广西省桂林市中山中学2018-2019高一下学期期中考试数学试卷(含答案)
- 格式:doc
- 大小:397.51 KB
- 文档页数:13
2012-2013学年度广西桂林中学第二学期高一期中考试数学试题时间 120分钟, 满分150分第Ⅰ卷(选择题, 共60分)一、选择题:(本大题共12小题,每小题5分,满分60分)1.︒150sin 的值等于( )A .21B .-21C .23D .-23 2.已知AB =(3,0),那么AB 等于( ) A .2 B .3C .4D .5 3.在0到2范围内,与角43π-终边相同的角是( ) A .6π B .3π C .32π D .34π 4.若0cos >α,0sin <α,则角α的终边在( )A .第一象限B .第二象限C .第三象限D .第四象限5.0000sin 2cos 4+cos 2sin 4︒︒︒︒的值等于( )A .41B .23C .21D .43 6.下列命题中: ①若0a b ⋅=,则0a =或0b =;②若不平行的两个非零向量a ,b 满足a b =,则()()0a b a b +⋅-=;③若a 与b 平行,则a b a b ⋅=⋅;④若a ∥b ,b ∥c ,则a ∥c ;其中真命题的个数是( ) A .1 B .2 C .3 D .47.已知,31tan =θ则θθ2sin 21cos 2+的值为( ) A .56- B .56 C .54- D .548.已知角θ的顶点与原点重合,始边与x 轴的正半轴重合,终边在直线2y x =上,则cos2θ=( )A .45-B .35-C .35D .459.已知a 与b 均为单位向量,其夹角为θ,有下列四个命题 ⎪⎭⎫⎢⎣⎡∈⇔>+πθ32,01:1b a P ⎥⎦⎤ ⎝⎛∈⇔>+ππθ,321:2b a P⎪⎭⎫⎢⎣⎡∈⇔>-3,01:3πθb a P ⎥⎦⎤ ⎝⎛∈⇔>-ππθ,31:4b a P 其中的真命题是( ) A .14,P P B .13,P P C .23,P P D .24,P P10.设函数()sin()cos()(0,)2f x x x πωϕωϕωϕ=+++><的最小正周期为π,且()()f x f x -=,则( )A .()f x 在0,2π⎛⎫ ⎪⎝⎭单调递减B .()f x 在3,44ππ⎛⎫ ⎪⎝⎭单调递减 C .()f x 在0,2π⎛⎫ ⎪⎝⎭单调递增 D .()f x 在3,44ππ⎛⎫ ⎪⎝⎭单调递增 11.在△ABC 中,若CB CA BC BA AC AB AB ⋅+⋅+⋅=2,则△ABC 是( )A .等边三角形B .锐角三角形C .钝角三角形D .直角三角形12.在边长为1的正三角形ABC 中,13BD BA =,E 是CA 的中点,则CD BE ⋅= ( ) A .23- B .12- C .13- D .16- 第Ⅱ卷(非选择题,共90分)二、填空题:(本大题4小题,每小题5分,满分20分)13.已知角α的终边经过点P (3,4),则cos α的值为 .14.12,e e 是两个不共线的向量,已知122AB e ke =+,123CB e e =+,122CD e e =-,且D B A ,,三点共线,则实数k = .15.已知,a b 均为单位向量,它们的夹角为60︒,那么3a b += .16.给出下列命题:(1)存在实数α,使sin cos 1αα=;(2)函数)23sin(x y +=π是偶函数; (3)8π=x 是函数)452sin(π+=x y 的一条对称轴; (4)若βα,是第一象限的角,且βα>,则βαsin sin >;(5)将函数)32sin(π-=x y 的图像先向左平移6π,然后将所得图像上所有点的横坐标变为原来的2倍(纵坐标不变),所得到的图像对应的解析式为x y sin =.其中真命题的序号是 .三、解答题:(本大题共6小题,满分70分,解答应写出文字说明证明过程或演算步骤)17.(本小题满分10分)已知0<α<2π,sin α=54.(1)求tan α的值; (2)求cos 2α+sin ⎪⎭⎫ ⎝⎛2π + α的值.18.(本小题满分12分)在四边形ABCD 中,(6,1),(,),(2,3)AB BC x y CD ===--.(1)若BC ∥DA ,试求x 与y 满足的关系;(2)若满足(1)同时又有AC BD ⊥,求x 、y 的值.19.(本小题满分12分)已知向量a =)sin ,(cos θθ,],0[πθ∈,向量b =(3,-1)(1)若a b ⊥,求θ的值;(2)若2a b m -<恒成立,求实数m 的取值范围. 20.(本小题满分12分)已知函数f (x )=A sin (ωx +φ)(x ∈R ,A >0,ω>0,|φ|<π2)的部分图象如图所示.(1)试确定f (x )的解析式;(2)若f (a 2π)=12,求cos (2π3-a )的值. 21.(本小题满分12分)已知函数f (x )=s in 2x+3sinx cos x+2cos 2x,x ∈R .(1)求函数f (x )的最小正周期和单调增区间;(2)函数f (x )的图象可以由函数y =sin2x (x ∈R )的图象经过怎样的变换得到?22.(本小题满分12分)已知平面向量()cos ,sin a x x =,()2sin ,2cos b x x =-,c a m b =+,cos 2sin d x a x b =⋅+⋅,(),f x c d x R =⋅∈.(1)当2m =时,求()y f x =的取值范围;(2)若()f x 的最大值是7,求实数m 的值.。
桂林中学2018-2019学年度下学期期中考试高二数学(文理科)试题时间 120分钟,满分150分本试卷分第Ⅰ卷(选择题)和第Ⅱ卷(非选择题)两部分,满分150分,考试时间120分钟.第Ⅰ卷(选择题,共60分)一、选择题:(本大题共12小题,每小题5分,满分60分) 1.下列命题中:① 若A ∈α,B ∈α,则AB ⊂α;② 若A ∈α,A ∈β,则α、β一定相交于一条直线,设为m ,且A ∈m ;③经过三个点有且只有一个平面;④ 若a ⊥b ,c ⊥b ,则a ∥c.正确命题的个数是( ) A .1B .2C .3D .4 2.以41-=x 为准线的抛物线的标准方程为( ) A .x y 212= B .y x =2 C .y x 212= D .x y =23.等比数列{}n a 中,29,a = 5243a =,则{}n a 的前4项和为( ) A .81 B .120 C .168 D .192 4.a ,b ∈R ,下列A .若a >b ,则a 2>b 2B .若∣a ∣>b ,则a 2>b 2C .若a >∣b ∣,则a 2>b 2D .若a ≠∣b ∣,则a 2≠b 25.设,m n 是两条不同的直线,γβα,,是三个不同的平面,给出下列四个①若m ⊥α,α//n ,则n m ⊥ ②若βα//,γβ//,m ⊥α,则m ⊥γ ③若α//m ,α//n ,则n m // ④若αγ⊥,βγ⊥,则//αβ 其中正确 A .②和③ B .①和② C .③和④ D .①和④6.已知平面的一条斜线a 和它在平面内的射影的夹角是45°,且平面内的直线b 和斜线a 在平面内的射影的夹角是45°,则直线a 、b 所成的角是( ) A .30° B .45° C .60° D .90°7.已知正四棱柱1111ABCD A B C D -中,1AA =2AB ,E 为1AA 中点,则异面直线BE 与1CD 所形成角的余弦值为( )A .10B .15C .10D .358.设条件甲:直四棱柱1111ABCD A B C D -中,棱长都相等;条件乙:直四棱柱1111ABCD A B C D -是正方体,那么甲是乙的( )A .充分必要条件B .充分非必要条件C .必要非充分条件D .既非充分也非必要条件 9.已知两条直线2121//,08)5(2:,0534)3(:l l y m x l m y x m l =-++=-+++,则直线1l 的一个方向向量是( )A .(1,-12) B .(-1,-1) C .(1,-1)D .(-1,-12)10.三棱锥P ABC -的高为PH ,若三个侧面与底面所成二面角相等,则H 为△ABC 的( ) A .内心 B .外心 C .垂心 D .重心11.如图,在正三棱柱ABC -A 1B 1C 1中,已知AB =1,D 在棱BB 1上,且BD =1,则AD 与平面AA 1C 1C 所成角的正弦值为( )A .64B .34C .62D .7212.一个盛满水的三棱锥容器S -ABC ,不久发现三条侧棱上各有一个小洞D 、E 、F ,且知SD :DA =SE :EB =CF :FS =2:1,若仍用这个容器盛水,则最多可盛原来水的( ) A .2923 B .2719 C .3130 D .2723第Ⅱ卷(非选择题,共90分)二、填空题:(本大题4小题,每小题5分,满分20分) 13.用一个平面去截正方体,其截面是一个多边形,则这个多边形的边数最多是_____条.14.已知PA ⊥平面ABC ,△ABC 是直角三角形,且AB =AC=2,PA =3,则点P 到直线BC 的距离是_______________.15.已知正四棱锥P —ABCD 的高为4,侧棱与底面所成的角为060,则该正四棱锥的侧面积是___________________.16.已知∆ABC 的顶点A(-5,0),B(5,0),顶点C 在双曲线91622y x -=1上,则CB A sin sin sin -的值为__________________.注意:此卷不交,注意保存.三、解答与证明题:(本大题共6小题,满分70分,解答应写出文字说明证明过程或演算步骤)17.(本小题满分10分)已知向量(sin ,cos 2sin ),(1,2).a b θθθ=-=(1)若//a b ,求tan θ的值;(2)若||||,0,a b θπ=<<π,求θ的值.18.(本小题满分12分)如图,P 是正三角形ABC 所在平面外一点,M 、N 分别是AB 和PC 的中点,且PA =PB =PC =AB =a .(1)求证:MN 是AB 和PC 的公垂线(2)求异面直线AB 和PC 之间的距离19.(本小题满分12分)如图所示,在棱长为2的正方体1111ABCD A B C D -中,E 、F 分别为1DD 、DB 的中点.(1)求证:EF ∥平面11ABC D ;(2)求证:1EF B C ⊥; (3)求三棱锥EFC B V -1的体积.20.(本小题满分12分)如图,在四棱锥ABCD P -中,底面ABCD 是矩形.已知60,22,2,2,3=∠====PAB PD PA AD AB .(1)证明⊥AD 平面PAB ;(2)求异面直线PC 与AD 所成的角的大小;(3)求二面角A BD P --的大小.21.(本小题满分12分)已知点(x ,y) 在曲线C 上,将此点的纵坐标变为原来的2倍,对应的横坐标不变,得到的点满足方程228x y +=;定点M(2,1),平行于OM 的直线l 在y 轴上的截距为m(m ≠0),直线l 与曲线C 交于A 、B 两个不同点. (1)求曲线C 的方程; (2)求m 的取值范围.22.(本小题满分12分)已知点P n (a n ,b n )都在直线l :y =2x +2上,P 1为直线l 与x 轴的交点,数列{}n a 成等差数列,公差为1.(n ∈N +)(1)求数列{}n a ,{}n b 的通项公式; (2)若f(n)=⎩⎨⎧)(b )(n为偶数为奇数n n a n 问是否存在k +∈N ,使得f(k+5)=2f(k)-2成立;若存在,求出k 的值,若不存在,说明理由.(3)求证:5211121231221<+⋅⋅⋅++np p p p p p (n ≥2,n ∈N +)桂林中学2018-2019学年下学期期中考试高二数学(文理科)答题卷一、选择题:(本大题共12小题,每题5分,满分60分)13.________________________14.____________________________ 15.________________________16.____________________________ 三、解答题:(本大题共6小题,满分70分) 17.(本题满分10分)18.(本题满分12分)19.(本题满分12分)20.(本题满分12分)21.(本题满分12分)22.(本题满分12分)桂林中学2018-2019学年下学期期中考试高二数学(文理科) 答案一、选择题:(本大题共12小题,每题5分,满分60分)13.6 14.11 15.316.54±三、解答题:(本大题共6小题,满分70分) 17.(本题满分10分) 解:(1)因为//,所以2sin cos 2sin ,θθθ=- …… 2分于是4sin cos θθ=,故1tan .4θ=………4分(2)由||||a b =知,22sin (cos 2sin )5,θθθ+-=所以212sin 24sin 5.