高考数学压轴专题(易错题)备战高考《矩阵与变换》技巧及练习题附答案解析
- 格式:doc
- 大小:1.41 MB
- 文档页数:17
【高中数学】高考数学《矩阵与变换》解析一、151.已知函数2sin ()1x xf x x -=.(1)当0,2x π⎡⎤∈⎢⎥⎣⎦时,求()f x 的值域;(2)已知ABC V 的内角A ,B ,C 的对边分别为a ,b ,c ,若2A f ⎛⎫=⎪⎝⎭4a =,5b c +=,求ABC V 的面积.【答案】(1)1⎡⎤+⎢⎥⎣⎦;(2 【解析】 【分析】(1)由题意利用三角恒等变换化简函数的解析式,再利用正弦函数的定义域和值域求得当0,2x π⎡⎤∈⎢⎥⎣⎦时,求函数()f x 的值域. (2)由条件求得A ,利用余弦定理求得bc 的值,可得△ABC 的面积. 【详解】 解:(1)21()sin cos cos 2)sin 2sin 223f x x x x x x x π⎛⎫=+=++=+ ⎪⎝⎭Q , 又02x π≤≤,得42333x πππ≤+≤,所以sin 21,0sin 2133x x ππ⎛⎫⎛⎫≤+≤≤+≤ ⎪ ⎪⎝⎭⎝⎭,即函数()f x 在0,2π⎡⎤⎢⎥⎣⎦上的值域为1⎡⎤+⎢⎥⎣⎦;(2)∵2A f ⎛⎫=⎪⎝⎭,sin 32A π⎛⎫∴+=⎪⎝⎭, 由(0,)A π∈,知4333A πππ<+<, 解得:233A ππ+=,所以3A π=. 由余弦定理知:2222cos a b c bc A =+-,即2216b c bc =+-,216( c)3b bc ∴=+-.因为5b c +=,所以3bc =,1sin 2ABC S bc A ∆∴==【点睛】本题主要考查三角恒等变换,正弦函数的周期性、正弦函数的定义域和值域,余弦定理的应用,属于中档题.2.解关于x ,y 的方程组2122ax y a ax ay a+=+⎧⎨-=-⎩.【答案】见解析 【解析】 【分析】根据对应关系,分别求出D ,x D ,y D ,再分类讨论即可 【详解】 由题可得:()122a D a a a a==-+-,()2211=212x a D a aa+=-+--,221522y a a D a aa+==--.所以,(1)当0a ≠且2a ≠-时,()()221252a x a a a y a ⎧+⎪=⎪+⎨⎪=⎪+⎩; 当0a =或2-时,0x D ≠,方程组无解 【点睛】本题考查二元一次方程的解与行列式的对应关系,属于中档题3.关于ϕ的矩阵()cos sin sin cos A ϕϕϕϕϕ-⎛⎫=⎪⎝⎭,列向量12x X x ⎛⎫= ⎪⎝⎭. (1)已知11x =,23x =,45ϕ=︒,计算()A X ϕ,并指出该算式表示的意义; (2)把反比例函数1xy =的图象绕坐标原点逆时针旋转45︒,求得到曲线的方程;(3)已知数列12n n a =,n *∈N ,猜想并计算()()()12n A a A a A a ⋅⋅⋅⋅⋅⋅. 【答案】(1)⎛ ⎝,表示把向量X 逆时针旋转45︒得到的向量;(2)22122y x -=;(3)cos1sin1sin1cos1-⎛⎫ ⎪⎝⎭.【解析】 【分析】(1)根据向量与矩阵的乘法可计算结果,由旋转变换的运算法则即可得到算式表示的意义;(2)由题意,得旋转变换矩阵cos sin4422sin cos 4422A ππππ⎛⎛⎫--⎪ ⎪==⎪ ⎪ ⎪ ⎪⎪⎝⎭⎝⎭,设xy =1上的任意点(),P x y '''在变换矩阵A 作用下为(,)P x y ,确定坐标之间的关系,即可求得曲线的方程;(3)分别求出n =1,n =2,n =3时矩阵相乘的结果,由此猜想算式关于n 的表达式,从而可求得所求算式的结果. 【详解】(1)()cos sin11442233sin cos 4422A X ππϕππ⎛⎛⎫--⎪⎛⎛⎫⎛⎫ ⎪===⎪ ⎪ ⎪ ⎪ ⎪⎝⎭⎝⎭⎝ ⎪ ⎪⎝⎭⎝⎭, 该算式表示把向量X 逆时针旋转45︒得到的向量;(2)由题意,得旋转变换矩阵cos sin4422sin cos 4422A ππππ⎛⎛⎫--⎪ ⎪==⎪⎪ ⎪ ⎪⎪⎝⎭⎝⎭, 设xy =1上的任意点(),P x y '''在变换矩阵A 的作用下为(,)P x y ,则2222x x y y ⎛-⎛⎫⎛⎫ ⎪= ⎪ ⎪ ⎪⎝⎭⎝⎭ ⎪''⎝⎭,2222x x y y x y ⎧=-⎪⎪∴⎨⎪=+'''⎩'⎪,则2222222222y x x y x y x y ⎛⎫⎛⎫''''''-=+--== ⎪ ⎪ ⎪ ⎪⎝⎭⎝⎭, 将曲线xy =1绕坐标原点按逆时针方向旋转45︒,所得曲线的方程为22122y x -=;(3)当n =1时,()111cos sin2211sin cos 22n n nnA a ⎛⎫- ⎪=⎪ ⎪ ⎪⎝⎭;当n =2时,()()2212221111cos sin cos sin22221111sin cos sin cos 2222A a A a ⎛⎫⎛⎫-- ⎪⎪=⎪⎪ ⎪⎪ ⎪⎪⎝⎭⎝⎭2222222211111111cos cos sin sin cos sin cos sin 2222222211111111sin cos sin cos cos cos sin sin 22222222⎛⎫--- ⎪=⎪ ⎪+- ⎪⎝⎭22221111cos()sin()22221111sin()cos()2222⎛⎫+-+ ⎪= ⎪ ⎪++ ⎪⎝⎭,当n =3时,()()()22331232233111111cos sin cos sincos sin222222111111sin cos sin cos sin cos 222222A a A a A a ⎛⎫⎛⎫⎛⎫--- ⎪⎪⎪=⎪⎪⎪ ⎪⎪⎪ ⎪⎪⎪⎝⎭⎝⎭⎝⎭23232323111111cos()sin()222222111111sin()cos()222222⎛⎫++-++ ⎪= ⎪ ⎪++++ ⎪⎝⎭,由此猜想:当n =k 时,()()()221222111111cos sin cos sincos sin222222111111sin cos sin cos sin cos 222222k k k kkA a A a A a ⎛⎫⎛⎫⎛⎫--- ⎪⎪ ⎪=⎪⎪⎪ ⎪⎪ ⎪ ⎪⎪⎪⎝⎭⎝⎭⎝⎭L L 222211111111cos()sin()cos(1)sin(1)2222222211111111sin()cos()sin(1)cos(1)22222222k k k k k k k k ⎛⎫⎛⎫+++-+++--- ⎪ ⎪== ⎪ ⎪ ⎪ ⎪++++++-- ⎪ ⎪⎝⎭⎝⎭L L L L , 当k →+∞时,1112k -→, 所以()()()12cos1sin1sin1cos1n A a A a A a -⎛⎫⋅⋅⋅⋅⋅⋅= ⎪⎝⎭.【点睛】本题考查向量经矩阵变换后的向量求法,曲线的旋转变换和矩阵的乘法,关键掌握住变换的运算法则和矩阵的乘法公式,属中档题.4.已知直线1l :420mx y m +--=,2l :0x my m +-=,分别求实数m 满足什么条件时,直线1l 与2l 相交?平行?重合?【答案】当2m ≠且2m ≠-时,相交;当2m =-时,平行;当2m =时,重合 【解析】 【分析】计算出(2)(2)D m m =+-,(2)x D m m =-(1)(2)y D m m =+-,讨论是否为0得到答案. 【详解】42mx y m x my m +=+⎧⎨+=⎩244(2)(2)1m D m m m m==-=+-,24(2)4(2)x m D m m m m m mm+==+-=-22(2)(1)(2)1y m m D m m m m m+==-+=+-(1)当2m ≠且2m ≠-时,0D ≠,方程组有唯一解,1l 与2l 相交 (2)当2m =-时,0,80x D D ==≠,1l 与2l 平行 (3)当2m =时,0x y D D D ===,1l 与2l 重合 【点睛】本题考查了直线的位置关系,意在考查学生的计算能力.5.已知(2,1)OA =u u u v ,(1,7)OB =u u u v ,(5,1)OC =u u u v ,若OD xOA =u u u v u u u v,()f x DB DC=⋅u u u v u u u v (,x y ∈R ).(1)求函数()y f x =的解析式;(2)求函数()4()15f xg x x-=在12x ≤≤条件下的最小值;(3)把()y f x =的图像按向量(2,8)a =-v平移得到曲线C ,过坐标原点O 作OM 、ON分别交曲线C 于点M 、N ,直线MN 交y 轴于点0(0,)Q y ,当MON ∠为锐角时,求0y 的取值范围.【答案】(1)2()52012f x x x =-+;(2)3)1(,0)(,)5-∞+∞U . 【解析】 【分析】(1)根据向量数量积的坐标公式即可求()y f x =的解析式;(2)通过矩阵的计算公式,求出()g x 的表达式,然后利用基本不等式求最值即可; (3)根据向量平移关系即可求出曲线C 的解析式,设()()22,5,,5M m mN n n ,根据MON ∠为锐角时,建立不等式关系进行求解即可. 【详解】解:(1)(2,),(2,)OD x OA x x D x x =⋅=∴u u u r u u u rQ , (1,7),(5,1)OB OC ==u u u r u u u rQ ,(1,7),(5,1)B C ∴=, (12,7),(52,1)DB x x DC x x ∴=--=--u u u r u u u r,则2(12,7)(52,1)52012y DB DC x x x x x x =⋅=--⋅--=-+u u u r u u u r,即2()52012f x x x =-+; (2)由已知得:()4()1212()2052020515f x f xg x x x x x x x-==+=-++=+≥= 当且仅当125x x =,即[]1,2x =时取到最小值, 函数()4()15f xg x x-=在12x ≤≤条件下的最小值为;(3)22()520125(2)8y f x x x x ==-+=--Q ,()y f x ∴=的图象按向量(2,8)a =-r平移后得到曲线C 为25y x =;设()()22,5,,5M m mN n n ,则直线MN 的方程为222555y n x nm n m n--=--, 令0x =,则0y 5mn =-,若MON ∠为锐角,因为,,M O N 不可能共线,则22250OM ON mn m n ⋅=+>u u u u r u u u r,125mn ∴<-或0mn >, 01525y ∴-<-或005y ->, 即0y 0<或015y >, 故0y 的取值范围是1(,0),5⎛⎫-∞⋃+∞ ⎪⎝⎭. 【点睛】本题主要考查向量的数量积公式的应用,以及向量平移的关系,考查学生的运算能力.6.用行列式方法解关于x y 、的方程组:()()1R 214ax y a x a y a -=⎧∈⎨--=⎩,并对解的情况进行讨论.【答案】1a =时无解;12a =-时无穷解;12a ≠-且1a ≠时有唯一解11211x aa y a ⎧=⎪⎪-⎨-⎪=⎪-⎩【解析】 【分析】本题先求出相关行列式D 、x D 、y D 的值,再讨论分式的分母是否为0,用公式法写出方程组的解,得到本题结论. 【详解】Q 关于x 、y 的方程组:1()2ax y a a R x ay a +=+⎧∈⎨+=⎩,()()1R 214ax y a x a y a -=⎧∈⎨--=⎩∴21||1(1)(1)1a D a a a a==-=+-,21||(12)121(1)(21)112a D a a a a a a a-==-+=-++=--+-211||(1)2x a D a a a a a a +==-=-,1||124124121x D a a a a a==-+=+-- 21||21(21)(1)12y a a D a a a a a +==--=+-,21||41(21)(21)14y a D a a a a==-=+-.(1)当12a ≠-且1a ≠时,有唯一解11211x aa y a ⎧=⎪⎪-⎨-⎪=⎪-⎩,(2)当1a =时,无解; (3)当12a =-,时无穷解. 【点睛】本题考查了用行列式法求方程组的解,本题难度不大,属于基础题.7.[选修4-2:矩阵与变换]已知矩阵11a A b ⎡⎤=⎢⎥-⎣⎦的一个特征值为2,其对应的一个特征向量为21α⎡⎤=⎢⎥⎣⎦. 若x a A y b ⎡⎤⎡⎤=⎢⎥⎢⎥⎣⎦⎣⎦,求x ,y 的值.【答案】x ,y 的值分别为0,1.【解析】试题分析:利用矩阵的乘法法则列出方程,解方程可得x ,y 的值分别为0,1. 试题解析:由条件知,2A αα=,即][1222111a b ⎡⎤⎡⎤=⎢⎥⎢⎥-⎣⎦⎣⎦,即][2422a b +⎡⎤=⎢⎥-+⎣⎦, 所以24,{22,a b +=-+= 解得2,{ 4.a b == 所以1214A ⎡⎤=⎢⎥-⎣⎦. 则][][][12221444xx x y A y y x y +⎡⎤⎡⎤===⎢⎥⎢⎥--+⎣⎦⎣⎦,所以22,{44,x y x y +=-+= 解得0,{ 1.x y == 所以x ,y 的值分别为0,1.8.已知数列{}n a 满足条件1(1)(1)(1)n n n a n a +-=+-,且26a = (1)计算134,,a a a ,请猜测数列{}n a 的通项公式,并用数学归纳法证明;(2)请分别构造一个二阶和三阶行列式,使它们的值均为n a ,其中,要求所构造的三阶行列式主对角线下方的元素均为零,并用按某行或者某列展开的方法验证三阶行列式的值为n a【答案】(1)1341,15,28a a a ===,22n a n n =-;证明见解析 (2)2=1n n n a n,211101=001n n n a -,验证见解析 【解析】 【分析】(1)分别将1,2,3n =代回即可求得134,,a a a ,可猜测22n a n n =-,根据数学归纳法证明即可;(2)由(1)可构造二阶行列式为21n n n,根据要求可构造三阶行列式为211101001n n -,并展开求值进行验证即可 【详解】(1)当1n =时,()1021a =-,即11a =; 当2n =时,()()323136115a a =-=⨯-=; 当3n =时,()43241a a =-,则428a =;猜测22n a n n =-,证明:当1,2,3,4n =时,22n a n n =-成立;假设当()5n k k =≥时,22k a k k =-成立,则()()()1111k k k a k a +-=+-, 所以()()()()()2221112121123121111k k k a k k k k k k k k k k +++=--=+-=++=+-+--, 即当1n k =+时,等式也成立,综上,22n a n n =-成立(2)由(1),因为2221n a n n n n n =-=⋅-⋅,则可构造二阶行列式为21n n n;因为要求所构造的三阶行列式主对角线下方的元素均为零,可构造三阶行列式为211101001n n -,检验,()()()221110121110212001n n n n n n n n n a -=-⋅-⋅=-=-=,故该三阶行列式符合题意 【点睛】本题考查利用数学归纳法证明,考查行列式的应用,考查数列的通项公式,考查数列的项,考查运算能力,考查猜测推理的能力9.解关于x ,y 的方程组93x ay aax y +=⎧⎨+=⎩.【答案】分类讨论,详见解析 【解析】 【分析】分别计算得到29D a =-,6x D a =,23y D a =-,讨论得到答案.【详解】2199a D a a ==-,639x a a D a ==,2133y a D a a ==-.当3a ≠±时,0D ≠,此时方程有唯一解:2226939a x a a y a ⎧=⎪⎪-⎨-⎪=⎪-⎩; 当3a =±时,0D =,0x D ≠,方程无解. 综上所述:3a ≠±,有唯一解;3a =±,无解. 【点睛】本题考查了通过行列式讨论方程组的解的情况,分类讨论是一个常用的方法,需要同学熟练掌握.10.已知点()3,1A ,()1,3B -,i v,j v分别是基本单位向量.(1)若点P 是直线2y x =的动点,且0AP i AP j BP jBP i⋅⋅=-⋅⋅u u u v u u u v v v u u u v u u u v v v ,求点P 的坐标 (2)若点(),P x y 满足124126101x y -=且OP OA OB λμ=-u u u v u u u v u u u v,λ,μ是否存在自然数解,若存在,求出所有的自然数的解,若不存在,说明理由.【答案】(1)()0,0,()2,4(2)存在,0λ=,2μ=或2λ=,1μ=或4λ=,0μ=【解析】 【分析】(1)设P 的坐标为(),2x x ,再根据行列式的运算求解即可.(2)利用124126101xy -=求出(),P x y 满足的关系式,再根据OP OA OB λμ=-u u u r u u u r u u u r求出关于(),P x y 满足的关系式,再求自然数解即可.【详解】(1)由题,设P 的坐标为(),2x x ,因为0AP i AP jBP j BP i⋅⋅=-⋅⋅u u u r r u u u r r u u u r r u u u r r ,故()()()()0AP i BP i BP j AP j ⋅⨯⋅--⋅⨯⋅=u u u r r u u u r r u u u r r u u u r r ,化简得0AP BP ⋅=u u u r u u u r,即()()3,211,230x x x x --⋅+-=,即2222348305100x x x x x x --+-+=⇒-=. 解得0x =或2x =.代入可得()0,0或()2,4(2)由124126101xy -=得12(6)4(2)(26)0y x y x ----++=.化简得8y x =-. 又OP OA OB λμ=-u u u r u u u r u u u r ,故()()()3,11,3,x y λμ=--,即33x y λμλμ=+⎧⎨=-⎩. 故33824λμλμλμ-=+-⇒+=,又,λμ为自然数.故0λ=,2μ=或2λ=,1μ=或4λ=,0μ= 【点睛】本题主要考查了向量与行列式的基本运算等,需要根据题意求得关于(),P x y 的关系式,属于中等题型.11.已知向量102112A ⎡⎤-⎢⎥=⎢⎥⎢⎥-⎢⎥⎣⎦u r ,求矩阵1A -u r 的特征值和属于该特征值的特征向量.【答案】特征值:1,2-;对应特征向量:12⎛⎫ ⎪-⎝⎭,11⎛⎫ ⎪⎝⎭.【解析】 【分析】先求得1A -u r ,以及其特征多项式()f λ,令()0f λ=解得特征值,最后根据特征向量的定义求解即可. 【详解】 设1A-u ra b c d ⎛⎫= ⎪⎝⎭,则由A u r 1A -u r E =r可得 10? 1?02 10? 1?1? 2a b c d ⎛⎫- ⎪⎛⎫⎛⎫= ⎪ ⎪ ⎪ ⎪⎝⎭⎝⎭- ⎪⎝⎭,解得1,1,2,0a b c d =-=-=-=, 故得1A-u r 1? 12? 0--⎛⎫= ⎪-⎝⎭. 则其特征多项式()()1? 1?122? f λλλλλ+==+-,令()0fλ=,可得特征值为121,2λλ==-.设11λ=对应的一个特征向量为x y α⎛⎫= ⎪⎝⎭,则由11A λαα-=r,的2y x =-,令1x =,则2y =- 故矩阵1A -u r 的一个特征值11λ=对应的一个特征向量为12⎛⎫ ⎪-⎝⎭;同理可得矩阵1A -u r 的一个特征值22λ=-对应的一个特征向量为11⎛⎫ ⎪⎝⎭.【点睛】本题考查矩阵特征值和特征向量的求解,属中档题.12.设()3322k kx k x f x k x-=+⋅(x ∈R ,k 为正整数)(1)分别求出当1k =,2k =时方程()0f x =的解.(2)设()0f x ≤的解集为[]212,k k a a -,求1234a a a a +++的值及数列{}n a 的前2n 项和. 【答案】(1)1k =时,方程()0f x =的解为2x =,3x =;2k =时, ()0f x =的解为6x =,4x =(2)123415a a a a +++=;前2n 项和为21332222n n n ++-+【解析】 【分析】(1)根据定义化简函数()f x 的解析式,然后根据一元二次方程求出当1k =,2k =时方程()0f x =的解即可;(2)由()0f x ≤即()()320kx k x --≤的解集为[]212,k k aa -建立关系式,然后取1k =,2k =可求出1234a a a a +++的值,最后根据()()()212342121234212n n n n n S a a a a a a a a a a a a --=++++++=++++++L L 进行求解即可; 【详解】解:(1)()()()()2323232kkkf x x k x k x k x =-++⋅=--,当1k =时()()()32f x x x =--,所以方程()0f x =的解为2x =,3x =; 当2k =时()()()64f x x x =--,所以方程()0f x =的解为6x =,4x =; (2)由()0f x ≤即()()320kx k x --≤的解集为[]212,k k aa -.∴2122123232k k k kk k a a k a a k --⎧+=+⎨⋅=⋅⎩, ∴1k =时,1123125a a +=⋅+=,2k =时,23432210a a +=⋅+=. ∴123451015a a a a +++=+=()()()212342121234212n n n n n S a a a a a a a a a a a a --=++++++=++++++L L ()()()()()12231232232312222n n n n =⋅++⋅+++⋅+=+++++++L L L()()2121213332221222nn n n n n +-+=⋅+=+-+-.【点睛】 本题主要考查了二阶行列式的定义,以及数列的求和,同时考查了计算能力,属于中档题.13.已知函数()2cos 2sin 3sin cos 3x f x x πααπαα⎛⎫+- ⎪⎝⎭=⎛⎫+- ⎪⎝⎭.(1)求()f x 的单调增区间. (2)函数()f x 的图象F 按向量,13a π⎛⎫=-⎪⎝⎭v 平移到'F ,'F 的解析式是()'y f x =.求()'f x 的零点.【答案】(1)42,233k k ππππ⎡⎤--⎢⎥⎣⎦,k Z ∈;(2)23x k ππ=±,k Z ∈. 【解析】 【分析】(1)由题意根据二阶行列式的运算法则及利用两角和差的三角公式,化简函数的解析式,再利用正弦函数的单调性,得出结论.(2)由题意利用sin()y A x ωϕ=+的图象变换规律求得()2cos 1f x x '=-,再根据函数零点的定义和求法求得()f x '的零点. 【详解】解:(1)()2cos 2sin 3sin cos 3x f x x πααπαα⎛⎫+- ⎪⎝⎭=⎛⎫+- ⎪⎝⎭Q()2cos cos 2sin sin 33f x x x ππαααα⎛⎫⎛⎫=+--+- ⎪ ⎪⎝⎭⎝⎭∴2cos 3x π⎛⎫=+ ⎪⎝⎭,令223k x k ππππ-≤+≤,k Z ∈,求得42233k x k ππππ-≤≤-,k Z ∈, 则()f x 的单调增区间42,233k k ππππ⎡⎤--⎢⎥⎣⎦,k Z ∈. (2)()2cos 3f x x π⎛⎫=+ ⎪⎝⎭Q 按向量,13a π⎛⎫=- ⎪⎝⎭r 平移到'F'F ∴的解析式是()'2cos 1y f x x ==-,令2cos 10x -=,解得23x k ππ=±,k Z ∈.所以()'f x 的零点为23x k ππ=±,k Z ∈.【点睛】本题主要考查两角和差的三角公式,正弦函数的单调性,sin()y A x ωϕ=+的图象变换规律,函数零点的定义和求法,属于基础题.14.将一枚六个面的编号为1,2,3,4,5,6的质地均匀的正方体骰子先后掷两次,记第一次出的点数为a ,第二次出的点数为b ,且已知关于x 、y 的方程组322ax by x y +=⎧⎨+=⎩.(1)求此方程组有解的概率;(2)若记此方程组的解为0x x y y =⎧⎨=⎩,求00x >且00y >的概率.【答案】(1)1112;(2)1336. 【解析】 【分析】(1)先根据方程组有解得a b ,关系,再确定,a b 取法种数,最后根据古典概型概率公式求结果;(2)先求方程组解,再根据解的情况得a b ,关系,进而确定,a b 取法种数,最后根据古典概型概率公式求结果. 【详解】 (1)因为方程组322ax by x y +=⎧⎨+=⎩有解,所以0212a b a b ≠∴≠ 而2b a =有123,,,246a a a b b b ===⎧⎧⎧⎨⎨⎨===⎩⎩⎩这三种情况,所以所求概率为31116612-=⨯; (2)006232,2022232b x ax by a ba b x y a y a b -⎧=⎪+=⎧⎪-∴-≠⎨⎨+=-⎩⎪=⎪-⎩Q 因为00x >且00y >,所以6223200,022b a a b a b a b---≠>>--,因此12,,33a ab b =≥⎧⎧⎨⎨><⎩⎩即有35213+⨯=种情况,所以所求概率为13136636=⨯; 【点睛】本题考查古典概型概率以及二元一次方程组的解,考查综合分析求解能力,属中档题.15.已知矩阵120A x -⎡⎤=⎢⎥⎣⎦,5723B ⎡⎤=⎢⎥⎣⎦,B 的逆矩阵1B -满足17177AB y --⎡⎤=⎢⎥-⎣⎦. (1)求实数x ,y 的值;(2)求矩阵A 的特征值和特征向量.【答案】(1)1,3x y ==;(2)特征值为2-和1,分别对应一个特征向量为21-⎡⎤⎢⎥⎣⎦,11⎡⎤⎢⎥⎣⎦. 【解析】 【分析】(1)计算()1AB B -,可得12514721y y -⎡⎤⎢⎥--⎣⎦,根据()1A AB B -=,可得结果.(2)计算矩阵A 的特征多项式()121f λλλ+-=-,可得2λ=-或1λ=,然后根据Ax x λ=r r,可得结果.【详解】 (1)因为17177ABy --⎡⎤=⎢⎥-⎣⎦,5723B ⎡⎤=⎢⎥⎣⎦所以()17175712723514721ABB y y y ---⎡⎤⎡⎤⎡⎤==⎢⎥⎢⎥⎢⎥---⎣⎦⎣⎦⎣⎦由()1A ABB -=,所以12120514721x y y --⎡⎤⎡⎤=⎢⎥⎢⎥--⎣⎦⎣⎦所以514172103y x x y y -==⎧⎧⇒⎨⎨-==⎩⎩(2)矩阵A 的特征多项式为:()()()()1212211f λλλλλλλ+-==+-=+--令()0f λ=,解得2λ=-或1λ= 所以矩阵A 的特征值为2-和1. ①当2λ=-时,12222102x x x y xy y x y--+=-⎡⎤⎡⎤⎡⎤⎧=-⇒⎨⎢⎥⎢⎥⎢⎥=-⎣⎦⎣⎦⎣⎦⎩ 令1y =,则2x =-,所以矩阵M 的一个特征向量为21-⎡⎤⎢⎥⎣⎦.②当1λ=时,12210x x x y xy y x y--+=⎡⎤⎡⎤⎡⎤⎧=⇒⎨⎢⎥⎢⎥⎢⎥=⎣⎦⎣⎦⎣⎦⎩ 令1y =,则1x =所以矩阵M 的一个特征向量为11⎡⎤⎢⎥⎣⎦. 因此,矩阵A 的特征值为2-和1,分别对应一个特征向量为21-⎡⎤⎢⎥⎣⎦,11⎡⎤⎢⎥⎣⎦.【点睛】本题考查矩阵的应用,第(1)问中,关键在于()1A ABB -=,第(2)问中,关键在于()1201f λλλ+-==-,考验分析能力以及计算能力,属中档题.16.已知矩阵12A c d ⎡⎤=⎢⎥⎣⎦(c ,d 为实数).若矩阵A 属于特征值2,3的一个特征向量分别为21⎡⎤⎢⎥⎣⎦,11⎡⎤⎢⎥⎣⎦,求矩阵A 的逆矩阵1A -.【答案】121331166A -⎡⎤-⎢⎥=⎢⎥⎢⎥⎢⎥⎣⎦【解析】 【分析】根据特征值的定义可知A αλα=,利用待定系数法建立等式关系,求出矩阵A ,即可求出逆矩阵1A -. 【详解】解:由题意知,122422121c d c d ⎡⎤⎡⎤⎡⎤⎡⎤==⎢⎥⎢⎥⎢⎥⎢⎥+⎣⎦⎣⎦⎣⎦⎣⎦,12131311c d c d ⎡⎤⎡⎤⎡⎤⎡⎤==⎢⎥⎢⎥⎢⎥⎢⎥+⎣⎦⎣⎦⎣⎦⎣⎦, 所以223c d c d +=⎧⎨+=⎩,解得14c d =-⎧⎨=⎩. 所以1214A ⎡⎤=⎢⎥-⎣⎦,所以121331166A -⎡⎤-⎢⎥=⎢⎥⎢⎥⎢⎥⎣⎦. 【点睛】本题主要考查了二阶矩阵,以及特征值与特征向量的计算,属于基础题.17.已知矩阵1101A ⎡⎤=⎢⎥-⎣⎦,0614B ⎡⎤=⎢⎥-⎣⎦.若矩阵C 满足AC B =,求矩阵C 的特征值和相应的特征向量.【答案】特征值12λ=,相应的特征向量21⎡⎤⎢⎥⎣⎦;特征值23λ=,相应的特征向量11⎡⎤⎢⎥⎣⎦【解析】 【分析】设a b C c d ⎡⎤=⎢⎥⎣⎦,由矩阵乘法法则求得矩阵C ,再由特征多项式求得特征值,再得特征向量. 【详解】解:设a b C c d ⎡⎤=⎢⎥⎣⎦,由AC B =,即11060114a b c d ⎡⎤⎡⎤⎡⎤=⎢⎥⎢⎥⎢⎥--⎣⎦⎣⎦⎣⎦, 得0164a c c b d d +=⎧⎪-=⎪⎨+=⎪⎪-=-⎩,解得1214a b c d =⎧⎪=⎪⎨=-⎪⎪=⎩,所以1214C ⎡⎤=⎢⎥-⎣⎦. 设()()()2121425614f λλλλλλλ--==--+=-+-,令()0f λ=,得12λ=,23λ=,特征向量为x y ⎡⎤⎢⎥⎣⎦,当12λ=时,20x y -=,取121α⎡⎤=⎢⎥⎣⎦u u r ;当23λ=时,220x y -=,取211α⎡⎤=⎢⎥⎣⎦u u r .【点睛】本题考查矩阵的乘法运算,考查特征值和特征向量,掌握矩阵乘法运算法则与特征多项式概念是解题基础.18.设变换T 是按逆时针旋转2π的旋转变换,对应的变换矩阵是M . (1)求点(1,1)P 在T 作用下的点P '的坐标;(2)求曲线2:C y x =在变换T 的作用下所得到的曲线C '的方程.【答案】(1)()1,1-;(2)2y x =-.【解析】 【分析】(1)根据所给旋转变换的角度可求得对应的矩阵,由所给点的坐标即可求得变换后的对应坐标;(2)根据变换可得矩阵乘法式,计算后代入方程即可得变换后的曲线C '的方程. 【详解】(1)由题意变换T 是按逆时针旋转2π的旋转变换,对应的变换矩阵是M , 可知cos sin012210sin cos 22M ππππ⎛⎫- ⎪-⎛⎫==⎪ ⎪ ⎪⎝⎭ ⎪⎝⎭,1011111011M --⎛⎫⎛⎫⎛⎫⎛⎫=⋅= ⎪ ⎪ ⎪ ⎪⎝⎭⎝⎭⎝⎭⎝⎭,所以点(1,1)P 在T 作用下的点P '的坐标为()1,1-.(2)设x y ⎛⎫⎪⎝⎭是变换后曲线C '上任意一点,与之对应的变换前的点为00x y ⎛⎫ ⎪⎝⎭,则00x x M y y ⎛⎫⎛⎫⋅= ⎪ ⎪⎝⎭⎝⎭,即000110x x y y -⎛⎫⎛⎫⎛⎫⋅= ⎪ ⎪ ⎪⎝⎭⎝⎭⎝⎭, 所以00y x x y -=⎧⎨=⎩,即00x y y x =⎧⎨=-⎩,因为00x y ⎛⎫ ⎪⎝⎭在曲线2:C y x =上,将00x y y x =⎧⎨=-⎩代入可得2x y -=,即2y x =-,所以曲线2:C y x =在变换T 的作用下所得到的曲线C '的方程为2y x =-. 【点睛】本题考查了旋转变换对应矩阵的求法,由矩阵求对应点的坐标,矩阵的乘法运算应用,属于中档题.19.已知矩阵4321M -⎡⎤=⎢⎥-⎣⎦,向量75α⎡⎤=⎢⎥⎣⎦u r . (1)求矩阵M 的特征值及属于每个特征值的一个特征向量; (2)求3M α.【答案】(1)特征值为11λ=,22λ=,分别对应的特征向量为11⎡⎤⎢⎥⎣⎦和32⎡⎤⎢⎥⎣⎦,(2)34933M α⎡⎤=⎢⎥⎣⎦r .【解析】 【分析】(1)根据特征值的定义列出特征多项式,令()0f λ=解方程可得特征值,再由特征值列出方程组即可解得相应的特征向量;(2)7132512α⎛⎫⎡⎤⎡⎤==+ ⎪⎢⎥⎢⎥⎝⎭⎣⎦⎣⎦r g ,即可求3M αr.【详解】(1)矩阵M 的特征多项式为()(1)(2)f λλλ=--, 令()0f λ=,可求得特征值为11λ=,22λ=,设11λ=对应的一个特征向量为x y α⎡⎤=⎢⎥⎣⎦,则由1M λαα=,得330x y -+=,可令1x =,则1y =-, 所以矩阵M 的一个特征值11λ=对应的一个特征向量为11⎡⎤⎢⎥⎣⎦, 同理可得矩阵M 的一个特征值22λ=对应的一个特征向量为32⎡⎤⎢⎥⎣⎦.(2)7132512α⎛⎫⎡⎤⎡⎤==+ ⎪⎢⎥⎢⎥⎝⎭⎣⎦⎣⎦r g所以331349221233M α⎡⎤⎡⎤⎡⎤=+⨯⨯=⎢⎥⎢⎥⎢⎥⎣⎦⎣⎦⎣⎦r .【点睛】本题主要考查了矩阵特征值与特征向量的计算等基础知识,意在考查学生对这些知识的理解掌握水平.20.已知关于x ,y 的一元二次方程组:223(1)21mx y x m y m +=⎧⎨+-=+⎩,当实数m 为何值时,并在有解时求出方程组的解. (1)方程组有唯一解? (2)方程组无解? (3)方程组有无穷多解?【答案】(1)2m ≠-且3m ≠,23233x mm y m ⎧=⎪⎪-⎨-⎪=⎪-⎩;(2)3m =;(3)2m =-【解析】 【分析】分别求出二元一次方程组对应的,,x y D D D ,再根据有唯一解、无解、无穷多解情况求解即可; 【详解】一元二次方程组:223(1)21mx y x m y m +=⎧⎨+-=+⎩对应的()()2263231m D m m m m m ==--=-+-()2222211x D m m m ==-++-,()()2232321y m D m m m ==-++(1)当0D ≠时,方程组有唯一解,即3m ≠且2m ≠-,此时23233x y D x D mD m y D m ⎧==⎪⎪-⎨-⎪==⎪-⎩,即23233x mm y m ⎧=⎪⎪-⎨-⎪=⎪-⎩; (2)方程组无解的情况等价于0D =时,0x D ≠或者0y D ≠,即只有3m =时符合情况;(3)方程组有无穷多解等价于0,0,0x y D D D ===,符合的解只有2m =- 【点睛】本题考查二元一次方程组用二阶行列式求解解的情况,属于中档题。
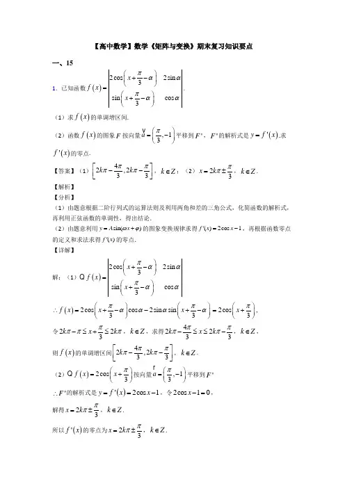
数学《矩阵与变换》复习知识点一、151.关于x 的不等式201x a x+<的解集为()1,b -.()1求实数a ,b 的值;()2若1z a bi =+,2z cos isin αα=+,且12z z 为纯虚数,求tan α的值.【答案】(1)1a =-,2b =(2)12- 【解析】 【分析】(1)由题意可得:1-,b 是方程220x ax +-=的两个实数根,利用根与系数的关系即可得出答案;(2)利用(1)的结果得()()1222z z cos sin cos sin i αααα=--+-为纯虚数,利用纯虚数的定义即可得出. 【详解】 解:(1)不等式201x a x+<即()20x x a +-<的解集为()1,b -. 1∴-,b 是方程220x ax +-=的两个实数根,∴由1b a -+=-,2b -=-,解得1a =-,2b =. (2)由(1)知1,2a b =-=,()()()()121222z z i cos isin cos sin cos sin i αααααα∴=-++=--+-为纯虚数,20cos sin αα∴--=,20cos sin αα-≠,解得12tan α=-.【点睛】本题考查了行列式,复数的运算法则、纯虚数的定义、一元二次方程的根与系数的关系、一元二次不等式的解法,考查了推理能力与计算能力,属于中档题.2.讨论关于x ,y ,z 的方程组2112x y z x y az x ay a z ++=⎧⎪++=⎨⎪++=⎩解的情况.【答案】当1a ≠时,有唯一解2,11,0.a x a y a z -⎧=⎪-⎪=-⎨⎪=⎪⎩;当1a =时,无解.【解析】 【分析】先根据方程组中x ,y ,z 的系数及常数项计算出D ,x D ,y D ,z D ,再对a 的值进行分类讨论,并求出相应的解. 【详解】方程组可转化为:2111111121x a a a y z ⎡⎤⎡⎤⎡⎤⎢⎥⎢⎥⎢⎥=⎢⎥⎢⎥⎢⎥⎢⎥⎢⎥⎢⎥⎣⎦⎣⎦⎣⎦,2211111(1)1a a D a a ==--,21111(1)(2)12x D a a a a a ==---, 211111112y D a a a ==-+,111101112z D a ==,(1)当系数行列式||0D ≠时,方程组有唯一解,即1a ≠时,有唯一解2,11,0.a x a y a z -⎧=⎪-⎪=-⎨⎪=⎪⎩(2)当1a =时,原方程组等价于112x y z x y z x y z ++=⎧⎪++=⎨⎪++=⎩所以无解.【点睛】本题考查三元一次方程组的矩阵形式、线性方程组解的存在性、唯一性、三元一次方程的解法等基础知识,考查运算求解能力.3.用行列式解方程组252,23,24 1.x y z y z x y z ++=-⎧⎪--=⎨⎪++=-⎩【答案】1337313x y z ⎧=⎪⎪⎪=-⎨⎪⎪=-⎪⎩【解析】 【分析】先根据方程组中x ,y ,z 的系数及常数项求得D ,x D ,y D ,z D ,再对a 的值进行分类讨论,并求出相应的解. 【详解】方程组可转化为:125202324111x y z ⎡⎤⎡⎤⎡⎤⎢⎥⎢⎥⎢⎥-=⎢⎥⎢⎥⎢⎥⎢⎥⎢⎥⎢⎥⎣⎦⎣⎦-⎦--⎣,1912502241D =-=-, 13922532141x D --=-=-,12503221121y D --==--,1312203241z D ---==-,所以13,37,31.3x y z D x D D y D D z D ⎧==⎪⎪⎪==-⎨⎪⎪==-⎪⎩【点睛】本题考查三元一次方程组的矩阵形式、线性方程组的行列式求解,考查运算求解能力.4.不等式21101x xba xa ->-的解是12x <<,试求a ,b 的值. 【答案】12a =-,1b =-或1a =-,2b =- . 【解析】 【分析】将行列式展开,由行列式大于0,即ax 2+(1+ab )x +b >0,由1和2是方程ax 2+(1+ab )x +b =0的两个根,由韦达定理可知,列方程组即可求得a 和b 的值. 【详解】2111x xb a xa-=-x 2×(﹣a )×(﹣1)+x +abx ﹣x 2×(﹣a )﹣ax 2﹣(﹣1)×b =ax 2+(1+ab )x +b >0,∵不等式的解为1<x <2,∴a <0,且1,2为一元二次方程:ax 2+(1+ab )x +b =0的两个根,由韦达定理可知:11212ab ab a +⎧+=-⎪⎪⎨⎪⨯=⎪⎩,整理得:2a 2+3a +1=0,解得:12a b =-⎧⎨=-⎩或121a b ⎧=-⎪⎨⎪=-⎩,故a =﹣1,b =﹣2或a 12=-,b =﹣1. 【点睛】本题考查行列式的展开,考查一元二次不等式与一元二次方程的关系及韦达定理,考查计算能力,属于中档题.5.设点(,)x y 在矩阵M 对应变换作用下得到点(2,)x x y +. (1)求矩阵M ;(2)若直线:25l x y -=在矩阵M 对应变换作用下得到直线l ',求直线l '的方程.【答案】(1)2011⎡⎤⎢⎥⎣⎦;(2)3x -4y -10=0. 【解析】 【分析】(1)设出矩阵M ,利用矩阵变换得到关于x 、y 的方程组,利用等式恒成立求出矩阵M ;(2)设点(,)x y 在直线l 上,利用矩阵变换得到点(,)x y '',代入直线l 中,求得直线l '的方程. 【详解】解:(1)设a b M c d ⎡⎤=⎢⎥⎣⎦,由题意,2a b x xM c d y x y ⎡⎤⎡⎤⎡⎤==⎢⎥⎢⎥⎢⎥+⎣⎦⎣⎦⎣⎦g ,所以2ax by x +=,且cx dy x y +=+恒成立; 所以2a =,0b =,1c =,1d =;所以矩阵2011M ⎡⎤=⎢⎥⎣⎦; (2)设点(,)x y 在直线l 上,在矩阵M 对应变换作用下得到点(,)x y ''在直线l '上, 则2x x '=,y x y '=+,所以12x x =',12y y x ='-'; 代入直线:25l x y -=中,可得34100x y '-'-=; 所以直线l '的方程为34100x y --=. 【点睛】本题考查了矩阵变换的计算问题,也考查了运算求解能力,是基础题.6.用行列式方法解关于x y 、的方程组:()()1R 214ax y a x a y a -=⎧∈⎨--=⎩,并对解的情况进行讨论.【答案】1a =时无解;12a =-时无穷解;12a ≠-且1a ≠时有唯一解11211x aa y a ⎧=⎪⎪-⎨-⎪=⎪-⎩【解析】 【分析】本题先求出相关行列式D 、x D 、y D 的值,再讨论分式的分母是否为0,用公式法写出方程组的解,得到本题结论. 【详解】Q 关于x 、y 的方程组:1()2ax y a a R x ay a +=+⎧∈⎨+=⎩,()()1R 214ax y a x a y a -=⎧∈⎨--=⎩∴21||1(1)(1)1a D a a a a==-=+-,21||(12)121(1)(21)112a D a a a a a a a-==-+=-++=--+-211||(1)2x a D a a a a a a +==-=-,1||124124121x D a a a a a==-+=+-- 21||21(21)(1)12y a a D a a a a a +==--=+-,21||41(21)(21)14y a D a a a a==-=+-.(1)当12a ≠-且1a ≠时,有唯一解11211x aa y a ⎧=⎪⎪-⎨-⎪=⎪-⎩,(2)当1a =时,无解; (3)当12a =-,时无穷解. 【点睛】本题考查了用行列式法求方程组的解,本题难度不大,属于基础题.7.在ABC ∆中,角,,A B C 所对的边分别为,,a b c,且sincossin 222sincos 022sec12A A cBB B -=-求角C 的大小.【答案】2π 【解析】 【分析】先将三阶行列式化简,结合三角形内角和与诱导公式、辅助角公式化简即可求值 【详解】由sincossin 222sincos 0sin cos sin sin cos 2222222sec12A A cBB A BC B A B -=⇒++=-sin sin 22A B C +⎛⎫⇒+= ⎪⎝⎭又()C A B π=-+,∴ sin sin cos 222A B C C π+-⎛⎫==⎪⎝⎭,sin sin sin cos 2222A B C C C +⎛⎫+=⇔+= ⎪⎝⎭,sin 12424C C ππ⎛⎫⎛⎫+=⇒+= ⎪ ⎪⎝⎭⎝⎭,又Q 3,2444C πππ⎛⎫+∈ ⎪⎝⎭,242C ππ+=∴, 解得2C π=【点睛】本题考查三阶行列式的化简求值,三角函数的诱导公式、辅助角公式的使用,属于中档题8.已知关于x ,y 的一元二次方程组:223(1)21mx y x m y m +=⎧⎨+-=+⎩,当实数m 为何值时,并在有解时求出方程组的解. (1)方程组有唯一解? (2)方程组无解? (3)方程组有无穷多解?【答案】(1)2m ≠-且3m ≠,23233x mm y m ⎧=⎪⎪-⎨-⎪=⎪-⎩;(2)3m =;(3)2m =-【解析】 【分析】分别求出二元一次方程组对应的,,x y D D D ,再根据有唯一解、无解、无穷多解情况求解即可; 【详解】一元二次方程组:223(1)21mx y x m y m +=⎧⎨+-=+⎩对应的()()2263231m D m m m m m ==--=-+-()2222211x D m m m ==-++-,()()2232321y m D m m m ==-++(1)当0D ≠时,方程组有唯一解,即3m ≠且2m ≠-,此时23233x y D x D mD m y D m ⎧==⎪⎪-⎨-⎪==⎪-⎩,即23233x mm y m ⎧=⎪⎪-⎨-⎪=⎪-⎩; (2)方程组无解的情况等价于0D =时,0x D ≠或者0y D ≠,即只有3m =时符合情况;(3)方程组有无穷多解等价于0,0,0x y D D D ===,符合的解只有2m =- 【点睛】本题考查二元一次方程组用二阶行列式求解解的情况,属于中档题9.解方程组32321x my m mx y m +=+⎧⎨+=-⎩.【答案】详见解析. 【解析】 【分析】求出行列式D 、x D 、y D ,对D 分0D ≠和0D =两种情况分类讨论,利用方程组解与行列式之间的关系求出方程组的解,或者将参数的值代入方程组进行求解,由此得出方程组的解. 【详解】由题意可得()()2933D m m m =-=--+,()()3(2)(21)231x D m m m m m =+--=--+,()()31y D m m =---.①当0D ≠时,即当3m ≠±时,()21313x y m D x D m D m y D m ⎧+==⎪⎪+⎨-⎪==⎪+⎩;②当3m =时,方程组335335335x y x y x y +=⎧⇔+=⎨+=⎩,令()x t t R =∈,得533t y -=,此时,该方程组的解有无数多个,为,()533x t t R t y =⎧⎪∈-⎨=⎪⎩;③当3m =-时,该方程组为331337x y x y -=-⎧⎨-+=-⎩17⇒-=,所以该方程组无解.【点睛】本题考查二元一次方程组的求解,解题时要对系数行列式是否为零进行分类讨论,考查运算求解能力,属于中等题.10.已知函数2sin ()1x xf x x -=.(1)当0,2x π⎡⎤∈⎢⎥⎣⎦时,求()f x 的值域; (2)已知ABC V 的内角A ,B ,C 的对边分别为a ,b ,c,若2A f ⎛⎫=⎪⎝⎭4a =,5b c +=,求ABC V 的面积. 【答案】(1)1⎡⎤+⎢⎥⎣⎦;(2【解析】【分析】(1)由题意利用三角恒等变换化简函数的解析式,再利用正弦函数的定义域和值域求得当0,2x π⎡⎤∈⎢⎥⎣⎦时,求函数()f x 的值域. (2)由条件求得A ,利用余弦定理求得bc 的值,可得△ABC 的面积. 【详解】 解:(1)21()sin cos cos 2)sin 2sin 22232f x x x x x x x π⎛⎫=+=++=++⎪⎝⎭Q , 又02x π≤≤,得42333x πππ≤+≤,所以sin 21,0sin 2123322x x ππ⎛⎫⎛⎫-≤+≤≤++≤+⎪ ⎪⎝⎭⎝⎭, 即函数()f x 在0,2π⎡⎤⎢⎥⎣⎦上的值域为0,12⎡⎤+⎢⎥⎣⎦; (2)∵2A f ⎛⎫=⎪⎝⎭,sin 3A π⎛⎫∴+=⎪⎝⎭, 由(0,)A π∈,知4333A πππ<+<, 解得:233A ππ+=,所以3A π=. 由余弦定理知:2222cos a b c bc A =+-,即2216b c bc =+-,216( c)3b bc ∴=+-.因为5b c +=,所以3bc =,1sin 2ABC S bc A ∆∴==【点睛】本题主要考查三角恒等变换,正弦函数的周期性、正弦函数的定义域和值域,余弦定理的应用,属于中档题.11.已知向量102112A ⎡⎤-⎢⎥=⎢⎥⎢⎥-⎢⎥⎣⎦u r ,求矩阵1A -u r 的特征值和属于该特征值的特征向量.【答案】特征值:1,2-;对应特征向量:12⎛⎫ ⎪-⎝⎭,11⎛⎫⎪⎝⎭.【解析】【分析】先求得1A -u r,以及其特征多项式()fλ,令()0f λ=解得特征值,最后根据特征向量的定义求解即可. 【详解】 设1A-u ra b c d ⎛⎫= ⎪⎝⎭,则由A u r 1A -u r E =r 可得 10? 1?02 10? 1?1? 2a b c d ⎛⎫- ⎪⎛⎫⎛⎫= ⎪ ⎪ ⎪ ⎪⎝⎭⎝⎭- ⎪⎝⎭,解得1,1,2,0a b c d =-=-=-=, 故得1A-u r 1? 12? 0--⎛⎫= ⎪-⎝⎭. 则其特征多项式()()1? 1?122? f λλλλλ+==+-,令()0fλ=,可得特征值为121,2λλ==-.设11λ=对应的一个特征向量为x y α⎛⎫= ⎪⎝⎭,则由11A λαα-=r,的2y x =-,令1x =,则2y =- 故矩阵1A -u r 的一个特征值11λ=对应的一个特征向量为12⎛⎫ ⎪-⎝⎭;同理可得矩阵1A -u r 的一个特征值22λ=-对应的一个特征向量为11⎛⎫ ⎪⎝⎭.【点睛】本题考查矩阵特征值和特征向量的求解,属中档题.12.定义“矩阵”的一种运算()x a b ax by cx dy c y d ⎡⎤⎛⎫⋅=++ ⎪⎢⎥⎣⎦⎝⎭,,该运算的意义为点(),x y 在矩阵a b c d ⎛⎫⎪⎝⎭的变换下成点()ax by cx dy ++,,设矩阵11A ⎛=-⎭()1已知点P 在矩阵A 的变换后得到的点Q的坐标为)2,试求点P 的坐标;()2是否存在这样的直线:它上面的任一点经矩阵A变换后得到的点仍在该直线上?若存在,试求出所有这样的直线;若不存在,则说明理由.【答案】(1)14⎫⎪⎭(2)存在,直线方程为:y x=或y=【解析】【分析】()1设(),P x y,由题意,得出关于x、y的方程,解之即得P点的坐标;()2对于存在性问题,可先假设存在,即假设存在这样的直线,设直线方程为:()0y kx b k=+≠,该直线上的任一点(),M x y,经变换后得到的点()N x y+-仍在该直线上,再结合求方程的解,即可求得k,b值,若出现矛盾,则说明假设不成立,即不存在;否则存在.【详解】()1设(),P x y由题意,有124xxy y⎧=⎧⎪+=⎪⎪⎨⎨-=⎪⎪⎩=⎪⎩,即P点的坐标为14⎫⎪⎭.()2假设存在这样的直线,因为平行坐标轴的直线显然不满足条件,所以设直线方程为:()0y kx b k=+≠因为该直线上的任一点(),M x y,经变换后得到的点()N x y+-仍在该直线上()-=++y k x b即)()10k x y b--=,其中()0y kx b k=+≠代入得()2220k x b+++=对任意的x∈R恒成立()22020kb+=+=⎪⎩解之得3kb⎧=⎪⎨⎪=⎩或kb⎧=⎪⎨=⎪⎩故直线方程为3y x=或y=.【点睛】此题主要考查矩阵变换的问题,其中涉及到矩阵的求法等基础知识,考查运算求解能力与转化思想,属于中档题.13.已知矩阵2312A⎡⎤=⎢⎥⎣⎦.(1)求A的逆矩阵1A-;(2)若点P在矩阵A对应的变换作用下得到点(3,1)P',求点P的坐标.【答案】(1)1A-2312-⎡⎤=⎢⎥-⎣⎦(2)点P的坐标为(3,–1)【解析】分析:(1)根据逆矩阵公式可得结果;(2)根据矩阵变换列方程解得P点坐标.详解:(1)因为2312A⎡⎤=⎢⎥⎣⎦,()det221310A=⨯-⨯=≠,所以A可逆,从而1A-2312-⎡⎤=⎢⎥-⎣⎦.(2)设P(x,y),则233121xy⎡⎤⎡⎤⎡⎤=⎢⎥⎢⎥⎢⎥⎣⎦⎣⎦⎣⎦,所以13311xAy-⎡⎤⎡⎤⎡⎤==⎢⎥⎢⎥⎢⎥-⎣⎦⎣⎦⎣⎦,因此,点P的坐标为(3,–1).