热学实验习题讲解
- 格式:doc
- 大小:141.50 KB
- 文档页数:6
第五章热力学第一定律5-1、0、020Kg的氦气温度由升为,若在升温过程中:(1)体积保持不变;(2)压强保持不变;(3)不与外界交换热量,试分别求出气体内能的改变,吸收的热量,外界对气体所作的功,设氦气可瞧作理想气体,且,解:理想气体内能就是温度的单值函数,一过程中气体温度的改变相同,所以内能的改变也相同,为:热量与功因过程而异,分别求之如下:(1)等容过程:V=常量A=0由热力学第一定律,(2)等压过程:由热力学第一定律,负号表示气体对外作功,(3)绝热过程Q=0由热力学第一定律5-2、分别通过下列过程把标准状态下的0、014Kg氮气压缩为原体积的一半;(1)等温过程;(2)绝热过程;(3)等压过程,试分别求出在这些过程中气体内能的改变,传递的热量与外界对气体所作的功,设氮气可瞧作理想气体,且,解:把上述三过程分别表示在P-V图上,(1)等温过程理想气体内能就是温度的单值函数,过程中温度不变,故由热一、负号表示系统向外界放热(2)绝热过程由或得由热力学第一定律另外,也可以由及先求得A(3)等压过程,有或而所以===由热力学第一定律,也可以由求之另外,由计算结果可见,等压压缩过程,外界作功,系统放热,内能减少,数量关系为,系统放的热等于其内能的减少与外界作的功。
5-3 在标准状态下的0、016Kg的氧气,分别经过下列过程从外界吸收了80cal的热量。
(1)若为等温过程,求终态体积。
(2)若为等容过程,求终态压强。
(3)若为等压过程,求气体内能的变化。
设氧气可瞧作理想气体,且解:(1)等温过程则故(2)等容过程(3)等压过程5-4 为确定多方过程方程中的指数n,通常取为纵坐标,为横坐标作图。
试讨论在这种图中多方过程曲线的形状,并说明如何确定n。
解:将两边取对数或比较知在本题图中多方过程曲线的形状为一直线,如图所示。
直线的斜率为可由直线的斜率求n。
或即n可由两截距之比求出。
5-5 室温下一定量理想气体氧的体积为,压强为。
热力学练习题热传导与热容量计算实验热传导和热容量是热力学中重要的概念,通过实验可以准确计算它们的数值。
本篇文章将介绍热传导和热容量的基本原理,并通过一系列实验来演示如何计算它们的数值。
一、实验原理1. 热传导热传导是指热量在物质内部由高温区向低温区传递的过程。
传热的速度与物体的热导率、温度差和物体的几何形状有关。
热传导可以用以下公式表示:Q = -kA(dt/dx)其中,Q是传导热流量,k是物质的热导率,A是传热面积,(dt/dx)是温度梯度。
2. 热容量热容量是物质吸热能力的度量,表示物质在单位温度变化下吸收或释放的热量。
热容量可以用以下公式表示:C = Q/ΔT其中,C是热容量,Q是吸热量或放热量,ΔT是温度变化。
二、实验步骤1. 实验器材准备准备一个金属棒、温度计、热水槽和计时器。
2. 热传导实验将金属棒放入热水槽中加热,待金属棒温度升至一定温度后(如50℃),用温度计测量金属棒两端的温度,并记录下来。
3. 计算热传导速率根据实验数据和热传导公式,计算热传导速率。
首先计算温度梯度(dt/dx),再根据已知的热导率和传热面积,计算传导热流量Q。
4. 热容量实验将金属棒从热水槽中取出,放置于常温环境中。
用温度计记录金属棒的初始温度,并开始计时。
等待一段时间后,再次测量金属棒的温度,并停止计时。
记录下实验时间和温度数据。
5. 计算热容量根据实验数据和热容量公式,计算金属棒的热容量。
首先计算温度变化(ΔT),再根据已知的吸热量或放热量,计算热容量C。
三、实验结果与讨论根据实验数据和计算结果,可以得出金属棒的热导率和热容量的数值。
实验中可能存在一些误差,比如温度测量不够准确、传热过程中的换热不完全等。
因此,在实际应用中,需要对实验结果进行修正和误差分析。
四、实验应用热传导和热容量是许多领域中重要的参数。
在工程领域中,通过计算热传导和热容量,可以评估材料的传热性能和储热性能,从而选择合适的材料。
在物理学和化学中,热传导和热容量的数值可以用来解释许多热现象和反应。
热学习题讲解理解热力学中的常见难题热力学是自然科学中一个重要的分支,研究热与能量的转化和传递规律。
在学习热力学的过程中,我们常常会遇到一些难题,这些问题可能会让我们感到困惑和迷茫。