θθ-+=从而2sin 22(1cos 2)4θθ-+-=,即sin 2cos21θθ+=-, ……… 6分于是22)4π2sin(-=+θ.又由π0<<θ知,49π4π24π<+<θ,……… 8分 所以45π4π2=+θ,或47π4π2=+θ.因此2π=θ,或43π=θ. (10)分18.(本题满分12分)解:(1)连结AN ,BN ,∵△APC 与△BPC 是全等的正三角形,又N 是PC 的中点∴AN =BN又∵M 是AB 的中点,∴MN ⊥AB ……… 3分同理可证MN ⊥PC , 又∵MN ∩AB =M ,MN ∩PC =N ∴MN 是AB 和PC 的公垂线. ……… 6分 (2)在等腰三角形ANB 中,,,23a AB a BN AN === ……… 8分aAB AN MN 22)21(22=-=∴即异面直线AB 和PC 之间的距离为a 22.……… 12分19.(本题满分12分)证明:(1)连结1BD ,在B DD 1∆中,E 、F 分别为1D D ,DB 的中点,则11111111////EF D BD B ABC D EF ABC D EF ABC D ⎫⎪⊂⇒⎬⎪⊄⎭平面平面平面……… 4分(2)1111111,B C ABB C BC AB B C ABC D AB BC B ⊥⎫⎪⊥⎪⎬⊂⎪⎪=⎭平面⇒111111B C ABC D BD ABC D ⊥⎫⇒⎬⊂⎭平面平面111//B C BD EF BD ⊥⎫⎬⎭1EF B C ⇒⊥…… 8分(3)11CF BDD B ⊥平面 1CF EFB ∴⊥平面 且CF BF ==112EF BD ==,1B F ===13B E ===∴22211EF B F B E += 即190EFB ∠=11113B EFC C B EF B EF V V S CF --∆∴==⋅⋅=11132EF B F CF ⨯⋅⋅⋅=11132⨯=……… 12分20.(本题满分12分)解:(1)证明:在PAD ∆中,由题设22,2,2===PD AD PA 可得 222PD AD PA =+ 于是PA AD ⊥. …… 2分在矩形ABCD 中,AB AD ⊥.又A AB PA = , 所以⊥AD 平面PAB .……… 4分(2)解:由题设,AD BC //,所以PCB ∠(或其补角)是异面直线PC 与AD 所成的角. … 5分 在PAB ∆中,由余弦定理得7cos 222=∠⋅⋅-+=PAB AB PA AB PA PB ……… 6分 由(1)知⊥AD 平面PAB ,⊂PB 平面PAB ,所以PB AD ⊥, 因而PB BC ⊥, ……… 7分于是PBC ∆是直角三角形,故27tan ==∠BCPB PCB .所以异面直线PC 与AD 所成的角的大小为27arctan.……… 8分(3)解:过点P 做AB PH ⊥于H ,过点H 做BD HE ⊥于E ,连结PE因为⊥AD 平面PAB ,⊂PH 平面PAB ,所以PH AD ⊥.又A AB AD = ,因而⊥PH 平面ABCD ,故HE 为PE 在平面ABCD 内的射影.由三垂线定理可知,PE BD ⊥,从而PEH ∠是二面角A BD P --的平面角. ……… 9分 由题设可得,134,13,2,160cos ,360sin 22=⋅==+==-==⋅==⋅=BH BD AD HE AD AB BD AH AB BH PA AH PA PH (10)分于是在PHE RT ∆中,439tan =∠PEH所以二面角A BD P --的大小为439arctan .……… 12分21.(本题满分12分)解:(1)在曲线C 上任取一个动点P(x ,y),则点(x ,2y)在圆228x y +=上. ……… 2分 所以有22(2)8x y +=.整理得曲线C的方程为12822=+y x . (4)分(2)∵直线l 平行于OM ,且在y 轴上的截距为m ,又21=OMK ,∴直线l 的方程为m x y +=21. ……… 6分由221,21.82y x m x y ⎧=+⎪⎪⎨⎪+=⎪⎩, 得 222240x mx m ++-= ……… 8分∵直线l 与椭圆交于A 、B 两个不同点, ∴22(2)4(24)0,m m ∆=--> ……… 10分 解得220m m -<<≠且.∴m 的取值范围是2002m m -<<<<或. ………12分22.(本题满分12分)解:(1)P )0,1(1- ∴011,0,1211=+-==-=a b a∴2,2122=-=b b b ……… 2分2222,2111)1(1-=+=-=-+-=⋅-+=n a b n n n a a n n n ……… 4分(2)若k 为奇数,则f(k)=2-=k a k ,f(k +5)=b 825+=+k k ,2k +8=2k -4-2,无解 … 6分若k 为偶数,则f(k)=2k -2,f(k +5)=k +3,k +3=4k -4-2,9=3k k =3(舍去). 综上,这样的k 不存在 ……… 8分 (3))22,1()22,12(1--=-+-=n n n n p p n ,222)1(5)1(4)1(-=-+-=n n n⎥⎦⎤⎢⎣⎡-⋅⋅⋅++=+⋅⋅⋅++22221231221)1(1211151111n p p p p p p n………10分⎥⎦⎤⎢⎣⎡--+⋅⋅⋅+⨯+⨯+≤)1)(2(132121111512n n =⎥⎦⎤⎢⎣⎡--+111151n []521151=+< ………12分。
下学期高一期中考试试题 数学 注意事项: 1.答题前,先将自己的姓名、准考证号填写在试题卷和答题卡上,并将准考证号条形码粘贴在答题卡上的指定位置。
2.选择题的作答:每小题选出答案后,用2B 铅笔把答题卡上对应题目的答案标号涂黑,写在试题卷、草稿纸和答题卡上的非答题区域均无效。
3.非选择题的作答:用签字笔直接答在答题卡上对应的答题区域内。
写在试题卷、草稿纸和答题卡上的非答题区域均无效。
4.考试结束后,请将本试题卷和答题卡一并上交。
第Ⅰ卷 一、选择题(本题共12小题,每小题5分,共60分,只有一个选项正确,请把答案写.....在答题卷上.....) 1.已知角α的终边经过点()4,3-,则cos α=( ) A .45 B .35 C .-35 D .-45 2.设2a = ,1b = ,若3a b π 与的夹角为,则()a a b ⋅+ 的值等于( ) A .4 B .5 C .6 D.4+ 3.下列函数中,周期为1的奇函数是( ) A .cos 2y x π= B .sin cos y x x ππ= C .tan 2y x π= D .sin 23y x ππ=+() 4.已知点(,1,2)A x 和点(2,3,4)B,且AB =,则实数x =( ) A .3-或4B .6或2C .3或4-D .6或2- 5.如图所示的程序框图,其运行结果为( ) A .2 B .3 C .4 D .56.若将函数()cos f x x x =-的图象向右平移()0m m π<<个单位长度,得到的图象关于原点对称,则m =( ) A .65π B .6π C .32π D .3π ()()222222227.(10)320,233132535.25...2242422A B C A x y B x y C x y D x y --⎛⎫⎛⎫⎛⎫⎛⎫-+=++=-+=+-= ⎪ ⎪ ⎪ ⎪⎝⎭⎝⎭⎝⎭⎝⎭已知,,,,,则过这三点的圆方程为()8.()sin()0,0,(3)11...22f x A x Af A B C D ωϕωϕππ=++>><=--已知的图像如图所示,则 9.在ABC △中,sin 2sin cos0A B C +=c =,则tan A 的值是() A B C D 10.在ABC △中,14AN NC =uuu r uuu r ,P 是直线BN 上的一点,若25AP mAB AC =+uu u r uu u r uuu r ,则实数m 的值为( ) A .4- B .1- C .1 D .4 11.若圆C:222430x y x y ++-+=关于直线260ax by++=对称,则由点(,)a b 向圆C 所作切线长的最小值是( ) A .2 B .3 C .4 D .6 ()[]()()()12.0,2,266033333,1,1008484x f x x f x x f x ax a a π∈=---=⎛⎫⎛⎫⎛⎫⎛⎫ ⎪ ⎪ ⎪ ⎪⎝⎭⎝⎭⎝⎭⎝⎭设是周期为4的偶函数,当时,若在区间,内关于的方程恰有个不同实数根,则正数的取值范围是A. B. C., D., 此卷只装订不密封班级姓名准考证号考场号座位号第Ⅱ卷二、填空题(本题共4小题,每小题5分,共20分,请把答案写在答题卷上..........)13.sin1415.在ABC ∆中,2,4,3AB AC BAC ==∠=,AD 为BC 边上的中线,则.AD =16.12218328.一个均速旋转的摩天轮每分钟逆时针旋转一周,最低点距地面米,最高点距地面米,甲从摩天轮最低点处上摩天轮,分钟后乙也在其最低点处上摩天轮,从乙上摩天轮开始计时,在摩天轮转动的一圈内,有分钟,甲、乙距地面的高度之和不小于米三、解答题(本题共6个小题,共70分.解答应写出必要的文字说明、证明过程或演...................算步骤,请把答案写在答题卷上..............)17.(本题满分10分)若1tan 3α=-,求:()()()2sin cos 1sin sin 22sin 2.πααπααα-+⎛⎫++ ⎪⎝⎭;18.(本题满分12分)已知平面向量a 、b 、c ,其中)2,1(=a ,)3,2(-=b ,),2(m c -= .(1)若)(c b a +⊥,求c ;(2)若b a k +与b a -2共线,求实数k 的值.()()()()19.12cos cos 0,,,.122,.ABC b C c B a b c A B C C a b c ∆++==本题满分分在中,其中分别是角,,的对边求;若求20.(本题满分12分) 已知函数2()[2sin()sin ]cos 3f x x x x x π=++. ()()()()1520,.12f x f x π⎡⎤⎢⎥⎣⎦求的周期;求在上的最值 21.(本题满分12分)已知圆C :x 2+y 2-6x -4y +4=0,直线l 1被圆C 所截得的弦的中点为P (5,3).(1)求直线l 1的方程;(2)若直线l 2:x +y +b =0与圆C 相交,求b 的取值范围;(3)在(2)条件下,是否存在常数b ,使得直线l 2被圆C 所截得的弦的中点落在直线l 1上?若存在,求出b 的值;若不存在,说明理由.()()()22.122::1:231;21,3,,.ABCD E BC BAD AD AC CD BAC AB BE EC AE BAC AE π∠==∠==∠本题满分分在四边形中,点在上,,求若平分求数学 答案第Ⅰ卷一、选择题(本题共12小题,每小题5分,共60分,只有一个选项正确,请把答案写.....在答题卷上.....)第Ⅱ卷二、填空题(本题共4小题,每小题5分,共20分,请把答案写在答题卷上..........) 13.14.34- 15 16.3三、解答题(本题共6个小题,共70分.解答应写出必要的文字说明、证明过程或演...................算步骤,请把答案写在答题卷上..............)()()()2221212sin cos 2sin cos 2tan 1131;1sin cos tan 121sin sin 3222sin cos 2tan 332sin 215sin cos tan 119παααααπαααααααααααα⎛⎫⨯-+ ⎪-+++⎝⎭====++⎛⎫-+++ ⎪⎝⎭-====-+++17.解:18.()1(4,3),b c m+=-+ (),()0a b c a bc ⊥+∴⋅+= ,即()()4230,1,2,1,||m m c c -+⨯+=∴=-∴=--∴= (2)由已知:,,()()//2ka b a b +- ,所以k -2=4(2k +3),∴k =-2()()()()()()()2221sin cos sin cos 0cos sin 0sin 100,sin 0cos 0,422cos 42222,A B C C B A C B C A C A A C C C c a b ab C c πππ++=++=∴+=∈⇒≠∴=∈∴==+-=+-⋅=∴= 19.解:由已知得又由余弦定理得 ()()[]222min max 1()2sin cos =2sin cos =sin 22=2sin 2+32257(2)0,2+,124362sin 2+1,245()0()1,()12f x x x x x x x x x x x x T x x x f x x f x f x πππππππππ=⎛⎫ ⎪⎝⎭∴==⎡⎤⎡⎤∈∴∈⎢⎥⎢⎥⎣⎦⎣⎦⎛⎫∴∈- ⎪⎝⎭⎡⎤∴∈=-⎢⎥⎣⎦20.