第四章传热习题
- 格式:doc
- 大小:301.50 KB
- 文档页数:10
化工原理课后习题答案第4章传热习题解答习 题1. 如附图所示。
某工业炉的炉壁由耐火砖λ1=1.3W/(m·K )、绝热层λ2=0.18W/(m·K )及普通砖λ3=0.93W/(m·K )三层组成。
炉膛壁内壁温度1100o C ,普通砖层厚12cm ,其外表面温度为50 o C 。
通过炉壁的热损失为1200W/m 2,绝热材料的耐热温度为900 o C 。
求耐火砖层的最小厚度及此时绝热层厚度。
设各层间接触良好,接触热阻可以忽略。
已知:λ1=1.3W/m·K ,λ2=0.18W/m·K ,λ3=0.93W/m·K ,T 1=1100 o C ,T 2=900 o C ,T 4=50o C ,3δ=12cm ,q =1200W/m 2,Rc =0求: 1δ=?2δ=? 解: ∵δλT q ∆=∴1δ=m q T T 22.0120090011003.1211=-⨯=-λ又∵33224234332322λδλδδλδλ+-=-=-=T T T T T T q ∴W K m q T T /579.093.012.01200509002334222⋅=--=--=λδλδ得:∴m 10.018.0579.0579.022=⨯==λδ习题1附图 习题2附图2. 如附图所示。
为测量炉壁内壁的温度,在炉外壁及距外壁1/3厚度处设置热电偶,测得t 2=300 o C ,t 3=50 o C 。
求内壁温度t 1。
设炉壁由单层均质材料组成。
已知:T 2=300o C ,T 3=50o C求: T 1=?解: ∵δλδλ31323T T T Tq -=-=∴T 1-T 3=3(T 2-T 3)T 1=2(T 2-T 3)+T 3=3×(300-50)+50=800 o C3. 直径为Ø60×3mm 的钢管用30mm 厚的软木包扎,其外又用100mm 厚的保温灰包扎,以作为绝热层。
第四章 传 热热传导【4-1】有一加热器,为了减少热损失,在加热器的平壁外表面,包一层热导率为(m·℃)、厚度为300mm 的绝热材料。
已测得绝热层外表面温度为30℃,另测得距加热器平壁外表面250mm 处的温度为75℃,如习题4-1附图所示。
试求加热器平壁外表面温度。
解 2375℃, 30℃t t ==计算加热器平壁外表面温度1t ,./()W m λ=⋅016℃ (1757530025005016016)t --= ..145025********t =⨯+=℃【4-2】有一冷藏室,其保冷壁是由30mm 厚的软木做成的。
软木的热导率λ= W/(m·℃)。
若外表面温度为28℃,内表面温度为3℃,试计算单位表面积的冷量损失。
解 已知.(),.123℃, 28℃, =0043/℃ 003t t W m b m λ==⋅=, 则单位表面积的冷量损失为【4-3】用平板法测定材料的热导率,平板状材料的一侧用电热器加热,另一侧用冷水冷却,同时在板的两侧均用热电偶测量其表面温度。
若所测固体的表面积为0.02m 2,材料的厚度为0.02m 。
现测得电流表的读数为2.8A ,伏特计的读数为140V ,两侧温度分别为280℃和100℃,试计算该材料的热导率。
解 根据已知做图热传导的热量 .28140392Q I V W =⋅=⨯=.().()12392002002280100Qb A t t λ⨯==-- 【4-4】燃烧炉的平壁由下列三层材料构成:耐火砖层,热导率λ=(m·℃),厚度230b mm =;绝热砖层,热导率λ=(m·℃);普通砖层,热导率λ=(m·℃)。
耐火砖层内侧壁面温度为1000℃,绝热砖的耐热温度为940℃,普通砖的耐热温度为130℃。
(1) 根据砖的耐热温度确定砖与砖接触面的温度,然后计算绝热砖层厚度。
若每块绝热砖厚度为230mm ,试确定绝热砖层的厚度。
第四章传热【热传导】【4-3】用平板法测定材料的热导率,平板状材料的一侧用电热器加热,另一侧用冷水冷却,同时在板的两侧均用热电偶测量其表面温度。
若所测固体的表面积为0.02m 2,材料的厚度为0.02m 。
