函数奇偶性和单调性的性质进行转化是解决本题的关键.12.(5分)(2014秋•湖州期末)函数f(x)=log(x2﹣9)的单调递增区间为()A.(0,+∞)B.(﹣∞,0)C.(3,+∞)D.(﹣∞,﹣3)【考点】复合函数的单调性;函数的单调性及单调区间.【专题】函数的性质及应用.【分析】设t=x2﹣9,根据复合函数单调性之间的关系即可得到结论.【解答】解:由x2﹣9>0解得x>3或x<﹣3,即函数的定义域为{x|x>3或x<﹣3},设t=x2﹣9,则函数y=logt为减函数,根据复合函数单调性之间的关系知要求函数f(x)的单调递增区间,即求函数t=x2﹣9的递减区间,∵t=x2﹣9,递减区间为(﹣∞,﹣3),则函数f(x)的递增区间为(﹣∞,﹣3),故选:D【点评】本题主要考查函数单调区间的求解,利用换元法结合复合函数单调性之间的关系是解决本题的关键.二、填空题:(本大题共4小题,每小题5分,共20分)13.(5分)(2016秋•哈尔滨期中)已知集合A={﹣1,a},B={3a,b},若A∪B={﹣1,0,1},则a=0.【考点】并集及其运算.【专题】计算题;对应思想;定义法;集合.【分析】利用并集定义及集合中元素的性质求解.【解答】解:∵集合A={﹣1,a},B={3a,b},A∪B={﹣1,0,1},∴,∴a=0.故答案为:0.【点评】本题考查实数的求法,是基础题,解题时要认真审题,注意并集定义的合理运用.14.(5分)(2016秋•哈尔滨期中)已知函数f(x)=,则f(3)的值为.【考点】分段函数的应用.【专题】函数思想;定义法;函数的性质及应用.【分析】根据分段函数的表达式,利用递推法进行转化求解即可.【解答】解:由分段函数的表达式得f(3)=f(3+2)=f(5)=()5=,故答案为:【点评】本题主要考查函数值的计算,根据分段函数的表达式,利用关系递推是解决本题的关键.比较基础.15.(5分)(2016秋•哈尔滨期中)若幂函数y=(m2﹣2m﹣2)x﹣4m﹣2在x∈(0,+∞)上为减函数,则实数m的值是m=3.【考点】幂函数的概念、解析式、定义域、值域.【专题】计算题;函数的性质及应用.【分析】根据给出的函数为幂函数,由幂函数概念知m2﹣m﹣1=1,再根据函数在(0,+∞)上为减函数,得到幂指数应该小于0,求得的m值应满足以上两条.【解答】解:因为函数y=(m2﹣2m﹣2)x﹣4m﹣2既是幂函数又是(0,+∞)的减函数,所以,⇒,解得:m=3.故答案为:m=3.【点评】本题考查了幂函数的概念及性质,解答此题的关键是掌握幂函数的定义,此题极易把系数理解为不等于0而出错,属基础题.16.(5分)(2015•武汉模拟)函数f(x)=的定义域是{x|﹣1<x≤2且x≠0} .【考点】函数的定义域及其求法.【专题】计算题;函数的性质及应用.【分析】由分式中的对数式的真数大于0且不等于1,根式内部的代数式大于等于0,联立不等式组求解x的取值集合即可得到答案.【解答】解:由,解得:﹣1<x≤2,且x≠0.∴函数f(x)=的定义域是{x|﹣1<x≤2,且x≠0}.故答案为:{x|﹣1<x≤2,且x≠0}.【点评】本题考查了函数的定义域及其求法,解答此题的关键是注意分母不等于0,是基础题.三、解答题(本大题共6小题,共70分,解答时写出必要的文字说明,证明过程或解题步骤)17.(10分)(2016秋•哈尔滨期中)设集合A={x|x2+ax﹣12=0},B={x|x2+bx+c=0},且A ≠B,A∪B={﹣3,4},A∩B={﹣3},求实数b,c的值.【考点】并集及其运算.【专题】计算题;函数思想;方程思想;集合.【分析】利用集合的并集与交集的关系,判断元素与集合的关系,列出方程求解即可.【解答】解∵A∩B={﹣3},∴﹣3∈A,则9﹣3a﹣12=0,∴a=﹣1,从而A={﹣3,4},﹣﹣﹣﹣﹣﹣﹣﹣﹣﹣﹣(3分)由于A≠B,因此集合B只有一个元素﹣3,即x2+bx+c=0有等根.﹣﹣﹣﹣﹣﹣﹣﹣(5分)∴﹣﹣﹣﹣﹣(7分)解之得﹣﹣﹣﹣﹣﹣(9分)所以实数b,c的值分别为6,9.﹣﹣﹣﹣﹣﹣﹣﹣﹣﹣﹣﹣﹣﹣(10分)【点评】本题考查集合的交集与并集的关系,考查计算能力.18.(12分)(2016秋•哈尔滨期中)已知全集U=R,集合A={x|﹣7≤2x﹣1≤7},B={x|m ﹣1≤x≤3m﹣2}.若A∩B=B,求实数m的取值范围.【考点】集合的包含关系判断及应用.【专题】定义法;集合.【分析】化简集合A,确定元素范围,根据A∩B=B,建立条件关系即可求实数a的取值范围.【解答】解:由题意:全集U=R,集合A={x|﹣7≤2x﹣1≤7}={x|﹣3≤x≤4},B={x|m﹣1≤x≤3m﹣2}.∵A∩B=B,∴B⊆A,∴当B=∅时,满足题意,此时m﹣1>3m﹣2,解得:m<.当B≠∅时,要使B⊆A成立,需满足:,解得:≤m≤2,综上所得:实数m的取值范围是{m|m≤2}.【点评】本题主要考查集合的基本运算,比较基础.注意空集情况不要漏掉.19.(12分)(2016秋•哈尔滨期中)已知f(x)=1﹣.(1)求证:f(x)是定义域内的增函数;(2)当x∈[0,1]时,求f(x)的值域.【考点】利用导数研究函数的单调性;函数的值域;函数单调性的判断与证明.【专题】证明题;数学模型法;函数的性质及应用.【分析】(1)求导,根据在定义域R上,f′(x)>0恒成立,可得:f(x)是定义域R上的增函数;(2)由(1)可得当x∈[0,1]时,f(x)为增函数,求出函数的最值,可得函数的值域.【解答】证明:(1)∵f(x)=1﹣.∴f′(x)=.在定义域R上,f′(x)>0恒成立,故f(x)是定义域R上的增函数﹣﹣﹣﹣﹣﹣﹣(8分)解:(2)由(1)可得当x∈[0,1]时,f(x)为增函数,故当x=0时,f(x)取最小值0,当x=1时,f(x)取最大值,即当x∈[0,1]时,求f(x)值域为[0,]﹣﹣﹣﹣﹣﹣﹣(12分)【点评】本题考查的知识点是利用导数研究函数的单调性,函数的最值,函数的值域,难度中档.20.