初一数学有理数加减乘除混合运算练习题
- 格式:doc
- 大小:101.50 KB
- 文档页数:2
初一数学有理数加减乘除混合运算练习题有理数加减乘除混合运算练习题37734(-1620512)×(-15×4)187(-2.4)341121 2÷(-7)×7÷(-51]÷(-117)[152-(14÷15+32)8)1531121×(-5)÷(-1 5)×5-(3-21+14-7)÷(-42)521-13×23-0.34×7+3×(-13)-7×0.348-(-25)÷(-5)11111(-13)×(-134)×13×(-67)(-478)-(-52)+(-44)-3821(-16-50+35)÷(-2)(-0.5)-(-314)+6.75-522178-87.21+4321+531921-12.79(-6)×(-4)+(-32)÷(-8)-321-7-(-12)+|-12|(-9)×(-4)+(-60)÷12[(-149)-157+218]÷(-421)-34×(8-213-0.04)(213-312+11718)÷(-116)×(-7)|-3|÷10-(-15)×13-1315×(327-165)÷22-有理数加减乘除混合运算练习题(-167337420512)×(-15×4)187(-2.4)2÷(-7)×7÷(-57)[152-(14÷15+32)]÷(-18)2113111×(-5)÷(-)×5-(-+-)÷(-)5-13×3-0.34×7+3×(-13)-7×0.34 8-(-25)÷(-5)(-13)×(-134)×(-16-50+35)÷(-2)(-0.5)-(-34)+6.75-5 ×(-1677111)(-48)-(-52)+(-44)-381178-87.21+4321+5321-12.79(-6)×(-4)+(-32)÷(-8)-3-7-(-2)+|-12|(-9)×(-4)+(-60)÷1219158 [(-14)-17+21]÷(-42)-|-3|÷10-(-15)×3 22191131-4×(8-23-0.04)3157-15×(32-16)÷22(23-32+118)÷(-16)×(-7)每日一练(一)一、计算。
1.先乘方,再乘除,最后加减;之樊仲川亿创作3. 同级运算,从左到右进行;4.如有括号,先做括号内的运算,按小括号、中括号、大括号依次进行.1、12411 ()()()23523+-++-+-2、4(81)( 2.25)()169-÷-⨯-÷ 3、11(22)3(11)+--⨯- 4、31(12)()15(1)45+⨯--⨯-5、2232[3()2]23-⨯-⨯--6、33102(4)8-÷--7、)]21)21[(122--÷8、121)]3()2[(2⨯-⨯-9、)6(]32)5.0[(22-⨯--10、23533||()14714-⨯-÷11、—22—(—2)2—23+(—2)3 12、2223116(1)(3)(1)(3)22-⨯---÷-⨯-13、199711(1)(10.5)()312----⨯÷- 14、33514(1)(8)(3)[(2)5]217---⨯+-÷-+15、-10 + 8÷(-2 )2-(-4 )×(-3 ) 16、-49 + 2×(-3 )2 + (-6 )÷(-91)17、-14 + ( 1-0.5 )×31×[2×(-3)2] 18、(-2)2-2×[(-21)2-3×43]÷51.19、)8()4()6(52-÷---⨯20、0)132()43(2⨯+-+- 21、6)12()4365127(÷-⨯+-22、22)4()5(25.0)4()85(-⨯-⨯--⨯-23、)23232(21)21(2--⨯+- 24、[][]332)2(3)5(6)7(4-÷--+÷-⨯-25、6-(-12)÷2)2(- 26、(-48)÷ 8 -(-5)÷2)21(- 27、42×)43()32(-+-÷ 0.25 28、()23)9181(-÷-29、()()333232÷---⨯-30、(-5)×6+(-125) ÷(-5)331、)251(4)5(25.0-⨯⨯-⨯-- 32、22)3(61)2132(1-+÷-+-1、【基础题】计算:(1)618-÷)(-)(-312⨯; (2))(-+51232⨯; (3))(-)(-49⨯+)(-60÷12; (4)23)(-×[ )+(--9532 ]. (1))(-)+(-2382⨯; (2)100÷22)(--)(-2÷)(-32; (3))(-4÷)(-)(-343⨯; (4))(-31÷231)(--3214)(-⨯. (1)36×23121)-(; (2)12.7÷)(-1980⨯; (3)6342+)(-⨯;(4))(-43×)-+(-31328; (5)1323-)(-÷)(-21; (6)320-÷34)(-81-;(7)236.15.02)-(-)(-⨯÷22)(-; (8))(-23×[ 