常微分方程课后答案
- 格式:doc
- 大小:309.00 KB
- 文档页数:4
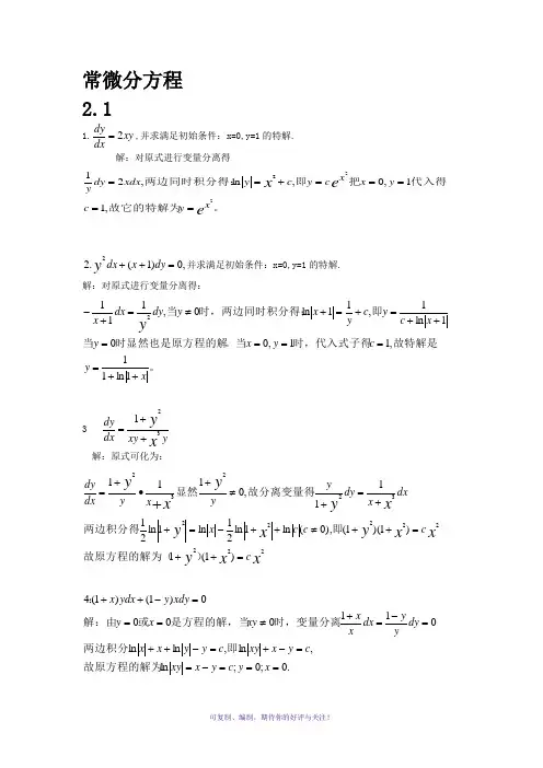
常微分方程 2、11、xy dxdy2=,并求满足初始条件:x=0,y=1的特解、 解:对原式进行变量分离得。
故它的特解为代入得把即两边同时积分得:e e xx y c y x x c y c y xdx dy y22,11,0,ln ,212=====+==,0)1(.22=++dy x dx y 并求满足初始条件:x=0,y=1的特解、解:对原式进行变量分离得:。
故特解是时,代入式子得。
当时显然也是原方程的解当即时,两边同时积分得;当xy c y x y x c y c y x y dy dx x y++=====++=+=+≠=+-1ln 11,11,001ln 1,11ln 0,11123yxy dx dy x y 321++=解:原式可化为:x x y x x yx yx yyxyc c c c x dx x dy y yx ydxdy 2222222232232)1(1)1)(1(),0(ln 1ln 21ln 1ln 2111,0111=++=++≠++-=++=+≠+•+=+)故原方程的解为(即两边积分得故分离变量得显然.0;0;ln ,ln ,ln ln 0110000)1()1(4===-==-+=-++=-=+≠===-++x y c y x xy c y x xy c y y x x dy y y dx x x xy x y xdy y ydx x 故原方程的解为即两边积分时,变量分离是方程的解,当或解:由:10ln 1ln ln 1ln 1,0ln 0)ln (ln :931:8.cos ln sin ln 07ln sgn arcsin ln sgn arcsin 1sgn 11,)1(,,,6ln )1ln(21111,11,,,0)()(:53322222222222c dx dy dx dy xycy ud uu dx x x y u dx xydy x y ydx dy y x x c dy yy yydx dy c x y tgxdx ctgydy ctgxdy tgydx cx x xycx x u dxx x du xdxdu dxdux u dx dy ux y u x y y dx dy xc x arctgu dxx du u u u dx du x u dxdu xu dx dy ux y u x y x y x y dx dy dx x y dy x y e e e e e e ee x y uu xy x u u x yxyy x xx+===+=+-===-•-=--+-=-=+-===-=+•=+•=•=--=+===-+=+-=++=++-++=++===+-==-++-+--两边积分解:变量分离:。
常微分课后答案第一章yx C x C y x C x C y 2222121sin cos ,cos sin ωωωωωωωωω-=--=''+-=',所以0222=+y dxyd ω,故xCx C y ωωsin cos 21+=为方程的解.(6)yB x A y B x A y 22)sin(,)cos(ωωωωω-=+-=''+=',故0222=+y dxyd ω,因此)sin(B x A y +=ω为方程的解.3.验证下列各函数是相应微分方程的解:(1)xxy sin =,x y y x cos =+'; (2)212x Cy -+=,xxy y x2)1(2=+'-(C 是任意常数);(3)x Ce y =,02=+'-''y y y (C 是任意常数); (4)xe y =,xx xe ye y ey 2212-=-+'-;(5)x y sin =,0cos sin sin 222=-+-+'x x x y yy ;(6)xy 1-=,1222++='xy y x y x ; (7)12+=xy ,xy x yy 2)1(22++-=';(8))()(x f x g y =,)()()()(2x f x g y x g x f y '-'='.证明 (1)因为2sin cos x xx x y -=',所以xxxx x x x y y x cos sin sin cos =+-=+'.(2)由于21xCx y --=',故xx C x xCx x xy y x 2)12(1)1()1(2222=-++--⋅-=+'-.(3)由于xCe y =',xCe y ='',于是022=+-=+'-''x x x Ce Ce Ce y y y .(4)由xe y =',因此xx x x x x x x e e e e e e ye y e y 22212)(2-=⋅-+⋅=-+'--.(5)因为x y cos =',所以cos sin sin sin 2sin cos cos sin sin 22222=-+⋅-+=-+-+'x x x x x x x x x y y y . (6)从21xy =',得1111122222++=+⎪⎭⎫⎝⎛-⋅+⎪⎭⎫ ⎝⎛-⋅=='xy y x x x x x y x .(7)由x y 2=',得到xy x y x x x x x y 2)1(2)1)(1()1(2222222++-=+++-+=='.(8))()()()()()()()()()()()()()()(222x f x g y x g x f x f x g x f x g x g x f x f x g x f x g x f y '-'='-⎪⎪⎭⎫ ⎝⎛⋅'='-'='.4.给定一阶微分方程x dx dy 2=, (1)求出它的通解; (2)求通过点)4,1(的特解; (3)求出与直线32+=x y 相切的解;(4)求出满足条件210=⎰ydx 的解;(5)绘出(2),(3),(4)中的解的图形. 解 (1)通解 Cx xdx y +==⎰22.(2)由41==x y ,得到3=C ,所以过点)4,1(的特解为32+=xy .(3)这时122=⇒=x x ,切点坐标为)5,1(,由51==x y ,得到4=C ,所以与直线32+=x y 相切的解为42+=xy .