(12分)(2016秋•哈尔滨期中)已知函数f(x)是奇函数,且定义域为(﹣∞,0)∪(0,+∞).若x<0时,f(x)=﹣x﹣1.(1)求f(x)的解析式;(2)解关于x的不等式f(x)>0.【考点】分段函数的应用;函数奇偶性的性质.【专题】计算题;方程思想;转化思想;函数的性质及应用.【分析】(1)利用函数的奇偶性的定义,直接求解函数的解析式即可.(2)利用分段函数列出不等式求解即可.【解答】解:(1)当x>0时,﹣x<0,f(﹣x)=x﹣1﹣﹣﹣﹣﹣﹣﹣﹣﹣﹣﹣(2分)∵函数f(x)是定义域为的奇函数.∴f(x)=﹣f(﹣x)=1﹣x﹣﹣﹣﹣﹣﹣﹣﹣﹣﹣﹣﹣(4分)∴f(x)=﹣﹣﹣﹣﹣﹣﹣﹣﹣﹣﹣﹣(6分)(2)∵f(x)>0∴或﹣﹣﹣﹣﹣﹣﹣(9分)解得:x<﹣1或0<x<1﹣﹣﹣﹣﹣﹣﹣﹣﹣﹣﹣﹣(11分)故不等式的解集为:(﹣∞,﹣1)∪(0,1).﹣﹣﹣﹣﹣﹣﹣﹣﹣﹣(12分)【点评】本题考查函数的解析式的求法,函数的奇偶性以及分段函数的应用,考查计算能力.21.(12分)(2016秋•哈尔滨期中)设f(x)=(log2x)2﹣2alog2x+b(x>0).当x=时,f (x)有最小值﹣1.(1)求a与b的值;(2)求满足f(x)<0的x的取值范围.【考点】对数函数的图象与性质.【专题】函数思想;综合法;函数的性质及应用.【分析】(1)利用配方法,结合x=时,f(x)有最小值﹣1,建立方程组,即可求a与b的值;(2)f(x)<0即(log2x)2+4log2x+3<0,即可求出x的范围.【解答】解:(1)f(x)=(log2x)2﹣2alog2x+b=+b﹣a2(x>0),当x=时,f(x)有最小值﹣1,∴,解得:;(2)由(1)得:f(x)=(log2x)2+4log2x+3,f(x)<0即(log2x+3)(log2x+1)<0,解得:<x<.【点评】本题考查函数的最值,考查学生解不等式的能力,确定函数的解析式是关键.22.(12分)(2016秋•哈尔滨期中)若二次函数f(x)=ax2+bx+c(a,b,c∈R)满足f(x+1)﹣f(x)=4x+1,且f(0)=3.(1)求f(x)的解析式;(2)设g(x)=f(2x),求g(x)在[﹣3,0]的最大值与最小值.【考点】二次函数的性质.【专题】综合题;函数思想;综合法;函数的性质及应用.【分析】(1)根据待定系数法即可求出函数的解析式,(2)利用换元法和函数的性质即可求出最值.【解答】解:(1)由f(0)=3,得c=3,∴f(x)=ax2+bx+3.又f(x+1)﹣f(x)=4x+1,∴a(x+1)2+b(x+1)+3﹣(ax2+bx+3)=4x+1,即2ax+a+b=4x+1,∴∴∴f(x)=2x2﹣x+3.(2)g(x)=f(2x)=2•22x﹣2x+3,令2x=t,,∴h(t)=2t2﹣t+3,时,g(x)max=h(t)max=h(1)=2﹣1+3=4,g(x)min=h(t)min=h()=﹣+3=.【点评】本题考查了二次函数的性质和函数最值的问题,考查了学生的计算能力,属于中档题.。
哈尔滨市高一上学期期中数学试卷(I)卷姓名:________ 班级:________ 成绩:________一、填空题 (共14题;共18分)1. (3分)集合A={x∈R|x2<9},B={x∈R|2x<4},C={x∈R|log x<2},则A∩B=________;A∪C=________;∁RB=________.2. (2分) (2019高一上·镇海期中) 函数的定义域是________,值域是________.3. (1分) (2016高一上·蚌埠期中) 从小到大的排列顺序是________.4. (1分) (2017高一上·孝感期中) 已知函数f(x)=(m2﹣m﹣5)xm﹣1是幂函数,且当x∈(0,+∞)时,f(x)是增函数,则实数m的值为________.5. (1分) (2017高二上·泰州开学考) 用“<”将0.2﹣0.2、2.3﹣2.3、log0.22.3从小到大排列是________.6. (1分) (2016高一上·青海期中) 的值是________.7. (2分) (2019高一上·杭州期中) 设函数 ,则 ________.若 ,则的取值范围是________.8. (1分)计算: =________.9. (1分)(2012·四川理) 设全集U={a,b,c,d},集合A={a,b},B={b,c,d},则(∁UA)∪(∁UB)=________.10. (1分) (2015高三上·枣庄期末) 已知函数f(x)是定义在R上的奇函数,当x∈[0,1)时,f(x)=x,则 =________.11. (1分)已知不等式|x﹣a|+|x+b|≥3的解集为R,则a+b的取值范围是________.12. (1分) (2013·四川理) 已知f(x)是定义域为R的偶函数,当x≥0时,f(x)=x2﹣4x,那么,不等式f(x+2)<5的解集是________.13. (1分) (2016高一上·湖南期中) 若函数f(x)=lg(ax﹣1)﹣lg(x﹣1)在区间[2,+∞)上是增函数,则a的取值范围是________.14. (1分) (2016高一上·襄阳期中) 函数y=f(x)是定义在a,b上的增函数,其中a,b∈R且0<b<﹣a,已知y=f(x)无零点,设函数F(x)=f2(x)+f2(﹣x),则对于F(x)有以下四个说法:①定义域是[﹣b,b];②是偶函数;③最小值是0;④在定义域内单调递增.其中正确的有________(填入你认为正确的所有序号)二、解答题 (共5题;共60分)15. (15分)已知函数g(x)=,(1)点(3,14)在函数的图像上吗?