2018-2019《大学数学微积分B1》试卷及答案
- 格式:pdf
- 大小:517.78 KB
- 文档页数:6
1+ x 2 1+ e 2 x ⎰⎰《高等数学 B1》考试试卷(A 卷)一、 计算题:(每题 7 分,共 56 分)1. 求由方程ln xy = e x + y 所确定的隐函数 y = y (x ) 的导数dy .dx2. 求lim 2 - 1+ cos x .3. 求 limxsin t 3dt0 .x →0-1x →0+x cos t 2dtlim 1 ⎡⎛ x + 2 ⎫ + ⎛ x + 4 ⎫ + + ⎛ x + 2n ⎫⎤ 4. 求n →∞ n ⎢ n ⎪ n⎪ n ⎪⎥ . ⎣⎝⎭ ⎝⎭⎝⎭⎦5. 求不定积分⎰ 1dx .π6. 求定积分 2 x (1- sin x )dx .7. 求方程 y '+2xy = xe - x 2的通解.8. 设 f '(x ) = e - x2,lim x →+∞f (x ) = 0, 求 +∞x 2f (x )dx . 0 二、(7 分) 证明当0 < x < π 时, sin x > 2x .2 π三、(10 分) 设抛物线 y = ax 2 + bx + c 过原点,当0 ≤ x ≤ 1时,y ≥ 0. 又已知 该抛物线与x 轴及直线 x = 1所围成的图形的面积为1,试确定a ,b , c , 使3 此图形绕x 轴旋转一周而成的旋转体的体积V 最小。
四、(7 分) 试判断函数 f (x ) = lim x2n -1 -1 2n的间断点及其类型。
n →∞x +1五、(10 分) 设函数 f (x ), g (x ) 满足 f '(x ) = g (x ), g '(x ) = 2e x - f (x ), 且f (0) = 0,g (0) = 2, 求 f (x ), g (x ) 的表达式。
六、(10 分)设函数 f (x ) 在[0, 3] 上连续,在(0, 3) 内可导,且f (0) + f (1) + f (2) = 3, f (3) = 1 ,试证:必存在ξ ∈(0,3), 使 f '(ξ ) = 0.⎰ ⎰1+ e 2 x +11+ e 2 x -⎨《高等数学 B1》标准答案(A 卷)一、1、y (xe x + y -1);2、 1;3 、 0; 4、 + ;5、 1x (1- ye x + y)+ 2 2 ;6、π 2 - ;7、x = 1 2 +1- x 2;ln C 2 1 y ( 8 2 x C )e8、⎰+∞ x 2f (x )dx = 1x 3 f (x ) +∞ - 1 ⎰+∞ x 3 f '(x )dx3 0 3 0= 1limf (x ) + 1 (x 2e - x 2 + e - x 2 -1) +∞ = - 1 + 1 lim f '(x ) = - 1 3 x →+∞ x -3 60 6 3 x →+∞ -3x -4 6 二、证明:设 f (x ) = sin x ,则 f '(x ) = x cos x -sin x = cos x(x - tan x ) < 0 ,x所以在(0, π) 内 f (x ) 单调递减,故 f (x ) > 2三、a = - 5 ,b = 3, c = 04 2⎧⎪-1, | x |< 1, x = -1, x 2 π f ( ) 2 x 2 = 2 . 即证得结论。
微积分b1期末试题及答案一、选择题(共30分,每题2分)1. 在平面直角坐标系中,曲线y=ax³+bx²+cx+d (a≠0) 的图象为抛物线,其开口方向为(A) 向上 (B) 向下 (C) 不确定2. 曲线y = |x-2|的图象关于点(3,0)对称的图象是(A) y ≥ 0 (B) y ≤ 0 (C) 不确定3. 函数y=ln(ax+b)在x=0处的导数为(A) a (B) a/b (C) -a/b4. 函数y=3x²ex在x=0处的导数为(A) 3 (B) 0 (C) 15. 函数y=ln(x/ex)的反函数为(A) ey (B) ex (C) ex/y6. 函数y=sin(ax+b)在[a, a+2π]上为奇函数,则b的取值范围是(A) (-∞, -2π] (B) [2π, +∞) (C) (-2π, 2π)7. 设函数f(x) = x²+ax+2,其中a为常数,则f(x)有唯一极值点的条件是(A) a ≠ 0 (B) a = 0 (C) a = 18. 设f(x)=sin(ax+b)在区间[0,2π]上有两个临界点,则b的取值范围是(A) [0, 2π] (B) [0, π) (C) (0, 2π)9. 函数y=ln(kcosx+1),当x∈(0,π)时关于x的导数不存在,其中k 为常数,则k的取值范围是(A) k > 1 (B) k < 1 (C) k ≠ 010. 