(4)由231)31()(131210=+=+=+=⎰⎰C Cx x dx C x ydx ,得到35=C ,故满足条件21=⎰ydx 的解为352+=xy .(5)如图1-1所示.-3-2-1123x24681012y图1-15.求下列两个微分方程的公共解: (1)422x x yy -+=';(2)2422y y x xx y --++='.解 公共解必须满足2424222y y x x x x x y --++=-+,即 022242=-+-x y x y ,得到2x y =或212--=x y 是微分方程422x x y y -+='和2422y y x x x y --++='的公共解.6.求微分方程02=-'+'y y x y 的直线积分曲线.解 设直线积分曲线为0=++C By Ax ,两边对x 求导得,0='+y B A ,若0=B ,则0=A ,得到0=C ,不可能.故必有0≠B ,则B Ay -=',代入原方程有02=++⎪⎭⎫ ⎝⎛-+-B Cx B A B A x B A ,或)(22=-++B AB C x B A BA ,所以,⎪⎪⎩⎪⎪⎨⎧=-=+0,022BA B C B AB A ,得到⎩⎨⎧==0,0C A 或B C A -==.所求直线积分曲线为0=y 和1+=x y . 7.微分方程32224xy y y x=-',证明其积分曲线关于坐标原点)0,0(成中心对称的曲线,也是此微分方程的积分曲线.证明 设0),(=y x F 是微分方程32224xy y y x =-'的积分曲线,则与其关于坐标原点)0,0(成中心对称的曲线是),(=--y x F .由于),(=y x F 适合微分方程32224xy y y x =-',故3222),(),(4xyy y x F y x F x y x =-⎥⎥⎦⎤⎢⎢⎣⎡-⋅,分别以y x --,代yx ,,亦有3222))(()(),(),()(4y x y y x F y x F x y x --=--⎥⎥⎦⎤⎢⎢⎣⎡-----⋅-,而由0),(=--y x F ,得到),(),(y x F y x F y yx -----=',从而0),(=--y x F 也是此微分方程的积分曲线.8.物体在空气中的冷却速度与物体和空气的温差成比例,如果物体在20分钟内由100C 冷至60C ,那么,在多久的时间内,这个物体的温度达到30C ?假设空气的温度为20C . 解 设物体在时刻t 的温度为)(t u u =,20=au,微分方程为)(au u k dtdu --=,解得ktaCe u u -+= ,根据初始条件10000===u ut ,得80=-=a u uC ,因此 kta a e u u u u --+=)(0,根据60,201===uu t ,得到ka a e u u u u2001)(--+=,由此202ln ln 20110=--=a a u u u u k ,所以得到t e u 202ln 8020-+=,当30=u 时,解出60=t (分钟)1=(小时).在1小时的时间内,这个物体的温度达到30C .9.试建立分别具有下列性质的曲线所满足的微分方程:(1)曲线上任一点的切线与该点的向径夹角为α;(2)曲线上任一点的切线介于两坐标轴之间的部分等于定长l ;(3)曲线上任一点的切线与两坐标轴所围成的三角形的面积都等于常数2a ;(4)曲线上任一点的切线介于两坐标轴之间的部分被切点等分;(5)曲线上任一点的切线的纵截距等于切点横坐标的平方;(6)曲线上任一点的切线的纵截距是切点的横坐标和纵坐标的等差中项;(7)曲线上任一点的切线的斜率与切点的横坐标成正比.(提示:过点),(y x d 的横截距和纵截距分别为'-yy x 和y x y '-).解 (1)曲线上任一点为),(y x ,则xy y x yy '+-'=1tan α,即ααtan tan y x x y y -+='. (2)曲线上任一点),(y x 处的切线方程为yy x Y X y -'=-',与两坐标轴交点为),0(y x y '-和)0,(y yy x '-',两点间距离为l y x y y y y x ='-+⎪⎪⎭⎫ ⎝⎛'-'22)(,即 222)()(l y x y y y x ='-+'-. (3)由(2),有221a y x y y yy x ='-'-',或y a y y x '=-'222)(.(4)由(2),有2y x y y '-=,或0=+'y y x .(5)由(2),2xy xy='-.(6)同样由(2),2yxy xy +='-,或xy xy='-2.(7)易得kxy='(k为常数且0>k).。
习题2.52.ydy x xdy ydx 2=- 。
解:2x ,得:ydy x xdyydx =-2c y x yd +-=221即c y x y =+221 4.xyx ydx dy -=解:两边同除以x ,得xy x y dxdy -=1令u x y= 则dxdu x u dx dy += 即dx dux u dx dy +=uu -=1 得到()2ln 211y c u -=,即2ln 21⎪⎭⎫ ⎝⎛-=y c y x另外0=y 也是方程的解。
6.()01=-+xdy ydx xy 解:0=+-xydx xdy ydxx d x yx d yy d x -=-2得到c x y x d +-=⎪⎪⎭⎫⎝⎛221即c x y x =+221 另外0=y 也是方程的解。
8.32xy x y dx dy += 解:令u xy= 则:21u x u dx du x u dx dy +=+= 即21u x dx du x= 得到22x dxu du =故c xu +-=-11 即211xx c y += 另外0=y 也是方程的解。
10. 21⎪⎭⎫⎝⎛+=dx dy dx dy x解:令p dxdy= 即pp x 21+=而p dx dy=故两边积分得到 c p p y +-=ln 212因此原方程的解为pp x 21+=,c p p y +-=ln 212。