(2)当x=4时,求g(x)的值;(3)当g(x)=2时,求x的值.16. (15分) (2019高一上·郁南期中) 已知函数f(x)=loga(x+1)-loga(1-x),a>0且a≠1.(1)求f(x)的定义域;(2)判断f(x)的奇偶性并予以证明;(3)当a>1时,求使f(x)>0的解集.17. (10分) (2018高一上·天门月考) 已知函数 ,函数的最小值为 .(1)求;(2)是否存在实数同时满足下列条件:① ;②当的定义域为时,值域为?若存在,求出的值;若不存在,说明理由.18. (10分) (2016高二上·宁阳期中) 为了在夏季降温和冬季供暖时减少能源损耗,房屋的屋顶和外墙需要建造隔热层.某幢建筑物要建造可使用20年的隔热层,每厘米厚的隔热层建造成本为6万元.该建筑物每年的能源消耗费用C(单位:万元)与隔热层厚度x(单位:cm)满足关系:C(x)= (0≤x≤10),若不建隔热层,每年能源消耗费用为8万元.设f(x)为隔热层建造费用与20年的能源消耗费用之和.(1)求k的值及f(x)的表达式.(2)隔热层修建多厚时,总费用f(x)达到最小,并求最小值.19. (10分) (2017高一上·安庆期末) 已知函数f(x)=ax2+bx+1(a,b为实数,a≠0,x∈R)(1)若函数f(x)的图象过点(﹣2,1),且函数f(x)有且只有一个零点,求f(x)的表达式;(2)在(1)的条件下,当x∈(﹣1,2)时,g(x)=f(x)﹣kx是单调函数,求实数k的取值范围.参考答案一、填空题 (共14题;共18分)1-1、2-1、3-1、4-1、5-1、6-1、7-1、8-1、9-1、10-1、11-1、12-1、13-1、14-1、二、解答题 (共5题;共60分)15-1、15-2、15-3、16-1、16-2、16-3、17-1、17-2、18-1、18-2、19-1、19-2、。
一、选择题1.(0分)[ID :11814]函数()ln f x x x =的图像大致是( )A .B .C .D .2.(0分)[ID :11813]函数tan sin tan sin y x x x x =+--在区间(2π,32π)内的图象是( )A .B .C .D .3.(0分)[ID :11809]不等式()2log 231a x x -+≤-在x ∈R 上恒成立,则实数a 的取值范围是( ) A .[)2,+∞B .(]1,2C .1,12⎡⎫⎪⎢⎣⎭D .10,2⎛⎤ ⎥⎝⎦4.(0分)[ID :11801]设集合{|32}M m m =∈-<<Z ,{|13}N n n M N =∈-≤≤⋂=Z ,则A .{}01,B .{}101-,,C .{}012,,D .{}1012-,,, 5.(0分)[ID :11798]在ABC ∆中,内角A 、B 、C 所对应的边分别为a 、b 、c ,则“cos cos a A b B =”是“ABC ∆是以A 、B 为底角的等腰三角形”的( ). A .充分非必要条件 B .必要非充分条件 C .充要条件D .既非充分也非必要条件6.(0分)[ID :11782]设()f x 是定义在R 上的偶函数,且当0x ≥时,()21,0122,1xx x f x x ⎧-+≤<=⎨-≥⎩,若对任意的[],1x m m ∈+,不等式()()1f x f x m -≤+恒成立,则实数m 的最大值是( ) A .1-B .13-C .12-D .137.(0分)[ID :11795]已知全集U =R ,集合A ={x |x 2-x -6≤0},B ={x |14x x +->0},那么集合A ∩(∁U B )=( ) A .{x |-2≤x <4} B .{x |x ≤3或x ≥4} C .{x |-2≤x <-1}D .{x |-1≤x ≤3}8.(0分)[ID :11793]设函数22,()6,x x x af x ax x a⎧--≥⎪=⎨-<⎪⎩是定义在R 上的增函数,则实数a取值范围( ) A .[)2,+∞B .[]0,3C .[]2,3D .[]2,49.(0分)[ID :11787]已知函数21(1)()2(1)a x x f x x x x x ⎧++>⎪=⎨⎪-+≤⎩在R 上单调递增,则实数a 的取值范围是A .[]0,1B .(]0,1C .[]1,1-D .(]1,1-10.(0分)[ID :11739]函数()2log ,0,2,0,x x x f x x ⎧>=⎨≤⎩则函数()()()2384g x f x f x =-+的零点个数是( ) A .5B .4C .3D .611.(0分)[ID :11737]已知奇函数()f x 在R 上是增函数,若21log 5a f ⎛⎫=- ⎪⎝⎭,()2log 4.1b f =,()0.82c f =,则,,a b c 的大小关系为( )A .a b c <<B .b a c <<C .c b a <<D .c a b <<12.(0分)[ID :11734]已知函数()f x =2log (1),(1,3)4,[3,)1x x x x ⎧+∈-⎪⎨∈+∞⎪-⎩,则函数[]()()1g x f f x =-的零点个数为( )A .1B .3C .4D .613.(0分)[ID :11823]已知集合{}22(,)1A x y x y =+=,{}(,)B x y y x ==,则A B中元素的个数为( ) A .3B .2C .1D .014.(0分)[ID :11760]设函数3()f x x x =+ ,. 若当02πθ<<时,不等式(sin )(1)0f m f m θ+-> 恒成立,则实数m 的取值范围是( )A .1(,1]2B .1(,1)2C .[1,)+∞D .(,1]-∞15.