设y=aₙxⁿ+aₙ₋₁xⁿ⁻¹+...+a₁x+a₀是n次多项式函数,其中a₀≠0,若f(1) = 0,则(A) a₀+a₁+...+aₙ = 0 (B) a₀+a₁+...+aₙ = 1 (C) a₀+a₁+...+aₙ = -111. 函数f(x) = 2x³+bx²+3x的图象经过点(1,11),则b的值为(A) 6 (B) 7 (C) 812. 函数y = aₙxⁿ+aₙ₋₁xⁿ⁻¹+...+a₀的函数值恒为0,则(A) a₀ = 0 (B) a₁ = 0 (C) a₀ = a₁ = ... = aₙ = 013. 若x为函数y = aₙxⁿ+aₙ₋₁xⁿ⁻¹+...+a₀=0的一个解,则(A) a₀≠0 (B) aₙ≠0 (C) a₀ = ... = aₙ = 014. 设直线y=kx+b与曲线y=f(x)相切,其中k是常数,则b可取下列哪一个值?(A) f'(x₀) (B) f(x₀) (C) f''(x₀)15. 设f(x) = aₙxⁿ+aₙ₋₁xⁿ⁻¹+...+a₁x+a₀是n次多项式函数,其中n≥ 2,若存在x₁ ≠ x₂,使得f(x₁) = f(x₂),则(A) a₀ = 0 (B) a₁ = 0 (C) a₀ = a₁ = ... = aₙ = 0二、填空题(共30分,每题2分)1. 若函数f(x)为奇函数,且在区间[-1,1]上可导,则f'(x)[1, 0] =______2. 若函数f(x) = 2x³-3x²+5x-7的图像在点(x₁, f(x₁))处的斜率为3,则x₁的值为______3. 设函数f(x) = x³-2ax²+ax+1的图象与x轴相切,则a的值为______4. 若函数y = ax³+bx²+cx+d有两个互异的极值点,则b的取值范围是______5. 函数y = eˣsinx的极值点个数为______6. 若函数f(x)在区间[a, b]上的某一点x₀处取得最大值和最小值,则在区间(a, b)内至少存在一点x₁,使得f'(x₁) = ______7. 若(fg)'(x) = f'(x)g'(x),则函数f(x)可以是______函数,g(x)可以是______函数8. 函数f(x) = x³+ax²+bx+c的图象在点(1, 3)处的斜率为2,则a、b、c的值分别为______9. 若函数y = (2x-1)eˣ的图象有切线经过点(0, -1),则切线的斜率为______10. 若函数y = sinh(ax+b)在x=0处有一水平切线,则a、b的值分别为______11. 若函数f(x) = 2x³+ax²+3x的导数在x=1处的值为4,则a的值为______12. 函数f(x) = x³-ax²+ax+1在x=0处有一切线,且此切线平行于直线y = x,则a的值为______三、解答题(共40分)1. 设函数f(x) = kx³+3x²+4x-1,其中k为常数,已知f(-1) = 2,求k 的值。
《高等数学B1》练习试卷答案及评分标准一、单项选择题:(每小题3分,共18分,把正确选项的字母填入括号内)1. 函数1+=x y 是( B ).A 、有界函数B 、单调函数C 、奇函数D 、周期函数2. =→xx x 1sin lim 0( A ). A 、0 B 、1 C 、π D 、∞ 3. 下列导数算式正确的是( C )A 、()x x e e 22='B 、()x x sin cos ='C 、()22='x D 、x x ln 1='⎪⎭⎫⎝⎛4. 函数xy 1=在区间()+∞,0上是( B ) A 、单调增加的凹函数 B 、单调减少的凹函数 C 、单调增加的凸函数 D 、单调减少的凸函数5. 一条曲线经过点()0,1,且在任意点x 处的切线斜率为x 2,则该曲线 的方程是( C ).A 、13+=x yB 、2x y =C 、12-=x yD 、12+=x y6. 定积分()dx x f ba⎰是( C )A 、()x f 的一个原函数;B 、()x f 的全部原函数C 、一个确定常数;D 、任意常数二、填空题:(每小题3分,共18分)7.=⎪⎭⎫⎝⎛+∞→nn n 21lim 2e .8.已知x y 2sin =,则dydx= x 2c o s2 . 9.函数12+=x y 的极小值为 1 .10. 已知)(x f 的一个原函数为4x ,则=')(x f 212x .11.=⎰-ππxdx x sin 2 0 .12. 椭圆19422=+y x 围成平面图形的面积等于 π6 .三、计算题:(每小题6分,共36分)13. 233lim 22-++∞→x xx x .解:原式31=14.20cos 1lim x x x -→; 解:原式21=15. 设()1ln 2+=x x y ,求dxdy和dy . 解:()121ln 222+++=x x x dx dy ()dx x x x dy ⎪⎪⎭⎫ ⎝⎛+++=121ln 22216.求参数方程⎩⎨⎧==ty t x sin cos 所确定函数的一阶导数dx dy。