本文将针对热力学中的常见难题进行讲解,帮助读者更好地理解热力学的相关概念和原理。
1. 热力学第一定律热力学第一定律是能量守恒定律的表述,它描述了能量从一种形式转化为另一种形式时的能量守恒关系。
然而,在理解和应用第一定律时,我们经常会遇到以下难题:1)内能变化与工作和热量的关系:在一个封闭系统中,如果仅有热量传递而没有对外做功,内能的变化等于传递给系统的热量。
但当存在对外做功时,内能的变化就需要考虑到对外做功的能量损耗,即内能变化等于传递给系统的热量减去对外做功。
2)正负号的理解:热力学中习惯上规定系统吸收热量和对外做正功为正,放热和对外做负功为负。
然而,在实际问题中,正负号的判断常常困扰着我们。
要理解正负号的意义,可以借助能量转移的角度来判断:从高温系统向低温系统传递的热量为负,而从系统转移到外界的能量为正。
2. 热力学第二定律热力学第二定律是热流向的一个基本规律,它描述热量自然地只能从温度高的物体传递到温度低的物体,不会自发地沿相反方向进行传递。
然而,热力学第二定律也存在一些常见的难题:1)卡诺循环的理解:卡诺循环是热力学中一个重要的理想循环过程,描述了理想热机的工作原理。
在理解卡诺循环时,我们常常会困惑于理想热机的实现和参数设定。
要理解卡诺循环,可以将其看作由两个等温过程和两个绝热过程构成的循环,绝热过程中没有能量的交换,而等温过程则保持与热源的热交换。
2)熵增原理的应用:熵增原理是热力学中的一个重要概念,描述了自然界中熵的增加趋势。
在应用熵增原理时,我们常常会遇到求解熵变和熵增的问题。
要理解熵增原理的应用,可以将系统看作是一个庞大的整体,所以自然界总是倾向于让系统的熵增加,以使整个系统的能量更加分散和稳定。
3. 热力学第三定律热力学第三定律描述了在温度趋近于绝对零度时,热力学系统的熵趋于一个极小值。
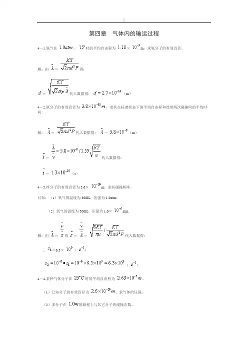
第四章气体内的输运过程4-1.氢气在,时的平均自由程为×m,求氢分子的有效直径。
解:由=得:=代入数据得:(m)4-2.氮分子的有效直径为,求其在标准状态下的平均自由程和连续两次碰撞间的平均时间。
解:=代入数据得:-(m)=代入数据得:=(s)4-3.痒分子的有效直径为3.6×m,求其碰撞频率,已知:(1)氧气的温度为300K,压强为1.0atm;(2)氧气的温度为300K,压强为1.0×atm解:由=得==代入数据得:=6.3×()()4-4.某种气体分子在时的平均自由程为。
(1)已知分子的有效直径为,求气体的压强。
(2)求分子在的路程上与其它分子的碰撞次数。
解:(1)由得:代入数据得:(2)分子走路程碰撞次数(次)4-5.若在下,痒分子的平均自由程为,在什么压强下,其平均自由程为?设温度保持不变。
解:由得4-6.电子管的真空度约为HG,设气体分子的有效直径为,求时单位体积内的分子数,平均自由程和碰撞频率。
解:(2)(3)若电子管中是空气,则4-7.今测得温度为压强为时,氩分子和氖分子的平均自由程分别为和,问:(1)氩分子和氖分子的有效直径之比是多少?(2)时,为多大?(3)时,为多大?解:(1)由得:(2)假设氩分子在两个状态下有效直径相等,由得:(3)设氖气分子在两个状态下有效直径相等,与(2)同理得:4-8.在气体放电管中,电子不断与气体分子相碰撞,因电子的速率远远大于气体分子的平均速率,所以后者可以认为是静止不动的。
设电子的“有效直径”比起气体分子的有效直径来可以忽略不计。
(1)电子与气体分子的碰撞截面为多大?(2)证明:电子与气体分子碰撞的平均自由程为:,n为气体分子的数密度。
解:(1)因为电子的有效直径与气体分子的有效直径相比,可以忽略不计,因而可把电子看成质点。
又因为气体分子可看作相对静止,所以凡中心离电子的距离等于或小于的分子都能与电子相碰,且碰撞截面为:(2)电子与气体分子碰撞频率为:(为电子平均速率)4-9.设气体分子的平均自由程为试证明:一个分子在连续两次碰撞之间所走路程至少为x的几率是解:根据(4.6)式知在个分子中自由程大于x的分子占总分子数的比率为=由几率概念知:对于一个分子,自由程大于x的几率为,故一个分子连续两次碰撞之间所走路程至少为x的几率是。