(0分)[ID :11768]已知函数()y f x =在区间(),0-∞内单调递增,且()()f x f x -=,若12log 3a f ⎛⎫= ⎪⎝⎭,()1.22b f -=,12c f⎛⎫= ⎪⎝⎭,则a 、b 、c 的大小关系为( ) A .a c b >> B .b c a >> C .b a c >> D .a b c >>二、填空题16.(0分)[ID :11927]如果定义在区间[3+a ,5]上的函数f(x)为奇函数,那么a 的值为________.17.(0分)[ID :11906]1232e 2(){log (1)2x x f x x x ,,-<=-≥,则f (f (2))的值为____________.18.(0分)[ID :11900]若函数()6,23log ,2a x x f x x x -+≤⎧=⎨+>⎩(0a >且1a ≠)的值域是[)4,+∞,则实数a 的取值范围是__________.19.(0分)[ID :11884]已知函数2,()24,x x mf x x mx m x m⎧≤=⎨-+>⎩ 其中0m >,若存在实数b ,使得关于x 的方程f (x )=b 有三个不同的根,则m 的取值范围是________________. 20.(0分)[ID :11873]函数y =√1−x 2+lg(2cosx −1)的定义域为______________. 21.(0分)[ID :11853]若4log 3a =,则22a a -+= .22.(0分)[ID :11842]非空有限数集S 满足:若,a b S ∈,则必有ab S ∈.请写出一个..满足条件的二元数集S =________.23.(0分)[ID :11839]用{}min ,,a b c 表示,,a b c 三个数中最小值,则函数{}()min 41,4,8f x x x x =++-+的最大值是 .24.(0分)[ID :11905]已知函数()()0f x ax b a =->,()()43ff x x =-,则()2f =_______.25.(0分)[ID :11863]若函数()22xf x b =--有两个零点,则实数b 的取值范围是_____.三、解答题26.(0分)[ID :12001]某企业生产A ,B 两种产品,根据市场调查与预测,A 产品的利润与投资成正比,其关系如图1,B 产品的利润与投资的算术平方根成正比,其关系如图2,(注:利润与投资单位:万元)(1)分别将A ,B 两种产品的利润表示为投资的函数关系,并写出它们的函数关系式; (2)该企业已筹集到10万元资金,全部投入到A ,B 两种产品的生产,怎样分配资金,才能使企业获得最大利润,其最大利润约为多少万元(精确到1万元).27.(0分)[ID :11992]已知函数()xf x b a =⋅,(其中,a b 为常数且0,1a a >≠)的图象经过点(1,6),(3,24)A B (1)求()f x 的解析式(2)若不等式11120x xm a b ⎛⎫⎛⎫++-≥ ⎪ ⎪⎝⎭⎝⎭在(],1x ∈-∞上恒成立,求实数m 的取值范围. 28.(0分)[ID :11981]已知函数()212ax f x x b +=+是奇函数,且()312f =.(1)求实数a ,b 的值;(2)判断函数()f x 在(],1-∞-上的单调性,并用定义加以证明. (3)若[]2,1x ∈--,求函数的值域29.(0分)[ID :11947]设函数f (x )是增函数,对于任意x ,y ∈R 都有f (x+y )=f (x )+f (y ). (1)求f (0);(2)证明f (x )是奇函数;(3)解不等式12f (x 2)—f (x )>12f (3x ).30.(0分)[ID :11940]已知函数f (x )=log a (x+1)-log a (1-x ),a>0且a ≠1. (1)求f (x )的定义域;(2)判断f (x )的奇偶性并予以证明; (3)当a>1时,求使f (x )>0的解集.【参考答案】2016-2017年度第*次考试试卷参考答案**科目模拟测试一、选择题1.A2.D3.C4.B5.B6.B7.D8.D9.C10.A11.C12.C13.B14.D15.B二、填空题16.-8【解析】∵f(x)定义域为3+a5且为奇函数∴3+a=-5∴a=-8点睛:利用奇偶性求值的类型及方法(1)求函数值:利用奇偶性将待求值转化到已知区间上的函数值进而得解( 2)求参数值:在定义域关于17.2【解析】【分析】先求f(2)再根据f(2)值所在区间求f(f(2))【详解】由题意f(2)=log3(22–1)=1故f(f(2))=f(1)=2×e1–1=2故答案为:2【点睛】本题考查分段函数18.【解析】试题分析:由于函数的值域是故当时满足当时由所以所以所以实数的取值范围考点:对数函数的性质及函数的值域【方法点晴】本题以分段为背景主要考查了对数的图象与性质及函数的值域问题解答时要牢记对数函数19.【解析】试题分析:由题意画出函数图象如下图所示要满足存在实数b使得关于x的方程f(x)=b有三个不同的根则解得故m的取值范围是【考点】分段函数函数图象【名师点睛】本题主要考查二次函数的图象与性质函数20.-11【解析】【分析】根据定义域基本要求可得不等式组解不等式组取交集得到结果【详解】由题意得:1-x2≥02cosx-1>0⇒-1≤x≤1cosx>12cosx>12⇒x∈-π3+2kππ3+2kπ21.【解析】【分析】【详解】∵∴∴考点:对数的计算22.{01}或{-11}【解析】【分析】因中有两个元素故可利用中的元素对乘法封闭求出这两个元素【详解】设根据题意有所以必有两个相等元素若则故又或所以(舎)或或此时若则此时故此时若则此时故此时综上或填或【23.6【解析】试题分析:由分别解得则函数则可知当时函数取得最大值为6考点:分段函数的最值问题24.