12.x y xe dx dy e =⎪⎭⎫⎝⎛+-1 解:y x xe dxdy+=+1令 u y x =+则 dx du dx dy =+111-=-=u xe dx du dx dy 即xdx eduu =c x e u+=--221故方程的解为c x eyx =++221 14.1++=y x dxdy解: 令u y x =++1则dx du dx dy =+1 那么u dx du dx dy =-=1dx u du=+1求得: ()c x u +=+1ln故方程的解为()c x y x +=++1ln 或可写 为xce y x =++1 16.()y e dxdyx -=++211 解:令u e y=- 则u y ln -= ()1211-=+-u dxduu x ()dx x du u u 11121+-=-c x u u ++=-`1112 即方程的解为()c x y x e y+=+218.()0124322=-+dy y x dx y x 解: 将方程变形后得124322-=y x y x dx dy 22223412412y x y x y x y x dy dx -=-= 同除以2x 得:232412yy x dy dx x -=令3x z = 则24323yy z dy dz -= 23223cy y z +=即原方程的解为232323cy y x +=19.X(04)(2)2=+-x dxdyy dx dy 解:方程可化为2y()(24)(,4)()22dxdy x dx dy x y x dxdyx dx dy +=+= 令[][]ce t e t c dt e t y pdx dy e t x t p dy x e dxdyc x y x arctg xdx y x darctg xdx y x xdy ydx xdy y x x y y c y y x c y yy x dyy y y x d dy y y y xdy ydx y dy y xdy ydx dy y x ydx cy y x c y yx y d y x d dy y x ydx xy y e y xy x xy xNy M x x N x y M dy x y xydx dy y x y dx y x cye x c e yxy c e z y y e z y dy dz e z e dy dz y z e e z z e e z z ze e e z dy dx dy e z dx e dy dzy z dy dx yz x z y x dy yxe dx e y p c x y c tg c d c d x d d dy p dy dx y y p dx dy dx dy y x c yc c c x c x x c x x y cx p xdp pdx x y p xdp pdx p dp p x dx p p dp x xp dx p p dp p x x dx p p dx dp p x x p p dx dp p x p dx dp x p p x p x p x p x xp y p dx dy t t tt dx dydy y y xy xzzz z z z z z z z z z z yx y x +-+=++==+====-++===+-=-+-=+=+++-=+=+=-+=-=++-=-=-=-=-+=⎰-=-=-∂∂-∂∂-=∂∂=∂∂=-+=-+=+=+=+-=+-=+++=++-=+--+=+-=-=++====-++±==++=+∂=+∂∂=+∂∂=∂∂=∂∂∂∂=∂==∂==∂-∂===⎥⎦⎤⎢⎣⎡-+=+=+⋅===-±===-=∴=---=+-+-=-+--=--++=+=-==⎰⎰⎰----)1(,0.25.2,0)(.240),()111,1,)1(0)1(.23101,0)3(24282,6,20)3(2032.22)(,)(,ln ln 1,111)1(,)1()1(,0)1()1.(2110,1)sec cos cos cos sin sin 1sin ,cos 11(sin 1,sin 1)(1.20.42,2424,,0,24,040)4()4(0)4()4(,0)22()22(,)22()22(2222,2224,22222222222222322323242234422422322222222222222222222232222得由解:令所以方程的解为解:方程可化为也是解。
1常微分方程习题答案2.11.xy dx dy2=,并求满足初始条件:x=0,y=1的特解.解:对原式进行变量分离得。
故它的特解为代入得把即两边同时积分得:e e xx y c y x x c y c y xdx dy y22,11,0,ln ,212=====+==,0)1(.22=++dy x dx y 并求满足初始条件:x=0,y=1的特解.解:对原式进行变量分离得:。
故特解是时,代入式子得。
当时显然也是原方程的解当即时,两边同时积分得;当xy c y x y x c y c y x y dy dx x y++=====++=+=+≠=+-1ln 11,11,001ln 1,11ln 0,11123.yxy dx dy x y 321++=解:原式可化为:x x y xxyxyx yyxyc c c c x dx x dy y yx ydxdy2222222232232)1(1)1)(1(),0(ln 1ln 21ln 1ln 2111,0111=++=++≠++-=++=+≠+∙+=+)故原方程的解为(即两边积分得故分离变量得显然.0;0;ln ,ln ,ln ln 0110000)1()1(4===-==-+=-++=-=+≠===-++x y c y x xy c y x xy c y y x x dy y y dx x x xy x y xdy y ydx x 故原方程的解为即两边积分时,变量分离是方程的解,当或解:由:10ln 1ln ln 1ln 1,0ln 0)ln (ln :931:8.cos ln sin ln 07ln sgn arcsin ln sgn arcsin 1sgn 11,)1(,,,6ln )1ln(21111,11,,,0)()(:53322222222222c dxdy dx dy xycy ud uudx x x y u dx xydy x y ydx dy y x x c dy yy yydxdy c x y tgxdx ctgydy ctgxdy tgydx cx x xycx x u dxx x du xdxdudxdux u dx dy ux y u x y y dx dy xc x arctgu dx x du u u u dx du x u dxdu xu dx dy ux y u x y x y x y dx dy dx x y dy x y ee ee ee eexy uu xy x uu xyxyyx xx+===+=+-===-∙-=--+-=-=+-===-=+∙=+∙=∙=--=+===-+=+-=++=++-++=++===+-==-++-+--两边积分解:变量分离:。
常微分方程第四版课后练习题含答案第一章:常微分方程基本概念和初值问题1.2 课后练习题1.2.1(1)y′=2y+3,y(0)=1,求解y(t);(2)y′+ty=1,y(0)=0,求解y(t)。
解答:(1)该微分方程为一阶线性常微分方程,其通解为$$y(t)=Ce^{2t}-\\frac{3}{2}$$代入初始条件y(0)=1,可得$$C=\\frac{5}{2}$$所以$$y(t)=\\frac{5}{2}e^{2t}-\\frac{3}{2}$$(2)首先设$u(t)=e^{\\frac{t^2}{2}}y(t)$,则$u'(t)=e^{\\frac{t^2}{2}}(y'+ty)$。
代入原方程可得$$u'(t)=e^{\\frac{t^2}{2}}$$对其积分得$$u(t)=\\int e^{\\frac{t^2}{2}} dt +C=\\frac{\\sqrt{2\\pi}}{2}erf\\frac{t}{\\sqrt{2}}+C$$其中$erf(x)=\\frac{2}{\\sqrt{\\pi}}\\int_0^x e^{-t^2} dt$称为误差函数。
进一步解得$$y(t)=e^{-\\frac{t^2}{2}}u(t)-ue^{-\\frac{t^2}{2}}=-\\frac{\\sqrt{2\\pi}}{2}erf\\frac{t}{\\sqrt{2}}e^{-\\frac{t^2}{2}}$$ 代入初始条件y(0)=0即可得到最终解答。
第二章:一阶线性微分方程2.2 课后练习题2.2.1求下列方程的通解:(1)(2x+1)y′+y=1;(2)(x−1)y′−y=2x;(3)$(2+\\cos x)y'-y=2-x\\cos x$。
解答:(1)该微分方程为一阶线性常微分方程,设方程的通解为$y=Ce^{-\\int \\frac{1}{2x+1} dx}+\\frac{1}{2x+1}$。
常微分方程课后习题答案常微分方程课后习题答案在学习常微分方程的过程中,课后习题是巩固知识和提高能力的重要环节。
通过解答习题,我们可以更好地理解和应用所学的概念和方法。
下面是一些常见的常微分方程习题及其答案,供大家参考。
一、一阶常微分方程1. 求解方程:dy/dx = 2x。
解:对方程两边同时积分,得到y = x^2 + C,其中C为常数。
2. 求解方程:dy/dx = x^2 - 1。
解:对方程两边同时积分,得到y = (1/3)x^3 - x + C,其中C为常数。
3. 求解方程:dy/dx = 3x^2 + 2。
解:对方程两边同时积分,得到y = x^3 + 2x + C,其中C为常数。
二、二阶常微分方程1. 求解方程:d^2y/dx^2 + 4dy/dx + 4y = 0。
解:首先求解特征方程:r^2 + 4r + 4 = 0,解得r = -2。
因此,方程的通解为y = (C1 + C2x)e^(-2x),其中C1和C2为常数。
2. 求解方程:d^2y/dx^2 + 2dy/dx + y = x^2。
解:首先求解特征方程:r^2 + 2r + 1 = 0,解得r = -1。
因此,方程的通解为y = (C1 + C2x)e^(-x) + (1/6)x^2 - (1/2)x + (1/2),其中C1和C2为常数。
3. 求解方程:d^2y/dx^2 + 3dy/dx + 2y = e^(-x)。
解:首先求解特征方程:r^2 + 3r + 2 = 0,解得r = -1和r = -2。
因此,方程的通解为y = (C1e^(-x) + C2e^(-2x)) + (1/3)e^(-x),其中C1和C2为常数。
三、应用题1. 一个物体在空气中的速度满足以下方程:dv/dt = -9.8 - 0.1v,其中v为速度,t为时间。
求物体的速度随时间的变化情况。
解:这是一个一阶线性常微分方程。
将方程改写为dv/(9.8 + 0.1v) = -dt,再两边同时积分,得到ln|9.8 + 0.1v| = -t + C,其中C为常数。
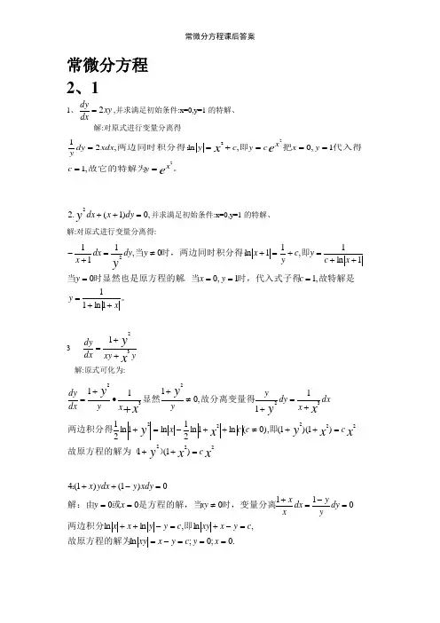
常微分方程 2.11.xy dxdy2=,并求满足初始条件:x=0,y=1的特解. 解:对原式进行变量分离得。
故它的特解为代入得把即两边同时积分得:e e xx y c y x x c y c y xdx dy y22,11,0,ln ,212=====+==,0)1(.22=++dy x dx y 并求满足初始条件:x=0,y=1的特解.解:对原式进行变量分离得:。
故特解是时,代入式子得。