点睛:本题考查矩阵的运算、线性变换等基础知识,考查运算求解能力.14.[选修4-2:矩阵与变换]已知矩阵A=0110⎡⎤⎢⎥⎣⎦,B=1002⎡⎤⎢⎥⎣⎦.求AB;若曲线C1;22y=182x+在矩阵AB对应的变换作用下得到另一曲线C2 ,求C2的方程.【答案】(1)0210⎡⎤⎢⎥⎣⎦(2)228x y+=【解析】试题分析:(1)直接由矩阵乘法可得;(2)先根据矩阵乘法可得坐标之间关系,代入原曲线方程可得曲线2C的方程.试题解析:解:(1)因为A=0110⎡⎤⎢⎥⎣⎦, B=1002⎡⎤⎢⎥⎣⎦,所以AB=01101002⎡⎤⎡⎤⎢⎥⎢⎥⎣⎦⎣⎦0110⎡⎤⎢⎥⎣⎦1002⎡⎤⎢⎥⎣⎦=0210⎡⎤⎢⎥⎣⎦0210⎡⎤⎢⎥⎣⎦.(2)设()00,Q x y 为曲线1C 上的任意一点, 它在矩阵AB 对应的变换作用下变为(),P x y ,则000210x x y y ⎡⎤⎡⎤⎡⎤=⎢⎥⎢⎥⎢⎥⎣⎦⎣⎦⎣⎦,即002y x x y =⎧⎨=⎩,所以002x yx y =⎧⎪⎨=⎪⎩. 因为()00,Q x y 在曲线1C 上,所以2200188x y +=,从而22188x y +=,即228x y +=.因此曲线1C 在矩阵AB 对应的变换作用下得到曲线2C :228x y +=. 点睛:(1)矩阵乘法注意对应相乘:a b m p am bn ap bq c d n q cm dn cp dq ++⎡⎤⎡⎤⎡⎤=⎢⎥⎢⎥⎢⎥++⎣⎦⎣⎦⎣⎦; (2)矩阵变换:a b x x c d y y ⎡⎤⎡⎤⎡⎤=⎢⎥⎢⎥⎢⎥⎣⎦⎣⎣'⎦⎦'表示点(,)x y 在矩阵a b c d ⎡⎤⎢⎥⎣⎦变换下变成点(,)x y ''.15.选修4-2:矩阵与变换(本小题满分10分)已知矩阵A =01a k ⎡⎤⎢⎥⎣⎦ (k≠0)的一个特征向量为α=1k ⎡⎤⎢⎥-⎣⎦, A 的逆矩阵A-1对应的变换将点(3,1)变为点(1,1).求实数a ,k 的值.【答案】解:设特征向量为α=1k ⎡⎤⎢⎥-⎣⎦对应的特征值为λ,则01a k ⎡⎤⎢⎥⎣⎦ 1k ⎡⎤⎢⎥-⎣⎦=λ1k ⎡⎤⎢⎥-⎣⎦,即1ak k kλλ-=⎧⎨=⎩因为k≠0,所以a =2. 5分因为13111A -⎡⎤⎡⎤=⎢⎥⎢⎥⎣⎦⎣⎦,所以A 11⎡⎤⎢⎥⎣⎦=31⎡⎤⎢⎥⎣⎦,即201k ⎡⎤⎢⎥⎣⎦11⎡⎤⎢⎥⎣⎦=31⎡⎤⎢⎥⎣⎦, 所以2+k =3,解得 k =1.综上,a =2,k =1. 10分 【解析】试题分析:由 特征向量求矩阵A, 由逆矩阵求k 考点:特征向量, 逆矩阵点评:本题主要考查了二阶矩阵,以及特征值与特征向量的计算,考查逆矩阵.16.已知矩阵120A x -⎡⎤=⎢⎥⎣⎦,5723B ⎡⎤=⎢⎥⎣⎦,B 的逆矩阵1B -满足17177AB y --⎡⎤=⎢⎥-⎣⎦. (1)求实数x ,y 的值;(2)求矩阵A 的特征值和特征向量.【答案】(1)1,3x y ==;(2)特征值为2-和1,分别对应一个特征向量为21-⎡⎤⎢⎥⎣⎦,11⎡⎤⎢⎥⎣⎦. 【解析】 【分析】(1)计算()1AB B -,可得12514721y y -⎡⎤⎢⎥--⎣⎦,根据()1A AB B -=,可得结果. (2)计算矩阵A 的特征多项式()121f λλλ+-=-,可得2λ=-或1λ=,然后根据Ax x λ=r r,可得结果.【详解】 (1)因为17177ABy --⎡⎤=⎢⎥-⎣⎦,5723B ⎡⎤=⎢⎥⎣⎦所以()17175712723514721AB B y y y ---⎡⎤⎡⎤⎡⎤==⎢⎥⎢⎥⎢⎥---⎣⎦⎣⎦⎣⎦由()1A AB B -=,所以12120514721x y y --⎡⎤⎡⎤=⎢⎥⎢⎥--⎣⎦⎣⎦所以514172103y x x y y -==⎧⎧⇒⎨⎨-==⎩⎩(2)矩阵A 的特征多项式为:()()()()1212211f λλλλλλλ+-==+-=+--令()0f λ=,解得2λ=-或1λ= 所以矩阵A 的特征值为2-和1. ①当2λ=-时,12222102x x x y xy y x y--+=-⎡⎤⎡⎤⎡⎤⎧=-⇒⎨⎢⎥⎢⎥⎢⎥=-⎣⎦⎣⎦⎣⎦⎩ 令1y =,则2x =-,所以矩阵M 的一个特征向量为21-⎡⎤⎢⎥⎣⎦.②当1λ=时,12210x x x y xy y x y--+=⎡⎤⎡⎤⎡⎤⎧=⇒⎨⎢⎥⎢⎥⎢⎥=⎣⎦⎣⎦⎣⎦⎩ 令1y =,则1x =所以矩阵M 的一个特征向量为11⎡⎤⎢⎥⎣⎦.因此,矩阵A 的特征值为2-和1, 分别对应一个特征向量为21-⎡⎤⎢⎥⎣⎦,11⎡⎤⎢⎥⎣⎦. 【点睛】本题考查矩阵的应用,第(1)问中,关键在于()1A ABB -=,第(2)问中,关键在于()1201f λλλ+-==-,考验分析能力以及计算能力,属中档题.17.在平面直角坐标系xOy 中,直线20x y +-=在矩阵12a A b ⎡⎤=⎢⎥⎣⎦对应的变换作用下得到的直线仍为20x y +-=,求矩阵A .【答案】1102-⎡⎤⎢⎥⎣⎦ 【解析】 【分析】设(,)P x y 是直线20x y +-=上任意一点,根据题意变换得到直线220x ay bx y +++-=,对比得到答案.【详解】设(,)P x y 是直线20x y +-=上任意一点, 其在矩阵2a a A b ⎡⎤=⎢⎥⎣⎦对应的变换下得到122a x x ay b y bx y +⎡⎤⎡⎤⎡⎤=⎢⎥⎢⎥⎢⎥+⎣⎦⎣⎦⎣⎦仍在直线上, 所以得220x ay bx y +++-=,与20x y +-=比较得1121b a +=⎧⎨+=⎩,解得01b a =⎧⎨=-⎩,故1102A -⎡⎤=⎢⎥⎣⎦. 【点睛】本题考查了矩阵变换,意在考查学生的计算能力和应用能力.18.已知矩阵4321M -⎡⎤=⎢⎥-⎣⎦,向量75α⎡⎤=⎢⎥⎣⎦u r . (1)求矩阵M 的特征值及属于每个特征值的一个特征向量; (2)求3M α.【答案】(1)特征值为11λ=,22λ=,分别对应的特征向量为11⎡⎤⎢⎥⎣⎦和32⎡⎤⎢⎥⎣⎦,(2)34933M α⎡⎤=⎢⎥⎣⎦r .【解析】 【分析】(1)根据特征值的定义列出特征多项式,令()0f λ=解方程可得特征值,再由特征值列出方程组即可解得相应的特征向量;(2)7132512α⎛⎫⎡⎤⎡⎤==+ ⎪⎢⎥⎢⎥⎝⎭⎣⎦⎣⎦r g ,即可求3M αr.【详解】(1)矩阵M 的特征多项式为()(1)(2)f λλλ=--, 令()0f λ=,可求得特征值为11λ=,22λ=, 设11λ=对应的一个特征向量为x y α⎡⎤=⎢⎥⎣⎦,则由1M λαα=,得330x y -+=,可令1x =,则1y =-,所以矩阵M 的一个特征值11λ=对应的一个特征向量为11⎡⎤⎢⎥⎣⎦,同理可得矩阵M 的一个特征值22λ=对应的一个特征向量为32⎡⎤⎢⎥⎣⎦.(2)7132512α⎛⎫⎡⎤⎡⎤==+ ⎪⎢⎥⎢⎥⎝⎭⎣⎦⎣⎦r g所以331349221233M α⎡⎤⎡⎤⎡⎤=+⨯⨯=⎢⎥⎢⎥⎢⎥⎣⎦⎣⎦⎣⎦r .【点睛】本题主要考查了矩阵特征值与特征向量的计算等基础知识,意在考查学生对这些知识的理解掌握水平.19.已知a ,b R ∈,点()1,1P -在矩阵13a A b ⎡⎤=⎢⎥⎣⎦对应的变换下得到点()1,3Q .(1)求a ,b 的值;(2)求矩阵A 的特征值和特征向量;(3)若向量59β⎡⎤=⎢⎥⎣⎦u r ,求4A βu r .【答案】(1)20a b =⎧⎨=⎩;(2)矩阵A 的特征值为1-,3,分别对应的一个特征值为13⎡⎤⎢⎥-⎣⎦,11⎡⎤⎢⎥⎣⎦;(3)485489⎡⎤⎢⎥⎣⎦【解析】 【分析】(1)直接利用矩阵的乘法运算即可; (2)利用特征多项式计算即可;(3)先计算出126βαα=-+u r u u ru u r ,再利用()4444121266A A A A βαααα=-+=-+u r u u r u u r u u r u u r 计算即可得到答案. 【详解】 (1)由题意知,11113133a a b b -⎡⎤⎡⎤⎡⎤⎡⎤==⎢⎥⎢⎥⎢⎥⎢⎥--⎣⎦⎣⎦⎣⎦⎣⎦, 则1133a b -=⎧⎨-=⎩,解得20a b =⎧⎨=⎩. (2)由(1)知2130A ⎡⎤=⎢⎥⎣⎦,矩阵A 的特征多项式()()21233f λλλλλ--==---, 令()0f λ=,得到A 的特征值为11λ=-,13λ=. 将11λ=-代入方程组()2030x y x y λλ⎧--=⎨-+=⎩,解得3y x =-,所以矩阵A 的属于特征值1-的一个特征向量为113α⎡⎤=⎢⎥-⎣⎦u u r. 再将13λ=代入方程组()2030x y x y λλ⎧--=⎨-+=⎩,解得y x =,所以矩阵A 的属于特征值3的一个特征向量为211α⎡⎤=⎢⎥⎣⎦u u r.综上,矩阵A 的特征值为1-,3,分别对应的一个特征值为13⎡⎤⎢⎥-⎣⎦,11⎡⎤⎢⎥⎣⎦.(3)设12m n βαα=+u ru u r u u r ,即5119313m n m n m n +⎡⎤⎡⎤⎡⎤⎡⎤=+=⎢⎥⎢⎥⎢⎥⎢⎥--+⎣⎦⎣⎦⎣⎦⎣⎦, 所以539m n m n +=⎧⎨-+=⎩,解得16m n =-⎧⎨=⎩,所以126βαα=-+u r u u r u u r ,所以()4444121266A A A A βαααα=-+=-+u r u u r u u r u u r u u r()441148516331489⎡⎤⎡⎤⎡⎤=--+⨯=⎢⎥⎢⎥⎢⎥-⎣⎦⎣⎦⎣⎦. 【点睛】本题考查矩阵的乘法、特征值、特征向量,考查学生的基本计算能力,是一道中档题.20.已知点()3,1A ,()1,3B -,i v,j v分别是基本单位向量.(1)若点P 是直线2y x =的动点,且0AP i AP j BP jBP i⋅⋅=-⋅⋅u u u v u u u v v v u u u v u u u v v v ,求点P 的坐标 (2)若点(),P x y 满足124126101xy -=且OP OA OB λμ=-u u u v u u u v u u u v,λ,μ是否存在自然数解,若存在,求出所有的自然数的解,若不存在,说明理由.【答案】(1)()0,0,()2,4(2)存在,0λ=,2μ=或2λ=,1μ=或4λ=,0μ=【解析】 【分析】(1)设P 的坐标为(),2x x ,再根据行列式的运算求解即可.(2)利用124126101xy -=求出(),P x y 满足的关系式,再根据OP OA OB λμ=-u u u r u u u r u u u r求出关于(),P x y 满足的关系式,再求自然数解即可.【详解】(1)由题,设P 的坐标为(),2x x ,因为0AP i AP jBP j BP i⋅⋅=-⋅⋅u u u r r u u u r r u u u r r u u u r r ,故()()()()0AP i BP i BP j AP j ⋅⨯⋅--⋅⨯⋅=u u u r r u u u r r u u u r r u u u r r ,化简得0AP BP ⋅=u u u r u u u r , 即()()3,211,230x x x x --⋅+-=,即2222348305100x x x x x x --+-+=⇒-=. 解得0x =或2x =.代入可得()0,0或()2,4(2)由124126101xy-=得12(6)4(2)(26)0y x y x ----++=.化简得8y x =-.又OP OA OB λμ=-u u u ru u u ru u u r,故()()()3,11,3,x y λμ=--,即33x y λμλμ=+⎧⎨=-⎩.故33824λμλμλμ-=+-⇒+=,又,λμ为自然数.故0λ=,2μ=或2λ=,1μ=或4λ=,0μ= 【点睛】本题主要考查了向量与行列式的基本运算等,需要根据题意求得关于(),P x y 的关系式,属于中等题型.。
新数学《矩阵与变换》复习知识点一、151.关于x 的不等式201x a x+<的解集为()1,b -.()1求实数a ,b 的值;()2若1z a bi =+,2z cos isin αα=+,且12z z 为纯虚数,求tan α的值.【答案】(1)1a =-,2b =(2)12- 【解析】 【分析】(1)由题意可得:1-,b 是方程220x ax +-=的两个实数根,利用根与系数的关系即可得出答案;(2)利用(1)的结果得()()1222z z cos sin cos sin i αααα=--+-为纯虚数,利用纯虚数的定义即可得出. 【详解】 解:(1)不等式201x a x+<即()20x x a +-<的解集为()1,b -. 1∴-,b 是方程220x ax +-=的两个实数根,∴由1b a -+=-,2b -=-,解得1a =-,2b =. (2)由(1)知1,2a b =-=,()()()()121222z z i cos isin cos sin cos sin i αααααα∴=-++=--+-为纯虚数,20cos sin αα∴--=,20cos sin αα-≠,解得12tan α=-.【点睛】本题考查了行列式,复数的运算法则、纯虚数的定义、一元二次方程的根与系数的关系、一元二次不等式的解法,考查了推理能力与计算能力,属于中档题.2.已知关于x 、y 的二元一次方程组()4360260x y kx k y +=⎧⎨++=⎩的解满足0x y >>,求实数k的取值范围. 【答案】5,42⎛⎫⎪⎝⎭【解析】 【分析】由题意得知0D ≠,求出x D 、y D 解出该方程组的解,然后由00x y D >>⎧⎨≠⎩列出关于k 的不等式组,解出即可. 【详解】由题意可得()4238D k k k =+-=+,()601x D k =-,()604y D k =-.由于方程组的解满足0x y >>,则0D ≠,该方程组的解为()()60186048x y k D x D k D k y D k ⎧-==⎪⎪+⎨-⎪==⎪+⎩,由于00D x y y ≠⎧⎪>⎨⎪>⎩,即()()()806016048860408k k k k k k k ⎧⎪+≠⎪--⎪>⎨++⎪⎪->⎪+⎩,整理得802508408k k k k k ⎧⎪+≠⎪-⎪>⎨+⎪-⎪<⎪+⎩,解得542k <<. 因此,实数k 的取值范围是5,42⎛⎫⎪⎝⎭. 【点睛】本题考查二元一次方程组的求解,同时也考查了分式不等式的求解,考查运算求解能力,属于中等题.3.解方程组()32021mx y x m y m+-=⎧⎨+-=⎩,并求使得x y >的实数m 的取值范围.【答案】()1,3 【解析】 【分析】计算出行列式D 、x D 、y D ,对D 分0D ≠和0D =两种情况分类讨论,求出方程组的解,再由x y >列出关于m 的不等式,解出即可. 【详解】 由题意可得()()2362321m D m m m m m ==--=+--,2321x D m m m ==---,()()224222y m D m m m m==-=-+.①当0D ≠时,即当260m m --≠时,即当2m ≠-且3m ≠时,1323x y D x D m D m y D m ⎧==⎪⎪-⎨-⎪==⎪-⎩.x y >Q ,则()()()2222133m m m ->--,即()22130m m ⎧-<⎪⎨-≠⎪⎩,解得13m <<; ②当2m =-时,方程组为2320232x y x y -+-=⎧⎨-=-⎩,则有232x y -=,该方程组有无穷多解,x y >不能总成立;③当3m =时,方程组为33202230x y x y +-=⎧⎨+-=⎩,即203302x y x y ⎧+-=⎪⎪⎨⎪+-=⎪⎩,该方程组无解.综上所述,实数m 的取值范围是()1,3. 【点睛】本题考查二元一次方程组的求解,同时也考查了分式不等式的求解,在解题时要注意对系数行列式是否为零进行分类讨论,考查运算求解能力,属于中等题.4.(1)计算行列式34912,5111022,28728--的值;(2)你能否从(1)中的结论得出一个一般的结论?试证明你的结论; (3)你发现的(2)的结论,在三阶行列式中是否成立? 【答案】(1)三个行列式的值都为0;(2)0a bka kb=或()0a ka k b kb =∈R ;证明见解析;(3)成立 【解析】 【分析】(1)分别进行化简计算即可求得;(2)观察可知对应行或列应成比例关系,化简求值即可证明; (3)可假设成立,再结合运算关系进行求证即可 【详解】 (1)3436360912=-=,51111011001022=-=,2856560728-=-=-;(2)由(1)可知0a bka kb=或()0a ka k b kb =∈R ,证明如下:0a bkab kab ka kb =-=,0a ka kab kab b kb=-=,即0a bka kb=或()0a ka k b kb=∈R 成立;(3)假设三阶行列式中成立,即0ab ckakbkc na nb nc =或0a ka nab kb nbc kc nc=证明如下:0a b ckakbkc knabc knabc knabc knabc knabc knabc na nb nc=++---=0a ka nab kb nb knabc knabc knabc knabc knabc knabc c kcnc=++---= 得证,故三阶行列式也成立 【点睛】本题考查行列式的简单计算,结论的类比推理,属于基础题5.不等式21101x xba xa->-的解是12x <<,试求a ,b 的值. 【答案】12a =-,1b =-或1a =-,2b =- . 【解析】 【分析】将行列式展开,由行列式大于0,即ax 2+(1+ab )x +b >0,由1和2是方程ax 2+(1+ab )x +b =0的两个根,由韦达定理可知,列方程组即可求得a 和b 的值. 【详解】2111x xb a xa -=-x 2×(﹣a )×(﹣1)+x +abx ﹣x 2×(﹣a )﹣ax 2﹣(﹣1)×b =ax 2+(1+ab )x +b >0,∵不等式的解为1<x <2,∴a <0,且1,2为一元二次方程:ax 2+(1+ab )x +b =0的两个根,由韦达定理可知:11212ab ab a +⎧+=-⎪⎪⎨⎪⨯=⎪⎩,整理得:2a 2+3a +1=0,解得:12a b =-⎧⎨=-⎩或121a b ⎧=-⎪⎨⎪=-⎩,故a =﹣1,b =﹣2或a 12=-,b =﹣1. 【点睛】本题考查行列式的展开,考查一元二次不等式与一元二次方程的关系及韦达定理,考查计算能力,属于中档题.6.利用行列式解关于x 、y 的二元一次方程组42mx y m x my m +=+⎧⎨+=⎩.【答案】见解析 【解析】 【分析】计算出系数行列式D ,以及x D 、y D ,然后分0D ≠和0D =两种情况讨论,在0D ≠时,直接利用行列式求出方程组的解,在0D =时,得出2m =±,结合行列式讨论原方程组解的情况. 【详解】 系数行列式为2441m D m m==-,()242x m D m m mm+==-,()()222211y m m D m m m m m+==--=-+.①当240D m =-≠时,即当2m ≠±时,原方程组有唯一解()()()2224221142x y m m D m x D m m D m m m y D m m ⎧-===⎪⎪-+⎨-++⎪===⎪-+⎩;②当240D m =-=时,2m =±.(i )当2m =-时,0D =,8x D =,4y D =,原方程组无解;(ii )当2m =时,0x yD D D ===,原方程为24422x y x y +=⎧⎨+=⎩,可化为22x y +=,该方程组有无数组解,即12x R x y ∈⎧⎪⎨=-⎪⎩.【点睛】本题考查利用行列式求二元一次方程组的解,解题时要对系数行列式是否为零进行分类讨论,考查运算求解能力与分类讨论思想的应用,属于中等题.7.已知方程组()()()11,232a x ay a R a x a y ⎧-+=⎪∈⎨+++=⎪⎩(1)求证:方程组恰有一解;(2)求证:以方程的解(),x y 为坐标的点在一条直线上; (3)求x y +的最小值,并求此时a 的范围. 【答案】(1)见解析;(2)见解析;(3)最小值13,[3,4]a ∈ 【解析】 【分析】(1)利用二阶行列式证明(2)利用消参法得(),x y 的轨迹即可证明 (3)利用绝对值不等式求最值 【详解】 (1)22111123230,3,4,23232234,33y x a a a a D a a a a D a D a a a a a a ax y --==+---=-≠==-+==-++++--∴==,即方程组有唯一解 (2)由(1)知34,33a ax y --==,消去参数a ,则3310x y +-=,即以方程的解(),x y 为坐标的点在一条直线上;(3)1||||(|3|3x y a +=-1|4|)3a +-≥,当且仅当()()340a a --≥即[3,4]a ∈时,x y +的最小值13【点睛】本题考查二元一次方程组的解,考查绝对值不等式求最值,是基础题8.已知(2,1)OA =u u u v ,(1,7)OB =u u u v ,(5,1)OC =u u u v,若OD xOA =u u u v u u u v,()f x DB DC =⋅u u u v u u u v(,x y ∈R ).(1)求函数()y f x =的解析式;(2)求函数()4()15f xg x x-=在12x ≤≤条件下的最小值;(3)把()y f x =的图像按向量(2,8)a =-v平移得到曲线C ,过坐标原点O 作OM 、ON分别交曲线C 于点M 、N ,直线MN 交y 轴于点0(0,)Q y ,当MON ∠为锐角时,求0y 的取值范围.【答案】(1)2()52012f x x x =-+;(2)3)1(,0)(,)5-∞+∞U . 【解析】 【分析】(1)根据向量数量积的坐标公式即可求()y f x =的解析式;(2)通过矩阵的计算公式,求出()g x 的表达式,然后利用基本不等式求最值即可; (3)根据向量平移关系即可求出曲线C 的解析式,设()()22,5,,5M m mN n n ,根据MON ∠为锐角时,建立不等式关系进行求解即可. 【详解】解:(1)(2,),(2,)OD x OA x x D x x =⋅=∴u u u r u u u rQ , (1,7),(5,1)OB OC ==u u u r u u u rQ ,(1,7),(5,1)B C ∴=, (12,7),(52,1)DB x x DC x x ∴=--=--u u u r u u u r,则2(12,7)(52,1)52012y DB DC x x x x x x =⋅=--⋅--=-+u u u r u u u r,即2()52012f x x x =-+; (2)由已知得:()4()1212()2052020515f x f xg x x x x x x x-==+=-++=+≥= 当且仅当125x x =,即[]1,2x =时取到最小值, 函数()4()15f xg x x-=在12x ≤≤条件下的最小值为;(3)22()520125(2)8y f x x x x ==-+=--Q ,()y f x ∴=的图象按向量(2,8)a =-r平移后得到曲线C 为25y x =;设()()22,5,,5M m mN n n ,则直线MN 的方程为222555y n x nm n m n--=--, 令0x =,则0y 5mn =-,若MON ∠为锐角,因为,,M O N 不可能共线,则22250OM ON mn m n ⋅=+>u u u u r u u u r,125mn ∴<-或0mn >, 01525y ∴-<-或005y ->, 即0y 0<或015y >, 故0y 的取值范围是1(,0),5⎛⎫-∞⋃+∞ ⎪⎝⎭. 【点睛】本题主要考查向量的数量积公式的应用,以及向量平移的关系,考查学生的运算能力.9.已知1m >,1n >,且1000mn <,求证:lg 901lg 4m n <. 【答案】证明见解析 【解析】 【分析】由题意,求得11000mn <<,利用基本不等式,得到2lg lg 90lg lg 24m n m n +⎛⎫<<=⎪⎝⎭,再结合行列式的运算,即可求解. 【详解】由题意,实数1m >,1n >,且1000mn <,可得11000mn <<,则2lg lg 90lg lg 24m n m n +⎛⎫<<=⎪⎝⎭,又由lg 919lg ln 9lg ln 144lg 4m m n m n n=-⨯=-,所以lg 901lg 4m n <. 【点睛】本题主要考查了行列式的运算性质,以及对数的运算性质和基本不等式的应用,其中解答中熟记行列式的运算法则,以及合理应用对数的运算和基本不等式求解是解答的关键,着重考查了推理与运算能力,属于中档试题.10.设()3322k kx k x f x k x-=+⋅(x ∈R ,k 为正整数)(1)分别求出当1k =,2k =时方程()0f x =的解.(2)设()0f x ≤的解集为[]212,k k a a -,求1234a a a a +++的值及数列{}n a 的前2n 项和. 【答案】(1)1k =时,方程()0f x =的解为2x =,3x =;2k =时, ()0f x =的解为6x =,4x =(2)123415a a a a +++=;前2n 项和为21332222n n n ++-+【解析】 【分析】(1)根据定义化简函数()f x 的解析式,然后根据一元二次方程求出当1k =,2k =时方程()0f x =的解即可;(2)由()0f x ≤即()()320kx k x --≤的解集为[]212,k k aa -建立关系式,然后取1k =,2k =可求出1234a a a a +++的值,最后根据()()()212342121234212n n n n n S a a a a a a a a a a a a --=++++++=++++++L L 进行求解即可; 【详解】解:(1)()()()()2323232kkkf x x k x k x k x =-++⋅=--,当1k =时()()()32f x x x =--,所以方程()0f x =的解为2x =,3x =; 当2k =时()()()64f x x x =--,所以方程()0f x =的解为6x =,4x =; (2)由()0f x ≤即()()320kx k x --≤的解集为[]212,k k aa -.∴2122123232k k k kk ka a k a a k --⎧+=+⎨⋅=⋅⎩, ∴1k =时,1123125a a +=⋅+=,2k =时,23432210a a +=⋅+=. ∴123451015a a a a +++=+=()()()212342121234212n n n n n S a a a a a a a a a a a a --=++++++=++++++L L ()()()()()12231232232312222n n n n =⋅++⋅+++⋅+=+++++++L L L()()2121213332221222nn n n n n +-+=⋅+=+-+-.【点睛】本题主要考查了二阶行列式的定义,以及数列的求和,同时考查了计算能力,属于中档题.11.直线l 经矩阵M =cos sin sin cos θθθθ-⎡⎤⎢⎥⎣⎦(其中θ∈(0,π))作用变换后得到直线l ′:y =2x ,若直线l 与l ′垂直,求θ的值.【答案】2πθ=【解析】 【分析】在l 上任取一点P (x ,y ),设P 经矩阵M 变换后得到点P ′(x ′,y ′),根据矩阵变换运算得到x ′,y ′,代入直线l ′:y =2x ,得到直线l 方程,再由两直线垂直求解. 【详解】在l 上任取一点P (x ,y ),设P 经矩阵M 变换后得到点P ′(x ′,y ′)cos sin cos sin sin cos sin cos x x y x y x y y θθθθθθθθ''-⋅-⋅⎡⎤⎡⎤⎡⎤⎡⎤==⎢⎥⎢⎥⎢⎥⎢⎥⋅+⋅⎣⎦⎣⎦⎣⎦⎣⎦故cos sin sin cos x x y y x y θθθθ=-'=+'⎧⎨⎩,又P ′在直线l ′:y =2x 上,即y ′=2x ′ 则sin cos 2cos 2sin x y x y θθθθ+=-即直线l :(sin 2cos )(2sin cos )0x y θθθθ-++=因为l 与l ′垂直,故sin 2cos 1=cos 02sin cos 2θθθθθ-⇒=+又(0,)θπ∈,故2πθ=.【点睛】本题主要考查矩阵变换研究两直线的位置关系,还考查了运算求解的能力,属于中档题.12.在平面直角坐标系xOy 中,直线20x y +-=在矩阵12a A b ⎡⎤=⎢⎥⎣⎦对应的变换作用下得到的直线仍为20x y +-=,求矩阵A 的逆矩阵1A -.【答案】_1112102A ⎡⎤-⎢⎥=⎢⎥⎢⎥⎢⎥⎣⎦. 【解析】 试题分析:应用结合矩阵变换的定义可得:01b a =⎧⎨=-⎩,据此求解逆矩阵可得:_1112102A ⎡⎤-⎢⎥=⎢⎥⎢⎥⎢⎥⎣⎦. 试题解析:设(),P x y 是直线20x y +-=上任意一点,其在矩阵1102A -=对应的变化下得到122a x x ay b y bx y +⎡⎤⎡⎤⎡⎤=⎢⎥⎢⎥⎢⎥+⎣⎦⎣⎦⎣⎦仍在直线上, 所以得220x ay bx y +++-=, 与20x y +-=比较得1121b a +=⎧⎨+=⎩,解得01b a =⎧⎨=-⎩,故1102A -⎡⎤=⎢⎥⎣⎦, 求得逆矩阵_1112102A ⎡⎤-⎢⎥=⎢⎥⎢⎥⎢⎥⎣⎦.13.设矩阵12M x y ⎡⎤=⎢⎥⎣⎦,2411N ⎡⎤=⎢⎥--⎣⎦,若02513MN ⎡⎤=⎢⎥⎣⎦,求矩阵M 的逆矩阵1M -.【答案】132554155M -⎡⎤-⎢⎥=⎢⎥⎢⎥-⎢⎥⎣⎦【解析】 【分析】根据矩阵的乘法运算求出MN ,然后由02513MN ⎡⎤=⎢⎥⎣⎦列出方程组,即可求出4,3x y ==,从而确定矩阵M ,再利用求逆矩阵的公式,即可求出矩阵M 的逆矩阵1M -.【详解】解:因为02513MN ⎡⎤=⎢⎥⎣⎦ ,所以25,413.x y x y -=⎧⎨-=⎩所以4,3x y ==;矩阵1243M ⎡⎤=⎢⎥⎣⎦的逆矩阵132554155M -⎡⎤-⎢⎥=⎢⎥⎢⎥-⎢⎥⎣⎦. 【点睛】本题主要考查矩阵的乘法运算及逆矩阵的求解.14.矩阵与变换:变换1T 是逆时针旋转2π的旋转变换,对应的变换矩阵是1M 变换2T 对应用的变换矩阵是21101M ⎡⎤=⎢⎥⎣⎦求曲线221x y +=的图象依次在12,T T 变换的作用下所得曲线的方程.【答案】22221x xy y -+= 【解析】 【分析】旋转变换矩阵10110M -⎡⎤=⎢⎥⎣⎦,求出211110M M M -⎡⎤==⎢⎥⎣⎦,设x y ⎡⎤⎢⎥⎣⎦是变换后曲线上任一点,与之对应的变换前的点是00x y ⎡⎤⎢⎥⎣⎦,得到00x y y y x =⎧⎨=-⎩,即得解.【详解】旋转变换矩阵10110M -⎡⎤=⎢⎥⎣⎦记21110111011010M M M --⎡⎤⎡⎤⎡⎤===⎢⎥⎢⎥⎢⎥⎣⎦⎣⎦⎣⎦设x y ⎡⎤⎢⎥⎣⎦是变换后曲线上任一点,与之对应的变换前的点是00x y⎡⎤⎢⎥⎣⎦,面积00x x M y y ⎡⎤⎡⎤=⎢⎥⎢⎥⎣⎦⎣⎦,也就是000x x y y x =-⎧⎨=⎩,即00x y y y x =⎧⎨=-⎩, 代入22001x y +=,得22()1y y x +-=,所以所求曲线的方程是22221x xy y -+= 【点睛】本题主要考查矩阵和变换,意在考查学生对这些知识的理解掌握水平和分析推理能力.15.选修4-2:矩阵与变换(本小题满分10分) 已知矩阵A =01a k ⎡⎤⎢⎥⎣⎦ (k≠0)的一个特征向量为α=1k ⎡⎤⎢⎥-⎣⎦,A 的逆矩阵A-1对应的变换将点(3,1)变为点(1,1).求实数a ,k 的值.【答案】解:设特征向量为α=1k ⎡⎤⎢⎥-⎣⎦对应的特征值为λ,则01a k ⎡⎤⎢⎥⎣⎦ 1k ⎡⎤⎢⎥-⎣⎦=λ1k ⎡⎤⎢⎥-⎣⎦,即1ak k kλλ-=⎧⎨=⎩ 因为k≠0,所以a =2. 5分因为13111A -⎡⎤⎡⎤=⎢⎥⎢⎥⎣⎦⎣⎦,所以A 11⎡⎤⎢⎥⎣⎦=31⎡⎤⎢⎥⎣⎦,即201k ⎡⎤⎢⎥⎣⎦11⎡⎤⎢⎥⎣⎦=31⎡⎤⎢⎥⎣⎦, 所以2+k =3,解得 k =1.综上,a =2,k =1. 10分 【解析】试题分析:由 特征向量求矩阵A, 由逆矩阵求k 考点:特征向量, 逆矩阵点评:本题主要考查了二阶矩阵,以及特征值与特征向量的计算,考查逆矩阵.16.已知矩阵14a b A ⎡⎤=⎢⎥⎣⎦若矩阵A 属于特征值1的一个特征向量为131a ⎡⎤=⎢⎥-⎣⎦u u r ,属于特征值5的一个特征向量为211a ⎡⎤=⎢⎥⎣⎦u u r 求矩阵A .【答案】2314⎡⎤⎢⎥⎣⎦【解析】 【分析】根据矩阵A 属于特征值1的一个特征向量为131a ⎡⎤=⎢⎥-⎣⎦u u r 得到33-=a b ,属于特征值5的一个特征向量为211a ⎡⎤=⎢⎥⎣⎦u u r ,故5a b +=,解得答案.【详解】矩阵A 属于特征值1的一个特征向量为131a ⎡⎤=⎢⎥-⎣⎦u u r ,1114a b a a ⎡⎤=⎢⎥⎣⎦u r u r,故33-=a b ; 属于特征值5的一个特征向量为211a ⎡⎤=⎢⎥⎣⎦u u r ,21514a b a a ⎡⎤=⎢⎥⎣⎦u u r u r,故5a b +=, 解得23a b =⎧⎨=⎩,故2314A ⎡⎤=⎢⎥⎣⎦. 【点睛】本题考查了矩阵的特征向量,意在考查学生的计算能力和对于特征向量的理解.17.已知a ,b R ∈,若M =13a b -⎡⎤⎢⎥⎣⎦所对应的变换T M 把直线2x-y=3变换成自身,试求实数a ,b .【答案】【解析】 【分析】 【详解】 设则即此直线即为则..18.(1)已知矩阵1202A ⎡⎤=⎢⎥-⎣⎦,矩阵B 的逆矩阵111202B -⎡⎤-⎢⎥=⎢⎥⎣⎦,求矩阵AB . (2)已知矩阵122M x ⎡⎤=⎢⎥⎣⎦的一个特征值为3,求10M . 【答案】(1)51401⎡⎤⎢⎥⎢⎥-⎣⎦;(2)29525295242952429525⎡⎤⎢⎥⎣⎦. 【解析】 【分析】(1)依题意,利用矩阵变换求得11112124()221010222B B --⎡⎤⎡⎤⎢⎥⎢⎥⎢⎥===⎢⎥⎢⎥⎢⎥⎢⎥⎢⎥⎣⎦⎢⎥⎣⎦,再利用矩阵乘法的性质可求得答案.(2)根据特征多项式的一个零点为3,可得x 的值,即可求得矩阵M ,运用对角化矩阵,求得所求矩阵. 【详解】(1)解:111202B -⎡⎤-⎢⎥=⎢⎥⎣⎦Q ,11112124()221010222B B --⎡⎤⎡⎤⎢⎥⎢⎥⎢⎥∴===⎢⎥⎢⎥⎢⎥⎢⎥⎢⎥⎣⎦⎢⎥⎣⎦,又1202A ⎡⎤=⎢⎥-⎣⎦,1202AB ⎡⎤∴=⎢⎥-⎣⎦151********⎡⎤⎡⎤⎢⎥⎢⎥=⎢⎥⎢⎥⎢⎥-⎣⎦⎢⎥⎣⎦. (2)解:矩阵122M x ⎡⎤=⎢⎥⎣⎦的特征多项式为12()(1)()42f x x λλλλλ--==-----, 可得2(3)40x --=,解得1x =,即为1221M ⎡⎤=⎢⎥⎣⎦.由()0f λ=可得13λ=,21λ=-, 当13λ=时,由12321x x y y ⎡⎤⎡⎤⎡⎤=⎢⎥⎢⎥⎢⎥⎣⎦⎣⎦⎣⎦,即23x y x +=,23x y y +=,即x y =,取1x =, 可得属于3的一个特征向量为11⎡⎤⎢⎥⎣⎦; 当11λ=-时,由1221x x y y ⎡⎤⎡⎤⎡⎤=-⎢⎥⎢⎥⎢⎥⎣⎦⎣⎦⎣⎦,即2x y x +=-,2x y y +=-,即x y =-,取1x =,可得属于1-的一个特征向量为11⎡⎤⎢⎥-⎣⎦.设1111P ⎡⎤=⎢⎥-⎣⎦,则111221122P -⎡⎤⎢⎥=⎢⎥⎢⎥-⎢⎥⎣⎦,13001M P P -⎡⎤=⎢⎥-⎣⎦, 101115904905904912952529524220159049111295242952522M P P -⎡⎤⎢⎥⎡⎤⎡⎤⎡⎤===⎢⎥⎢⎥⎢⎥⎢⎥-⎣⎦⎣⎦⎣⎦⎢⎥-⎢⎥⎣⎦. 【点睛】本题考查逆变换与逆矩阵,考查矩阵乘法的性质,考查了特征值与特征向量,考查了矩阵的乘方的计算的知识.19.已知直线l :ax +y =1在矩阵A =1201⎡⎤⎢⎥⎣⎦对应的变换作用下变为直线l′:x +by =1. (1)求实数a 、b 的值;(2)若点P(x 0,y 0)在直线l 上,且A 00x y ⎡⎤⎢⎥⎣⎦=00x y ⎡⎤⎢⎥⎣⎦,求点P 的坐标.【答案】(1) 1.{1a b =-=(2)(1,0)【解析】(1)设直线l :ax +y =1上任意点M (x ,y )在矩阵A 对应的变换作用下像是M ′(x ′,y ′).由''x y ⎡⎤⎢⎥⎣⎦=1201⎡⎤⎢⎥⎣⎦x y ⎡⎤⎢⎥⎣⎦=2x y y +⎡⎤⎢⎥⎣⎦,得2{x x y y y ''=+,=. 又点M ′(x ′,y ′)在l ′上,所以x ′+by ′=1即x +(b +2)y =1.依题意,得1{21a b =+=解得1{1a b ==-(2)由A 00x y ⎡⎤⎢⎥⎣⎦=00x y ⎡⎤⎢⎥⎣⎦,得00000 2{x x y y y =+,=解得y 0=0., 又点P (x 0,y 0)在直线l 上,所以x 0=1. 故点P 的坐标为(1,0).20.已知等比数列{}n a 的首项11a =,公比为()0q q ≠. (1)求二价行列式1324a a a a 的值; (2)试就q 的不同取值情况,求解二元一次方程组132432a x a y a x a y +=⎧⎨+=⎩.【答案】(1)0;(2)当23q =时,方程组无数解,且439x t y t ⎧=-⎪⎨⎪=⎩,t R ∈;当23q ≠且0q ≠时,方程组无解.【解析】 【分析】(1)由行列式定义计算,再根据等比数列的性质得结论; (2)由二元一次方程组解的情况分析求解. 【详解】(1)∵{}n a 是等比数列,∴1423a a a a =,∴1324a a a a 14230a a a a =-=. (2)由(1)知方程组无解或有无数解.当241323a a q a a ===时,方程组有无数解,此时方程组中两个方程均为439x y +=,解为439x ty t⎧=-⎪⎨⎪=⎩,当23q≠且0q≠时,方程组无解.【点睛】本题考查行列式的概念,考查等比数列的性质,考查二元一次方程组的解的情况.掌握二元一次方程组的解的情况的判断是解题基础.。
【最新】数学《矩阵与变换》专题解析一、151.已知矩阵111A a -⎡⎤=⎢⎥⎣⎦,其中a R ∈,若点(1,1)P 在矩阵A 的变换下得到点(0,3)P '-,求矩阵A 的两个特征值.【答案】矩阵A 的特征值为1-或3. 【解析】 【分析】根据点(1,1)P 在矩阵A 的变换下得到点(0,3)P '-,列出方程求出a ,从而可确定矩阵A ,再求出矩阵A 的特征多项式,令其等于0,即可求出矩阵A 的特征值. 【详解】由1110113a -⎡⎤⎡⎤⎡⎤=⎢⎥⎢⎥⎢⎥-⎣⎦⎣⎦⎣⎦,得13a +=-,所以4a =-, 故1141A -⎡⎤=⎢⎥-⎣⎦, 则矩阵A 的特征多项式为2211()(1)42341f x -==--=---λλλλλ,令()0f λ=,解得1λ=-或3λ=, 所以矩阵A 的特征值为1-或3. 【点睛】本题主要考查矩阵的特征多项式及特征值的求法,属于中档题.2.已知P :矩阵图5110x x ⎛⎫+⎪+ ⎪ ⎝的某个列向量的模不小于2;Q :行列式114203121mx ----中元素1-的代数余子式的值不大于2,若P 是Q 成立的充分条件,求实数m 的取值范围.【答案】[2,)+∞ 【解析】 【分析】先根据行列式中元素1-的代数余子式的值求出P ,再根据矩阵图某个列向量的模不小于2求出Q ,结合P 是Q 成立的充分条件可得实数m 的取值范围. 【详解】因为矩阵图5110x x ⎛⎫+⎪+ ⎪ ⎝的某个列向量的模不小于2,所以521x x +≥+,解得 13x -≤≤;因为行列式114203121mx ----中元素1-的代数余子式的值不大于2,所以2323211mm x x --=-+≤,即21m x ≤-; 因为P 是Q 成立的充分条件,所以213m -≥,解得2m ≥;故实数m 的取值范围是[2,)+∞.【点睛】本题主要考查矩阵和行列式的运算及充分条件,明确矩阵和行列式的运算规则是求解的关键,充分条件转化为集合的包含关系,侧重考查数学运算的核心素养.3.用行列式解关于的二元一次方程组:12(1)x y x k y k +=⎧⎨++=⎩.【答案】1k =时,方程组无解; 1k ≠时,12,11k x y k k -==-- 【解析】 【分析】由题方程组中x ,y 的系数及常数项求出D,D ,D X y ,然后再讨论k 的值进行求解方程组的解. 【详解】由题意可得:11D 21k =+= 1k -,11D 11X kk ==+,11 D 22y k k==-,∴当D ?10k =-≠即1k ≠时,方程组有唯一解即D 1D 1X x k ==-,D 2 D 1y k y k -==-; 当D ?10k =-=即1k =时,方程组无解.综上所述: 1k ≠时,方程组有唯一解1121x k k y k ⎧=⎪⎪-⎨-⎪=⎪-⎩; 1k =时,方程组无解. 【点睛】本题考查了二元一次方程组的矩阵形式、线性方程组解得存在性、唯一性以及二元方程解法等基础知识,考查了学生的运算能力,属于中档题.4.用行列式解关于x 、y 的方程组3(31)484mx y m x my m -=⎧⎨+-=+⎩,并讨论说明解的情况.【答案】当1m =时,无穷解;当14m =-时,无解;当1m ≠且14m ≠-时,有唯一解,441x m =+,8341m y m +=-+. 【解析】 【分析】 先求出系数行列式D ,x D ,y D ,然后讨论m ,从而确定二元一次方程解的情况. 【详解】 解:3(31)484mx y m x my m -=⎧⎨+-=+⎩Q 21431(41)(1)431mm D m m m m m -∴+-==-+=+-++,4443148x D m mm -==--+,()()23853*******y m D m m m m m m ==--+++=-,①当1m ≠且14m ≠-时,0D ≠,原方程组有唯一解,即144(41)4(14)x D m x m D m m -===+++-,()()()()8318341141y D m m m y D m m m +-+===-+-++, ②当1m =时,0D =,0x D =,0y D =,原方程组有无穷解. ③当14m =-时,0D =,0x D ≠,原方程无解. 【点睛】本题主要考查了行列式,以及二元一次方程的解法,属于基础题.5.已知矩阵13m P m m ⎛⎫= ⎪-⎝⎭,x Q y ⎛⎫= ⎪⎝⎭,2M m -⎛⎫= ⎪⎝⎭,13N m ⎛⎫= ⎪+⎝⎭,若PQ =M +N .(1) 写出PQ =M +N 所表示的关于x 、y 的二元一次方程组; (2) 用行列式解上述二元一次方程组.【答案】(1) 1323mx y mx my m +=-⎧⎨-=+⎩;(2) 见解析【解析】 【分析】(1)利用矩阵的乘法和加法的运算法则直接计算并化简即可得出答案;(2)先由二元一次方程组中的系数和常数项计算出D ,D x ,D y ,然后再讨论m 的取值范围,①当m ≠0,且m ≠-3时,②当m =0时,③当m =-3时,分别求出方程组的解即可得出答案. 【详解】解:(1) 由题意可得PQ=13mm m ⎛⎫ ⎪-⎝⎭x y ⎛⎫ ⎪⎝⎭=3mx y mx my +⎛⎫ ⎪-⎝⎭,M+N=213m m -⎛⎫⎛⎫+ ⎪ ⎪+⎝⎭⎝⎭=123m -⎛⎫ ⎪+⎝⎭,所以由PQ= M+N ,可得3mx y mx my +⎛⎫ ⎪-⎝⎭=123m -⎛⎫⎪+⎝⎭,即得1323mx y mx my m +=-⎧⎨-=+⎩; (2) 由题意可得行列式1(3)3m D m m m m==-+-,1(3)231x D m m m==--++- ,12(3)323y mD m m m m -==++①当m ≠0,且m ≠-3时,D ≠0,方程组有唯一解12x m y ⎧=⎪⎨⎪=-⎩;②当m =0时,D =0,但D x ≠0,方程组无解; ③当m =-3时,D =D x =D y =0,方程组有无穷多解31x ty t =⎧⎨=-⎩(t ∈R ).【点睛】本题考查了矩阵的乘法加法运算法则的应用,考查了用行列式求解二元一次方程组方法的应用,对参数的讨论是用行列式解二元一次方程组的关键,考查了运算能力,属于一般难度的题.6.已知圆C 经矩阵332a M ⎡⎤=⎢⎥-⎣⎦变换后得到圆22:13C x y '+=,求实数a 的值. 【答案】2a =【解析】 【分析】设圆C 上任一点(,)x y ,经M 变换后得到(),x y '',则332x ax yy x y =+⎧⎨=-''⎩,代入计算得到答案.【详解】设圆C 上任一点(,)x y ,经M 变换后得到(),x y '',则332x a x y y '⎡⎤⎡⎤⎡⎤=⎢⎥⎢⎥⎢⎥'-⎣⎦⎣⎦⎣⎦,则332x ax y y x y=+⎧⎨=-''⎩,由(),x y ''在22:13C x y '+=上, 可得22(3)(32)13ax y x y ++-=,即()22292(36)1313a x a xy y ++-+=,由方程表示圆,可得2913a +=,2(36)0a -=,则2a =. 【点睛】本题考查了圆的矩阵变换,意在考查学生的应用能力.7.设函数()271f x x ax =-++(a 为实数). (1)若1a =-,解不等式()0f x ≥; (2)若当01xx>-时,关于x 的不等式()1f x ≥成立,求a 的取值范围; (3)设21()1x g x ax +=--,若存在x 使不等式()()f x g x ≤成立,求a 的取值范围. 【答案】(1)8{|3x x ≤或6}x ≥;(2)[5,)-+∞;(3)[4,)-+∞ 【解析】 【分析】(1)代入1a =-直接解不等式即可; (2)由01xx>-解得01x <<,故可将()1f x ≥化为(2)70a x -+≥,从而求出a 的范围; (3)化简()g x ,故可将题设条件变为:存在x 使1|27||22|a x x -≥---成立,因此求出2722x x ---的最小值即可得出结论.【详解】(1)若1a =-,则()271f x x x =-+- 由()0f x ≥得|27|1x x -≥-, 即270271x x x ->⎧⎨-≥-⎩或270721x x x -≤⎧⎨-≥-⎩, 解得6x ≥或83x ≤, 故不等式的解集为8{|3x x ≤或6}x ≥; (2)由01xx>-解得01x <<, 由()1f x ≥得|27|0x ax -+≥,当01x <<时,该不等式即为(2)70a x -+≥,设()(2)7F x a x =-+,则有(0)70(1)50F F a =>⎧⎨=+≥⎩解得5a ≥-,因此实数a 的取值范围为[5,)-+∞; (3)21()1x g x ax +=--2|1|(1)x a x =-++, 若存在x 使不等式()()f x g x ≤成立,即存在x 使271x ax -++2|1|(1)x a x ≤-++成立, 即存在x 使1|27||22|a x x -≥---成立, 又272227(22)5x x x x ---≤---=, 所以527225x x -≤---≤, 所以15a -≥-,即4a ≥-, 所以a 的取值范围为:[4,)-+∞ 【点睛】本题主要考查了绝对值不等式,结合了恒成立,能成立等问题,属于综合应用题.解决恒成立,能成立问题时,常将其转化为最值问题求解.8.解关于x 、y 的方程组(1)2024160x m y m mx y +++-=⎧⎨++=⎩,并对解的情况进行讨论.【答案】答案见解析; 【解析】 【分析】将原方程组写成矩阵形式为Ax b =,其中A 为22⨯方阵,x 为2个变量构成列向量,b为2个常数项构成列向量. 而当它的系数矩阵可逆,或者说对应的行列式D 不等于0的时候,它有唯一解.并不是说有解. 【详解】 解:Q (1)2024160x m y m mx y +++-=⎧⎨++=⎩化成矩阵形式Ax b =则1124m A m +⎛⎫= ⎪⎝⎭,216m b -⎛⎫= ⎪-⎝⎭()()()24212242111242m m D m m m m m m ∴==-+=+=-++---,()()()42161122116422412x D m m m m m m ==-++-=-+=++,()()()162222412216y D m mm m m m ==----+-=-当系数矩阵D 非奇异时,或者说行列式24220D m m =--≠, 即1m ≠且2m ≠-时,方程组有唯一的解, 61x D x D m ==-,41y D m y D m-==-. 当系数矩阵D 奇异时,或者说行列式24220D m m =--=, 即1m =或2m =-时,方程组有无数个解或无解.当2m =-时,原方程为4044160x y x y --=⎧⎨-++=⎩无解,当1m =时,原方程组为21024160x y x y +-=⎧⎨++=⎩,无解.【点睛】本题主要考查克莱姆法则,克莱姆法则不仅仅适用于实数域,它在任何域上面都可以成立,属于中档题.9.不等式21101x xba xa->-的解是12x <<,试求a ,b 的值. 【答案】12a =-,1b =-或1a =-,2b =- . 【解析】 【分析】将行列式展开,由行列式大于0,即ax 2+(1+ab )x +b >0,由1和2是方程ax 2+(1+ab )x +b =0的两个根,由韦达定理可知,列方程组即可求得a 和b 的值. 【详解】2111x x b a xa-=-x 2×(﹣a )×(﹣1)+x +abx ﹣x 2×(﹣a )﹣ax 2﹣(﹣1)×b =ax 2+(1+ab )x +b >0,∵不等式的解为1<x <2,∴a <0,且1,2为一元二次方程:ax 2+(1+ab )x +b =0的两个根,由韦达定理可知:11212ab ab a +⎧+=-⎪⎪⎨⎪⨯=⎪⎩,整理得:2a 2+3a +1=0,解得:12a b =-⎧⎨=-⎩或121a b ⎧=-⎪⎨⎪=-⎩,故a =﹣1,b =﹣2或a 12=-,b =﹣1. 【点睛】本题考查行列式的展开,考查一元二次不等式与一元二次方程的关系及韦达定理,考查计算能力,属于中档题.10.变换T 1是逆时针旋转2π角的旋转变换,对应的变换矩阵是M 1;变换T 2对应的变换矩阵是M 2=1101⎡⎤⎢⎥⎣⎦. (1)点P(2,1)经过变换T 1得到点P',求P'的坐标;(2)求曲线y =x 2先经过变换T 1,再经过变换T 2所得曲线的方程. 【答案】(1)P'(-1,2).(2)y -x =y 2. 【解析】试题分析:(1)先写出旋转矩阵M 1=0110-⎡⎤⎢⎥⎣⎦,再利用矩阵运算得到点P'的坐标是P'(-1,2).(2)先按序确定矩阵变换M =M 2⋅M 1=1110-⎡⎤⎢⎥⎣⎦,再根据相关点法求曲线方程:即先求出对应点之间关系,再代入已知曲线方程,化简得y -x =y 2.