【解析】【分析】先由求出的值可得出函数的解析式然后再求出的值【详解】由题意得即解得因此故答案为【点睛】本题考查函数求值解题的关键就是通过题中复合函数的解析式求出函数的解析式考查运算求解能力属于中等题25.【解析】【分析】【详解】函数有两个零点和的图象有两个交点画出和的图象如图要有两个交点那么三、解答题26.27.28.29.30.2016-2017年度第*次考试试卷参考解析【参考解析】**科目模拟测试一、选择题1.A 解析:A 【解析】 【分析】从图象来看图象关于原点对称或y 轴对称,所以分析奇偶性,然后再用特殊值确定. 【详解】因为函数()ln f x x x =是奇函数,排除C ,D 又因为2x = 时()0f x >,排除B 故选:A 【点睛】本题主要考查了函数的图象的判断,还考查了数形结合的思想,属于基础题.2.D解析:D 【解析】解:函数y=tanx+sinx-|tanx-sinx|=2tan ,tan sin {2sin ,tan sin x x xx x x<≥分段画出函数图象如D 图示, 故选D .3.C解析:C 【解析】 【分析】由()2223122-+=-+≥x x x 以及题中的条件,根据对数函数的单调性性,对a 讨论求解即可. 【详解】由()2log 231a x x -+≤-可得()21log 23log -+≤a ax x a, 当1a >时,由()2223122-+=-+≥x x x 可知2123-+≤x x a无实数解,故舍去;当01a <<时,()2212312-+=-+≥x x x a在x ∈R 上恒成立,所以12a ≤,解得112a ≤<. 故选:C 【点睛】本题主要考查对数函数的单调性,涉及到复合函数问题,属于中档题.4.B解析:B 【解析】试题分析:依题意{}{}2,1,0,1,1,0,1,2,3,M N =--=-∴{}1,0,1M N ⋂=-. 考点:集合的运算5.B解析:B 【解析】 【分析】化简cos cos a A b B =得到A B =或2A B π+=,再判断充分必要性.【详解】cos cos a A b B =,根据正弦定理得到:sin cos sin cos sin 2sin 2A A B B A B =∴=故22A B A B =∴=或222A B A B ππ=-∴+=,ABC ∆为等腰或者直角三角形.所以“cos cos a A b B =”是“ABC ∆是以A 、B 为底角的等腰三角形”的必要非充分条件 故选B 【点睛】本题考查了必要非充分条件,化简得到A B =或2A B π+=是解题的关键,漏解是容易发生的错误.6.B解析:B 【解析】 【分析】由题意,函数()f x 在[0,)+∞上单调递减,又由函数()f x 是定义上的偶函数,得到函数()f x 在(,0)-∞单调递增,把不等式(1)()f x f x m -≤+转化为1x x m -≤+,即可求解. 【详解】易知函数()f x 在[)0,+∞上单调递减,又函数()f x 是定义在R 上的偶函数, 所以函数()f x 在(),0-∞上单调递增, 则由()()1f x f x m -≤+,得1x x m -≥+,即()()221x x m -≥+,即()()22210g x m x m =++-≤在[],1x m m ∈+上恒成立,则()()()()()()3110121310g m m m g m m m ⎧=-+≤⎪⎨+=++≤⎪⎩,解得113m -≤≤-, 即m 的最大值为13-. 【点睛】本题主要考查了函数的基本性质的应用,其中解答中利用函数的基本性质,把不等式转化为1x x m -≤+ 求解是解答的关键,着重考查了分析问题和解答问题的能力,以及推理与运算能力,属于中档试题.7.D解析:D 【解析】依题意A ={x |-2≤x ≤3},B ={x |x <-1或x >4},故∁U B ={x |-1≤x ≤4},故A ∩(∁U B )={x |-1≤x ≤3},故选D.8.D解析:D 【解析】 【分析】画出函数22y x x =--的图象,结合图象及题意分析可得所求范围. 【详解】画出函数22y x x =--的图象如下图所示,结合图象可得,要使函数()22,,6,,x x x a x ax x a ⎧--≥⎪=⎨-<⎪⎩是在R 上的增函数,需满足22226a a a a ≥⎧⎨--≥-⎩,解得24x ≤≤. 所以实数a 取值范围是[]2,4. 故选D . 【点睛】解答本题的关键有两个:(1)画出函数的图象,结合图象求解,增强了解题的直观性和形象性;(2)讨论函数在实数集上的单调性时,除了考虑每个段上的单调性之外,还要考虑在分界点处的函数值的大小关系.9.C解析:C 【解析】x ⩽1时,f (x )=−(x −1)2+1⩽1, x >1时,()()21,10a af x x f x x x=++'=-在(1,+∞)恒成立, 故a ⩽x 2在(1,+∞)恒成立, 故a ⩽1,而1+a +1⩾1,即a ⩾−1, 综上,a ∈[−1,1], 本题选择C 选项.点睛:利用单调性求参数的一般方法:一是求出函数的单调区间,然后使所给区间是这个单调区间的子区间,建立关于参数的不等式组即可求得参数范围;二是直接利用函数单调性的定义:作差、变形,由f (x 1)-f (x 2)的符号确定参数的范围,另外也可分离参数转化为不等式恒成立问题.10.A解析:A 【解析】 【分析】通过对()g x 式子的分析,把求零点个数转化成求方程的根,结合图象,数形结合得到根的个数,即可得到零点个数. 【详解】 函数()()()2384g x f x f x =-+=()()322f x f x --⎡⎤⎡⎤⎣⎦⎣⎦的零点即方程()23f x =和()2f x =的根, 函数()2log ,0,2,0x x x f x x ⎧>=⎨≤⎩的图象如图所示:由图可得方程()23f x =和()2f x =共有5个根, 即函数()()()2384g x f x f x =-+有5个零点,故选:A . 