高中物理《热学实验》练习题(附答案解析)学校:___________姓名:___________班级:___________一、单选题1.把n 滴石油滴在水面上,石油在水面上形成一层单分子油膜,测得油膜的面积为S ,设每滴石油的体积为V ,则可以估算出该石油分子的直径为 ( ) A ./nS VB ./nV SC ./S VD ./V S2.某同学在做油膜法估测分子直径的实验,滴下油酸酒精溶液后,发现痱子粉迅速散开形成如图所示的“锯齿”边沿图案,可能是由于( )A .盆中水太多B .痱子粉撒得太多,且厚度不均匀C .盆太小,导致油酸无法形成单分子层D .油酸酒精溶液浓度过大3.在“用油膜法估测分子大小”的实验中,配制好适当比例的油酸酒精溶液,用注射器和量筒测得1mL 含上述溶液50滴,把1滴该溶液滴入盛水的浅盘内,让油膜在水面上尽可能散开,测出油膜的面积,便可算出油酸分子的直径。
某同学计算出的油酸分子的直径结果明显偏大,可能的原因是( ) A .油酸未完全散开 B .油酸中含有大量酒精C .计算油膜面积时将所有不足一格的方格均记为了一格D .求每滴溶液中纯油酸的体积时,1mL 溶液的滴数多记了几滴4.在“油膜法估测分子的直径”实验中将油酸分子看成是球形的,所采用的方法是( ) A .等效替代法B .控制变量法C .理想模型法D .比值定义法5.在“用油膜法估测油酸分子的大小”实验中,用到了“数格子”的方法,是为了估算( ) A .一滴油酸的体积B .一滴油酸酒精溶液中纯油酸形成的油膜的面积C .一个油酸分子的体积D .一个油酸分子的面积6.分子动理论较好地解释了物质的宏观热学性质。
根据分子动理论,判断下列说法中正确的是()A.显微镜下观察到墨水中的小炭粒在不停地做无规则运动,这反映了炭粒分子运动的无规则性B.磁铁可以吸引铁屑,这一事实说明分子间存在引力C.压缩气体比压缩液体容易得多,这是因为气体分子间距离远大于液体分子间距离D.将体积为V的油酸酒精溶液滴在平静的水面上,扩展成面积为S的单分子油膜,则该油酸分子直径为V S7.在做“用油膜法估测分子的大小”实验时,配制好浓度为0.06%的油酸酒精溶液(单位体积溶液中含有纯油酸的体积),1 mL上述溶液用注射器刚好滴75滴;在撒有均匀痱子粉的水面上用注射器滴1滴油酸酒精溶液,水面上形成油酸薄膜,下图为油膜稳定后的形状,每个正方形小方格的边长为10 mm。
⨯ 热学习题讲解1.3.1 要使一根钢棒在任何温度下都要比另一根铜棒长5 cm ,试问它们在0℃时的长度01l 及02l 分别是多少?已知钢棒及铜棒的线膨胀系数分别为:1α=1.2×10-5K -1,2α=1.6×10-5K -1。
答案:已知:1α=1.2×10-5K -1,2α=1.6×10-5K -1设1l 和2l 分别为钢棒和铜棒在温度为t ℃时的长度 求:01l 和02l 的长度 解:根据线膨胀公式得:1011(1)l l t α=+2022(1)l l t α=+两式相减得:120102011022()()l l l l l l t αα-=-+- 要使上面的式子与温度t 无关,则有:0110220l l αα-= 同时,01025l l -=联立上述二式并代入数据求得:0120l cm =,0215l cm =1.3.9:把521.010N m -⨯、30.5m 的氮气压入容积为30.2m 的容器中,容器中原已充满同温、同压下的氧气,试求混合气体的压强和两种气体的分压,设容器中气体温度保持不变。
已知:氮气 521 1.010P N m -=⨯,310.5V m =,1?T =2?P =, 320.2V m =,21T T =氧气 521 1.010P N m -'=⨯,12V V '= ,11T T'= 2?P '=, 22V V '=, 21T T '= 求: 2P ,2P ',22P P P '=+ 解:由PV RT ν=知5212122.510V P P N m V -==⨯∙ 521212110V P P N m V -'''==⨯∙'5222 3.510P P P N m -'=+=⨯∙1.6.3一容积为11.2L 的真空系统已被抽到1.3×103-Pa 的真空。
第一章温度1-1在什么温度下,下列一对温标给出相同的读数:(1)华氏温标和摄氏温标;(2)华氏温标和热力学温标;(3)摄氏温标和热力学温标解:(1)当时,即可由,解得故在时(2)又当时则即解得:故在时,【(3)若则有显而易见此方程无解,因此不存在的情况。