试题解析:解:(1)M 1=0110-⎡⎤⎢⎥⎣⎦, M 121⎡⎤⎢⎥⎣⎦=12-⎡⎤⎢⎥⎣⎦.所以点P(2,1)在T 1作用下的点P'的坐标是P'(-1,2). (2)M =M 2⋅M 1=1110-⎡⎤⎢⎥⎣⎦, 设x y ⎡⎤⎢⎥⎣⎦是变换后图象上任一点,与之对应的变换前的点是00x y ⎡⎤⎢⎥⎣⎦, 则M 00x y ⎡⎤⎢⎥⎣⎦=x y ⎡⎤⎢⎥⎣⎦,也就是000{x y x x y -==即00{y y x x y =-=所以,所求曲线的方程是y -x =y 2. 考点:旋转矩阵,矩阵变换11.直线l 经矩阵M =cos sin sin cos θθθθ-⎡⎤⎢⎥⎣⎦(其中θ∈(0,π))作用变换后得到直线l ′:y =2x ,若直线l 与l ′垂直,求θ的值.【答案】2πθ=【解析】 【分析】在l 上任取一点P (x ,y ),设P 经矩阵M 变换后得到点P ′(x ′,y ′),根据矩阵变换运算得到x ′,y ′,代入直线l ′:y =2x ,得到直线l 方程,再由两直线垂直求解. 【详解】在l 上任取一点P (x ,y ),设P 经矩阵M 变换后得到点P ′(x ′,y ′)cos sin cos sin sin cos sin cos x x y x y x y y θθθθθθθθ''-⋅-⋅⎡⎤⎡⎤⎡⎤⎡⎤==⎢⎥⎢⎥⎢⎥⎢⎥⋅+⋅⎣⎦⎣⎦⎣⎦⎣⎦故cos sin sin cos x x y y x y θθθθ=-'=+'⎧⎨⎩,又P ′在直线l ′:y =2x 上,即y ′=2x ′ 则sin cos 2cos 2sin x y x y θθθθ+=-即直线l :(sin 2cos )(2sin cos )0x y θθθθ-++= 因为l 与l ′垂直,故sin 2cos 1=cos 02sin cos 2θθθθθ-⇒=+又(0,)θπ∈,故2πθ=.【点睛】本题主要考查矩阵变换研究两直线的位置关系,还考查了运算求解的能力,属于中档题.12.已知矩阵14a b A ⎡⎤=⎢⎥⎣⎦若矩阵A 属于特征值1的一个特征向量为131a ⎡⎤=⎢⎥-⎣⎦u u r ,属于特征值5的一个特征向量为211a ⎡⎤=⎢⎥⎣⎦u u r 求矩阵A .【答案】2314⎡⎤⎢⎥⎣⎦ 【解析】 【分析】根据矩阵A 属于特征值1的一个特征向量为131a ⎡⎤=⎢⎥-⎣⎦u u r 得到33-=a b ,属于特征值5的一个特征向量为211a ⎡⎤=⎢⎥⎣⎦u u r ,故5a b +=,解得答案.【详解】矩阵A 属于特征值1的一个特征向量为131a ⎡⎤=⎢⎥-⎣⎦u u r ,1114a b a a ⎡⎤=⎢⎥⎣⎦u r u r,故33-=a b ;属于特征值5的一个特征向量为211a ⎡⎤=⎢⎥⎣⎦u u r ,21514a b a a ⎡⎤=⎢⎥⎣⎦u u r u r,故5a b +=, 解得23a b =⎧⎨=⎩,故2314A ⎡⎤=⎢⎥⎣⎦. 【点睛】本题考查了矩阵的特征向量,意在考查学生的计算能力和对于特征向量的理解.13.已知矩阵2132A ⎡⎤=⎢⎥⎣⎦,列向量x X y ⎡⎤=⎢⎥⎣⎦,47B ⎡⎤=⎢⎥⎣⎦,且AX B =. (1)求矩阵A 的逆矩阵1A -; (2)求x ,y 的值.【答案】(1)12132A --⎡⎤=⎢⎥-⎣⎦(2)12x y =⎧⎨=⎩【解析】 【分析】(1)求出二阶矩阵对应的行列式值不为0,进而直接代入公式求得逆矩阵; (2)由AX B =可得1214327X A B --⎡⎤⎡⎤==⎢⎥⎢⎥-⎣⎦⎣⎦,计算矩阵的乘法,即可得答案. 【详解】 (1)由2132A ⎡⎤=⎢⎥⎣⎦,()det 223110A =⨯-⨯=≠,所以A 可逆,从而12132A --⎡⎤=⎢⎥-⎣⎦. (2)由AX B =得到121413272X A B --⎡⎤⎡⎤⎡⎤===⎢⎥⎢⎥⎢⎥-⎣⎦⎣⎦⎣⎦, ∴12x y =⎧⎨=⎩. 【点睛】本题考查公式法求矩的逆矩阵及矩阵的乘法计算,考查运算求解能力,属于基础题.14.已知矩阵1101A ⎡⎤=⎢⎥-⎣⎦,0614B ⎡⎤=⎢⎥-⎣⎦.若矩阵C 满足AC B =,求矩阵C 的特征值和相应的特征向量.【答案】特征值12λ=,相应的特征向量21⎡⎤⎢⎥⎣⎦;特征值23λ=,相应的特征向量11⎡⎤⎢⎥⎣⎦【解析】 【分析】设a b C c d ⎡⎤=⎢⎥⎣⎦,由矩阵乘法法则求得矩阵C ,再由特征多项式求得特征值,再得特征向量. 【详解】解:设a b C c d ⎡⎤=⎢⎥⎣⎦,由AC B =,即11060114a b c d ⎡⎤⎡⎤⎡⎤=⎢⎥⎢⎥⎢⎥--⎣⎦⎣⎦⎣⎦, 得0164a c c b d d +=⎧⎪-=⎪⎨+=⎪⎪-=-⎩,解得1214a b c d =⎧⎪=⎪⎨=-⎪⎪=⎩,所以1214C ⎡⎤=⎢⎥-⎣⎦. 设()()()2121425614f λλλλλλλ--==--+=-+-,令()0f λ=,得12λ=,23λ=,特征向量为x y ⎡⎤⎢⎥⎣⎦,当12λ=时,20x y -=,取121α⎡⎤=⎢⎥⎣⎦u u r ;当23λ=时,220x y -=,取211α⎡⎤=⎢⎥⎣⎦u u r .【点睛】本题考查矩阵的乘法运算,考查特征值和特征向量,掌握矩阵乘法运算法则与特征多项式概念是解题基础.15.已知矩阵1237A -⎡⎤=⎢⎥-⎣⎦, (1)求逆矩阵1A -;(2)若矩阵X 满足31AX ⎡⎤=⎢⎥⎣⎦,试求矩阵X . 【答案】(1)(2)【解析】 【分析】 【详解】 (1)设=,则==.∴解得∴=(2)16.已知直线l :0ax y -=在矩阵0112A ⎡⎤=⎢⎥⎣⎦对应的变换作用下得到直线l ',若直线l '过点()1,1,求实数a 的值. 【答案】1a =- 【解析】 【分析】根据矩阵变换得到()210a x ay ''-++=,将点()1,1代入方程,计算得到答案. 【详解】设(),P x y 为直线l 上任意一点,在矩阵A 对应的变换下变为直线l '上点、(),P x y ''',则0112x x y y '⎡⎤⎡⎤⎡⎤=⎢⎥⎢⎥⎢⎥'⎣⎦⎣⎦⎣⎦,化简,得2x x y y x =-+⎧⎨='''⎩, 代入0ax y -=,整理得()210a x ay ''-++=.将点()1,1代入上述方程,解得1a =-. 【点睛】本题考查了矩阵变换,意在考查学生的计计算能力和转化能力.17.(1)已知矩阵1202A ⎡⎤=⎢⎥-⎣⎦,矩阵B 的逆矩阵111202B -⎡⎤-⎢⎥=⎢⎥⎣⎦,求矩阵AB . (2)已知矩阵122M x ⎡⎤=⎢⎥⎣⎦的一个特征值为3,求10M . 【答案】(1)51401⎡⎤⎢⎥⎢⎥-⎣⎦;(2)29525295242952429525⎡⎤⎢⎥⎣⎦. 【解析】 【分析】(1)依题意,利用矩阵变换求得11112124()221010222B B --⎡⎤⎡⎤⎢⎥⎢⎥⎢⎥===⎢⎥⎢⎥⎢⎥⎢⎥⎢⎥⎣⎦⎢⎥⎣⎦,再利用矩阵乘法的性质可求得答案.(2)根据特征多项式的一个零点为3,可得x 的值,即可求得矩阵M ,运用对角化矩阵,求得所求矩阵. 【详解】(1)解:111202B -⎡⎤-⎢⎥=⎢⎥⎣⎦Q ,11112124()221010222B B --⎡⎤⎡⎤⎢⎥⎢⎥⎢⎥∴===⎢⎥⎢⎥⎢⎥⎢⎥⎢⎥⎣⎦⎢⎥⎣⎦,又1202A ⎡⎤=⎢⎥-⎣⎦,1202AB ⎡⎤∴=⎢⎥-⎣⎦15114410102⎡⎤⎡⎤⎢⎥⎢⎥=⎢⎥⎢⎥⎢⎥-⎣⎦⎢⎥⎣⎦. (2)解:矩阵122M x ⎡⎤=⎢⎥⎣⎦的特征多项式为12()(1)()42f x x λλλλλ--==-----, 可得2(3)40x --=,解得1x =,即为1221M ⎡⎤=⎢⎥⎣⎦.由()0f λ=可得13λ=,21λ=-, 当13λ=时,由12321x x y y ⎡⎤⎡⎤⎡⎤=⎢⎥⎢⎥⎢⎥⎣⎦⎣⎦⎣⎦,即23x y x +=,23x y y +=,即x y =,取1x =, 可得属于3的一个特征向量为11⎡⎤⎢⎥⎣⎦;当11λ=-时,由1221x x y y ⎡⎤⎡⎤⎡⎤=-⎢⎥⎢⎥⎢⎥⎣⎦⎣⎦⎣⎦,即2x y x +=-,2x y y +=-,即x y =-,取1x =,可得属于1-的一个特征向量为11⎡⎤⎢⎥-⎣⎦.设1111P ⎡⎤=⎢⎥-⎣⎦,则111221122P -⎡⎤⎢⎥=⎢⎥⎢⎥-⎢⎥⎣⎦,13001M P P -⎡⎤=⎢⎥-⎣⎦,101115904905904912952529524220159049111295242952522M P P -⎡⎤⎢⎥⎡⎤⎡⎤⎡⎤===⎢⎥⎢⎥⎢⎥⎢⎥-⎣⎦⎣⎦⎣⎦⎢⎥-⎢⎥⎣⎦. 【点睛】本题考查逆变换与逆矩阵,考查矩阵乘法的性质,考查了特征值与特征向量,考查了矩阵的乘方的计算的知识.18.已知直线l :ax +y =1在矩阵A =1201⎡⎤⎢⎥⎣⎦对应的变换作用下变为直线l′:x +by =1.(1)求实数a 、b 的值;(2)若点P(x 0,y 0)在直线l 上,且A 00x y ⎡⎤⎢⎥⎣⎦=00x y ⎡⎤⎢⎥⎣⎦,求点P 的坐标.【答案】(1) 1.{1a b =-=(2)(1,0) 【解析】(1)设直线l :ax +y =1上任意点M (x ,y )在矩阵A 对应的变换作用下像是M ′(x ′,y ′).由''x y ⎡⎤⎢⎥⎣⎦=1201⎡⎤⎢⎥⎣⎦x y ⎡⎤⎢⎥⎣⎦=2x y y +⎡⎤⎢⎥⎣⎦,得2{x x y y y ''=+,=. 又点M ′(x ′,y ′)在l ′上,所以x ′+by ′=1即x +(b +2)y =1.依题意,得1{21a b =+=解得1{1a b ==-(2)由A 00x y ⎡⎤⎢⎥⎣⎦=00x y ⎡⎤⎢⎥⎣⎦,得00000 2{x x y y y =+,=解得y 0=0.,又点P (x 0,y 0)在直线l 上,所以x 0=1. 故点P 的坐标为(1,0).19.已知向量102112A ⎡⎤-⎢⎥=⎢⎥⎢⎥-⎢⎥⎣⎦u r ,求矩阵1A -u r 的特征值和属于该特征值的特征向量.【答案】特征值:1,2-;对应特征向量:12⎛⎫ ⎪-⎝⎭,11⎛⎫ ⎪⎝⎭.【解析】 【分析】先求得1A -u r ,以及其特征多项式()f λ,令()0f λ=解得特征值,最后根据特征向量的定义求解即可. 【详解】 设1A-u ra b c d ⎛⎫= ⎪⎝⎭,则由A u r 1A -u r E =r可得 10? 1?02 10? 1?1? 2a b c d ⎛⎫- ⎪⎛⎫⎛⎫= ⎪ ⎪ ⎪ ⎪⎝⎭⎝⎭- ⎪⎝⎭,解得1,1,2,0a b c d =-=-=-=, 故得1A-u r 1? 12? 0--⎛⎫= ⎪-⎝⎭.则其特征多项式()()1? 1?122? f λλλλλ+==+-,令()0fλ=,可得特征值为121,2λλ==-.设11λ=对应的一个特征向量为x y α⎛⎫= ⎪⎝⎭,则由11A λαα-=r ,的2y x =-,令1x =,则2y =- 故矩阵1A -u r 的一个特征值11λ=对应的一个特征向量为12⎛⎫ ⎪-⎝⎭;同理可得矩阵1A -u r 的一个特征值22λ=-对应的一个特征向量为11⎛⎫ ⎪⎝⎭.【点睛】本题考查矩阵特征值和特征向量的求解,属中档题.20.用行列式讨论下列关于x 、y 、z 的方程组121ax y z x y az x y z --=⎧⎪+-=⎨⎪--=⎩的解的情况,并求出相应的解.【答案】(i )当1a ≠±时有唯一解.∴方程组的解为:02131x a y a z a ⎧⎪=⎪-⎪=⎨+⎪⎪=-⎪+⎩;(ii )当1a =-时,无解;(iii) 当1a =时,有无穷多解.∴通解为:3212x t y z t ⎧=+⎪⎪⎪=⎨⎪=⎪⎪⎩.【解析】 【分析】首先由二元一次方程组得到矩阵:,,,x y z D D D D ,然后根据条件判断a 的不同取值方程组解的情况,并分类讨论. 【详解】方程组可转化为: 1 111 1 21 1 11a x a y z --⎡⎤⎡⎤⎡⎤⎢⎥⎢⎥⎢⎥-=⎢⎥⎢⎥⎢⎥⎢⎥⎢⎥⎢⎥--⎣⎦⎣⎦⎣⎦2 1 11 1 1(1)(1)1 1 1a D a a a a --=-=-=-+---,21 1 1 1 1 1 12 1 0, 1 2 32, 1 1 2331 1 11 1 11 1 1x y z a a D a D a a a D a ----=-==-=-+==-----Q(i )当1a ≠±时有唯一解.∴方程组的解为:02131x a y a z a ⎧⎪=⎪-⎪=⎨+⎪⎪=-⎪+⎩;(ii )当1a =-时,无解;(iii ) 当1a =时,有无穷多解.∴通解为:3212x t y z t ⎧=+⎪⎪⎪=⎨⎪=⎪⎪⎩.【点睛】本题考查了二元一次方程组和矩阵形式、以及行列式值的计算,考查了学生概念理解,数学运算的能力,属于中档题.。
数学高考《矩阵与变换》复习资料一、151.用行列式解关于x 、y 的方程组:1()2ax y a a R x ay a+=+⎧∈⎨+=⎩,并对解的情况进行讨论.【答案】见解析 【解析】 【分析】先求出相关的行列式,,x y D D D 的值,再讨论分式的分母是否为0,用公式法写出方程组的解,即可得到结论. 【详解】由题意,关于x 、y 的方程组:1()2ax y a a R x ay a +=+⎧∈⎨+=⎩,所以221111,(1),12x a a D a D a a a a a aa+==-==-=-2121(21)(1)12y a a D a a a a a+==--=+-,(1)当1a ≠±时,0D ≠,方程组有唯一解,1211a x a a y a ⎧=⎪⎪+⎨+⎪=⎪+⎩;(2)当1a =-时,0,0x D D =≠,方程组无解;(3)当1a =时,0x yD D D ===,方程组有无穷多解,,()2x tt R y t =⎧∈⎨=-⎩. 【点睛】本题主要考查了用行列式法求方程组的解,难度不大,属于基础题.2.利用行列式讨论关于,x y 的方程组1323ax y ax ay a +=-⎧⎨-=+⎩解的情况.【答案】①当03a a ≠≠-且时,方程组有唯一解12x a y ⎧=⎪⎨⎪=-⎩;②当0a =时,方程组无解;③当3a =-时,方程组有无穷多解,可表示为()31x tt R y t =⎧∈⎨=-⎩.【解析】 【分析】由题,可得()()()3,3,23x y D a a D a D a a =-+=-+=+,分别讨论方程组有唯一解,无解,无穷多解的情况即可 【详解】()21333a D a a a a a a==--=-+-, ()()11233323x D a a a a a a-==-+=--=-++-, ()()212332623323y aD a a a a a a a a a -==++=+=++,①当03a a ≠≠-且时,方程有唯一解,()()()()3132323x y a D x D a a a D a a y D a a ⎧-+===⎪-+⎪⎨+⎪===-⎪-+⎩,即12x a y ⎧=⎪⎨⎪=-⎩;②当0a =时,0D =,30x D =-≠,方程组无解;③当3a =-时,0x y D D D ===,方程组有无穷多解,设()x t t R =∈,则原方程组的解可表示为()31x tt R y t =⎧∈⎨=-⎩.【点睛】本题考查利用行列式解方程组,考查运算能力,考查分类讨论思想3.利用行列式解关于x 、y 的二元一次方程组42mx y m x my m +=+⎧⎨+=⎩.【答案】见解析 【解析】 【分析】计算出系数行列式D ,以及x D 、y D ,然后分0D ≠和0D =两种情况讨论,在0D ≠时,直接利用行列式求出方程组的解,在0D =时,得出2m =±,结合行列式讨论原方程组解的情况. 【详解】 系数行列式为2441m D m m==-,()242x m D m m mm+==-,()()222211y m m D m m m m m+==--=-+.①当240D m =-≠时,即当2m ≠±时,原方程组有唯一解()()()2224221142x y m m D m x D m m D m m m y D m m ⎧-===⎪⎪-+⎨-++⎪===⎪-+⎩;②当240D m =-=时,2m =±.(i )当2m =-时,0D =,8x D =,4y D =,原方程组无解; (ii )当2m =时,0x y D D D ===,原方程为24422x y x y +=⎧⎨+=⎩,可化为22x y +=,该方程组有无数组解,即12x R x y ∈⎧⎪⎨=-⎪⎩.【点睛】本题考查利用行列式求二元一次方程组的解,解题时要对系数行列式是否为零进行分类讨论,考查运算求解能力与分类讨论思想的应用,属于中等题.4.已知方程组()()()11,232a x ay a R a x a y ⎧-+=⎪∈⎨+++=⎪⎩ (1)求证:方程组恰有一解;(2)求证:以方程的解(),x y 为坐标的点在一条直线上; (3)求x y +的最小值,并求此时a 的范围. 【答案】(1)见解析;(2)见解析;(3)最小值13,[3,4]a ∈ 【解析】 【分析】(1)利用二阶行列式证明(2)利用消参法得(),x y 的轨迹即可证明 (3)利用绝对值不等式求最值 【详解】 (1)22111123230,3,4,23232234,33y x a a a a D a a a a D a D a a a a a a ax y --==+---=-≠==-+==-++++--∴==,即方程组有唯一解 (2)由(1)知34,33a ax y --==,消去参数a ,则3310x y +-=,即以方程的解(),x y 为坐标的点在一条直线上;(3)1||||(|3|3x y a +=-1|4|)3a +-≥,当且仅当()()340a a --≥即[3,4]a ∈时,x y +的最小值13【点睛】本题考查二元一次方程组的解,考查绝对值不等式求最值,是基础题5.已知直线1l :420mx y m +--=,2l :0x my m +-=,分别求实数m 满足什么条件时,直线1l 与2l 相交?平行?重合?【答案】当2m ≠且2m ≠-时,相交;当2m =-时,平行;当2m =时,重合 【解析】 【分析】计算出(2)(2)D m m =+-,(2)x D m m =-(1)(2)y D m m =+-,讨论是否为0得到答案. 【详解】42mx y m x my m +=+⎧⎨+=⎩244(2)(2)1m D m m m m==-=+-,24(2)4(2)x m D m m m m m mm+==+-=-22(2)(1)(2)1y m m D m m m m m+==-+=+-(1)当2m ≠且2m ≠-时,0D ≠,方程组有唯一解,1l 与2l 相交 (2)当2m =-时,0,80x D D ==≠,1l 与2l 平行 (3)当2m =时,0x y D D D ===,1l 与2l 重合 【点睛】本题考查了直线的位置关系,意在考查学生的计算能力.6.设点(,)x y 在矩阵M 对应变换作用下得到点(2,)x x y +. (1)求矩阵M ;(2)若直线:25l x y -=在矩阵M 对应变换作用下得到直线l ',求直线l '的方程.【答案】(1)2011⎡⎤⎢⎥⎣⎦;(2)3x -4y -10=0. 【解析】 【分析】(1)设出矩阵M ,利用矩阵变换得到关于x 、y 的方程组,利用等式恒成立求出矩阵M ;(2)设点(,)x y 在直线l 上,利用矩阵变换得到点(,)x y '',代入直线l 中,求得直线l '的方程. 【详解】解:(1)设a b M c d ⎡⎤=⎢⎥⎣⎦,由题意,2a b x xM c d y x y ⎡⎤⎡⎤⎡⎤==⎢⎥⎢⎥⎢⎥+⎣⎦⎣⎦⎣⎦g , 所以2ax by x +=,且cx dy x y +=+恒成立; 所以2a =,0b =,1c =,1d =; 所以矩阵2011M ⎡⎤=⎢⎥⎣⎦; (2)设点(,)x y 在直线l 上,在矩阵M 对应变换作用下得到点(,)x y ''在直线l '上, 则2x x '=,y x y '=+,所以12x x =',12y y x ='-'; 代入直线:25l x y -=中,可得34100x y '-'-=; 所以直线l '的方程为34100x y --=. 【点睛】本题考查了矩阵变换的计算问题,也考查了运算求解能力,是基础题.7.设函数()()271f x x ax a R =-++∈. (1)若1a =-,解不等式()0f x ≥; (2)若当01xx>-时,关于x 的不等式()1f x ≥恒成立,求a 的取值范围; (3)设()121x g ax x +-=-,若存在x 使不等式()()f x g x ≤成立,求a 的取值范围. 【答案】(1)[)8,6,3⎛⎤-∞+∞ ⎥⎝⎦U ;(2)5a ≥-;(3)4a ≥-.【解析】 【分析】(1)利用零点分段讨论可求不等式的解.(2)01xx>-的解为()0,1,在该条件下()1f x ≥恒成立即为()720a x +->恒成立,参变分离后可求实数a 的取值范围.(3)()()f x g x ≤有解即为12722a x x -≥---有解,利用绝对值不等式可求()2722h x x x =---的最小值,从而可得a 的取值范围.【详解】(1)当1a =-时,()0f x ≥即为2710x x --+≥.当72x ≥时,不等式可化为722710x x x ⎧≥⎪⎨⎪--+≥⎩,故6x ≥; 当72x <时,不等式可化为727210x x x ⎧<⎪⎨⎪--+≥⎩,故83x ≤. 综上,()0f x ≥的解为[)8,6,3⎛⎤-∞+∞ ⎥⎝⎦U .(2)01xx>-的解为()0,1, 当()0,1x ∈时,有()()72182f x x ax a x =-++=+-,因为不等式()1f x ≥恒成立,故()821a x +->即()27a x ->-在()0,1上恒成立, 所以72a x ->-在()0,1上恒成立,而77x-<-在()0,1上总成立, 所以27a -≥-即5a ≥-. 故实数a 的取值范围为5a ≥-.(3)()12112x g x x ax a x a +==-++--, ()()f x g x ≤等价于27121x ax x ax a -++≤-++,即27211x x a ---≤-在R 上有解. 令()27212722h x x x x x =---=---,由绝对值不等式有272227225x x x x ---≤--+=, 所以527225x x -≤---≤,当且仅当72x ≥时,27225x x ---=-成立, 所以()min 5h x =-,故15a -≥-即4a ≥-. 故实数a 的取值范围为4a ≥-. 【点睛】解绝对值不等式的基本方法有零点分段讨论法、图象法、平方法等,利用零点分段讨论法时注意分类点的合理选择.绝对值不等式指:a b a b a b -≤+≤+及a b a b a b -≤-≤+,我们常利用它们求含绝对值符号的函数的最值.8.已知ABC ∆的顶点坐标分别为(5,0)A -、(3,3)B -、(0,2)C ,请分别运用行列式、向量、平面解析几何知识,用其中两种不同方法求ABC ∆的面积.【答案】312【解析】 【分析】解法一:用行列式求解,面积公式为112233111ABC x y S x y x y ∆=,代入点的坐标求解即可;解法二:平面解析几何知识求解,先求出直线BC 的方程、点A 到直线BC 的距离d 及BC ,利用12ABC S BC d ∆=⋅⋅计算即可. 【详解】解法一:行列式求解,11223315013113312121ABC x y S x y x y ∆-==-=; 解法二:平面解析几何知识求解, 直线BC 的方程为:3353y x +-=-,即:5360x y +-=, 点A 到直线BC的距离d ===,BC ==所以113122342ABC S BC d ∆=⋅⋅=⋅=. 【点睛】本题考查利用三阶行列式计算三角形面积、利用平面向量知识计算三角形面积、利用平面解析几何知识求解三角形面积,属于基础题.9.计算:12131201221122120-⎛⎫⎛⎫⎛⎫⎛⎫- ⎪⎪ ⎪ ⎪---⎝⎭⎝⎭⎝⎭⎝⎭【答案】91559124-⎛⎫⎪--⎝⎭【解析】 【分析】直接利用矩阵计算法则得到答案.【详解】121312011213140222112212021122240-⎛⎫-⎛⎫⎛⎫⎛⎫⎛⎫⎛⎫⎛⎫⎛⎫-=- ⎪ ⎪ ⎪ ⎪ ⎪ ⎪ ⎪ ⎪------⎝⎭⎝⎭⎝⎭⎝⎭⎝⎭⎝⎭⎝⎭⎝⎭ 123319155213629124----⎛⎫⎛⎫⎛⎫== ⎪⎪ ⎪----⎝⎭⎝⎭⎝⎭ 【点睛】本题考查了矩阵的计算,意在考查学生的计算能力.10.已知函数2sin ()1x xf x x -=.(1)当0,2x π⎡⎤∈⎢⎥⎣⎦时,求()f x 的值域;(2)已知ABC V 的内角A ,B ,C 的对边分别为a ,b ,c ,若2A f ⎛⎫=⎪⎝⎭4a =,5b c +=,求ABC V 的面积.【答案】(1)0,12⎡⎤+⎢⎥⎣⎦;(2 【解析】 【分析】(1)由题意利用三角恒等变换化简函数的解析式,再利用正弦函数的定义域和值域求得当0,2x π⎡⎤∈⎢⎥⎣⎦时,求函数()f x 的值域. (2)由条件求得A ,利用余弦定理求得bc 的值,可得△ABC 的面积. 【详解】 解:(1)21()sin cos cos 2)sin 2sin 22232f x x x x x x x π⎛⎫=+=++=++⎪⎝⎭Q , 又02x π≤≤,得42333x πππ≤+≤,所以sin 21,0sin 2123322x x ππ⎛⎫⎛⎫-≤+≤≤++≤+⎪ ⎪⎝⎭⎝⎭,即函数()f x 在0,2π⎡⎤⎢⎥⎣⎦上的值域为1⎡⎤+⎢⎥⎣⎦;(2)∵2A f ⎛⎫=⎪⎝⎭,sin 3A π⎛⎫∴+=⎪⎝⎭, 由(0,)A π∈,知4333A πππ<+<, 解得:233A ππ+=,所以3A π=. 由余弦定理知:2222cos a b c bc A =+-,即2216b c bc =+-,216( c)3b bc ∴=+-.因为5b c +=,所以3bc =,1sin 2ABC S bc A ∆∴==【点睛】本题主要考查三角恒等变换,正弦函数的周期性、正弦函数的定义域和值域,余弦定理的应用,属于中档题.11.在平面直角坐标系xOy 中,直线20x y +-=在矩阵12a A b ⎡⎤=⎢⎥⎣⎦对应的变换作用下得到的直线仍为20x y +-=,求矩阵A .【答案】1102-⎡⎤⎢⎥⎣⎦ 【解析】 【分析】设(,)P x y 是直线20x y +-=上任意一点,根据题意变换得到直线220x ay bx y +++-=,对比得到答案.【详解】设(,)P x y 是直线20x y +-=上任意一点,其在矩阵2a a A b ⎡⎤=⎢⎥⎣⎦对应的变换下得到122a x x ay b y bx y +⎡⎤⎡⎤⎡⎤=⎢⎥⎢⎥⎢⎥+⎣⎦⎣⎦⎣⎦仍在直线上, 所以得220x ay bx y +++-=,与20x y +-=比较得1121b a +=⎧⎨+=⎩,解得01b a =⎧⎨=-⎩,故1102A -⎡⎤=⎢⎥⎣⎦. 【点睛】本题考查了矩阵变换,意在考查学生的计算能力和应用能力.12.已知矩阵13m P m m ⎛⎫= ⎪-⎝⎭,x Q y ⎛⎫= ⎪⎝⎭,2M m -⎛⎫= ⎪⎝⎭,13N m ⎛⎫= ⎪+⎝⎭,若PQ =M +N .(1) 写出PQ =M +N 所表示的关于x 、y 的二元一次方程组; (2) 用行列式解上述二元一次方程组. 【答案】(1) 1323mx y mx my m +=-⎧⎨-=+⎩;(2) 见解析【解析】 【分析】(1)利用矩阵的乘法和加法的运算法则直接计算并化简即可得出答案;(2)先由二元一次方程组中的系数和常数项计算出D ,D x ,D y ,然后再讨论m 的取值范围,①当m ≠0,且m ≠-3时,②当m =0时,③当m =-3时,分别求出方程组的解即可得出答案. 【详解】解:(1) 由题意可得PQ=13mm m ⎛⎫ ⎪-⎝⎭x y ⎛⎫ ⎪⎝⎭=3mx y mx my +⎛⎫⎪-⎝⎭,M+N=213m m -⎛⎫⎛⎫+⎪ ⎪+⎝⎭⎝⎭=123m -⎛⎫ ⎪+⎝⎭,所以由PQ= M+N ,可得3mx y mx my +⎛⎫ ⎪-⎝⎭=123m -⎛⎫⎪+⎝⎭,即得1323mx y mx my m +=-⎧⎨-=+⎩; (2) 由题意可得行列式1(3)3m D m m m m==-+-,1(3)231x D m m m==--++- ,12(3)323y mD m m m m -==++①当m ≠0,且m ≠-3时,D ≠0,方程组有唯一解12x m y ⎧=⎪⎨⎪=-⎩;②当m =0时,D =0,但D x ≠0,方程组无解; ③当m =-3时,D =D x =D y =0,方程组有无穷多解31x ty t =⎧⎨=-⎩(t ∈R ).【点睛】本题考查了矩阵的乘法加法运算法则的应用,考查了用行列式求解二元一次方程组方法的应用,对参数的讨论是用行列式解二元一次方程组的关键,考查了运算能力,属于一般难度的题.13.解关于x 、y 的方程组(1)2024160x m y m mx y +++-=⎧⎨++=⎩,并对解的情况进行讨论.【答案】答案见解析; 【解析】 【分析】将原方程组写成矩阵形式为Ax b =,其中A 为22⨯方阵,x 为2个变量构成列向量,b 为2个常数项构成列向量. 而当它的系数矩阵可逆,或者说对应的行列式D 不等于0的时候,它有唯一解.并不是说有解. 【详解】 解:Q (1)2024160x m y m mx y +++-=⎧⎨++=⎩化成矩阵形式Ax b =则1124m A m +⎛⎫= ⎪⎝⎭,216m b -⎛⎫= ⎪-⎝⎭()()()24212242111242m m D m m m m m m ∴==-+=+=-++---,()()()42161122116422412x D m m m m m m ==-++-=-+=++,()()()162222412216y D m mm m m m ==----+-=-当系数矩阵D 非奇异时,或者说行列式24220D m m =--≠, 即1m ≠且2m ≠-时,方程组有唯一的解, 61x D x D m ==-,41y D m y D m-==-. 当系数矩阵D 奇异时,或者说行列式24220D m m =--=, 即1m =或2m =-时,方程组有无数个解或无解.当2m =-时,原方程为4044160x y x y --=⎧⎨-++=⎩无解,当1m =时,原方程组为21024160x y x y +-=⎧⎨++=⎩,无解.【点睛】本题主要考查克莱姆法则,克莱姆法则不仅仅适用于实数域,它在任何域上面都可以成立,属于中档题.14.将一枚六个面的编号为1,2,3,4,5,6的质地均匀的正方体骰子先后掷两次,记第一次出的点数为a ,第二次出的点数为b ,且已知关于x 、y 的方程组322ax by x y +=⎧⎨+=⎩.(1)求此方程组有解的概率; (2)若记此方程组的解为0x x y y =⎧⎨=⎩,求00x >且00y >的概率.【答案】(1)1112;(2)1336. 【解析】 【分析】(1)先根据方程组有解得a b ,关系,再确定,a b 取法种数,最后根据古典概型概率公式求结果;(2)先求方程组解,再根据解的情况得a b ,关系,进而确定,a b 取法种数,最后根据古典概型概率公式求结果. 【详解】(1)因为方程组322ax by x y +=⎧⎨+=⎩有解,所以0212a b a b ≠∴≠ 而2b a =有123,,,246a a a b b b ===⎧⎧⎧⎨⎨⎨===⎩⎩⎩这三种情况,所以所求概率为31116612-=⨯; (2)006232,2022232b x ax by a ba b x y a y a b -⎧=⎪+=⎧⎪-∴-≠⎨⎨+=-⎩⎪=⎪-⎩Q 因为00x >且00y >,所以6223200,022b a a b a b a b---≠>>--, 因此12,,33a ab b =≥⎧⎧⎨⎨><⎩⎩即有35213+⨯=种情况,所以所求概率为13136636=⨯;【点睛】本题考查古典概型概率以及二元一次方程组的解,考查综合分析求解能力,属中档题.15.已知矩阵2312A ⎡⎤=⎢⎥⎣⎦. (1)求A 的逆矩阵1A -;(2)若点P 在矩阵A 对应的变换作用下得到点(3,1)P ',求点P 的坐标.【答案】(1)1A -2312-⎡⎤=⎢⎥-⎣⎦ (2)点P 的坐标为(3,–1) 【解析】分析:(1)根据逆矩阵公式可得结果;(2)根据矩阵变换列方程解得P 点坐标.详解:(1)因为2312A ⎡⎤=⎢⎥⎣⎦,()det 221310A =⨯-⨯=≠,所以A 可逆,从而1A-2312-⎡⎤=⎢⎥-⎣⎦. (2)设P (x ,y ),则233121x y ⎡⎤⎡⎤⎡⎤=⎢⎥⎢⎥⎢⎥⎣⎦⎣⎦⎣⎦,所以13311x A y -⎡⎤⎡⎤⎡⎤==⎢⎥⎢⎥⎢⎥-⎣⎦⎣⎦⎣⎦, 因此,点P 的坐标为(3,–1).点睛:本题考查矩阵的运算、线性变换等基础知识,考查运算求解能力.16.在平面直角坐标系xOy 中,直线20x y +-=在矩阵12a A b ⎡⎤=⎢⎥⎣⎦对应的变换作用下得到的直线仍为20x y +-=,求矩阵A 的逆矩阵1A -.【答案】_1112102A ⎡⎤-⎢⎥=⎢⎥⎢⎥⎢⎥⎣⎦. 【解析】 试题分析:应用结合矩阵变换的定义可得:01b a =⎧⎨=-⎩,据此求解逆矩阵可得:_1112102A ⎡⎤-⎢⎥=⎢⎥⎢⎥⎢⎥⎣⎦. 试题解析:设(),P x y 是直线20x y +-=上任意一点,其在矩阵1102A -=对应的变化下得到122a x x ay b y bx y +⎡⎤⎡⎤⎡⎤=⎢⎥⎢⎥⎢⎥+⎣⎦⎣⎦⎣⎦仍在直线上, 所以得220x ay bx y +++-=, 与20x y +-=比较得1121b a +=⎧⎨+=⎩,解得01b a =⎧⎨=-⎩,故1102A -⎡⎤=⎢⎥⎣⎦, 求得逆矩阵_1112102A ⎡⎤-⎢⎥=⎢⎥⎢⎥⎢⎥⎣⎦.17.已知矩阵120A x -⎡⎤=⎢⎥⎣⎦,5723B ⎡⎤=⎢⎥⎣⎦,B 的逆矩阵1B -满足17177AB y --⎡⎤=⎢⎥-⎣⎦.(1)求实数x ,y 的值;(2)求矩阵A 的特征值和特征向量.【答案】(1)1,3x y ==;(2)特征值为2-和1,分别对应一个特征向量为21-⎡⎤⎢⎥⎣⎦,11⎡⎤⎢⎥⎣⎦. 【解析】 【分析】 (1)计算()1ABB -,可得12514721y y -⎡⎤⎢⎥--⎣⎦,根据()1A AB B -=,可得结果. (2)计算矩阵A 的特征多项式()121fλλλ+-=-,可得2λ=-或1λ=,然后根据Ax x λ=r r,可得结果.【详解】(1)因为17177AB y --⎡⎤=⎢⎥-⎣⎦,5723B ⎡⎤=⎢⎥⎣⎦所以()17175712723514721AB B y y y ---⎡⎤⎡⎤⎡⎤==⎢⎥⎢⎥⎢⎥---⎣⎦⎣⎦⎣⎦由()1A AB B -=,所以12120514721x y y --⎡⎤⎡⎤=⎢⎥⎢⎥--⎣⎦⎣⎦所以514172103y x x y y -==⎧⎧⇒⎨⎨-==⎩⎩(2)矩阵A 的特征多项式为:()()()()1212211f λλλλλλλ+-==+-=+--令()0f λ=,解得2λ=-或1λ= 所以矩阵A 的特征值为2-和1. ①当2λ=-时,12222102x x x y xy y x y--+=-⎡⎤⎡⎤⎡⎤⎧=-⇒⎨⎢⎥⎢⎥⎢⎥=-⎣⎦⎣⎦⎣⎦⎩ 令1y =,则2x =-,所以矩阵M 的一个特征向量为21-⎡⎤⎢⎥⎣⎦. ②当1λ=时,12210x x x y xy y x y--+=⎡⎤⎡⎤⎡⎤⎧=⇒⎨⎢⎥⎢⎥⎢⎥=⎣⎦⎣⎦⎣⎦⎩ 令1y =,则1x =所以矩阵M 的一个特征向量为11⎡⎤⎢⎥⎣⎦. 因此,矩阵A 的特征值为2-和1,分别对应一个特征向量为21-⎡⎤⎢⎥⎣⎦,11⎡⎤⎢⎥⎣⎦.【点睛】本题考查矩阵的应用,第(1)问中,关键在于()1A ABB -=,第(2)问中,关键在于()1201f λλλ+-==-,考验分析能力以及计算能力,属中档题.18.已知矩阵14a b A ⎡⎤=⎢⎥⎣⎦若矩阵A 属于特征值1的一个特征向量为131a ⎡⎤=⎢⎥-⎣⎦u u r ,属于特征值5的一个特征向量为211a ⎡⎤=⎢⎥⎣⎦u u r 求矩阵A .【答案】2314⎡⎤⎢⎥⎣⎦【解析】 【分析】根据矩阵A 属于特征值1的一个特征向量为131a ⎡⎤=⎢⎥-⎣⎦u u r 得到33-=a b ,属于特征值5的一个特征向量为211a ⎡⎤=⎢⎥⎣⎦u u r ,故5a b +=,解得答案.【详解】矩阵A 属于特征值1的一个特征向量为131a ⎡⎤=⎢⎥-⎣⎦u u r ,1114a b a a ⎡⎤=⎢⎥⎣⎦u r u r,故33-=a b ; 属于特征值5的一个特征向量为211a ⎡⎤=⎢⎥⎣⎦u u r ,21514a b a a ⎡⎤=⎢⎥⎣⎦u u r u r,故5a b +=, 解得23a b =⎧⎨=⎩,故2314A ⎡⎤=⎢⎥⎣⎦. 【点睛】本题考查了矩阵的特征向量,意在考查学生的计算能力和对于特征向量的理解.19.已知矩阵1101A ⎡⎤=⎢⎥-⎣⎦,0614B ⎡⎤=⎢⎥-⎣⎦.若矩阵C 满足AC B =,求矩阵C 的特征值和相应的特征向量.【答案】特征值12λ=,相应的特征向量21⎡⎤⎢⎥⎣⎦;特征值23λ=,相应的特征向量11⎡⎤⎢⎥⎣⎦【解析】 【分析】设a b C c d ⎡⎤=⎢⎥⎣⎦,由矩阵乘法法则求得矩阵C ,再由特征多项式求得特征值,再得特征向量. 【详解】解:设a b C c d ⎡⎤=⎢⎥⎣⎦,由AC B =,即11060114a b c d ⎡⎤⎡⎤⎡⎤=⎢⎥⎢⎥⎢⎥--⎣⎦⎣⎦⎣⎦, 得0164a c c b d d +=⎧⎪-=⎪⎨+=⎪⎪-=-⎩,解得1214a b c d =⎧⎪=⎪⎨=-⎪⎪=⎩,所以1214C ⎡⎤=⎢⎥-⎣⎦. 设()()()2121425614f λλλλλλλ--==--+=-+-,令()0f λ=,得12λ=,23λ=,特征向量为x y ⎡⎤⎢⎥⎣⎦,当12λ=时,20x y -=,取121α⎡⎤=⎢⎥⎣⎦u u r ;当23λ=时,220x y -=,取211α⎡⎤=⎢⎥⎣⎦u u r .【点睛】本题考查矩阵的乘法运算,考查特征值和特征向量,掌握矩阵乘法运算法则与特征多项式概念是解题基础.20.设,,a b c 分别是ABC ∆的三边,行列式b a cc b a a c b .(1)求字母b 的代数余子式的展开式;(2)若(1)的值为0,判断直线sin 0B x ay b ⋅+-=与sin 0C x by c ⋅+-=的位置关系. 【答案】(1)233b ac -;(2)重合. 【解析】 【分析】(1)根据字母b 的代数余子式的展开式()()()246111b a b c b a c ba bc b-+-+-即可求解;(2)根据(1)的值为0,得出边长的关系,即可判断直线位置关系. 【详解】(1),,a b c 分别是ABC ∆的三边,行列式b a cc b a a c b ,所以字母b 的代数余子式的展开式为:()()()246111b a b c b a c ba bc b-+-+-222b ac b ac b ac =-+-+- 233b ac =-(2)若(1)的值为0,即2330b ac -=,2b ac =,b c a b=, 由正弦定理:sin sin c C b B= 所以sin sin c C b c b B a b-===- 所以直线sin 0B x ay b ⋅+-=与sin 0C x by c ⋅+-=的位置关系是重合. 【点睛】此题考查求代数余子式的展开式,得出三角形边长关系,结合正弦定理判断两直线的位置关系,跨章节综合性比较强.。
【高中数学】数学《矩阵与变换》高考知识点一、151.已知数列{}n a 满足条件1(1)(1)(1)n n n a n a +-=+-,且26a = (1)计算134,,a a a ,请猜测数列{}n a 的通项公式,并用数学归纳法证明;(2)请分别构造一个二阶和三阶行列式,使它们的值均为n a ,其中,要求所构造的三阶行列式主对角线下方的元素均为零,并用按某行或者某列展开的方法验证三阶行列式的值为n a【答案】(1)1341,15,28a a a ===,22n a n n =-;证明见解析 (2)2=1n n n a n,211101=001n n n a -,验证见解析 【解析】 【分析】(1)分别将1,2,3n =代回即可求得134,,a a a ,可猜测22n a n n =-,根据数学归纳法证明即可;(2)由(1)可构造二阶行列式为21n n n,根据要求可构造三阶行列式为211101001n n -,并展开求值进行验证即可 【详解】(1)当1n =时,()1021a =-,即11a =; 当2n =时,()()323136115a a =-=⨯-=; 当3n =时,()43241a a =-,则428a =;猜测22n a n n =-,证明:当1,2,3,4n =时,22n a n n =-成立; 假设当()5n k k =≥时,22k a k k =-成立,则()()()1111k k k a k a +-=+-,所以()()()()()2221112121123121111k k k a k k k k k k k k k k +++=--=+-=++=+-+--, 即当1n k =+时,等式也成立,综上,22n a n n =-成立(2)由(1),因为2221n a n n n n n =-=⋅-⋅,则可构造二阶行列式为21n nn;因为要求所构造的三阶行列式主对角线下方的元素均为零,可构造三阶行列式为211101001nn-,检验,()()()221110121110212001nnn n n n n n n a-=-⋅-⋅=-=-=,故该三阶行列式符合题意【点睛】本题考查利用数学归纳法证明,考查行列式的应用,考查数列的通项公式,考查数列的项,考查运算能力,考查猜测推理的能力2.已知a,b,c,d四个城市,它们之间的道路联结网如图所示,试用矩阵表示这四个城市组成的道路网络.【答案】0210203013020022abcda b c d⎛⎫⎪⎪⎪⎪⎝⎭【解析】【分析】根据图像计算每两个城市之间的道路数,得到答案.【详解】根据图像计算每两个城市之间的道路数,如:,a b之间有2条路;,b c之间有3条路;同理得到矩阵:0210203013020022abcda b c d⎛⎫⎪⎪⎪⎪⎝⎭【点睛】本题考查了矩阵表示道路网络,意在考查学生的应用能力.3.解关于x ,y 的方程组93x ay aax y +=⎧⎨+=⎩.【答案】分类讨论,详见解析 【解析】 【分析】分别计算得到29D a =-,6x D a =,23y D a =-,讨论得到答案.【详解】2199a D a a ==-,639x a a D a ==,2133y a D a a ==-.当3a ≠±时,0D ≠,此时方程有唯一解:2226939a x a a y a ⎧=⎪⎪-⎨-⎪=⎪-⎩; 当3a =±时,0D =,0x D ≠,方程无解. 综上所述:3a ≠±,有唯一解;3a =±,无解. 【点睛】本题考查了通过行列式讨论方程组的解的情况,分类讨论是一个常用的方法,需要同学熟练掌握.4.解方程组32321x my m mx y m +=+⎧⎨+=-⎩.【答案】详见解析. 【解析】 【分析】求出行列式D 、x D 、y D ,对D 分0D ≠和0D =两种情况分类讨论,利用方程组解与行列式之间的关系求出方程组的解,或者将参数的值代入方程组进行求解,由此得出方程组的解. 【详解】由题意可得()()2933D m m m =-=--+,()()3(2)(21)231x D m m m m m =+--=--+,()()31y D m m =---.①当0D ≠时,即当3m ≠±时,()21313x y m D x D m D m y D m ⎧+==⎪⎪+⎨-⎪==⎪+⎩;②当3m =时,方程组335335335x y x y x y +=⎧⇔+=⎨+=⎩,令()x t t R =∈,得533t y -=,此时,该方程组的解有无数多个,为,()533x t t R t y =⎧⎪∈-⎨=⎪⎩;③当3m =-时,该方程组为331337x y x y -=-⎧⎨-+=-⎩17⇒-=,所以该方程组无解.【点睛】本题考查二元一次方程组的求解,解题时要对系数行列式是否为零进行分类讨论,考查运算求解能力,属于中等题.5.已知关于x 、y 的二元一次方程组()4360260x y kx k y +=⎧⎨++=⎩的解满足0x y >>,求实数k的取值范围. 【答案】5,42⎛⎫ ⎪⎝⎭【解析】 【分析】由题意得知0D ≠,求出x D 、y D 解出该方程组的解,然后由0x y D >>⎧⎨≠⎩列出关于k 的不等式组,解出即可. 【详解】由题意可得()4238D k k k =+-=+,()601x D k =-,()604y D k =-.由于方程组的解满足0x y >>,则0D ≠,该方程组的解为()()60186048x y k D x D k D k y D k ⎧-==⎪⎪+⎨-⎪==⎪+⎩,由于00D x y y ≠⎧⎪>⎨⎪>⎩,即()()()806016048860408k k k k k k k ⎧⎪+≠⎪--⎪>⎨++⎪⎪->⎪+⎩,整理得802508408k k k k k ⎧⎪+≠⎪-⎪>⎨+⎪-⎪<⎪+⎩,解得542k <<. 因此,实数k 的取值范围是5,42⎛⎫⎪⎝⎭. 【点睛】本题考查二元一次方程组的求解,同时也考查了分式不等式的求解,考查运算求解能力,属于中等题.6.解方程组()32021mx y x m y m +-=⎧⎨+-=⎩,并求使得x y >的实数m 的取值范围.【答案】()1,3 【解析】 【分析】计算出行列式D 、x D 、y D ,对D 分0D ≠和0D =两种情况分类讨论,求出方程组的解,再由x y >列出关于m 的不等式,解出即可. 【详解】 由题意可得()()2362321m D m m m m m ==--=+--,2321x D m m m ==---,()()224222y m D m m m m==-=-+.①当0D ≠时,即当260m m --≠时,即当2m ≠-且3m ≠时,1323x y D x D m D m y D m ⎧==⎪⎪-⎨-⎪==⎪-⎩.x y >Q ,则()()()2222133m m m ->--,即()22130m m ⎧-<⎪⎨-≠⎪⎩,解得13m <<; ②当2m =-时,方程组为2320232x y x y -+-=⎧⎨-=-⎩,则有232x y -=,该方程组有无穷多解,x y >不能总成立;③当3m =时,方程组为33202230x y x y +-=⎧⎨+-=⎩,即203302x y x y ⎧+-=⎪⎪⎨⎪+-=⎪⎩,该方程组无解.综上所述,实数m 的取值范围是()1,3. 【点睛】本题考查二元一次方程组的求解,同时也考查了分式不等式的求解,在解题时要注意对系数行列式是否为零进行分类讨论,考查运算求解能力,属于中等题.7.解关于x ,y 的方程组2122ax y a ax ay a +=+⎧⎨-=-⎩.【答案】见解析 【解析】 【分析】根据对应关系,分别求出D ,x D ,y D ,再分类讨论即可 【详解】 由题可得:()122a D a a a a==-+-,()2211=212x a D a aa+=-+--,221522y a a D a aa+==--.所以,(1)当0a ≠且2a ≠-时,()()221252a x a a a y a ⎧+⎪=⎪+⎨⎪=⎪+⎩; 当0a =或2-时,0x D ≠,方程组无解 【点睛】本题考查二元一次方程的解与行列式的对应关系,属于中档题8.已知方程组()()()11,232a x ay a R a x a y ⎧-+=⎪∈⎨+++=⎪⎩(1)求证:方程组恰有一解;(2)求证:以方程的解(),x y 为坐标的点在一条直线上; (3)求x y +的最小值,并求此时a 的范围. 【答案】(1)见解析;(2)见解析;(3)最小值13,[3,4]a ∈ 【解析】 【分析】(1)利用二阶行列式证明(2)利用消参法得(),x y 的轨迹即可证明 (3)利用绝对值不等式求最值 【详解】 (1)22111123230,3,4,23232234,33y x a a a a D a a a a D a D a a a a a a ax y --==+---=-≠==-+==-++++--∴==,即方程组有唯一解 (2)由(1)知34,33a ax y --==,消去参数a ,则3310x y +-=,即以方程的解(),x y 为坐标的点在一条直线上;(3)1||||(|3|3x y a +=-1|4|)3a +-≥,当且仅当()()340a a --≥即[3,4]a ∈时,x y +的最小值13【点睛】本题考查二元一次方程组的解,考查绝对值不等式求最值,是基础题9.已知1m >,1n >,且1000mn <,求证:lg 901lg 4m n <. 【答案】证明见解析 【解析】 【分析】由题意,求得11000mn <<,利用基本不等式,得到2lg lg 90lg lg 24m n m n +⎛⎫<<=⎪⎝⎭,再结合行列式的运算,即可求解. 【详解】由题意,实数1m >,1n >,且1000mn <,可得11000mn <<,则2lg lg 90lg lg 24m n m n +⎛⎫<<=⎪⎝⎭,又由lg 919lg ln 9lg ln 144lg 4m m n m n n=-⨯=-,所以lg 901lg 4m n <. 【点睛】本题主要考查了行列式的运算性质,以及对数的运算性质和基本不等式的应用,其中解答中熟记行列式的运算法则,以及合理应用对数的运算和基本不等式求解是解答的关键,着重考查了推理与运算能力,属于中档试题.10.已知命题P :lim 0n n c →∞=,其中c 为常数,命题Q :把三阶行列式5236418x c x ⎛⎫ ⎪- ⎪ ⎪⎝⎭中第一行,第二列元素的代数余子式记为()f x ,且函数()f x 在1,4⎛⎤-∞ ⎥⎝⎦上单调递增,若命题P 是真命题,而命题Q 是假命题,求实数c 的取值范围. 【答案】112c -<< 【解析】 【分析】先由已知命题P 是真命题,得:11c -<<,根据三阶行列式中第一行、第二列元素的代数余子式写出2()4f x x cx =-+-,结合函数()f x 在上单调递增.求得c 的取值范围,最后即可解决问题. 【详解】由已知命题:lim 0nn P c →∞=,其中c 为常数,是真命题,得:11c -<<。