2322-)(- ]; (9)[ 2253)-(-)(- ]÷)(-2;(10)16÷)(-)-(-)(-48123⨯. (1)11+(-22)-3×(-11); (2)0313243⨯⨯)-(-)(-;(3)2332-)(-;(4)23÷[ )-(-)(-423]; (5))-(8743÷)(-87; (6))+()(-654360⨯; (7)-27+2×()23-+(-6)÷()231-; (8))(-)-+-(-4151275420361⨯⨯. (1))-(-258÷)(-5; (2)-33121)(--⨯; (3)223232)-(-)(-⨯⨯;(4)0132432⨯⨯)+(-)(-;(5))(-+51262⨯; (6)-10+8÷()22--4×3; (7)-51-()()[]55.24.0-⨯-; (8)()251--(1-0.5)×31; (1)(-8)×5-40; (2)(-1.2)÷(-13)-(-2);(3)-20÷5×14+5×(-3)÷15; (4)-3[-5+(1-0.2÷35)÷(-2)];(5)-23÷153×(-131)2÷(132)2; (6)-52+(1276185+-)×(-2.4) 参考答案1、-1/52、-13、224、95、96、 07、-48 8、-1 9、-15 10、-15/34311、-24 12、-89 13、3 14、2 15、-2016、23 17、2 18、24 19、-28 20、9/1621、1 22、10 23、-1/12 24、104/3 25、926、1427、-3128、-81又1/81 29、-9 30、-29 31、-1/5 32、9 1、【答案】 (1)17; (2)511; (3)31; (4)-11 2、【答案】 (1)-10; (2)22; (3)-16; (4)-25 3、【答案】 (1)1; (2)0; (3)42; (4)423; (5)18; (6)0; (7)-4.64; (8)37; (9)8; (10)-25.4、【答案】 (1)22; (2)0; (3)-17; (4)-423; (5)71; (6)-95; (7)-85;(8)6 .5、【答案】 (1)3; (2)1; (3)-54; (4)0; (5)526; (6)-20; (7)-2; (8)-67.6、【答案】(1)-80; (2)5.6; (3)-2; (4)16; (5)-516; (6)-2.9温习 有理数的乘除、乘方运算测试题一、填空题(每小题3分,共30分) 1.3×(-2)=________,(-6)×(-31)=________. 2.(-3)2的底数是________,结果是________;-32的底数是________,结果是________.3.(-61)÷(+23)=________;-493÷(-176)=________;(+8)÷(-41)=________. 4.23×(-41)3=________;(-91)÷(+34)2=________.5.(-32)×________=1;(-32)×________=-16.-65×(-2.4)×(-53)=________.7.-32×(-5)2÷(-21)3=________.8.我国台湾省的面积约为3600平方千米,用科学记数法暗示为________. 9.+121的倒数是________;________的倒数是-54. 10.用“>”“<”填空: ①23________22②(21)2________(21)3 ③32________22④(-2)3________(-2)2二、判断题(每小题1分,共5分) 11.零除以任何数都得零( )12.互为相反数的两个数的积为正数( ) 13.如果ab >0,则a >0且b >0( )14.1除以一个非零数的商叫做这个数的倒数( ) 15.(-3)5暗示5个-3相乘( ) 三、选择题(每小题3分,共21分) 16.下列说法,其中错误的有①一个数与1相乘得原数;②一个数乘以-1得原数的相反数;③0乘以任何数得0;④同号两数相乘,符号不变.A .1个B .2个C .3个D .4个17.下列各对数:①1与1;②-1与1;③a -b 与b -a ;④-1与-1;⑤-5与|6|,其中互为倒数的是A .①②③B .①③⑤C .①③④D .①④ 18.下列各题中两个式子的值相等的是A .-23与(-2)3B .32与23C .(-2)2与 -22D .|-2|与-|-2| 19.下列结论中,其中正确的个数为①0的倒数是0;②一个不等于0的数的倒数的相反数与这个数的相反数的倒数相等;③其倒数等于自身的数是±1;④若a,b 互为倒数,则-ab=-1.A .4B .3C .2D .1 20.下列各式中结果大于0的是 A .1-910×3 B .(1-910)×3 C .1-(9×3)10 D .