【点睛】本题考查函数的零点与方程的根的个数的关系,注意结合图象,利用数形结合求得结果时作图很关键,要标准.11.C解析:C 【解析】由题意:()221log log 55a f f ⎛⎫=-= ⎪⎝⎭, 且:0.822log 5log 4.12,122>><<,据此:0.822log 5log 4.12>>,结合函数的单调性有:()()()0.822log 5log 4.12f f f >>,即,a b c c b a >><<. 本题选择C 选项.【考点】 指数、对数、函数的单调性【名师点睛】比较大小是高考常见题,指数式、对数式的比较大小要结合指数函数、对数函数,借助指数函数和对数函数的图象,利用函数的单调性进行比较大小,特别是灵活利用函数的奇偶性和单调性数形结合不仅能比较大小,还可以解不等式.12.C解析:C 【解析】 【分析】令[]()()10g x f f x =-=,可得[]()1f f x =,解方程()1f x =,结合函数()f x 的图象,可求出答案. 【详解】令[]()()10g x f f x =-=,则[]()1f f x =,令()1f x =,若2log (1)1x +=,解得1x =或12x =-,符合(1,3)x ∈-;若411x =-,解得5x =,符合[3,)x ∈+∞.作出函数()f x 的图象,如下图,(]1,0x ∈-时,[)()0,f x ∈+∞;()0,3x ∈时,()()0,2f x ∈;[3,)x ∈+∞时,(]()0,2f x ∈. 结合图象,若()1f x =,有3个解;若1()2f x =-,无解;若()5f x =,有1个解. 所以函数[]()()1g x f f x =-的零点个数为4个. 故选:C.【点睛】本题考查分段函数的性质,考查了函数的零点,考查了学生的推理能力,属于中档题.13.B解析:B 【解析】试题分析:集合中的元素为点集,由题意,可知集合A 表示以()0,0为圆心,1为半径的单位圆上所有点组成的集合,集合B 表示直线y x =上所有的点组成的集合,又圆221x y +=与直线y x =相交于两点22,22⎛ ⎝⎭,2222⎛⎫-- ⎪ ⎪⎝⎭,则A B 中有2个元素.故选B.【名师点睛】求集合的基本运算时,要认清集合元素的属性(是点集、数集或其他情形)和化简集合,这是正确求解集合运算的两个先决条件.集合中元素的三个特性中的互异性对解题影响较大,特别是含有字母的集合,在求出字母的值后,要注意检验集合中的元素是否满足互异性.14.D解析:D 【解析】 【分析】 【详解】易得()f x 是奇函数,2()310()f x x f x '=+>⇒在R 上是增函数,不等式(sin )(1)0f m f m θ+-> 恒成立. 可得11(sin )(1)sin 1,0sin 111sin 1sin f m f m m m m m θθθθθ>-⇒>-⇒<<<⇒⇒≤--, 故选D.15.B解析:B 【解析】 【分析】由偶函数的性质可得出函数()y f x =在区间()0,∞+上为减函数,由对数的性质可得出12log 30<,由偶函数的性质得出()2log 3a f =,比较出2log 3、 1.22-、12的大小关系,再利用函数()y f x =在区间()0,∞+上的单调性可得出a 、b 、c 的大小关系. 【详解】()()f x f x -=,则函数()y f x =为偶函数,函数()y f x =在区间(),0-∞内单调递增,在该函数在区间()0,∞+上为减函数,1122log 3log 10<=,由换底公式得122log 3log 3=-,由函数的性质可得()2log 3a f =,对数函数2log y x =在()0,∞+上为增函数,则22log 3log 21>=, 指数函数2xy =为增函数,则 1.2100222--<<<,即 1.210212-<<<, 1.22102log 32-∴<<<,因此,b c a >>. 【点睛】本题考查利用函数的奇偶性与单调性比较函数值的大小关系,同时也考查了利用中间值法比较指数式和代数式的大小关系,涉及指数函数与对数函数的单调性,考查分析问题和解决问题的能力,属于中等题.二、填空题16.-8【解析】∵f(x)定义域为3+a5且为奇函数∴3+a =-5∴a =-8点睛:利用奇偶性求值的类型及方法(1)求函数值:利用奇偶性将待求值转化到已知区间上的函数值进而得解(2)求参数值:在定义域关于 解析:-8【解析】 ∵f(x)定义域为[3+a ,5],且为奇函数, ∴3+a =-5,∴a=-8.点睛:利用奇偶性求值的类型及方法(1)求函数值:利用奇偶性将待求值转化到已知区间上的函数值,进而得解.(2)求参数值:在定义域关于原点对称的前提下,根据奇函数满足f(-x)=-f(x)或偶函数满足f(-x)=f(x)列等式,根据等式两侧对应相等确定参数的值.特别要注意的是:若能够确定奇函数的定义域中包含0,可以根据f(0)=0列式求解,若不能确定则不可用此法.17.2【解析】【分析】先求f (2)再根据f (2)值所在区间求f (f (2))【详解】由题意f (2)=log3(22–1)=1故f (f (2))=f (1)=2×e1–1=2故答案为:2【点睛】本题考查分段函数解析:2 【解析】 【分析】先求f (2),再根据f (2)值所在区间求f (f (2)). 【详解】由题意,f (2)=log 3(22–1)=1,故f (f (2))=f (1)=2×e 1–1=2,故答案为:2. 【点睛】本题考查分段函数求值,考查对应性以及基本求解能力.18.