微积分试题 (A 卷)一. 填空题 (每空2分,共20分)1.已知则对于,总存在δ>0,使得当,)(lim 1A x f x =+→0>∀ε时,恒有│ƒ(x )─A│< ε。
2.已知,则a = ,b =2235lim 2=-++∞→n bn an n 。
3.若当时,α与β 是等价无穷小量,则 。
0x x →=-→ββα0limx x 4.若f (x )在点x = a 处连续,则 。
=→)(lim x f ax 5.的连续区间是 。
)ln(arcsin )(x x f =6.设函数y =ƒ(x )在x 0点可导,则______________。
=-+→hx f h x f h )()3(lim0007.曲线y = x 2+2x -5上点M 处的切线斜率为6,则点M 的坐标为 。
8. 。
='⎰))((dx x f x d 9.设总收益函数和总成本函数分别为,,则当利润最大时产2224Q Q R -=52+=Q C 量是。
Q 二. 单项选择题 (每小题2分,共18分)1.若数列{x n }在a 的ε 邻域(a -ε,a +ε)内有无穷多个点,则()。
(A) 数列{x n }必有极限,但不一定等于a (B) 数列{x n }极限存在,且一定等于a(C) 数列{x n }的极限不一定存在 (D) 数列{x n }的极限一定不存在2.设则为函数的( )。
11)(-=x arctg x f 1=x )(x f(A) 可去间断点(B) 跳跃间断点 (C) 无穷型间断点(D) 连续点3.( )。
=+-∞→13)11(lim x x x(A) 1 (B) ∞(C)(D) 2e 3e4.对需求函数,需求价格弹性。
当价格( )时,5p eQ -=5pE d -==p 需求量减少的幅度小于价格提高的幅度。
(A) 3 (B) 5 (C) 6(D) 105.假设在点的某邻域内(可以除外)存)(),(0)(lim ,0)(lim 0x g x f x g x f x x x x ''==→→得0x 0x 在,又a 是常数,则下列结论正确的是( )。
高等数学b1期末试题及答案一、选择题(每题5分,共30分)1. 下列函数中,哪一个是奇函数?A. f(x) = x^2B. f(x) = x^3C. f(x) = x^4D. f(x) = x答案:B2. 计算定积分∫(0,1) x^2 dx 的值。
A. 1/3B. 1/2C. 1D. 2答案:A3. 以下哪个选项是洛必达法则的应用?A. 计算极限lim(x→0) (sin x)/xB. 计算定积分∫(0,π) sin x dxC. 计算导数 d/dx (x^3)D. 计算不定积分∫e^x dx答案:A4. 以下哪个选项是二阶导数?A. d^2y/dx^2B. dy/dxC. d^2y/dy^2D. d^2y/dxdy答案:A5. 以下哪个选项是泰勒公式的展开式?A. f(x) = f(a) + f'(a)(x-a)B. f(x) = f(a) + f'(a)(x-a) + f''(a)(x-a)^2/2!C. f(x) = f(a) + f'(a)(x-a) + f''(a)(x-a)^2D. f(x) = f(a) + f'(a)(x-a) + f''(a)(x-a)^3/3!答案:B6. 以下哪个选项是傅里叶级数的组成部分?A. 正弦函数B. 余弦函数C. 指数函数D. 所有选项答案:D二、填空题(每题5分,共20分)1. 函数 f(x) = x^3 - 6x 在 x = 2 处的导数是 _______。
答案:-62. 微分方程 y'' - 2y' + y = 0 的通解是 _______。
答案:y = C1 * e^x + C2 * e^(-x)3. 计算极限lim(x→0) (e^x - 1)/x 的值是 _______。
答案:14. 函数 y = sin x 的不定积分是 _______。