解:原函数可化为:,,在,时, 2.=21.解:(1)圆C 的方程化标准方程为:(x -3)2+(y -2)2=9,于是圆心C (3,2), 半径r =3.若设直线l 1的斜率为k ,则k =-1k PC =-112=-2.所以直线l 1的方程为:y -3=-2(x -5),即2x +y -13=0.(2)因为圆的半径r =3,所以要使直线l 2与圆C 相交,则须有|3+2+b |2<3,所以|b +5|<32,于是b 的取值范围是-32-5<b <32-5.(3)设直线l 2被圆C 截得的弦的中点为M (x 0,y 0),则直线l 2与CM 垂直, 于是有:y 0-2x 0-3=1,整理可得:x 0-y 0-1=0.又因为点M (x 0,y 0)在直线l 2上,所以x 0+y 0+b =0.所以由⎩⎨⎧ x 0-y 0-1=0,x 0+y 0+b =0解得:⎩⎪⎨⎪⎧ x 0=1-b 2,y 0=-1+b2,代入直线l 1的方程得:1-b -1+b2-13=0,于是b =-253∈(-32-5,32-5),故存在满足条件的常数b .()()()()2221,2,1cos 20,332,,,3sin sin 631sin sin 6132cos AD k AC k CD ACD CAD CAD CAD BAC AEB EC m AEC BE m m AC AEB m ABE AC ABC BC AB AC AB AC B πππβπβππβπβ===∆∠==∠∈∴∠=∴∠=∠==∠=-=∆=-∆==∆=+-⋅⋅∠ 22.解:设则在中,设则在中,有在中,有由得在中,①②①②222222211171219329342cos 67116cos 0226AC BC BE BC ABE BE AB AE AB AE AE AE AE AE BC CA AB ACB BC CA ACB B BAE BE AE AE πππ=+-⋅⋅⋅=∴=∴==∆=+-⋅⋅∴=+-∴==+-∠==<⋅∴∠>∴<=∠>∴= 在中,故。
桂林市中山中学2018~2019学年度下学期期中质量检测初一年级数学(考试用时120分钟,满分100分)本试卷分为第Ⅰ卷(单项选择题),第Ⅱ卷(非选择题)两部分,答案一律写在答题卡上的指定位置。
第Ⅰ卷(选择题)一、单项选择题:(本大题包括12小题,每小题2分,共24分。
)1.下面各组中,是二元一次方程的解的是A. B. C. D.2.下列各项从左到右的变形,是因式分解的是A. B.C. D.3.下列运算正确的是A. B. C. D.4.已知x、y满足方程组,则(A. 9B. 1C. 3D. -15.把分解因式,结果正确的是A. B. C. D.6.若,则m、k的值分别为A. B. C. D.7.某班有36名同学参加义务植树劳动,他们分为植树和挑水两组,要求挑水人数是植树人数的2倍,设有x人挑水,y人植树,则下列方程组中正确的是( )A.B, C. D.8.计算A. B. C. 1 D. -9.若A. 3B. 7C. 5D. 110.若是完全平方公式,则的值可以是A. B. C. D.11.若是关于的二元一次方程,那么A. B. C. D.12.如图,从边长为a的大正方形中剪掉一个边长为b的小正方形,将阴影部分沿中间虚线剪开,拼成右边的矩形。
根据图形的变化过程写出的一个正确的等式是A.B.C.D.第Ⅱ卷(非选择题)二、填空题(本大题共6小题,共12分)13.计算:.14.因式分解:.15.把方程变形,用含x的代数式表示y,则y=.16.计算:.17.若关于x、y的二元一次方程的一组解为,则.18.杨辉三角,又称贾宪三角,是的展开式的项数及各项系数的规律。
请你观察下面的杨辉三角:按照前面的规律,则___________________________________三、解答题(本大题共7小题,共64分)19.利用乘法公式计算:;;;20.解二元一次方程组:.21.因式分解:(1)(2)22.先化简,后求值:(1) ((2)23.为了加强公民的节水意识,合理利用水资源,各地采用价格调控等手段引导市民节约用水。
桂林市中山中学2017-2018下学期期中考试高一数学考试时间:120分钟 出题人:扈琨一、选择题(本大题共12小题,共60.0分)1. 若,且,则角的终边位于A. 第一象限B. 第二象限C. 第三象限D. 第四象限2. 如果一扇形的弧长为,半径等于2,则扇形所对圆心角为A.B.C.D.3. 已知,向量在向量上的投影为,则与的夹角为A. B.C.D. 4. 已知向量,且,则A.B. C. 6D. 8 5. 在上满足的x 的取值范围是A. B.C.D.6. 将函数的图象保持纵坐标不变,先将横坐标缩短为原来的,再向右平移个单位长度后得到,则的解析式为A.B.C.D.7. 已知一物体在共点力的作用下产生位移,则这两个共点力对物体做的总功W 为A. 1B. 2C.D.8. 化简的结果是A.B. C.D. 9. 已知,则的值等于A.B.C.D.10.已知圆M:截直线所得线段的长度是,则圆M与圆N:的位置关系是A. 内切B. 相交C. 外切D. 相离11.是一元二次方程两根,、,则等于A. B. C. D.12.如图,扇形的半径为1,圆心角,点P在弧BC上运动,,则的最大值是A. 1B.C. 2D.二、填空题(本大题共4小题,共20.0分)13.函数的定义域是______ .14.已知向量的夹角为,则______ .15.化简的结果是______ .16.已知向量,若,则的值为______ .三、解答题(本大题共6小题,共72.0分)17.已知.化简;若,求的值.18.已知.求的值;求的值.。
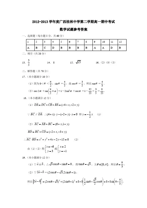
2012-2013学年度广西桂林中学第二学期高一期中考试数学试题参考答案一、选择题(每小题5分,共60分)1 2 3 4 5 6 7 8 9 10 11 12 ABCDBBBBAADB二、填空(共20分) 13.3514.-8 15.13 16.(2)(3)(5) 三、解答题(共70分) 17.(本小题满分10分) (1)因为0<α<2π,sin α=54,故cos α=53,所以tan α=34.(2)cos 2α+sin ⎪⎭⎫⎝⎛α + 2π=1-2sin 2α+cos α=1-2532+53=258.18.(本小题满分12分)(1)(4,2)DA DC CB BA x y =++=---+BC ∥DA (4)(2)0x y y x ∴+⋅--+⋅= 即12y x =- (1)(2)(6,1)AC AB BC x y =+=++(2,3)BD BC CD x y =+=-+-+2242150AC BD x y x y ∴⋅=++--= (2)由(1)(2)得63x y =-⎧⎨=⎩或21x y =⎧⎨=-⎩19.(本小题满分12分) (1)∵a b ⊥,∴0sin cos 3=-θθ,得3tan =θ,又],0[πθ∈,所以3π=θ; (2)∵2a b -=)1sin 2,3cos 2(+-θθ,所以22a b -⎪⎪⎭⎫ ⎝⎛-+=++-=θcos 23θsin 2188)1θsin 2()3θcos 2(22⎪⎭⎫ ⎝⎛-+=3πθsin 88,又θ∈[0,π],∴ππ2π[,]333θ-∈-,∴π3sin [,1]3θ⎛⎫-∈- ⎪⎝⎭,∴22a b -的最大值为16,∴2a b -的最大值为4,又2a b m -<恒成立,所以4m >.20.(本小题满分12分)(1)由题图可知A =2,T 4=56-13=12,∴T =2,ω=2πT=π.将点P (13,2),代入y =2sin (ωx +φ),得sin (π3+φ)=1.又|φ|<π2,∴φ=π6.故所求解析式为f (x )=2sin (πx +π6)(x ∈R ).(2)∵f (a 2π)=12,∴2sin (a 2+π6)=12,即sin (a 2+π6)=14。
广西壮族自治区桂林市中山中学2018-2019学年高一数学理联考试卷含解析一、选择题:本大题共10小题,每小题5分,共50分。
在每小题给出的四个选项中,只有是一个符合题目要求的1. 若直线:与直线:互相垂直,则的值为.. . 或. 1或参考答案:D2. 若直线被圆截得的弦长为4,则的最小值为()A.1 B.2 C.3 D.4参考答案:D3. 数列满足,则()A.3B.C.6D.参考答案:B4. 是( )A. 最小正周期为π的偶函数B. 最小正周期为π的奇函数C. 最小正周期为2π的偶函数D. 最小正周期为2π的奇函数参考答案:A【分析】将函数化为的形式后再进行判断便可得到结论.【详解】由题意得,∵,且函数的最小正周期为,∴函数时最小正周期为的偶函数.故选A.【点睛】判断函数最小正周期时,需要把函数的解析式化为或的形式,然后利用公式求解即可得到周期.5. 圆上的一点到直线的最大距离为()A. B. C. D.参考答案:D【分析】先求出圆心到直线距离,再加上圆的半径,就是圆上一点到直线的最大距离。
【详解】圆心(2,1)到直线的距离是,所以圆上一点到直线最大距离为,故选D。
【点睛】本题主要考查圆上一点到直线距离最值的求法,以及点到直线的距离公式。
6. 集合A={2,5,8}的子集的个数是--------- ------------()A、6B、7C、8 D、9参考答案:C略7. 从某电视塔的正东方向的A处,测得塔顶仰角是60°,从电视塔的西偏南30°的B 处,测得塔顶仰角为45°,A、B间距离为35m,则此电视塔的高度是()A.5m B.10m C. m D.35m参考答案:A【考点】解三角形的实际应用.【分析】作出图形,利用余弦定理求解即可.【解答】解:设此电视塔的高度是x,则如图所示,AC=,∠BCA=150°,AB=35m,∴cos150°=,∴x=5.故选A.【点评】本题考查利用数学知识解决实际问题,考查余弦定理的运用,比较基础.8. 函数的图象是参考答案:A略9. 已知集合.为自然数集,则下列表示不正确的是()A. B. C. D.参考答案:D【分析】集合.为自然数集,由此能求出结果.【详解】解:集合.为自然数集,在A中,,正确;在B中,,正确;在C中,,正确;在D中,不是的子集,故D错误.故选:D.【点睛】本题考查命题真假的判断、元素与集合的关系、集合与集合的关系等基础知识,考查运算求解能力,是基础题.10. (3分)若集合A={1,2},B={2,3},则A∪B=()A.{1} B.{2} C.{3} D.{1,2,3}参考答案:D考点:并集及其运算.专题:集合.分析:根据集合的并集运算进行求解.解答:∵A={1,2},B={2,3},∴A∪B={1,2,3},故选:D点评:本题主要考查集合的基本运算,比较基础.二、填空题:本大题共7小题,每小题4分,共28分11. 已知幂函数y=f(x)的图像过(2,),则此幂函数的解析式为参考答案:略12. 向量, 若, 则的最小值为参考答案:略13. 甲、乙两人下棋,两人下成和棋的概率是,甲获胜的概率是,则甲不输的概率为.参考答案:【考点】C5:互斥事件的概率加法公式.【分析】利用互斥事件概率加法公式能求出甲不输的概率.【解答】解:∵甲、乙两人下棋,两人下成和棋的概率是,甲获胜的概率是,∴甲不输的概率为P==.故答案为:.14. 已知函数,且是它的最大值,(其中m、n为常数且)给出下列命题:①是偶函数;②函数的图象关于点对称;③是函数的最小值;④记函数的图象在轴右侧与直线的交点按横坐标从小到大依次记为,,,,…,则;⑤.其中真命题的是_____________.(写出所有正确命题的编号)参考答案:①②⑤略15. 已知函数,则__________.参考答案:【分析】根据函数表达式得到函数的周期,得到,进而得到结果. 【详解】依题意可得,其最小正周期,且,故. 故答案为:.【点睛】这给题目考查了正弦函数的周期的求法和应用,属于基础题.16. 已知扇形的圆心角为,半径为,则扇形的面积是.参考答案:略17. 已知,则化简的结果为。