数学《矩阵与变换》知识点一、151.关于x 的不等式201x a x+<的解集为()1,b -.()1求实数a ,b 的值;()2若1z a bi =+,2z cos isin αα=+,且12z z 为纯虚数,求tan α的值.【答案】(1)1a =-,2b =(2)12- 【解析】 【分析】(1)由题意可得:1-,b 是方程220x ax +-=的两个实数根,利用根与系数的关系即可得出答案;(2)利用(1)的结果得()()1222z z cos sin cos sin i αααα=--+-为纯虚数,利用纯虚数的定义即可得出. 【详解】 解:(1)不等式201x a x+<即()20x x a +-<的解集为()1,b -. 1∴-,b 是方程220x ax +-=的两个实数根,∴由1b a -+=-,2b -=-,解得1a =-,2b =. (2)由(1)知1,2a b =-=,()()()()121222z z i cos isin cos sin cos sin i αααααα∴=-++=--+-为纯虚数,20cos sin αα∴--=,20cos sin αα-≠,解得12tan α=-.【点睛】本题考查了行列式,复数的运算法则、纯虚数的定义、一元二次方程的根与系数的关系、一元二次不等式的解法,考查了推理能力与计算能力,属于中档题.2.解方程组()32021mx y x m y m +-=⎧⎨+-=⎩,并求使得x y >的实数m 的取值范围.【答案】()1,3 【解析】 【分析】计算出行列式D 、x D 、y D ,对D 分0D ≠和0D =两种情况分类讨论,求出方程组的解,再由x y >列出关于m 的不等式,解出即可. 【详解】 由题意可得()()2362321m D m m m m m ==--=+--,2321x D m m m ==---,()()224222y m D m m m m==-=-+.①当0D ≠时,即当260m m --≠时,即当2m ≠-且3m ≠时,1323x y D x D m D m y D m ⎧==⎪⎪-⎨-⎪==⎪-⎩.x y >Q ,则()()()2222133m m m ->--,即()22130m m ⎧-<⎪⎨-≠⎪⎩,解得13m <<; ②当2m =-时,方程组为2320232x y x y -+-=⎧⎨-=-⎩,则有232x y -=,该方程组有无穷多解,x y >不能总成立;③当3m =时,方程组为33202230x y x y +-=⎧⎨+-=⎩,即203302x y x y ⎧+-=⎪⎪⎨⎪+-=⎪⎩,该方程组无解.综上所述,实数m 的取值范围是()1,3. 【点睛】本题考查二元一次方程组的求解,同时也考查了分式不等式的求解,在解题时要注意对系数行列式是否为零进行分类讨论,考查运算求解能力,属于中等题.3.解关于x ,y 的方程组2122ax y a ax ay a +=+⎧⎨-=-⎩.【答案】见解析 【解析】 【分析】根据对应关系,分别求出D ,x D ,y D ,再分类讨论即可 【详解】 由题可得:()122a D a a a a==-+-,()2211=212x a D a aa+=-+--,221522y a a D a aa+==--.所以,(1)当0a ≠且2a ≠-时,()()221252a x a a a y a ⎧+⎪=⎪+⎨⎪=⎪+⎩; 当0a =或2-时,0x D ≠,方程组无解 【点睛】本题考查二元一次方程的解与行列式的对应关系,属于中档题4.讨论关于x ,y ,z 的方程组2112x y z x y az x ay a z ++=⎧⎪++=⎨⎪++=⎩解的情况.【答案】当1a ≠时,有唯一解2,11,0.a x a y a z -⎧=⎪-⎪=-⎨⎪=⎪⎩;当1a =时,无解.【解析】 【分析】先根据方程组中x ,y ,z 的系数及常数项计算出D ,x D ,y D ,z D ,再对a 的值进行分类讨论,并求出相应的解. 【详解】方程组可转化为:2111111121x a a a y z ⎡⎤⎡⎤⎡⎤⎢⎥⎢⎥⎢⎥=⎢⎥⎢⎥⎢⎥⎢⎥⎢⎥⎢⎥⎣⎦⎣⎦⎣⎦,2211111(1)1a a D a a ==--,21111(1)(2)12x D a a a a a ==---, 211111112y D a a a ==-+,111101112z D a ==,(1)当系数行列式||0D ≠时,方程组有唯一解,即1a ≠时,有唯一解2,11,0.a x a y a z -⎧=⎪-⎪=-⎨⎪=⎪⎩(2)当1a =时,原方程组等价于112x y z x y z x y z ++=⎧⎪++=⎨⎪++=⎩所以无解.【点睛】本题考查三元一次方程组的矩阵形式、线性方程组解的存在性、唯一性、三元一次方程的解法等基础知识,考查运算求解能力.5.用行列式解方程组252,23,24 1.x y z y z x y z ++=-⎧⎪--=⎨⎪++=-⎩【答案】1337313x y z ⎧=⎪⎪⎪=-⎨⎪⎪=-⎪⎩【解析】 【分析】先根据方程组中x ,y ,z 的系数及常数项求得D ,x D ,y D ,z D ,再对a 的值进行分类讨论,并求出相应的解. 【详解】方程组可转化为:125202324111x y z ⎡⎤⎡⎤⎡⎤⎢⎥⎢⎥⎢⎥-=⎢⎥⎢⎥⎢⎥⎢⎥⎢⎥⎢⎥⎣⎦⎣⎦-⎦--⎣,1912502241D =-=-, 13922532141x D --=-=-,12503221121y D --==--,1312203241z D ---==-,所以13,37,31.3x y z D x D D y D D z D ⎧==⎪⎪⎪==-⎨⎪⎪==-⎪⎩【点睛】本题考查三元一次方程组的矩阵形式、线性方程组的行列式求解,考查运算求解能力.6.已知直线1l :420mx y m +--=,2l :0x my m +-=,分别求实数m 满足什么条件时,直线1l 与2l 相交?平行?重合?【答案】当2m ≠且2m ≠-时,相交;当2m =-时,平行;当2m =时,重合 【解析】 【分析】计算出(2)(2)D m m =+-,(2)x D m m =-(1)(2)y D m m =+-,讨论是否为0得到答案. 【详解】42mx y m x my m +=+⎧⎨+=⎩244(2)(2)1m D m m m m==-=+-,24(2)4(2)x m D m m m m m mm+==+-=-22(2)(1)(2)1y m m D m m m m m+==-+=+-(1)当2m ≠且2m ≠-时,0D ≠,方程组有唯一解,1l 与2l 相交 (2)当2m =-时,0,80x D D ==≠,1l 与2l 平行 (3)当2m =时,0x y D D D ===,1l 与2l 重合 【点睛】本题考查了直线的位置关系,意在考查学生的计算能力.7.已知(2,1)OA =u u u v ,(1,7)OB =u u u v ,(5,1)OC =u u u v,若OD xOA =u u u v u u u v,()f x DB DC =⋅u u u v u u u v(,x y ∈R ).(1)求函数()y f x =的解析式;(2)求函数()4()15f xg x x-=在12x ≤≤条件下的最小值;(3)把()y f x =的图像按向量(2,8)a =-v平移得到曲线C ,过坐标原点O 作OM 、ON分别交曲线C 于点M 、N ,直线MN 交y 轴于点0(0,)Q y ,当MON ∠为锐角时,求0y 的取值范围.【答案】(1)2()52012f x x x =-+;(2)3)1(,0)(,)5-∞+∞U . 【解析】 【分析】(1)根据向量数量积的坐标公式即可求()y f x =的解析式;(2)通过矩阵的计算公式,求出()g x 的表达式,然后利用基本不等式求最值即可; (3)根据向量平移关系即可求出曲线C 的解析式,设()()22,5,,5M m mN n n ,根据MON ∠为锐角时,建立不等式关系进行求解即可. 【详解】解:(1)(2,),(2,)OD x OA x x D x x =⋅=∴u u u r u u u rQ , (1,7),(5,1)OB OC ==u u u r u u u rQ ,(1,7),(5,1)B C ∴=, (12,7),(52,1)DB x x DC x x ∴=--=--u u u r u u u r,则2(12,7)(52,1)52012y DB DC x x x x x x =⋅=--⋅--=-+u u u r u u u r,即2()52012f x x x =-+; (2)由已知得:()4()1212()2052020515f x f xg x x x x x x x-==+=-++=+≥= 当且仅当125x x =,即[]1,25x =时取到最小值, 函数()4()15f xg x x-=在12x ≤≤条件下的最小值为;(3)22()520125(2)8y f x x x x ==-+=--Q ,()y f x ∴=的图象按向量(2,8)a =-r平移后得到曲线C 为25y x =;设()()22,5,,5M m mN n n ,则直线MN 的方程为222555y n x nm n m n--=--, 令0x =,则0y 5mn =-,若MON ∠为锐角,因为,,M O N 不可能共线,则22250OM ON mn m n ⋅=+>u u u u r u u u r,125mn ∴<-或0mn >, 01525y ∴-<-或005y ->, 即0y 0<或015y >, 故0y 的取值范围是1(,0),5⎛⎫-∞⋃+∞ ⎪⎝⎭. 【点睛】本题主要考查向量的数量积公式的应用,以及向量平移的关系,考查学生的运算能力.8.设点(,)x y 在矩阵M 对应变换作用下得到点(2,)x x y +. (1)求矩阵M ;(2)若直线:25l x y -=在矩阵M 对应变换作用下得到直线l ',求直线l '的方程.【答案】(1)2011⎡⎤⎢⎥⎣⎦;(2)3x -4y -10=0. 【解析】 【分析】(1)设出矩阵M ,利用矩阵变换得到关于x 、y 的方程组,利用等式恒成立求出矩阵M ;(2)设点(,)x y 在直线l 上,利用矩阵变换得到点(,)x y '',代入直线l 中,求得直线l '的方程. 【详解】解:(1)设a b M c d ⎡⎤=⎢⎥⎣⎦,由题意,2a b x xM c d y x y ⎡⎤⎡⎤⎡⎤==⎢⎥⎢⎥⎢⎥+⎣⎦⎣⎦⎣⎦g , 所以2ax by x +=,且cx dy x y +=+恒成立; 所以2a =,0b =,1c =,1d =; 所以矩阵2011M ⎡⎤=⎢⎥⎣⎦; (2)设点(,)x y 在直线l 上,在矩阵M 对应变换作用下得到点(,)x y ''在直线l '上, 则2x x '=,y x y '=+,所以12x x =',12y y x ='-'; 代入直线:25l x y -=中,可得34100x y '-'-=; 所以直线l '的方程为34100x y --=. 【点睛】本题考查了矩阵变换的计算问题,也考查了运算求解能力,是基础题.9.解方程组32321x my m mx y m +=+⎧⎨+=-⎩.【答案】详见解析. 【解析】 【分析】求出行列式D 、x D 、y D ,对D 分0D ≠和0D =两种情况分类讨论,利用方程组解与行列式之间的关系求出方程组的解,或者将参数的值代入方程组进行求解,由此得出方程组的解. 【详解】由题意可得()()2933D m m m =-=--+,()()3(2)(21)231x D m m m m m =+--=--+,()()31y D m m =---.①当0D ≠时,即当3m ≠±时,()21313x y m D x D m D m y D m ⎧+==⎪⎪+⎨-⎪==⎪+⎩;②当3m =时,方程组335335335x y x y x y +=⎧⇔+=⎨+=⎩,令()x t t R =∈,得533t y -=,此时,该方程组的解有无数多个,为,()533x t t R t y =⎧⎪∈-⎨=⎪⎩;③当3m =-时,该方程组为331337x y x y -=-⎧⎨-+=-⎩17⇒-=,所以该方程组无解.【点睛】本题考查二元一次方程组的求解,解题时要对系数行列式是否为零进行分类讨论,考查运算求解能力,属于中等题.10.已知关于,x y 的方程组421mx y x y +=⎧⎨+=⎩. (1)求,,x y D D D ;(2)当实数m 为何值时方程组无解;(3)当实数m 为何值时,方程组有解,并求出方程的解. 【答案】(1)4,2,2x y D m D D m =-=-=- (2)4m =(3)4m ≠方程组有唯一解2424x m m y m -⎧=⎪⎪-⎨-⎪=⎪-⎩【解析】 【分析】(1)根据方程组得解法求得4D m =-,2x D =-,2y D m =-(2)由线性方程组解得存在性,当||0A =时,方程组无解;根据行列式的展开,求得m 的值(3)由当4011m ≠,方程组有唯一解,由(1)即可求得方程组的解. 【详解】(1)42111m x y ⎡⎤⎡⎤⎡⎤=⎢⎥⎢⎥⎢⎥⎣⎦⎣⎦⎣⎦, 4D m =-,2x D =-,2y D m =-(2)由411m A ⎡⎤=⎢⎥⎣⎦,当||0A =, 即44011m m =-=,解得:4m =, ∴当4m =,方程组无解(3)当4011m ≠,解得:4m ≠,方程组有唯一解, 由421mx y x y +=⎧⎨+=⎩①②,①4-⨯②解得:24m y m -=-,代入求得24x m -=-,∴方程的解集为:2424x m m y m -⎧=⎪⎪-⎨-⎪=⎪-⎩.【点睛】本题主要考查方程组解得存在性,考查方程组的解与||A 的关系,行列式的展开,考查计算能力,属于中档题.11.已知向量102112A ⎡⎤-⎢⎥=⎢⎥⎢⎥-⎢⎥⎣⎦u r ,求矩阵1A -u r 的特征值和属于该特征值的特征向量.【答案】特征值:1,2-;对应特征向量:12⎛⎫ ⎪-⎝⎭,11⎛⎫⎪⎝⎭. 【解析】 【分析】先求得1A -u r,以及其特征多项式()fλ,令()0f λ=解得特征值,最后根据特征向量的定义求解即可. 【详解】设1A -u r a b c d ⎛⎫= ⎪⎝⎭,则由A u r 1A -u r E =r可得10? 1?02 10? 1?1? 2a b c d ⎛⎫- ⎪⎛⎫⎛⎫= ⎪ ⎪ ⎪ ⎪⎝⎭⎝⎭- ⎪⎝⎭,解得1,1,2,0a b c d =-=-=-=, 故得1A-u r 1? 12?0--⎛⎫= ⎪-⎝⎭.则其特征多项式()()1? 1?122? f λλλλλ+==+-,令()0fλ=,可得特征值为121,2λλ==-.设11λ=对应的一个特征向量为x y α⎛⎫= ⎪⎝⎭,则由11A λαα-=r ,的2y x =-,令1x =,则2y =- 故矩阵1A -u r 的一个特征值11λ=对应的一个特征向量为12⎛⎫ ⎪-⎝⎭;同理可得矩阵1A -u r 的一个特征值22λ=-对应的一个特征向量为11⎛⎫ ⎪⎝⎭.【点睛】本题考查矩阵特征值和特征向量的求解,属中档题.12.已知矩阵2312A ⎡⎤=⎢⎥⎣⎦. (1)求A 的逆矩阵1A -;(2)若点P 在矩阵A 对应的变换作用下得到点(3,1)P ',求点P 的坐标.【答案】(1)1A -2312-⎡⎤=⎢⎥-⎣⎦(2)点P 的坐标为(3,–1) 【解析】分析:(1)根据逆矩阵公式可得结果;(2)根据矩阵变换列方程解得P 点坐标.详解:(1)因为2312A ⎡⎤=⎢⎥⎣⎦,()det 221310A =⨯-⨯=≠,所以A 可逆, 从而1A - 2312-⎡⎤=⎢⎥-⎣⎦.(2)设P(x,y),则233121xy⎡⎤⎡⎤⎡⎤=⎢⎥⎢⎥⎢⎥⎣⎦⎣⎦⎣⎦,所以13311xAy-⎡⎤⎡⎤⎡⎤==⎢⎥⎢⎥⎢⎥-⎣⎦⎣⎦⎣⎦,因此,点P的坐标为(3,–1).点睛:本题考查矩阵的运算、线性变换等基础知识,考查运算求解能力.13.已知=是矩阵M=属于特征值λ1=2的一个特征向量.(Ⅰ)求矩阵M;(Ⅱ)若,求M10a.【答案】(Ⅰ)M=;(Ⅱ)M10=.【解析】试题分析:(Ⅰ)依题意,M=,从而,由此能求出矩阵M.(Ⅱ)(方法一)由(Ⅰ)知矩阵M的特征多项式为f(λ)=(λ﹣1)(λ﹣2),矩阵M 的另一个特征值为λ2=1,设=是矩阵M属于特征值λ2=1的特征向量,由已知得=,由此能求出M10.(Ⅱ)(方法二)M2=MM=,,M5=M3M2,M10=M5M5,由此能求出M10.解:(Ⅰ)依题意,M=,,∴,解得a=1,b=2.∴矩阵M=.(Ⅱ)(方法一)由(Ⅰ)知矩阵M的特征多项式为f(λ)=(λ﹣1)(λ﹣2),∴矩阵M的另一个特征值为λ2=1,设=是矩阵M属于特征值λ2=1的特征向量,则,∴,取x=1,得=,∴,∴M 10==.(Ⅱ)(方法二)M 2=MM=,,M 5=M 3M 2==,M 10=M 5M 5==, ∴M 10=.点评:本题考查矩阵与变换、特殊性征向量及其特征值的综合应用等基本知识,考查运算求解能力.14.已知曲线C :x 2+2xy +2y 2=1,矩阵A =1210⎡⎤⎢⎥⎣⎦所对应的变换T 把曲线C 变成曲线C 1,求曲线C 1的方程. 【答案】x 2+y 2=2 【解析】试题分析:由矩阵变换得相关点坐标关系x =y′,y =2x y '-',再代入已知曲线C 方程,得x 2+y 2=2.试题解析:解:设曲线C 上的任意一点P(x ,y),P 在矩阵A =1210⎡⎤⎢⎥⎣⎦对应的变换下得到点Q(x′,y′).则1210x x y y ⎡⎤⎡⎤⎡⎤=⎢⎥⎢⎥⎢⎥⎣⎦⎣⎣'⎦⎦', 即x +2y =x′,x =y′, 所以x =y′,y =2x y '-'.代入x 2+2xy +2y 2=1,得y′2+2y′2x y '-'+2(2x y '-')2=1,即x′2+y′2=2, 所以曲线C 1的方程为x 2+y 2=2.考点:矩阵变换,相关点法求轨迹方程15.[选修4-2:矩阵与变换]已知矩阵A=0110⎡⎤⎢⎥⎣⎦ ,B=1002⎡⎤⎢⎥⎣⎦. 求AB;若曲线C 1;22y =182x + 在矩阵AB 对应的变换作用下得到另一曲线C 2 ,求C 2的方程.【答案】(1)0210⎡⎤⎢⎥⎣⎦(2)228x y += 【解析】试题分析:(1)直接由矩阵乘法可得;(2)先根据矩阵乘法可得坐标之间关系,代入原曲线方程可得曲线2C 的方程. 试题解析:解:(1)因为A =0110⎡⎤⎢⎥⎣⎦, B =1002⎡⎤⎢⎥⎣⎦, 所以AB =01101002⎡⎤⎡⎤⎢⎥⎢⎥⎣⎦⎣⎦ 0110⎡⎤⎢⎥⎣⎦ 1002⎡⎤⎢⎥⎣⎦=0210⎡⎤⎢⎥⎣⎦ 0210⎡⎤⎢⎥⎣⎦. (2)设()00,Q x y 为曲线1C 上的任意一点, 它在矩阵AB 对应的变换作用下变为(),P x y ,则000210x x y y ⎡⎤⎡⎤⎡⎤=⎢⎥⎢⎥⎢⎥⎣⎦⎣⎦⎣⎦,即002y x x y =⎧⎨=⎩,所以002x yx y =⎧⎪⎨=⎪⎩. 因为()00,Q x y 在曲线1C 上,所以2200188x y +=,从而22188x y +=,即228x y +=.因此曲线1C 在矩阵AB 对应的变换作用下得到曲线2C : 228x y +=. 点睛:(1)矩阵乘法注意对应相乘:a b m p am bn ap bq c d n q cm dn cp dq ++⎡⎤⎡⎤⎡⎤=⎢⎥⎢⎥⎢⎥++⎣⎦⎣⎦⎣⎦; (2)矩阵变换:a b x x c d y y ⎡⎤⎡⎤⎡⎤=⎢⎥⎢⎥⎢⎥⎣⎦⎣⎣'⎦⎦'表示点(,)x y 在矩阵a b c d ⎡⎤⎢⎥⎣⎦变换下变成点(,)x y ''.16.已知矩阵111A a -⎡⎤=⎢⎥⎣⎦,其中a R ∈,若点(1,1)P 在矩阵A 的变换下得到点(0,3)P '-,求矩阵A 的两个特征值.【答案】矩阵A 的特征值为1-或3. 【解析】 【分析】根据点(1,1)P 在矩阵A 的变换下得到点(0,3)P '-,列出方程求出a ,从而可确定矩阵A ,再求出矩阵A 的特征多项式,令其等于0,即可求出矩阵A 的特征值. 【详解】由1110113a -⎡⎤⎡⎤⎡⎤=⎢⎥⎢⎥⎢⎥-⎣⎦⎣⎦⎣⎦,得13a +=-,所以4a =-, 故1141A -⎡⎤=⎢⎥-⎣⎦, 则矩阵A 的特征多项式为2211()(1)42341f x -==--=---λλλλλ,令()0f λ=,解得1λ=-或3λ=, 所以矩阵A 的特征值为1-或3. 【点睛】本题主要考查矩阵的特征多项式及特征值的求法,属于中档题.17.已知矩阵120A x -⎡⎤=⎢⎥⎣⎦,5723B ⎡⎤=⎢⎥⎣⎦,B 的逆矩阵1B -满足17177AB y --⎡⎤=⎢⎥-⎣⎦. (1)求实数x ,y 的值;(2)求矩阵A 的特征值和特征向量.【答案】(1)1,3x y ==;(2)特征值为2-和1,分别对应一个特征向量为21-⎡⎤⎢⎥⎣⎦,11⎡⎤⎢⎥⎣⎦. 【解析】 【分析】(1)计算()1AB B -,可得12514721y y -⎡⎤⎢⎥--⎣⎦,根据()1A AB B -=,可得结果.(2)计算矩阵A 的特征多项式()121f λλλ+-=-,可得2λ=-或1λ=,然后根据Ax x λ=r r,可得结果.【详解】 (1)因为17177ABy --⎡⎤=⎢⎥-⎣⎦,5723B ⎡⎤=⎢⎥⎣⎦所以()17175712723514721ABB y y y ---⎡⎤⎡⎤⎡⎤==⎢⎥⎢⎥⎢⎥---⎣⎦⎣⎦⎣⎦由()1A ABB -=,所以12120514721x y y --⎡⎤⎡⎤=⎢⎥⎢⎥--⎣⎦⎣⎦所以514172103y x x y y -==⎧⎧⇒⎨⎨-==⎩⎩(2)矩阵A 的特征多项式为:()()()()1212211f λλλλλλλ+-==+-=+--令()0f λ=,解得2λ=-或1λ= 所以矩阵A 的特征值为2-和1. ①当2λ=-时,12222102x x x y xy y x y--+=-⎡⎤⎡⎤⎡⎤⎧=-⇒⎨⎢⎥⎢⎥⎢⎥=-⎣⎦⎣⎦⎣⎦⎩ 令1y =,则2x =-,所以矩阵M 的一个特征向量为21-⎡⎤⎢⎥⎣⎦. ②当1λ=时,12210x x x y x y y x y--+=⎡⎤⎡⎤⎡⎤⎧=⇒⎨⎢⎥⎢⎥⎢⎥=⎣⎦⎣⎦⎣⎦⎩ 令1y =,则1x =所以矩阵M 的一个特征向量为11⎡⎤⎢⎥⎣⎦.因此,矩阵A 的特征值为2-和1, 分别对应一个特征向量为21-⎡⎤⎢⎥⎣⎦,11⎡⎤⎢⎥⎣⎦. 【点睛】本题考查矩阵的应用,第(1)问中,关键在于()1A ABB -=,第(2)问中,关键在于()1201f λλλ+-==-,考验分析能力以及计算能力,属中档题.18.(1)已知矩阵1202A ⎡⎤=⎢⎥-⎣⎦,矩阵B 的逆矩阵111202B -⎡⎤-⎢⎥=⎢⎥⎣⎦,求矩阵AB . (2)已知矩阵122M x ⎡⎤=⎢⎥⎣⎦的一个特征值为3,求10M . 【答案】(1)51401⎡⎤⎢⎥⎢⎥-⎣⎦;(2)29525295242952429525⎡⎤⎢⎥⎣⎦. 【解析】 【分析】(1)依题意,利用矩阵变换求得11112124()221010222B B --⎡⎤⎡⎤⎢⎥⎢⎥⎢⎥===⎢⎥⎢⎥⎢⎥⎢⎥⎢⎥⎣⎦⎢⎥⎣⎦,再利用矩阵乘法的性质可求得答案.(2)根据特征多项式的一个零点为3,可得x 的值,即可求得矩阵M ,运用对角化矩阵,求得所求矩阵. 【详解】(1)解:111202B -⎡⎤-⎢⎥=⎢⎥⎣⎦Q ,11112124()221010222B B --⎡⎤⎡⎤⎢⎥⎢⎥⎢⎥∴===⎢⎥⎢⎥⎢⎥⎢⎥⎢⎥⎣⎦⎢⎥⎣⎦,又1202A ⎡⎤=⎢⎥-⎣⎦,1202AB ⎡⎤∴=⎢⎥-⎣⎦151********⎡⎤⎡⎤⎢⎥⎢⎥=⎢⎥⎢⎥⎢⎥-⎣⎦⎢⎥⎣⎦. (2)解:矩阵122M x ⎡⎤=⎢⎥⎣⎦的特征多项式为12()(1)()42f x x λλλλλ--==-----, 可得2(3)40x --=,解得1x =,即为1221M ⎡⎤=⎢⎥⎣⎦.由()0f λ=可得13λ=,21λ=-, 当13λ=时,由12321x x y y ⎡⎤⎡⎤⎡⎤=⎢⎥⎢⎥⎢⎥⎣⎦⎣⎦⎣⎦,即23x y x +=,23x y y +=,即x y =,取1x =, 可得属于3的一个特征向量为11⎡⎤⎢⎥⎣⎦; 当11λ=-时,由1221x x y y ⎡⎤⎡⎤⎡⎤=-⎢⎥⎢⎥⎢⎥⎣⎦⎣⎦⎣⎦,即2x y x +=-,2x y y +=-,即x y =-,取1x =,可得属于1-的一个特征向量为11⎡⎤⎢⎥-⎣⎦.设1111P ⎡⎤=⎢⎥-⎣⎦,则111221122P -⎡⎤⎢⎥=⎢⎥⎢⎥-⎢⎥⎣⎦,13001M P P -⎡⎤=⎢⎥-⎣⎦, 101115904905904912952529524220159049111295242952522M P P -⎡⎤⎢⎥⎡⎤⎡⎤⎡⎤===⎢⎥⎢⎥⎢⎥⎢⎥-⎣⎦⎣⎦⎣⎦⎢⎥-⎢⎥⎣⎦. 【点睛】本题考查逆变换与逆矩阵,考查矩阵乘法的性质,考查了特征值与特征向量,考查了矩阵的乘方的计算的知识.19.已知矩阵4321M -⎡⎤=⎢⎥-⎣⎦,向量75α⎡⎤=⎢⎥⎣⎦u r . (1)求矩阵M 的特征值及属于每个特征值的一个特征向量; (2)求3M α.【答案】(1)特征值为11λ=,22λ=,分别对应的特征向量为11⎡⎤⎢⎥⎣⎦和32⎡⎤⎢⎥⎣⎦,(2)34933M α⎡⎤=⎢⎥⎣⎦r .【解析】 【分析】(1)根据特征值的定义列出特征多项式,令()0f λ=解方程可得特征值,再由特征值列出方程组即可解得相应的特征向量;(2)7132512α⎛⎫⎡⎤⎡⎤==+ ⎪⎢⎥⎢⎥⎝⎭⎣⎦⎣⎦r g ,即可求3M αr.【详解】(1)矩阵M 的特征多项式为()(1)(2)f λλλ=--, 令()0f λ=,可求得特征值为11λ=,22λ=,设11λ=对应的一个特征向量为x y α⎡⎤=⎢⎥⎣⎦,则由1M λαα=,得330x y -+=,可令1x =,则1y =-,所以矩阵M 的一个特征值11λ=对应的一个特征向量为11⎡⎤⎢⎥⎣⎦,同理可得矩阵M 的一个特征值22λ=对应的一个特征向量为32⎡⎤⎢⎥⎣⎦.(2)7132512α⎛⎫⎡⎤⎡⎤==+ ⎪⎢⎥⎢⎥⎝⎭⎣⎦⎣⎦r g所以331349221233M α⎡⎤⎡⎤⎡⎤=+⨯⨯=⎢⎥⎢⎥⎢⎥⎣⎦⎣⎦⎣⎦r .【点睛】本题主要考查了矩阵特征值与特征向量的计算等基础知识,意在考查学生对这些知识的理解掌握水平.20.用行列式解关于x 、y 的方程组3(31)484mx y m x my m -=⎧⎨+-=+⎩,并讨论说明解的情况.【答案】当1m =时,无穷解;当14m =-时,无解;当1m ≠且14m ≠-时,有唯一解,441x m =+,8341m y m +=-+. 【解析】 【分析】 先求出系数行列式D ,x D ,y D ,然后讨论m ,从而确定二元一次方程解的情况. 【详解】 解:3(31)484mx y m x my m -=⎧⎨+-=+⎩Q 21431(41)(1)431mm D m m m m m -∴+-==-+=+-++,4443148x D m mm -==--+,()()23853*******y m D m m m m m m ==--+++=-,①当1m ≠且14m ≠-时,0D ≠,原方程组有唯一解,即144(41)4(14)x D m x m D m m -===+++-,()()()()8318341141y D m m m y D m m m +-+===-+-++, ②当1m =时,0D =,0x D =,0y D =,原方程组有无穷解. ③当14m =-时,0D =,0x D ≠,原方程无解. 【点睛】本题主要考查了行列式,以及二元一次方程的解法,属于基础题.。
数学《矩阵与变换》知识点一、151.已知数列{}n a 满足条件1(1)(1)(1)n n n a n a +-=+-,且26a = (1)计算134,,a a a ,请猜测数列{}n a 的通项公式,并用数学归纳法证明;(2)请分别构造一个二阶和三阶行列式,使它们的值均为n a ,其中,要求所构造的三阶行列式主对角线下方的元素均为零,并用按某行或者某列展开的方法验证三阶行列式的值为n a【答案】(1)1341,15,28a a a ===,22n a n n =-;证明见解析 (2)2=1n n n a n,211101=001n n n a -,验证见解析 【解析】 【分析】(1)分别将1,2,3n =代回即可求得134,,a a a ,可猜测22n a n n =-,根据数学归纳法证明即可;(2)由(1)可构造二阶行列式为21n n n,根据要求可构造三阶行列式为211101001n n -,并展开求值进行验证即可 【详解】(1)当1n =时,()1021a =-,即11a =; 当2n =时,()()323136115a a =-=⨯-=; 当3n =时,()43241a a =-,则428a =;猜测22n a n n =-,证明:当1,2,3,4n =时,22n a n n =-成立; 假设当()5n k k =≥时,22k a k k =-成立,则()()()1111k k k a k a +-=+-,所以()()()()()2221112121123121111k k k a k k k k k k k k k k +++=--=+-=++=+-+--, 即当1n k =+时,等式也成立,综上,22n a n n =-成立(2)由(1),因为2221n a n n n n n =-=⋅-⋅,则可构造二阶行列式为21n n n;因为要求所构造的三阶行列式主对角线下方的元素均为零,可构造三阶行列式为211101001n n -,检验,()()()221110121110212001n n n n n n n n n a -=-⋅-⋅=-=-=,故该三阶行列式符合题意 【点睛】本题考查利用数学归纳法证明,考查行列式的应用,考查数列的通项公式,考查数列的项,考查运算能力,考查猜测推理的能力2.计算:12131201221122120-⎛⎫⎛⎫⎛⎫⎛⎫- ⎪ ⎪ ⎪ ⎪---⎝⎭⎝⎭⎝⎭⎝⎭【答案】91559124-⎛⎫⎪--⎝⎭【解析】 【分析】直接利用矩阵计算法则得到答案. 【详解】121312011213140222112212021122240-⎛⎫-⎛⎫⎛⎫⎛⎫⎛⎫⎛⎫⎛⎫⎛⎫-=- ⎪ ⎪ ⎪ ⎪ ⎪ ⎪ ⎪ ⎪------⎝⎭⎝⎭⎝⎭⎝⎭⎝⎭⎝⎭⎝⎭⎝⎭ 123319155213629124----⎛⎫⎛⎫⎛⎫== ⎪⎪ ⎪----⎝⎭⎝⎭⎝⎭【点睛】本题考查了矩阵的计算,意在考查学生的计算能力.3.a ,b 满足什么条件时,关于x ,y ,z 的方程组4424ax y z x by z x by z ++=⎧⎪++=⎨⎪++=⎩有唯一解.【答案】当0b ≠且1a ≠时 【解析】 【分析】计算对应行列式为()111110121aD bb a b ==-≠,计算得到答案.【详解】4424ax y z x by z x by z ++=⎧⎪++=⎨⎪++=⎩有唯一解,则()1111212110121a D b ab b b ab b a b ==++---=-≠ 所以当0b ≠且1a ≠时有唯一解 【点睛】本题考查了方程组的唯一解问题,意在考查学生的计算能力.4.解关于x ,y 的方程组93x ay aax y +=⎧⎨+=⎩.【答案】分类讨论,详见解析 【解析】 【分析】分别计算得到29D a =-,6x D a =,23y D a =-,讨论得到答案.【详解】2199a D a a ==-,639x a a D a ==,2133y a D a a ==-.当3a ≠±时,0D ≠,此时方程有唯一解:2226939a x a a y a ⎧=⎪⎪-⎨-⎪=⎪-⎩; 当3a =±时,0D =,0x D ≠,方程无解. 综上所述:3a ≠±,有唯一解;3a =±,无解. 【点睛】本题考查了通过行列式讨论方程组的解的情况,分类讨论是一个常用的方法,需要同学熟练掌握.5.解关于x ,y ,z 的方程组()1213x my z x y z m x y z ⎧-+=⎪++=⎨⎪-++=⎩.【答案】(1)2m ≠且1m ≠-时,2212112432x m y m m m z m m ⎧=⎪-⎪⎪=⎨+⎪⎪-++=⎪-++⎩;(2)2m =或1m =-时,无解. 【解析】【分析】先根据方程组中,,x y z 的系数及常数项计算计算出D ,D x ,D y ,D z 下面对m 的值进行分类讨论,并求出相应的解. 【详解】()()21D m m =--+,()1x D m =-+,()2y D m =--,2243z D m m =-++.所以(1)2m ≠且1m ≠-时,2212112432x m y m m m z m m ⎧=⎪-⎪⎪=⎨+⎪⎪-++=⎪-++⎩;(2)2m =或1m =-时,无解. 【点睛】本题考查三元一次方程组的行列式、线性方程组解得存在性,唯一性、三元一次方程的解法等基础知识,考查运算能力与转化思想,属于中档题.6.用行列式解方程组231231x y z x y az ay z +-=-⎧⎪-+=-⎨⎪-=⎩,并加以讨论.【答案】当1a ≠且52a ≠-时,原方程有唯一解1125225525a x a y a z a +⎧=-⎪+⎪⎪=⎨+⎪⎪=⎪+⎩;当52a =-时,方程组无解; 当1a =时,方程组有无穷多解,解为()11,x t y t t R z t =-⎧⎪=+∈⎨⎪=⎩【解析】 【分析】分别得到D ,x D ,y D ,z D ,然后分别得到它们等于0,得到相应的a 的值,然后进行讨论. 【详解】()()2131225101D a a a a-=-=-+--,()()1133211111x D a a a a--=--=-+-,()2131321011y D a a --=-=---,()2111235101z D a a-=--=-当1a ≠且52a ≠-时,原方程有唯一解1125225525a x a y a z a +⎧=-⎪+⎪⎪=⎨+⎪⎪=⎪+⎩;当52a =-时,原方程等价于2315232512x y z x y z y z ⎧⎪+-=-⎪⎪--=-⎨⎪⎪---=⎪⎩,方程组无解;当1a =时,原方程组等价于231231x y z x y z y z +-=-⎧⎪-+=-⎨⎪-=⎩,方程组有无穷多解,解为()11,x t y t t R z t =-⎧⎪=+∈⎨⎪=⎩【点睛】本题考查通过行列式对方程组的解进行讨论,属于中档题.7.讨论关于x ,y ,z 的方程组2112x y z x y az x ay a z ++=⎧⎪++=⎨⎪++=⎩解的情况.【答案】当1a ≠时,有唯一解2,11,0.a x a y a z -⎧=⎪-⎪=-⎨⎪=⎪⎩;当1a =时,无解.【解析】 【分析】先根据方程组中x ,y ,z 的系数及常数项计算出D ,x D ,y D ,z D ,再对a 的值进行分类讨论,并求出相应的解. 【详解】方程组可转化为:2111111121x a a a y z ⎡⎤⎡⎤⎡⎤⎢⎥⎢⎥⎢⎥=⎢⎥⎢⎥⎢⎥⎢⎥⎢⎥⎢⎥⎣⎦⎣⎦⎣⎦,2211111(1)1a a D a a ==--,21111(1)(2)12x D a a a a a ==---, 211111112y D a a a ==-+,111101112z D a ==,(1)当系数行列式||0D ≠时,方程组有唯一解,即1a ≠时,有唯一解2,11,0.a x a y a z -⎧=⎪-⎪=-⎨⎪=⎪⎩(2)当1a =时,原方程组等价于112x y z x y z x y z ++=⎧⎪++=⎨⎪++=⎩所以无解.【点睛】本题考查三元一次方程组的矩阵形式、线性方程组解的存在性、唯一性、三元一次方程的解法等基础知识,考查运算求解能力.8.关于ϕ的矩阵()cos sin sin cos A ϕϕϕϕϕ-⎛⎫=⎪⎝⎭,列向量12x X x ⎛⎫= ⎪⎝⎭.(1)已知11x =,23x =,45ϕ=︒,计算()A X ϕ,并指出该算式表示的意义; (2)把反比例函数1xy =的图象绕坐标原点逆时针旋转45︒,求得到曲线的方程;(3)已知数列12n n a =,n *∈N ,猜想并计算()()()12n A a A a A a ⋅⋅⋅⋅⋅⋅. 【答案】(1)⎛⎝,表示把向量X 逆时针旋转45︒得到的向量;(2)22122y x -=; (3)cos1sin1sin1cos1-⎛⎫⎪⎝⎭.【解析】【分析】(1)根据向量与矩阵的乘法可计算结果,由旋转变换的运算法则即可得到算式表示的意义;(2)由题意,得旋转变换矩阵cos sin4422sin cos 4422A ππππ⎛⎛⎫--⎪ ⎪==⎪⎪ ⎪ ⎪⎪⎝⎭⎝⎭,设xy =1上的任意点(),P x y '''在变换矩阵A 作用下为(,)P x y ,确定坐标之间的关系,即可求得曲线的方程;(3)分别求出n =1,n =2,n =3时矩阵相乘的结果,由此猜想算式关于n 的表达式,从而可求得所求算式的结果. 【详解】(1)()cos sin 11442233sin cos 4422A X ππϕππ⎛⎛⎫--⎪⎛⎛⎫⎛⎫ ⎪===⎪ ⎪ ⎪ ⎪ ⎪⎝⎭⎝⎭⎝ ⎪⎪⎝⎭⎝⎭, 该算式表示把向量X 逆时针旋转45︒得到的向量;(2)由题意,得旋转变换矩阵cos sin44sin cos 44A ππππ⎛⎫- ⎪⎪==⎪⎪ ⎪ ⎪⎪⎝⎭⎭, 设xy =1上的任意点(),P x y '''在变换矩阵A 的作用下为(,)P x y ,则2222x x y y ⎛- ⎛⎫⎛⎫ ⎪= ⎪ ⎪ ⎪⎝⎭⎝⎭ ⎪''⎝⎭,2222x x y y x y ⎧=-⎪⎪∴⎨⎪=+'''⎩'⎪,则222222y x x y x y x y ⎫⎫''''''-=--==⎪⎪⎪⎪⎝⎭⎝⎭, 将曲线xy =1绕坐标原点按逆时针方向旋转45︒,所得曲线的方程为22122y x -=;(3)当n =1时,()111cos sin2211sin cos 22n n nnA a ⎛⎫- ⎪=⎪ ⎪ ⎪⎝⎭;当n =2时,()()2212221111cos sin cos sin22221111sin cos sin cos 2222A a A a ⎛⎫⎛⎫-- ⎪⎪=⎪⎪ ⎪⎪ ⎪⎪⎝⎭⎝⎭2222222211111111cos cos sin sin cos sin cos sin 2222222211111111sin cos sin cos cos cos sin sin 22222222⎛⎫--- ⎪=⎪ ⎪+- ⎪⎝⎭22221111cos()sin()22221111sin()cos()2222⎛⎫+-+ ⎪= ⎪ ⎪++ ⎪⎝⎭,当n =3时,()()()22331232233111111cos sin cos sincos sin222222111111sin cos sin cos sin cos 222222A a A a A a ⎛⎫⎛⎫⎛⎫--- ⎪⎪⎪=⎪⎪⎪ ⎪⎪⎪ ⎪⎪⎪⎝⎭⎝⎭⎝⎭23232323111111cos()sin()222222111111sin()cos()222222⎛⎫++-++ ⎪= ⎪ ⎪++++ ⎪⎝⎭,由此猜想:当n =k 时,()()()221222111111cos sin cos sincos sin222222111111sin cos sin cos sin cos 222222k k k kkA a A a A a ⎛⎫⎛⎫⎛⎫--- ⎪⎪ ⎪=⎪⎪⎪ ⎪⎪ ⎪ ⎪⎪⎪⎝⎭⎝⎭⎝⎭L L 222211111111cos()sin()cos(1)sin(1)2222222211111111sin()cos()sin(1)cos(1)22222222k k k k k k k k ⎛⎫⎛⎫+++-+++--- ⎪ ⎪== ⎪ ⎪ ⎪ ⎪++++++-- ⎪ ⎪⎝⎭⎝⎭L L L L , 当k →+∞时,1112k -→, 所以()()()12cos1sin1sin1cos1n A a A a A a -⎛⎫⋅⋅⋅⋅⋅⋅= ⎪⎝⎭.【点睛】本题考查向量经矩阵变换后的向量求法,曲线的旋转变换和矩阵的乘法,关键掌握住变换的运算法则和矩阵的乘法公式,属中档题.9.已知1m >,1n >,且1000mn <,求证:lg 901lg 4m n <. 【答案】证明见解析 【解析】 【分析】由题意,求得11000mn <<,利用基本不等式,得到2lg lg 90lg lg 24m n m n +⎛⎫<<=⎪⎝⎭,再结合行列式的运算,即可求解. 【详解】由题意,实数1m >,1n >,且1000mn <,可得11000mn <<,则2lg lg 90lg lg 24m n m n +⎛⎫<<=⎪⎝⎭,又由lg 919lg ln 9lg ln 144lg 4m m n m n n=-⨯=-,所以lg 901lg 4m n <. 【点睛】本题主要考查了行列式的运算性质,以及对数的运算性质和基本不等式的应用,其中解答中熟记行列式的运算法则,以及合理应用对数的运算和基本不等式求解是解答的关键,着重考查了推理与运算能力,属于中档试题.10.用行列式方法解关于x y 、的方程组:()()1R 214ax y a x a y a -=⎧∈⎨--=⎩,并对解的情况进行讨论.【答案】1a =时无解;12a =-时无穷解;12a ≠-且1a ≠时有唯一解11211x aa y a ⎧=⎪⎪-⎨-⎪=⎪-⎩【解析】 【分析】本题先求出相关行列式D 、x D 、y D 的值,再讨论分式的分母是否为0,用公式法写出方程组的解,得到本题结论. 【详解】Q 关于x 、y 的方程组:1()2ax y a a R x ay a +=+⎧∈⎨+=⎩,()()1R 214ax y a x a y a -=⎧∈⎨--=⎩∴21||1(1)(1)1a D a a a a==-=+-,21||(12)121(1)(21)112a D a a a a a a a-==-+=-++=--+-211||(1)2x a D a a a a a a +==-=-,1||124124121x D a a a a a==-+=+-- 21||21(21)(1)12y a a D a a a a a +==--=+-,21||41(21)(21)14y a D a a a a==-=+-.(1)当12a ≠-且1a ≠时,有唯一解11211x aa y a ⎧=⎪⎪-⎨-⎪=⎪-⎩,(2)当1a =时,无解; (3)当12a =-,时无穷解. 【点睛】本题考查了用行列式法求方程组的解,本题难度不大,属于基础题.11.(1)已知矩阵1202A ⎡⎤=⎢⎥-⎣⎦,矩阵B 的逆矩阵111202B -⎡⎤-⎢⎥=⎢⎥⎣⎦,求矩阵AB . (2)已知矩阵122M x ⎡⎤=⎢⎥⎣⎦的一个特征值为3,求10M . 【答案】(1)51401⎡⎤⎢⎥⎢⎥-⎣⎦;(2)29525295242952429525⎡⎤⎢⎥⎣⎦. 【解析】 【分析】(1)依题意,利用矩阵变换求得11112124()221010222B B --⎡⎤⎡⎤⎢⎥⎢⎥⎢⎥===⎢⎥⎢⎥⎢⎥⎢⎥⎢⎥⎣⎦⎢⎥⎣⎦,再利用矩阵乘法的性质可求得答案.(2)根据特征多项式的一个零点为3,可得x 的值,即可求得矩阵M ,运用对角化矩阵,求得所求矩阵. 【详解】(1)解:111202B -⎡⎤-⎢⎥=⎢⎥⎣⎦Q ,11112124()221010222B B --⎡⎤⎡⎤⎢⎥⎢⎥⎢⎥∴===⎢⎥⎢⎥⎢⎥⎢⎥⎢⎥⎣⎦⎢⎥⎣⎦,又1202A ⎡⎤=⎢⎥-⎣⎦,1202AB ⎡⎤∴=⎢⎥-⎣⎦151********⎡⎤⎡⎤⎢⎥⎢⎥=⎢⎥⎢⎥⎢⎥-⎣⎦⎢⎥⎣⎦. (2)解:矩阵122M x ⎡⎤=⎢⎥⎣⎦的特征多项式为12()(1)()42f x x λλλλλ--==-----, 可得2(3)40x --=,解得1x =,即为1221M ⎡⎤=⎢⎥⎣⎦.由()0f λ=可得13λ=,21λ=-, 当13λ=时,由12321x x y y ⎡⎤⎡⎤⎡⎤=⎢⎥⎢⎥⎢⎥⎣⎦⎣⎦⎣⎦,即23x y x +=,23x y y +=,即x y =,取1x =, 可得属于3的一个特征向量为11⎡⎤⎢⎥⎣⎦; 当11λ=-时,由1221x x y y ⎡⎤⎡⎤⎡⎤=-⎢⎥⎢⎥⎢⎥⎣⎦⎣⎦⎣⎦,即2x y x +=-,2x y y +=-,即x y =-,取1x =,可得属于1-的一个特征向量为11⎡⎤⎢⎥-⎣⎦.设1111P ⎡⎤=⎢⎥-⎣⎦,则111221122P -⎡⎤⎢⎥=⎢⎥⎢⎥-⎢⎥⎣⎦,13001M P P -⎡⎤=⎢⎥-⎣⎦, 101115904905904912952529524220159049111295242952522M P P -⎡⎤⎢⎥⎡⎤⎡⎤⎡⎤===⎢⎥⎢⎥⎢⎥⎢⎥-⎣⎦⎣⎦⎣⎦⎢⎥-⎢⎥⎣⎦. 【点睛】本题考查逆变换与逆矩阵,考查矩阵乘法的性质,考查了特征值与特征向量,考查了矩阵的乘方的计算的知识.12.已知,,x y z 是关于的方程组000ax by cz cx ay bz bx cy az ++=⎧⎪++=⎨⎪++=⎩的解.(1)求证:()111a bc a b ca b a b c c a bcabc =++;(2)设01,,,z a b c =分别为ABC ∆三边长,试判断ABC ∆的形状,并说明理由;(3)设,,a b c 为不全相等的实数,试判断"0"a b c ++=是“222000o x y z ++>”的 条件,并证明.①充分非必要;②必要非充分;③充分且必要;④非充分非必要. 【答案】(1)见解析(2)等边,见解析(3)④,见解析 【解析】 【分析】(1)将行列式的前两列加到第三列上即可得出结论;(2)由方程组有非零解得出a bc ca b bc a =0,即111a b c a b c =0,将行列式展开化简即可得出a =b =c ;(3)利用(1),(2)的结论即可答案. 【详解】(1)证明:将行列式的前两列加到第三列上,得:a b ca b a b c ca b c a a b c b c a b c a b c ++=++=++(a +b +c )•111a b c a b c .(2)∵z 0=1,∴方程组有非零解,∴a bc ca b bca=0,由(1)可知(a +b +c )•111a b c a b c =0. ∵a 、b 、c 分别为△ABC 三边长,∴a +b +c ≠0,∴111a b ca b c =0,即a 2+b 2+c 2﹣ab ﹣bc ﹣ac =0,∴2a 2+2b 2+2c 2﹣2ab ﹣2bc ﹣2ac =0,即(a ﹣b )2+(b ﹣c )2+(a ﹣c )2=0, ∴a =b =c ,∴△ABC 是等边三角形.(3)若a +b +c =0,显然(0,0,0)是方程组的一组解,即x 02+y 02+z 02=0, ∴a +b +c =0”不是“x 02+y 02+z 02>0”的充分条件; 若x 02+y 02+z 02>0,则方程组有非零解,∴a bc ca b bc a =(a +b +c )•111a b c a b c =0.∴a +b +c =0或111a b ca b c =0. 由(2)可知a +b +c =0或a =b =c . ∴a +b +c =0”不是“x 02+y 02+z 02>0”的必要条件. 故答案为④. 【点睛】本题考查了行列式变换,齐次线性方程组的解与系数行列式的关系,属于中档题.13.用行列式解关于x 、y 的方程组3(31)484mx y m x my m -=⎧⎨+-=+⎩,并讨论说明解的情况.【答案】当1m =时,无穷解;当14m =-时,无解;当1m ≠且14m ≠-时,有唯一解,441x m =+,8341m y m +=-+. 【解析】 【分析】 先求出系数行列式D ,x D ,y D ,然后讨论m ,从而确定二元一次方程解的情况. 【详解】 解:3(31)484mx y m x my m -=⎧⎨+-=+⎩Q 21431(41)(1)431mm D m m m m m -∴+-==-+=+-++,4443148x D m mm -==--+,()()23853*******y m D m m m m m m ==--+++=-,①当1m ≠且14m ≠-时,0D ≠,原方程组有唯一解,即144(41)4(14)x D m x m D m m -===+++-,()()()()8318341141y D m m m y D m m m +-+===-+-++, ②当1m =时,0D =,0x D =,0y D =,原方程组有无穷解. ③当14m =-时,0D =,0x D ≠,原方程无解. 【点睛】本题主要考查了行列式,以及二元一次方程的解法,属于基础题.14.用行列式解关于x 、y 的方程组:1()2ax y a a R x ay a+=+⎧∈⎨+=⎩,并对解的情况进行讨论. 【答案】见解析 【解析】 【分析】先求出相关的行列式,,x y D D D 的值,再讨论分式的分母是否为0,用公式法写出方程组的解,即可得到结论. 【详解】由题意,关于x 、y 的方程组:1()2ax y a a R x ay a +=+⎧∈⎨+=⎩,所以221111,(1),12x a a D a D a a a a a aa+==-==-=-2121(21)(1)12y a a D a a a a a+==--=+-,(1)当1a ≠±时,0D ≠,方程组有唯一解,1211a x a a y a ⎧=⎪⎪+⎨+⎪=⎪+⎩;(2)当1a =-时,0,0x D D =≠,方程组无解; (3)当1a =时,0x y D D D ===,方程组有无穷多解,,()2x tt R y t =⎧∈⎨=-⎩.【点睛】本题主要考查了用行列式法求方程组的解,难度不大,属于基础题.15.给定矩阵,;求A 4B .【答案】【解析】试题分析:由题意已知矩阵A=,将其代入公式|λE ﹣A|=0,即可求出特征值λ1,λ2,然后解方程求出对应特征向量α1,α2,将矩阵B 用征向量α1,α2,表示出来,然后再代入A 4B 进行计算即可.解:设A 的一个特征值为λ,由题知=0(λ﹣2)(λ﹣3)=0 λ1=2,λ2=3 当λ1=2时,由=2,得A 的属于特征值2的特征向量α1=当λ1=3时,由=3,得A 的属于特征值3的特征向量α2=由于B==2+=2α1+α2故A 4B=A 4(2α1+α2)=2(24α1)+(34α2)=32α1+81α2 =+=点评:此部分是高中新增的内容,但不是很难,套用公式即可解答,主要考查学生的计算能力,属于中档题.16.已知,R a b ∈,矩阵 a b c d A ⎡=⎤⎢⎥⎣⎦,若矩阵A 属于特征值5的一个特征向量为11⎡⎤⎢⎥⎣⎦,点()2,1P -在A 对应的变换作用下得到点()1,2P '-,求矩阵A .【答案】2314A ⎡⎤=⎢⎥⎣⎦ 【解析】 【分析】根据矩阵的特征值和特征向量的定义建立等量关系,列方程组求解即可. 【详解】 由题意可知,1155115a b c d ⎡⎤⎡⎤⎡⎤⎡⎤==⎢⎥⎢⎥⎢⎥⎢⎥⎣⎦⎣⎦⎣⎦⎣⎦,且2112a b c d --⎡⎤⎡⎤⎡⎤=⎢⎥⎢⎥⎢⎥⎣⎦⎣⎦⎣⎦, 所以552122a b c d a b c d +=⎧⎪+=⎪⎨-+=-⎪⎪-+=⎩,解得2314a b c d =⎧⎪=⎪⎨=⎪⎪=⎩,即矩阵2314A ⎡⎤=⎢⎥⎣⎦. 【点睛】此题考查矩阵特征值和特征向量的辨析理解,根据题中所给条件建立等量关系解方程组得解.17.设矩阵12M x y ⎡⎤=⎢⎥⎣⎦,2411N ⎡⎤=⎢⎥--⎣⎦,若02513MN ⎡⎤=⎢⎥⎣⎦,求矩阵M 的逆矩阵1M -.【答案】132554155M -⎡⎤-⎢⎥=⎢⎥⎢⎥-⎢⎥⎣⎦【解析】 【分析】根据矩阵的乘法运算求出MN ,然后由02513MN ⎡⎤=⎢⎥⎣⎦列出方程组,即可求出4,3x y ==,从而确定矩阵M ,再利用求逆矩阵的公式,即可求出矩阵M 的逆矩阵1M -.【详解】解:因为02513MN ⎡⎤=⎢⎥⎣⎦ ,所以25,413.x y x y -=⎧⎨-=⎩所以4,3x y ==;矩阵1243M ⎡⎤=⎢⎥⎣⎦的逆矩阵132554155M -⎡⎤-⎢⎥=⎢⎥⎢⎥-⎢⎥⎣⎦. 【点睛】本题主要考查矩阵的乘法运算及逆矩阵的求解.18.已知二阶矩阵,矩阵属于特征值的一个特征向量为,属于特征值的一个特征向量为.求矩阵.【答案】【解析】 【分析】运用矩阵定义列出方程组求解矩阵 【详解】由特征值、特征向量定义可知,,即,得同理可得解得,,,.因此矩阵【点睛】本题考查了由矩阵特征值和特征向量求矩阵,只需运用定义得出方程组即可求出结果,较为简单19.已知a ,b R ∈,若M =13a b -⎡⎤⎢⎥⎣⎦所对应的变换T M 把直线2x-y=3变换成自身,试求实数a ,b .【答案】【解析】 【分析】 【详解】 设则即此直线即为则..20.(1)用行列式判断关于x y 、的二元一次方程组2373411x y x y -=⎧⎨-=⎩解的情况;(2)用行列试解关于x y 、的二元一次方程组12mx y m x my m +=+⎧⎨+=⎩,并对解的情况进行讨论.【答案】(1)51x y =⎧⎨=⎩;(2)当1m ≠-,1m ≠时,0D ≠,方程组解为1211m x m m y m ⎧=⎪⎪+⎨+⎪=⎪+⎩, 当1m =-时,0D =,0x D ≠,方程组无解,当1m =时,0x yD D D ===,方程组有无穷多组解,22x y x y +=⎧⎨+=⎩ ,令()x t t R =∈ ,原方程组的解为()2x tt R y t =⎧∈⎨=-⎩.【解析】 【分析】(1) 先根据方程组中x ,y 的系数及常数项计算出D ,x D ,y D ,即可求解方程组的解.(2) 先根据方程组中x ,y 的系数及常数项计算出D ,x D ,y D 下面对m 的值进行分类讨论:①当1m ≠-,1m ≠时,②当1m =-时,③当1m =时,分别求解方程组的解即可. 【详解】(1)列出行列式系数 112a =,123a =-,17b =,213a =,224a =,211b =,23D =34--891=-+=,711x D = 34--=28335-+=,23y D =711=22211-= ,5xD x D ∴== ,1y D y D== , 所以二元一次方程组2373411x y x y -=⎧⎨-=⎩的解为51x y =⎧⎨=⎩ . (2)1m D =1m=21m - =()()11m m +- , 12x m D m+=1m=2m m - =()1m m - ,1y m D =12m m+ =()()221211m m m m --=+- ,当1m ≠-,1m ≠时,0D ≠,方程组有唯一解,解为1211m x m m y m ⎧=⎪⎪+⎨+⎪=⎪+⎩, 当1m =-时,0D =,0x D ≠,方程组无解,当1m =时,0x y D D D ===,方程组有无穷多组解,22x y x y +=⎧⎨+=⎩ ,令()x t t R =∈ ,原方程组的解为()2x tt R y t=⎧∈⎨=-⎩ .【点睛】本题主要考查二元一次方程组的矩阵形式、线性方程组解的存在性,唯一性、二元方程的解法等基础知识,考查运算求解能力与转化思想,属于中档题.。