高等数学教材b1试题及答案题目一:1. 计算下列极限:a) $\lim_{{n \to \infty}}\left(1+\frac{1}{n}\right)^n$b) $\lim_{{x \to \infty}} \frac{{\ln x}}{{x}}$c) $\lim_{{x \to 0}} \frac{{\sin x}}{{x}}$解答一:a) 根据极限的定义,当$n$趋向无穷时,$\left(1+\frac{1}{n}\right)^n = e$b) 应用洛必达法则,得到$\lim_{{x \to \infty}} \frac{{\ln x}}{{x}} = \lim_{{x \to \infty}} \frac{{\frac{1}{x}}}{{1}} = 0$c) 根据极限的定义,得到$\lim_{{x \to 0}} \frac{{\sin x}}{{x}} = 1$题目二:2. 求函数$f(x) = \frac{{x^2-1}}{{x-1}}$的极限值。
解答二:当$x$趋向1时,$f(x)$的分母趋近于0,但分子并没有发散,所以我们可以尝试进行化简:$f(x) = \frac{{(x-1)(x+1)}}{{x-1}}$化简后得到:$f(x) = x + 1$所以,当$x$趋向1时,$f(x)$的极限值为2。
题目三:3. 求函数$g(x) = \lim_{{n \to \infty}} \left(1+\frac{{x^2}}{{n}}\right)^n$的极限值。
解答三:由题意可得:$g(x) = \lim_{{n \to \infty}} \left(1+\frac{{x^2}}{{n}} \right)^n$观察到这是一个形如$\left(1+\frac{a}{n}\right)^n$的极限,可以利用题目一中的结论:$g(x) = \lim_{{n \to \infty}} \left(1+\frac{{x^2}}{{n}} \right)^n =e^{x^2}$所以,函数$g(x)$的极限值为$e^{x^2}$。
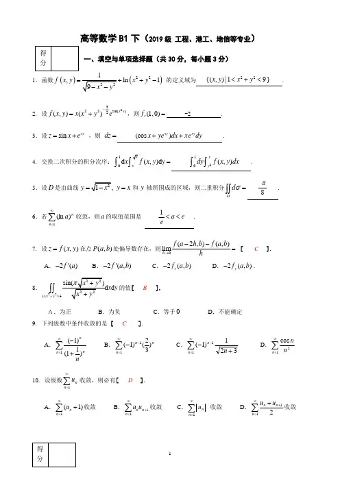
高等数学B1下(2019级 工程、港工、地信等专业)一、填空与单项选择题(共30分,每小题3分)1.函数()()22,ln 1f x y x y =++- 的定义域为22{(,)|19}x y x y <+<.2. 设2322sin()2(,)()x y f x y x x y e -=+,则(1,0)x f = -2 .3.设sin xyz x e =+ ,则 dz =(cos )xy xy x ye dxxe dy++.4. 交换二次积分的积分次序:10d (,)d xx f x y y =⎰⎰210(,)y y dy fx y dx⎰⎰.5.设D 是由曲线y y x ==和y 轴所围成的区域,则二重积分Dd σ=⎰⎰8π.6.若∑∞=1)(ln n n a 收敛,则a 的取值范围是1a e e<<.7. 设),(y x f z =在点),(b a P 处偏导数存在,则0(2,)(,)limh f a h b f a b h→--= [ C ].A .2()f a '-B .2(,)f a b '-C .2(,)x f a b -D .2(,)y f ab -.8.221d x y x y ≤+≤⎰⎰的值[ B ].A.为正 B .为负 C .等于0 D .不能确定 9. 下列级数中条件收敛的是 [ C ].A .∑∞=+-1)11()1(n nnnB .∑∞=--1132()1(n n n C .321)1(11+-∑∞=-n n n D .∑∞=12cos n nn10. 设级数∑∞=1n nu收敛,则必有[ D ].A .1(1)n n u∞=+∑收敛 B .11n n n u u ∞+=∑收敛 C .∑∞=1n n u 收敛 D .112n n n u u ∞+=+∑收敛二、应用题(8分)设生产某种产品的数量与所用两种原料,A B的数量,x y之间有关系式2(,)0.005P x y x y=,欲用150元购买原料,已知,A B原料的单价分别为1元和2元,问购进两种原料各多少,可使生产的数量最多?解:由题意知2150x y+=,则可构造拉格朗日函数为:2(,,)0.005(2150)F x y x y x yλλ=++-……3分求偏导数并令其为零,得:20.0100.0052021500xyxx yλλ+=⎧⎪+=⎨⎪+-=⎩14y x=∴100,25x y==,……8分故购进A原料100,B原料25时,可使生产的数量最多.三、计算下列各题(共18分,每小题6分)1. 设2xyxz ey=+,求zx∂∂和2zx y∂∂∂.解:2xyz xyex y∂=+∂,……3分222(1)xyz xxy ex y y∂=-++∂∂. ……6分2.设(,)z f x y=是由方程0=++xy zeyzxe所确定的隐函数,求zx∂∂和zy∂∂.