2018-2019学年广西省桂林市中山中学高一下学期期中考试数学试卷一、选择题(本大题共12小题,共60分)1.把105°化为弧度为()A. B. C. D.2.若sinθ>cosθ,且tanθ<0,则角θ的终边位于()A. 第一象限B. 第二象限C. 第三象限D. 第四象限3.若α为第二象限角,sinα=,则cosα=()A. B. C. D.4.已知向量=(1,2),=(3,1),则-=()A. B. C. D.5.下列角的终边与37°角的终边在同一直线上的是()A. B. C. D.6.下列函数中,最小正周期为的是()A. B. C. D.7.sin210°的值为()A. B. C. D.8.已知点A(1,1),B(3,5),若点C(-2,y)在直线AB上,则y的值是()A. B. C. 5 D.9.已知函数y=sin(2x+φ)的图象关于直线x=-对称,则φ的可能取值是()A. B. C. D.10.要得到y=sin(2x-)的图象,需要将函数y=sin2x的图象()A. 向左平移个单位B. 向右平移个单位C. 向左平移个单位D. 向右平移个单位11.平面向量与的夹角为60°,=(1,),||=1,则||等于()A. B. C. 4 D. 1212.函数f(x)=2sin(ωx+φ)(ω>0,-<φ<)的部分图象如图所示,则ω,φ的值分别是()A. B. C. D.二、填空题(本大题共4小题,共20分)13.tanα=,求=______.14.若向量的夹角为60°,,则= ______ .15.若cos x cos y+sin x sin y=,则cos(2x-2y)= ______ .16.已知向量=(1,),=(-2,2),则与的夹角是______ .三、解答题(本大题共6小题,共70.0分)17.已知任意角α的终边经过点P(-3,m),且cosα=-(1)求m的值.(2)求sinα与tanα的值.18.已知f(α)=.(1)化简f(α);(2)若tanα=2,且α∈(π,),求f(α)的值.19.已知向量,的夹角为60°,且||=2,||=1,(1)求•;(2)求|+|.20.已知cosα =,cos(αβ) =,且0<β<α<,(1)求tan2α的值;(2)求cosβ的值.21.已知,①若与垂直,求k的值;②若与平行,求k的值.22.已知函数f(x)=sin2ωx+sinωxsin(ωx+)(ω>0)的最小正周期为π.(1)求ω的值;(2)求函数f(x)在区间[0,]上的取值范围.答案和解析1.【答案】C【解析】解:因为180°=π弧度,所以1°=rad,所以105°=105×rad=rad;故选:C.根据弧度制的定义解答.本题考查了弧度与角度的互化;1°=rad.1rad=.2.【答案】B【解析】解:∵sinθ>cosθ,∴θ一定不再第四象限,又tanθ<0,∴θ是第二或第四象限角,可得θ是第二象限角,故选B.因为sinθ>cosθ,可判断θ一定不是第四象限,又tanθ<0,可得判断θ是第二或第四象限角,问题得以解决.本题考查象限角的定义,熟练掌握三角函数在各个象限中的符号是解决问题的关键,属于基础题.3.【答案】A【解析】解:∵α为第二象限角,且sinα=,∴cosα=-=-.故选:A.由α为第二象限角,得到cosα小于0,根据sinα的值,利用同角三角函数间的基本关系即可求出cosα的值.此题考查了同角三角函数间的基本关系,熟练掌握基本关系是解本题的关键.4.【答案】B【解析】【分析】直接利用向量的减法的坐标运算求解即可.本题考查向量的坐标运算,基本知识的考查.【解答】解:∵向量=(1,2),=(3,1),∴-=(2,-1)故选B.5.【答案】D【解析】解:因为角的终边与37°角的终边在同一直线上的是37°+180°k,k是整数,k=-1时,37°-180°=-143°;故选:D.利用终边相同角的表示写出角的终边与37°角的终边在同一直线上的所有角,然后对k取值.本题考查了三角函数的终边相同角的表示;与α在同一条直线的角为α+kπ,k∈Z.6.【答案】D【解析】解:A、y=sinx,∵ω=1,∴T==2π,本选项错误;B、y=cosx,∵ω=1,∴T==2π,本选项错误;C、y=tan,∵ω=,∴T==2π,本选项错误;D、y=cos4x,∵ω=4,∴T==,本选项正确.综上知,D选项正确.故选:D.找出C选项中的函数解析式中ω的值,代入周期公式T=,A,B,D三个选项解析式中ω的值,代入周期公式T=,分别求出各项的最小正周期,即可作出判断.此题考查了三角函数的周期性及其求法,涉及的知识有正切函数及正弦函数的周期性,熟练掌握周期公式是解本题的关键,属于基础题.7.【答案】B【解析】解:sin210°=sin(180°+30°)=-sin30°=-.故选B所求式子中的角度变形后,利用诱导公式化简即可求出值.此题考查了运用诱导公式化简求值,熟练掌握诱导公式是解本题的关键.8.【答案】A【解析】解:点A(1,1),B(3,5),直线AB的方程为:,即2x-y-1=0,点C(-2,y)在直线AB上,看-4-y-1=0,解得y=-5.故选:A.求出直线AB的方程,代入C的坐标即可求解结果.本题考查直线方程的求法与应用,基本知识的考查.9.【答案】A【解析】解:函数y=sin(2x+φ)的图象关于直线x=-对称,∴当x=-时,函数y取值最值,即sin(2×x+φ)=±1.可得φ-=,k∈Z.∴φ=.当k=0时,可得φ=.故选:A.根据正弦函数的性质可知x=-时,函数y取值最值.即可求φ的可能取值.本题考查正弦函数的对称轴性质的运用.属于基础题.10.【答案】D【解析】解:将函数y=sin2x向右平移个单位,即可得到的图象,就是的图象;故选:D.由左加右减上加下减的原则可确定函数y=sin2x到的路线,进行平移变换,推出结果.本题主要考查三角函数的平移.三角函数的平移原则为左加右减上加下减.注意x的系数.11.【答案】B【解析】解:平面向量与的夹角为60°,=(1,),||=1,不妨可得=(1,0),则||=|(3,)|==2.故选:B.利用已知条件求出向量,然后利用坐标运算求解即可.本题考查向量的模的求法,推出向量的坐标是简化解题的关键,考查计算能力.12.【答案】A【解析】解:∵在同一周期内,函数在x=时取得最大值,x=时取得最小值,∴函数的周期T满足=-=,由此可得T==π,解得ω=2,得函数表达式为f(x)=2sin(2x+φ)又∵当x=时取得最大值2,∴2sin(2•+φ)=2,可得+φ=+2kπ(k∈Z)∵,∴取k=0,得φ=-故选:A.根据函数在同一周期内的最大值、最小值对应的x值,求出函数的周期T==π,解得ω=2.由函数当x=时取得最大值2,得到+φ=+kπ(k∈Z),取k=0得到φ=-.由此即可得到本题的答案.本题给出y=Asin(ωx+φ)的部分图象,求函数的表达式.着重考查了三角函数的图象与性质、函数y=Asin(ωx+φ)的图象变换等知识,属于基础题.13.【答案】-【解析】解:∵tanα=,∴===-.故答案为:-所求式子分子分母同时除以cosα,利用同角三角函数间的基本关系弦化切后,将tanα的值代入计算即可求出值.此题考查了同角三角函数基本关系的应用,以及同角三角函数间的基本关系,熟练掌握基本关系是解本题的关键.14.【答案】【解析】解:,故答案为.用向量的数量积公式求值,将则展开后,用内积公式与求模公式求值.考查内积公式及向量模的公式,属于向量里面的基本题型.15.【答案】-【解析】解:∵cosxcosy+sinxsiny=cos(x-y)=,∴cos(2x-2y)=cos2(x-y)=2cos2(x-y)-1=-.故答案为:-.已知等式左边利用两角和与差的余弦函数公式化简,求出cos(x-y)的值,所求式子利用二倍角的余弦函数公式化简后,将cos(x-y)的值代入计算即可求出值.此题考查了两角和与差的余弦函数公式,二倍角的余弦函数公式,熟练掌握公式是解本题的关键.16.【答案】60°【解析】解:∵=(1,),=(-2,2),∴||=2,||==4,•=-2+2×=6-2=4,则cos<,>==,则<,>=60°,故答案为:60°求出向量的长度和数量积,结合向量夹角公式进行求解即可.本题主要考查向量数量积的应用,根据向量夹角公式是解决本题的关键.比较基础.17.【答案】解:(1)∵角α的终边经过点P(-3,m),∴|OP|=.又∵cosα=-==,∴m2=16,∴m=±4.(2)m=4,得P(-3,4),|OP|=5,∴sinα=,tanα=-;m=-4,得P(-3,-4),|OP|=5,∴sinα=-,tanα=;【解析】(1)先求出|OP|,再利用cosα=-,即可求m的值.(2)分类讨论,即可求sinα与tanα的值.本题考查同角三角函数基本关系的运用,考查三角函数的定义,比较基础.18.【答案】解:f(α)==cosα;(2)∵tanα=和sin2α+cos2α=1,∴cos2α=.又∵α∈(π,),∴cosα<0,∴f(α)=cosα=-.【解析】(1)利用诱导公式进行化简;(2)由tanα=和sin2α+cos2α=1求得cos2α的值,然后根据α的取值范围得到f(α)的值.本题考查了同角三角函数基本关系的应用,三角函数的化简求值.三角函数式的化简要遵循“三看”原则:(1)一看“角”,这是最重要的一环,通过看角之间的差别与联系,把角进行合理的拆分,从而正确使用公式.(2)二看“函数名称”,看函数名称之间的差异,从而确定使用的公式,常见的有“切化弦”;(3)三看“结构特征”,分析结构特征,可以帮助我们找到变形的方向,常见的有“遇到分式要通分”等.19.【答案】解:(1)×=||||cos60°=2×1×=1(2)|+|2=(+)2=+2•+=4+2×1+1=7所以|+|=【解析】(1)由已知中,向量,的夹角为60°,且||=2,||=1,代入平面向量的数量积公式,即可得到答案.(2)由|+|2=(+)2,再结合已知中||=2,||=1,及(1)的结论,即可得到答案.本题考查的知识点是平面向量数量积的坐标表示、模、及夹角,直接考查公式本身的直接应用,属基础题.20.【答案】解:(1)∵由cosα=,0<α<,得sinα===,∴得tan=∴于是tan2α==-.(2)由0<β<α<,得0<α-β<,又∵cos(α-β)=,∴sin(α-β)==,由β=α-(α-β)得:cosβ=cos[α-(α-β)]=cosαcos(α-β)+sinαsin(α-β)==.【解析】(1)利用已知及同角三角函数基本关系式可求sinα,进而可求tanα,利用二倍角的正切函数公式可求tan2α的值.(2)由0<β<α<,得0<α-β<,利用同角三角函数基本关系式可求sin(α-β),由β=α-(α-β)利用两角差的余弦函数公式即可计算求值.本题主要考查了三角函数基本关系式,二倍角的正切函数公式,两角差的余弦函数公式在三角函数化简求值中的应用,考查了计算能力和转化思想,属于基础题.21.【答案】解:∵=(1,2)、∴,①∵与垂直∴即10(k-3)-4(2k+2)=0∴k=19.②∵与平行∴(k-3)×(-4)-(2k+2)×10=0∴.【解析】由=(1,2),,知,.①由与垂直,知10(k-3)-4(2k+2)=0,由此能求出k的值.②由与平行,知(k-3)×(-4)-(2k+2)×10=0,由此能求出k的值.本题考查平面向量垂直和平行的条件的应用,是基础题.解题时要认真审题,仔细解答.。
2018-2019学年广西桂林十八中高一(下)期中数学试卷一、选择题(本大题共12小题,共60.0分)1.设集合A={1,2,3},B={x|x2-4x+3<0},则A∩B=()A. {1}B. {2}C. {0,1}D. {1,2}2.sin()=()A. B. C. D.3.函数的定义域是()A. (-∞,2)B. (2,+∞)C. (2,3)∪(3,+∞)D. (3,4)∪(4,+∞)4.函数f(x)=sin2x-cos2x的最小正周期是()A. B. π C. 2π D. 4π5.如图所示的程序框图的算法思路源于我国古代数学名著《九章算术》中的“更相减损术”,执行该程序框图,若输入的a,b分别为24,30,则输出的a()A. 2B. 4C. 6D. 86.某四棱锥的三视图如图所示,该四棱锥最长棱的棱长为()A. 1B.C.D. 27.将函数的图象上各点的横坐标伸长到原来的2倍(纵坐标不变),再向右平移个单位,所得函数的一条对称轴为()A. B. C. D. x=π8.若非零向量,满足||=||,且(-)⊥(3+2),则与的夹角为()A. πB.C.D.9.已知圆C:x2+y2-4x-2y+1=0的圆心在直线l:x+ay-1=0(a∈R)上,过点A(-4,a)作圆C的一条切线,切点为B,则|AB|=()A. 2B.C. 6D.10.已知函数f(x)是定义在R上的偶函数,且在区间(-∞,0)上单调递增.若实数a满足,则a的最大值是()A. 1B.C.D.11.函数f(x)=x2-bx+c满足f(1+x)=f(1-x)且f(0)=3,则f(b x)和f(c x)的大小关系是()A. f(b x)≤f(c x)B. f(b x)≥f(c x)C. f(b x)>f(c x)D. 大小关系随x的不同而不同12.在直角△ABC中,∠BCA=90°,CA=CB=1,P为AB边上的点且=λ,若•≥•,则λ的取值范围是()A. [,1]B. [,1]C. [,]D. [,]二、填空题(本大题共4小题,共20.0分)13.cos20°•cos10°-sin20°sin10°=______.14.