【高中数学】数学《矩阵与变换》期末复习知识要点一、151.已知函数()2cos 2sin 3sin cos 3x f x x πααπαα⎛⎫+- ⎪⎝⎭=⎛⎫+- ⎪⎝⎭.(1)求()f x 的单调增区间. (2)函数()f x 的图象F 按向量,13a π⎛⎫=-⎪⎝⎭v 平移到'F ,'F 的解析式是()'y f x =.求()'f x 的零点.【答案】(1)42,233k k ππππ⎡⎤--⎢⎥⎣⎦,k Z ∈;(2)23x k ππ=±,k Z ∈. 【解析】 【分析】(1)由题意根据二阶行列式的运算法则及利用两角和差的三角公式,化简函数的解析式,再利用正弦函数的单调性,得出结论.(2)由题意利用sin()y A x ωϕ=+的图象变换规律求得()2cos 1f x x '=-,再根据函数零点的定义和求法求得()f x '的零点. 【详解】解:(1)()2cos 2sin 3sin cos 3x f x x πααπαα⎛⎫+- ⎪⎝⎭=⎛⎫+- ⎪⎝⎭Q()2cos cos 2sin sin 33f x x x ππαααα⎛⎫⎛⎫=+--+- ⎪ ⎪⎝⎭⎝⎭∴2cos 3x π⎛⎫=+ ⎪⎝⎭,令223k x k ππππ-≤+≤,k Z ∈,求得42233k x k ππππ-≤≤-,k Z ∈, 则()f x 的单调增区间42,233k k ππππ⎡⎤--⎢⎥⎣⎦,k Z ∈. (2)()2cos 3f x x π⎛⎫=+ ⎪⎝⎭Q 按向量,13a π⎛⎫=- ⎪⎝⎭r 平移到'F'F ∴的解析式是()'2cos 1y f x x ==-,令2cos 10x -=,解得23x k ππ=±,k Z ∈.所以()'f x 的零点为23x k ππ=±,k Z ∈.【点睛】本题主要考查两角和差的三角公式,正弦函数的单调性,sin()y A x ωϕ=+的图象变换规律,函数零点的定义和求法,属于基础题.2.解方程:23649x xx=.【答案】1x = 【解析】 【分析】根据行列式的运算性质,求得29346xx x ⨯-⨯=,转化为322()3()123xx⨯-⨯=,令3()2x t =,得到方程1231t t ⨯-⨯=,进而即可求解【详解】根据行列式的运算性质,可得23293449xxxx=⨯-⨯,即29346x x x ⨯-⨯=,方程两边同除6x ,可得322()3()123xx⨯-⨯=,令3()2xt =,且0t >,则21()3xt =,可得1231t t⨯-⨯=,解32t =或1t =-(舍去), 即33()22x=,解得1x =. 故答案为:1x =. 【点睛】本题主要考查了行列式的运算性质,以及指数幂的运算和一元二次方程的应用,其中解答中熟记行列式的运算性质,结合指数幂的运算和一元二次方程的运算是解答的关键,着重考查了推理与运算能,属于基础题.3.解方程组()32021mx y x m y m+-=⎧⎨+-=⎩,并求使得x y >的实数m 的取值范围.【答案】()1,3 【解析】 【分析】计算出行列式D 、x D 、y D ,对D 分0D ≠和0D =两种情况分类讨论,求出方程组的解,再由x y >列出关于m 的不等式,解出即可. 【详解】由题意可得()()2362321m D m m m m m ==--=+--,2321x D m m m ==---,()()224222y m D m m m m==-=-+.①当0D ≠时,即当260m m --≠时,即当2m ≠-且3m ≠时,1323x y D x D m D m y D m ⎧==⎪⎪-⎨-⎪==⎪-⎩.x y >Q ,则()()()2222133m m m ->--,即()22130m m ⎧-<⎪⎨-≠⎪⎩,解得13m <<; ②当2m =-时,方程组为2320232x y x y -+-=⎧⎨-=-⎩,则有232x y -=,该方程组有无穷多解,x y >不能总成立;③当3m =时,方程组为33202230x y x y +-=⎧⎨+-=⎩,即203302x y x y ⎧+-=⎪⎪⎨⎪+-=⎪⎩,该方程组无解.综上所述,实数m 的取值范围是()1,3. 【点睛】本题考查二元一次方程组的求解,同时也考查了分式不等式的求解,在解题时要注意对系数行列式是否为零进行分类讨论,考查运算求解能力,属于中等题.4.讨论关于x ,y ,z 的方程组2112x y z x y az x ay a z ++=⎧⎪++=⎨⎪++=⎩解的情况.【答案】当1a ≠时,有唯一解2,11,0.a x a y a z -⎧=⎪-⎪=-⎨⎪=⎪⎩;当1a =时,无解.【解析】 【分析】先根据方程组中x ,y ,z 的系数及常数项计算出D ,x D ,y D ,z D ,再对a 的值进行分类讨论,并求出相应的解. 【详解】方程组可转化为:2111111121x a a a y z ⎡⎤⎡⎤⎡⎤⎢⎥⎢⎥⎢⎥=⎢⎥⎢⎥⎢⎥⎢⎥⎢⎥⎢⎥⎣⎦⎣⎦⎣⎦,2211111(1)1a a D a a ==--,21111(1)(2)12x D a a a a a ==---, 211111112y D a a a ==-+,111101112z D a ==,(1)当系数行列式||0D ≠时,方程组有唯一解,即1a ≠时,有唯一解2,11,0.a x a y a z -⎧=⎪-⎪=-⎨⎪=⎪⎩(2)当1a =时,原方程组等价于112x y z x y z x y z ++=⎧⎪++=⎨⎪++=⎩所以无解.【点睛】本题考查三元一次方程组的矩阵形式、线性方程组解的存在性、唯一性、三元一次方程的解法等基础知识,考查运算求解能力.5.利用行列式讨论关于,x y 的方程组1323ax y ax ay a +=-⎧⎨-=+⎩解的情况.【答案】①当03a a ≠≠-且时,方程组有唯一解12x a y ⎧=⎪⎨⎪=-⎩;②当0a =时,方程组无解;③当3a =-时,方程组有无穷多解,可表示为()31x tt R y t =⎧∈⎨=-⎩.【解析】 【分析】由题,可得()()()3,3,23x y D a a D a D a a =-+=-+=+,分别讨论方程组有唯一解,无解,无穷多解的情况即可 【详解】()21333a D a a a a a a==--=-+-,()()11233323x D a a a a a a -==-+=--=-++-, ()()212332623323y aD a a a a a a a a a -==++=+=++,①当03a a ≠≠-且时,方程有唯一解,()()()()3132323x y a D x D a a a D a a y D a a ⎧-+===⎪-+⎪⎨+⎪===-⎪-+⎩,即12x a y ⎧=⎪⎨⎪=-⎩;②当0a =时,0D =,30x D =-≠,方程组无解;③当3a =-时,0x y D D D ===,方程组有无穷多解,设()x t t R =∈,则原方程组的解可表示为()31x tt R y t =⎧∈⎨=-⎩.【点睛】本题考查利用行列式解方程组,考查运算能力,考查分类讨论思想6.利用行列式解关于x 、y 的二元一次方程组42mx y m x my m +=+⎧⎨+=⎩.【答案】见解析 【解析】【分析】计算出系数行列式D ,以及x D 、y D ,然后分0D ≠和0D =两种情况讨论,在0D ≠时,直接利用行列式求出方程组的解,在0D =时,得出2m =±,结合行列式讨论原方程组解的情况. 【详解】 系数行列式为2441m D m m==-,()242x m D m m mm+==-,()()222211y m m D m m m m m+==--=-+.①当240D m =-≠时,即当2m ≠±时,原方程组有唯一解()()()2224221142x y m m D m x D m m D m m m y D m m ⎧-===⎪⎪-+⎨-++⎪===⎪-+⎩;②当240D m =-=时,2m =±.(i )当2m =-时,0D =,8x D =,4y D =,原方程组无解;(ii )当2m =时,0x yD D D ===,原方程为24422x y x y +=⎧⎨+=⎩,可化为22x y +=, 该方程组有无数组解,即12x R x y ∈⎧⎪⎨=-⎪⎩.【点睛】本题考查利用行列式求二元一次方程组的解,解题时要对系数行列式是否为零进行分类讨论,考查运算求解能力与分类讨论思想的应用,属于中等题.7.(1)用行列式判断关于x y 、的二元一次方程组2373411x y x y -=⎧⎨-=⎩解的情况;(2)用行列试解关于x y 、的二元一次方程组12mx y m x my m+=+⎧⎨+=⎩,并对解的情况进行讨论.【答案】(1)51x y =⎧⎨=⎩;(2)当1m ≠-,1m ≠时,0D ≠,方程组解为1211m x m m y m ⎧=⎪⎪+⎨+⎪=⎪+⎩, 当1m =-时,0D =,0x D ≠,方程组无解,当1m =时,0x y D D D ===,方程组有无穷多组解,22x y x y +=⎧⎨+=⎩,令()x t t R =∈ ,原方程组的解为()2x tt R y t =⎧∈⎨=-⎩.【解析】 【分析】(1) 先根据方程组中x ,y 的系数及常数项计算出D ,x D ,y D ,即可求解方程组的解. (2) 先根据方程组中x ,y 的系数及常数项计算出D ,x D ,y D 下面对m 的值进行分类讨论:①当1m ≠-,1m ≠时,②当1m =-时,③当1m =时,分别求解方程组的解即可. 【详解】(1)列出行列式系数 112a =,123a =-,17b =,213a =,224a =,211b =,23D =34--891=-+=,711x D = 34--=28335-+=,23y D =711=22211-= ,5xD x D ∴== ,1y D y D== , 所以二元一次方程组2373411x y x y -=⎧⎨-=⎩的解为51x y =⎧⎨=⎩ . (2)1m D =1m=21m - =()()11m m +- , 12x m D m+=1m=2m m - =()1m m - ,1y m D =12m m+ =()()221211m m m m --=+- ,当1m ≠-,1m ≠时,0D ≠,方程组有唯一解,解为1211m x m m y m ⎧=⎪⎪+⎨+⎪=⎪+⎩, 当1m =-时,0D =,0x D ≠,方程组无解,当1m =时,0x y D D D ===,方程组有无穷多组解,22x y x y +=⎧⎨+=⎩ ,令()x t t R =∈ ,原方程组的解为()2x tt R y t=⎧∈⎨=-⎩ .【点睛】本题主要考查二元一次方程组的矩阵形式、线性方程组解的存在性,唯一性、二元方程的解法等基础知识,考查运算求解能力与转化思想,属于中档题.8.设点(,)x y 在矩阵M 对应变换作用下得到点(2,)x x y +. (1)求矩阵M ;(2)若直线:25l x y -=在矩阵M 对应变换作用下得到直线l ',求直线l '的方程.【答案】(1)2011⎡⎤⎢⎥⎣⎦;(2)3x -4y -10=0. 【解析】 【分析】(1)设出矩阵M ,利用矩阵变换得到关于x 、y 的方程组,利用等式恒成立求出矩阵M ;(2)设点(,)x y 在直线l 上,利用矩阵变换得到点(,)x y '',代入直线l 中,求得直线l '的方程. 【详解】解:(1)设a b M c d ⎡⎤=⎢⎥⎣⎦,由题意,2a b x x M c d y x y ⎡⎤⎡⎤⎡⎤==⎢⎥⎢⎥⎢⎥+⎣⎦⎣⎦⎣⎦g ,所以2ax by x +=,且cx dy x y +=+恒成立; 所以2a =,0b =,1c =,1d =;所以矩阵2011M ⎡⎤=⎢⎥⎣⎦;(2)设点(,)x y 在直线l 上,在矩阵M 对应变换作用下得到点(,)x y ''在直线l '上, 则2x x '=,y x y '=+,所以12x x =',12y y x ='-'; 代入直线:25l x y -=中,可得34100x y '-'-=; 所以直线l '的方程为34100x y --=. 【点睛】本题考查了矩阵变换的计算问题,也考查了运算求解能力,是基础题.9.已知1m >,1n >,且1000mn <,求证:lg 901lg 4m n <. 【答案】证明见解析 【解析】 【分析】由题意,求得11000mn <<,利用基本不等式,得到2lg lg 90lg lg 24m n m n +⎛⎫<<=⎪⎝⎭,再结合行列式的运算,即可求解. 【详解】由题意,实数1m >,1n >,且1000mn <,可得11000mn <<,则2lg lg 90lg lg 24m n m n +⎛⎫<<=⎪⎝⎭,又由lg 919lg ln 9lg ln 144lg 4m m n m n n=-⨯=-,所以lg 901lg 4m n <. 【点睛】本题主要考查了行列式的运算性质,以及对数的运算性质和基本不等式的应用,其中解答中熟记行列式的运算法则,以及合理应用对数的运算和基本不等式求解是解答的关键,着重考查了推理与运算能力,属于中档试题.10.已知函数2sin ()1x xf x x -=.(1)当0,2x π⎡⎤∈⎢⎥⎣⎦时,求()f x 的值域;(2)已知ABC V 的内角A ,B ,C 的对边分别为a ,b ,c ,若2A f ⎛⎫=⎪⎝⎭4a =,5b c +=,求ABC V 的面积.【答案】(1)1⎡⎤+⎢⎥⎣⎦;(2 【解析】 【分析】(1)由题意利用三角恒等变换化简函数的解析式,再利用正弦函数的定义域和值域求得当0,2x π⎡⎤∈⎢⎥⎣⎦时,求函数()f x 的值域. (2)由条件求得A ,利用余弦定理求得bc 的值,可得△ABC 的面积. 【详解】 解:(1)21()sin cos cos 2)sin 2sin 223f x x x x x x x π⎛⎫=+=++=+ ⎪⎝⎭Q , 又02x π≤≤,得42333x πππ≤+≤,所以sin 21,0sin 2133x x ππ⎛⎫⎛⎫≤+≤≤+≤ ⎪ ⎪⎝⎭⎝⎭,即函数()f x 在0,2π⎡⎤⎢⎥⎣⎦上的值域为0,12⎡⎤+⎢⎥⎣⎦;(2)∵2A f ⎛⎫=⎪⎝⎭,sin 3A π⎛⎫∴+=⎪⎝⎭, 由(0,)A π∈,知4333A πππ<+<,解得:233A ππ+=,所以3A π=. 由余弦定理知:2222cos a b c bc A =+-,即2216b c bc =+-,216( c)3b bc ∴=+-.因为5b c +=,所以3bc =,1sin 2ABC S bc A ∆∴==【点睛】本题主要考查三角恒等变换,正弦函数的周期性、正弦函数的定义域和值域,余弦定理的应用,属于中档题.11.已知矩阵120A x -⎡⎤=⎢⎥⎣⎦,5723B ⎡⎤=⎢⎥⎣⎦,B 的逆矩阵1B -满足17177AB y --⎡⎤=⎢⎥-⎣⎦. (1)求实数x ,y 的值;(2)求矩阵A 的特征值和特征向量.【答案】(1)1,3x y ==;(2)特征值为2-和1,分别对应一个特征向量为21-⎡⎤⎢⎥⎣⎦,11⎡⎤⎢⎥⎣⎦. 【解析】 【分析】(1)计算()1AB B -,可得12514721y y -⎡⎤⎢⎥--⎣⎦,根据()1A AB B -=,可得结果.(2)计算矩阵A 的特征多项式()121f λλλ+-=-,可得2λ=-或1λ=,然后根据Ax x λ=r r,可得结果.【详解】 (1)因为17177ABy --⎡⎤=⎢⎥-⎣⎦,5723B ⎡⎤=⎢⎥⎣⎦所以()17175712723514721ABB y y y ---⎡⎤⎡⎤⎡⎤==⎢⎥⎢⎥⎢⎥---⎣⎦⎣⎦⎣⎦由()1A ABB -=,所以12120514721x y y --⎡⎤⎡⎤=⎢⎥⎢⎥--⎣⎦⎣⎦所以514172103y x x y y -==⎧⎧⇒⎨⎨-==⎩⎩(2)矩阵A 的特征多项式为:()()()()1212211f λλλλλλλ+-==+-=+--令()0f λ=,解得2λ=-或1λ= 所以矩阵A 的特征值为2-和1. ①当2λ=-时,12222102x x x y xy y x y--+=-⎡⎤⎡⎤⎡⎤⎧=-⇒⎨⎢⎥⎢⎥⎢⎥=-⎣⎦⎣⎦⎣⎦⎩ 令1y =,则2x =-,所以矩阵M 的一个特征向量为21-⎡⎤⎢⎥⎣⎦. ②当1λ=时,12210x x x y x y y x y--+=⎡⎤⎡⎤⎡⎤⎧=⇒⎨⎢⎥⎢⎥⎢⎥=⎣⎦⎣⎦⎣⎦⎩ 令1y =,则1x =所以矩阵M 的一个特征向量为11⎡⎤⎢⎥⎣⎦.因此,矩阵A 的特征值为2-和1, 分别对应一个特征向量为21-⎡⎤⎢⎥⎣⎦,11⎡⎤⎢⎥⎣⎦. 【点睛】本题考查矩阵的应用,第(1)问中,关键在于()1A ABB -=,第(2)问中,关键在于()1201f λλλ+-==-,考验分析能力以及计算能力,属中档题.12.已知函数cos 2()sin 2m x f x nx=的图象过点(12π和点2(,2)3π-. (1)求函数()f x 的最大值与最小值;(2)将函数()y f x =的图象向左平移(0)ϕϕπ<<个单位后,得到函数()y g x =的图象;已知点(0,5)P ,若函数()y g x =的图象上存在点Q ,使得||3PQ =,求函数()y g x =图象的对称中心.【答案】(1)()f x 的最大值为2,最小值为2-;(2)(,0)()24k k Z ππ+∈. 【解析】 【分析】(1)由行列式运算求出()f x ,由函数图象过两点,求出,m n ,得函数解析式,化函数式为一个角的一个三角函数式,可求得最值;(2)由图象变换写出()g x 表达式,它的最大值是2,因此要满足条件,只有(0,2)Q 在()g x 图象上,由此可求得ϕ,结合余弦函数的性质可求得对称中心.【详解】(1)易知()sin 2cos 2f x m x n x =-,则由条件,得sin cos 6644sin cos 233m n m n ππππ⎧-=⎪⎪⎨⎪-=-⎪⎩,解得 1.m n ==-故()2cos22sin(2)6f x x x x π=+=+.故函数()f x 的最大值为2,最小值为 2.-(2)由(1)可知: ()()2sin(22)6g x f x x πϕϕ=+=++.于是,当且仅当(0,2)Q 在()y g x =的图象上时满足条件.(0)2sin(2)26g πϕ∴=+=. 由0ϕπ<<,得.6πϕ=故()2sin(2)2cos 22g x x x π=+=. 由22x k =+ππ,得().24k x k Z ππ=+∈ 于是,函数()y g x =图象的对称中心为:(,0)()24k k Z ππ+∈. 【点睛】本题考查行列式计算,考查两角和的正弦公式,图象平移变换,考查三角函数的性质,如最值、对称性等等.本题主要是考查知识点较多,但不难,本题属于中档题.13.已知矩阵2101M ⎡⎤=⎢⎥⎣⎦(1)求矩阵M 的特征值及特征向量;(2)若21α⎡⎤=⎢⎥-⎣⎦r,求3M αv.【答案】(1)特征值为2;对应的特征向量为210α⎡⎤=⎢⎥⎣⎦u u r(2)91⎡⎤⎢⎥-⎣⎦【解析】 【分析】(1)先根据特征值得定义列出特征多项式,令()0f λ=解方程可得特征值,再由特征值列出方程组即可解得相应的特征向量;(2)由12ααα=+u u r u u r r可得33312M M M ααα=+u u r u u r r ,求解即可. 【详解】(1)矩阵M 的特征多项式为21()01f λλλ--=-(2)(1)λλ=--,令()0f λ=,得矩阵M 的特征值为1或2, 当1λ=,时由二元一次方程0000x y x y --=⎧⎨+=⎩.得0x y +=,令1x =,则1y =-,所以特征值1λ=对应的特征向量为111α⎡-⎤=⎢⎥⎣⎦;当2λ=时,由二元一次方程0000x y x y -=⎧⎨+=⎩. 得0y =,令1x =,所以特征值2λ=对应的特征向量为210α⎡⎤=⎢⎥⎣⎦u u r;(2)1221ααα⎡⎤==+⎢⎥-⎣⎦u ur u u r rQ ,33312M M M ααα∴=+u u r u u r r 331212αα=+u u r u u r 311210⎡⎤⎡⎤=+⎢⎥⎢⎥-⎣⎦⎣⎦91⎡⎤=⎢⎥-⎣⎦.【点睛】本题考查矩阵特征值与特征向量的计算,矩阵的乘法运算,属于基础题.14.关于x 的不等式201x a x+<的解集为()1,b -.()1求实数a ,b 的值;()2若1z a bi =+,2z cos isin αα=+,且12z z 为纯虚数,求tan α的值.【答案】(1)1a =-,2b =(2)12- 【解析】 【分析】(1)由题意可得:1-,b 是方程220x ax +-=的两个实数根,利用根与系数的关系即可得出答案;(2)利用(1)的结果得()()1222z z cos sin cos sin i αααα=--+-为纯虚数,利用纯虚数的定义即可得出. 【详解】 解:(1)不等式201x a x+<即()20x x a +-<的解集为()1,b -.1∴-,b 是方程220x ax +-=的两个实数根,∴由1b a -+=-,2b -=-,解得1a =-,2b =. (2)由(1)知1,2a b =-=,()()()()121222z z i cos isin cos sin cos sin i αααααα∴=-++=--+-为纯虚数,20cos sin αα∴--=,20cos sin αα-≠,解得12tan α=-.【点睛】本题考查了行列式,复数的运算法则、纯虚数的定义、一元二次方程的根与系数的关系、一元二次不等式的解法,考查了推理能力与计算能力,属于中档题.15.已知,R a b ∈,矩阵 a b c d A ⎡=⎤⎢⎥⎣⎦,若矩阵A 属于特征值5的一个特征向量为11⎡⎤⎢⎥⎣⎦,点()2,1P -在A 对应的变换作用下得到点()1,2P '-,求矩阵A .【答案】2314A ⎡⎤=⎢⎥⎣⎦ 【解析】 【分析】根据矩阵的特征值和特征向量的定义建立等量关系,列方程组求解即可. 【详解】由题意可知,1155115a b c d ⎡⎤⎡⎤⎡⎤⎡⎤==⎢⎥⎢⎥⎢⎥⎢⎥⎣⎦⎣⎦⎣⎦⎣⎦,且2112a b c d --⎡⎤⎡⎤⎡⎤=⎢⎥⎢⎥⎢⎥⎣⎦⎣⎦⎣⎦, 所以552122a b c d a b c d +=⎧⎪+=⎪⎨-+=-⎪⎪-+=⎩,解得2314a b c d =⎧⎪=⎪⎨=⎪⎪=⎩,即矩阵2314A ⎡⎤=⎢⎥⎣⎦. 【点睛】此题考查矩阵特征值和特征向量的辨析理解,根据题中所给条件建立等量关系解方程组得解.16.解关于x 、y 的方程组(1)2024160x m y m mx y +++-=⎧⎨++=⎩,并对解的情况进行讨论.【答案】答案见解析; 【解析】【分析】将原方程组写成矩阵形式为Ax b =,其中A 为22⨯方阵,x 为2个变量构成列向量,b 为2个常数项构成列向量. 而当它的系数矩阵可逆,或者说对应的行列式D 不等于0的时候,它有唯一解.并不是说有解. 【详解】 解:Q (1)2024160x m y m mx y +++-=⎧⎨++=⎩化成矩阵形式Ax b =则1124m A m +⎛⎫= ⎪⎝⎭,216m b -⎛⎫= ⎪-⎝⎭()()()24212242111242m m D m m m m m m ∴==-+=+=-++---,()()()42161122116422412x D m m m m m m ==-++-=-+=++,()()()162222412216y D m mm m m m ==----+-=-当系数矩阵D 非奇异时,或者说行列式24220D m m =--≠, 即1m ≠且2m ≠-时,方程组有唯一的解, 61x D x D m ==-,41y D m y D m-==-. 当系数矩阵D 奇异时,或者说行列式24220D m m =--=, 即1m =或2m =-时,方程组有无数个解或无解.当2m =-时,原方程为4044160x y x y --=⎧⎨-++=⎩无解,当1m =时,原方程组为21024160x y x y +-=⎧⎨++=⎩,无解.【点睛】本题主要考查克莱姆法则,克莱姆法则不仅仅适用于实数域,它在任何域上面都可以成立,属于中档题.17.[选修4-2:矩阵与变换]已知矩阵A=0110⎡⎤⎢⎥⎣⎦ ,B=1002⎡⎤⎢⎥⎣⎦. 求AB;若曲线C 1;22y =182x + 在矩阵AB 对应的变换作用下得到另一曲线C 2 ,求C 2的方程.【答案】(1)0210⎡⎤⎢⎥⎣⎦(2)228x y += 【解析】试题分析:(1)直接由矩阵乘法可得;(2)先根据矩阵乘法可得坐标之间关系,代入原曲线方程可得曲线2C 的方程.试题解析:解:(1)因为A =0110⎡⎤⎢⎥⎣⎦, B =1002⎡⎤⎢⎥⎣⎦, 所以AB =01101002⎡⎤⎡⎤⎢⎥⎢⎥⎣⎦⎣⎦ 0110⎡⎤⎢⎥⎣⎦ 1002⎡⎤⎢⎥⎣⎦=0210⎡⎤⎢⎥⎣⎦ 0210⎡⎤⎢⎥⎣⎦. (2)设()00,Q x y 为曲线1C 上的任意一点, 它在矩阵AB 对应的变换作用下变为(),P x y ,则000210x x y y ⎡⎤⎡⎤⎡⎤=⎢⎥⎢⎥⎢⎥⎣⎦⎣⎦⎣⎦,即002y x x y =⎧⎨=⎩,所以002x yx y =⎧⎪⎨=⎪⎩. 因为()00,Q x y 在曲线1C 上,所以2200188x y +=,从而22188x y +=,即228x y +=.因此曲线1C 在矩阵AB 对应的变换作用下得到曲线2C :228x y +=. 点睛:(1)矩阵乘法注意对应相乘:a b m p am bn ap bq c d n q cm dn cp dq ++⎡⎤⎡⎤⎡⎤=⎢⎥⎢⎥⎢⎥++⎣⎦⎣⎦⎣⎦; (2)矩阵变换:a b x x c d y y ⎡⎤⎡⎤⎡⎤=⎢⎥⎢⎥⎢⎥⎣⎦⎣⎣'⎦⎦'表示点(,)x y 在矩阵a b c d ⎡⎤⎢⎥⎣⎦变换下变成点(,)x y ''.18.设矩阵12M x y ⎡⎤=⎢⎥⎣⎦,2411N ⎡⎤=⎢⎥--⎣⎦,若02513MN ⎡⎤=⎢⎥⎣⎦,求矩阵M 的逆矩阵1M -.【答案】132554155M -⎡⎤-⎢⎥=⎢⎥⎢⎥-⎢⎥⎣⎦【解析】 【分析】根据矩阵的乘法运算求出MN ,然后由02513MN ⎡⎤=⎢⎥⎣⎦列出方程组,即可求出4,3x y ==,从而确定矩阵M ,再利用求逆矩阵的公式,即可求出矩阵M 的逆矩阵1M -.【详解】解:因为02513MN ⎡⎤=⎢⎥⎣⎦ ,所以25,413.x y x y -=⎧⎨-=⎩所以4,3x y ==;矩阵1243M ⎡⎤=⎢⎥⎣⎦的逆矩阵132554155M -⎡⎤-⎢⎥=⎢⎥⎢⎥-⎢⎥⎣⎦. 【点睛】本题主要考查矩阵的乘法运算及逆矩阵的求解.19.已知矩阵14a b ⎡⎤=⎢⎥-⎣⎦A ,A 的两个特征值为12λ=,2λ=3. (1)求a ,b 的值;(2)求属于2λ的一个特征向量α. 【答案】(1)1a =,2b =;(2)11α⎡⎤=⎢⎥⎣⎦u r. 【解析】 【分析】(1)利用特征多项式,结合韦达定理,即可求a ,b 的值; (2)利用求特征向量的一般步骤,可求出其对应的一个特征向量. 【详解】(1)令2()()(4)(4)4014a bf a b a a b λλλλλλλ--==--+=-+++=-, 于是124a λλ+=+,124a b λλ=+.解得1a =,2b =. (2)设x y α⎡⎤=⎢⎥⎣⎦u r,则122331443x x y x x A y x y y y α+⎡⎤⎡⎤⎡⎤⎡⎤⎡⎤====⎢⎥⎢⎥⎢⎥⎢⎥⎢⎥--+⎣⎦⎣⎦⎣⎦⎣⎦⎣⎦r, 故2343x y x x y y +=⎧⎨-+=⎩解得x y =.于是11α⎡⎤=⎢⎥⎣⎦r .【点睛】本题主要考查矩阵的特征值与特征向量等基础知识,考查运算求解能力及函数与方程思想,属于基础题.20.定义()111111n n n n x x n N y y +*+-⎛⎫⎛⎫⎛⎫=∈ ⎪ ⎪ ⎪⎝⎭⎝⎭⎝⎭为向量()111,n n n OP x y +++=u u u u u v 的一个矩阵变换, (1)若()12,3P ,求2OP u u u v ,3OP u u u v;(2)设向量()11,0OP =u u u v ,O 为坐标原点,请计算9OP u u u v 并探究2017OP u u u u u u v的坐标.【答案】(1)()21,5OP =-u u u v ,()36,4OP =-u u u v;(2)()25216,0. 【解析】 【分析】(1)根据递推关系可直接计算2OP uuu r ,3OP u u ur .(2)根据向量的递推关系可得816n n OP OP +=u u u u u r u u u r 对任意的*n N ∈恒成立,据此可求9OP u u u r、2017OP u u u u u u r的坐标.【详解】(1)因为()12,3P ,故123OP⎛⎫= ⎪⎝⎭u u u r ,设2x OP y ⎛⎫= ⎪⎝⎭u u u r , 则11211135x y --⎛⎫⎛⎫⎛⎫⎛⎫== ⎪ ⎪⎪ ⎪⎝⎭⎝⎭⎝⎭⎝⎭,所以215OP -⎛⎫= ⎪⎝⎭u u u r 即()21,5OP =-u u u r ,同理()36,4OP =-u u u r . (2)因为111111n n n n x x y y ++-⎛⎫⎛⎫⎛⎫= ⎪ ⎪ ⎪⎝⎭⎝⎭⎝⎭,所以11n n n n nn x x y y x y ++-⎛⎫⎛⎫= ⎪ ⎪+⎝⎭⎝⎭, 故21121122n n n n n n n n x x y y y x y x ++++++--⎛⎫⎛⎫⎛⎫== ⎪ ⎪ ⎪+⎝⎭⎝⎭⎝⎭,3223222222n n n n n n n n n n x x y y x y x y y x ++++++---⎛⎫⎛⎫⎛⎫== ⎪ ⎪ ⎪+-+⎝⎭⎝⎭⎝⎭,43343344n n n n n n n n x x y x y x y y ++++++--⎛⎫⎛⎫⎛⎫== ⎪ ⎪ ⎪+-⎝⎭⎝⎭⎝⎭,所以44n n OP OP +=-u u u u u r u u u r ,故816n n OP OP +=u u u u u r u u u r . 又9811=⨯+,20174504182521=⨯+=⨯+,()911616,0OP OP ==u u u r u u u r所以()252252201711616,0OP OP ==u u u u u u r u u u r . 【点睛】本题考查向量的坐标计算及向量的递推关系,解题过程中注意根据已知的递推关系构建新的递推关系,此问题为中档题.。
【高中数学】数学《矩阵与变换》高考复习知识点一、151.关于x 的不等式201x a x+<的解集为()1,b -.()1求实数a ,b 的值;()2若1z a bi =+,2z cos isin αα=+,且12z z 为纯虚数,求tan α的值.【答案】(1)1a =-,2b =(2)12- 【解析】 【分析】(1)由题意可得:1-,b 是方程220x ax +-=的两个实数根,利用根与系数的关系即可得出答案;(2)利用(1)的结果得()()1222z z cos sin cos sin i αααα=--+-为纯虚数,利用纯虚数的定义即可得出. 【详解】 解:(1)不等式201x a x+<即()20x x a +-<的解集为()1,b -. 1∴-,b 是方程220x ax +-=的两个实数根,∴由1b a -+=-,2b -=-,解得1a =-,2b =. (2)由(1)知1,2a b =-=,()()()()121222z z i cos isin cos sin cos sin i αααααα∴=-++=--+-为纯虚数,20cos sin αα∴--=,20cos sin αα-≠,解得12tan α=-.【点睛】本题考查了行列式,复数的运算法则、纯虚数的定义、一元二次方程的根与系数的关系、一元二次不等式的解法,考查了推理能力与计算能力,属于中档题.2.证明:(1)11122212a b a a a b b b =; (2)1212112222a kab kb a b a b a b ++=. 【答案】(1)证明见解析(2)证明见解析 【解析】 【分析】(1)根据行列式的运算,分别化简得11121222a b a b b a a b =-,12122112a a ab a b b b =-,即可求解;(2)根据行列式的运算,分别化简得1212122122a ka b kb a b a b a b ++=-,11122122a b a b a b a b =-,即可求解. 【详解】(1)根据行列式的运算,可得11121222a b a b b a a b =-,12122112a a ab a b b b =-, 所以11122212a b a a a b b b =. (2)根据行列式的运算,可得121212212222()()a ka b kb a ka b b kb a a b ++=+-+ 122221221221()()a b ka b a b ka b a b a b =+-+=-,又由11122122a b a b a b a b =-,所以1212112222a kab kb a b a b a b ++=. 【点睛】本题主要考查了行列式的运算及其应用,其中解答中熟记行列式的运算法则,准确化简是解答的关键,着重考查了推理与运算能力,属于基础题.3.解方程组()32021mx y x m y m +-=⎧⎨+-=⎩,并求使得x y >的实数m 的取值范围.【答案】()1,3 【解析】 【分析】计算出行列式D 、x D 、y D ,对D 分0D ≠和0D =两种情况分类讨论,求出方程组的解,再由x y >列出关于m 的不等式,解出即可. 【详解】 由题意可得()()2362321m D m m m m m ==--=+--,2321x D m m m ==---,()()224222y m D m m m m==-=-+.①当0D ≠时,即当260m m --≠时,即当2m ≠-且3m ≠时,1323x y D x D m D m y D m ⎧==⎪⎪-⎨-⎪==⎪-⎩.x y >Q ,则()()()2222133m m m ->--,即()22130m m ⎧-<⎪⎨-≠⎪⎩,解得13m <<; ②当2m =-时,方程组为2320232x y x y -+-=⎧⎨-=-⎩,则有232x y -=,该方程组有无穷多解,x y >不能总成立;③当3m =时,方程组为33202230x y x y +-=⎧⎨+-=⎩,即203302x y x y ⎧+-=⎪⎪⎨⎪+-=⎪⎩,该方程组无解.综上所述,实数m 的取值范围是()1,3. 【点睛】本题考查二元一次方程组的求解,同时也考查了分式不等式的求解,在解题时要注意对系数行列式是否为零进行分类讨论,考查运算求解能力,属于中等题.4.用行列式解方程组252,23,24 1.x y z y z x y z ++=-⎧⎪--=⎨⎪++=-⎩【答案】1337313x y z ⎧=⎪⎪⎪=-⎨⎪⎪=-⎪⎩【解析】 【分析】先根据方程组中x ,y ,z 的系数及常数项求得D ,x D ,y D ,z D ,再对a 的值进行分类讨论,并求出相应的解. 【详解】方程组可转化为:125202324111x y z ⎡⎤⎡⎤⎡⎤⎢⎥⎢⎥⎢⎥-=⎢⎥⎢⎥⎢⎥⎢⎥⎢⎥⎢⎥⎣⎦⎣⎦-⎦--⎣,1912502241D =-=-, 13922532141x D --=-=-,12503221121y D --==--,1312203241z D ---==-,所以13,37,31.3x y z D x D D y D D z D ⎧==⎪⎪⎪==-⎨⎪⎪==-⎪⎩【点睛】本题考查三元一次方程组的矩阵形式、线性方程组的行列式求解,考查运算求解能力.5.利用行列式解关于x 、y 的二元一次方程组42mx y m x my m+=+⎧⎨+=⎩.【答案】见解析 【解析】 【分析】计算出系数行列式D ,以及x D 、y D ,然后分0D ≠和0D =两种情况讨论,在0D ≠时,直接利用行列式求出方程组的解,在0D =时,得出2m =±,结合行列式讨论原方程组解的情况. 【详解】 系数行列式为2441m D m m==-,()242x m D m m mm+==-,()()222211y m m D m m m m m+==--=-+.①当240D m =-≠时,即当2m ≠±时,原方程组有唯一解()()()2224221142x y m m D m x D m m D m m m y D m m ⎧-===⎪⎪-+⎨-++⎪===⎪-+⎩;②当240D m =-=时,2m =±.(i )当2m =-时,0D =,8x D =,4y D =,原方程组无解;(ii )当2m =时,0x yD D D ===,原方程为24422x y x y +=⎧⎨+=⎩,可化为22x y +=, 该方程组有无数组解,即12x R x y ∈⎧⎪⎨=-⎪⎩.【点睛】本题考查利用行列式求二元一次方程组的解,解题时要对系数行列式是否为零进行分类讨论,考查运算求解能力与分类讨论思想的应用,属于中等题.6.已知P :矩阵图5110x x ⎛⎫+⎪+ ⎪ ⎝的某个列向量的模不小于2;Q :行列式114203121mx ----中元素1-的代数余子式的值不大于2,若P 是Q 成立的充分条件,求实数m 的取值范围.【答案】[2,)+∞ 【解析】 【分析】先根据行列式中元素1-的代数余子式的值求出P ,再根据矩阵图某个列向量的模不小于2求出Q ,结合P 是Q 成立的充分条件可得实数m 的取值范围. 【详解】因为矩阵图5110x x ⎛⎫+⎪+ ⎪ ⎝的某个列向量的模不小于2,所以521x x +≥+,解得 13x -≤≤;因为行列式114203121mx ----中元素1-的代数余子式的值不大于2,所以2323211mm x x --=-+≤,即21m x ≤-; 因为P 是Q 成立的充分条件,所以213m -≥,解得2m ≥;故实数m 的取值范围是[2,)+∞.【点睛】本题主要考查矩阵和行列式的运算及充分条件,明确矩阵和行列式的运算规则是求解的关键,充分条件转化为集合的包含关系,侧重考查数学运算的核心素养.7.已知,,x y z 是关于的方程组000ax by cz cx ay bz bx cy az ++=⎧⎪++=⎨⎪++=⎩的解.(1)求证:()111a bc a b ca b a b c c a bcab c =++; (2)设01,,,z a b c =分别为ABC ∆三边长,试判断ABC ∆的形状,并说明理由;(3)设,,a b c 为不全相等的实数,试判断"0"a b c ++=是“222000o x y z ++>”的 条件,并证明.①充分非必要;②必要非充分;③充分且必要;④非充分非必要. 【答案】(1)见解析(2)等边,见解析(3)④,见解析 【解析】 【分析】(1)将行列式的前两列加到第三列上即可得出结论;(2)由方程组有非零解得出a bc ca b bc a =0,即111a b c a b c =0,将行列式展开化简即可得出a =b =c ;(3)利用(1),(2)的结论即可答案. 【详解】(1)证明:将行列式的前两列加到第三列上,得:a b ca b a b c ca b c a a b c b c a b c a b c ++=++=++(a +b +c )•111a b c a b c .(2)∵z 0=1,∴方程组有非零解,∴a bc ca b bca=0,由(1)可知(a +b +c )•111a b c a b c =0. ∵a 、b 、c 分别为△ABC 三边长,∴a +b +c ≠0,∴111a b ca b c =0,即a 2+b 2+c 2﹣ab ﹣bc ﹣ac =0,∴2a 2+2b 2+2c 2﹣2ab ﹣2bc ﹣2ac =0,即(a ﹣b )2+(b ﹣c )2+(a ﹣c )2=0, ∴a =b =c ,∴△ABC 是等边三角形.(3)若a +b +c =0,显然(0,0,0)是方程组的一组解,即x 02+y 02+z 02=0,∴a +b +c =0”不是“x 02+y 02+z 02>0”的充分条件; 若x 02+y 02+z 02>0,则方程组有非零解,∴a bc ca b bc a =(a +b +c )•111a b c a b c =0. ∴a +b +c =0或111a b ca b c =0.由(2)可知a +b +c =0或a =b =c . ∴a +b +c =0”不是“x 02+y 02+z 02>0”的必要条件. 故答案为④. 【点睛】本题考查了行列式变换,齐次线性方程组的解与系数行列式的关系,属于中档题.8.用行列式解关于x 、y 的方程组3(31)484mx y m x my m -=⎧⎨+-=+⎩,并讨论说明解的情况.【答案】当1m =时,无穷解;当14m =-时,无解;当1m ≠且14m ≠-时,有唯一解,441x m =+,8341m y m +=-+. 【解析】 【分析】 先求出系数行列式D ,x D ,y D ,然后讨论m ,从而确定二元一次方程解的情况. 【详解】 解:3(31)484mx y m x my m -=⎧⎨+-=+⎩Q 21431(41)(1)431mm D m m m m m -∴+-==-+=+-++,4443148x D m mm -==--+,()()23853*******y m D m m m m m m ==--+++=-,①当1m ≠且14m ≠-时,0D ≠,原方程组有唯一解,即144(41)4(14)x D m x m D m m -===+++-,()()()()8318341141y D m m m y D m m m +-+===-+-++,②当1m =时,0D =,0x D =,0y D =,原方程组有无穷解. ③当14m =-时,0D =,0x D ≠,原方程无解. 【点睛】本题主要考查了行列式,以及二元一次方程的解法,属于基础题.9.已知1m >,1n >,且1000mn <,求证:lg 901lg 4m n <. 【答案】证明见解析 【解析】 【分析】由题意,求得11000mn <<,利用基本不等式,得到2lg lg 90lg lg 24m n m n +⎛⎫<<=⎪⎝⎭,再结合行列式的运算,即可求解. 【详解】由题意,实数1m >,1n >,且1000mn <,可得11000mn <<,则2lg lg 90lg lg 24m n m n +⎛⎫<<=⎪⎝⎭,又由lg 919lg ln 9lg ln 144lg 4m m n m n n=-⨯=-,所以lg 901lg 4m n <. 【点睛】本题主要考查了行列式的运算性质,以及对数的运算性质和基本不等式的应用,其中解答中熟记行列式的运算法则,以及合理应用对数的运算和基本不等式求解是解答的关键,着重考查了推理与运算能力,属于中档试题.10.已知矩阵2101M ⎡⎤=⎢⎥⎣⎦(1)求矩阵M 的特征值及特征向量;(2)若21α⎡⎤=⎢⎥-⎣⎦r,求3M αv.【答案】(1)特征值为2;对应的特征向量为210α⎡⎤=⎢⎥⎣⎦u u r(2)91⎡⎤⎢⎥-⎣⎦【解析】 【分析】(1)先根据特征值得定义列出特征多项式,令()0f λ=解方程可得特征值,再由特征值列出方程组即可解得相应的特征向量;(2)由12ααα=+u u r u u rr可得33312M M M ααα=+u u r u u rr,求解即可. 【详解】(1)矩阵M 的特征多项式为21()01f λλλ--=-(2)(1)λλ=--,令()0f λ=,得矩阵M 的特征值为1或2, 当1λ=,时由二元一次方程0000x y x y --=⎧⎨+=⎩.得0x y +=,令1x =,则1y =-,所以特征值1λ=对应的特征向量为111α⎡-⎤=⎢⎥⎣⎦;当2λ=时,由二元一次方程0000x y x y -=⎧⎨+=⎩. 得0y =,令1x =,所以特征值2λ=对应的特征向量为210α⎡⎤=⎢⎥⎣⎦u u r;(2)1221ααα⎡⎤==+⎢⎥-⎣⎦u ur u u r rQ ,33312M M M ααα∴=+u u r u u r r 331212αα=+u u r u u r 311210⎡⎤⎡⎤=+⎢⎥⎢⎥-⎣⎦⎣⎦91⎡⎤=⎢⎥-⎣⎦.【点睛】本题考查矩阵特征值与特征向量的计算,矩阵的乘法运算,属于基础题.11.已知矩阵4321M -⎡⎤=⎢⎥-⎣⎦,向量75α⎡⎤=⎢⎥⎣⎦u r . (1)求矩阵M 的特征值及属于每个特征值的一个特征向量; (2)求3M α.【答案】(1)特征值为11λ=,22λ=,分别对应的特征向量为11⎡⎤⎢⎥⎣⎦和32⎡⎤⎢⎥⎣⎦,(2)34933M α⎡⎤=⎢⎥⎣⎦r .【解析】 【分析】(1)根据特征值的定义列出特征多项式,令()0f λ=解方程可得特征值,再由特征值列出方程组即可解得相应的特征向量;(2)7132512α⎛⎫⎡⎤⎡⎤==+ ⎪⎢⎥⎢⎥⎝⎭⎣⎦⎣⎦r g ,即可求3M αr.【详解】(1)矩阵M 的特征多项式为()(1)(2)f λλλ=--, 令()0f λ=,可求得特征值为11λ=,22λ=, 设11λ=对应的一个特征向量为x y α⎡⎤=⎢⎥⎣⎦,则由1M λαα=,得330x y -+=,可令1x =,则1y =-,所以矩阵M 的一个特征值11λ=对应的一个特征向量为11⎡⎤⎢⎥⎣⎦,同理可得矩阵M 的一个特征值22λ=对应的一个特征向量为32⎡⎤⎢⎥⎣⎦.(2)7132512α⎛⎫⎡⎤⎡⎤==+ ⎪⎢⎥⎢⎥⎝⎭⎣⎦⎣⎦r g所以331349221233M α⎡⎤⎡⎤⎡⎤=+⨯⨯=⎢⎥⎢⎥⎢⎥⎣⎦⎣⎦⎣⎦r .【点睛】本题主要考查了矩阵特征值与特征向量的计算等基础知识,意在考查学生对这些知识的理解掌握水平.12.已知矩阵2312A ⎡⎤=⎢⎥⎣⎦. (1)求A 的逆矩阵1A -;(2)若点P 在矩阵A 对应的变换作用下得到点(3,1)P ',求点P 的坐标.【答案】(1)1A -2312-⎡⎤=⎢⎥-⎣⎦ (2)点P 的坐标为(3,–1) 【解析】分析:(1)根据逆矩阵公式可得结果;(2)根据矩阵变换列方程解得P 点坐标.详解:(1)因为2312A ⎡⎤=⎢⎥⎣⎦,()det 221310A =⨯-⨯=≠,所以A 可逆,从而1A-2312-⎡⎤=⎢⎥-⎣⎦.(2)设P(x,y),则233121xy⎡⎤⎡⎤⎡⎤=⎢⎥⎢⎥⎢⎥⎣⎦⎣⎦⎣⎦,所以13311xAy-⎡⎤⎡⎤⎡⎤==⎢⎥⎢⎥⎢⎥-⎣⎦⎣⎦⎣⎦,因此,点P的坐标为(3,–1).点睛:本题考查矩阵的运算、线性变换等基础知识,考查运算求解能力.13.已知=是矩阵M=属于特征值λ1=2的一个特征向量.(Ⅰ)求矩阵M;(Ⅱ)若,求M10a.【答案】(Ⅰ)M=;(Ⅱ)M10=.【解析】试题分析:(Ⅰ)依题意,M=,从而,由此能求出矩阵M.(Ⅱ)(方法一)由(Ⅰ)知矩阵M的特征多项式为f(λ)=(λ﹣1)(λ﹣2),矩阵M 的另一个特征值为λ2=1,设=是矩阵M属于特征值λ2=1的特征向量,由已知得=,由此能求出M10.(Ⅱ)(方法二)M2=MM=,,M5=M3M2,M10=M5M5,由此能求出M10.解:(Ⅰ)依题意,M=,,∴,解得a=1,b=2.∴矩阵M=.(Ⅱ)(方法一)由(Ⅰ)知矩阵M的特征多项式为f(λ)=(λ﹣1)(λ﹣2),∴矩阵M的另一个特征值为λ2=1,设=是矩阵M属于特征值λ2=1的特征向量,则,∴,取x=1,得=,∴,∴M 10==.(Ⅱ)(方法二)M 2=MM=,,M 5=M 3M 2==,M 10=M 5M 5==,∴M 10=. 点评:本题考查矩阵与变换、特殊性征向量及其特征值的综合应用等基本知识,考查运算求解能力.14.选修4-2:矩阵与变换(本小题满分10分) 已知矩阵A =01a k ⎡⎤⎢⎥⎣⎦ (k≠0)的一个特征向量为α=1k ⎡⎤⎢⎥-⎣⎦, A 的逆矩阵A-1对应的变换将点(3,1)变为点(1,1).求实数a ,k 的值.【答案】解:设特征向量为α=1k ⎡⎤⎢⎥-⎣⎦对应的特征值为λ,则01a k ⎡⎤⎢⎥⎣⎦ 1k ⎡⎤⎢⎥-⎣⎦=λ1k ⎡⎤⎢⎥-⎣⎦,即1ak k kλλ-=⎧⎨=⎩因为k≠0,所以a =2. 