解:令(,,)y xF x y z xe yz ze=++,则y xFe zex∂=+∂,yFxe zy∂=+∂,xFy ez∂=+∂,……3分∴y xxxzFz e zex F y e∂+=-=-∂+,yyxzFz xe zy F y e∂+=-=-∂+. ……6分3. 设(,)y x z f x y =,且f 具有一阶连续偏导数,求yz y x z x ∂∂+∂∂. 解:∵1221z y f f x x y ⎛⎫∂''=-⋅+⋅ ⎪∂⎝⎭, 1221z x f f y x y ⎛⎫∂''=⋅+-⋅ ⎪∂⎝⎭,……4分∴ 0z zxy x y∂∂+=∂∂.……6分四、计算积分(共18分,每小题6分)1.22,Dx d D yσ⎰⎰由曲线2,,1x y x xy ===所围成. 解:222212111/1y xxxy x dy I x dx x dx yy ==⎛⎫⎪==⋅- ⎪⎝⎭⎰⎰⎰ ……3分()2234211119424x x x x dx x x ==⎛⎫=-=-= ⎪⎝⎭⎰. ……6分2.sin xydx dy yππ⎰⎰. 解:由题可知积分区域为::0,D x x y ππ≤≤≤≤,交换积分次序将区域改写为: :0,0D y x y π≤≤≤≤,故00sin sin y xyy dx dy dy dx y yπππ=⎰⎰⎰⎰……4分sin 2ydy π==⎰.……6分3.221xy dx dy +⎰.解:由题知:01,0D x y≤≤≤≤,令cos,sinx r y rθθ==,则dxdy rdrdθ=,:01,0.2D rπθ≤≤≤≤……2分()221120011224rr rrI d e rdr e eπππθ====⋅=-⎰⎰ . ……6分五、判定级数敛散性或级数求和(共21分,第1小题5分,第2、3小题每题8分)1. 判定级数1315nn∞=+∑的敛散性.解:315lim135nnn→∞+=,∴由级数135nn∞=∑收敛知级数1315nn∞=+∑收敛.……5分2. 判定级数1(1)nn∞=-∑是绝对收敛、条件收敛或发散.解:∵12n→∞=,∴由级数1n∞=1n∞=∑发散; (4)分但数列单调递减,且0n=,由莱布尼兹判别法知级数1(1)nn∞=-∑收敛,故级数1(1)nn∞=-∑条件收敛.……8分3. 求幂级数11n n n x∞-=⋅∑的收敛域及和函数.解:对任意的0x ≠,1(1)limnn n n x x nx-→∞+⋅=,由比值判别法知,当1x < 即 11x -<<时,原级数收敛. 又当1x =±时,级数发散, ∴ 收敛域为(1,1)x ∈-.……4分1201()1(1)n n n n x s x nxx x x ∞∞-==''⎛⎫⎛⎫==== ⎪ ⎪--⎝⎭⎝⎭∑∑,(1,1)x ∈-.……8分六、证明题(5分)设n n n b c a ≤≤),,2,1( =n 且∑∞=1n n a 及∑∞=1n n b 均收敛, 证明级数∑∞=1n n c 收敛.证明:由n n n a c b ≤≤,得 0(1,2,)n n n n c a b a n ≤-≤-=,……2分由于∑∞=1n na与∑∞=1n nb都收敛,故)(1nn na b ∑∞=-是收敛的,从而由比较判别法知,正项级数)(1n n na c∑∞=-也收敛.再由∑∞=1n na与)(1n n na c-∑∞=的收敛性可知: 级数∑∞=1n n c )]([1n n n na c a∑∞=-+=也收敛.……5分。
高等数学B1试题及答案题 号 一 二 三 四 五 六 总成绩 得 分一、 单项选择题:(每题3分,共15分)1.下列变量在给定变化过程中是无穷小量的是 。
221()cos (0)()()61()(1)sin(1)()()22xx x A x xx B x x x C x x D x ++→→+∞+⎛⎫+→→-∞ ⎪⎝⎭2.0=x 是函数, 0()2-, 0x x f x x x <⎧=⎨≥⎩的( )。
(A) 跳跃间断点; (B) 连续点; (C) 振荡间断点; (D) 可去间断点. 3.函数34125y x x =-+的凸区间为( )。
(A )(2,2)- (B )(,2)(2,)-∞-+∞(C )(,0)-∞ (D )(0,)+∞ 4. 曲线165y x =++的水平渐近线是( )。
(A )5x =- (B )0y = (C )6y = (D )0x = 5.下列不定积分正确的是 。