(1-9)10×3 21.下列说法中正确的是 A .一个数的平方必为正数B .一个数的平方必小于这个数的绝对值C .一个数的平方必大于这个数D .一个数的平方不成能为正数22.用科学记数法暗示的数2.89×104,原来是 A .2890 B .2890000 C .28900 D .289000 四、计算题(共35分)23.(3分)(-3)×(-5)×(+12)×(-21) 24.(3分)-6÷(+3)÷(-4)×(+2) 25.(3分)-5-6÷(-3)26.(3分)(-81)÷241×91÷(-16) 27.(3分)-22×(-3)÷5428.(3分)(-1)2000×(-1)2001×(-1)2002÷(-1)200329.(3分)(-2)×(-2001)×[-21-(-21)]×1-2002 30.(3分)-)45()45(5222-÷-⨯⨯ 31.(3分)(-5)2÷5×632.(3分)(-2.5)÷(-310)×(-3) 33.(5分)30×(21-31+53-109)五、解答题(9分)34.已知A=a+a2+a3+……+a2000 (1)若a=1,求A 的值. (2)若a=-1,求A 的值.参考答案一、1.-6 2 2.-3 9 3 -9 3.-91913-32 4.-81 -161 5.-2323 6.-1.2 7.1800 8.3.6×103平方千米 9.32 -14110.> > > <二、11.× 12.× 13.× 14.√ 15.√三、16.A 17.D 18.A 19.B 20.D 21.D 22.C 四、23.-90 24.1 25.-3 26.4127.15 28.1 29.-2002 30.1 31.30 32.-4933.-4。
数学练习(一)〔有理数加减法运算练习〕、加减法法则、运算律的复习。
A. △同号两数相加,取,并把1、(- 3) + (- 9) 2 、85+ (+15)/ 1、 / 2、/ / 2、3、(- 3 — ) + ( - 3 —)4 、(-3.5 ) + ( - 5 —)633△绝对值不相等的异号两数相加,取 ______________________________ ,并用 _______________________ ______________ . 互为 _____________________ 的两个数相加得 0。
1、( - 45) + ( +23)2、(- 1.35 ) +6.353、2-+ ( - 2.25 )4△ 一个数同0相加,仍得 _________________ 。
1、(- 9) + 0= ______________ ; 2、0 + (+15)C / c 1、 /3、 3/ 2 2 2 / 2、 3、(+ 3) + (- 2 ) + 5+ (- 8 )4 、 — + + (-)45455 115C. 有理数的减法可以转化为 _△减法法则:减去一个数,等于1、(- 3)-( - 5)、31 -(- 13 )、0-(- 7)4、(- 9) +7B. 加法交换律: a + b = __1、(- 1.76 ) + (- 19.15 ) + ( - 8.24)加法结合律: (a + b) + c = ______________ 2、23+ (- 17) + (+7) + (- 13).来进行,转化的“桥梁”是______ 运算。
即 a + b - c = a + b + ______________△把-2.4 -( - 3.5 ) + (- 4.6 ) +什3.5)写成省略加号的和的形式是 _______________________ , 读作: ____________________________ ,也可以读作: ______________________________ 。
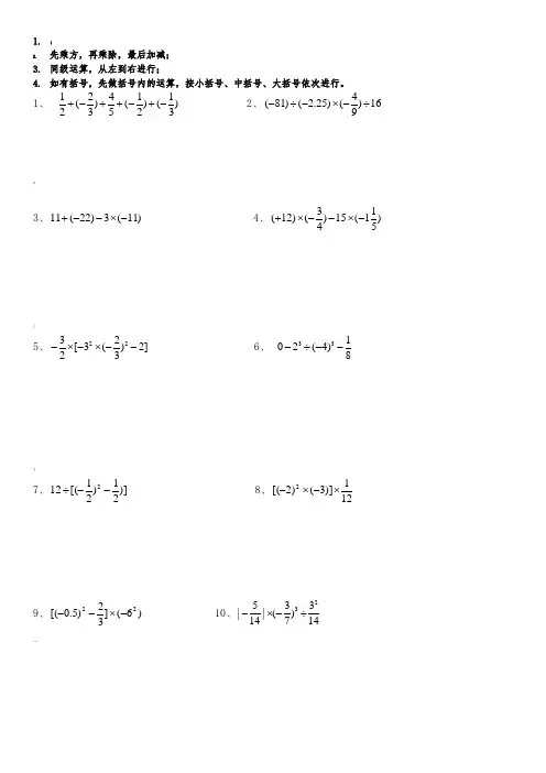
1. !2. 先乘方,再乘除,最后加减;3. 同级运算,从左到右进行;4. 如有括号,先做括号内的运算,按小括号、中括号、大括号依次进行。
1、12411 ()()()23523+-++-+-2、4(81)( 2.25)()169-÷-⨯-÷^3、11(22)3(11)+--⨯-4、31(12)()15(1)45+⨯--⨯-/5、2232[3()2]23-⨯-⨯--6、 33102(4)8-÷--7、)]21)21[(122--÷ 8、121)]3()2[(2⨯-⨯-9、)6(]32)5.0[(22-⨯-- 10、23533||()14714-⨯-÷—\11、—22—(—2)2—23+(—2)3 12、2223116(1)(3)(1)(3)22-⨯---÷-⨯-/13、199711(1)(10.5)()312----⨯÷- 14、33514(1)(8)(3)[(2)5]217---⨯+-÷-+。