5分因为13111A -⎡⎤⎡⎤=⎢⎥⎢⎥⎣⎦⎣⎦,所以A 11⎡⎤⎢⎥⎣⎦=31⎡⎤⎢⎥⎣⎦,即201k ⎡⎤⎢⎥⎣⎦11⎡⎤⎢⎥⎣⎦=31⎡⎤⎢⎥⎣⎦, 所以2+k =3,解得 k =1.综上,a =2,k =1. 10分 【解析】试题分析:由 特征向量求矩阵A, 由逆矩阵求k 考点:特征向量, 逆矩阵点评:本题主要考查了二阶矩阵,以及特征值与特征向量的计算,考查逆矩阵.15.已知矩阵12A c d ⎡⎤=⎢⎥⎣⎦(c ,d 为实数).若矩阵A 属于特征值2,3的一个特征向量分别为21⎡⎤⎢⎥⎣⎦,11⎡⎤⎢⎥⎣⎦,求矩阵A 的逆矩阵1A -.【答案】121331166A -⎡⎤-⎢⎥=⎢⎥⎢⎥⎢⎥⎣⎦【解析】 【分析】根据特征值的定义可知A αλα=,利用待定系数法建立等式关系,求出矩阵A ,即可求出逆矩阵1A -. 【详解】解:由题意知,122422121c d c d ⎡⎤⎡⎤⎡⎤⎡⎤==⎢⎥⎢⎥⎢⎥⎢⎥+⎣⎦⎣⎦⎣⎦⎣⎦,12131311c d c d ⎡⎤⎡⎤⎡⎤⎡⎤==⎢⎥⎢⎥⎢⎥⎢⎥+⎣⎦⎣⎦⎣⎦⎣⎦, 所以223c d c d +=⎧⎨+=⎩,解得14c d =-⎧⎨=⎩. 所以1214A ⎡⎤=⎢⎥-⎣⎦,所以121331166A -⎡⎤-⎢⎥=⎢⎥⎢⎥⎢⎥⎣⎦. 【点睛】本题主要考查了二阶矩阵,以及特征值与特征向量的计算,属于基础题.16.己知矩阵1221M ⎡⎤=⎢⎥⎣⎦. (1)求1M -;(2)若曲线221:1C x y -=在矩阵M 对应的变换作用下得到另一曲线2C ,求2C 的方程.【答案】(1)112332133M -⎡⎤-⎢⎥=⎢⎥⎢⎥-⎢⎥⎣⎦;(2)223y x -= 【解析】 【分析】(1)根据逆矩阵的求法,求得M 的逆矩阵1M -.(2)设出1C 上任意一点的坐标,设出其在矩阵M 对应的变换作用下得到点的坐标,根据坐标变换列方程,解方程求得两者坐标对应关系式,再代入1C 方程,化简后可求得2C 的方程. 【详解】解(1)设所求逆矩阵为a b c d ⎡⎤⎢⎥⎣⎦,则122210212201a b a c b d c d a c b d ++⎡⎤⎡⎤⎡⎤⎡⎤==⎢⎥⎢⎥⎢⎥⎢⎥++⎣⎦⎣⎦⎣⎦⎣⎦,即21202021a cb d ac bd +=⎧⎪+=⎪⎨+=⎪⎪+=⎩,解得13232313a b c d ⎧=-⎪⎪⎪=⎪⎨⎪=⎪⎪⎪=-⎩,所以112332133M -⎡⎤-⎢⎥=⎢⎥⎢⎥-⎢⎥⎣⎦. (2)设曲线1C 上任一点坐标为()00,x y ,在矩阵M 对应的变换作用下得到点(),x y , 则001221x x y y ⎡⎤⎡⎤⎡⎤=⎢⎥⎢⎥⎢⎥⎣⎦⎣⎦⎣⎦,即000022x y x x y y+=⎧⎨+=⎩, 解得002323y x x x y y -⎧=⎪⎪⎨-⎪=⎪⎩. 因为2201x y -=,所以2222133y x x y --⎛⎫⎛⎫-= ⎪ ⎪⎝⎭⎝⎭,整理得223y x -=, 所以2C 的方程为223y x -=. 【点睛】本小题主要考查逆矩阵的求法,考查利用矩阵变换求曲线方程,考查运算求解能力,属于中档题.17.已知二阶矩阵,矩阵属于特征值的一个特征向量为,属于特征值的一个特征向量为.求矩阵.【答案】【解析】 【分析】运用矩阵定义列出方程组求解矩阵 【详解】由特征值、特征向量定义可知,,即,得同理可得解得,,,.因此矩阵【点睛】本题考查了由矩阵特征值和特征向量求矩阵,只需运用定义得出方程组即可求出结果,较为简单18.(1)已知矩阵1202A ⎡⎤=⎢⎥-⎣⎦,矩阵B 的逆矩阵111202B -⎡⎤-⎢⎥=⎢⎥⎣⎦,求矩阵AB . (2)已知矩阵122M x ⎡⎤=⎢⎥⎣⎦的一个特征值为3,求10M . 【答案】(1)51401⎡⎤⎢⎥⎢⎥-⎣⎦;(2)29525295242952429525⎡⎤⎢⎥⎣⎦. 【解析】 【分析】(1)依题意,利用矩阵变换求得11112124()221010222B B --⎡⎤⎡⎤⎢⎥⎢⎥⎢⎥===⎢⎥⎢⎥⎢⎥⎢⎥⎢⎥⎣⎦⎢⎥⎣⎦,再利用矩阵乘法的性质可求得答案.(2)根据特征多项式的一个零点为3,可得x 的值,即可求得矩阵M ,运用对角化矩阵,求得所求矩阵. 【详解】(1)解:111202B -⎡⎤-⎢⎥=⎢⎥⎣⎦Q ,11112124()221010222B B --⎡⎤⎡⎤⎢⎥⎢⎥⎢⎥∴===⎢⎥⎢⎥⎢⎥⎢⎥⎢⎥⎣⎦⎢⎥⎣⎦,又1202A ⎡⎤=⎢⎥-⎣⎦,1202AB ⎡⎤∴=⎢⎥-⎣⎦151********⎡⎤⎡⎤⎢⎥⎢⎥=⎢⎥⎢⎥⎢⎥-⎣⎦⎢⎥⎣⎦. (2)解:矩阵122M x ⎡⎤=⎢⎥⎣⎦的特征多项式为12()(1)()42f x x λλλλλ--==-----, 可得2(3)40x --=,解得1x =,即为1221M ⎡⎤=⎢⎥⎣⎦.由()0f λ=可得13λ=,21λ=-, 当13λ=时,由12321x x y y ⎡⎤⎡⎤⎡⎤=⎢⎥⎢⎥⎢⎥⎣⎦⎣⎦⎣⎦,即23x y x +=,23x y y +=,即x y =,取1x =, 可得属于3的一个特征向量为11⎡⎤⎢⎥⎣⎦;当11λ=-时,由1221x x y y ⎡⎤⎡⎤⎡⎤=-⎢⎥⎢⎥⎢⎥⎣⎦⎣⎦⎣⎦,即2x y x +=-,2x y y +=-,即x y =-,取1x =,可得属于1-的一个特征向量为11⎡⎤⎢⎥-⎣⎦.设1111P ⎡⎤=⎢⎥-⎣⎦,则111221122P -⎡⎤⎢⎥=⎢⎥⎢⎥-⎢⎥⎣⎦,13001M P P -⎡⎤=⎢⎥-⎣⎦,101115904905904912952529524220159049111295242952522M P P -⎡⎤⎢⎥⎡⎤⎡⎤⎡⎤===⎢⎥⎢⎥⎢⎥⎢⎥-⎣⎦⎣⎦⎣⎦⎢⎥-⎢⎥⎣⎦. 【点睛】本题考查逆变换与逆矩阵,考查矩阵乘法的性质,考查了特征值与特征向量,考查了矩阵的乘方的计算的知识.19.设变换T 是按逆时针旋转2π的旋转变换,对应的变换矩阵是M . (1)求点(1,1)P 在T 作用下的点P '的坐标;(2)求曲线2:C y x =在变换T 的作用下所得到的曲线C '的方程.【答案】(1)()1,1-;(2)2y x =-.【解析】 【分析】(1)根据所给旋转变换的角度可求得对应的矩阵,由所给点的坐标即可求得变换后的对应坐标;(2)根据变换可得矩阵乘法式,计算后代入方程即可得变换后的曲线C '的方程. 【详解】(1)由题意变换T 是按逆时针旋转2π的旋转变换,对应的变换矩阵是M , 可知cos sin012210sin cos 22M ππππ⎛⎫- ⎪-⎛⎫==⎪ ⎪ ⎪⎝⎭ ⎪⎝⎭, 1011111011M --⎛⎫⎛⎫⎛⎫⎛⎫=⋅= ⎪ ⎪ ⎪ ⎪⎝⎭⎝⎭⎝⎭⎝⎭, 所以点(1,1)P 在T 作用下的点P '的坐标为()1,1-.(2)设x y ⎛⎫⎪⎝⎭是变换后曲线C '上任意一点,与之对应的变换前的点为00x y ⎛⎫ ⎪⎝⎭,则00x x M y y ⎛⎫⎛⎫⋅= ⎪ ⎪⎝⎭⎝⎭,即000110x x y y -⎛⎫⎛⎫⎛⎫⋅= ⎪ ⎪ ⎪⎝⎭⎝⎭⎝⎭, 所以00y x x y -=⎧⎨=⎩,即00x y y x =⎧⎨=-⎩,因为00x y ⎛⎫ ⎪⎝⎭在曲线2:C y x =上,将00x y y x =⎧⎨=-⎩代入可得2x y -=,即2y x =-,所以曲线2:C y x =在变换T 的作用下所得到的曲线C '的方程为2y x =-. 【点睛】本题考查了旋转变换对应矩阵的求法,由矩阵求对应点的坐标,矩阵的乘法运算应用,属于中档题.20.设()3322k kx k x f x k x-=+⋅(x ∈R ,k 为正整数)(1)分别求出当1k =,2k =时方程()0f x =的解.(2)设()0f x ≤的解集为[]212,k k a a -,求1234a a a a +++的值及数列{}n a 的前2n 项和. 【答案】(1)1k =时,方程()0f x =的解为2x =,3x =;2k =时, ()0f x =的解为6x =,4x =(2)123415a a a a +++=;前2n 项和为21332222n n n ++-+【解析】 【分析】(1)根据定义化简函数()f x 的解析式,然后根据一元二次方程求出当1k =,2k =时方程()0f x =的解即可;(2)由()0f x ≤即()()320kx k x --≤的解集为[]212,k k aa -建立关系式,然后取1k =,2k =可求出1234a a a a +++的值,最后根据()()()212342121234212n n n n n S a a a a a a a a a a a a --=++++++=++++++L L 进行求解即可; 【详解】解:(1)()()()()2323232kkkf x x k x k x k x =-++⋅=--,当1k =时()()()32f x x x =--,所以方程()0f x =的解为2x =,3x =; 当2k =时()()()64f x x x =--,所以方程()0f x =的解为6x =,4x =; (2)由()0f x ≤即()()320kx k x --≤的解集为[]212,k k aa -.∴2122123232k k k kk k a a k a a k --⎧+=+⎨⋅=⋅⎩, ∴1k =时,1123125a a +=⋅+=,2k =时,23432210a a +=⋅+=. ∴123451015a a a a +++=+=()()()212342121234212n n n n n S a a a a a a a a a a a a --=++++++=++++++L L ()()()()()12231232232312222n n n n =⋅++⋅+++⋅+=+++++++L L L()()2121213332221222nn n n n n +-+=⋅+=+-+-.【点睛】 本题主要考查了二阶行列式的定义,以及数列的求和,同时考查了计算能力,属于中档题.。
新高考数学《矩阵与变换》专题解析一、151.变换T 1是逆时针旋转2π角的旋转变换,对应的变换矩阵是M 1;变换T 2对应的变换矩阵是M 2=1101⎡⎤⎢⎥⎣⎦. (1)点P(2,1)经过变换T 1得到点P',求P'的坐标;(2)求曲线y =x 2先经过变换T 1,再经过变换T 2所得曲线的方程. 【答案】(1)P'(-1,2).(2)y -x =y 2. 【解析】试题分析:(1)先写出旋转矩阵M 1=0110-⎡⎤⎢⎥⎣⎦,再利用矩阵运算得到点P'的坐标是P'(-1,2).(2)先按序确定矩阵变换M =M 2⋅M 1=1110-⎡⎤⎢⎥⎣⎦,再根据相关点法求曲线方程:即先求出对应点之间关系,再代入已知曲线方程,化简得y -x =y 2.试题解析:解:(1)M 1=0110-⎡⎤⎢⎥⎣⎦, M 121⎡⎤⎢⎥⎣⎦=12-⎡⎤⎢⎥⎣⎦.所以点P(2,1)在T 1作用下的点P'的坐标是P'(-1,2). (2)M =M 2⋅M 1=1110-⎡⎤⎢⎥⎣⎦, 设x y ⎡⎤⎢⎥⎣⎦是变换后图象上任一点,与之对应的变换前的点是00x y ⎡⎤⎢⎥⎣⎦, 则M 00x y ⎡⎤⎢⎥⎣⎦=x y ⎡⎤⎢⎥⎣⎦,也就是000{x y x x y -==即00{y y x x y =-= 所以,所求曲线的方程是y -x =y 2. 考点:旋转矩阵,矩阵变换2.(1)用行列式判断关于x y 、的二元一次方程组2373411x y x y -=⎧⎨-=⎩解的情况;(2)用行列试解关于x y 、的二元一次方程组12mx y m x my m +=+⎧⎨+=⎩,并对解的情况进行讨论.【答案】(1)51x y =⎧⎨=⎩;(2)当1m ≠-,1m ≠时,0D ≠,方程组解为1211m x m m y m ⎧=⎪⎪+⎨+⎪=⎪+⎩,当1m =-时,0D =,0x D ≠,方程组无解,当1m =时,0x y D D D ===,方程组有无穷多组解,22x y x y +=⎧⎨+=⎩,令()x t t R =∈ ,原方程组的解为()2x tt R y t =⎧∈⎨=-⎩.【解析】 【分析】(1) 先根据方程组中x ,y 的系数及常数项计算出D ,x D ,y D ,即可求解方程组的解. (2) 先根据方程组中x ,y 的系数及常数项计算出D ,x D ,y D 下面对m 的值进行分类讨论:①当1m ≠-,1m ≠时,②当1m =-时,③当1m =时,分别求解方程组的解即可. 【详解】(1)列出行列式系数 112a =,123a =-,17b =,213a =,224a =,211b =,23D =34--891=-+=,711x D = 34--=28335-+=,23y D =711=22211-= ,5xD x D ∴== ,1y D y D== , 所以二元一次方程组2373411x y x y -=⎧⎨-=⎩的解为51x y =⎧⎨=⎩ . (2)1m D =1m=21m - =()()11m m +- , 12x m D m+=1m=2m m - =()1m m - ,1y m D =12m m+ =()()221211m m m m --=+- ,当1m ≠-,1m ≠时,0D ≠,方程组有唯一解,解为1211m x m m y m ⎧=⎪⎪+⎨+⎪=⎪+⎩, 当1m =-时,0D =,0x D ≠,方程组无解,当1m =时,0x y D D D ===,方程组有无穷多组解,22x y x y +=⎧⎨+=⎩,令()x t t R =∈ ,原方程组的解为()2x tt R y t =⎧∈⎨=-⎩.【点睛】本题主要考查二元一次方程组的矩阵形式、线性方程组解的存在性,唯一性、二元方程的解法等基础知识,考查运算求解能力与转化思想,属于中档题.3.已知矩阵11m A m ⎛⎫= ⎪-⎝⎭(0m >)满足24A I =(I 为单位矩阵). (1)求m 的值;(2)设(,)P x y ,,()'Q x y '.矩阵变换11x m x y m y '⎛⎫⎛⎫⎛⎫=⎪ ⎪⎪'-⎝⎭⎝⎭⎝⎭可以将点P 变换为点Q .当点P 在直线:1l y x =+上移动时,求经过矩阵A 变换后点Q 的轨迹方程.(3)是否存在这样的直线:它上面的任一点经上述变换后得到的点仍在该直线上?若存在,求出所有这样的直线;若不存在,则说明理由.【答案】(1)m (2)1)1)40x y ''--=(3)存在,1:l y x =,2:l y =.【解析】 【分析】(1)计算2A ,由24A I =可求得m ;(2)由11x x y y ⎛'⎛⎫⎛⎫= ⎪ ⎪⎪'-⎝⎭⎝⎭⎭,得x x y y ⎧=+⎪⎨=-''⎪⎩,解得44x x y y ⎧=+⎪⎨='-'''⎪⎩.代入1y x =+可得;(3)首先确定这种变换,与坐标轴垂直的直线不合题意,因此设直线l 方程为(0)y kx b k =+≠,求出变换后的直线方程,两方程表示的直线重合,可求得k ,可分类0b ≠和0b =.【详解】(1)0m >Q ,2221110104110101m m m A m m m ⎛⎫+⎛⎫⎛⎫⎛⎫=== ⎪ ⎪⎪ ⎪--+⎝⎭⎝⎭⎝⎭⎝⎭,m ∴=(2)11x x x y y y ⎛⎛⎫'+⎛⎫⎛⎫==⎪ ⎪ ⎪⎪⎪'--⎝⎭⎝⎭⎭⎭Q ,即x x y y ⎧=⎪⎨=-''⎪⎩,44x x y y ⎧=+⎪∴⎨='-'''⎪⎩.∵点(,)P x y 在直线1y x =+上,4y x ''''-=++,即点()','Q x y的轨迹方程1)1)40x y ''--+-=. (3)垂直于坐标轴的直线不合要求.设:(0)l y kx b k =+≠,(,)P x y,()Q x y +-()y k x b -=++Q ,1)(y k x b ∴-+=+当0b ≠时,1)1,k k -+==,无解. 当0b =220k =⇒+-=,解得k =k =∴所求直线是1:l y x =,2:l y =. 【点睛】本题考查矩阵的运算,考查矩阵变换,求变换后的曲线方程,可设原曲线上点坐标为(,)P x y ,变换后为()','Q x y ,由矩阵运算得'(,)'(,)x f x y y g x y =⎧⎨=⎩,然后解得(',')(',')x h x y y i x y =⎧⎨=⎩,把(,)x y 代入原曲线方程即得新方程.4.在ABC ∆中,角,,A B C 所对的边分别为,,a b c,且sincossin 222sincos 022sec12AA cBB B -=-求角C 的大小.【答案】2π 【解析】 【分析】先将三阶行列式化简,结合三角形内角和与诱导公式、辅助角公式化简即可求值 【详解】由sincossin 222sincos 0sin cos sin sin cos 2222222sec12A A cBB A BC B A B -=⇒++=-sin sin 22A B C +⎛⎫⇒+= ⎪⎝⎭又()C A B π=-+,∴ sin sin cos 222A B C C π+-⎛⎫==⎪⎝⎭,sin sin sin cos 2222A B C C C +⎛⎫+=⇔+= ⎪⎝⎭,sin 12424C C ππ⎛⎫⎛⎫+=⇒+= ⎪ ⎪⎝⎭⎝⎭,又Q 3,2444C πππ⎛⎫+∈ ⎪⎝⎭,242C ππ+=∴, 解得2C π=【点睛】本题考查三阶行列式的化简求值,三角函数的诱导公式、辅助角公式的使用,属于中档题5.已知点()3,1A ,()1,3B -,i v,j v分别是基本单位向量.(1)若点P 是直线2y x =的动点,且0AP iAP j BP jBP i⋅⋅=-⋅⋅u u u v u u u v v v u u uv u u u v v v ,求点P 的坐标 (2)若点(),P x y 满足124126101xy -=且OP OA OB λμ=-u u u v u u u v u u u v,λ,μ是否存在自然数解,若存在,求出所有的自然数的解,若不存在,说明理由.【答案】(1)()0,0,()2,4(2)存在,0λ=,2μ=或2λ=,1μ=或4λ=,0μ=【解析】 【分析】(1)设P 的坐标为(),2x x ,再根据行列式的运算求解即可.(2)利用124126101xy -=求出(),P x y 满足的关系式,再根据OP OA OB λμ=-u u u r u u u r u u u r求出关于(),P x y 满足的关系式,再求自然数解即可.【详解】(1)由题,设P 的坐标为(),2x x ,因为0AP i AP jBP j BP i⋅⋅=-⋅⋅u u u r r u u u r r u u u r r u u u r r ,故()()()()0AP i BP i BP j AP j ⋅⨯⋅--⋅⨯⋅=u u u r r u u u r r u u u r r u u u r r ,化简得0AP BP ⋅=u u u r u u u r , 即()()3,211,230x x x x --⋅+-=,即2222348305100x x x x x x --+-+=⇒-=. 解得0x =或2x =.代入可得()0,0或()2,4(2)由124126101xy -=得12(6)4(2)(26)0y x y x ----++=.化简得8y x =-.又OP OA OB λμ=-u u u ru u u ru u u r,故()()()3,11,3,x y λμ=--,即33x y λμλμ=+⎧⎨=-⎩.故33824λμλμλμ-=+-⇒+=,又,λμ为自然数.故0λ=,2μ=或2λ=,1μ=或4λ=,0μ= 【点睛】本题主要考查了向量与行列式的基本运算等,需要根据题意求得关于(),P x y 的关系式,属于中等题型.6.已知等比数列{}n a 的首项11a =,公比为()0q q ≠.(1)求二价行列式1324a a a a 的值; (2)试就q 的不同取值情况,求解二元一次方程组132432a x a y a x a y +=⎧⎨+=⎩.【答案】(1)0;(2)当23q =时,方程组无数解,且439x ty t⎧=-⎪⎨⎪=⎩,t R ∈;当23q ≠且0q ≠时,方程组无解.【解析】 【分析】(1)由行列式定义计算,再根据等比数列的性质得结论; (2)由二元一次方程组解的情况分析求解. 【详解】(1)∵{}n a 是等比数列,∴1423a a a a =, ∴1324a a a a 14230a a a a =-=. (2)由(1)知方程组无解或有无数解.当241323a a q a a ===时,方程组有无数解,此时方程组中两个方程均为439x y +=, 解为439x t y t⎧=-⎪⎨⎪=⎩,当23q ≠且0q ≠时,方程组无解. 【点睛】本题考查行列式的概念,考查等比数列的性质,考查二元一次方程组的解的情况.掌握二元一次方程组的解的情况的判断是解题基础.7.已知函数cos 2()sin 2m x f x nx=的图象过点(12π和点2(,2)3π-. (1)求函数()f x 的最大值与最小值;(2)将函数()y f x =的图象向左平移(0)ϕϕπ<<个单位后,得到函数()y g x =的图象;已知点(0,5)P ,若函数()y g x =的图象上存在点Q ,使得||3PQ =,求函数()y g x =图象的对称中心.【答案】(1)()f x 的最大值为2,最小值为2-;(2)(,0)()24k k Z ππ+∈. 【解析】 【分析】(1)由行列式运算求出()f x ,由函数图象过两点,求出,m n ,得函数解析式,化函数式为一个角的一个三角函数式,可求得最值;(2)由图象变换写出()g x 表达式,它的最大值是2,因此要满足条件,只有(0,2)Q 在()g x 图象上,由此可求得ϕ,结合余弦函数的性质可求得对称中心.【详解】(1)易知()sin 2cos 2f x m x n x =-,则由条件,得sin cos 6644sin cos 233m n m n ππππ⎧-=⎪⎪⎨⎪-=-⎪⎩,解得 1.m n ==-故()2cos22sin(2)6f x x x x π=+=+.故函数()f x 的最大值为2,最小值为 2.-(2)由(1)可知: ()()2sin(22)6g x f x x πϕϕ=+=++.于是,当且仅当(0,2)Q 在()y g x =的图象上时满足条件.(0)2sin(2)26g πϕ∴=+=. 由0ϕπ<<,得.6πϕ=故()2sin(2)2cos 22g x x x π=+=. 由22x k =+ππ,得().24k x k Z ππ=+∈ 于是,函数()y g x =图象的对称中心为:(,0)()24k k Z ππ+∈. 【点睛】本题考查行列式计算,考查两角和的正弦公式,图象平移变换,考查三角函数的性质,如最值、对称性等等.本题主要是考查知识点较多,但不难,本题属于中档题.8.关于x 的不等式201x a x+<的解集为()1,b -.()1求实数a ,b 的值;()2若1z a bi =+,2z cos isin αα=+,且12z z 为纯虚数,求tan α的值.【答案】(1)1a =-,2b =(2)12- 【解析】 【分析】(1)由题意可得:1-,b 是方程220x ax +-=的两个实数根,利用根与系数的关系即可得出答案;(2)利用(1)的结果得()()1222z z cos sin cos sin i αααα=--+-为纯虚数,利用纯虚数的定义即可得出. 【详解】 解:(1)不等式201x a x+<即()20x x a +-<的解集为()1,b -. 1∴-,b 是方程220x ax +-=的两个实数根,∴由1b a -+=-,2b -=-,解得1a =-,2b =. (2)由(1)知1,2a b =-=,()()()()121222z z i cos isin cos sin cos sin i αααααα∴=-++=--+-为纯虚数,20cos sin αα∴--=,20cos sin αα-≠,解得12tan α=-.【点睛】本题考查了行列式,复数的运算法则、纯虚数的定义、一元二次方程的根与系数的关系、一元二次不等式的解法,考查了推理能力与计算能力,属于中档题.9.用行列式解方程组231231x y z x y az ay z +-=-⎧⎪-+=-⎨⎪-=⎩,并加以讨论.【答案】当1a ≠且52a ≠-时,原方程有唯一解1125225525a x a y a z a +⎧=-⎪+⎪⎪=⎨+⎪⎪=⎪+⎩;当52a =-时,方程组无解; 当1a =时,方程组有无穷多解,解为()11,x t y t t R z t =-⎧⎪=+∈⎨⎪=⎩【解析】 【分析】分别得到D ,x D ,y D ,z D ,然后分别得到它们等于0,得到相应的a 的值,然后进行讨论. 【详解】()()2131225101D a a a a-=-=-+--,()()1133211111x D a a a a--=--=-+-,()2131321011y D a a --=-=---,()2111235101z D a a-=--=-当1a ≠且52a ≠-时,原方程有唯一解1125225525a x a y a z a +⎧=-⎪+⎪⎪=⎨+⎪⎪=⎪+⎩;当52a =-时,原方程等价于2315232512x y z x y z y z ⎧⎪+-=-⎪⎪--=-⎨⎪⎪---=⎪⎩,方程组无解;当1a =时,原方程组等价于231231x y z x y z y z +-=-⎧⎪-+=-⎨⎪-=⎩,方程组有无穷多解,解为()11,x t y t t R z t =-⎧⎪=+∈⎨⎪=⎩【点睛】本题考查通过行列式对方程组的解进行讨论,属于中档题.10.已知,R a b ∈,矩阵 a b c d A ⎡=⎤⎢⎥⎣⎦,若矩阵A 属于特征值5的一个特征向量为11⎡⎤⎢⎥⎣⎦,点()2,1P -在A 对应的变换作用下得到点()1,2P '-,求矩阵A .【答案】2314A ⎡⎤=⎢⎥⎣⎦【解析】 【分析】根据矩阵的特征值和特征向量的定义建立等量关系,列方程组求解即可. 【详解】由题意可知,1155115a b c d ⎡⎤⎡⎤⎡⎤⎡⎤==⎢⎥⎢⎥⎢⎥⎢⎥⎣⎦⎣⎦⎣⎦⎣⎦,且2112a b c d --⎡⎤⎡⎤⎡⎤=⎢⎥⎢⎥⎢⎥⎣⎦⎣⎦⎣⎦, 所以552122a b c d a b c d +=⎧⎪+=⎪⎨-+=-⎪⎪-+=⎩,解得2314a b c d =⎧⎪=⎪⎨=⎪⎪=⎩,即矩阵2314A ⎡⎤=⎢⎥⎣⎦. 【点睛】此题考查矩阵特征值和特征向量的辨析理解,根据题中所给条件建立等量关系解方程组得解.11.直线l 经矩阵M =cos sin sin cos θθθθ-⎡⎤⎢⎥⎣⎦(其中θ∈(0,π))作用变换后得到直线l ′:y =2x ,若直线l 与l ′垂直,求θ的值.【答案】2πθ=【解析】【分析】在l 上任取一点P (x ,y ),设P 经矩阵M 变换后得到点P ′(x ′,y ′),根据矩阵变换运算得到x ′,y ′,代入直线l ′:y =2x ,得到直线l 方程,再由两直线垂直求解. 【详解】在l 上任取一点P (x ,y ),设P 经矩阵M 变换后得到点P ′(x ′,y ′)cos sin cos sin sin cos sin cos x x y x y x y y θθθθθθθθ''-⋅-⋅⎡⎤⎡⎤⎡⎤⎡⎤==⎢⎥⎢⎥⎢⎥⎢⎥⋅+⋅⎣⎦⎣⎦⎣⎦⎣⎦故cos sin sin cos x x y y x y θθθθ=-'=+'⎧⎨⎩,又P ′在直线l ′:y =2x 上,即y ′=2x ′ 则sin cos 2cos 2sin x y x y θθθθ+=-即直线l :(sin 2cos )(2sin cos )0x y θθθθ-++=因为l 与l ′垂直,故sin 2cos 1=cos 02sin cos 2θθθθθ-⇒=+又(0,)θπ∈,故2πθ=.【点睛】本题主要考查矩阵变换研究两直线的位置关系,还考查了运算求解的能力,属于中档题.12.已知=是矩阵M=属于特征值λ1=2的一个特征向量.(Ⅰ)求矩阵M ; (Ⅱ)若,求M 10a .【答案】(Ⅰ)M=;(Ⅱ)M 10=.【解析】试题分析:(Ⅰ)依题意,M =,从而,由此能求出矩阵M .(Ⅱ)(方法一)由(Ⅰ)知矩阵M 的特征多项式为f (λ)=(λ﹣1)(λ﹣2),矩阵M 的另一个特征值为λ2=1,设=是矩阵M 属于特征值λ2=1的特征向量,由已知得=,由此能求出M 10.(Ⅱ)(方法二)M 2=MM=,,M 5=M 3M 2,M 10=M 5M 5,由此能求出M 10. 解:(Ⅰ)依题意,M=,,∴,解得a=1,b=2. ∴矩阵M=.(Ⅱ)(方法一)由(Ⅰ)知矩阵M 的特征多项式为f (λ)=(λ﹣1)(λ﹣2), ∴矩阵M 的另一个特征值为λ2=1, 设=是矩阵M 属于特征值λ2=1的特征向量,则, ∴,取x=1,得=,∴,∴M 10==.(Ⅱ)(方法二)M 2=MM=,,M 5=M 3M 2==,M 10=M 5M 5==,∴M 10=. 点评:本题考查矩阵与变换、特殊性征向量及其特征值的综合应用等基本知识,考查运算求解能力.13.已知矩阵14a b ⎡⎤=⎢⎥-⎣⎦A ,A 的两个特征值为12λ=,2λ=3. (1)求a ,b 的值;(2)求属于2λ的一个特征向量α.【答案】(1)1a =,2b =;(2)11α⎡⎤=⎢⎥⎣⎦u r.【解析】 【分析】(1)利用特征多项式,结合韦达定理,即可求a ,b 的值;(2)利用求特征向量的一般步骤,可求出其对应的一个特征向量. 【详解】(1)令2()()(4)(4)4014a bf a b a a b λλλλλλλ--==--+=-+++=-, 于是124a λλ+=+,124a b λλ=+.解得1a =,2b =. (2)设x y α⎡⎤=⎢⎥⎣⎦u r,则122331443x x y x x A y x y y y α+⎡⎤⎡⎤⎡⎤⎡⎤⎡⎤====⎢⎥⎢⎥⎢⎥⎢⎥⎢⎥--+⎣⎦⎣⎦⎣⎦⎣⎦⎣⎦r, 故2343x y x x y y +=⎧⎨-+=⎩解得x y =.于是11α⎡⎤=⎢⎥⎣⎦r .【点睛】本题主要考查矩阵的特征值与特征向量等基础知识,考查运算求解能力及函数与方程思想,属于基础题.14.矩阵与变换:变换1T 是逆时针旋转2π的旋转变换,对应的变换矩阵是1M 变换2T 对应用的变换矩阵是21101M ⎡⎤=⎢⎥⎣⎦求曲线221x y +=的图象依次在12,T T 变换的作用下所得曲线的方程.【答案】22221x xy y -+= 【解析】 【分析】旋转变换矩阵10110M -⎡⎤=⎢⎥⎣⎦,求出211110M M M -⎡⎤==⎢⎥⎣⎦,设x y ⎡⎤⎢⎥⎣⎦是变换后曲线上任一点,与之对应的变换前的点是00x y ⎡⎤⎢⎥⎣⎦,得到00x y y y x =⎧⎨=-⎩,即得解.【详解】旋转变换矩阵10110M -⎡⎤=⎢⎥⎣⎦记21110111011010M M M --⎡⎤⎡⎤⎡⎤===⎢⎥⎢⎥⎢⎥⎣⎦⎣⎦⎣⎦设x y ⎡⎤⎢⎥⎣⎦是变换后曲线上任一点,与之对应的变换前的点是00x y⎡⎤⎢⎥⎣⎦,面积00x x M y y ⎡⎤⎡⎤=⎢⎥⎢⎥⎣⎦⎣⎦,也就是000x x y y x =-⎧⎨=⎩,即00x y y y x =⎧⎨=-⎩, 代入22001x y +=,得22()1y y x +-=,所以所求曲线的方程是22221x xy y -+= 【点睛】本题主要考查矩阵和变换,意在考查学生对这些知识的理解掌握水平和分析推理能力.15.已知向量11α-⎡⎤=⎢⎥⎣⎦v 是矩阵103a A ⎡⎤=⎢⎥⎣⎦的属于特征值λ的一个特征向量. (1)求实数a ,λ的值;(2)求2A .【答案】(1)4,3.a λ=⎧⎨=⎩(2)216709A ⎡⎤=⎢⎥⎣⎦ 【解析】 【分析】(1)根据特征值的定义可知A αλα=u r u r,利用待定系数法求得实数a ,λ的值。
数学《矩阵与变换》知识点一、151.关于x 的不等式201x a x+<的解集为()1,b -.()1求实数a ,b 的值;()2若1z a bi =+,2z cos isin αα=+,且12z z 为纯虚数,求tan α的值.【答案】(1)1a =-,2b =(2)12- 【解析】 【分析】(1)由题意可得:1-,b 是方程220x ax +-=的两个实数根,利用根与系数的关系即可得出答案;(2)利用(1)的结果得()()1222z z cos sin cos sin i αααα=--+-为纯虚数,利用纯虚数的定义即可得出. 【详解】 解:(1)不等式201x a x+<即()20x x a +-<的解集为()1,b -. 1∴-,b 是方程220x ax +-=的两个实数根,∴由1b a -+=-,2b -=-,解得1a =-,2b =. (2)由(1)知1,2a b =-=,()()()()121222z z i cos isin cos sin cos sin i αααααα∴=-++=--+-为纯虚数,20cos sin αα∴--=,20cos sin αα-≠,解得12tan α=-.【点睛】本题考查了行列式,复数的运算法则、纯虚数的定义、一元二次方程的根与系数的关系、一元二次不等式的解法,考查了推理能力与计算能力,属于中档题.2.已知关于x 、y 的二元一次方程组()4360260x y kx k y +=⎧⎨++=⎩的解满足0x y >>,求实数k的取值范围. 【答案】5,42⎛⎫⎪⎝⎭【解析】 【分析】由题意得知0D ≠,求出x D 、y D 解出该方程组的解,然后由00x y D >>⎧⎨≠⎩列出关于k 的不等式组,解出即可. 【详解】由题意可得()4238D k k k =+-=+,()601x D k =-,()604y D k =-.由于方程组的解满足0x y >>,则0D ≠,该方程组的解为()()60186048x y k D x D k D k y D k ⎧-==⎪⎪+⎨-⎪==⎪+⎩,由于00D x y y ≠⎧⎪>⎨⎪>⎩,即()()()806016048860408k k k k k k k ⎧⎪+≠⎪--⎪>⎨++⎪⎪->⎪+⎩,整理得802508408k k k k k ⎧⎪+≠⎪-⎪>⎨+⎪-⎪<⎪+⎩,解得542k <<. 因此,实数k 的取值范围是5,42⎛⎫⎪⎝⎭. 【点睛】本题考查二元一次方程组的求解,同时也考查了分式不等式的求解,考查运算求解能力,属于中等题.3.不等式21101x xba xa->-的解是12x <<,试求a ,b 的值. 【答案】12a =-,1b =-或1a =-,2b =- . 【解析】 【分析】将行列式展开,由行列式大于0,即ax 2+(1+ab )x +b >0,由1和2是方程ax 2+(1+ab )x +b =0的两个根,由韦达定理可知,列方程组即可求得a 和b 的值. 【详解】2111x x b a xa-=-x 2×(﹣a )×(﹣1)+x +abx ﹣x 2×(﹣a )﹣ax 2﹣(﹣1)×b =ax 2+(1+ab )x +b >0,∵不等式的解为1<x <2,∴a <0,且1,2为一元二次方程:ax 2+(1+ab )x +b =0的两个根,由韦达定理可知:11212ab ab a +⎧+=-⎪⎪⎨⎪⨯=⎪⎩,整理得:2a 2+3a +1=0,解得:12a b =-⎧⎨=-⎩或121a b ⎧=-⎪⎨⎪=-⎩,故a =﹣1,b =﹣2或a 12=-,b =﹣1. 【点睛】本题考查行列式的展开,考查一元二次不等式与一元二次方程的关系及韦达定理,考查计算能力,属于中档题.4.已知方程组()()()11,232a x ay a R a x a y ⎧-+=⎪∈⎨+++=⎪⎩(1)求证:方程组恰有一解;(2)求证:以方程的解(),x y 为坐标的点在一条直线上; (3)求x y +的最小值,并求此时a 的范围. 【答案】(1)见解析;(2)见解析;(3)最小值13,[3,4]a ∈ 【解析】 【分析】(1)利用二阶行列式证明(2)利用消参法得(),x y 的轨迹即可证明 (3)利用绝对值不等式求最值 【详解】 (1)22111123230,3,4,23232234,33y x a a a a D a a a a D a D a a a a a a ax y --==+---=-≠==-+==-++++--∴==,即方程组有唯一解 (2)由(1)知34,33a ax y --==,消去参数a ,则3310x y +-=,即以方程的解(),x y 为坐标的点在一条直线上;(3)1||||(|3|3x y a +=-1|4|)3a +-≥,当且仅当()()340a a --≥即[3,4]a ∈时,x y +的最小值13【点睛】本题考查二元一次方程组的解,考查绝对值不等式求最值,是基础题5.(1)用行列式判断关于x y 、的二元一次方程组2373411x y x y -=⎧⎨-=⎩解的情况;(2)用行列试解关于x y 、的二元一次方程组12mx y m x my m +=+⎧⎨+=⎩,并对解的情况进行讨论.【答案】(1)51x y =⎧⎨=⎩;(2)当1m ≠-,1m ≠时,0D ≠,方程组解为1211m x m m y m ⎧=⎪⎪+⎨+⎪=⎪+⎩, 当1m =-时,0D =,0x D ≠,方程组无解,当1m =时,0x yD D D ===,方程组有无穷多组解,22x y x y +=⎧⎨+=⎩ ,令()x t t R =∈ ,原方程组的解为()2x tt R y t =⎧∈⎨=-⎩.【解析】 【分析】(1) 先根据方程组中x ,y 的系数及常数项计算出D ,x D ,y D ,即可求解方程组的解.(2) 先根据方程组中x ,y 的系数及常数项计算出D ,x D ,y D 下面对m 的值进行分类讨论:①当1m ≠-,1m ≠时,②当1m =-时,③当1m =时,分别求解方程组的解即可. 【详解】(1)列出行列式系数 112a =,123a =-,17b =,213a =,224a =,211b =,23D =34--891=-+=,711x D = 34--=28335-+=,23y D =711=22211-= ,5xD x D ∴== ,1y D y D== ,所以二元一次方程组2373411x y x y -=⎧⎨-=⎩的解为51x y =⎧⎨=⎩ . (2)1m D =1m=21m - =()()11m m +- , 12x m D m+=1m=2m m - =()1m m - ,1y m D =12m m+ =()()221211m m m m --=+- ,当1m ≠-,1m ≠时,0D ≠,方程组有唯一解,解为1211m x m m y m ⎧=⎪⎪+⎨+⎪=⎪+⎩, 当1m =-时,0D =,0x D ≠,方程组无解,当1m =时,0x y D D D ===,方程组有无穷多组解,22x y x y +=⎧⎨+=⎩,令()x t t R =∈ ,原方程组的解为()2x tt R y t =⎧∈⎨=-⎩.【点睛】本题主要考查二元一次方程组的矩阵形式、线性方程组解的存在性,唯一性、二元方程的解法等基础知识,考查运算求解能力与转化思想,属于中档题.6.设点(,)x y 在矩阵M 对应变换作用下得到点(2,)x x y +. (1)求矩阵M ;(2)若直线:25l x y -=在矩阵M 对应变换作用下得到直线l ',求直线l '的方程.【答案】(1)2011⎡⎤⎢⎥⎣⎦;(2)3x -4y -10=0. 【解析】 【分析】(1)设出矩阵M ,利用矩阵变换得到关于x 、y 的方程组,利用等式恒成立求出矩阵M ;(2)设点(,)x y 在直线l 上,利用矩阵变换得到点(,)x y '',代入直线l 中,求得直线l '的方程. 【详解】解:(1)设a b M c d ⎡⎤=⎢⎥⎣⎦,由题意,2a b x x M c d y x y ⎡⎤⎡⎤⎡⎤==⎢⎥⎢⎥⎢⎥+⎣⎦⎣⎦⎣⎦g ,所以2ax by x +=,且cx dy x y +=+恒成立; 所以2a =,0b =,1c =,1d =;所以矩阵2011M ⎡⎤=⎢⎥⎣⎦; (2)设点(,)x y 在直线l 上,在矩阵M 对应变换作用下得到点(,)x y ''在直线l '上, 则2x x '=,y x y '=+,所以12x x =',12y y x ='-'; 代入直线:25l x y -=中,可得34100x y '-'-=; 所以直线l '的方程为34100x y --=. 【点睛】本题考查了矩阵变换的计算问题,也考查了运算求解能力,是基础题.7.在ABC ∆中,角,,A B C 所对的边分别为,,a b c,且sincossin 222sincos 022sec12AA cBB B -=-求角C 的大小.【答案】2π 【解析】 【分析】先将三阶行列式化简,结合三角形内角和与诱导公式、辅助角公式化简即可求值 【详解】由sincossin 222sincos 0sin cos sin sin cos 2222222sec12A A cBB A BC B A B -=⇒++=-sin sin 22A B C +⎛⎫⇒+= ⎪⎝⎭又()C A B π=-+,∴ sin sin cos 222A B C C π+-⎛⎫==⎪⎝⎭,sin sin sin cos 2222A B C C C +⎛⎫+=⇔+= ⎪⎝⎭,sin 12424C C ππ⎛⎫⎛⎫+=⇒+= ⎪ ⎪⎝⎭⎝⎭,又Q 3,2444C πππ⎛⎫+∈ ⎪⎝⎭,242C ππ+=∴, 解得2C π=【点睛】本题考查三阶行列式的化简求值,三角函数的诱导公式、辅助角公式的使用,属于中档题8.设函数()()271f x x ax a R =-++∈. (1)若1a =-,解不等式()0f x ≥; (2)若当01xx>-时,关于x 的不等式()1f x ≥恒成立,求a 的取值范围; (3)设()121x g ax x +-=-,若存在x 使不等式()()f x g x ≤成立,求a 的取值范围. 【答案】(1)[)8,6,3⎛⎤-∞+∞ ⎥⎝⎦U ;(2)5a ≥-;(3)4a ≥-.【解析】 【分析】(1)利用零点分段讨论可求不等式的解.(2)01xx>-的解为()0,1,在该条件下()1f x ≥恒成立即为()720a x +->恒成立,参变分离后可求实数a 的取值范围.(3)()()f x g x ≤有解即为12722a x x -≥---有解,利用绝对值不等式可求()2722h x x x =---的最小值,从而可得a 的取值范围.【详解】(1)当1a =-时,()0f x ≥即为2710x x --+≥.当72x ≥时,不等式可化为722710x x x ⎧≥⎪⎨⎪--+≥⎩,故6x ≥; 当72x <时,不等式可化为727210x x x ⎧<⎪⎨⎪--+≥⎩,故83x ≤. 综上,()0f x ≥的解为[)8,6,3⎛⎤-∞+∞ ⎥⎝⎦U .(2)01xx>-的解为()0,1, 当()0,1x ∈时,有()()72182f x x ax a x =-++=+-,因为不等式()1f x ≥恒成立,故()821a x +->即()27a x ->-在()0,1上恒成立, 所以72a x ->-在()0,1上恒成立,而77x-<-在()0,1上总成立, 所以27a -≥-即5a ≥-. 故实数a 的取值范围为5a ≥-.(3)()12112x g x x ax a x a +==-++--, ()()f x g x ≤等价于27121x ax x ax a -++≤-++,即27211x x a ---≤-在R 上有解. 令()27212722h x x x x x =---=---,由绝对值不等式有272227225x x x x ---≤--+=, 所以527225x x -≤---≤,当且仅当72x ≥时,27225x x ---=-成立, 所以()min 5h x =-,故15a -≥-即4a ≥-. 故实数a 的取值范围为4a ≥-. 【点睛】解绝对值不等式的基本方法有零点分段讨论法、图象法、平方法等,利用零点分段讨论法时注意分类点的合理选择.绝对值不等式指:a b a b a b -≤+≤+及a b a b a b -≤-≤+,我们常利用它们求含绝对值符号的函数的最值.9.a ,b 满足什么条件时,关于x ,y ,z 的方程组4424ax y z x by z x by z ++=⎧⎪++=⎨⎪++=⎩有唯一解.【答案】当0b ≠且1a ≠时 【解析】 【分析】计算对应行列式为()111110121aD bb a b ==-≠,计算得到答案.【详解】4424ax y z x by z x by z ++=⎧⎪++=⎨⎪++=⎩有唯一解,则()1111212110121a D b ab b b ab b a b ==++---=-≠ 所以当0b ≠且1a ≠时有唯一解 【点睛】本题考查了方程组的唯一解问题,意在考查学生的计算能力.10.已知矩阵2101M ⎡⎤=⎢⎥⎣⎦(1)求矩阵M 的特征值及特征向量;(2)若21α⎡⎤=⎢⎥-⎣⎦r,求3M αv.【答案】(1)特征值为2;对应的特征向量为210α⎡⎤=⎢⎥⎣⎦u u r(2)91⎡⎤⎢⎥-⎣⎦【解析】 【分析】(1)先根据特征值得定义列出特征多项式,令()0f λ=解方程可得特征值,再由特征值列出方程组即可解得相应的特征向量;(2)由12ααα=+u u r u u r r可得33312M M M ααα=+u u r u u r r ,求解即可. 【详解】(1)矩阵M 的特征多项式为21()01f λλλ--=-(2)(1)λλ=--,令()0f λ=,得矩阵M 的特征值为1或2,当1λ=,时由二元一次方程0000x y x y --=⎧⎨+=⎩. 得0x y +=,令1x =,则1y =-, 所以特征值1λ=对应的特征向量为111α⎡-⎤=⎢⎥⎣⎦; 当2λ=时,由二元一次方程0000x y x y -=⎧⎨+=⎩.得0y =,令1x =,所以特征值2λ=对应的特征向量为210α⎡⎤=⎢⎥⎣⎦u u r;(2)1221ααα⎡⎤==+⎢⎥-⎣⎦u ur u u r rQ ,33312M M M ααα∴=+u u ru u rr331212αα=+u u ru u r311210⎡⎤⎡⎤=+⎢⎥⎢⎥-⎣⎦⎣⎦91⎡⎤=⎢⎥-⎣⎦. 【点睛】本题考查矩阵特征值与特征向量的计算,矩阵的乘法运算,属于基础题.11.已知向量102112A ⎡⎤-⎢⎥=⎢⎥⎢⎥-⎢⎥⎣⎦u r ,求矩阵1A -u r 的特征值和属于该特征值的特征向量.【答案】特征值:1,2-;对应特征向量:12⎛⎫ ⎪-⎝⎭,11⎛⎫⎪⎝⎭.【解析】 【分析】先求得1A -u r ,以及其特征多项式()f λ,令()0f λ=解得特征值,最后根据特征向量的定义求解即可. 【详解】设1A -u r a b c d ⎛⎫= ⎪⎝⎭,则由A u r 1A -u r E =r 可得 10? 1?02 10? 1?1? 2a b c d ⎛⎫- ⎪⎛⎫⎛⎫= ⎪ ⎪ ⎪ ⎪⎝⎭⎝⎭- ⎪⎝⎭, 解得1,1,2,0a b c d =-=-=-=, 故得1A-u r 1? 12?0--⎛⎫= ⎪-⎝⎭.则其特征多项式()()1? 1?122? f λλλλλ+==+-,令()0fλ=,可得特征值为121,2λλ==-.设11λ=对应的一个特征向量为x y α⎛⎫= ⎪⎝⎭,则由11A λαα-=r ,的2y x =-,令1x =,则2y =- 故矩阵1A -u r 的一个特征值11λ=对应的一个特征向量为12⎛⎫ ⎪-⎝⎭;同理可得矩阵1A -u r 的一个特征值22λ=-对应的一个特征向量为11⎛⎫ ⎪⎝⎭.【点睛】本题考查矩阵特征值和特征向量的求解,属中档题.12.变换T 1是逆时针旋转2π角的旋转变换,对应的变换矩阵是M 1;变换T 2对应的变换矩阵是M 2=1101⎡⎤⎢⎥⎣⎦. (1)点P(2,1)经过变换T 1得到点P',求P'的坐标;(2)求曲线y =x 2先经过变换T 1,再经过变换T 2所得曲线的方程. 【答案】(1)P'(-1,2).(2)y -x =y 2. 【解析】试题分析:(1)先写出旋转矩阵M 1=0110-⎡⎤⎢⎥⎣⎦,再利用矩阵运算得到点P'的坐标是P'(-1,2).(2)先按序确定矩阵变换M =M 2⋅M 1=1110-⎡⎤⎢⎥⎣⎦,再根据相关点法求曲线方程:即先求出对应点之间关系,再代入已知曲线方程,化简得y -x =y 2.试题解析:解:(1)M 1=0110-⎡⎤⎢⎥⎣⎦, M 121⎡⎤⎢⎥⎣⎦=12-⎡⎤⎢⎥⎣⎦.所以点P(2,1)在T 1作用下的点P'的坐标是P'(-1,2). (2)M =M 2⋅M 1=1110-⎡⎤⎢⎥⎣⎦, 设x y ⎡⎤⎢⎥⎣⎦是变换后图象上任一点,与之对应的变换前的点是00x y ⎡⎤⎢⎥⎣⎦,则M 00x y ⎡⎤⎢⎥⎣⎦=x y ⎡⎤⎢⎥⎣⎦,也就是000{x y x x y -==即00{y y x x y =-=所以,所求曲线的方程是y -x =y 2. 考点:旋转矩阵,矩阵变换13.已知曲线C :x 2+2xy +2y 2=1,矩阵A =1210⎡⎤⎢⎥⎣⎦所对应的变换T 把曲线C 变成曲线C 1,求曲线C 1的方程. 【答案】x 2+y 2=2 【解析】试题分析:由矩阵变换得相关点坐标关系x =y′,y =2x y '-',再代入已知曲线C 方程,得x 2+y 2=2.试题解析:解:设曲线C 上的任意一点P(x ,y),P 在矩阵A =1210⎡⎤⎢⎥⎣⎦对应的变换下得到点Q(x′,y′).则1210x x y y ⎡⎤⎡⎤⎡⎤=⎢⎥⎢⎥⎢⎥⎣⎦⎣⎣'⎦⎦', 即x +2y =x′,x =y′, 所以x =y′,y =2x y '-'.代入x 2+2xy +2y 2=1,得y′2+2y′2x y '-'+2(2x y '-')2=1,即x′2+y′2=2, 所以曲线C 1的方程为x 2+y 2=2.考点:矩阵变换,相关点法求轨迹方程14.已知矩阵111A a -⎡⎤=⎢⎥⎣⎦,其中a R ∈,若点(1,1)P 在矩阵A 的变换下得到点(0,3)P '-,求矩阵A 的两个特征值.【答案】矩阵A 的特征值为1-或3. 【解析】 【分析】根据点(1,1)P 在矩阵A 的变换下得到点(0,3)P '-,列出方程求出a ,从而可确定矩阵A ,再求出矩阵A 的特征多项式,令其等于0,即可求出矩阵A 的特征值. 【详解】由1110113a -⎡⎤⎡⎤⎡⎤=⎢⎥⎢⎥⎢⎥-⎣⎦⎣⎦⎣⎦,得13a +=-,所以4a =-, 故1141A -⎡⎤=⎢⎥-⎣⎦, 则矩阵A 的特征多项式为2211()(1)42341f x -==--=---λλλλλ,令()0f λ=,解得1λ=-或3λ=, 所以矩阵A 的特征值为1-或3. 【点睛】本题主要考查矩阵的特征多项式及特征值的求法,属于中档题.15.设矩阵12M x y ⎡⎤=⎢⎥⎣⎦,2411N ⎡⎤=⎢⎥--⎣⎦,若02513MN ⎡⎤=⎢⎥⎣⎦,求矩阵M 的逆矩阵1M -.【答案】132554155M -⎡⎤-⎢⎥=⎢⎥⎢⎥-⎢⎥⎣⎦【解析】 【分析】根据矩阵的乘法运算求出MN ,然后由02513MN ⎡⎤=⎢⎥⎣⎦列出方程组,即可求出4,3x y ==,从而确定矩阵M ,再利用求逆矩阵的公式,即可求出矩阵M 的逆矩阵1M -.【详解】解:因为02513MN ⎡⎤=⎢⎥⎣⎦ ,所以25,413.x y x y -=⎧⎨-=⎩所以4,3x y ==;矩阵1243M ⎡⎤=⎢⎥⎣⎦的逆矩阵132554155M -⎡⎤-⎢⎥=⎢⎥⎢⎥-⎢⎥⎣⎦. 【点睛】本题主要考查矩阵的乘法运算及逆矩阵的求解.16.