4311()4A d x x C x -=-+⎰1()ln B d x x C x=+⎰22()x x C xe d x e C=+⎰()cos sin D x d x x C =+⎰二、 填空:(每个空3分,共15分)1.已知a 为常数,2454lim 5x x x ax x →∞⎡⎤-+-=-⎢⎥⎣⎦,则=a .2. '(3)5f =,则0(3)(3)limx f x f x x→+--= .3.设函数sin 6,0() 30xx f x xa x ⎧≠⎪=⎨⎪=⎩在0=x 处连续,则=a . 4. 已知x 为变量,则(sin 2)d x = .5. 2512x xe dx +'⎡⎤=⎢⎥⎣⎦⎰ .三、计算下面各题(每题5分,共30分)1.2465(5)(3)6511lim x x x x x →+∞++++ 2. ()1014lim xx x →-3.21cos lim x xx →-4.已知3ln()sin y x x x =+,求y '5.已知cos()x y e xy y ++=,求y '6.已知x y x =,求dy dx四.求积分(每题6分,共24分)1.22(1-)x x dx ⎰ 2.52cos sin x xd x π⎰3.xxe dx ⎰ 4.1ln e x x d x ⎰五、(8分)铁路线上AB段的距离为100 km,工厂C 距A 处的垂直距离为20 km,AC 垂直于AB。
修改前:《微积分》考试试题与答案各种总结修改后:微积分考试题型及答案汇总本文旨在总结微积分考试涉及的各种题型以及对应的答案,供学生备考之用。
选择题选择题是微积分考试中常见的题型,本部分将汇总一些比较典型的选择题,包括:1. 对函数 $f(x)=x^2+1$ 在点 $x=1$ 处的切线斜率的求解2. 对函数 $f(x)=\sin(x)$ 在$x=\pi$ 处的极值的求解3. 对积分 $\int_0^1 x^2 \mathrm{d}x$ 的求解以上题目的答案如下:1. $2$2. $0$3. $\frac{1}{3}$填空题填空题也是微积分考试中经常出现的题型之一,本部分将汇总比较典型的填空题,包括:1. 以下极限中,$x\to 0$ 时发散的是$\underline{\hspace{10pt}}$2. 以下积分中,发散的是 $\int_0^1 \frac{1}{x}\mathrm{d}x=\underline{\hspace{10pt}}$3. 函数 $\ln(x)$ 在 $x=1$ 处的泰勒展开为$\underline{\hspace{10pt}}$以上题目的答案如下:1. $\frac{1}{x}$2. $\infty$3. $x-1$解答题解答题是微积分考试中常见且较复杂的题型,本部分将总结解答题的一些典型题目,包括:1. 设函数 $y=y(x)$ 由方程 $\sin(xy)+y\ln y=0$ 确定,求$y'(0)$ 的值2. 求曲线 $y=\sqrt{2x-x^2}$ 在点 $(1, \sqrt{2})$ 处的切线方程3. 求积分 $\int_0^2 (x+1)\sqrt{x^2+2x+3}\mathrm{d}x$以上题目的答案不在此一一列举,读者可以自行尝试解题并核对结果。
总之,以上汇总的题目是微积分考试中常见的题型,希望本文能够对学生备考有所帮助。
《微积分》B 卷(闭卷)函授站点 专业 年级 姓名一、填空题(共10个小题,每题3分,总计30分)1.函数)2ln(1)(-=x x f 的定义域是_________________ ; 2.函数x y -=31+)1ln(-x 的定义域是___________________;3.设)(x f =⎩⎨⎧<-≥-0101e 2x xx x ,则)0(f =_____________________________; 4.函数x x x f 2)1(2-=-,则=)(x f ______________________ ;5.=→xx x 2sin lim 0_______ _________ ; 6.设x x y ln =,则y ''_________________________;7.曲线2+=x y 在点2=x 的切线方程是_______ ;8.函数)1ln(2x y +=在区间______________________内是单调减少的;9.函数1)2(2--=x y 的单调增加区间是 _______________ ;10.若⎰+=c x x x f 2cos d )(,则=)(x f _______________ 。