当时显然也是原方程的解当即时,两边同时积分得;当xy c y x y x c y c y x y dy dx x y++=====++=+=+≠=+-1ln 11,11,001ln 1,11ln 0,11123yxy dx dy x y 321++=解:原式可化为:x x y x x yx yx yyxyc c c c x dx x dy y yx ydxdy 2222222232232)1(1)1)(1(),0(ln 1ln 21ln 1ln 2111,0111=++=++≠++-=++=+≠+•+=+)故原方程的解为(即两边积分得故分离变量得显然.0;0;ln ,ln ,ln ln 0110000)1()1(4===-==-+=-++=-=+≠===-++x y c y x xy c y x xy c y y x x dy y y dx x x xy x y xdy y ydx x 故原方程的解为即两边积分时,变量分离是方程的解,当或解:由:10ln 1ln ln 1ln 1,0ln 0)ln (ln :931:8.cos ln sin ln 07ln sgn arcsin ln sgn arcsin 1sgn 11,)1(,,,6ln )1ln(21111,11,,,0)()(:53322222222222c dx dy dx dy xycy ud uu dx x x y u dx xydy x y ydx dy y x x c dy yy yydx dy c x y tgxdx ctgydy ctgxdy tgydx cx x xycx x u dxx x du xdxdu dxdux u dx dy ux y u x y y dx dy xc x arctgu dxx du u u u dx du x u dxdu xu dx dy ux y u x y x y x y dx dy dx x y dy x y e e e e e e ee x y uu xy x u u x yxyy x xx+===+=+-===-•-=--+-=-=+-===-=+•=+•=•=--=+===-+=+-=++=++-++=++===+-==-++-+--两边积分解:变量分离:。
常微分方程 2.11.xy dxdy2=,并求满足初始条件:x=0,y=1的特解. 解:对原式进行变量分离得。
故它的特解为代入得把即两边同时积分得:e e xx y c y x x c y c y xdx dy y22,11,0,ln ,212=====+==,0)1(.22=++dy x dx y 并求满足初始条件:x=0,y=1的特解.解:对原式进行变量分离得:。
故特解是时,代入式子得。
当时显然也是原方程的解当即时,两边同时积分得;当xy c y x y x c y c y x y dy dx x y++=====++=+=+≠=+-1ln 11,11,001ln 1,11ln 0,11123 yxy dx dyx y 321++=解:原式可化为:x x y x x yx yx yyxyc c c c x dx x dy y yx ydxdy 2222222232232)1(1)1)(1(),0(ln 1ln 21ln 1ln 2111,0111=++=++≠++-=++=+≠+∙+=+)故原方程的解为(即两边积分得故分离变量得显然.0;0;ln ,ln ,ln ln 0110000)1()1(4===-==-+=-++=-=+≠===-++x y c y x xy c y x xy c y y x x dy y y dx x x xy x y xdy y ydx x 故原方程的解为即两边积分时,变量分离是方程的解,当或解:由:10ln 1ln ln 1ln 1,0ln 0)ln (ln :931:8.cos ln sin ln 07ln sgn arcsin ln sgn arcsin 1sgn 11,)1(,,,6ln )1ln(21111,11,,,0)()(:53322222222222c dx dy dx dy xycy ud uu dx x x y u dx xydy x y ydx dy y x x c dy yy yydx dy c x y tgxdx ctgydy ctgxdy tgydx cx x xycx x u dxx x du xdxdu dxdux u dx dy ux y u x y y dx dy xc x arctgu dxx du u u u dx du x u dxdu xu dx dy ux y u x y x y x y dx dy dx x y dy x y e e e e e e ee x y uu xy x u u x yxyy x xx+===+=+-===-∙-=--+-=-=+-===-=+∙=+∙=∙=--=+===-+=+-=++=++-++=++===+-==-++-+--两边积分解:变量分离:。
习题1.21.dxdy=2xy,并满足初始条件:x=0,y=1的特解。
解:ydy=2xdx 两边积分有:ln|y|=x 2+c y=e2x +e c =cex 2另外y=0也是原方程的解,c=0时,y=0原方程的通解为y= cex 2,x=0 y=1时 c=1 特解为y= e 2x .2. y 2dx+(x+1)dy=0 并求满足初始条件:x=0,y=1的特解。
解:y 2dx=-(x+1)dy2y dy dy=-11+x dx两边积分: -y1=-ln|x+1|+ln|c| y=|)1(|ln 1+x c另外y=0,x=-1也是原方程的解 x=0,y=1时 c=e 特解:y=|)1(|ln 1+x c3.dx dy =yx xy y 321++解:原方程为:dxdy =y y 21+31x x + y y 21+dy=31x x +dx 两边积分:x(1+x 2)(1+y 2)=cx 24. (1+x)ydx+(1-y)xdy=0 解:原方程为:y y -1dy=-xx 1+dx两边积分:ln|xy|+x-y=c另外 x=0,y=0也是原方程的解。