现测得电流表的读数为2.8A ,伏特计的读数为140V ,两侧温度分别为280℃和100℃,试计算该材料的热导率。
解根据已知做图热传导的热量.28140392Q I V W =⋅=⨯=()12AQ t t bλ=-.().()12392002002280100Qb A t t λ⨯==--()./218W m =⋅℃【4-4】燃烧炉的平壁由下列三层材料构成:耐火砖层,热导率λ=1.05W/(m·℃),厚度230b mm =;绝热砖层,热导率λ=0.151W/(m·℃);普通砖层,热导率λ=0.93W/(m·℃)。
耐火砖层内侧壁面温度为1000℃,绝热砖的耐热温度为940℃,普通砖的耐热温度为130℃。
(1)根据砖的耐热温度确定砖与砖接触面的温度,然后计算绝热砖层厚度。
若每块绝热砖厚度为230mm ,试确定绝热砖层的厚度。
(2)若普通砖层厚度为240mm ,试计算普通砖层外表面温度。
解(1)确定绝热层的厚度2b 温度分布如习题4-4附图所示。
通过耐火砖层的热传导计算热流密度q 。
()1121q t t b λ=-.()/.W m =-=21051000940274 023绝热砖层厚度2b 的计算()2232q t t b λ=-.().b m =-=201519401300446 274每块绝热砖的厚度为023m .,取两块绝热砖的厚度为.20232046b m =⨯=.。
(2)计算普通砖层的外侧壁温4t 先核算绝热砖层与普通砖层接触面处的温度3t (2)32227404694010530151qb t t λ⨯=-=-=℃习题4-3附图习题4-4附图3t 小于130℃,符合要求。
第四章 传 热一.填空1.传热的基本方式有 、 、 三种。
2.导热系数的大小反映了物质 的大小。
一般来说, 的导热系数最大, 次之, 最小。
3.有两种不同的固体材料,它们的导热系数第一种为λ1》第二种为 λ2,若作为换热器材料,应选用_________种;当作为保温材料时,应选用__________种。
3.由多层等厚平壁构成的导热壁面中,所用材料的导热系数愈大,则该壁面的热阻愈 ,其两侧的温差愈 。
7.有一个稳定导热的两层平壁,A 层厚10cm 。
导热系数30W/m ℃,B 层厚10mm ,导热系数0.3W/m ℃,A 层导热推动 B 层导热推动力。
4.厚度不同的三种材料构成三层平壁,各层接触良好,已知δ1>δ2>δ3,导热系数λ1<λ2<λ3,在稳定传热过程中,各层的热阻 ,各层导热速率 。
5.在无相变的对流传热过程中,热阻主要集中在 ,减少热阻的最有效措施是 。
6.水在管内作湍流流动,若使流速提高到原来的2倍,则其对流传热系数约为原来的 倍;其他不变,管径改为原来的1/2,则其对流传热系数约为原来的 倍。
(设条件改变后仍在湍流范围)7.苯在内径为20 mm 的圆形直管中作湍流流动,对流传热系数为1270 W/(m 2·℃)。
如果流量和物性不变,改用内径为30 mm 的圆管,其对流传热系数将变为 W/(m 2·℃)。
(对流传热系数α的计算公式为:n d(Pr)(Re)023.08.0λα=)8.在传热实验中用饱和水蒸汽加热空气,总传热系数K 接近于 侧的对流传热系数,而壁温接近于 侧流体的温度值。
(饱和水蒸气、空气)9. 导热系数的单位为 ,对流传热系数的单位为 ,总传热系数的单位为 。
10.一侧流体恒温,一侧流体变温时,△t m 并 △t m 逆。
11.换热器中流体的相对流动方向有四种类型: 、 、 和 。
12.若管壁较薄,壁阻和污垢热阻忽略不计,α1>>α2,则K ≈ 。
第四章 传热热传导【4-1】有一加热器,为了减少热损失,在加热器的平壁外表面,包一层热导率为0.16W/(m·℃)、厚度为300mm 的绝热材料。
已测得绝热层外表面温度为30℃,另测得距加热器平壁外表面250mm 处的温度为75℃,如习题4-1附图所示。
试求加热器平壁外表面温度。
解 2375℃, 30℃t t ==计算加热器平壁外表面温度1t ,./()W m λ=⋅016℃ (1757530025005016016)t --= ..145025********t =⨯+=℃ 【4-2】有一冷藏室,其保冷壁是由30mm 厚的软木做成的。