【解析】试题分析:由于函数的值域是故当时满足当时由所以所以所以实数的取值范围考点:对数函数的性质及函数的值域【方法点晴】本题以分段为背景主要考查了对数的图象与性质及函数的值域问题解答时要牢记对数函数 解析:(]1,2【解析】试题分析:由于函数()()6,2{0,13log ,2a x x f x a a x x -+≤=>≠+>的值域是[)4,+∞,故当2x ≤时,满足()64f x x =-≥,当2x >时,由()3log 4a f x x =+≥,所以log 1a x ≥,所以log 2112a a ≥⇒<<,所以实数a 的取值范围12a <≤. 考点:对数函数的性质及函数的值域.【方法点晴】本题以分段为背景主要考查了对数的图象与性质及函数的值域问题,解答时要牢记对数函数的单调性及对数函数的特殊点的应用是解答的关键,属于基础题,着重考查了分类讨论的思想方法的应用,本题的解答中,当2x >时,由()4f x ≥,得log 1a x ≥,即log 21a ≥,即可求解实数a 的取值范围.19.【解析】试题分析:由题意画出函数图象如下图所示要满足存在实数b 使得关于x 的方程f (x )=b 有三个不同的根则解得故m 的取值范围是【考点】分段函数函数图象【名师点睛】本题主要考查二次函数的图象与性质函数解析:()3+∞,【解析】试题分析:由题意画出函数图象如下图所示,要满足存在实数b ,使得关于x 的方程f (x )=b 有三个不同的根,则24m m m -<,解得3m >,故m 的取值范围是(3,)+∞.【考点】分段函数,函数图象【名师点睛】本题主要考查二次函数的图象与性质、函数与方程、分段函数的概念.解答本题,关键在于能利用数形结合思想,通过对函数图象的分析,转化得到代数不等式.本题能较好地考查考生数形结合思想、转化与化归思想、基本运算求解能力等.20.-11【解析】【分析】根据定义域基本要求可得不等式组解不等式组取交集得到结果【详解】由题意得:1-x2≥02cosx -1>0⇒-1≤x≤1cosx>12cosx>12⇒x ∈-π3+2kππ3+2kπ 解析:[−1,1]【解析】 【分析】根据定义域基本要求可得不等式组,解不等式组取交集得到结果. 【详解】由题意得:{1−x 2≥02cosx −1>0 ⇒{−1≤x ≤1cosx >12 cosx >12 ⇒x ∈(−π3+2kπ,π3+2kπ),k ∈Z ∴函数定义域为:[−1,1] 【点睛】本题考查具体函数定义域的求解问题,关键是根据定义域的基本要求得到不等式组.21.【解析】【分析】【详解】∵∴∴考点:对数的计算 433【解析】【分析】 【详解】∵4log 3a =,∴432a a =⇒=222a-+== 考点:对数的计算22.{01}或{-11}【解析】【分析】因中有两个元素故可利用中的元素对乘法封闭求出这两个元素【详解】设根据题意有所以必有两个相等元素若则故又或所以(舎)或或此时若则此时故此时若则此时故此时综上或填或【解析:{0,1}或{-1,1}, 【解析】 【分析】因S 中有两个元素,故可利用S 中的元素对乘法封闭求出这两个元素. 【详解】设{}(),S a b a b =<,根据题意有22,,a ab b S ∈,所以22,,a b ab 必有两个相等元素.若22a b =,则=-a b ,故2ab a =-,又2a a =或2a b a ==-,所以0a =(舎)或1a =或1a =-,此时{}1,1S =-.若 2a ab =,则0a =,此时2b b =,故1b = ,此时{}0,1S =. 若2b ab =,则0b =,此时2a a =,故1a =,此时{}0,1S =. 综上,{}0,1S =或{}1,1S =-,填{}0,1或{}1,1-. 【点睛】集合中元素除了确定性、互异性、无序性外,还有若干运算的封闭性,比如整数集,对加法、减法和乘法运算封闭,但对除法运算不封闭(两个整数的商不一定是整数),又如有理数集,对加法、减法、乘法和除法运算封闭,但对开方运算不封闭.一般地,若知道集合对某种运算封闭,我们可利用该运算探究集合中的若干元素.23.6【解析】试题分析:由分别解得则函数则可知当时函数取得最大值为6考点:分段函数的最值问题解析:6 【解析】试题分析:由414,418,48x x x x x x +>++>-++>-+分别解得1, 1.4,2x x x >>>,则函数()8,2{4,1241,1x x f x x x x x -+≥=+<<+≤则可知当2x =时,函数{}()min 41,4,8f x x x x =++-+取得最大值为6 考点:分段函数的最值问题24.【解析】【分析】先由求出的值可得出函数的解析式然后再求出的值【详解】由题意得即解得因此故答案为【点睛】本题考查函数求值解题的关键就是通过题中复合函数的解析式求出函数的解析式考查运算求解能力属于中等题 解析:3【解析】 【分析】 先由()()43ff x x =-求出a 、b 的值,可得出函数()y f x =的解析式,然后再求出()2f 的值.【详解】 由题意,得()()()()()243ff x f ax b a ax b b a x ab b x =-=⋅--=-+=-,即2430a ab b a ⎧=⎪+=⎨⎪>⎩,解得21a b =⎧⎨=⎩,()21f x x ∴=-,因此()23f =,故答案为3.【点睛】本题考查函数求值,解题的关键就是通过题中复合函数的解析式求出函数的解析式,考查运算求解能力,属于中等题.25.【解析】【分析】【详解】函数有两个零点和的图象有两个交点画出和的图象如图要有两个交点那么 解析:02b <<【解析】 【分析】 【详解】函数()22xf x b =--有两个零点,和的图象有两个交点,画出和的图象,如图,要有两个交点,那么三、解答题26.