1-2 定容气体温度计的测温泡浸在水的三相点槽内时,其中气体的压强为50mmHg。
(1)用温度计测量300K的温度时,气体的压强是多少(2)当气体的压强为68mmHg时,待测温度是多少解:对于定容气体温度计可知:(1)(2)1-3 用定容气体温度计测得冰点的理想气体温度为,试求温度计内的气体在冰点时的压强与水的三相点时压强之比的极限值。
"解:根据已知冰点。
1-4用定容气体温度计测量某种物质的沸点。
原来测温泡在水的三相点时,其中气体的压强;当测温泡浸入待测物质中时,测得的压强值为,当从测温泡中抽出一些气体,使减为200mmHg时,重新测得,当再抽出一些气体使减为100mmHg时,测得.试确定待测沸点的理想气体温度.解:根据从理想气体温标的定义:依以上两次所测数据,作T-P图看趋势得出时,T约为亦即沸点为.》题1-4图1-5铂电阻温度计的测量泡浸在水的三相点槽内时,铂电阻的阻值为欧姆。
当温度计的测温泡与待测物体接触时,铂电阻的阻值为欧姆。
试求待测物体的温度,假设温度与铂电阻的阻值成正比,并规定水的三相点为。
解:依题给条件可得则故1-6在历史上,对摄氏温标是这样规定的:假设测温属性X随温度t做线性变化,即,并规定冰点为,汽化点为。
设和分别表示在冰点和汽化点时X的值,试求上式中的常数a和b。
解:由题给条件可知由(2)-(1)得]将(3)代入(1)式得1-7水银温度计浸在冰水中时,水银柱的长度为4.0cm;温度计浸在沸水中时,水银柱的长度为24.0cm。
(1)在室温时,水银柱的长度为多少(2)温度计浸在某种沸腾的化学溶液中时,水银柱的长度为25.4cm,试求溶液的温度。
中考物理《热学实验》专项练习题(含答案)学校:___________班级:___________姓名:___________考号:___________1. 在探究“海波熔化时温度随加热时间变化的规律”时,某同学根据实验目的,进行了认真规范的实验操作。
当海波开始熔化时,他每隔1min记录一次海波的温度,获得的实验数据如下表所示。
根据实验数据可得出的结论是_____________,可判断出海波是________(选填“晶体”或“非晶体”)。
加热时间/min 0 1 2 3 4 5海波的温度℃48 48 48 48 48 48 2. 探究固体熔化时温度的变化规律实验中,组装如图甲所示的实验装置,在两个分别盛有海波和蜂蜡的试管中各插入一支温度计,再将试管放在盛水的烧杯中。
用酒精灯对烧杯缓慢加热,仔细观察温度计的示数变化和试管内海波及蜂蜡的问题变化情况。
记录温度随时间变化的规律如图乙所示。
(1)由甲图可知,海波和蜂蜡在熔化时都需要不断___________(选填“吸热”或“放热”);(2)分析乙图可知,海波和蜂蜡温度变化的不同点在___________(选填“熔化前”或“熔化中”)。
3.在探究“物质熔化规律”的实验中,小芳将质量相等的冰和石蜡分别装在两个相同的试管中,并放在同一个装有水的大烧杯中进行加热,如图甲所示。
装冰的试管中从2min开始出现液体到6min固态物质完全消失,装石蜡的试管中从4min开始出现液体到9min固态物质完全消失。
(1)图甲中,实验器材的安装顺序是______(选填“从上至下”或“从下至上”);(2)图乙中根据实验数据已经绘制出石蜡的温度随时间变化的图象,同时在坐标纸上将冰的实验记录数据描点如图,请用笔画线,将图像补充完整______;(3)根据完成后的图像可以判断______(选填“冰”或“石蜡”)是晶体,其熔化过程经历了______min;(4)实验中还发现:当冰全部熔化后,继续加热使烧杯中的水沸腾并持续一段时间,发现试管中的水始终不会沸腾,其原因可能是______。