5.(y+x )dy+(x-y)dx=0解:原方程为:dx dy =-yx y x +-令xy=u 则dx dy =u+x dx du 代入有:-112++u u du=x 1dxln(u 2+1)x 2=c-2arctgu 即 ln(y 2+x 2)=c-2arctg 2xy. 6. xdxdy-y+22y x -=0 解:原方程为:dx dy =x y +xx ||-2)(1x y -则令xy=u dx dy =u+ x dx du211u - du=sgnxx1dx arcsinxy=sgnx ln|x|+c 7. tgydx-ctgxdy=0 解:原方程为:tgy dy =ctgxdx 两边积分:ln|siny|=-ln|cosx|-ln|c| siny=x c cos 1=xccos 另外y=0也是原方程的解,而c=0时,y=0.所以原方程的通解为sinycosx=c.8 dx dy +ye x y 32+=0 解:原方程为:dx dy =ye y 2e x 32 ex3-3e2y -=c.9.x(lnx-lny)dy-ydx=0 解:原方程为:dx dy =x y ln xy令x y=u ,则dx dy =u+ x dx duu+ xdxdu=ulnu ln(lnu-1)=-ln|cx| 1+lnxy=cy. 10.dxdy =e yx - 解:原方程为:dxdy =e x e y- e y=ce x11dxdy =(x+y)2解:令x+y=u,则dx dy =dxdu -1 dx du -1=u 2211u +du=dx arctgu=x+c arctg(x+y)=x+c12.dx dy =2)(1y x + 解:令x+y=u,则dx dy =dxdu -1dx du -1=21uu-arctgu=x+c y-arctg(x+y)=c. 13.dx dy =1212+-+-y x y x 解: 原方程为:(x-2y+1)dy=(2x-y+1)dx xdy+ydx-(2y-1)dy-(2x+1)dx=0 dxy-d(y 2-y)-dx 2+x=cxy-y 2+y-x 2-x=c14:dx dy =25--+-y x y x 解:原方程为:(x-y-2)dy=(x-y+5)dx xdy+ydx-(y+2)dy-(x+5)dx=0dxy-d(21y 2+2y)-d(21x 2+5x)=0 y 2+4y+x 2+10x-2xy=c.15: dxdy=(x+1) 2+(4y+1) 2+8xy 1+ 解:原方程为:dxdy=(x+4y )2+3令x+4y=u 则dx dy =41dx du -4141dx du -41=u 2+3 dx du=4 u 2+13 u=23tg(6x+c)-1 tg(6x+c)=32(x+4y+1).16:证明方程y x dxdy=f(xy),经变换xy=u 可化为变量分离方程,并由此求下列方程: 1) y(1+x 2y 2)dx=xdy2) y x dx dy =2222x -2 y x 2y+ 证明: 令xy=u,则x dx dy +y=dxdu 则dx dy =x 1dx du -2x u,有:u x dxdu=f(u)+1)1)((1+u f u du=x1dx所以原方程可化为变量分离方程。
常微分方程2.11.xy dxdy2=,并求满足初始条件:x=0,y=1的特解. 解:对原式进行变量分离得。
故它的特解为代入得把即两边同时积分得:e e xx y c y x x c y c y xdx dy y22,11,0,ln ,212=====+==,0)1(.22=++dy x dx y 并求满足初始条件:x=0,y=1的特解.解:对原式进行变量分离得:。
故特解是时,代入式子得。
当时显然也是原方程的解当即时,两边同时积分得;当xy c y x y x c y c y x y dy dx x y++=====++=+=+≠=+-1ln 11,11,001ln 1,11ln 0,11123yxy dx dy x y 321++=解:原式可化为:x x y x x yx yx yyxyc c c c x dx x dy y yx ydxdy 2222222232232)1(1)1)(1(),0(ln 1ln 21ln 1ln 2111,0111=++=++≠++-=++=+≠+∙+=+)故原方程的解为(即两边积分得故分离变量得显然.0;0;ln ,ln ,ln ln 0110000)1()1(4===-==-+=-++=-=+≠===-++x y c y x xy c y x xy c y y x x dy y y dx x x xy x y xdy y ydx x 故原方程的解为即两边积分时,变量分离是方程的解,当或解:由:10ln 1ln ln 1ln 1,0ln 0)ln (ln :931:8.cos ln sin ln 07ln sgn arcsin ln sgn arcsin 1sgn 11,)1(,,,6ln )1ln(21111,11,,,0)()(:53322222222222c dx dy dx dy xycy ud uu dx x x y u dx xydy x y ydx dy y x x c dy yy yydx dy c x y tgxdx ctgydy ctgxdy tgydx cx x xycx x u dxx x du xdxdu dxdux u dx dy ux y u x y y dx dy xc x arctgu dxx du u u u dx du x u dxdu xu dx dy ux y u x y x y x y dx dy dx x y dy x y e e e e e e ee x y uu xy x u u x yxyy x xx+===+=+-===-∙-=--+-=-=+-===-=+∙=+∙=∙=--=+===-+=+-=++=++-++=++===+-==-++-+--两边积分解:变量分离:。
数学必修二:常微分方程习题答案1. 问题1已知常微分方程dy/dx = x + y,求解该微分方程。
解答:将该微分方程重新整理,得到(dy/dx) - y = x。
这是一个一阶线性常微分方程。
首先求解其齐次方程(dy/dx) = y。
解齐次方程得到y = ce^x,其中c为任意常数。
然后我们利用常数变易法,假设原方程的特解形式为y = u(x)e^x,其中u(x)是待定函数。
将y代入原方程得到(u'e^x + u)e^x - u(x)e^x = x,化简可得u'e^x = x,解这个常微分方程得到u(x) = (1/2)x^2 + C1,其中C1为常数。
因此,原方程的通解为y = ce^x + (1/2)x^2 + C1e^x,其中c和C1为任意常数。