设,是两个不共线的向量,且向量=2与向量=+是共线向量,则实数λ=______.15.若圆x2+y2-4x-4y-10=0上至少有三个不同的点到直线l:y=x+b的距离为,则b取值范围为_______________.16.对于实数a和b,定义运算“*”:,设f(x)=(2x-1)*(x-1),且关于x的方程为f(x)=m(m∈R)恰有三个互不相等的实数根x1,x2,x3,则实数m的取值范围是______;x1+x2+x3的取值范围是______.三、解答题(本大题共6小题,共70.0分)17.已知tanα=2,求(1)(2)18.如图所示,四棱锥P-ABCD的底面为直角梯形,AB⊥AD,CD⊥AD,CD=2AB.点E是PC的中点.(Ⅰ)求证:BE∥平面PAD;(Ⅱ)已知平面PCD⊥底面ABCD,且PC=DC.在棱PD上是否存在点F,使CF⊥PA?请说明理由.19.已知向量,.(1)若,求x的值;(2)记,求f(x)的单调递增区间.20.已知函数的最小正周期为π,且点为f(x)图象上的一个最低点.(1)求f(x)的解析式;(2)设函数,求g(x)的值域.21.已知圆E过圆x2+y2+2x-4y-4=0与直线y=x的交点,且圆E上任意一点关于直线y=2x-2的对称点仍在圆E上.(1)求圆E的标准方程;(2)若圆E与y轴正半轴的交点为A,直线l与圆E交于B,C两点(异于点A),且点H(2,0)满足AH⊥l,,求直线l的方程.22.已知函数f(x)=x2+4x+a-5,g(x)=m•4x-1-2m+7.(1)若函数f(x)在区间[-1,1]上存在零点,求实数a的取值范围;(2)当a=0时,若对任意的x1∈[1,2],总存在x2∈[1,2],使f(x1)=g(x2)成立,求实数m的取值范围;(3)若y=f(x)(x∈[t,2])的值域为区间D,是否存在常数t,使区间D的长度为6-4t?若存在,求出t的值;若不存在,请说明理由.(注:区间[p,q]的长度q-p)-------- 答案及其解析 --------1.答案:B解析:解:由x2-4x+3<0得1<x<3,则集合B={x|1<x<3},又集合A={1,2,3},则A∩B=(2),故选:B.由一元二次不等式的解法求出集合B,由交集的运算求出A∩B.本题考查了交集及其运算,以及一元二次不等式的解法,属于基础题.2.答案:B解析:解:因为sin()=-sin=-sin(6π+)=-sin=-.故选:B.直接利用诱导公式化简求解即可.本题考查诱导公式的应用,三角函数的值的求法,基本知识的考查.3.答案:D解析:解:要使原函数有意义,则,即x>3且x≠4.∴函数的定义域是(3,4)∪(4,+∞).故选:D.由对数式的真数大于0,分式的分母不为0联立不等式组求解.本题考查函数的定义域及其求法,是基础题.4.答案:B解析:解:函数f(x)=sin2x-cos2x=cos(2x+)所以函数f(x)=sin2x-cos2x的最小正周期是:T==π故选:B.利用两角差和的余弦函数,化简函数为一个角的一个三角函数的形式,然后求出函数的最小正周期.本题是基础题,考查三角函数的最小正周期的求法,三角函数的化简,考查计算能力,常考题型.5.答案:C解析:解:模拟程序的运行,可得a=24,b=30不满足a>b,可得b=30-24=6,满足a>b,可得a=24-6=18,满足a>b,可得a=18-6=12,满足a>b,可得a=12-6=6,此时,满足a=b=6,退出循环,输出a的值为6,故选:C.由已知中的程序语句可知:该程序的功能是利用循环结构计算并输出变量a的值,模拟程序的运行过程,分析循环中各变量值的变化情况,可得答案.本题考查了程序框图的应用问题,解题时应模拟程序框图的运行过程,以便得出正确的结论,是基础题.6.答案:C解析:解:由三视图知:几何体是四棱锥,且四棱锥的一条侧棱与底面垂直,底面为正方形如图:其中PB⊥平面ABCD,底面ABCD为正方形∴PB=1,AB=1,AD=1,∴BD=,PD==.PC═该几何体最长棱的棱长为:故选:C.几何体是四棱锥,且四棱锥的一条侧棱与底面垂直,结合直观图求相关几何量的数据,可得答案.本题考查了由三视图求几何体的最长棱长问题,根据三视图判断几何体的结构特征是解答本题的关键.7.答案:D解析:解:将函数的图象上各点的横坐标伸长到原来的2倍(纵坐标不变),可得y=cos(x-)的图象;再向右平移个单位,可得y=cos(x--)=sin x的图象.令x=kπ+,求得x=2kπ+π,k∈Z,令k=0,可得函数的一条对称轴为x=π,故选:D.利用函数y=A sin(ωx+φ)的图象变换规律可得所得图象对应的解析式,再利用正弦函数的图象的对称性,求得所得函数的一条对称轴.本题主要考查函数y=A sin(ωx+φ)的图象变换规律,正弦函数的图象的对称性,属于基础题.8.答案:D解析:解:设与的夹角为θ,∵(-)⊥(3+2),||=||,∴(-)•(3+2)=3--2=3•-•||cosθ-2=0,∴cosθ=,∴θ=,故选:D.设与的夹角为θ,利用两个向量的数量积的定义,数两个向量垂直的性质,求得cosθ的值,可得θ的值.本题主要考查两个向量的数量积的定义,数两个向量垂直的性质,属于基础题.9.答案:C解析:【分析】本题考查圆切线长的求法,考查圆、切线方程、两点间距离公式等基础知识,考查运算求解能力,考查函数与方程思想,是基础题.由圆心C(2,1)在直线l:x+ay-1=0(a∈R)上,得a=-1,过点A(-4,-1)作圆C的一条切线,切点为B,求出|AC|=,r=2,由此能求出|AB|.【解答】解:∵圆C:x2+y2-4x-2y+1=0的圆心C(2,1)在直线l:x+ay-1=0(a∈R)上,∴2+a-1=0,解得a=-1,∴A(-4,-1),∵过点A(-4,-1)作圆C的一条切线,切点为B,∴|AC|==,r==2,∴|AB|==6.故选:C.10.答案:D解析:解:f(x)是R上的偶函数,在(-∞,0)上单调递增;∴f(32a-1)=f(-32a-1);∴由得;∴;∴;∴;解得;∴a的最大值为.故选:D.根据f(x)为R上的偶函数即可得出f(32a-1)=f(-32a-1),再根据f(x)在(-∞,0)上单调递增,即可根据条件得出,由此即可解得a,从而便可得出a的最大值.考查偶函数的定义,以及增函数的定义,指数函数的单调性,不等式的性质.11.答案:A解析:【分析】本题考查利用指数函数、二次函数的性质解决问题,考查学生分析问题解决问题的能力,属于基础题.由f(1+x)=f(1-x)推出函数关于直线x=1对称,求出b,f(0)=3推出c的值,x≥0,x<0确定f(b x)和f(c x)的大小.【解答】解:∵f(1+x)=f(1-x),∴f(x)图象的对称轴为直线x=1,由此得b=2,又f(0)=3,∴c=3,∴f(x)=x2-2x+3,∴f(x)在(-∞,1)上递减,在(1,+∞)上递增,若x≥0,则3x≥2x≥1,∴f(3x)≥f(2x),若x<0,则3x<2x<1,∴f(3x)>f(2x),∴f(3x)≥f(2x),故选A.12.答案:B解析:解:∵直角△ABC中,∠BCA=90°,CA=CB=1,∴以C为坐标原点CA所在直线为x轴,CB所在直线为y轴建立直角坐标系,如图(图中O点即为C点):C(0,0),A(1,0),B(0,1),,∵=λ,∴λ∈[0,1],,.•≥•,∴λ-1+λ≥λ2-λ+λ2-λ.2λ2-4λ+1≤0,解得:,∵λ∈[0,1]∴λ∈[,1]故选:B.把三角形放入直角坐标系中,求出相关点的坐标,利用已知条件即可求出λ的取值范围.本题考查向量在几何中的应用,向量的数量积以及向量的坐标运算,考查计算能力以及转化思想.13.答案:解析:解:cos20°•cos10°-sin20°sin10°=cos(20°+10°)=cos30°=.故答案为:.由已知利用两角和的余弦函数公式,特殊角的三角函数值即可化简求值得解.本题主要考查了两角和的余弦函数公式,特殊角的三角函数值在三角函数化简求值中的应用,考查了转化思想,属于基础题.14.答案:-解析:【分析】本题考查平面向量基本定理及向量共线,属基础题.设存在实数m使得,代入整理,然后利用平面向量基本定理及复数相等的条件可得λ.【解答】解:设存在实数m使得,则=m()=m+mλ,由平面向量基本定理,这样的表示是唯一的,∴m=2,mλ=-1,解得λ=-.故答案为:-.15.答案:[-2,2]解析:【分析】本题考查直线和圆的位置关系,圆心到直线的距离等知识,是中档题.先求出圆心和半径,比较半径和2,要求圆上至少有三个不同的点到直线l:x-y+b=0的距离为2,则圆心到直线的距离应小于等于,用圆心到直线的距离公式,可求得结果.【解答】解:圆x2+y2-4x-4y-10=0整理为(x-2)2+(y-2)2=18,∴圆心坐标为(2,2),半径为3,要求圆上至少有三个不同的点到直线l:x-y+b=0的距离为2,则圆心到直线的距离d=≤,∴-2≤b≤2,∴b的取值范围是[-2,2],故答案为[-2,2].16.答案:解析:解:∵,∴f(x)=(2x-1)*(x-1)=,则当x=0时,函数取得极小值0,当x=时,函数取得极大值故关于x的方程为f(x)=m(m∈R)恰有三个互不相等的实数根x1,x2,x3时,实数m的取值范围是令f(x)=,则x=,或x=不妨令x1<x2<x3时则<x1<0,x2+x3=1∴x1+x2+x3的取值范围是故答案为:,由已知新定义,我们可以求出函数的解析式,进而分析出函数的两个极值点,进而求出x的方程为f(x)=m(m∈R)恰有三个互不相等的实数根时,实数m的取值范围,及三个实根之间的关系,进而求出x1+x2+x3的取值范围本题考查的知识点是根的存在性及根的个数判断,其中根据已知新定义,求出函数的解析式,并分析出函数图象形状及性质是解答的关键.17.答案:解:(1)∵tanα=2,∴原式=.(2)∵tanα=2,∴原式=.解析:(1)由题意利用诱导公式、同角三角函数的基本关系,求得要求式子的值.(2)利用同角三角函数的基本关系、二倍角公式,求得要求式子的值.本题主要考查同角三角函数的基本关系、诱导公式、二倍角公式的应用,属于基础题.18.答案:(1)证明:取PD中点Q,连结AQ、EQ.…(1分)∵E为PC的中点,∴EQ∥CD且EQ=CD.…(2分)又∵AB∥CD且AB=CD,∴EQ∥AB且EQ=AB.…(3分)∴四边形ABED是平行四边形,∴BE∥AQ.…(4分)又∵BE⊄平面PAD,AQ⊂平面PAD,∴BE∥平面PAD.…(5分)(2)解:棱PD上存在点F为PD的中点,使CF⊥PA,∵平面PCD⊥底面ABCD,平面PCD∩底面ABCD=CD,AD⊥CD,∴AD⊥平面PCD,∴DP是PA在平面PCD中的射影,∴PC=DC,PF=DF,∴CF⊥DP,∴CF⊥PA.解析:(1)根据线面平行的判定定理即可证明:BE∥平面PAD;(2)棱PD上存在点F为PD的中点,使CF⊥PA,利用三垂线定理可得结论.本题主要考查空间直线和平面平行或垂直的判断,要求熟练掌握相应的判定定理.考查学生的推理能力.19.答案:(本题满分为12分)解:(1)由得,,即:,所以,.(2)=,由:,得:,可得:f(x)的单调递增区间为.解析:(1)由已知利用平面向量数量积的运算,同角三角函数基本关系式可求,根据特殊角的三角函数值即可得解x的值.(2)利用三角函数恒等变换的应用可求函数解析式f(x)=,根据正弦函数的单调性即可计算得解.本题主要考查了平面向量数量积的运算,同角三角函数基本关系式,特殊角的三角函数值,三角函数恒等变换的应用,正弦函数的单调性,考查了运算求解能力和转化思想,属于中档题.20.答案:解:(1)根据f(x)=A sin(2ωx+φ)的最小正周期为π,可得,再根据f(x)图象上一个最低点为,可得A=2;又,∴,即,再由,得,∴;…(6分)(2)化简g(x)=2sin(2x+)-4sin2x=sin2x+cos2x-2(1-cos2x)=2sin(2x+)-2,当时,,故当,即时,函数g(x)取得最大值为2,当,即时,函数g(x)取得最小值为,故函数g(x)的值域为.解析:(1)根据题意求得A、ω和φ的值,即可写出f(x)的解析式;(2)化简函数g(x)为正弦型函数,求出时函数g(x)的最大、最小值即得值域.本题考查了三角函数的图象与性质的应用问题,也考查了三角恒等变换问题,是基础题.21.答案:解:(1)解法一:由,解得两交点分别为P(-1,-1),Q(2,2),PQ的中点为(,),斜率为1,则直线PQ的垂直平分线方程为,即y=-x+1,由联立解得圆心E(1,0),半径,所以得到圆E的标准方程为(x-1)2+y2=5;解法二:设圆E的方程为x2+y2+2x-4y-4+λ(x-y)=0,即为x2+y2+(2+λ)x-(4+λ)y-4=0,由条件知圆心在直线y=2x-2上,故,解得λ=-4.