《热学教程》习题参考答案第四章 习 题4-1. 电子管的真空度为1.333×103-Pa,设空气分子有效直径为3.0×1010-m,求27℃时空气分子的数密度n ,平均自由程λ和碰撞频率Z .(答: 3.2×1017m 3-,7.8 m ,60s 1-) 解:由nkT P =,可得)m (1021.3317-⨯==kTP n 分子平均自由程为)m (78.7212==n d πλ碰撞频率为 )s (2.6081-===λπμλRTvZ4-2. 求氦原子在其密度2.1×102-kg/m 3,原子的有效直径=d 1.9×1010-m 的条件下的平均自由程λ.(答:1.97×106-m)解:由n N mn A μρ==,可得 )m (1016.3324-⨯==μρA N n 分子平均自由程为)m (10972.12162-⨯==nd πλ 4-3. 试估算宇宙射线中的质子在海平面附近的平均自由程.(答:约m 102.16-⨯)4-4. 测得温度15℃和压强76cmHg 时氩原子和氖原子的平均自由程分别为Ar λ=6.7×108-m 和Ne λ=13.2×108-m ,试问:(1)氩原子和氖原子的有效直径各为多少?(2) 20℃和15cmHg 时Ar λ和-40℃和75cmHg 时Ne λ多大?(答(1)101063.3-⨯m,101059.2-⨯m; (2) 71045.3-⨯m, 71080.1-⨯m)解:(1)由Pd kT n d 22221ππλ==,可得 )m (1063.321021Ar Ar -⨯=⎪⎪⎭⎫ ⎝⎛=λπP kT d)m (1059.221021Ne Ne -⨯=⎪⎪⎭⎫ ⎝⎛=λπP kT d(2)由分子平均自由程与温度及压强的关系)m (1045.3107.6288157629378Ar11212Ar2--⨯=⨯⨯⨯⨯==λλT P P T )m (1008.1102.13288757623378Ne11212Ne2--⨯=⨯⨯⨯⨯==λλT P P T 4-5. 高空的一片降雨云层,单位时间通过单位面积的降雨量为Q =10cm/hour 。
1.3.7 在标准状态下给一气球充氢气。
此气球的体积可由外界压强的变化而改变。
充气完毕时该气球的体积为,而球皮体积可予忽略。
(1)若贮氢的气罐的体积为,罐中氢气压强为1.25Mpa ,且气罐与大气处于热平衡,在充气过程中的温度变化可以不计,试问要给上述气球充气需这样的贮气罐多少个?(2)若球皮重量为12.8kg ,而某一高处的大气温度仍为,试问气球上升到该高度还能悬挂多重物品而不至坠下。
【分析】(1)按照给气体充气前后所充氢气的物质的量不变这一点列出方程。
(2)由于此气球的体积可由外界压强的变化而改变,因而气球上升过程中可以自由膨胀,始终维持气球内外压强相等。
它所受到的浮力等于排开同体积空气的质量。
列出气球的力平衡方程。
【解】(1)设,1066.5,25.1,566,1.03211300m V MPa p m V MPa p -⨯====储气罐总共需要n 个,则根据等温条件下的理想气体定律,可以得到:870)()()(1010010011=-=+=V P P V P n nV V p nV p (2)气体始终维持气球内外压强相等。
它受到的浮力等于推开的同体积空气所受到的重力。
000RT g M V p F A m =其中M mA 为空气的摩尔质量,设氢气的质量为m H ,则有00RT M V p m Hm H =设气球的球皮质量为m 皮,为不使气球坠下,可挂的重物质量为kgRT M M V p RT M V p RT M V p m H m A m H m A m 8.660m )(m -000000000=--=-=皮皮重物1. 3. 10 一端开口,横截面积处处相等的长管中充有压强p 的空气。
先对管子加热,使它形成从开口端温度1000K 均匀变为闭端200K 的温度分布,然后把管子开口端密封,再使整体温度降为100K ,试问管中最后的压强是多大?〖分析〗: 开始时长管中气体有温度分布,所以它不处于平衡态。
习题分析和解答[说明:本栏内容对学生是有条件地开放]第一章△1. 3. 6一抽气机转速1m in 400-⋅=r ω,抽气机每分钟能抽出气体20 l (升)。
设容器的容积 V 0 = 2.0 1,问经过多长时间后才能使容器内的压强由0.101 Mpa 降为 133 Pa 。
设抽气过程中温度始终不变。
〖分析〗: 抽气机每打开一次活门, 容器内气体的容积在等温条件下扩大了 V , 因而压强有所降低。
活门关上以后容器内气体的容积仍然为 V 0 。
下一次又如此变化,从而建立递推关系。