二、单项选择题(共10个小题,每题2分,总计20分)1.以下计算正确的是( )(A )3ln 3d d 3xxx = (B ))1(d 1d 22x x x +=+ (C )x xx d d = (D ) )1d(d ln x x x =2.若x x f cos )(=,则='⎰x x f d )(( )(A ) c x +sin (B ) c x +cos(C ) c x +-sin (D ) c x +-cos3.=⎰-)e (d x x ( )(A )c x x +-e (B )c x x x ++--e e(C )c x x +--e (D )c x x x +---e e4.下列定积分中积分值为0的是( )(A )x xx d 2e e 11⎰--- (B )x x x d 2e e 11⎰--+ (C )x x x d )cos (2⎰-+ππ (D )x x x d )sin (2⎰-+ππ 5.微分方程y y -='的通解是( )(A )x c y -=e (B )x c y e =(C )c y x +=-e (D )c y x +-=e6.若0→x 时,k x x x ~2sin sin 2-,则=k ( )(A )1 (B )2 (C )3 (D )47.已知)(x f 在],[b a 上连续,则( )一定存在.(A ) )(lim x f a x → (B ))(lim x f a x +→ (C ) )(lim x f a x -→ (D ))(lim x f b x +→8.x y sin =在0=x 处是( )(A )连续且可导 (B )不连续 (C )不连续但可导 (D )连续但不可导9.曲线12-=x x y 有( )条渐近线。
保密★启用前
2018-2019学年第一学期期末考试
《高等数学BⅠ》
考生注意事项
1.答题前,考生须在试题册指定位置上填写考生教学号和考生姓名;在答题卡指定位置上填写考试科目、考生姓名和考生教学号,并涂写考生教学号信息点。
2.选择题的答案必须涂写在答题卡相应题号的选项上,非选择题的答案必须书写在答题卡指定位置的边框区域内。
超出答题区域书写的答案无效;在草稿纸、试题册上答题无效。
3.填(书)写部分必须使用黑色字迹签字笔书写,字迹工整、笔迹清楚;涂写部分必须使用2B铅笔填涂。
4.考试结束,将答题卡和试题册按规定交回。
(以下信息考生必须认真填写)
考生教学号
考生姓名
《高等数学B Ⅰ》试题答案 第 1 页 (共 5 页)
一、选择题:1~6小题,每小题3分,共18分.下列每题给出的四个选项
中,只有一个选项是符合题目要求的.请将答案写在答题卡上,写在试题册上无效. 1. 1lim(1)n
n n →∞
+=( B ).
(A )0 (B )1 (C )e (D )1
e
2. 设()f x 为可导函数,且满足条件0(1)(1)
lim
12x f f x x
→−−=−,则曲线()y f x =在点(1,(1))f 处的切线的斜率等于( C ).
(A )2 (B )1− (C )2− (D )
1
2
3. 设0
()()()d x
F x x t f t t =−⎰ ()f x 为连续函数,且(0)=0()0f f x '>,,则
()y F x =在0+∞(,)内( A ).
(A )单调增加且为下凸 (B )单调增加且为上凸 (C )单调减少且为下凸 (D )单调减少且为上凸 4. 曲线2
2
1e 1e
−−+=
−x x y ( D ).
(A )没有渐近线 (B )仅有水平渐近线
(C )仅有铅直渐近线 (D )既有水平渐近线又有铅直渐近线 5. 若ln ()sin f t t =,则()
d ()
tf t t f t '=⎰
( A ). (A )sin cos ++t t t C (B )sin cos −+t t t C (C )sin cos ++t t t t C (D )sin +t t C
6. 使不等式1sin d ln x
t
t x t
>⎰
成立的x 的范围是( C ). (A )π
(1,)2
(B )π(,π)2 (C )(0,1) (D )(π,+)∞
《高等数学B Ⅰ》试题答案 第 2 页 (共 5 页)
二、填空题:7~12小题,每小题3分,共18分.
7. 设当0x →时,2(1cos )ln(1)x x −+是比sin n x 高阶的无穷小,而sin n x 是比
2
e 1x −高阶的无穷小,则正整数n 等于 3 .
8.设函数()y y x =由方程2e cos()e 1x y xy +−=−所确定,求
d d x y
x
== 2− .
9. 函数()ln 12=−y x 在0=x 处的(2)n n >阶导数()(0)n f = 2(1)!n n −⋅− . 10. 2
21d x x x −−=⎰
11
6
. 11. 1
21e d x x x
−∞=⎰ 1 . 12. Oxy 平面上的椭圆22
149x y +
=绕x 轴旋转一周而形成的旋转曲面的方程是 222
149
x y z ++= . 三、解答题:13~19小题,共64分.解答应写出文字说明、证明过程或演算步骤.