(1)A 为()()104f x x x =≥,B 为())0g x x =≥;(2)A 产品投入3.75万元,B 产品投入6.25万元,最大利润为4万元 【解析】 【分析】(1)根据题意给出的函数模型,设()1f x k x =;()g x k =代入图中数据求得12,k k 既得,注意自变量0x ≥;(2)设A 产品投入x 万元,则B 产品投入()10x -万元,设企业利润为y 万元.,列出利润函数为()()104x y f x g x =+-=,用换元法,设t =函数可求得利润的最大值. 【详解】解:(1)设投资为x 万元,A 产品的利润为()f x 万元,B 产品的利润为()g x 万元由题设知()1f x k x =;()g x k =由图1知()114f =,114k =由图2知()542g =,254k =则()()104f x x x =≥,())0g x x =≥. (2)设A 产品投入x 万元,则B 产品投入()10x -万元,设企业利润为y 万元.()()104x y f x g x =+-=,010x ∴≤≤t =,则0t ≤≤则(2210515650444216t t y t t -⎛⎫=+=--+≤≤ ⎪⎝⎭当52t =时,max 65416y =≈, 此时2510 3.754x =-= 所以当A 产品投入3.75万元,B 产品投入6.25万元,企业获得最大利润为4万元. 【点睛】本题考查函数的应用,在已知函数模型时直接设出函数表达式,代入已知条件可得函数解析式.27.(1)()=32xf x ⋅;(2)1112m ≤. 【解析】试题分析:(1)由题意得2,3a b ==,即可求解()f x 的解析式;(2)设11()()()x xg x a b =+,根据()y g x =在R 上为减函数,得到min 5()(1)6g x g ==,再由11()()120xxm a b++-≥在(],1x ∈-∞上恒成立,得5216m -≤,即可求解实数m 的取值范围. 试题解析: (1)由题意得()x36a 2,b 3,f x 32a 24a b b ⋅=⎧⇒==∴=⋅⎨⋅=⎩(2)设()xxxx1111g x a b 23⎛⎫⎛⎫⎛⎫⎛⎫=+=+ ⎪ ⎪ ⎪ ⎪⎝⎭⎝⎭⎝⎭⎝⎭,则()y g x =在R 上为减函数 ∴当x 1≤时()()min 5g x g 16==xx1112m 0a b ⎛⎫⎛⎫∴++-≥ ⎪ ⎪⎝⎭⎝⎭在(]x ,1∞∈-上恒成立,即5112m 1m 612-≤⇒≤∴ m 的取值范围为:11m 12≤点睛:本题主要考查了函数解析式的求解和不等式的恒成立问题的应用,解答中涉及到函数满足条件的实数的取值范围的求法,以及函数的单调性的应用,解题时要认真审题,仔细解答,同时注意合理进行等价转化是解答本题的关键,试题有一定的难度,属于中档试题.28.(1)2,0a b ==;(2)()f x 在(],1-∞-上为增函数,证明见解析;(3)93,42⎡⎤--⎢⎥⎣⎦. 【解析】 【分析】(1)由函数为奇函数可得()312f =,()312f -=-,再联立解方程组即可得解; (2)利用定义法证明函数()f x 在(],1-∞-上为增函数即可; (3)由函数()f x 在[]2,1--上为增函数,则可求得函数的值域. 【详解】解:(1)由函数()212ax f x x b+=+是奇函数,且()312f =,则()312f -=-,即22113212(1)132(1)2a b a b ⎧⨯+=⎪⨯+⎪⎨⨯-+⎪=-⎪⨯-+⎩ ,解得:20a b =⎧⎨=⎩ ; (2)由(1)得:()2212x f x x+=,则函数()f x 在(],1-∞-上为增函数; 证明如下: 设121x x <≤-,则12()()f x f x -=211212x x +222212x x +-=2212212112222x x x x x x x x +--121212()(21)2x x x x x x --=,又因为121x x <≤-,所以120x x -<,12210x x ->,120x x >, 即12())0(f x f x -< ,即12()()f x f x <, 故()f x 在(],1-∞-上为增函数;(3)由(2)得:函数()f x 在[]2,1--上为增函数,所以(2)()(1)f f x f -≤≤-,即93()42f x -≤≤-,故[]2,1x ∈--,函数的值域为:93,42⎡⎤--⎢⎥⎣⎦. 【点睛】本题考查了函数的奇偶性及增减性,重点考查了利用函数的性质求函数的值域问题,属中档题.29.(1)0;(2)见解析;(3){x|x<0或x>5} 【解析】 【分析】 【详解】试题分析:(1)利用已知条件通过x=y=0,直接求f (0);(2)通过函数的奇偶性的定义,直接证明f (x )是奇函数;(3)利用已知条件转化不等式.通过函数的单调性直接求解不等12f(x 2)−f(x)>12f(3x)的解集即可.试题解析:(1)令x =y =0,得f(0)=f(0+0)=f(0)+f(0), ∴f(0)=0 定义域关于原点对称y =−x ,得f(x)+f(−x)=f(0)=0, ∴f(−x)=f(x)∴f(x)是奇函数12f(x 2)−f(x)>12f(3x),f (x 2)−f (3x )>2f (x ),即f (x 2)+f (−3x )>2f (x ),又由已知得:f(2x)=2f (x )∴f (x 2−3x )>f (2x ),由函数f (x )是增函数,不等式转化为x 2−3x >2x .∴x 2−5x >0,∴不等式的解集{x|x<0或x>5}.考点:抽象函数及其应用;函数单调性的性质;函数奇偶性的判断;其他不等式的解法. 30.(1){}11x x -<<(2)函数()f x 为奇函数,证明见解析(3){}01x x <<【解析】【分析】(1)根据题意,求函数定义域结合对数函数真数大于零得到关于x 的不等式组,求解即可得出答案。