〖解〗: 抽气机抽气体时,由玻意耳定律得:活塞运动第一次:)(0100V V p V p +=0001p V V V p +=活塞运动第二次: )(0201V V p V p +=02001002p V V V p V V V p ⎪⎪⎭⎫ ⎝⎛+=+= 活塞运动第n 次: )(001V V p V p n n +=- n n V V V p p ⎪⎪⎭⎫ ⎝⎛+= 000 V V V n p p n n +=00ln(1) 抽气机每次抽出气体体积 l 05.0l )400/20(==V l 0.20=V Pa 1001.150⨯=p Pa 133=n p将上述数据代入(1)式,可解得 276=n 。
则 s 40s 60)400/276(=⨯=t1. 3. 8 两个贮着空气的容器 A 和 B ,以备有活塞之细管相连接。
容器A浸入温度为 C 10001=t 的水槽中,容器B 浸入温度为C 2002-=t 的冷却剂中。
开始时,两容器被细管中之活塞分隔开,这时容器 A 及 B 中空气的压强分别为 MPa 3053.01=p ,MPa 0020.02=p 。
它们的体积分别为 ,l 25.01=V l,40.02=V 试问把活塞打开后气体的压强是多少?〖分析〗: 把活塞打开后两容器中气体混合而达到新的力学平衡以后,A 和 B 中气体压强应该相等。
《热学教程》习题参考答案第六章 习 题6-1. 有人声称设计出一热机工作于两个温度恒定的热源之间,高温和低温热源分别为400K 和250K ;当此热机从高温热源吸热2.5×107cal 时,对外作功20 kW ﹒h ,而向低温热源放出的热量恰为两者之差,这可能吗?解:此热机的效率应为 ()()%5.374002501112=-=-=T T η,故当热机从高温热源吸热71105.2⨯=Q cal 时,能提供的功为6711038.9375.0105.2⨯=⨯⨯==ηQ W cal ,同时向低温热源放出热量为7671210562.11038.9105.2⨯=⨯-⨯=-=W Q Q cal 。
这样,倘若本题所设计的热机能够实现,它对外的作功值 20kw·h 710728.1⨯=cal 显然超过了此卡诺热机可能的最大输出功 61038.9⨯cal ,所以设计这样的热机是不可能的。
6-2.设有1mol 的某种单原子理想气体,完成如图所示的一个准静态循环过程,试求:(1)经过一个循环气体所作的净功;(2)在态C 和态A 之间的内能差;(3) 从A 经B 到C 过程中气体吸收的热量。
(答:(1)314 J;(2)600 J;(3)1157 J)解:如图所示,1mol 在V p -图上,描述此圆的方程为()[]()[]1222020=-+-V V p p, 其中的33050m 10,Pa 10-==V p 。
(1)经过一个循环过程,气体所做的功等于描述此循环过程的圆面积,即31400=V p πJ ;(2)与A 和C 点的温度为 ()()R V p R V p T A A A 002==和()()R V p R V p T C C C 006==,故两点之间的内能差为 ()600600==-=-=∆V p T T C U U U A C V A C A C J ,其中的定容热容()R C V 23=;(3)依据热力学第一定律,气体在ABC 过程中吸收的热量 W U Q +∆=,其中的内能增量U ∆已由(2)求得;而过程中所做的功可由过程曲线下所包含的面积求得:()5574210000=+=V p V p W πJ ,故1157=Q J ;(4)循环最高和最低温度分别发生在()[]22201+=p p ,()[]22201+=V V习题6-2图和()[]22202-=p p ,()[]22202-=V V所以相应的最高温度值为:()()()[]2.88222200111=+==R V p R V p T K ,最低温度值为 ()()()[]1.20222200222=-==R V p R V p T K ;(5)此循环效率为 ()12Q W =η,式中的循环功已由(1)求得 314=W J ,而循环吸热将发生在气体从最低温度2T 升至最高温度1T 之间,故()()()()%373699.01.202.8831.823232112≅=-⨯⨯=-=T T R Q 。
习题范例解析热学中的热力学循环问题热学中的热力学循环问题一直是学习热学的学生们头疼的难题之一。
本文将通过习题范例解析的方式,帮助读者更好地理解热力学循环问题,并提供解决方案。