13.(本题满分10分)
求函数3
sin ()x
f x x x
π=
−的间断点,并判断间断点的类型. 【解】因为3sin sin ()(1)(1)
x x
f x x x x x x ππ==−−+,显然0,1,1x =−为间断点. 2分 于是
lim ()lim
(1)(1)
x x x
f x x x x →→π==π−+, 4分
1111sin 1cos lim ()lim
lim 21212
x x x x x f x x →−→−→−ππππ
=−=−=+ 6分 1111sin 1cos lim ()lim
lim 21212x x x x x f x x →→→ππππ
===−−, 8分 所以0,1,1x =−是第一类中的可去间断点. 10分
《高等数学B Ⅰ》试题答案 第 3 页 (共 5 页)
14.(本题满分10分)
设cos sin ,
sin cos x t t t y t t t =+⎧⎨=−⎩,求22
4
d d t y x π
=
.
【解】由题意,得
4
d (sin cos )cos cos sin d tan , 1.d (cos sin )sin sin cos d t y t t t t t t t y
t x t t t t t t t x π=
'−−+===='+−++ 5分
222324
d d tan d 1d ,d d d cos d t y t t y
x t x t t x π=
=⋅==
π
10分
15.(本题满分10分)
求x . 【解】设tan ,,22
x t x ππ
=−
<<,则2d sec d x t t =,于是 3分 原式2= 5分 2
cos d sin t
t t
=⎰
2sin dsin csc t t t C −==−+⎰ 9分
C =+. 10分
16.(本题满分10分)
求函数3226187y x x x =−−−的极值.
【解】2612186(3)(1),y x x x x '=−−=−+ 2分 令0,y '=得驻点123, 1.x x ==− 5分 又1212,(3)240,(1)240,y x y y ''''''=−=>−=−< 8分
《高等数学B Ⅰ》试题答案 第 4 页 (共 5 页)
所以极大值(1)3y −=,极小值(3)61y =−. 10分
17.(本题满分10分)
求由曲线y =1,4,0x x y ===所围成的平面图形的面积及该图形绕y 轴旋转一周所形成的立体的体积.
【解】(1) 1
S x =⎰
2分
4
321214
33
x ⎡⎤==⎢⎥⎣⎦ 5分 (2) 解法1: 4
1
2y V x =π⎰ 7分
4
521
412455x ⎡⎤π==π⎢⎥⎣⎦ 10分
解法2: 2
41
32d y V y y =π−π−π⎰ 7分
124
5
=
π 10分
18.(本题满分8分)
求过直线50:40x y z L x z ++=⎧⎨−+=⎩,
且与平面48120x y z −−+=交成π4角的平面
方程.
【解1】过已知直线L 的平面束方程为
(4)(5)0x z x y z λ−++++=,
即(1)5(1)40x y z λλλ+++−+=. 2分 已知平面的法向量为(1,4,8)−−. 由题设条件,有
π
cos
4=
, 即
2=
,由此解得0λ=或43λ=−. 6分
《高等数学B Ⅰ》试题答案 第 5 页 (共 5 页)
将0λ=或4
3
λ=−分别代入平面束方程,得所求平面方程为
40207120x z x y z −+=++−=,. 8分 【解2】过已知直线L 的平面束方程为
(4)(5)0x z x y z λ−++++=,
即(1)5(1)40x y z λλλ+++−+=. 2分 已知平面的法向量为(1,4,8)−−. 由题设条件,有
π
cos
4=
即
2=
,由此解得34λ=−. 6分 将3
4
λ=−分别代入平面束方程,得所求平面方程为
207120x y z ++−=. 7分
另外,40x z −+=也是所求平面方程. 8分
19.(本题满分6分)
设函数()f x 在[]0,2π上连续,在(0,2π)内可导,且(0)1,(π)3,
f f ==(2π)2f =. 试证明在(0,2π)内至少存在一点ξ,使()()cos 0f f ξξξ'+=.
【证】 构造函数sin ()()e x F x f x =. 2分 因为()F x 在[]0,2π上连续,在(0,2π)内可导,且
(0)1,(π)3,(2π)2F F F ===. 3分
因为2是介于(0)1F =与(π)3F =之间的,故由闭区间上连续函数的介值定理知,在(0,π)内存在一点c 使得()2(2π)F c F ==. 5分
于是在[],2πc 上函数()F x 满足罗尔定理的条件,所以
[]sin ()()()cos e 0,(,2π)(0,2π)F f f c ξξξξξξ''=+=∈⊂.
则原结论成立. 6分。