于是所求圆E的标准方程为(x-1)2+y2=5;(2)由题知A(0,2),H(2,0),k AH=-1,所以直线l的斜率为1,设直线l的方程为y=x+m,B(x1,y1),C(x2,y2),由,得2x2+2(m-1)x+m2-4=0,故x1+x2=1-m,,(*)又=(x1-2)x2+(x1+m)(x2+m-2)=2x1x2+(m-2)(x1+x2)+m(m-2)=0,将(*)代入得m2+m-6=0,解得m=2或m=-3,当m=2时,直线l:y=x+2过点A,不合题意;当m=-3时,直线l:y=x-3,经检验直线l与圆E相交,故所求直线l的方程为y=x-3.解析:本题考查圆的方程和运用,以及直线和圆的方程联立,运用韦达定理和向量数量积的坐标表示,考查方程思想和运算能力,属于中档题.(1)方法一、联立直线方程和圆的方程求交点P,Q,求得PQ的垂直平分线,联立直线方程组求得交点即圆心,可得圆的半径,即有所求圆的方程;方法二、设圆E的方程为x2+y2+2x-4y-4+λ(x-y)=0,求得圆的圆心坐标,代入直线y=2x-2,解得λ,即可得到所求圆的标准方程;(2)求得A的坐标,设直线l的方程为y=x+m,B(x1,y1),C(x2,y2),联立已知圆的方程,运用韦达定理和向量的数量积的坐标表示,解方程可得m,即可得到所求直线方程.22.答案:解:(1)由题意得:f(x)的对称轴是x=-2,故f(x)在区间[-1,1]递增,∵函数在区间[-1,1]存在零点,故有,解得:0≤a≤8,故所求实数a的范围是[0,8];(2)若对任意的x1∈[1,2],总存在x2∈[1,2],使f(x1)=g(x2)成立,只需函数y=f(x)的值域是函数y=g(x)的值域的子集,a=0时,f(x)=x2+4x-5,x∈[1,2]的值域是[0,7],下面求g(x),x∈[1,2]的值域,令t=4x-1,则t∈[1,4],y=mt-2m+7,①m=0时,g(x)=7是常数,不合题意,舍去;②m>0时,g(x)的值域是[7-m,2m+7],要使[0,7]⊆[7-m,2m+7],只需,解得:m≥7;③m<0时,g(x)的值域是[2m+7,7-m],要使[0,7]⊆[2m+7,7-m],只需,解得:m≤-,综上,m的范围是(-∞,-]∪[7,+∞);(3)由题意得,解得:t<,①t≤-6时,在区间[t,2]上,f(t)最大,f(-2)最小,∴f(t)-f(-2)=t2+4t+4=6-4t,即t2+8t-2=0,解得:t=-4-3或t=-4+3(舍去);②-6<t≤-2时,在区间[t,2]上,f(2)最大,f(-2)最小,∴f(2)-f(-2)=16=6-4t,解得:t=-;③-2<t<时,在区间[t,2]上,f(2)最大,f(t)最小,∴f(2)-f(t)=-t2-4t+12=6-4t,即t2=6,解得:t=或t=-,故此时不存在常数t满足题意,综上,存在常数t满足题意,t=-4-3或t=-.解析:(1)求出函数的对称轴,得到函数的单调性,解关于a的不等式组,解出即可;(2)只需函数y=f(x)的值域是函数y=g(x)的值域的子集,通过讨论m=0,m>0,m<0的情况,得到函数的单调性,从而确定m的范围即可;(3)通过讨论t的范围,结合函数的单调性以及f(2),f(-2)的值,得到关于t的方程,解出即可.本题考查了函数的单调性、最值问题,考查导数的应用以及分类讨论思想、转化思想,集合思想,是一道综合题.。
广西桂林十八中18-19学度高一下年中考试-数学本卷须知1、本卷共150分,考试时间120分钟.2、答题前,考生在答题卡上务必用黑色签字笔将自己的姓名、准考证号填写清楚.3、请用黑色签字笔在答题卡上各题的答题区域内作答,在试题卷上作答无效.4、考试结束后,上交答题卡. 第一卷〔选择题共60分〕一选择题(本大题共12小题,每题5分,共60分,在每题给出的四个选项中,只有一项为哪一项符合要求)sin 35αα=1.已知角的终边经过点(3,-4),则344A.-B. C.-D.5552.5cos6π=A.B. C.12D.12-3、集合{}|31A x x =-≤≤,{}|2B x x =≤,那么A B =A 、{}|21x x -≤≤B 、{}|01x x ≤≤C 、{}|32x x -≤≤D 、{}|12x x ≤≤4.{}n a 是等比数列,22a =,516a =,那么公比q =A.12-B.12C.2- D.25.cos 0,sin 0,θθθ><若则角的终边所在的象限是 A 、第一象限 B 、第二象限 C 、第三象限 D 、第四象限6.假设||2a =,||1b =,向量,a b 的夹角120θ=,那么()a a b ⋅+= A.0B.1C.3D.57.函数sin cos 3()y x x x R =+∈的最小正周期为A 、2πB 、πC 、π2D 、π48.函数sin(2)3y x π=+的图象A.关于直线X =4π对称B.关于点〔3π,0〕对称 C.关于直线X =3π对称D.关于点〔4π,0〕对称9.为得到函数cos 2y x =的图像,只需将函数sin 2y x =的图像A 、向左平移π4个长度单位B 、向右平移π4个长度单位C 、向左平移π2个长度单位D 、向右平移π2个长度单位10.设ππ22αβ⎛⎫∈- ⎪⎝⎭,,,那么“αβ<”是“tan tan αβ<”的A 、充分而不必要条件B 、必要而不充分条件C 、充分必要条件D 、既不充分也不必要条件来111.cos(2)([0,2])63x x ππ+=∈方程的实数解的个数是A.1B.2C.3D.412.,11113329324377520AF xAB y AC x y x y x y x y ∆=+========如图,ABC 中,AD=2DB,AE=3EC,CD 与BE 交于F,若则A., B., C., D.,第二卷〔非选择题共90分〕二.填空题:本大题共4小题,每题5分,共20分。
桂林市中山中学学年度下学期期中质量检测高二年级数学(文科)(考试用时分钟,满分分)本试卷分为第Ⅰ卷(单项选择题),第Ⅱ卷(非选择题)两部分,答案一律写在答题卡上的指定位置。
第Ⅰ卷(选择题)一、选择题:(本大题包括小题,每小题分,共分。
每个小题只有一个选项符合题意)、设集合,,,,则. . . .、设,则的共轭复数为. . . .、是表示空气质量的指数,指数值越小,表明空气质量越好,当指数值不大于时称空气质量为“优良”如图是某地月日到日指数值的统计数据,图中点表示月日的指数值为,则下列叙述不正确的是.这天中有天空气质量为“优良”. 这天中空气质量最好的是月日. 这天的指数值的中位数是. 从日到日,空气质量越来越好、复数. . . .、观察图示图形规律,在其右下角的空格内画上合适的图形为....、若,则下列结论不正确的是. . . .、设某大学的女生体重单位:与身高单位:具有线性相关关系,根据一组样本数,,,用最小二乘法建立的回归方程为,则下列结论中不正确的是. 与具有正的线性相关关系. 回归直线过样本点的中心. 若该大学某女生身高增加,则其体重约增加. 若该大学某女生身高为,则可断定其体重必为、已知函数的导函数的图象如图,则. 函数有个极大值点,个极小值点. 函数有个极大值点,个极小值点. 函数有个极大值点,个极小值点. 函数有个极大值点,个极小值点、曲线在点处切线的斜率为. . . .、如表是某厂月份用水量单位:百吨的一组数据由散点图可知,用水量与月份之间有较好的线性相关关系,其线性回归方程是,则月份用水量. . . .、曲线在点处的切线方程为. . . .、函数在区间上是( ). 单调增函数 . 在上是减函数,在上是增函数 . 单调减函数 . 在上是增函数,在上是减函数二、填空题(本大题共小题,共分)、高三年级位学生参加期末考试,某班位学生的语文成绩,数学成绩与总成绩在全年级的排名情况如图所示,甲、乙、丙为该班三位学生。
广西壮族自治区桂林市中庸中学2018-2019学年高一数学理联考试题含解析一、选择题:本大题共10小题,每小题5分,共50分。
在每小题给出的四个选项中,只有是一个符合题目要求的1. 已知点A(3,a)在直线2x+y﹣7=0上,则a=()A.1 B.﹣1 C.2 D.﹣2参考答案:A【考点】IG:直线的一般式方程.【分析】由题意可得2×3+a﹣7=0,解方程可得.【解答】解:∵点A(3,a)在直线2x+y﹣7=0上,∴2×3+a﹣7=0,解得a=1故选:A【点评】本题考查直线的一般式方程,属基础题.2. 集合A={x|﹣2<x<3},B={x∈Z|x2﹣5x<0},则A∩B=()A.{1,2} B.{2,3} C.{1,2,3} D.{2,3,4}参考答案:A【考点】交集及其运算.【分析】由一元二次不等式的解法求出集合B,由交集的运算求出A∩B.【解答】解:∵集合B={x∈Z|x2﹣5x<0}={x∈Z|0<x<5}={1,2,3,4},且集合A={x|﹣2<x<3},∴A∩B={1,2},故选A.3. 已知圆,圆,则两圆公切线的条数有( )A.条B.条C.条D.条参考答案:D略4. 设集合,则()A. B. C. D.参考答案:B5. 已知集合,则下列式子中正确的是()A. B. C. D.参考答案:A【分析】分别求解出集合和集合,根据交集定义得到结果.【详解】,本题正确选项:【点睛】本题考查集合运算中的交集运算,属于基础题.6. 已知等比数列的公比,则=( )A. B. C.D.参考答案:B略7. 设函数,对于给定的正数K,定义函数若对于函数定义域内的任意,恒有,则()A.K的最大值为 B.K的最小值为C.K的最大值为1 D.K的最小值为1参考答案:B略8. 过点(2,3)的直线L被两平行直线L1:2x﹣5y+9=0与L2:2x﹣5y﹣7=0所截线段AB 的中点恰在直线x﹣4y﹣1=0上,则直线L的方程为()A.5x﹣4y+11=0 B.4x﹣5y+7=0C.2x﹣3y﹣4=0 D.以上结论都不正确参考答案:B【考点】两条直线的交点坐标;中点坐标公式;直线的一般式方程.【专题】计算题.【分析】设AB的中点C(a,b),由线段AB的中点恰在直线x﹣4y﹣1=0上,知a﹣4b﹣1=0,由点C到两平行直线的距离相等,知|2a﹣5b+9|=|2a﹣5b﹣7|,故b=﹣1,a=4b+1=﹣3.由此能求出L的直线方程.【解答】解:设AB的中点C(a,b),∵线段AB的中点恰在直线x﹣4y﹣1=0上,∴a﹣4b﹣1=0,a=4b+1∵点C到两平行直线的距离相等,∴|2a﹣5b+9|=|2a﹣5b﹣7|,把a=4b+1代入,得|2(4b+1)﹣5b+9|=|2(4b+1)﹣5b﹣7|∴|3b+11|=|3b﹣5|3b+11=﹣3b+5∴b=﹣1,a=4b+1=﹣3∵直线L过点(2,3)和点(﹣3,﹣1),∴k L==∴L的直线方程:4x﹣5y+7=0.故选B.【点评】本题考查直线方程的求法,是基础题.解题时要认真审题,仔细解答,注意点到直线的距离公式的灵活运用.9. 给出下列八个命题:①垂直于同一条直线的两条直线平行;②垂直于同一条直线的两个平面平行;③垂直于同一平面的两条直线平行;④垂直于同一平面的两个平面平行;⑤平行于同一直线的两个平面平行;⑥平行于同一平面的两个平面平行;⑦平行于同一平面的两条直线平行;⑧平行于同一直线的两条直线平行;其中,正确命题的序号是________.参考答案:②③⑥⑧略10. 如图,△ABC中,E、F分别是BC、AC边的中点,AE与BF相交于点G,则()A. B.C. D.参考答案:C【分析】利用向量的加减法的法则,利用是的重心,进而得出,再利用向量的加减法的法则,即可得出答案.【详解】由题意,点分别是边的中点,与相交于点,所以是的重心,则,又因为,所以故答案为:C【点睛】本题主要考查了向量的线性运算,以及三角形重心的性质,其中解答中熟记三角形重心的性质,以及向量的线性运算法则是解答的关键,着重考查了推理与运算能力,属于基础题.二、填空题:本大题共7小题,每小题4分,共28分11. 已知集合A={x|x2﹣x﹣6≥0},B={x|x>c},其中c∈R.①集合?R A=_____;②若?x∈R,都有x∈A或x∈B,则c的取值范围是_____.参考答案:{x|﹣2<x<3} ;(﹣∞,﹣2]【分析】①先求出集合A,再利用补集的定义求出?R A;②由对?x∈R,都有x∈A或x∈B,所以A∪B=R,从而求出c的取值范围.【详解】①∵集合A={x|x2﹣x﹣6≥0}={x|x≤﹣2或x≥3},∴?R A={x|﹣2<x<3};②∵对?x∈R,都有x∈A或x∈B,∴A∪B=R,∵集合A={x|x≤﹣2或x≥3},B={x|x>c},∴c≤﹣2,∴c的取值范围是:(﹣∞,﹣2],故答案为:{x|﹣2<x<3};(﹣∞,﹣2].【点睛】本题考查的知识点是集合的交集,并集,补集运算,集合的包含关系判断及应用,难度不大,属于基础题.12. 若定义在区间(-1,0)内的函数f(x)=log2a(x+1)满足f(x)>0,则a的取值范围是__ _ ___.