下面将分别以卡诺循环和斯特林循环为例进行详细解析。
一、卡诺循环卡诺循环是热力学中最为理想的循环过程,通过一系列的绝热和等温过程实现了高效的能量转换。
首先,我们来看一个相关的习题:【习题一】一台卡诺循环的制冷机在低温端的温度为273K,在高温端的温度为373K。
求该卡诺循环的制冷机制冷系数。
【解析】在解答这个问题之前,我们需要回顾一下制冷机制冷系数的定义:制冷机制冷系数COP是指制冷机实际制冷量与所消耗的功的比值。
根据卡诺循环的特点,我们可以知道制冷机在低温端的绝对温度为273K,在高温端的绝对温度为373K。
设制冷机实际制冷量为Q,所消耗的功为W。
根据卡诺循环的热力学效率公式:η = 1 - T2 / T1其中,η表示热力学效率,T2表示低温端的绝对温度,T1表示高温端的绝对温度。
由于制冷机的制冷量与消耗的功的比值等于卡诺循环热力学效率,所以制冷机的制冷系数COP等于卡诺循环的热力学效率。
代入T2=273K,T1=373K,可得热力学效率:η = 1 - 273/373 ≈ 0.268因此,该卡诺循环的制冷机制冷系数COP约为0.268。
二、斯特林循环斯特林循环是一种基于气体膨胀和压缩进行能量转换的循环过程。
接下来,我们来看一个与斯特林循环相关的习题:【习题二】一个斯特林循环的热机在低温端的温度为300K,在高温端的温度为800K。
已知该热机的热容比γ=1.4,求斯特林循环的最高效率。
【解析】斯特林循环的最高效率可以通过工作物质的绝热指数γ计算得出。
根据斯特林循环的特点,我们可以得知最高效率出现在绝热指数γ=1.4的情况下。
根据斯特林循环的最高效率计算公式:ηmax = 1 - (T2 / T1)^(γ-1)其中,ηmax表示最高效率,T2表示低温端的绝对温度,T1表示高温端的绝对温度,γ表示热容比。
《热学教程》习题解答第一章习题(P43)1.1解:根据trR R R T 16.273)(= 则: )K (1.29135.9028.9616.273=⨯=T1.2解:(1)摄氏温度与华氏温度的关系为C)(5932F)( t t +=解出: 40-=t(2)华氏温标与开氏温标的关系为)15.273(5932-+=T t解出: 575=t(3)摄氏温度与开始温度的关系为15.273-=T t可知:该方程无解,即摄氏温标和开氏温标不可能给出相同的读数。
1.3解:根据定压理想气体温标的定义式K 15.373732038.0K 16.273limK 16.273)(0===→trP V V V T tr1.4解:(1)第三种正确。
因为由实验发现,所测温度的数值与温度计的测温质有关,对同种测温质,还与其压强的大小有关。
(2)根据理想气体温标定义trP P PT tr 0limK 16.273→=当这个温度计中的压强在水的三相点时都趋于零时,即0→tr P 时,则所测温度值都相等。
1.5解:(1)根据2t t βαε+=,由t 值可求出ε的值(见后表)(2)根据b a t +=*ε,利用0=*t ,100=*t 及相应的ε值,可得b a +⨯=00与 b a +⨯=15100解出:0,320==b a这样,由ε320=*t 求出相应的*t 值(见后表)。
(3)将与t 对应的ε及*t 值列表如下:由表中数据即可作出t -ε,*-t ε和*-t t 图(图略)。
(4)很明显,除冰点,t 与*t 相同外,其它温度二者温度值都不相同。
*-t ε是正比关系,但是用温度t 是比较熟悉的,与日常生活一致。
1.6解:当温度不变时,C PV =,设气压计的截面积为S ,由题意可知:S P S )73474880()734(80)748768(-+⨯-=⨯-可解出:)Pa (1099.9)Pa (76010013.1)734948020(45⨯=⨯⨯+⨯=P1.7解:设气体压强分别为P 1、P 2,玻璃管横截面积为S ,由题意可知: (1)cmHg P P 2001+= hcmHg P P -=02S h P S P )70()2070(21-⨯=-⨯解出:)cm (55.3=h (注意大气压强单位变换) (2)S P S P 70)2070(21⨯≥-⨯ )Pa (1065.65040⨯=≤cmHg P1.8答:活塞会移动。
1、为了探究物体吸收的热量与哪些因素有关,物理兴趣小组的同学们进行了种
种的猜想.