15、-10 + 8÷(-2 )2 -(-4 )×(-3 ) 16、-49 + 2×(-3 )2 + (-6 )÷(-91);17、-14 + ( 1- )×31×[2×(-3)2] 18、(-2)2-2×[(-21)2-3×43]÷51.]2232~21、6)12()4365127(÷-⨯+- 22、22)4()5(25.0)4()85(-⨯-⨯--⨯-^23、)23232(21)21(2--⨯+- 24、[][]332)2(3)5(6)7(4-÷--+÷-⨯-@25、6-(-12)÷2)2(- 26、(-48)÷ 8 -(-5)÷2)21(- /27、42×)43()32(-+-÷ 28、()23)9181(-÷-29、()()333232÷---⨯- 30、(-5)×6+(-125) ÷(-5)3¥31、)251(4)5(25.0-⨯⨯-⨯-- 32、22)3(61)2132(1-+÷-+-%1、【基础题】计算:(1)618-÷)(-)(-312⨯; (2))(-+51232⨯;`(3))(-)(-49⨯+)(-60÷12; (4)23)(-×[ )+(--9532 ].>(1))(-)+(-2382⨯; (2)100÷22)(--)(-2÷)(-32;"(3))(-4÷)(-)(-343⨯; (4))(-31÷231)(--3214)(-⨯.【(1)36×23121)-(; (2)÷)(-1980⨯;\(3)6342+)(-⨯; (4))(-43×)-+(-31328;;(5)1323-)(-÷)(-21; (6)320-÷34)(-81-;】(7)236.15.02)-(-)(-⨯÷22)(-; (8))(-23×[ 2322-)(- ];,(9)[ 2253)-(-)(- ]÷)(-2; (10)16÷)(-)-(-)(-48123⨯. 、<(1)11+(-22)-3×(-11); (2)0313243⨯⨯)-(-)(-;—(3)2332-)(-; (4)23÷[ )-(-)(-423];·(5))-(8743÷)(-87; (6))+()(-654360⨯;》(7)-27+2×()23-+(-6)÷()231-; (8))(-)-+-(-4151275420361⨯⨯.((1))-(-258÷)(-5; (2)-33121)(--⨯;…(3)223232)-(-)(-⨯⨯; (4)0132432⨯⨯)+(-)(-;\(5))(-+51262⨯; (6)-10+8÷()22--4×3;】(7)-51-()()[]55.24.0-⨯-; (8)()251--(1-)×31;;(1)(-8)×5-40; (2)()÷(-13)-(-2);((3)-20÷5×14+5×(-3)÷15; (4)-3[-5+(÷35)÷(-2)];】(5)-23÷153×(-131)2÷(132)2; (6)-52+(1276185+-)×(-%参考答案1、-1/52、-13、224、95、96、 0 ]7、-48 8、-1 9、-15 10、-15/34311、-24 12、-89 13、3 14、2 15、-2026、14 27、-31 28、-81又1/81 29、-9 30、-29 31、-1/5 32、91、【答案】 (1)17; (2)511; (3)31; (4)-11—2、【答案】 (1)-10; (2)22; (3)-16; (4)-253、【答案】 (1)1; (2)0; (3)42; (4)423; (5)18; (6)0; (7)-;(8)37; (9)8; (10)-25.4、【答案】 (1)22; (2)0; (3)-17; (4)-423; (5)71; (6)-95; (7)-85;(8)6 .5、【答案】 (1)3; (2)1; (3)-54; (4)0; (5)526; (6)-20; (7)-2; (8)-67. 6、【答案】(1)-80; (2); (3)-2; (4)16; (5)-516; (6)-,复习 有理数的乘除、乘方运算测试题一、填空题(每小题3分,共30分) 1.3×(-2)=________,(-6)×(-31)=________. 2.(-3)2的底数是________,结果是________;-32的底数是________,结果是________.3.(-61)÷(+23)=________;-493÷(-176)=________;(+8)÷(-41)=________. 4.23×(-41)3=________;(-91)÷(+34)2=________.5.(-32)×________=1;(-32)×________=-16.-65×(-2.4)×(-53)=________.7.-32×(-5)2÷(-21)3=________.8.我国台湾省的面积约为3600平方公里,用科学记数法表示为________. 9.