参考答案:略13. 在编号为1,2,3,…,n的n张奖卷中,采取不放回方式抽奖,若1号为获奖号码,则在第k次(1≤k≤n)抽签时抽到1号奖卷的概率为参考答案:14. 某商店经销一种商品,每件进价7元,市场预计以每件20元的价格销售时该店一年可销售2000件,经过市场调研发现每件销售价格在每件20元的基础上每减少一元则增加销售400件,而每增加一元则减少销售100件,现设每件的销售价格为元,为整数.(I)写出该商店一年内销售这种商品所获利润(元)与每件的销售价格(元)的函数关系式(并写出这个函数的定义域);(II)当每件销售价格为多少元时,该商店一年内利润(元)最大,并求出最大值.参考答案:(Ⅰ)依题意2分∴,……………5分定义域为 (6)分(Ⅱ)∵,∴当时,则,(元) ……………… 8分当时,则或24,(元)………………10分综上:当时,该商店获得的利润最大为32400元.………………12分略15. 已知幂函数y=f(x)的图象过点(2,),则f(9)= .参考答案:3【考点】幂函数的单调性、奇偶性及其应用.【专题】计算题.【分析】先由幂函数的定义用待定系数法设出其解析式,代入点的坐标,求出幂函数的解析式,再求f(16)的值【解答】解:由题意令y=f(x)=x a,由于图象过点(2,),得=2a,a=∴y=f(x)=∴f(9)=3.故答案为:3.【点评】本题考查幂函数的单调性、奇偶性及其应用,解题的关键是熟练掌握幂函数的性质,能根据幂函数的性质求其解析式,求函数值.16. 经过原点并且与直线x+y﹣2=0相切于点(2,0)的圆的标准方程是.参考答案:(x﹣1)2+(y+1)2=2【考点】圆的切线方程.【分析】设出圆心坐标与半径,根据题意列出方程组,解方程组求出圆心与半径即可.【解答】解:设圆心的坐标为(a,b),则a2+b2=r2①,(a﹣2)2+b2=r2②,=1③;由①②③组成方程组,解得:a=1,b=﹣1,r2=2;故所求圆的标准方程是(x﹣1)2+(y+1)2=2.故答案为(x﹣1)2+(y+1)2=2.17. 已知函数值域为,则实数的取值范围是_________参考答案:三、解答题:本大题共5小题,共72分。
广西桂林市高一下学期数学期中考试试卷姓名:________ 班级:________ 成绩:________一、单选题 (共12题;共24分)1. (2分) (2019高一上·大庆月考) 若集合的子集个数为()A . 2B . 3C . 4D . 162. (2分)下列函数中,既是偶函数又在区间上单调递增的函数为()A .B .C .D .3. (2分)(2018·吉林模拟) 已知,则的值为()A .B .C .D .4. (2分)若为任意向量,m∈R,则下列等式不一定成立的是()A .B .C .D .5. (2分) (2016高二上·济南期中) 在△ABC中,A=60°,a= ,b= ,则()A . B=45°或135°B . B=135°C . B=45°D . 以上答案都不对6. (2分) (2019高二上·会宁期中) 设是等差数列的前项和,若,则()A .B .C . 2D .7. (2分) (2018高一下·四川月考) 下列命题中正确的是()A .B .C .D .8. (2分)远望灯塔高七层,红光点点成倍增,只见顶层灯一盏,请问共有几盏灯?()A . 64B . 128C . 63D . 1279. (2分)函数f(x)与g(x)=()x的图象关于直线y=x对称,则f(x2﹣2x)的单增区间为()A . (﹣∞,0)B . (2,+∞)C . (0,1)D . [1,2)10. (2分)如图,将边长为5+的正方形,剪去阴影部分后,得到圆锥的侧面和底面的展开图,则圆锥的体积是().A .B .C .D .11. (2分) (2019高一上·九台期中) 函数的图象大致是()A .B .C .D .12. (2分) (2017高二上·桂林月考) 如图,某汽车运输公司刚买了一批豪华大客车投入营运,据市场分析每辆客车营运的总利润y(单位:10万元)与营运年数x(x∈N)为二次函数关系,若使营运的年平均利润最大,则每辆客车应营运()A . 3年B . 4年C . 5年D . 6年二、填空题 (共4题;共4分)13. (1分) (2019高二上·安徽月考) 已知等比数列满足,,则公比________.14. (1分)已知sinα+cosα= ,则sinαcosα=________.15. (1分) (2016高二上·诸暨期中) 在长方体ABCD﹣A1B1C1D1中,AB=2 ,AD=2 ,AA1=2,BC和A1C1所成的角=________度AA1和BC1所成的角=________度.16. (1分) (2019高三上·郑州期中) 已知,,分别为的三个内角,,的对边,,且,则面积的最大值为________.三、解答题 (共6题;共60分)17. (5分) (2016高二上·桃江期中) 已知函数f(x)=x2+3x+a(1)当a=﹣2时,求不等式f(x)>2的解集(2)若对任意的x∈[1,+∞),f(x)>0恒成立,求实数a的取值范围.18. (10分) (2018高三上·湖北月考) 在如图四边形中,为的内角的对边,且满足 .(Ⅰ)证明:成等差数列;(Ⅱ)已知求四边形的面积.19. (10分)如图,有﹣直角墙角,两边的长度足够长,在P处有﹣棵树与两墙的距离分别是a米(0<a<12),4米,不考虑树的粗细,现在想用16米长的篱笆,借助墙角围成﹣个矩形的花围ABCD,并要求将这棵树围在花圃内或在花圃的边界上.设BC=x米,此矩形花围的面积为y平方米.(1)写出y关于x的函数关系,并指出这个函数的定义域;(2)当BC为何值时,花圃面积最大?20. (10分) (2017高一上·南涧期末) 已知函数f(x)= sin2x﹣cos2x.(1)求函数f(x)的最小正周期和最大值;(2)求函数f(x)的单调递减区间.21. (10分)(2020·漳州模拟) 已知数列满足, .(1)证明:数列为等差数列;(2)设,求数列的前项和 .22. (15分)(2017·河南模拟) 已知f(x)=|2x﹣1|+x+ 的最小值为m.(1)求m的值;(2)已知a,b,c是正实数,且a+b+c=m,求证:2(a3+b3+c3)≥ab+bc+ca﹣3abc.参考答案一、单选题 (共12题;共24分)1-1、2-1、3-1、4-1、5-1、6-1、7-1、8-1、9-1、10-1、11-1、12-1、二、填空题 (共4题;共4分)13-1、14-1、15-1、16-1、三、解答题 (共6题;共60分) 17-1、17-2、18-1、19-1、19-2、20-1、20-2、21-1、21-2、22-1、22-2、。
2018-2019学年广西省桂林市某校高一(下)数学试卷选择题1. 2019∘角的终边落在( ) A.第一象限 B.第二象限 C.第三象限 D.第四象限2. 若点P (−√32,12)在角α的终边上,则sin α的值为( ) A.−√32B.√32 C.−12D.123. 若sin θcos θ>0,则θ终边落在( ) A.第二、三象限 B.第一、三象限 C.第一、四象限D.第二、四象限4. AO →+BC →−BO →化简后等于( ) A.AC → B.AB →C.0→D.AO →5. 已知a =tan 7π6, b =cos7π4c =sin (−π4),则a ,b ,c 的大小关系是( )A.b >a >cB.a >b >cC.b >c >aD.a >c >b6. 已知圆C 的半径为2,圆心在x 轴的正半轴上,直线3x +4y +4=0与圆C 相切,则圆C 的方程为( ) A.x 2+y 2−2x −3=0 B.x 2+y 2+4x =0 C.x 2+y 2+2x −3=0 D.x 2+y 2−4x =07. 在[0,2π]上,使得函数y =sin x 和y =cos x 都是减函数的区间是( ) A.[0,π2] B.[π2,π]C.[π,3π2] D.[3π2,2π]8. 已知函数f (x )=A sin (ωx +φ)(A >0,ω>0,|φ|<π2,x ∈R)在一个周期内的图象如图所示,则y =f (x )的解析式是( )A.f (x )=4sin (3x −π4)B.f (x )=4sin (43x +π3)C.f (x )=4sin (3x +π4)D.f (x )=4sin (43x −π3)9. 已知向量a →,b →满足a →⋅(a →+b →)=5,且|a →|=2,|b →|=1,则a →与b →的夹角为( ) A.π6 B.π4C.2π3D.π310. tan α,tan β是方程6x 2−5x +1=0的两个实数根,若α,β∈(0,π),则α+β=( )A.π4 B.3π4C.5π4D.π4或3π411. 已知θ为第二象限角,且sin θ+cos θ=15,则cos θ−sin θ=( ) A.75B.−75C.±75D.492512. 已知函数f (x )=sin 2x +cos 2x ,将函数y =f (x )的图象向右平移π4个单位,得到函数y =g (x )的图象,则函数y =g (x )图象的一个对称中心是( ) A.(3π8,0) B.(π2,0)C.(5π8,0)D.(3π4,0)解答题一个扇形的圆心角为3弧度,其周长为10,则该扇形的面积为________.若向量a →=(3,2),b →=(2,−1),且(a →+mb →)⊥(a →−b →),则实数m 的值为________.计算:sin 155∘cos 35∘+cos 25∘cos 55∘=________.在平面直角坐标系xOy 中,已知圆C:x 2+y 2−2x −4y −3=0与x 轴交于A ,B 两点,动直线1与圆C 相交于M ,N 两点,且△CMN 的面积为4.若P 为MN 的中点,则△PAB 的面积最大值为________.已知a →,b →的夹角为120∘,且|a →|=4,|b →|=2,求: (1)(a →−2b →)⋅(a →+b →);(2)|a →+b →|.已知0<β<α<π2,cos α=√55,sin (α−β)=√1010,求: (1)cos (2α−β)的值;(2)β的值.已知tan α=3,求下列各式的值: (1)2sin α−cos αsin α+cos α;(2)4cos 2α−6sin αcos α+6sin 2α.已知关于x ,y 的方程C:x 2+y 2−2x −4y +m =0. (1)若方程C 表示圆,求m 的取值范围;(2)若圆C 与圆C 1:x 2+y 2−8x −12y +36=0外切,求m 的值;(3)若圆C 与直线l:x +2y −4=0相交于M ,N 两点,且|MN|=4√55,求m 的值.如图,在△ABC 中,已知∠BAC =120∘,AB =4, AC =2,点D 在线段BC 上,且BD =2DC .(1)记AB →=m →,AC →=n →,用m →,n →为基底表示AD →,并求线段AD 的长;(2)求∠DAC 的大小.已知函数f (x )=2sin 2x +2√3sin x sin (x +π2)(x ∈R ), (Ⅰ)求函数f (x )的最小正周期以及单调区间;(2)若x ∈[π6,11π12]时,方程f (x )=m 有两个不相等的实数根,求实数m 的取值范围.参考答案与试题解析2018-2019学年广西省桂林市某校高一(下)数学试卷选择题1.【答案】C【考点】象限角、轴线角【解析】此题暂无解析【解答】此题暂无解答【点评】此题暂无点评2.【答案】D【考点】三角函数【解析】此题暂无解析【解答】此题暂无解答【点评】此题暂无点评3.【答案】B【考点】三角函数值的符号三角函数线【解析】此题暂无解析【解答】此题暂无解答【点评】此题暂无点评4.【答案】A【考点】向量加减混合运算及其几何意义【解析】此题暂无解析【解答】此题暂无解答【点评】此题暂无点评5.【答案】A【考点】正弦函数的图象【解析】此题暂无解析【解答】此题暂无解答【点评】此题暂无点评6.【答案】D【考点】直线与圆的位置关系【解析】此题暂无解析【解答】此题暂无解答【点评】此题暂无点评7.【答案】B【考点】正弦函数的图象求两角和与差的正弦函数y=Asin(ωx+φ)的图象变换【解析】此题暂无解析【解答】此题暂无解答【点评】此题暂无点评8.【答案】B【考点】由y=Asin(ωx+φ)的部分图象确定其解析式【解析】此题暂无解析【解答】此题暂无解答【点评】此题暂无点评9.【答案】D【考点】数量积表示两个向量的夹角【解析】此题暂无解析【解答】此题暂无解答【点评】此题暂无点评10.【答案】A【考点】根的存在性及根的个数判断【解析】此题暂无解析【解答】此题暂无解答【点评】此题暂无点评11.【答案】B【考点】同角三角函数基本关系的运用三角函数的化简求值【解析】此题暂无解析【解答】此题暂无解答【点评】此题暂无点评12. 【答案】C【考点】函数y=Asin(ωx+φ)的图象变换【解析】此题暂无解析【解答】此题暂无解答【点评】此题暂无点评解答题【答案】【考点】余弦定理平面向量数量积的运算正弦定理【解析】此题暂无解析【解答】此题暂无解答【点评】此题暂无点评【答案】【考点】余弦定理平面向量数量积的运算正弦定理【解析】此题暂无解析【解答】此题暂无解答【点评】此题暂无点评【答案】【考点】余弦定理平面向量数量积的运算正弦定理【解析】此题暂无解析【解答】此题暂无解答【点评】此题暂无点评【答案】【考点】余弦定理平面向量数量积的运算正弦定理【解析】此题暂无解析【解答】此题暂无解答【点评】此题暂无点评【答案】【考点】平面向量数量积的运算数量积表示两个向量的夹角【解析】此题暂无解析【解答】此题暂无解答【点评】此题暂无点评【答案】【考点】同角三角函数间的基本关系求两角和与差的正弦【解析】此题暂无解析【解答】此题暂无解答【点评】此题暂无点评【答案】【考点】同角三角函数间的基本关系三角函数的化简求值【解析】此题暂无解析【解答】此题暂无解答【点评】此题暂无点评【答案】【考点】圆的标准方程直线与圆的位置关系【解析】此题暂无解析【解答】此题暂无解答【点评】此题暂无点评【答案】【考点】余弦定理平面向量数量积的运算【解析】此题暂无解析【解答】此题暂无解答【点评】此题暂无点评【答案】【考点】复合三角函数的单调性三角函数的周期性【解析】此题暂无解析【解答】此题暂无解答【点评】此题暂无点评。