(1)经过实验探究,证实了三种猜想是正确的:即物体吸收的热量除了与物质的种类有关,还与_____,_______有关.
(2)为了验证吸收的热量多少与物质的种类有关,他们设计了如图所示的实验,小明同学针对此实验列出了以下两点注意事项:
A.两个烧杯及杯中的电热水器必须是相同的;
B.杯中装的煤油和水的质量和初温必须相同;
以上注意事项中_____点中_______________是多余的.
(3)以上实验怎样得知水和煤油吸收的热量是不同的?
解:(1)进行实验探究可知,物体吸收的热量与物质的种类、温度变化和质量有关;
(2)因物体吸收的热量与温度的变化△t有关,即初末温度差有关,因此B选项中的初温必须相同是多余的;
(3)实验中可以通过控制加热时间让水和煤油吸收的热量不同;
故答案为:(1)质量,温度变化;(2)B,初温必须相同;(3)比较加热时间.2.某同学为了探究温度升高时吸收热量的多少与哪些因素有关,做了如下实验:
在四个相同的烧杯中分别盛有水和煤油,用同样的加热器加热,下表是他的实验数据记录:
请根据表中的实验记录回答:
(1)比较_______记录(填烧杯号),得出的结论是同种物质在升高相同的温度时,吸收的热量和物体的质量有关.
(2)比较_________记录,得出的结论是物体温度升高时吸热的多少与物质种类有关.
(3)在本次实验中用同样的加热器的目的是__________________________ (4 )实验中如果没有计时器测量时间,我们可以在相同的时间内比较_______________________而比较它们吸收的热量.
解:(1)结论是同种物质在升高相同的温度,只有1、2实验.
(2)结论是物体温度升高时吸热的多少与物质种类有关,需要选相同质量的,
实验次数物质种类质量/g 熔化时所需吸收热
量/J
1 固态酒精 1 99
2 固态酒精 2 198
3 固态酒精 3 297
4 固态酒精 4 396
5 冰 1 337
6 冰 2 674
7 固态二硫化碳 1 190
(1)由1、5、7三次实验我们发现,晶体完全熔化所需吸收的热量与________有关;
(2)用描点法作出固态酒精熔化时所需吸收的热量与质量关系图线;
(3)由图我们发现,同种晶体熔化时所需吸收的热量Q与质量m存在定量关系:Q=λm,式中λ酒精= _______;(要求有单位)
(4)λ在物理上称为物质的熔解热,请模仿热值的定义给熔解热定义:
_________的某种晶体熔化时所需吸收的热量.
解:(1)由1、5、7三次实验我们发现,晶体完全熔化所需吸收的热量与物质种类有关.
(2)描点发作图,先描出个数据在坐标纸上对应的点,然后把各点连接起来,得到图象如图所示.
解:根据Q=cm△t可知,质量相同的不同物质,吸收相同的热量,比热容大的温度改变的少;
相同质量的海水和沙石,经过相同时间的日照,吸收的热量相同,由于海水的比热容大于沙石的比热容,所以海水的温度变化比沙石的温度变化要小;所以沿海地区昼夜温差小,而沙漠地区昼夜温差大.
11、(2012•)某家庭需要将50kg、20℃的水加热到60℃作为生活用热水,他们利用煤气灶烧水,需燃烧0.8kg煤气.已知煤气的热值q=4.2×107J/kg,水的比热容c=4.2X103J/kg.求:
(1)50kg、20℃的水加热到60℃需吸收的热量;
(2)完全燃烧0.8kg煤气放出的热量;
(3)煤气灶烧水的效率.
解:(1)水吸收的热量:
Q吸=cm△t
=4.2×103J/(kg•℃)×50kg×(60℃-20℃)
=8.4×106J;
(2)0.8kg煤气完全燃烧放出的热量:
Q放=mq=0.8kg×4.2×107J/kg=3.36×107J;
(3)燃气灶烧水的效率:
η=Q吸/Q放=8.4×106J/3.36×107J=25%.
答:(1)水吸收的热量为8.4×106J;
(2)0.8kg煤气完全燃烧放出的热量为3.36×107J;
(3)燃气灶烧水的效率为25%.。