+121的倒数是________;________的倒数是-54. 10.用“>”“<”填空: ①23________22②(21)2________(21)3③32________22④(-2)3________(-2)2二、判断题(每小题1分,共5分) 11.零除以任何数都得零( )12.互为相反数的两个数的积为负数( ) 13.如果ab >0,则a >0且b >0( )14.1除以一个非零数的商叫做这个数的倒数( )15.(-3)5表示5个-3相乘( )三、选择题(每小题3分,共21分) 16.下列说法,其中错误的有①一个数与1相乘得原数;②一个数乘以-1得原数的相反数;③0乘以任何数得0;④同号两数相乘,符号不变.A .1个B .2个C .3个D .4个17.下列各对数:①1与1;②-1与1;③a -b 与b -a ;④-1与-1;⑤-5与|6|,其中互为倒数的是A .①②③B .①③⑤C .①③④D .①④ 18.下列各题中两个式子的值相等的是A .-23与(-2)3B .32与23C .(-2)2与 -22D .|-2|与-|-2|19.下列结论中,其中正确的个数为①0的倒数是0;②一个不等于0的数的倒数的相反数与这个数的相反数的倒数相等;③其倒数等于自身的数是±1;④若a ,b 互为倒数,则-ab=-1.A .4B .3C .2D .120.下列各式中结果大于0的是A .1-910×3B .(1-910)×3C .1-(9×3)10D .(1-9)10×321.下列说法中正确的是A .一个数的平方必为正数B .一个数的平方必小于这个数的绝对值C .一个数的平方必大于这个数D .一个数的平方不可能为负数22.用科学记数法表示的数2.89×104,原来是A .2890B .2890000C .28900D .289000四、计算题(共35分)23.(3分)(-3)×(-5)×(+12)×(-21)24.(3分)-6÷(+3)÷(-4)×(+2)25.(3分)-5-6÷(-3)26.(3分)(-81)÷241×91÷(-16)27.(3分)-22×(-3)÷5428.(3分)(-1)2000×(-1)2001×(-1)2002÷(-1)200329.(3分)(-2)×(-2001)×[-21-(-21)]×1-200230.(3分)-)45()45(5222-÷-⨯⨯31.(3分)(-5)2÷5×632.(3分)(-)÷(-310)×(-3)33.(5分)30×(21-31+53-109)五、解答题(9分)34.已知A=a+a 2+a 3+……+a 2000(1)若a =1,求A 的值.(2)若a =-1,求A 的值.参考答案一、1.-6 2 2.-3 9 3 -9 3.-91 913 -32 4.-81 -161 5.-23 23 6.- 7.1800 8.×103平方公里 9.32 -141 10.> > > < 二、11.× 12.× 13.× 14.√ 15.√三、16.A 17.D 18.A 19.B 20.D 21.D 22.C四、23.-90 24.1 25.-3 26.41 27.15 28.1 29.-2002 30.1 31.30 32.-49 33.-4 五、34.(1)2000 (2)0(。
有理数加减乘除混合运算题50题一、加法与乘法混合运算1. 2 + 3×4-解析:先算乘法3×4 = 12,再算加法2 + 12 = 14。
2. 5 + (-2)×3-解析:先算乘法(-2)×3 = -6,再算加法5 + (-6)= -1。
3.(-3)+4×2-解析:先算乘法4×2 = 8,再算加法(-3)+8 = 5。
4. 6 + (-1)×(-2)-解析:先算乘法(-1)×(-2)=2,再算加法6 + 2 = 8。
4.(-4)+3×(-2)-解析:先算乘法3×(-2)= -6,再算加法(-4)+(-6)= -10。
二、减法与乘法混合运算1. 8 - 2×3-解析:先算乘法2×3 = 6,再算减法8 - 6 = 2。
2. 7 - (-3)×2-解析:先算乘法(-3)×2 = -6,再算减法7 - (-6)= 13。
-解析:先算乘法4×2 = 8,再算减法(-5)-8 = -13。
4. 9 - (-1)×3-解析:先算乘法(-1)×3 = -3,再算减法9 - (-3)= 12。
4.(-6)-3×(-2)-解析:先算乘法3×(-2)= -6,再算减法(-6)-(-6)= 0。
三、加法与除法混合运算1. 4 + 8÷2-解析:先算除法8÷2 = 4,再算加法4 + 4 = 8。
2. 5 + (-6)÷3-解析:先算除法(-6)÷3 = -2,再算加法5 + (-2)= 3。
3.(-3)+12÷4-解析:先算除法12÷4 = 3,再算加法(-3)+3 = 0。
4. 6 + (-8)÷4-解析:先算除法(-8)÷4 = -2,再算加法6 + (-2)= 4。