桂林市中山中学2018~2019学年度下学期期中质量检测高一年级数学(考试用时120分钟,满分150分)一、选择题(本大题共12小题,共60分)1.把105°化为弧度为()A. B. C. D.2.若sinθ>cosθ,且tanθ<0,则角θ的终边位于()A. 第一象限B. 第二象限C. 第三象限D. 第四象限3.若α为第二象限角,sinα=,则cosα=()A. B. C. D.4.已知向量=(1,2),=(3,1),则-=()A. B. C. D.5.下列角的终边与37°角的终边在同一直线上的是()A. B. C. D.6.下列函数中,最小正周期为的是()A. B. C. D.7.sin210°的值为()A. B. C. D.8.已知点A(1,1),B(3,5),若点C(-2,y)在直线AB上,则y的值是()A. B. C. 5 D.9.已知函数y=sin(2x+φ)的图象关于直线x=-对称,则φ的可能取值是()A. B. C. D.10.要得到y=sin(2x-)的图象,需要将函数y=sin2x的图象()A. 向左平移个单位B. 向右平移个单位C. 向左平移个单位D. 向右平移个单位11.平面向量与的夹角为60°,=(1,),||=1,则||等于()A. B. C. 4 D. 1212.函数f(x)=2sin(ωx+φ)(ω>0,-<φ<)的部分图象如图所二、填空题(本大题共4小题,共20分)13.tanα=,求=______.14.若向量的夹角为60°,,则= ______ .15.若cos x cos y+sin x sin y=,则cos(2x-2y)= ______ .16.已知向量=(1,),=(-2,2),则与的夹角是______ .三、解答题(本大题共6小题,共70.0分)17.已知任意角α的终边经过点P(-3,m),且cosα=-(1)求m的值.(2)求sinα与tanα的值.18.已知f(α)=.(1)化简f(α);(2)若tanα=2,且α∈(π,),求f(α)的值.19.已知向量,的夹角为60°,且||=2,||=1,(1)求•;(2)求|+|.20.已知cosα =,cos(αβ) =,且0<β<α<,(1)求tan2α的值;(2)求cosβ的值.21.已知,①若与垂直,求k的值;②若与平行,求k的值.22.已知函数f(x)=sin2ωx+sinωxsin(ωx+)(ω>0)的最小正周期为π.(1)求ω的值;(2)求函数f(x)在区间[0,]上的取值范围.答案和解析1.【答案】C【解析】解:因为180°=π弧度,所以1°=rad,所以105°=105×rad=rad;故选:C.根据弧度制的定义解答.本题考查了弧度与角度的互化;1°=rad.1rad=.2.【答案】B【解析】解:∵sinθ>cosθ,∴θ一定不再第四象限,又tanθ<0,∴θ是第二或第四象限角,可得θ是第二象限角,故选B.因为sinθ>cosθ,可判断θ一定不是第四象限,又tanθ<0,可得判断θ是第二或第四象限角,问题得以解决.本题考查象限角的定义,熟练掌握三角函数在各个象限中的符号是解决问题的关键,属于基础题.3.【答案】A【解析】解:∵α为第二象限角,且sinα=,∴cosα=-=-.故选:A.由α为第二象限角,得到cosα小于0,根据sinα的值,利用同角三角函数间的基本关系即可求出cosα的值.此题考查了同角三角函数间的基本关系,熟练掌握基本关系是解本题的关键.4.【答案】B【分析】直接利用向量的减法的坐标运算求解即可.本题考查向量的坐标运算,基本知识的考查.【解答】解:∵向量=(1,2),=(3,1),∴-=(2,-1)故选B.5.【答案】D【解析】解:因为角的终边与37°角的终边在同一直线上的是37°+180°k,k是整数,k=-1时,37°-180°=-143°;故选:D.利用终边相同角的表示写出角的终边与37°角的终边在同一直线上的所有角,然后对k 取值.本题考查了三角函数的终边相同角的表示;与α在同一条直线的角为α+kπ,k∈Z.6.【答案】D【解析】解:A、y=sinx,∵ω=1,∴T==2π,本选项错误;B、y=cosx,∵ω=1,∴T==2π,本选项错误;C、y=tan,∵ω=,∴T==2π,本选项错误;D、y=cos4x,∵ω=4,∴T==,本选项正确.综上知,D选项正确.故选:D.找出C选项中的函数解析式中ω的值,代入周期公式T=,A,B,D三个选项解析式中ω的值,代入周期公式T=,分别求出各项的最小正周期,即可作出判断.此题考查了三角函数的周期性及其求法,涉及的知识有正切函数及正弦函数的周期性,熟练掌握周期公式是解本题的关键,属于基础题.7.【答案】B【解析】解:sin210°=sin(180°+30°)=-sin30°=-.故选B所求式子中的角度变形后,利用诱导公式化简即可求出值.此题考查了运用诱导公式化简求值,熟练掌握诱导公式是解本题的关键.8.【答案】A【解析】解:点A(1,1),B(3,5),直线AB的方程为:,即2x-y-1=0,点C(-2,y)在直线AB上,看-4-y-1=0,解得y=-5.故选:A.求出直线AB的方程,代入C的坐标即可求解结果.本题考查直线方程的求法与应用,基本知识的考查.9.【答案】A【解析】解:函数y=sin(2x+φ)的图象关于直线x=-对称,∴当x=-时,函数y取值最值,即sin(2×x+φ)=±1.可得φ-=,k∈Z.∴φ=.当k=0时,可得φ=.故选:A.根据正弦函数的性质可知x=-时,函数y取值最值.即可求φ的可能取值.本题考查正弦函数的对称轴性质的运用.属于基础题.10.【答案】D【解析】解:将函数y=sin2x向右平移个单位,即可得到的图象,就是的图象;故选:D.由左加右减上加下减的原则可确定函数y=sin2x到的路线,进行平移变换,推出结果.本题主要考查三角函数的平移.三角函数的平移原则为左加右减上加下减.注意x的系数.11.【答案】B【解析】解:平面向量与的夹角为60°,=(1,),||=1,不妨可得=(1,0),则||=|(3,)|==2.故选:B.利用已知条件求出向量,然后利用坐标运算求解即可.本题考查向量的模的求法,推出向量的坐标是简化解题的关键,考查计算能力.12.【答案】A【解析】解:∵在同一周期内,函数在x=时取得最大值,x=时取得最小值,∴函数的周期T满足=-=,由此可得T==π,解得ω=2,得函数表达式为f(x)=2sin(2x+φ)又∵当x=时取得最大值2,∴2sin(2•+φ)=2,可得+φ=+2kπ(k∈Z)∵,∴取k=0,得φ=-故选:A.根据函数在同一周期内的最大值、最小值对应的x值,求出函数的周期T==π,解得ω=2.由函数当x=时取得最大值2,得到+φ=+kπ(k∈Z),取k=0得到φ=-.由此即可得到本题的答案.本题给出y=Asin(ωx+φ)的部分图象,求函数的表达式.着重考查了三角函数的图象与性质、函数y=Asin(ωx+φ)的图象变换等知识,属于基础题.13.【答案】-【解析】解:∵tanα=,∴===-.故答案为:-所求式子分子分母同时除以cosα,利用同角三角函数间的基本关系弦化切后,将tanα的值代入计算即可求出值.此题考查了同角三角函数基本关系的应用,以及同角三角函数间的基本关系,熟练掌握基本关系是解本题的关键.14.【答案】【解析】解:,故答案为.用向量的数量积公式求值,将则展开后,用内积公式与求模公式求值.考查内积公式及向量模的公式,属于向量里面的基本题型.15.【答案】-【解析】解:∵cosxcosy+sinxsiny=cos(x-y)=,∴cos(2x-2y)=cos2(x-y)=2cos2(x-y)-1=-.故答案为:-.已知等式左边利用两角和与差的余弦函数公式化简,求出cos(x-y)的值,所求式子利用二倍角的余弦函数公式化简后,将cos(x-y)的值代入计算即可求出值.此题考查了两角和与差的余弦函数公式,二倍角的余弦函数公式,熟练掌握公式是解本题的关键.16.【答案】60°【解析】解:∵=(1,),=(-2,2),∴||=2,||==4,•=-2+2×=6-2=4,则cos<,>==,则<,>=60°,故答案为:60°求出向量的长度和数量积,结合向量夹角公式进行求解即可.本题主要考查向量数量积的应用,根据向量夹角公式是解决本题的关键.比较基础.17.【答案】解:(1)∵角α的终边经过点P(-3,m),∴|OP|=.又∵co sα=-==,∴m2=16,∴m=±4.(2)m=4,得P(-3,4),|OP|=5,∴sinα=,tanα=-;m=-4,得P(-3,-4),|OP|=5,∴sinα=-,tanα=;【解析】(1)先求出|OP|,再利用cosα=-,即可求m的值.(2)分类讨论,即可求sinα与tanα的值.本题考查同角三角函数基本关系的运用,考查三角函数的定义,比较基础.18.【答案】解:f(α)==cosα;(2)∵tanα=和sin2α+cos2α=1,∴cos2α=.又∵α∈(π,),∴cosα<0,∴f(α)=cosα=-.【解析】(1)利用诱导公式进行化简;(2)由tanα=和sin2α+cos2α=1求得cos2α的值,然后根据α的取值范围得到f(α)的值.本题考查了同角三角函数基本关系的应用,三角函数的化简求值.三角函数式的化简要遵循“三看”原则:(1)一看“角”,这是最重要的一环,通过看角之间的差别与联系,把角进行合理的拆分,从而正确使用公式.(2)二看“函数名称”,看函数名称之间的差异,从而确定使用的公式,常见的有“切化弦”;(3)三看“结构特征”,分析结构特征,可以帮助我们找到变形的方向,常见的有“遇到分式要通分”等.19.【答案】解:(1)×=||||cos60°=2×1×=1(2)|+|2=(+)2=+2•+=4+2×1+1=7所以|+|=【解析】(1)由已知中,向量,的夹角为60°,且||=2,||=1,代入平面向量的数量积公式,即可得到答案.(2)由|+|2=(+)2,再结合已知中||=2,||=1,及(1)的结论,即可得到答案.本题考查的知识点是平面向量数量积的坐标表示、模、及夹角,直接考查公式本身的直接应用,属基础题.20.【答案】解:(1)∵由cosα=,0<α<,得sinα===,∴得tan=∴于是tan2α==-.(2)由0<β<α<,得0<α-β<,又∵cos(α-β)=,∴sin(α-β)==,由β=α-(α-β)得:cosβ=cos[α-(α-β)]=cosαcos(α-β)+sinαsin(α-β)==.【解析】(1)利用已知及同角三角函数基本关系式可求sinα,进而可求tanα,利用二倍角的正切函数公式可求tan2α的值.(2)由0<β<α<,得0<α-β<,利用同角三角函数基本关系式可求sin(α-β),由β=α-(α-β)利用两角差的余弦函数公式即可计算求值.本题主要考查了三角函数基本关系式,二倍角的正切函数公式,两角差的余弦函数公式在三角函数化简求值中的应用,考查了计算能力和转化思想,属于基础题.21.【答案】解:∵=(1,2)、∴,①∵与垂直∴即10(k-3)-4(2k+2)=0∴k=19.②∵与平行∴(k-3)×(-4)-(2k+2)×10=0∴.【解析】由=(1,2),,知,.①由与垂直,知10(k-3)-4(2k+2)=0,由此能求出k的值.②由与平行,知(k-3)×(-4)-(2k+2)×10=0,由此能求出k的值.本题考查平面向量垂直和平行的条件的应用,是基础题.解题时要认真审题,仔细解答.。