2. 问题2已知常微分方程 dy/dx = 2xy,求解该微分方程。
解答:将该微分方程进行整理,得到 dy/dx - 2xy = 0。
这是一个一阶线性齐次微分方程。
首先求解其齐次方程 dy/dx = 2xy,将其变形为 dy/y = 2x dx,并对两边同时积分,得到 ln|y| = x^2 + C,其中C为常数。
解出y为 y = Ce^(x^2),其中C为常数。
3. 问题3已知常微分方程 dy/dx + y = 3e^(-x),求解该微分方程。
解答:将该微分方程进行整理,得到 dy/dx = 3e^(-x) - y。
这是一个一阶非齐次线性微分方程。
首先求解其齐次方程dy/dx = -y,得到y = Ce^(-x),其中C为常数。
然后我们利用常数变易法,假设原方程的特解形式为y = u(x)e^(-x),其中u(x)是待定函数。
将y代入原方程得到 (u'e^(-x) - u)e^(-x) = 3e^(-x),化简可得 u' = 3,解这个常微分方程得到u(x) = 3x + C1,其中C1为常数。
因此,原方程的通解为 y = ce^(-x) + (3x + C1)e^(-x),其中c和C1为任意常数。
3t15t=e ( e +c)5=c e 3t +15e 2t 是原方程的解ds 13. =-s cost + sin2tdt 2cos tdt 13dt解:s=e ( sin2t e dt c )=esint( sin t coste sin t dt c) sin tsint sint= e( sin tee c )常微分方程 习题 2.2求下列方程的解1. dy = y sin x dx解: y=e ( sinxe dx c)x1 x=e x [- e x (sinx cos x )+c]= ce sint sint 1 是原方程的解。
4.dy xy e x x n,n 为常数. dx n解:原方程可化为:dy xy e x x n dx n方程的解。
=c e(sinx cos x )是原yendxx x ( e x x e n n dx n xdx c)2.dx+3x=e 2tnxx (ec)dt 解:原方程可化为:dx=-3x+edt是原方程的解 .所以:3dtx=ee2te 3dt5.dy +1 22x y 1=0 dx x 2dt c)ds23P(x) ,Q(x) (x 1)3 x1P(x)dxee=(x+1) 2((x 21) c)即: 2y=c(x+21+)(x+14) 为方程的通解。
8.d dy x =x y y 33dx x+y 1 2 解: xy 2dy y yP(y)dy P(y)dy( e Q(y)dy c) =y( 1*y 2dy c)y3= y cy23即 x=y +cy 是方程的通解 ,且 y=0也是方程的解。
2解:原方程可化为:dy dx1x 22xy 1x7.dy 2y (x 1)3dx x 1 解:dy 2y(x 1)3 dx x 1 (x 1)2(ln x 2e方程的通解为:ln x 2 1( e x dx c)1= x 2(1 ce x )P(x)dx P(x)dxy=e ( e Q(x)dx c) =(x+1)(=(x+1)((x 11)2 *(x+1)3dx+c) (x+1)dx+c) 是原方程的解.x=edx c )2则P(y)=y 1,Q(y) y 2方程的通解9. dy ay x 1,a 为常数 dx x x解:(P x) a ,Q(x) x 1xP(x )dxeedx方程的通解为:y=(x)dx P (x)dx(e Q(x)dx=xa(1 x+1dx+c)x a时,x 方程的通解为11.dy xy x 3y 3 dx 解:dy xyx 3y 3dx 两边除以3y c)d 3y xy 2 x 3 ydxdy2( xy 2 x 3)y=x+ln/x/+c当 y=cx+xln/x/-1当 a 1时, 方程 的通解为a 0,1时,方程的通解为y=cxa x 1 +-1- a adx 令y 2 z dz 2( xz x 3) dx P(x) 2x,Q(x) 2x 3 epx dx e2xdxe x 2 方程的通解为:z= e dx( e dxQ(x)dx c)10.x d d x y y x 3解:d dy x 1x y x 3P(x) 1,Q(x) x =e =xx(e x (2x 3)dx c) 22ce x1故方程的通解为y :2(x 2 ce x 1) 1,且y 0也是方程的解。
常微分方程习题答案2.11.xy dx dy2=,并求满足初始条件:x=0,y=1的特解.解:对原式进行变量分离得。
故它的特解为代入得把即两边同时积分得:e e xx y c y x x c y c y xdx dy y22,11,0,ln ,212=====+==,0)1(.22=++dy x dx y 并求满足初始条件:x=0,y=1的特解.解:对原式进行变量分离得:。
故特解是时,代入式子得。
当时显然也是原方程的解当即时,两边同时积分得;当xy c y x y x c y c y x y dy dx x y++=====++=+=+≠=+-1ln 11,11,001ln 1,11ln 0,1112 3yxy dx dy x y 321++=解:原式可化为:x x y xx y x yx y y x y c c c c x dx x dy y y x y dx dy 2222222232232)1(1)1)(1(),0(ln 1ln 21ln 1ln 2111,0111=++=++≠++-=++=+≠+∙+=+)故原方程的解为(即两边积分得故分离变量得显然.0;0;ln ,ln ,ln ln 0110000)1()1(4===-==-+=-++=-=+≠===-++x y c y x xy c y x xy c y y x x dy y ydx x x xy x y xdy y ydx x 故原方程的解为即两边积分时,变量分离是方程的解,当或解:由:10ln 1ln ln 1ln 1,0ln 0)ln (ln :931:8.cos ln sin ln 07ln sgn arcsin