软木的热导率λ=0.043 W/(m·℃)。
若外表面温度为28℃,内表面温度为3℃,试计算单位表面积的冷量损失。
解 已知.(),.123℃, 28℃, =0043/℃ 003t t W m b m λ==⋅=,则单位表面积的冷量损失为【4-3】用平板法测定材料的热导率,平板状材料的一侧用电热器加热,另一侧用冷水冷却,同时在板的两侧均用热电偶测量其表面温度。
若所测固体的表面积为0.02m 2,材料的厚度为0.02m 。
现测得电流表的读数为2.8A ,伏特计的读数为140V ,两侧温度分别为280℃和100℃,试计算该材料的热导率。
解 根据已知做图热传导的热量 .28140392Q I V W =⋅=⨯=.().()12392002002280100Qb A t t λ⨯==-- 【4-4】燃烧炉的平壁由下列三层材料构成:耐火砖层,热导率λ=1.05W/(m·℃),厚度230b mm =;绝热砖层,热导率λ=0.151W/(m·℃);普通砖层,热导率λ=0.93W/(m·℃)。
耐火砖层内侧壁面温度为1000℃,绝热砖的耐热温度为940℃,普通砖的耐热温度为130℃。
(1) 根据砖的耐热温度确定砖与砖接触面的温度,然后计算绝热砖层厚度。
第四章传热一、名词解释1、导热若物体各部分之间不发生相对位移,仅借分子、原子和自由电子等微观粒子的热运动而引起的热量传递称为热传导(导热)。
2、对流传热热对流是指流体各部分之间发生相对位移、冷热流体质点相互掺混所引起的热量传递。
热对流仅发生在流体之中, 而且必然伴随有导热现象。
3、辐射传热任何物体, 只要其绝对温度不为零度 (0K), 都会不停地以电磁波的形式向外界辐射能量, 同时又不断地吸收来自外界物体的辐射能, 当物体向外界辐射的能量与其从外界吸收的辐射能不相等时, 该物体就与外界产生热量的传递。
这种传热方式称为热辐射。
4、传热速率单位时间通过单位传热面积所传递的热量(W/m2)5、等温面温度场中将温度相同的点连起来,形成等温面。
等温面不相交。
二、单选择题1、判断下面的说法哪一种是错误的()。
BA 在一定的温度下,辐射能力越大的物体,其黑度越大;B 在同一温度下,物体吸收率A与黑度ε在数值上相等,因此A与ε的物理意义相同;C 黑度越大的物体吸收热辐射的能力越强;D 黑度反映了实际物体接近黑体的程度。
2、在房间中利用火炉进行取暖时,其传热方式为_______ 。
CA 传导和对流B 传导和辐射C 对流和辐射3、沸腾传热的壁面与沸腾流体温度增大,其给热系数_________。
CA 增大B 减小C 只在某范围变大D 沸腾传热系数与过热度无关4、在温度T时,已知耐火砖辐射能力大于磨光铜的辐射能力,耐火砖的黑度是下列三数值之一,其黑度为_______。
AA 0.85B 0.03C 15、已知当温度为T时,耐火砖的辐射能力大于铝板的辐射能力,则铝的黑度______耐火砖的黑度。
DA 大于B 等于C 不能确定是否大于D 小于6、多层间壁传热时,各层的温度降与各相应层的热阻_____。
AA 成正比B 成反比C 没关系7、在列管换热器中,用饱和蒸汽加热空气,下面两项判断是否正确: A甲、传热管的壁温将接近加热蒸汽温度;乙、换热器总传热系数K将接近空气侧的对流给热系数。
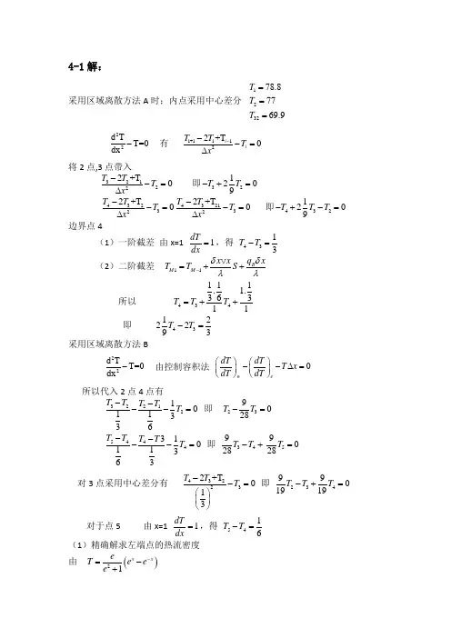
4-1解:采用区域离散方法A 时;内点采用中心差分123278.87769.9T T T ===22d T T=0dx - 有 i+1i 122+T 0i i T T T x---=∆ 将2点,3点带入 321222+T 0T T T x --=∆ 即321209T T -+= 432322+T 0T T T x --=∆4321322+T 0T T T x --=∆ 即4321209T T T -+-= 边界点4(1)一阶截差 由x=1 1dT dx =,得 4313T T -=(2)二阶截差 11B M M q x x xT T S δδλλ-=++V所以 434111. 