设变换T 是按逆时针旋转2π的旋转变换,对应的变换矩阵是M . (1)求点(1,1)P 在T 作用下的点P '的坐标;(2)求曲线2:C y x =在变换T 的作用下所得到的曲线C '的方程.【答案】(1)()1,1-;(2)2y x =-.【解析】 【分析】(1)根据所给旋转变换的角度可求得对应的矩阵,由所给点的坐标即可求得变换后的对应坐标;(2)根据变换可得矩阵乘法式,计算后代入方程即可得变换后的曲线C '的方程. 【详解】(1)由题意变换T 是按逆时针旋转2π的旋转变换,对应的变换矩阵是M , 可知cos sin012210sin cos 22M ππππ⎛⎫- ⎪-⎛⎫==⎪ ⎪ ⎪⎝⎭ ⎪⎝⎭,1011111011M --⎛⎫⎛⎫⎛⎫⎛⎫=⋅= ⎪ ⎪ ⎪ ⎪⎝⎭⎝⎭⎝⎭⎝⎭,所以点(1,1)P 在T 作用下的点P '的坐标为()1,1-.(2)设x y ⎛⎫⎪⎝⎭是变换后曲线C '上任意一点,与之对应的变换前的点为00x y ⎛⎫ ⎪⎝⎭,则00x x M y y ⎛⎫⎛⎫⋅= ⎪ ⎪⎝⎭⎝⎭,即000110x x y y -⎛⎫⎛⎫⎛⎫⋅= ⎪ ⎪ ⎪⎝⎭⎝⎭⎝⎭, 所以00y x x y -=⎧⎨=⎩,即00x y y x =⎧⎨=-⎩,因为00x y ⎛⎫ ⎪⎝⎭在曲线2:C y x =上,将00x y y x =⎧⎨=-⎩代入可得2x y -=,即2y x =-,所以曲线2:C y x =在变换T 的作用下所得到的曲线C '的方程为2y x =-. 【点睛】本题考查了旋转变换对应矩阵的求法,由矩阵求对应点的坐标,矩阵的乘法运算应用,属于中档题.17.已知矩阵4321M -⎡⎤=⎢⎥-⎣⎦,向量75α⎡⎤=⎢⎥⎣⎦u r . (1)求矩阵M 的特征值及属于每个特征值的一个特征向量; (2)求3M α.【答案】(1)特征值为11λ=,22λ=,分别对应的特征向量为11⎡⎤⎢⎥⎣⎦和32⎡⎤⎢⎥⎣⎦,(2)34933M α⎡⎤=⎢⎥⎣⎦r .【解析】 【分析】(1)根据特征值的定义列出特征多项式,令()0f λ=解方程可得特征值,再由特征值列出方程组即可解得相应的特征向量;(2)7132512α⎛⎫⎡⎤⎡⎤==+ ⎪⎢⎥⎢⎥⎝⎭⎣⎦⎣⎦r g ,即可求3M αr.【详解】(1)矩阵M 的特征多项式为()(1)(2)f λλλ=--, 令()0f λ=,可求得特征值为11λ=,22λ=,设11λ=对应的一个特征向量为x y α⎡⎤=⎢⎥⎣⎦,则由1M λαα=,得330x y -+=,可令1x =,则1y =-, 所以矩阵M 的一个特征值11λ=对应的一个特征向量为11⎡⎤⎢⎥⎣⎦, 同理可得矩阵M 的一个特征值22λ=对应的一个特征向量为32⎡⎤⎢⎥⎣⎦.(2)7132512α⎛⎫⎡⎤⎡⎤==+ ⎪⎢⎥⎢⎥⎝⎭⎣⎦⎣⎦r g所以331349221233M α⎡⎤⎡⎤⎡⎤=+⨯⨯=⎢⎥⎢⎥⎢⎥⎣⎦⎣⎦⎣⎦r .【点睛】本题主要考查了矩阵特征值与特征向量的计算等基础知识,意在考查学生对这些知识的理解掌握水平.18.已知直线l :ax +y =1在矩阵A =1201⎡⎤⎢⎥⎣⎦对应的变换作用下变为直线l′:x +by =1. (1)求实数a 、b 的值;(2)若点P(x 0,y 0)在直线l 上,且A 00x y ⎡⎤⎢⎥⎣⎦=00x y ⎡⎤⎢⎥⎣⎦,求点P 的坐标.【答案】(1) 1.{1a b =-=(2)(1,0)【解析】(1)设直线l :ax +y =1上任意点M (x ,y )在矩阵A 对应的变换作用下像是M ′(x ′,y ′).由''x y ⎡⎤⎢⎥⎣⎦=1201⎡⎤⎢⎥⎣⎦x y ⎡⎤⎢⎥⎣⎦=2x y y +⎡⎤⎢⎥⎣⎦,得2{x x y y y ''=+,=. 又点M ′(x ′,y ′)在l ′上,所以x ′+by ′=1即x +(b +2)y =1.依题意,得1{21a b =+=解得1{1a b ==-(2)由A 00x y ⎡⎤⎢⎥⎣⎦=00x y ⎡⎤⎢⎥⎣⎦,得00000 2{x x y y y =+,=解得y 0=0.,又点P (x 0,y 0)在直线l 上,所以x 0=1. 故点P 的坐标为(1,0).19.已知a ,b R ∈,点()1,1P -在矩阵13a A b ⎡⎤=⎢⎥⎣⎦对应的变换下得到点()1,3Q .(1)求a ,b 的值;(2)求矩阵A 的特征值和特征向量;(3)若向量59β⎡⎤=⎢⎥⎣⎦u r,求4A βu r .【答案】(1)20a b =⎧⎨=⎩;(2)矩阵A 的特征值为1-,3,分别对应的一个特征值为13⎡⎤⎢⎥-⎣⎦,11⎡⎤⎢⎥⎣⎦;(3)485489⎡⎤⎢⎥⎣⎦【解析】 【分析】(1)直接利用矩阵的乘法运算即可; (2)利用特征多项式计算即可;(3)先计算出126βαα=-+u r u u ru u r ,再利用()4444121266A A A A βαααα=-+=-+u r u u r u u r u u r u u r 计算即可得到答案. 【详解】 (1)由题意知,11113133a a b b -⎡⎤⎡⎤⎡⎤⎡⎤==⎢⎥⎢⎥⎢⎥⎢⎥--⎣⎦⎣⎦⎣⎦⎣⎦, 则1133a b -=⎧⎨-=⎩,解得2a b =⎧⎨=⎩. (2)由(1)知2130A ⎡⎤=⎢⎥⎣⎦,矩阵A 的特征多项式()()21233f λλλλλ--==---, 令()0f λ=,得到A 的特征值为11λ=-,13λ=. 将11λ=-代入方程组()2030x y x y λλ⎧--=⎨-+=⎩,解得3y x =-,所以矩阵A 的属于特征值1-的一个特征向量为113α⎡⎤=⎢⎥-⎣⎦u u r.再将13λ=代入方程组()2030x y x y λλ⎧--=⎨-+=⎩,解得y x =,所以矩阵A 的属于特征值3的一个特征向量为211α⎡⎤=⎢⎥⎣⎦u u r.综上,矩阵A 的特征值为1-,3,分别对应的一个特征值为13⎡⎤⎢⎥-⎣⎦,11⎡⎤⎢⎥⎣⎦.(3)设12m n βαα=+u ru u r u u r ,即5119313m n m n m n +⎡⎤⎡⎤⎡⎤⎡⎤=+=⎢⎥⎢⎥⎢⎥⎢⎥--+⎣⎦⎣⎦⎣⎦⎣⎦, 所以539m n m n +=⎧⎨-+=⎩,解得16m n =-⎧⎨=⎩,所以126βαα=-+u r u u r u u r ,所以()4444121266A AA A βαααα=-+=-+u ru u r u u r u u r u u r()441148516331489⎡⎤⎡⎤⎡⎤=--+⨯=⎢⎥⎢⎥⎢⎥-⎣⎦⎣⎦⎣⎦. 【点睛】本题考查矩阵的乘法、特征值、特征向量,考查学生的基本计算能力,是一道中档题.20.设()3322k kx k x f x k x-=+⋅(x ∈R ,k 为正整数)(1)分别求出当1k =,2k =时方程()0f x =的解.(2)设()0f x ≤的解集为[]212,k k a a -,求1234a a a a +++的值及数列{}n a 的前2n 项和. 【答案】(1)1k =时,方程()0f x =的解为2x =,3x =;2k =时, ()0f x =的解为6x =,4x =(2)123415a a a a +++=;前2n 项和为21332222n n n ++-+【解析】 【分析】(1)根据定义化简函数()f x 的解析式,然后根据一元二次方程求出当1k =,2k =时方程()0f x =的解即可;(2)由()0f x ≤即()()320kx k x --≤的解集为[]212,k k aa -建立关系式,然后取1k =,2k =可求出1234a a a a +++的值,最后根据()()()212342121234212n n n n n S a a a a a a a a a a a a --=++++++=++++++L L 进行求解即可; 【详解】解:(1)()()()()2323232kkkf x x k x k x k x =-++⋅=--,当1k =时()()()32f x x x =--,所以方程()0f x =的解为2x =,3x =; 当2k =时()()()64f x x x =--,所以方程()0f x =的解为6x =,4x =; (2)由()0f x ≤即()()320kx k x --≤的解集为[]212,k k aa -.∴2122123232k k k kk ka a k a a k --⎧+=+⎨⋅=⋅⎩, ∴1k =时,1123125a a +=⋅+=,2k =时,23432210a a +=⋅+=. ∴123451015a a a a +++=+=()()()212342121234212n n n n n S a a a a a a a a a a a a --=++++++=++++++L L ()()()()()12231232232312222n n n n =⋅++⋅+++⋅+=+++++++L L L()()2121213332221222nn n n n n +-+=⋅+=+-+-.【点睛】 本题主要考查了二阶行列式的定义,以及数列的求和,同时考查了计算能力,属于中档题.。
高中数学《矩阵与变换》复习知识点一、151.定义“矩阵”的一种运算()x a b ax by cx dy c y d ⎡⎤⎛⎫⋅=++ ⎪⎢⎥⎣⎦⎝⎭,,该运算的意义为点(),x y 在矩阵a b c d ⎛⎫⎪⎝⎭的变换下成点()ax by cx dy ++,,设矩阵11A ⎛=-⎭()1已知点P 在矩阵A 的变换后得到的点Q的坐标为)2,试求点P 的坐标;()2是否存在这样的直线:它上面的任一点经矩阵A 变换后得到的点仍在该直线上?若存在,试求出所有这样的直线;若不存在,则说明理由. 【答案】(1)14⎫⎪⎭(2)存在,直线方程为:3y x =或y = 【解析】 【分析】()1设(),P x y ,由题意,得出关于x 、y 的方程,解之即得P 点的坐标;()2对于存在性问题,可先假设存在,即假设存在这样的直线,设直线方程为:()0y kx b k =+≠,该直线上的任一点(),M x y,经变换后得到的点()N x y +-仍在该直线上,再结合求方程的解,即可求得k ,b 值,若出现矛盾,则说明假设不成立,即不存在;否则存在. 【详解】()1设(),P x y由题意,有124x x y y ⎧=⎧⎪+=⎪⎪⎨⎨-=⎪⎪⎩=⎪⎩,即P点的坐标为14⎫⎪⎭. ()2假设存在这样的直线,因为平行坐标轴的直线显然不满足条件,所以设直线方程为:()0y kx b k =+≠因为该直线上的任一点(),M x y,经变换后得到的点()N x y +-仍在该直线上()-=++y k x b即)()10k x y b --=,其中()0y kx b k =+≠代入得()2220k x b +++=对任意的x ∈R恒成立()22020k b +=+=⎪⎩解之得30k b ⎧=⎪⎨⎪=⎩或0k b ⎧=⎪⎨=⎪⎩故直线方程为y x =或y =. 【点睛】此题主要考查矩阵变换的问题,其中涉及到矩阵的求法等基础知识,考查运算求解能力与转化思想,属于中档题.2.解关于x ,y 的方程组93x ay aax y +=⎧⎨+=⎩.【答案】分类讨论,详见解析 【解析】 【分析】分别计算得到29D a =-,6x D a =,23y D a =-,讨论得到答案.【详解】2199a D a a ==-,639x a a D a ==,2133y a D a a ==-.当3a ≠±时,0D ≠,此时方程有唯一解:2226939a x a a y a ⎧=⎪⎪-⎨-⎪=⎪-⎩; 当3a =±时,0D =,0x D ≠,方程无解. 综上所述:3a ≠±,有唯一解;3a =±,无解. 【点睛】本题考查了通过行列式讨论方程组的解的情况,分类讨论是一个常用的方法,需要同学熟练掌握.3.已知关于x 、y 的二元一次方程组()4360260x y kx k y +=⎧⎨++=⎩的解满足0x y >>,求实数k的取值范围.【答案】5,42⎛⎫ ⎪⎝⎭【解析】【分析】由题意得知0D ≠,求出x D 、y D 解出该方程组的解,然后由0x y D >>⎧⎨≠⎩列出关于k 的不等式组,解出即可. 【详解】由题意可得()4238D k k k =+-=+,()601x D k =-,()604y D k =-.由于方程组的解满足0x y >>,则0D ≠,该方程组的解为()()60186048x y k D x D k D k y D k ⎧-==⎪⎪+⎨-⎪==⎪+⎩,由于00D x y y ≠⎧⎪>⎨⎪>⎩,即()()()806016048860408k k k k k k k ⎧⎪+≠⎪--⎪>⎨++⎪⎪->⎪+⎩,整理得802508408k k k k k ⎧⎪+≠⎪-⎪>⎨+⎪-⎪<⎪+⎩,解得542k <<. 因此,实数k 的取值范围是5,42⎛⎫⎪⎝⎭. 【点睛】本题考查二元一次方程组的求解,同时也考查了分式不等式的求解,考查运算求解能力,属于中等题.4.解关于x ,y 的方程组2122ax y a ax ay a +=+⎧⎨-=-⎩.【答案】见解析 【解析】 【分析】根据对应关系,分别求出D ,x D ,y D ,再分类讨论即可 【详解】 由题可得:()122a D a a a a==-+-,()2211=212x a D a aa+=-+--,221522y a a D a aa+==--.所以,(1)当0a ≠且2a ≠-时,()()221252a x a a a y a ⎧+⎪=⎪+⎨⎪=⎪+⎩;当0a =或2-时,0x D ≠,方程组无解 【点睛】本题考查二元一次方程的解与行列式的对应关系,属于中档题5.利用行列式讨论关于,x y 的方程组1323ax y ax ay a +=-⎧⎨-=+⎩解的情况.【答案】①当03a a ≠≠-且时,方程组有唯一解12x a y ⎧=⎪⎨⎪=-⎩;②当0a =时,方程组无解;③当3a =-时,方程组有无穷多解,可表示为()31x tt R y t =⎧∈⎨=-⎩.【解析】 【分析】由题,可得()()()3,3,23x y D a a D a D a a =-+=-+=+,分别讨论方程组有唯一解,无解,无穷多解的情况即可 【详解】()21333a D a a a a a a==--=-+-, ()()11233323x D a a a a a a-==-+=--=-++-, ()()212332623323y aD a a a a a a a a a -==++=+=++,①当03a a ≠≠-且时,方程有唯一解,()()()()3132323xy a D x D a a a D a a y D a a ⎧-+===⎪-+⎪⎨+⎪===-⎪-+⎩,即12x a y ⎧=⎪⎨⎪=-⎩;②当0a =时,0D =,30x D =-≠,方程组无解;③当3a =-时,0x y D D D ===,方程组有无穷多解,设()x t t R =∈,则原方程组的解可表示为()31x tt R y t =⎧∈⎨=-⎩.【点睛】本题考查利用行列式解方程组,考查运算能力,考查分类讨论思想6.用行列式解关于的二元一次方程组:12(1)x y x k y k +=⎧⎨++=⎩.【答案】1k =时,方程组无解; 1k ≠时,12,11k x y k k -==-- 【解析】 【分析】由题方程组中x ,y 的系数及常数项求出D,D ,D X y ,然后再讨论k 的值进行求解方程组的解. 【详解】由题意可得:11D 21k =+= 1k -,11D 11X kk ==+,11 D 22y k k==-,∴当D ?10k =-≠即1k ≠时,方程组有唯一解即D 1D 1X x k ==-,D 2 D 1y k y k -==-; 当D ?10k =-=即1k =时,方程组无解.综上所述: 1k ≠时,方程组有唯一解1121x k k y k ⎧=⎪⎪-⎨-⎪=⎪-⎩; 1k =时,方程组无解. 【点睛】本题考查了二元一次方程组的矩阵形式、线性方程组解得存在性、唯一性以及二元方程解法等基础知识,考查了学生的运算能力,属于中档题.7.设,,a b c 分别是ABC ∆的三边,行列式b a cc b a a c b .(1)求字母b 的代数余子式的展开式;(2)若(1)的值为0,判断直线sin 0B x ay b ⋅+-=与sin 0C x by c ⋅+-=的位置关系. 【答案】(1)233b ac -;(2)重合. 【解析】 【分析】(1)根据字母b 的代数余子式的展开式()()()246111b a b c b a c ba bc b-+-+-即可求解;(2)根据(1)的值为0,得出边长的关系,即可判断直线位置关系. 【详解】(1),,a b c 分别是ABC ∆的三边,行列式b a cc b a a c b ,所以字母b 的代数余子式的展开式为:()()()246111b a b c b a c ba bc b-+-+-222b ac b ac b ac =-+-+-233b ac =-(2)若(1)的值为0,即2330b ac -=,2b ac =,b c a b=, 由正弦定理:sin sin c C b B= 所以sin sin c C b c b B a b-===- 所以直线sin 0B x ay b ⋅+-=与sin 0C x by c ⋅+-=的位置关系是重合. 【点睛】此题考查求代数余子式的展开式,得出三角形边长关系,结合正弦定理判断两直线的位置关系,跨章节综合性比较强.8.已知点()3,1A ,()1,3B -,i v,j v分别是基本单位向量.(1)若点P 是直线2y x =的动点,且0AP i AP j BP jBP i⋅⋅=-⋅⋅u u u v u u u v v v u u u v u u u v v v ,求点P 的坐标 (2)若点(),P x y 满足124126101x y -=且OP OA OB λμ=-u u u v u u u v u u u v,λ,μ是否存在自然数解,若存在,求出所有的自然数的解,若不存在,说明理由.【答案】(1)()0,0,()2,4(2)存在,0λ=,2μ=或2λ=,1μ=或4λ=,0μ=【解析】 【分析】(1)设P 的坐标为(),2x x ,再根据行列式的运算求解即可.(2)利用124126101x y -=求出(),P x y 满足的关系式,再根据OP OA OB λμ=-u u u r u u u r u u u r求出关于(),P x y 满足的关系式,再求自然数解即可.【详解】(1)由题,设P 的坐标为(),2x x ,因为0AP i AP jBP j BP i⋅⋅=-⋅⋅u u u r r u u u r r u u u r r u u u r r ,故()()()()0AP i BP i BP j AP j ⋅⨯⋅--⋅⨯⋅=u u u r r u u u r r u u u r r u u u r r ,化简得0AP BP ⋅=u u u r u u u r,即()()3,211,230x x x x --⋅+-=,即2222348305100x x x x x x --+-+=⇒-=. 解得0x =或2x =.代入可得()0,0或()2,4(2)由124126101xy -=得12(6)4(2)(26)0y x y x ----++=.化简得8y x =-.又OP OA OB λμ=-u u u ru u u ru u u r,故()()()3,11,3,x y λμ=--,即33x y λμλμ=+⎧⎨=-⎩.故33824λμλμλμ-=+-⇒+=,又,λμ为自然数.故0λ=,2μ=或2λ=,1μ=或4λ=,0μ= 【点睛】本题主要考查了向量与行列式的基本运算等,需要根据题意求得关于(),P x y 的关系式,属于中等题型.9.已知a ,b ,c ,d 四个城市,它们之间的道路联结网如图所示,试用矩阵表示这四个城市组成的道路网络.【答案】0210203013020022a b c da b c d⎛⎫ ⎪ ⎪ ⎪ ⎪⎝⎭ 【解析】 【分析】根据图像计算每两个城市之间的道路数,得到答案. 【详解】根据图像计算每两个城市之间的道路数,如:,a b 之间有2条路;,b c 之间有3条路;同理得到矩阵: 0210203013020022a b c da b c d⎛⎫ ⎪ ⎪ ⎪ ⎪⎝⎭ 【点睛】本题考查了矩阵表示道路网络,意在考查学生的应用能力.10.设函数()271f x x ax =-++(a 为实数). (1)若1a =-,解不等式()0f x ≥; (2)若当01xx>-时,关于x 的不等式()1f x ≥成立,求a 的取值范围; (3)设21()1x g x ax +=--,若存在x 使不等式()()f x g x ≤成立,求a 的取值范围. 【答案】(1)8{|3x x ≤或6}x ≥;(2)[5,)-+∞;(3)[4,)-+∞ 【解析】 【分析】(1)代入1a =-直接解不等式即可; (2)由01xx>-解得01x <<,故可将()1f x ≥化为(2)70a x -+≥,从而求出a 的范围; (3)化简()g x ,故可将题设条件变为:存在x 使1|27||22|a x x -≥---成立,因此求出2722x x ---的最小值即可得出结论.【详解】(1)若1a =-,则()271f x x x =-+- 由()0f x ≥得|27|1x x -≥-, 即270271x x x ->⎧⎨-≥-⎩或270721x x x -≤⎧⎨-≥-⎩, 解得6x ≥或83x ≤, 故不等式的解集为8{|3x x ≤或6}x ≥; (2)由01xx>-解得01x <<, 由()1f x ≥得|27|0x ax -+≥,当01x <<时,该不等式即为(2)70a x -+≥, 设()(2)7F x a x =-+,则有(0)70(1)50F F a =>⎧⎨=+≥⎩解得5a ≥-,因此实数a 的取值范围为[5,)-+∞; (3)21()1x g x ax +=--2|1|(1)x a x =-++, 若存在x 使不等式()()f x g x ≤成立,即存在x 使271x ax -++2|1|(1)x a x ≤-++成立,即存在x 使1|27||22|a x x -≥---成立, 又272227(22)5x x x x ---≤---=, 所以527225x x -≤---≤, 所以15a -≥-,即4a ≥-, 所以a 的取值范围为:[4,)-+∞ 【点睛】本题主要考查了绝对值不等式,结合了恒成立,能成立等问题,属于综合应用题.解决恒成立,能成立问题时,常将其转化为最值问题求解.11.直线l 经矩阵M =cos sin sin cos θθθθ-⎡⎤⎢⎥⎣⎦(其中θ∈(0,π))作用变换后得到直线l ′:y =2x ,若直线l 与l ′垂直,求θ的值.【答案】2πθ=【解析】 【分析】在l 上任取一点P (x ,y ),设P 经矩阵M 变换后得到点P ′(x ′,y ′),根据矩阵变换运算得到x ′,y ′,代入直线l ′:y =2x ,得到直线l 方程,再由两直线垂直求解. 【详解】在l 上任取一点P (x ,y ),设P 经矩阵M 变换后得到点P ′(x ′,y ′)cos sin cos sin sin cos sin cos x x y x y x y y θθθθθθθθ''-⋅-⋅⎡⎤⎡⎤⎡⎤⎡⎤==⎢⎥⎢⎥⎢⎥⎢⎥⋅+⋅⎣⎦⎣⎦⎣⎦⎣⎦故cos sin sin cos x x y y x y θθθθ=-'=+'⎧⎨⎩,又P ′在直线l ′:y =2x 上,即y ′=2x ′ 则sin cos 2cos 2sin x y x y θθθθ+=-即直线l :(sin 2cos )(2sin cos )0x y θθθθ-++= 因为l 与l ′垂直,故sin 2cos 1=cos 02sin cos 2θθθθθ-⇒=+又(0,)θπ∈,故2πθ=.【点睛】本题主要考查矩阵变换研究两直线的位置关系,还考查了运算求解的能力,属于中档题.12.将一枚六个面的编号为1,2,3,4,5,6的质地均匀的正方体骰子先后掷两次,记第一次出的点数为a ,第二次出的点数为b ,且已知关于x 、y 的方程组322ax by x y +=⎧⎨+=⎩.(1)求此方程组有解的概率;(2)若记此方程组的解为0x x y y =⎧⎨=⎩,求00x >且00y >的概率.【答案】(1)1112;(2)1336. 【解析】 【分析】(1)先根据方程组有解得a b ,关系,再确定,a b 取法种数,最后根据古典概型概率公式求结果;(2)先求方程组解,再根据解的情况得a b ,关系,进而确定,a b 取法种数,最后根据古典概型概率公式求结果. 【详解】 (1)因为方程组322ax by x y +=⎧⎨+=⎩有解,所以0212a b a b ≠∴≠ 而2b a =有123,,,246a a a b b b ===⎧⎧⎧⎨⎨⎨===⎩⎩⎩这三种情况,所以所求概率为31116612-=⨯; (2)006232,2022232b x ax by a ba b x y a y a b -⎧=⎪+=⎧⎪-∴-≠⎨⎨+=-⎩⎪=⎪-⎩Q 因为00x >且00y >,所以6223200,022b a a b a b a b---≠>>--,因此12,,33a ab b =≥⎧⎧⎨⎨><⎩⎩即有35213+⨯=种情况,所以所求概率为13136636=⨯; 【点睛】本题考查古典概型概率以及二元一次方程组的解,考查综合分析求解能力,属中档题.13.设矩阵12M x y ⎡⎤=⎢⎥⎣⎦,2411N ⎡⎤=⎢⎥--⎣⎦,若02513MN ⎡⎤=⎢⎥⎣⎦,求矩阵M 的逆矩阵1M -.【答案】132554155M -⎡⎤-⎢⎥=⎢⎥⎢⎥-⎢⎥⎣⎦【解析】 【分析】根据矩阵的乘法运算求出MN ,然后由02513MN ⎡⎤=⎢⎥⎣⎦列出方程组,即可求出4,3x y ==,从而确定矩阵M ,再利用求逆矩阵的公式,即可求出矩阵M 的逆矩阵1M -.【详解】解:因为02513MN ⎡⎤=⎢⎥⎣⎦ ,所以25,413.x y x y -=⎧⎨-=⎩ 所以4,3x y ==;矩阵1243M ⎡⎤=⎢⎥⎣⎦的逆矩阵132554155M -⎡⎤-⎢⎥=⎢⎥⎢⎥-⎢⎥⎣⎦. 【点睛】本题主要考查矩阵的乘法运算及逆矩阵的求解.14.已知矩阵1214A ⎡⎤=⎢⎥-⎣⎦,向量32α⎡⎤=⎢⎥⎣⎦,计算5A α.【答案】5307275A α⎡⎤=⎢⎥⎣⎦【解析】 【分析】根据()0f λ=,得2λ=或3λ=,得到特征向量121α⎡⎤=⎢⎥⎣⎦,211α⎡⎤=⎢⎥⎣⎦,故()55551212A A A A ααααα=+=+,计算得到答案.【详解】 因为212()5614f λλλλλ--==-+-,由()0f λ=,得2λ=或3λ=.当2λ=时,对应的一个特征向量为121α⎡⎤=⎢⎥⎣⎦;当3λ=时,对应的一个特征向量为211α⎡⎤=⎢⎥⎣⎦.设321211m n ⎡⎤⎡⎤⎡⎤=+⎢⎥⎢⎥⎢⎥⎣⎦⎣⎦⎣⎦,解得11m n =⎧⎨=⎩,所以()55551212A A A A ααααα=+=+ 5521307121311275⎡⎤⎡⎤⎡⎤=⨯+⨯=⎢⎥⎢⎥⎢⎥⎣⎦⎣⎦⎣⎦. 【点睛】本题考查了矩阵的计算,意在考查学生的计算能力.15.已知矩阵120A x -⎡⎤=⎢⎥⎣⎦,5723B ⎡⎤=⎢⎥⎣⎦,B 的逆矩阵1B -满足17177AB y --⎡⎤=⎢⎥-⎣⎦. (1)求实数x ,y 的值;(2)求矩阵A 的特征值和特征向量.【答案】(1)1,3x y ==;(2)特征值为2-和1,分别对应一个特征向量为21-⎡⎤⎢⎥⎣⎦,11⎡⎤⎢⎥⎣⎦. 【解析】 【分析】(1)计算()1AB B -,可得12514721y y -⎡⎤⎢⎥--⎣⎦,根据()1A AB B -=,可得结果.(2)计算矩阵A 的特征多项式()121f λλλ+-=-,可得2λ=-或1λ=,然后根据Ax x λ=r r,可得结果.【详解】 (1)因为17177ABy --⎡⎤=⎢⎥-⎣⎦,5723B ⎡⎤=⎢⎥⎣⎦所以()17175712723514721ABB y y y ---⎡⎤⎡⎤⎡⎤==⎢⎥⎢⎥⎢⎥---⎣⎦⎣⎦⎣⎦由()1A ABB -=,所以12120514721x y y --⎡⎤⎡⎤=⎢⎥⎢⎥--⎣⎦⎣⎦所以514172103y x x y y -==⎧⎧⇒⎨⎨-==⎩⎩(2)矩阵A 的特征多项式为:()()()()1212211f λλλλλλλ+-==+-=+--令()0f λ=,解得2λ=-或1λ= 所以矩阵A 的特征值为2-和1. ①当2λ=-时,12222102x x x y xy y x y--+=-⎡⎤⎡⎤⎡⎤⎧=-⇒⎨⎢⎥⎢⎥⎢⎥=-⎣⎦⎣⎦⎣⎦⎩ 令1y =,则2x =-,所以矩阵M 的一个特征向量为21-⎡⎤⎢⎥⎣⎦.②当1λ=时,12210x x x y xy y x y--+=⎡⎤⎡⎤⎡⎤⎧=⇒⎨⎢⎥⎢⎥⎢⎥=⎣⎦⎣⎦⎣⎦⎩ 令1y =,则1x =所以矩阵M 的一个特征向量为11⎡⎤⎢⎥⎣⎦. 因此,矩阵A 的特征值为2-和1,分别对应一个特征向量为21-⎡⎤⎢⎥⎣⎦,11⎡⎤⎢⎥⎣⎦.【点睛】本题考查矩阵的应用,第(1)问中,关键在于()1A ABB -=,第(2)问中,关键在于()1201f λλλ+-==-,考验分析能力以及计算能力,属中档题.16.己知矩阵1221M ⎡⎤=⎢⎥⎣⎦. (1)求1M -;(2)若曲线221:1C x y -=在矩阵M 对应的变换作用下得到另一曲线2C ,求2C 的方程.【答案】(1)112332133M -⎡⎤-⎢⎥=⎢⎥⎢⎥-⎢⎥⎣⎦;(2)223y x -= 【解析】 【分析】(1)根据逆矩阵的求法,求得M 的逆矩阵1M -.(2)设出1C 上任意一点的坐标,设出其在矩阵M 对应的变换作用下得到点的坐标,根据坐标变换列方程,解方程求得两者坐标对应关系式,再代入1C 方程,化简后可求得2C 的方程. 【详解】解(1)设所求逆矩阵为a b c d ⎡⎤⎢⎥⎣⎦,则122210212201a b a c b d c d a c b d ++⎡⎤⎡⎤⎡⎤⎡⎤==⎢⎥⎢⎥⎢⎥⎢⎥++⎣⎦⎣⎦⎣⎦⎣⎦,即21202021a cb d ac bd +=⎧⎪+=⎪⎨+=⎪⎪+=⎩,解得13232313a b c d ⎧=-⎪⎪⎪=⎪⎨⎪=⎪⎪⎪=-⎩,所以112332133M -⎡⎤-⎢⎥=⎢⎥⎢⎥-⎢⎥⎣⎦. (2)设曲线1C 上任一点坐标为()00,x y ,在矩阵M 对应的变换作用下得到点(),x y , 则001221x x y y ⎡⎤⎡⎤⎡⎤=⎢⎥⎢⎥⎢⎥⎣⎦⎣⎦⎣⎦,即000022x y x x y y+=⎧⎨+=⎩, 解得002323y x x x y y -⎧=⎪⎪⎨-⎪=⎪⎩. 因为2201x y -=,所以2222133y x x y --⎛⎫⎛⎫-= ⎪ ⎪⎝⎭⎝⎭,整理得223y x -=, 所以2C 的方程为223y x -=. 【点睛】本小题主要考查逆矩阵的求法,考查利用矩阵变换求曲线方程,考查运算求解能力,属于中档题.17.已知二阶矩阵,矩阵属于特征值的一个特征向量为,属于特征值的一个特征向量为.求矩阵.【答案】【解析】 【分析】运用矩阵定义列出方程组求解矩阵 【详解】由特征值、特征向量定义可知,,即,得同理可得解得,,,.因此矩阵【点睛】本题考查了由矩阵特征值和特征向量求矩阵,只需运用定义得出方程组即可求出结果,较为简单18.已知a ,b R ∈,若M =13a b -⎡⎤⎢⎥⎣⎦所对应的变换T M 把直线2x-y=3变换成自身,试求实数a ,b . 【答案】【解析】 【分析】 【详解】 设则即此直线即为则..19.已知向量102112A ⎡⎤-⎢⎥=⎢⎥⎢⎥-⎢⎥⎣⎦u r ,求矩阵1A -u r 的特征值和属于该特征值的特征向量.【答案】特征值:1,2-;对应特征向量:12⎛⎫ ⎪-⎝⎭,11⎛⎫⎪⎝⎭. 【解析】 【分析】先求得1A -u r,以及其特征多项式()fλ,令()0f λ=解得特征值,最后根据特征向量的定义求解即可. 【详解】设1A -u r a b c d ⎛⎫= ⎪⎝⎭,则由A u r 1A -u r E =r可得 10? 1?02 10? 1?1? 2a b c d ⎛⎫- ⎪⎛⎫⎛⎫= ⎪ ⎪ ⎪ ⎪⎝⎭⎝⎭- ⎪⎝⎭, 解得1,1,2,0a b c d =-=-=-=,故得1A -u r 1? 12? 0--⎛⎫= ⎪-⎝⎭. 则其特征多项式()()1? 1?122? f λλλλλ+==+-, 令()0fλ=,可得特征值为121,2λλ==-.设11λ=对应的一个特征向量为x y α⎛⎫= ⎪⎝⎭,则由11A λαα-=r ,的2y x =-,令1x =,则2y =- 故矩阵1A -u r 的一个特征值11λ=对应的一个特征向量为12⎛⎫ ⎪-⎝⎭;同理可得矩阵1A -u r的一个特征值22λ=-对应的一个特征向量为11⎛⎫⎪⎝⎭.【点睛】本题考查矩阵特征值和特征向量的求解,属中档题.20.已知矩阵2101M ⎡⎤=⎢⎥⎣⎦(1)求矩阵M 的特征值及特征向量;(2)若21α⎡⎤=⎢⎥-⎣⎦r,求3M αv.【答案】(1)特征值为2;对应的特征向量为210α⎡⎤=⎢⎥⎣⎦u u r(2)91⎡⎤⎢⎥-⎣⎦【解析】 【分析】(1)先根据特征值得定义列出特征多项式,令()0f λ=解方程可得特征值,再由特征值列出方程组即可解得相应的特征向量;(2)由12ααα=+u u r u u r r可得33312M M M ααα=+u u r u u r r ,求解即可. 【详解】(1)矩阵M 的特征多项式为21()01f λλλ--=-(2)(1)λλ=--,令()0f λ=,得矩阵M 的特征值为1或2,当1λ=,时由二元一次方程0000x y x y --=⎧⎨+=⎩. 得0x y +=,令1x =,则1y =-,所以特征值1λ=对应的特征向量为111α⎡-⎤=⎢⎥⎣⎦;当2λ=时,由二元一次方程0000x y x y -=⎧⎨+=⎩. 得0y =,令1x =,所以特征值2λ=对应的特征向量为210α⎡⎤=⎢⎥⎣⎦u u r;(2)1221ααα⎡⎤==+⎢⎥-⎣⎦u ur u u r rQ ,33312M M M ααα∴=+u u r u u r r 331212αα=+u u r u u r 311210⎡⎤⎡⎤=+⎢⎥⎢⎥-⎣⎦⎣⎦91⎡⎤=⎢⎥-⎣⎦.【点睛】本题考查矩阵特征值与特征向量的计算,矩阵的乘法运算,属于基础题.。
【最新】数学《矩阵与变换》复习知识点一、151.已知函数2sin ()1x xf x x -=.(1)当0,2x π⎡⎤∈⎢⎥⎣⎦时,求()f x 的值域;(2)已知ABC V 的内角A ,B ,C 的对边分别为a ,b ,c ,若2A f ⎛⎫=⎪⎝⎭4a =,5b c +=,求ABC V 的面积.【答案】(1)1⎡⎤+⎢⎥⎣⎦;(2 【解析】 【分析】(1)由题意利用三角恒等变换化简函数的解析式,再利用正弦函数的定义域和值域求得当0,2x π⎡⎤∈⎢⎥⎣⎦时,求函数()f x 的值域. (2)由条件求得A ,利用余弦定理求得bc 的值,可得△ABC 的面积. 【详解】 解:(1)21()sin cos cos 2)sin 2sin 223f x x x x x x x π⎛⎫=+=++=+ ⎪⎝⎭Q , 又02x π≤≤,得42333x πππ≤+≤,所以sin 21,0sin 2133x x ππ⎛⎫⎛⎫≤+≤≤+≤ ⎪ ⎪⎝⎭⎝⎭,即函数()f x 在0,2π⎡⎤⎢⎥⎣⎦上的值域为1⎡⎤+⎢⎥⎣⎦;(2)∵2A f ⎛⎫=⎪⎝⎭,sin 32A π⎛⎫∴+=⎪⎝⎭, 由(0,)A π∈,知4333A πππ<+<, 解得:233A ππ+=,所以3A π=. 由余弦定理知:2222cos a b c bc A =+-,即2216b c bc =+-,216( c)3b bc ∴=+-.因为5b c +=,所以3bc =,1sin 2ABC S bc A ∆∴==【点睛】本题主要考查三角恒等变换,正弦函数的周期性、正弦函数的定义域和值域,余弦定理的应用,属于中档题.2.已知关于x 、y 的二元一次方程组()4360260x y kx k y +=⎧⎨++=⎩的解满足0x y >>,求实数k的取值范围.【答案】5,42⎛⎫⎪⎝⎭【解析】 【分析】由题意得知0D ≠,求出x D 、y D 解出该方程组的解,然后由0x y D >>⎧⎨≠⎩列出关于k 的不等式组,解出即可. 【详解】由题意可得()4238D k k k =+-=+,()601x D k =-,()604y D k =-.由于方程组的解满足0x y >>,则0D ≠,该方程组的解为()()60186048x y k D x D k D k y D k ⎧-==⎪⎪+⎨-⎪==⎪+⎩,由于00D x y y ≠⎧⎪>⎨⎪>⎩,即()()()806016048860408k k k k k k k ⎧⎪+≠⎪--⎪>⎨++⎪⎪->⎪+⎩,整理得802508408k k k k k ⎧⎪+≠⎪-⎪>⎨+⎪-⎪<⎪+⎩,解得542k <<. 因此,实数k 的取值范围是5,42⎛⎫⎪⎝⎭. 【点睛】本题考查二元一次方程组的求解,同时也考查了分式不等式的求解,考查运算求解能力,属于中等题.3.解方程组()32021mx y x m y m +-=⎧⎨+-=⎩,并求使得x y >的实数m 的取值范围.【答案】()1,3 【解析】 【分析】计算出行列式D 、x D 、y D ,对D 分0D ≠和0D =两种情况分类讨论,求出方程组的解,再由x y >列出关于m 的不等式,解出即可. 【详解】 由题意可得()()2362321m D m m m m m ==--=+--,2321x D m m m ==---,()()224222y m D m m m m==-=-+.①当0D ≠时,即当260m m --≠时,即当2m ≠-且3m ≠时,1323x y D x D m D m y D m ⎧==⎪⎪-⎨-⎪==⎪-⎩.x y >Q ,则()()()2222133m m m ->--,即()22130m m ⎧-<⎪⎨-≠⎪⎩,解得13m <<; ②当2m =-时,方程组为2320232x y x y -+-=⎧⎨-=-⎩,则有232x y -=,该方程组有无穷多解,x y >不能总成立;③当3m =时,方程组为33202230x y x y +-=⎧⎨+-=⎩,即203302x y x y ⎧+-=⎪⎪⎨⎪+-=⎪⎩,该方程组无解.综上所述,实数m 的取值范围是()1,3. 【点睛】本题考查二元一次方程组的求解,同时也考查了分式不等式的求解,在解题时要注意对系数行列式是否为零进行分类讨论,考查运算求解能力,属于中等题.4.求证:sin cos 1sin 2cos 21sin 22sin sin 3cos31xx xx x x xx =-. 【答案】证明见解析【解析】先利用三阶矩阵的计算方法,化简等式的左边,再结合两角差的正弦公式化简即可证明. 【详解】sin cos 1sin 2cos 2sin cos sin cos sin 2cos 21sin 3cos3sin 3cos3sin 2cos 2sin 3cos31x x x x x x x xx x x x x x x xxx =-+=sin (-x )-sin(-2x )+sin (-x )=sin 2x -sin 2x . 【点睛】本题考查行列式的运算法则及性质的应用,变换的能力及数学分析能力,涉及两角和差的正弦公式,属于中档题.5.利用行列式解关于x 、y 的二元一次方程组42mx y m x my m+=+⎧⎨+=⎩.【答案】见解析 【解析】 【分析】计算出系数行列式D ,以及x D 、y D ,然后分0D ≠和0D =两种情况讨论,在0D ≠时,直接利用行列式求出方程组的解,在0D =时,得出2m =±,结合行列式讨论原方程组解的情况. 【详解】 系数行列式为2441m D m m==-,()242x m D m m mm+==-,()()222211y m m D m m m m m+==--=-+.①当240D m =-≠时,即当2m ≠±时,原方程组有唯一解()()()2224221142x y m m D m x D m m D m m m y D m m ⎧-===⎪⎪-+⎨-++⎪===⎪-+⎩;②当240D m =-=时,2m =±.(i )当2m =-时,0D =,8x D =,4y D =,原方程组无解; (ii )当2m =时,0x y D D D ===,原方程为24422x y x y +=⎧⎨+=⎩,可化为22x y +=,该方程组有无数组解,即12x R x y ∈⎧⎪⎨=-⎪⎩.本题考查利用行列式求二元一次方程组的解,解题时要对系数行列式是否为零进行分类讨论,考查运算求解能力与分类讨论思想的应用,属于中等题.6.用行列式解关于的二元一次方程组:12(1)x y x k y k+=⎧⎨++=⎩.【答案】1k =时,方程组无解; 1k ≠时,12,11k x y k k -==-- 【解析】 【分析】由题方程组中x ,y 的系数及常数项求出D,D ,D X y ,然后再讨论k 的值进行求解方程组的解. 【详解】由题意可得:11D 21k =+= 1k -,11D 11X kk ==+,11 D 22y k k==-,∴当D ?10k =-≠即1k ≠时,方程组有唯一解即D 1D 1X x k ==-,D 2 D 1y k y k -==-; 当D ?10k =-=即1k =时,方程组无解.综上所述: 1k ≠时,方程组有唯一解1121x k k y k ⎧=⎪⎪-⎨-⎪=⎪-⎩; 1k =时,方程组无解. 【点睛】本题考查了二元一次方程组的矩阵形式、线性方程组解得存在性、唯一性以及二元方程解法等基础知识,考查了学生的运算能力,属于中档题.7.[选修4-2:矩阵与变换] 已知矩阵11a A b ⎡⎤=⎢⎥-⎣⎦的一个特征值为2,其对应的一个特征向量为21α⎡⎤=⎢⎥⎣⎦. 若x a A y b ⎡⎤⎡⎤=⎢⎥⎢⎥⎣⎦⎣⎦,求x ,y 的值. 【答案】x ,y 的值分别为0,1. 【解析】试题分析:利用矩阵的乘法法则列出方程,解方程可得x ,y 的值分别为0,1. 试题解析:由条件知,2A αα=,即][1222111a b ⎡⎤⎡⎤=⎢⎥⎢⎥-⎣⎦⎣⎦,即][2422ab +⎡⎤=⎢⎥-+⎣⎦,所以24,{22,a b +=-+= 解得2,{ 4.a b == 所以1214A ⎡⎤=⎢⎥-⎣⎦. 则][][][12221444xx x y A y y x y +⎡⎤⎡⎤===⎢⎥⎢⎥--+⎣⎦⎣⎦,所以22,{44,x y x y +=-+= 解得0,{ 1.x y == 所以x ,y 的值分别为0,1.8.已知命题P :lim 0n n c →∞=,其中c 为常数,命题Q :把三阶行列式5236418x c x ⎛⎫ ⎪- ⎪ ⎪⎝⎭中第一行,第二列元素的代数余子式记为()f x ,且函数()f x 在1,4⎛⎤-∞ ⎥⎝⎦上单调递增,若命题P 是真命题,而命题Q 是假命题,求实数c 的取值范围.【答案】112c -<< 【解析】 【分析】先由已知命题P 是真命题,得:11c -<<,根据三阶行列式中第一行、第二列元素的代数余子式写出2()4f x x cx =-+-,结合函数()f x 在上单调递增.求得c 的取值范围,最后即可解决问题. 【详解】由已知命题:lim 0nn P c →∞=,其中c 为常数,是真命题,得:11c -<<。
【最新】高考数学《矩阵与变换》练习题一、151.关于x 的不等式201x a x+<的解集为()1,b -.()1求实数a ,b 的值;()2若1z a bi =+,2z cos isin αα=+,且12z z 为纯虚数,求tan α的值.【答案】(1)1a =-,2b =(2)12- 【解析】 【分析】(1)由题意可得:1-,b 是方程220x ax +-=的两个实数根,利用根与系数的关系即可得出答案;(2)利用(1)的结果得()()1222z z cos sin cos sin i αααα=--+-为纯虚数,利用纯虚数的定义即可得出. 【详解】 解:(1)不等式201x a x+<即()20x x a +-<的解集为()1,b -. 1∴-,b 是方程220x ax +-=的两个实数根,∴由1b a -+=-,2b -=-,解得1a =-,2b =. (2)由(1)知1,2a b =-=,()()()()121222z z i cos isin cos sin cos sin i αααααα∴=-++=--+-为纯虚数,20cos sin αα∴--=,20cos sin αα-≠,解得12tan α=-.【点睛】本题考查了行列式,复数的运算法则、纯虚数的定义、一元二次方程的根与系数的关系、一元二次不等式的解法,考查了推理能力与计算能力,属于中档题.2.用行列式解方程组231231x y z x y az ay z +-=-⎧⎪-+=-⎨⎪-=⎩,并加以讨论.【答案】当1a ≠且52a ≠-时,原方程有唯一解1125225525a x a y a z a +⎧=-⎪+⎪⎪=⎨+⎪⎪=⎪+⎩;当52a =-时,方程组无解; 当1a =时,方程组有无穷多解,解为()11,x t y t t R z t =-⎧⎪=+∈⎨⎪=⎩【解析】 【分析】分别得到D ,x D ,y D ,z D ,然后分别得到它们等于0,得到相应的a 的值,然后进行讨论. 【详解】()()2131225101D a a a a-=-=-+--,()()1133211111x D a a a a--=--=-+-,()2131321011y D a a --=-=---,()2111235101z D a a-=--=-当1a ≠且52a ≠-时,原方程有唯一解1125225525a x a y a z a +⎧=-⎪+⎪⎪=⎨+⎪⎪=⎪+⎩;当52a =-时,原方程等价于2315232512x y z x y z y z ⎧⎪+-=-⎪⎪--=-⎨⎪⎪---=⎪⎩,方程组无解;当1a =时,原方程组等价于231231x y z x y z y z +-=-⎧⎪-+=-⎨⎪-=⎩,方程组有无穷多解,解为()11,x t y t t R z t =-⎧⎪=+∈⎨⎪=⎩【点睛】本题考查通过行列式对方程组的解进行讨论,属于中档题.3.讨论关于x ,y ,z 的方程组2112x y z x y az x ay a z ++=⎧⎪++=⎨⎪++=⎩解的情况.【答案】当1a ≠时,有唯一解2,11,0.a x a y a z -⎧=⎪-⎪=-⎨⎪=⎪⎩;当1a =时,无解.【解析】 【分析】先根据方程组中x ,y ,z 的系数及常数项计算出D ,x D ,y D ,z D ,再对a 的值进行分类讨论,并求出相应的解. 【详解】方程组可转化为:2111111121x a a a y z ⎡⎤⎡⎤⎡⎤⎢⎥⎢⎥⎢⎥=⎢⎥⎢⎥⎢⎥⎢⎥⎢⎥⎢⎥⎣⎦⎣⎦⎣⎦,2211111(1)1a a D a a ==--,21111(1)(2)12x D a a a a a ==---, 211111112y D a a a ==-+,111101112z D a ==,(1)当系数行列式||0D ≠时,方程组有唯一解,即1a ≠时,有唯一解2,11,0.a x a y a z -⎧=⎪-⎪=-⎨⎪=⎪⎩(2)当1a =时,原方程组等价于112x y z x y z x y z ++=⎧⎪++=⎨⎪++=⎩所以无解.【点睛】本题考查三元一次方程组的矩阵形式、线性方程组解的存在性、唯一性、三元一次方程的解法等基础知识,考查运算求解能力.4.用行列式解方程组252,23,24 1.x y z y z x y z ++=-⎧⎪--=⎨⎪++=-⎩【答案】1337313x y z ⎧=⎪⎪⎪=-⎨⎪⎪=-⎪⎩【解析】 【分析】先根据方程组中x ,y ,z 的系数及常数项求得D ,x D ,y D ,z D ,再对a 的值进行分类讨论,并求出相应的解. 【详解】方程组可转化为:125202324111x y z ⎡⎤⎡⎤⎡⎤⎢⎥⎢⎥⎢⎥-=⎢⎥⎢⎥⎢⎥⎢⎥⎢⎥⎢⎥⎣⎦⎣⎦-⎦--⎣,1912502241D =-=-, 13922532141x D --=-=-,12503221121y D --==--,1312203241z D ---==-,所以13,37,31.3x y z D x D D y D D z D ⎧==⎪⎪⎪==-⎨⎪⎪==-⎪⎩【点睛】本题考查三元一次方程组的矩阵形式、线性方程组的行列式求解,考查运算求解能力.5.关于ϕ的矩阵()cos sin sin cos A ϕϕϕϕϕ-⎛⎫=⎪⎝⎭,列向量12x X x ⎛⎫= ⎪⎝⎭.(1)已知11x =,23x =,45ϕ=︒,计算()A X ϕ,并指出该算式表示的意义; (2)把反比例函数1xy =的图象绕坐标原点逆时针旋转45︒,求得到曲线的方程;(3)已知数列12n n a =,n *∈N ,猜想并计算()()()12n A a A a A a ⋅⋅⋅⋅⋅⋅. 【答案】(1)⎛⎝,表示把向量X 逆时针旋转45︒得到的向量;(2)22122y x -=; (3)cos1sin1sin1cos1-⎛⎫⎪⎝⎭.【解析】 【分析】(1)根据向量与矩阵的乘法可计算结果,由旋转变换的运算法则即可得到算式表示的意义;(2)由题意,得旋转变换矩阵cos sin4422sin cos 4422A ππππ⎛⎛⎫--⎪ ⎪==⎪⎪ ⎪ ⎪⎪⎝⎭⎝⎭,设xy =1上的任意点(),P x y '''在变换矩阵A 作用下为(,)P x y ,确定坐标之间的关系,即可求得曲线的方程;(3)分别求出n =1,n =2,n =3时矩阵相乘的结果,由此猜想算式关于n 的表达式,从而可求得所求算式的结果. 【详解】(1)()cos sin11442233sin cos 4422A X ππϕππ⎛⎛⎫--⎪⎛⎛⎫⎛⎫ ⎪===⎪ ⎪ ⎪ ⎪ ⎪⎝⎭⎝⎭⎝ ⎪⎪⎝⎭⎝⎭, 该算式表示把向量X 逆时针旋转45︒得到的向量;(2)由题意,得旋转变换矩阵cos sin4422sin cos 4422A ππππ⎛⎛⎫--⎪ ⎪==⎪⎪ ⎪ ⎪⎪⎝⎭⎝⎭, 设xy =1上的任意点(),P x y '''在变换矩阵A 的作用下为(,)P x y ,则2222x x y y ⎛- ⎛⎫⎛⎫ ⎪= ⎪ ⎪ ⎪⎝⎭⎝⎭ ⎪''⎝⎭,2222x x y y x y ⎧=-⎪⎪∴⎨⎪=+'''⎩'⎪,则2222222222y x x y x y x y ⎛⎫⎛⎫''''''-=+--== ⎪ ⎪ ⎪ ⎪⎝⎭⎝⎭, 将曲线xy =1绕坐标原点按逆时针方向旋转45︒,所得曲线的方程为22122y x -=;(3)当n =1时,()111cos sin2211sin cos 22n n n nA a ⎛⎫- ⎪=⎪ ⎪ ⎪⎝⎭; 当n =2时,()()2212221111cos sin cos sin 22221111sin cos sin cos 2222A a A a ⎛⎫⎛⎫-- ⎪⎪=⎪⎪ ⎪⎪ ⎪⎪⎝⎭⎝⎭2222222211111111cos cos sin sin cos sin cos sin 2222222211111111sin cos sin cos cos cos sin sin 22222222⎛⎫--- ⎪=⎪ ⎪+- ⎪⎝⎭22221111cos()sin()22221111sin()cos()2222⎛⎫+-+ ⎪= ⎪ ⎪++ ⎪⎝⎭,当n =3时,()()()22331232233111111cos sin cos sincos sin222222111111sin cos sin cos sin cos 222222A a A a A a ⎛⎫⎛⎫⎛⎫--- ⎪⎪⎪=⎪⎪⎪ ⎪⎪⎪ ⎪⎪⎪⎝⎭⎝⎭⎝⎭23232323111111cos()sin()222222111111sin()cos()222222⎛⎫++-++ ⎪= ⎪ ⎪++++ ⎪⎝⎭,由此猜想:当n =k 时,()()()221222111111cos sin cos sincos sin222222111111sin cos sin cos sin cos 222222k k k kkA a A a A a ⎛⎫⎛⎫⎛⎫--- ⎪⎪ ⎪=⎪⎪⎪ ⎪⎪ ⎪ ⎪⎪⎪⎝⎭⎝⎭⎝⎭L L222211111111cos()sin()cos(1)sin(1)2222222211111111sin()cos()sin(1)cos(1)22222222k k k k k k k k ⎛⎫⎛⎫+++-+++--- ⎪ ⎪== ⎪ ⎪ ⎪ ⎪++++++-- ⎪ ⎪⎝⎭⎝⎭L L L L ,当k →+∞时,1112k-→, 所以()()()12cos1sin1sin1cos1n A a A a A a -⎛⎫⋅⋅⋅⋅⋅⋅= ⎪⎝⎭.【点睛】本题考查向量经矩阵变换后的向量求法,曲线的旋转变换和矩阵的乘法,关键掌握住变换的运算法则和矩阵的乘法公式,属中档题.6.求证:sin cos 1sin 2cos 21sin 22sin sin 3cos31xx xx x x xx =-. 【答案】证明见解析【解析】 【分析】先利用三阶矩阵的计算方法,化简等式的左边,再结合两角差的正弦公式化简即可证明. 【详解】sin cos 1sin 2cos 2sin cos sin cos sin 2cos 21sin 3cos3sin 3cos3sin 2cos 2sin 3cos31x x x x x x x xx x x x x x x xxx =-+=sin (-x )-sin(-2x )+sin (-x )=sin 2x -sin 2x . 【点睛】本题考查行列式的运算法则及性质的应用,变换的能力及数学分析能力,涉及两角和差的正弦公式,属于中档题.7.已知命题P :lim 0n n c →∞=,其中c 为常数,命题Q :把三阶行列式5236418x c x ⎛⎫ ⎪- ⎪ ⎪⎝⎭中第一行,第二列元素的代数余子式记为()f x ,且函数()f x 在1,4⎛⎤-∞ ⎥⎝⎦上单调递增,若命题P 是真命题,而命题Q 是假命题,求实数c 的取值范围.【答案】112c -<< 【解析】【分析】先由已知命题P 是真命题,得:11c -<<,根据三阶行列式中第一行、第二列元素的代数余子式写出2()4f x x cx =-+-,结合函数()f x 在上单调递增.求得c 的取值范围,最后即可解决问题. 【详解】由已知命题:lim 0nn P c →∞=,其中c 为常数,是真命题,得:11c -<<。