ln sgn arcsin 1sgn 11,)1(,,,6ln )1ln(21111,11,,,0)()(:53322222222222c dx dy dx dy xycy ud uudx x x y u dx xydy x y ydx dy y x x c dy yy yydxdy c x y tgxdx ctgydy ctgxdy tgydx cx x xycx x u dxx x du xdxdu dxdux u dx dy ux y u x y y dxdy xc x arctgu dx x du u u u dx du x u dxdu xu dx dy ux y u x y x y x y dx dy dx x y dy x y e e e e e e eexy uu xy x u u x yxyyx xx+===+=+-===-∙-=--+-=-=+-===-=+∙=+∙=∙=--=+===-+=+-=++=++-++=++===+-==-++-+--两边积分解:变量分离:。
习题
1 求方程dx
dy =x+y 2通过点(0,0)的第三次近似解; 解: 取0)(0=x ϕ 20020012
1)()(x xdx dx y x y x x
x ==++=⎰⎰ϕ 522200210220
121])21([])([)(x x dx x x dx x x y x x x +=+=++=⎰⎰ϕϕ dx x x x y x x ])20
121([)(252003+++=⎰ϕ = 118524400
1160120121x x x x +++
2 求方程dx dy =x-y 2通过点(1,0)的第三次近似解; 解: 令0)(0=x ϕ
则 20020012
1)()(x xdx dx y x y x x
x ==-+=⎰⎰ϕ 522200210220
121])21([])([)(x x dx x x dx x x y x x x -=-=-+=⎰⎰ϕϕ dx x x x y x x ])20
121([)(252003--+=⎰ϕ =118524400
1160120121x x x x -+- 3 题 求初值问题:
⎪⎩⎪⎨⎧=-=0
)1(2y x dx dy R :1+x ≤1,y ≤1 的解的存在区间,并求解第二次近似解,给出在解的存在空间的误差估计;
解: 因为 M=max{22y x -}=4 则h=min(a,M b )=4
1 则解的存在区间为0x x -=)1(--x =1+x ≤4
1 令 )(0X ψ=0 ;
)(1x ψ=y 0+⎰-x
x x 0)0(2dx=31x 3+31;
)(2x ψ =y 0+])3131([2132⎰-+-x
x x dx=31x 3-9x -184x -637x +4211 又 y
y x f ∂∂),(2≤=L 则:误差估计为:)()(2x x ψ-ψ≤32
2
)12(*h L M +=2411
4 题 讨论方程:31
23y dx dy =在怎样的区域中满足解的存在唯一性定理的条件, 并求通过点(0,0)的一切解;
解:因为y
y x f ∂∂),(=3221-y 在y 0≠上存在且连续; 而312
3y 在y 0 σ≥上连续 由 3123y dx dy =有:y =(x+c )23
又 因为y(0)=0 所以:y =x 2
3
另外 y=0也是方程的解;
故 方程的解为:y =⎪⎩⎪⎨⎧≥00023 x x x
或 y=0;
6题 证明格朗瓦耳不等式:
设K 为非负整数,f(t)和g(t)为区间βα≤≤t 上的连续非负函数,
且满足不等式:
f(t)≤k+⎰t
ds s g s f α
)()(,βα≤≤t
则有:f(t)≤kexp(⎰t
ds s g α
)(),βα≤≤t
证明:令R (t )=⎰t
ds s g s f α
)()(,则R '(T)=f(t)g(t)
R '(T)-R(t)g(t)= f(t)g(t)- R(t)g(t) ≤kg(t)R '(T)- R(t)g(t)≤kg(t);
两边同乘以exp(-⎰t
ds s g α
)() 则有:
R '(T) exp(-⎰t
ds s g α)()-R(t)g(t) exp(-⎰t ds s g α
)()
≤ kg(t) exp(-⎰t
ds s g α
)()
两边从α到t 积分:
R(t) exp(-⎰t ds s g α)()≤-⎰t ds s kg α)(exp(-⎰t
dr r g α
)()ds
即 R(t) ≤⎰t ds s kg α)( exp(-⎰t
s
dr r g )()ds
又 f(t) ≤1≤k+R(t) ≤k+k ⎰t s g α)(exp(-⎰t
s
dr r g )()ds
≤k(1-1+ exp(-⎰t s dr r g )()=k exp(⎰s
t
dr r g )()
即 f(t) ≤k ⎰t
dr r g α
)(;
7题 假设函数f(x,y)于(x 0,y 0)的领域内是y 的 不增函数,试证方程
dx
dy = f(x,y)满足条件y(x 0)= y 0的解于x ≥ x 0一侧最多只有一个解; 证明:假设满足条件y(x 0)= y 0的解于x ≥ x 0一侧有两个ψ(x),ϕ(x)
则满足:
ϕ(x)= y 0+⎰x
x x x f 0
))(,(ϕdx
ψ(x)= y 0+⎰x
x x x f 0
))(,(ψdx
不妨假设ϕ(x) ψ(x),则ϕ(x)- ψ(x)≥0
而ϕ(x)- ψ(x)= ⎰x x x x f 0))(,(ϕdx-⎰x
x x x f 0
))(,(ψdx
=⎰-x
x x x f x x f 0
))(,())(,([ψϕdx
又因为 f(x,y)在(x 0,y 0)的领域内是y 的 增函数,则: f(x, ϕ(x))-f(x, ψ(x))≤0
则ϕ(x)- ψ(x)= ⎰-x
x x x f x x f 0
))(,())(,([ψϕdx ≤0
则ϕ(x)- ψ(x)≤0
所以 ϕ(x)- ψ(x)=0, 即 ϕ(x)= ψ(x) 则原命题方程满足条件y(x 0)= y 0的解于x ≥ x 0一侧最多 只有一个解;。