《矩阵与变换》考试知识点一、151.已知圆C 经矩阵332aM ⎡⎤=⎢⎥-⎣⎦变换后得到圆22:13C x y '+=,求实数a 的值. 【答案】2a = 【解析】 【分析】设圆C 上任一点(,)x y ,经M 变换后得到(),x y '',则332x ax yy x y =+⎧⎨=-''⎩,代入计算得到答案.【详解】设圆C 上任一点(,)x y ,经M 变换后得到(),x y '',则332x a x y y '⎡⎤⎡⎤⎡⎤=⎢⎥⎢⎥⎢⎥'-⎣⎦⎣⎦⎣⎦, 则332x ax y y x y=+⎧⎨=-''⎩,由(),x y ''在22:13C x y '+=上,可得22(3)(32)13ax y x y ++-=,即()22292(36)1313a x a xy y ++-+=,由方程表示圆,可得2913a +=,2(36)0a -=,则2a =. 【点睛】本题考查了圆的矩阵变换,意在考查学生的应用能力.2.解方程组32321x my m mx y m +=+⎧⎨+=-⎩.【答案】详见解析. 【解析】 【分析】求出行列式D 、x D 、y D ,对D 分0D ≠和0D =两种情况分类讨论,利用方程组解与行列式之间的关系求出方程组的解,或者将参数的值代入方程组进行求解,由此得出方程组的解. 【详解】由题意可得()()2933D m m m =-=--+,()()3(2)(21)231x D m m m m m =+--=--+,()()31y D m m =---.①当0D ≠时,即当3m ≠±时,()21313x y m D x D m D m y D m ⎧+==⎪⎪+⎨-⎪==⎪+⎩;②当3m =时,方程组335335335x y x y x y +=⎧⇔+=⎨+=⎩,令()x t t R =∈,得533ty -=,此时,该方程组的解有无数多个,为,()533x t t R t y =⎧⎪∈-⎨=⎪⎩;③当3m =-时,该方程组为331337x y x y -=-⎧⎨-+=-⎩17⇒-=,所以该方程组无解.【点睛】本题考查二元一次方程组的求解,解题时要对系数行列式是否为零进行分类讨论,考查运算求解能力,属于中等题.3.解方程组()sin cos 2cos 0cos cos 2sin x y x y ααααπααα-=⎧≤≤⎨+=⎩.【答案】见解析. 【解析】 【分析】求出行列式D 、x D 、y D ,对D 分0D ≠和0D =两种情况分类讨论,利用方程组的解与行列式之间的关系求出方程组的解,或者将参数的值代入方程组进行求解,由此得出方程组的解. 【详解】由题意得()sin cos2cos cos2sin cos cos2D ααααααα=+=+,()cos cos2sin cos2sin cos cos2x D ααααααα=+=+,22sin cos cos2y D ααα=-=-.0απ≤≤Q ,022απ∴≤≤.①当0D ≠时,即当cos20α≠时,即当22πα≠且322πα≠时,即当4πα≠且34πα≠时,11sin cos x y D x DD y D αα⎧==⎪⎪⎨⎪==-⎪+⎩; ②当4πα=时,方程组为==,则该方程组的解为1x y R =⎧⎨∈⎩;③当34πα=时,方程组为2222x x =-⎪⎪⎨⎪-=⎪⎩,该方程组的解为1x y R =-⎧⎨∈⎩. 【点睛】本题考查二元一次方程组的求解,解题时要对系数行列式是否为零进行分类讨论,考查运算求解能力,属于中等题.4.求证:sin cos 1sin 2cos 21sin 22sin sin 3cos31xx xx x x xx =-. 【答案】证明见解析【解析】 【分析】先利用三阶矩阵的计算方法,化简等式的左边,再结合两角差的正弦公式化简即可证明. 【详解】sin cos 1sin 2cos 2sin cos sin cos sin 2cos 21sin 3cos3sin 3cos3sin 2cos 2sin 3cos31x x x x x x x xx x x x x x x xxx =-+=sin (-x )-sin(-2x )+sin (-x )=sin 2x -sin 2x . 【点睛】本题考查行列式的运算法则及性质的应用,变换的能力及数学分析能力,涉及两角和差的正弦公式,属于中档题.5.已知(2,1)OA =u u u v ,(1,7)OB =u u u v ,(5,1)OC =u u u v,若OD xOA =u u u v u u u v,()f x DB DC =⋅u u u v u u u v(,x y ∈R ).(1)求函数()y f x =的解析式;(2)求函数()4()15f xg x x-=在12x ≤≤条件下的最小值;(3)把()y f x =的图像按向量(2,8)a =-v平移得到曲线C ,过坐标原点O 作OM 、ON分别交曲线C 于点M 、N ,直线MN 交y 轴于点0(0,)Q y ,当MON ∠为锐角时,求0y 的取值范围.【答案】(1)2()52012f x x x =-+;(2)3)1(,0)(,)5-∞+∞U . 【解析】 【分析】(1)根据向量数量积的坐标公式即可求()y f x =的解析式;(2)通过矩阵的计算公式,求出()g x 的表达式,然后利用基本不等式求最值即可; (3)根据向量平移关系即可求出曲线C 的解析式,设()()22,5,,5M m mN n n ,根据MON ∠为锐角时,建立不等式关系进行求解即可. 【详解】解:(1)(2,),(2,)OD x OA x x D x x =⋅=∴u u u r u u u rQ , (1,7),(5,1)OB OC ==u u u r u u u rQ ,(1,7),(5,1)B C ∴=, (12,7),(52,1)DB x x DC x x ∴=--=--u u u r u u u r,则2(12,7)(52,1)52012y DB DC x x x x x x =⋅=--⋅--=-+u u u r u u u r,即2()52012f x x x =-+; (2)由已知得:()4()1212()2052020515f x f xg x x x x x x x-==+=-++=+≥= 当且仅当125x x =,即[]1,2x =时取到最小值, 函数()4()15f xg x x-=在12x ≤≤条件下的最小值为;(3)22()520125(2)8y f x x x x ==-+=--Q ,()y f x ∴=的图象按向量(2,8)a =-r平移后得到曲线C 为25y x =;设()()22,5,,5M m mN n n ,则直线MN 的方程为222555y n x nm n m n--=--, 令0x =,则0y 5mn =-,若MON ∠为锐角,因为,,M O N 不可能共线,则22250OM ON mn m n ⋅=+>u u u u r u u u r, 125mn ∴<-或0mn >, 01525y ∴-<-或005y ->,即0y 0<或015y >, 故0y 的取值范围是1(,0),5⎛⎫-∞⋃+∞ ⎪⎝⎭.【点睛】本题主要考查向量的数量积公式的应用,以及向量平移的关系,考查学生的运算能力.6.设函数()()271f x x ax a R =-++∈. (1)若1a =-,解不等式()0f x ≥; (2)若当01xx>-时,关于x 的不等式()1f x ≥恒成立,求a 的取值范围; (3)设()121x g ax x +-=-,若存在x 使不等式()()f x g x ≤成立,求a 的取值范围. 【答案】(1)[)8,6,3⎛⎤-∞+∞ ⎥⎝⎦U ;(2)5a ≥-;(3)4a ≥-.【解析】 【分析】(1)利用零点分段讨论可求不等式的解.(2)01xx>-的解为()0,1,在该条件下()1f x ≥恒成立即为()720a x +->恒成立,参变分离后可求实数a 的取值范围.(3)()()f x g x ≤有解即为12722a x x -≥---有解,利用绝对值不等式可求()2722h x x x =---的最小值,从而可得a 的取值范围.【详解】(1)当1a =-时,()0f x ≥即为2710x x --+≥.当72x ≥时,不等式可化为722710x x x ⎧≥⎪⎨⎪--+≥⎩,故6x ≥; 当72x <时,不等式可化为727210x x x ⎧<⎪⎨⎪--+≥⎩,故83x ≤. 综上,()0f x ≥的解为[)8,6,3⎛⎤-∞+∞ ⎥⎝⎦U .(2)01xx>-的解为()0,1, 当()0,1x ∈时,有()()72182f x x ax a x =-++=+-,因为不等式()1f x ≥恒成立,故()821a x +->即()27a x ->-在()0,1上恒成立, 所以72a x ->-在()0,1上恒成立,而77x-<-在()0,1上总成立, 所以27a -≥-即5a ≥-.故实数a 的取值范围为5a ≥-.(3)()12112x g x x ax a x a +==-++--, ()()f x g x ≤等价于27121x ax x ax a -++≤-++,即27211x x a ---≤-在R 上有解. 令()27212722h x x x x x =---=---,由绝对值不等式有272227225x x x x ---≤--+=, 所以527225x x -≤---≤,当且仅当72x ≥时,27225x x ---=-成立, 所以()min 5h x =-,故15a -≥-即4a ≥-. 故实数a 的取值范围为4a ≥-. 【点睛】解绝对值不等式的基本方法有零点分段讨论法、图象法、平方法等,利用零点分段讨论法时注意分类点的合理选择.绝对值不等式指:a b a b a b -≤+≤+及a b a b a b -≤-≤+,我们常利用它们求含绝对值符号的函数的最值.7.用矩阵变换的方法,解二元一次方程组2342x y x y =⎧⎨-=⎩-【答案】17107x y ⎧=⎪⎪⎨⎪=-⎪⎩【解析】 【分析】先将方程组化为矩阵,再根据矩阵运算求结果. 【详解】2312342412x y x x y y =-⎧⎡⎤⎡⎤⎡⎤⇒=⎨⎢⎥⎢⎥⎢⎥-=-⎩⎣⎦⎣⎦⎣⎦- 所以1121123377741241210777x y -⎡⎤⎡⎤-⎢⎥⎢⎥-⎡⎤⎡⎤⎡⎤⎡⎤===⎢⎥⎢⎥⎢⎥⎢⎥⎢⎥⎢⎥-⎣⎦⎣⎦⎣⎦⎣⎦⎢⎥⎢⎥--⎢⎥⎢⎥⎣⎦⎣⎦因此17107x y ⎧=⎪⎪⎨⎪=-⎪⎩【点睛】本题考查利用矩阵解方程组,考查基本分析求解能力,属基础题.8.[选修4-2:矩阵与变换]已知矩阵11a A b ⎡⎤=⎢⎥-⎣⎦的一个特征值为2,其对应的一个特征向量为21α⎡⎤=⎢⎥⎣⎦. 若x a A y b ⎡⎤⎡⎤=⎢⎥⎢⎥⎣⎦⎣⎦,求x ,y 的值. 【答案】x ,y 的值分别为0,1.【解析】试题分析:利用矩阵的乘法法则列出方程,解方程可得x ,y 的值分别为0,1. 试题解析:由条件知,2A αα=,即][1222111a b ⎡⎤⎡⎤=⎢⎥⎢⎥-⎣⎦⎣⎦,即][2422a b +⎡⎤=⎢⎥-+⎣⎦, 所以24,{22,a b +=-+= 解得2,{ 4.a b == 所以1214A ⎡⎤=⎢⎥-⎣⎦. 则][][][12221444xx x y A y y x y +⎡⎤⎡⎤===⎢⎥⎢⎥--+⎣⎦⎣⎦,所以22,{44,x y x y +=-+= 解得0,{ 1.x y == 所以x ,y 的值分别为0,1.9.计算:12131201221122120-⎛⎫⎛⎫⎛⎫⎛⎫- ⎪ ⎪ ⎪ ⎪---⎝⎭⎝⎭⎝⎭⎝⎭【答案】91559124-⎛⎫⎪--⎝⎭【解析】 【分析】直接利用矩阵计算法则得到答案. 【详解】121312011213140222112212021122240-⎛⎫-⎛⎫⎛⎫⎛⎫⎛⎫⎛⎫⎛⎫⎛⎫-=- ⎪ ⎪ ⎪ ⎪ ⎪ ⎪ ⎪ ⎪------⎝⎭⎝⎭⎝⎭⎝⎭⎝⎭⎝⎭⎝⎭⎝⎭ 123319155213629124----⎛⎫⎛⎫⎛⎫== ⎪⎪ ⎪----⎝⎭⎝⎭⎝⎭【点睛】本题考查了矩阵的计算,意在考查学生的计算能力.10.设()3322k kx k x f x k x-=+⋅(x ∈R ,k 为正整数)(1)分别求出当1k =,2k =时方程()0f x =的解.(2)设()0f x ≤的解集为[]212,k k a a -,求1234a a a a +++的值及数列{}n a 的前2n 项和. 【答案】(1)1k =时,方程()0f x =的解为2x =,3x =;2k =时, ()0f x =的解为6x =,4x =(2)123415a a a a +++=;前2n 项和为21332222n n n ++-+【解析】 【分析】(1)根据定义化简函数()f x 的解析式,然后根据一元二次方程求出当1k =,2k =时方程()0f x =的解即可;(2)由()0f x ≤即()()320kx k x --≤的解集为[]212,k k aa -建立关系式,然后取1k =,2k =可求出1234a a a a +++的值,最后根据()()()212342121234212n n n n n S a a a a a a a a a a a a --=++++++=++++++L L 进行求解即可; 【详解】解:(1)()()()()2323232kkkf x x k x k x k x =-++⋅=--,当1k =时()()()32f x x x =--,所以方程()0f x =的解为2x =,3x =; 当2k =时()()()64f x x x =--,所以方程()0f x =的解为6x =,4x =; (2)由()0f x ≤即()()320kx k x --≤的解集为[]212,k k aa -.∴2122123232k k k kk ka a k a a k --⎧+=+⎨⋅=⋅⎩, ∴1k =时,1123125a a +=⋅+=,2k =时,23432210a a +=⋅+=. ∴123451015a a a a +++=+=()()()212342121234212n n n n n S a a a a a a a a a a a a --=++++++=++++++L L ()()()()()12231232232312222n n n n =⋅++⋅+++⋅+=+++++++L L L()()2121213332221222nn n n n n +-+=⋅+=+-+-.【点睛】 本题主要考查了二阶行列式的定义,以及数列的求和,同时考查了计算能力,属于中档题.11.已知a ,b R ∈,点()1,1P -在矩阵13a A b ⎡⎤=⎢⎥⎣⎦对应的变换下得到点()1,3Q . (1)求a ,b 的值;(2)求矩阵A 的特征值和特征向量;(3)若向量59β⎡⎤=⎢⎥⎣⎦u r ,求4A βu r .【答案】(1)2a b =⎧⎨=⎩;(2)矩阵A 的特征值为1-,3,分别对应的一个特征值为13⎡⎤⎢⎥-⎣⎦,11⎡⎤⎢⎥⎣⎦;(3)485489⎡⎤⎢⎥⎣⎦ 【解析】 【分析】(1)直接利用矩阵的乘法运算即可; (2)利用特征多项式计算即可;(3)先计算出126βαα=-+u r u u ru u r ,再利用()4444121266A A A A βαααα=-+=-+u r u u r u u r u u r u u r 计算即可得到答案. 【详解】(1)由题意知,11113133a a b b -⎡⎤⎡⎤⎡⎤⎡⎤==⎢⎥⎢⎥⎢⎥⎢⎥--⎣⎦⎣⎦⎣⎦⎣⎦, 则1133a b -=⎧⎨-=⎩,解得20a b =⎧⎨=⎩. (2)由(1)知2130A ⎡⎤=⎢⎥⎣⎦,矩阵A 的特征多项式()()21233f λλλλλ--==---, 令()0f λ=,得到A 的特征值为11λ=-,13λ=.将11λ=-代入方程组()2030x y x y λλ⎧--=⎨-+=⎩,解得3y x =-,所以矩阵A 的属于特征值1-的一个特征向量为113α⎡⎤=⎢⎥-⎣⎦u u r .再将13λ=代入方程组()2030x y x y λλ⎧--=⎨-+=⎩,解得y x =,所以矩阵A 的属于特征值3的一个特征向量为211α⎡⎤=⎢⎥⎣⎦u u r .综上,矩阵A 的特征值为1-,3,分别对应的一个特征值为13⎡⎤⎢⎥-⎣⎦,11⎡⎤⎢⎥⎣⎦.(3)设12m n βαα=+u ru u r u u r ,即5119313m n m n m n +⎡⎤⎡⎤⎡⎤⎡⎤=+=⎢⎥⎢⎥⎢⎥⎢⎥--+⎣⎦⎣⎦⎣⎦⎣⎦, 所以539m n m n +=⎧⎨-+=⎩,解得16m n =-⎧⎨=⎩,所以126βαα=-+u r u u r u u r ,所以()4444121266A A A A βαααα=-+=-+u r u u r u u r u u r u u r()441148516331489⎡⎤⎡⎤⎡⎤=--+⨯=⎢⎥⎢⎥⎢⎥-⎣⎦⎣⎦⎣⎦. 【点睛】本题考查矩阵的乘法、特征值、特征向量,考查学生的基本计算能力,是一道中档题.12.设函数()271f x x ax =-++(a 为实数). (1)若1a =-,解不等式()0f x ≥; (2)若当01xx>-时,关于x 的不等式()1f x ≥成立,求a 的取值范围; (3)设21()1x g x ax +=--,若存在x 使不等式()()f x g x ≤成立,求a 的取值范围. 【答案】(1)8{|3x x ≤或6}x ≥;(2)[5,)-+∞;(3)[4,)-+∞ 【解析】 【分析】(1)代入1a =-直接解不等式即可;(2)由01xx>-解得01x <<,故可将()1f x ≥化为(2)70a x -+≥,从而求出a 的范围; (3)化简()g x ,故可将题设条件变为:存在x 使1|27||22|a x x -≥---成立,因此求出2722x x ---的最小值即可得出结论.【详解】(1)若1a =-,则()271f x x x =-+- 由()0f x ≥得|27|1x x -≥-,即270271x x x ->⎧⎨-≥-⎩或270721x x x -≤⎧⎨-≥-⎩, 解得6x ≥或83x ≤, 故不等式的解集为8{|3x x ≤或6}x ≥; (2)由01xx>-解得01x <<,由()1f x ≥得|27|0x ax -+≥,当01x <<时,该不等式即为(2)70a x -+≥,设()(2)7F x a x =-+,则有(0)70(1)50F F a =>⎧⎨=+≥⎩ 解得5a ≥-,因此实数a 的取值范围为[5,)-+∞; (3)21()1x g x a x +=--2|1|(1)x a x =-++, 若存在x 使不等式()()f x g x ≤成立,即存在x 使271x ax -++2|1|(1)x a x ≤-++成立,即存在x 使1|27||22|a x x -≥---成立, 又272227(22)5x x x x ---≤---=, 所以527225x x -≤---≤,所以15a -≥-,即4a ≥-,所以a 的取值范围为:[4,)-+∞【点睛】本题主要考查了绝对值不等式,结合了恒成立,能成立等问题,属于综合应用题.解决恒成立,能成立问题时,常将其转化为最值问题求解.13.将一枚六个面的编号为1,2,3,4,5,6的质地均匀的正方体骰子先后掷两次,记第一次出的点数为a ,第二次出的点数为b ,且已知关于x 、y 的方程组322ax by x y +=⎧⎨+=⎩. (1)求此方程组有解的概率;(2)若记此方程组的解为00x x y y =⎧⎨=⎩,求00x >且00y >的概率. 【答案】(1)1112;(2)1336. 【解析】【分析】(1)先根据方程组有解得a b ,关系,再确定,a b 取法种数,最后根据古典概型概率公式求结果;(2)先求方程组解,再根据解的情况得a b ,关系,进而确定,a b 取法种数,最后根据古典概型概率公式求结果.【详解】(1)因为方程组322ax by x y +=⎧⎨+=⎩有解,所以0212a b a b ≠∴≠而2b a =有123,,,246a a a b b b ===⎧⎧⎧⎨⎨⎨===⎩⎩⎩这三种情况,所以所求概率为31116612-=⨯; (2)006232,2022232b x ax by a b a b x y a y a b -⎧=⎪+=⎧⎪-∴-≠⎨⎨+=-⎩⎪=⎪-⎩Q 因为00x >且00y >,所以6223200,022b a a b a b a b---≠>>--, 因此12,,33a ab b =≥⎧⎧⎨⎨><⎩⎩即有35213+⨯=种情况,所以所求概率为13136636=⨯; 【点睛】本题考查古典概型概率以及二元一次方程组的解,考查综合分析求解能力,属中档题.14.在平面直角坐标系xOy 中,设点()1,2A -在矩阵1001M -⎡⎤=⎢⎥⎣⎦对应的变换作用下得到点A ',将点()3,4B 绕点A '逆时针旋转90o 得到点B ',求点B '的坐标.【答案】()1,4-【解析】试题分析:先根据矩阵运算确定()1,2A ',再利用向量旋转变换0110N -⎡⎤=⎢⎥⎣⎦确定:A B ''u u u u r .因为,所以1{4x y =-= 试题解析:解:设(),B x y ',依题意,由10110122--⎡⎤⎡⎤⎡⎤=⎢⎥⎢⎥⎢⎥⎣⎦⎣⎦⎣⎦,得()1,2A ' 则.记旋转矩阵0110N -⎡⎤=⎢⎥⎣⎦, 则01211022x y --⎡⎤⎡⎤⎡⎤=⎢⎥⎢⎥⎢⎥-⎣⎦⎣⎦⎣⎦,即2122x y --⎡⎤⎡⎤=⎢⎥⎢⎥-⎣⎦⎣⎦,解得1{4x y =-=, 所以点B '的坐标为()1,4-考点:矩阵运算,旋转矩阵15.矩阵与变换:变换1T 是逆时针旋转2π的旋转变换,对应的变换矩阵是1M 变换2T 对应用的变换矩阵是21101M ⎡⎤=⎢⎥⎣⎦求曲线221x y +=的图象依次在12,T T 变换的作用下所得曲线的方程.【答案】22221x xy y -+=【解析】【分析】旋转变换矩阵10110M -⎡⎤=⎢⎥⎣⎦,求出211110M M M -⎡⎤==⎢⎥⎣⎦,设x y ⎡⎤⎢⎥⎣⎦是变换后曲线上任一点,与之对应的变换前的点是00x y ⎡⎤⎢⎥⎣⎦,得到00x y y y x=⎧⎨=-⎩,即得解. 【详解】旋转变换矩阵10110M -⎡⎤=⎢⎥⎣⎦记21110111011010M M M --⎡⎤⎡⎤⎡⎤===⎢⎥⎢⎥⎢⎥⎣⎦⎣⎦⎣⎦设x y ⎡⎤⎢⎥⎣⎦是变换后曲线上任一点,与之对应的变换前的点是00x y ⎡⎤⎢⎥⎣⎦, 面积00x x M y y ⎡⎤⎡⎤=⎢⎥⎢⎥⎣⎦⎣⎦,也就是000x x y y x =-⎧⎨=⎩,即00x y y y x =⎧⎨=-⎩, 代入22001x y +=,得22()1y y x +-=,所以所求曲线的方程是22221x xy y -+=【点睛】本题主要考查矩阵和变换,意在考查学生对这些知识的理解掌握水平和分析推理能力.16.已知矩阵1214A ⎡⎤=⎢⎥-⎣⎦,向量32α⎡⎤=⎢⎥⎣⎦,计算5A α. 【答案】5307275A α⎡⎤=⎢⎥⎣⎦【解析】【分析】 根据()0f λ=,得2λ=或3λ=,得到特征向量121α⎡⎤=⎢⎥⎣⎦,211α⎡⎤=⎢⎥⎣⎦,故()55551212A A A A ααααα=+=+,计算得到答案.【详解】因为212()5614f λλλλλ--==-+-,由()0f λ=,得2λ=或3λ=.当2λ=时,对应的一个特征向量为121α⎡⎤=⎢⎥⎣⎦; 当3λ=时,对应的一个特征向量为211α⎡⎤=⎢⎥⎣⎦. 设321211m n ⎡⎤⎡⎤⎡⎤=+⎢⎥⎢⎥⎢⎥⎣⎦⎣⎦⎣⎦,解得11m n =⎧⎨=⎩,所以()55551212A A A A ααααα=+=+ 5521307121311275⎡⎤⎡⎤⎡⎤=⨯+⨯=⎢⎥⎢⎥⎢⎥⎣⎦⎣⎦⎣⎦. 【点睛】本题考查了矩阵的计算,意在考查学生的计算能力.17.在平面直角坐标系xOy 中,直线20x y +-=在矩阵12a A b ⎡⎤=⎢⎥⎣⎦对应的变换作用下得到的直线仍为20x y +-=,求矩阵A .【答案】1102-⎡⎤⎢⎥⎣⎦【解析】【分析】设(,)P x y 是直线20x y +-=上任意一点,根据题意变换得到直线220x ay bx y +++-=,对比得到答案.【详解】设(,)P x y 是直线20x y +-=上任意一点,其在矩阵2a a A b ⎡⎤=⎢⎥⎣⎦对应的变换下得到122a x x ay b y bx y +⎡⎤⎡⎤⎡⎤=⎢⎥⎢⎥⎢⎥+⎣⎦⎣⎦⎣⎦仍在直线上, 所以得220x ay bx y +++-=,与20x y +-=比较得1121b a +=⎧⎨+=⎩,解得01b a =⎧⎨=-⎩, 故1102A -⎡⎤=⎢⎥⎣⎦. 【点睛】本题考查了矩阵变换,意在考查学生的计算能力和应用能力.18.已知矩阵1237A -⎡⎤=⎢⎥-⎣⎦,(1)求逆矩阵1A -;(2)若矩阵X 满足31AX ⎡⎤=⎢⎥⎣⎦,试求矩阵X . 【答案】(1)(2) 【解析】【分析】【详解】(1)设=,则==. ∴解得∴=(2)19.已知a ,b R ∈,若M =13a b -⎡⎤⎢⎥⎣⎦所对应的变换T M 把直线2x-y=3变换成自身,试求实数a ,b . 【答案】【解析】【分析】【详解】 设 则即此直线即为则. .20.已知点()3,1A ,()1,3B -,i v ,j v分别是基本单位向量.(1)若点P 是直线2y x =的动点,且0AP i AP j BP jBP i ⋅⋅=-⋅⋅u u u v u u u v v v u u u v u u u v v v ,求点P 的坐标 (2)若点(),P x y 满足124126101x y -=且OP OA OB λμ=-u u u v u u u v u u u v ,λ,μ是否存在自然数解,若存在,求出所有的自然数的解,若不存在,说明理由.【答案】(1)()0,0,()2,4(2)存在,0λ=,2μ=或2λ=,1μ=或4λ=,0μ=【解析】【分析】(1)设P 的坐标为(),2x x ,再根据行列式的运算求解即可.(2)利用124126101x y -=求出(),P x y 满足的关系式,再根据OP OA OB λμ=-u u u r u u u r u u u r 求出关于(),P x y 满足的关系式,再求自然数解即可.【详解】 (1)由题,设P 的坐标为(),2x x ,因为0AP i AP j BP j BP i⋅⋅=-⋅⋅u u u r r u u u r r u u u r r u u u r r , 故()()()()0AP i BP i BP j AP j ⋅⨯⋅--⋅⨯⋅=u u u r r u u u r r u u u r r u u u r r ,化简得0AP BP ⋅=u u u r u u u r , 即()()3,211,230x x x x --⋅+-=,即2222348305100x x x x x x --+-+=⇒-=. 解得0x =或2x =.代入可得()0,0或()2,4(2)由124126101xy -=得12(6)4(2)(26)0y x y x ----++=.化简得8y x =-. 又OP OA OB λμ=-u u u r u u u r u u u r ,故()()()3,11,3,x y λμ=--,即33x y λμλμ=+⎧⎨=-⎩. 故33824λμλμλμ-=+-⇒+=,又,λμ为自然数.故0λ=,2μ=或2λ=,1μ=或4λ=,0μ=【点睛】本题主要考查了向量与行列式的基本运算等,需要根据题意求得关于(),P x y 的关系式,属于中等题型.。
【最新】数学《矩阵与变换》高考知识点一、151.给定矩阵,;求A 4B .【答案】【解析】试题分析:由题意已知矩阵A=,将其代入公式|λE ﹣A|=0,即可求出特征值λ1,λ2,然后解方程求出对应特征向量α1,α2,将矩阵B 用征向量α1,α2,表示出来,然后再代入A 4B 进行计算即可.解:设A 的一个特征值为λ,由题知=0(λ﹣2)(λ﹣3)=0 λ1=2,λ2=3 当λ1=2时,由=2,得A 的属于特征值2的特征向量α1= 当λ1=3时,由=3,得A 的属于特征值3的特征向量α2=由于B==2+=2α1+α2故A 4B=A 4(2α1+α2)=2(24α1)+(34α2)=32α1+81α2 =+=点评:此部分是高中新增的内容,但不是很难,套用公式即可解答,主要考查学生的计算能力,属于中档题.2.用行列式解方程组231231x y z x y az ay z +-=-⎧⎪-+=-⎨⎪-=⎩,并加以讨论.【答案】当1a ≠且52a ≠-时,原方程有唯一解1125225525a x a y a z a +⎧=-⎪+⎪⎪=⎨+⎪⎪=⎪+⎩;当52a =-时,方程组无解;当1a =时,方程组有无穷多解,解为()11,x t y t t R z t =-⎧⎪=+∈⎨⎪=⎩【解析】 【分析】分别得到D ,x D ,y D ,z D ,然后分别得到它们等于0,得到相应的a 的值,然后进行讨论. 【详解】()()2131225101D a a a a-=-=-+--,()()1133211111x D a a a a--=--=-+-,()2131321011y D a a --=-=---,()2111235101z D a a-=--=-当1a ≠且52a ≠-时,原方程有唯一解1125225525a x a y a z a +⎧=-⎪+⎪⎪=⎨+⎪⎪=⎪+⎩;当52a =-时,原方程等价于2315232512x y z x y z y z ⎧⎪+-=-⎪⎪--=-⎨⎪⎪---=⎪⎩,方程组无解;当1a =时,原方程组等价于231231x y z x y z y z +-=-⎧⎪-+=-⎨⎪-=⎩,方程组有无穷多解,解为()11,x t y t t R z t =-⎧⎪=+∈⎨⎪=⎩【点睛】本题考查通过行列式对方程组的解进行讨论,属于中档题.3.用行列式解方程组252,23,24 1.x y z y z x y z ++=-⎧⎪--=⎨⎪++=-⎩【答案】1337313x y z ⎧=⎪⎪⎪=-⎨⎪⎪=-⎪⎩【解析】 【分析】先根据方程组中x ,y ,z 的系数及常数项求得D ,x D ,y D ,z D ,再对a 的值进行分类讨论,并求出相应的解. 【详解】方程组可转化为:125202324111x y z ⎡⎤⎡⎤⎡⎤⎢⎥⎢⎥⎢⎥-=⎢⎥⎢⎥⎢⎥⎢⎥⎢⎥⎢⎥⎣⎦⎣⎦-⎦--⎣,1912502241D =-=-, 13922532141x D --=-=-,12503221121y D --==--,1312203241z D ---==-,所以13,37,31.3x y z D x D D y D D z D ⎧==⎪⎪⎪==-⎨⎪⎪==-⎪⎩【点睛】本题考查三元一次方程组的矩阵形式、线性方程组的行列式求解,考查运算求解能力.4.已知直线1l :420mx y m +--=,2l :0x my m +-=,分别求实数m 满足什么条件时,直线1l 与2l 相交?平行?重合?【答案】当2m ≠且2m ≠-时,相交;当2m =-时,平行;当2m =时,重合 【解析】 【分析】计算出(2)(2)D m m =+-,(2)x D m m =-(1)(2)y D m m =+-,讨论是否为0得到答案. 【详解】42mx y m x my m +=+⎧⎨+=⎩244(2)(2)1m D m m m m==-=+-,24(2)4(2)x m D m m m m m mm+==+-=-22(2)(1)(2)1y m m D m m m m m+==-+=+-(1)当2m ≠且2m ≠-时,0D ≠,方程组有唯一解,1l 与2l 相交 (2)当2m =-时,0,80x D D ==≠,1l 与2l 平行 (3)当2m =时,0x y D D D ===,1l 与2l 重合 【点睛】本题考查了直线的位置关系,意在考查学生的计算能力.5.已知(2,1)OA =u u u v ,(1,7)OB =u u u v ,(5,1)OC =u u u v,若OD xOA =u u u v u u u v,()f x DB DC =⋅u u u v u u u v(,x y ∈R ).(1)求函数()y f x =的解析式;(2)求函数()4()15f xg x x-=在12x ≤≤条件下的最小值;(3)把()y f x =的图像按向量(2,8)a =-v平移得到曲线C ,过坐标原点O 作OM 、ON分别交曲线C 于点M 、N ,直线MN 交y 轴于点0(0,)Q y ,当MON ∠为锐角时,求0y 的取值范围.【答案】(1)2()52012f x x x =-+;(2)3)1(,0)(,)5-∞+∞U . 【解析】 【分析】(1)根据向量数量积的坐标公式即可求()y f x =的解析式;(2)通过矩阵的计算公式,求出()g x 的表达式,然后利用基本不等式求最值即可; (3)根据向量平移关系即可求出曲线C 的解析式,设()()22,5,,5M m mN n n ,根据MON ∠为锐角时,建立不等式关系进行求解即可. 【详解】解:(1)(2,),(2,)OD x OA x x D x x =⋅=∴u u u r u u u rQ , (1,7),(5,1)OB OC ==u u u r u u u rQ ,(1,7),(5,1)B C ∴=, (12,7),(52,1)DB x x DC x x ∴=--=--u u u r u u u r,则2(12,7)(52,1)52012y DB DC x x x x x x =⋅=--⋅--=-+u u u r u u u r,即2()52012f x x x =-+; (2)由已知得:()4()1212()2052020515f x f xg x x x x x x x-==+=-++=+≥= 当且仅当125x x =,即[]1,25x =时取到最小值, 函数()4()15f xg x x-=在12x ≤≤条件下的最小值为;(3)22()520125(2)8y f x x x x ==-+=--Q ,()y f x ∴=的图象按向量(2,8)a =-r平移后得到曲线C 为25y x =;设()()22,5,,5M m mN n n ,则直线MN 的方程为222555y n x nm n m n--=--, 令0x =,则0y 5mn =-,若MON ∠为锐角,因为,,M O N 不可能共线,则22250OM ON mn m n ⋅=+>u u u u r u u u r,125mn ∴<-或0mn >, 01525y ∴-<-或005y ->,即0y 0<或015y >, 故0y 的取值范围是1(,0),5⎛⎫-∞⋃+∞ ⎪⎝⎭. 【点睛】本题主要考查向量的数量积公式的应用,以及向量平移的关系,考查学生的运算能力.6.设点(,)x y 在矩阵M 对应变换作用下得到点(2,)x x y +. (1)求矩阵M ;(2)若直线:25l x y -=在矩阵M 对应变换作用下得到直线l ',求直线l '的方程.【答案】(1)2011⎡⎤⎢⎥⎣⎦;(2)3x -4y -10=0. 【解析】 【分析】(1)设出矩阵M ,利用矩阵变换得到关于x 、y 的方程组,利用等式恒成立求出矩阵M ;(2)设点(,)x y 在直线l 上,利用矩阵变换得到点(,)x y '',代入直线l 中,求得直线l '的方程. 【详解】解:(1)设a b M c d ⎡⎤=⎢⎥⎣⎦, 由题意,2a b x x M c d y x y ⎡⎤⎡⎤⎡⎤==⎢⎥⎢⎥⎢⎥+⎣⎦⎣⎦⎣⎦g ,所以2ax by x +=,且cx dy x y +=+恒成立; 所以2a =,0b =,1c =,1d =;所以矩阵2011M ⎡⎤=⎢⎥⎣⎦;(2)设点(,)x y 在直线l 上,在矩阵M 对应变换作用下得到点(,)x y ''在直线l '上, 则2x x '=,y x y '=+,所以12x x =',12y y x ='-'; 代入直线:25l x y -=中,可得34100x y '-'-=; 所以直线l '的方程为34100x y --=. 【点睛】本题考查了矩阵变换的计算问题,也考查了运算求解能力,是基础题.7.已知矩阵11m A m ⎛⎫=⎪-⎝⎭(0m >)满足24A I =(I 为单位矩阵). (1)求m 的值;(2)设(,)P x y ,,()'Q x y '.矩阵变换11x m x y m y '⎛⎫⎛⎫⎛⎫= ⎪ ⎪⎪'-⎝⎭⎝⎭⎝⎭可以将点P 变换为点Q .当点P 在直线:1l y x =+上移动时,求经过矩阵A 变换后点Q 的轨迹方程.(3)是否存在这样的直线:它上面的任一点经上述变换后得到的点仍在该直线上?若存在,求出所有这样的直线;若不存在,则说明理由.【答案】(1)m (2)1)1)40x y ''--=(3)存在,1:l y x =,2:l y =.【解析】 【分析】(1)计算2A ,由24A I =可求得m ;(2)由11x x y y ⎛'⎛⎫⎛⎫= ⎪ ⎪⎪'-⎝⎭⎝⎭⎭,得x x y y ⎧=+⎪⎨=-''⎪⎩,解得44x x y y ⎧=+⎪⎨='-'''⎪⎩.代入1y x =+可得;(3)首先确定这种变换,与坐标轴垂直的直线不合题意,因此设直线l 方程为(0)y kx b k =+≠,求出变换后的直线方程,两方程表示的直线重合,可求得k ,可分类0b ≠和0b =.【详解】(1)0m >Q ,2221110104110101m m m A m m m ⎛⎫+⎛⎫⎛⎫⎛⎫=== ⎪ ⎪⎪ ⎪--+⎝⎭⎝⎭⎝⎭⎝⎭,m ∴=(2)11x x x y y y ⎛⎛⎫'+⎛⎫⎛⎫==⎪ ⎪ ⎪⎪⎪'--⎝⎭⎝⎭⎭⎭Q ,即x x y y ⎧=⎪⎨=-''⎪⎩,44x x y y ⎧=+⎪∴⎨='-'''⎪⎩. ∵点(,)P x y 在直线1y x =+上,4y x ''''-=++,即点()','Q x y的轨迹方程1)1)40x y ''--+-=. (3)垂直于坐标轴的直线不合要求.设:(0)l y kx b k =+≠,(,)P x y,()Q x y +-()y k x b -=++Q ,1)(y k x b ∴-+=+当0b ≠时,1)1,k k -+==,无解. 当0b =220k =⇒+-=,解得3k =或k =∴所求直线是1:3l y x =,2:l y =. 【点睛】本题考查矩阵的运算,考查矩阵变换,求变换后的曲线方程,可设原曲线上点坐标为(,)P x y ,变换后为()','Q x y ,由矩阵运算得'(,)'(,)x f x y y g x y =⎧⎨=⎩,然后解得(',')(',')x h x y y i x y =⎧⎨=⎩,把(,)x y 代入原曲线方程即得新方程.8.已知ABC ∆的顶点坐标分别为(5,0)A -、(3,3)B -、(0,2)C ,请分别运用行列式、向量、平面解析几何知识,用其中两种不同方法求ABC ∆的面积.【答案】312【解析】 【分析】解法一:用行列式求解,面积公式为112233111ABC x y S x y x y ∆=,代入点的坐标求解即可;解法二:平面解析几何知识求解,先求出直线BC 的方程、点A 到直线BC 的距离d 及BC ,利用12ABC S BC d ∆=⋅⋅计算即可. 【详解】解法一:行列式求解,11223315013113312121ABC x y S x y x y ∆-==-=; 解法二:平面解析几何知识求解, 直线BC 的方程为:3353y x +-=-,即:5360x y +-=, 点A 到直线BC的距离d ===,BC ==所以113122342ABC S BC d ∆=⋅⋅=⋅=. 【点睛】本题考查利用三阶行列式计算三角形面积、利用平面向量知识计算三角形面积、利用平面解析几何知识求解三角形面积,属于基础题.9.解关于x ,y ,z 的方程组()1213x my z x y z m x y z ⎧-+=⎪++=⎨⎪-++=⎩.【答案】(1)2m ≠且1m ≠-时,2212112432x m y m m m z m m ⎧=⎪-⎪⎪=⎨+⎪⎪-++=⎪-++⎩;(2)2m =或1m =-时,无解. 【解析】 【分析】先根据方程组中,,x y z 的系数及常数项计算计算出D ,D x ,D y ,D z 下面对m 的值进行分类讨论,并求出相应的解. 【详解】()()21D m m =--+,()1x D m =-+,()2y D m =--,2243z D m m =-++.所以(1)2m ≠且1m ≠-时,2212112432x m y m m m z m m ⎧=⎪-⎪⎪=⎨+⎪⎪-++=⎪-++⎩;(2)2m =或1m =-时,无解. 【点睛】本题考查三元一次方程组的行列式、线性方程组解得存在性,唯一性、三元一次方程的解法等基础知识,考查运算能力与转化思想,属于中档题.10.已知矩阵2101M ⎡⎤=⎢⎥⎣⎦(1)求矩阵M 的特征值及特征向量;(2)若21α⎡⎤=⎢⎥-⎣⎦r ,求3M αv .【答案】(1)特征值为2;对应的特征向量为210α⎡⎤=⎢⎥⎣⎦u u r(2)91⎡⎤⎢⎥-⎣⎦【解析】 【分析】(1)先根据特征值得定义列出特征多项式,令()0f λ=解方程可得特征值,再由特征值列出方程组即可解得相应的特征向量;(2)由12ααα=+u u r u u rr可得33312M M M ααα=+u u r u u rr,求解即可. 【详解】(1)矩阵M 的特征多项式为21()01f λλλ--=-(2)(1)λλ=--,令()0f λ=,得矩阵M 的特征值为1或2, 当1λ=,时由二元一次方程0000x y x y --=⎧⎨+=⎩.得0x y +=,令1x =,则1y =-,所以特征值1λ=对应的特征向量为111α⎡-⎤=⎢⎥⎣⎦;当2λ=时,由二元一次方程0000x y x y -=⎧⎨+=⎩. 得0y =,令1x =,所以特征值2λ=对应的特征向量为210α⎡⎤=⎢⎥⎣⎦u u r;(2)1221ααα⎡⎤==+⎢⎥-⎣⎦u ur u u r rQ ,33312M M M ααα∴=+u u r u u r r 331212αα=+u u r u u r 311210⎡⎤⎡⎤=+⎢⎥⎢⎥-⎣⎦⎣⎦91⎡⎤=⎢⎥-⎣⎦.【点睛】本题考查矩阵特征值与特征向量的计算,矩阵的乘法运算,属于基础题.11.已知直线l :0ax y -=在矩阵0112A ⎡⎤=⎢⎥⎣⎦对应的变换作用下得到直线l ',若直线l '过点()1,1,求实数a 的值. 【答案】1a =- 【解析】 【分析】根据矩阵变换得到()210a x ay ''-++=,将点()1,1代入方程,计算得到答案. 【详解】设(),P x y 为直线l 上任意一点,在矩阵A 对应的变换下变为直线l '上点、(),P x y ''',则0112x x y y '⎡⎤⎡⎤⎡⎤=⎢⎥⎢⎥⎢⎥'⎣⎦⎣⎦⎣⎦,化简,得2x x y y x =-+⎧⎨='''⎩, 代入0ax y -=,整理得()210a x ay ''-++=.将点()1,1代入上述方程,解得1a =-. 【点睛】本题考查了矩阵变换,意在考查学生的计计算能力和转化能力.12.将一枚六个面的编号为1,2,3,4,5,6的质地均匀的正方体骰子先后掷两次,记第一次出的点数为a ,第二次出的点数为b ,且已知关于x 、y 的方程组322ax by x y +=⎧⎨+=⎩.(1)求此方程组有解的概率; (2)若记此方程组的解为0x x y y =⎧⎨=⎩,求00x >且00y >的概率.【答案】(1)1112;(2)1336. 【解析】 【分析】(1)先根据方程组有解得a b ,关系,再确定,a b 取法种数,最后根据古典概型概率公式求结果;(2)先求方程组解,再根据解的情况得a b ,关系,进而确定,a b 取法种数,最后根据古典概型概率公式求结果. 【详解】 (1)因为方程组322ax by x y +=⎧⎨+=⎩有解,所以0212a b a b ≠∴≠ 而2b a =有123,,,246a a ab b b ===⎧⎧⎧⎨⎨⎨===⎩⎩⎩这三种情况,所以所求概率为31116612-=⨯;(2)006232,2022232b x ax by a ba b x y a y a b -⎧=⎪+=⎧⎪-∴-≠⎨⎨+=-⎩⎪=⎪-⎩Q 因为00x >且00y >,所以6223200,022b a a b a b a b---≠>>--,因此12,,33a ab b =≥⎧⎧⎨⎨><⎩⎩即有35213+⨯=种情况,所以所求概率为13136636=⨯; 【点睛】本题考查古典概型概率以及二元一次方程组的解,考查综合分析求解能力,属中档题.13.在平面直角坐标系xOy 中,直线20x y +-=在矩阵12a A b ⎡⎤=⎢⎥⎣⎦对应的变换作用下得到的直线仍为20x y +-=,求矩阵A 的逆矩阵1A -.【答案】_1112102A ⎡⎤-⎢⎥=⎢⎥⎢⎥⎢⎥⎣⎦. 【解析】 试题分析:应用结合矩阵变换的定义可得:01b a =⎧⎨=-⎩,据此求解逆矩阵可得:_1112102A ⎡⎤-⎢⎥=⎢⎥⎢⎥⎢⎥⎣⎦. 试题解析:设(),P x y 是直线20x y +-=上任意一点,其在矩阵1102A -=对应的变化下得到122a x x ay b y bx y +⎡⎤⎡⎤⎡⎤=⎢⎥⎢⎥⎢⎥+⎣⎦⎣⎦⎣⎦仍在直线上, 所以得220x ay bx y +++-=, 与20x y +-=比较得1121b a +=⎧⎨+=⎩,解得01b a =⎧⎨=-⎩,故1102A -⎡⎤=⎢⎥⎣⎦, 求得逆矩阵_1112102A ⎡⎤-⎢⎥=⎢⎥⎢⎥⎢⎥⎣⎦.14.已知矩阵111A a -⎡⎤=⎢⎥⎣⎦,其中a R ∈,若点(1,1)P 在矩阵A 的变换下得到点(0,3)P '-,求矩阵A 的两个特征值.【答案】矩阵A 的特征值为1-或3. 【解析】 【分析】根据点(1,1)P 在矩阵A 的变换下得到点(0,3)P '-,列出方程求出a ,从而可确定矩阵A ,再求出矩阵A 的特征多项式,令其等于0,即可求出矩阵A 的特征值. 【详解】由1110113a -⎡⎤⎡⎤⎡⎤=⎢⎥⎢⎥⎢⎥-⎣⎦⎣⎦⎣⎦,得13a +=-,所以4a =-, 故1141A -⎡⎤=⎢⎥-⎣⎦,则矩阵A 的特征多项式为2211()(1)42341f x -==--=---λλλλλ,令()0f λ=,解得1λ=-或3λ=, 所以矩阵A 的特征值为1-或3. 【点睛】本题主要考查矩阵的特征多项式及特征值的求法,属于中档题.15.矩阵与变换:变换1T 是逆时针旋转2π的旋转变换,对应的变换矩阵是1M 变换2T 对应用的变换矩阵是21101M ⎡⎤=⎢⎥⎣⎦求曲线221x y +=的图象依次在12,T T 变换的作用下所得曲线的方程.【答案】22221x xy y -+= 【解析】 【分析】旋转变换矩阵10110M -⎡⎤=⎢⎥⎣⎦,求出211110M M M -⎡⎤==⎢⎥⎣⎦,设x y ⎡⎤⎢⎥⎣⎦是变换后曲线上任一点,与之对应的变换前的点是00x y ⎡⎤⎢⎥⎣⎦,得到00x y y y x =⎧⎨=-⎩,即得解.【详解】旋转变换矩阵10110M -⎡⎤=⎢⎥⎣⎦记21110111011010M M M --⎡⎤⎡⎤⎡⎤===⎢⎥⎢⎥⎢⎥⎣⎦⎣⎦⎣⎦设x y ⎡⎤⎢⎥⎣⎦是变换后曲线上任一点,与之对应的变换前的点是00x y ⎡⎤⎢⎥⎣⎦,面积00x x M y y ⎡⎤⎡⎤=⎢⎥⎢⎥⎣⎦⎣⎦,也就是000x x y y x =-⎧⎨=⎩,即00x y y y x =⎧⎨=-⎩, 代入22001x y +=,得22()1y y x +-=,所以所求曲线的方程是22221x xy y -+= 【点睛】本题主要考查矩阵和变换,意在考查学生对这些知识的理解掌握水平和分析推理能力.16.已知向量11α-⎡⎤=⎢⎥⎣⎦v 是矩阵103a A ⎡⎤=⎢⎥⎣⎦的属于特征值λ的一个特征向量.(1)求实数a ,λ的值; (2)求2A . 【答案】(1)4,3.a λ=⎧⎨=⎩(2)216709A ⎡⎤=⎢⎥⎣⎦ 【解析】 【分析】(1)根据特征值的定义可知A αλα=u r u r,利用待定系数法求得实数a ,λ的值。