1.36311T T T =++即 43122293T T -=采用区域离散方法B22d TT=0dx - 由控制容积法 0w edT dT T x dT dT ⎛⎫⎛⎫--∆= ⎪ ⎪⎝⎭⎝⎭ 所以代入2点4点有322121011336T T T T T ----= 即 239028T T -=544431011363T T T T T ----= 即3459902828T T T -+= 对3点采用中心差分有432322+T 013T T T --=⎛⎫⎪⎝⎭即2349901919T T T -+= 对于点5 由x=11dT dx =,得 5416T T -= (1)精确解求左端点的热流密度由 ()21x x eT e e e -=-+所以有 ()2220.64806911x xx x dT e e q e e dxe e λ-====-+=-=++ (2)由A 的一阶截差公式210.247730.743113x T T dT q dxλ=-=-==⨯= (3)由B 的一阶截差公式0.216400.649213x dTq dxλ=-=-== (4)由区域离散方法B 中的一阶截差公式:210.108460.6504()B BT T dT dx x δ-⎛⎫==⨯= ⎪⎝⎭ 通过对上述计算结果进行比较可得:区域离散B 有控制容积平衡法建立的离散方程与区域离散方程A 中具有二阶精度的格式精确度相当!4-3解: 对平板最如下处理:1 2 3 4由左向右点分别表述为1、2、3、4点,x 的正方向为由左向右; 控制方程为λd 2tdx +S =0 (1)边界条件为X=0,T=75℃;X=0.1,λdTdx +ℎ(T −T f )=0;则2、3点采用二阶截差格式,有 则有以下两式:λT3−2T2+T1∆x+S=0(2)λT4−2T3+T2∆x2+S=0(3)一阶截差公式可由λdTdx+ℎ(T−T f)=0变形得到λ(T4−T3∆x)=h(T4−T f)再变形得到T4=[T3+h×∆xλT f]/(1+h×∆xλ)(4)二阶截差公式可以联立λT5−2T4+T3∆x2+S=0和λ(T5−T32∆x)=h(T4−T f),可得以下公式T4=[T3+∆x2S2λ+h×∆xλ]/(1+h×∆xλ)(5)分别联立2、3、4式与2、3、5式,把S=50×103W/m3,λ=10W/m∙℃,h=50 W/m∙℃,T f=25℃,T1=75℃,∆x= 1/30带入到式子中,则有联立2、3、4式的解为:T2=78.58℃,T3=76.59℃,T4=69.03℃联立3、4、5式的解为:T2=80.42℃,T3=80.28℃,T4=74.58℃对控制方程进行积分,并将边界条件带入,则有关于T的方程T=−2500x2+250x+75(6)把x2=130,x3=230,x3=0.1代入上述6式则有:T2=80.56℃,T3=80.56℃,T4=75.1℃相比之下,对右端点采用二阶截差的离散更接近真实值4-4解:对平板作如下分析:1 2 3 4 5 由左向右分别对点编号为1、2、3、4、5 控制方程与4-3相同,为λd 2tdx +S =0 (1)边界条件为X=0,T=75℃;X=0.1,λdTdx +ℎ(T −T f )=0;设1点和2点的距离为∆x ,另1点对2点进行泰勒展开,有d 2t dx =(T 1−T 2+dT dx ∆x )2∆x其中dT dx=T 3−T 22∆x,则有λ2T 1−3T 2+T 3∆x 2+S =0 (2)对3点进行离散有λT 4−2T 3+T 2∆x 2+S =0 (3)对右端点有: [a p +A 1ℎ+(δx )5λ]T 4=a w T 3+[S/∆x +AT f 1ℎ+(δx )5λ]代入数据有T 3−3T 2+155.56=0 T 4−2T 3+T 2=−5.56342.85T4-300T3=1681解得:T2=78.1℃,T3=78.7℃,T4=73.8℃由导热定律有T4−T3∆x =2T5−T4∆x则有T5=71.35℃4—12编写程序:M=rand(10,3)A=M(:,1);B=M(:,2);C=M(:,3);B(10)=0;C(1)=0;T=12:21;D(1)=A(1)*T(1)-B(1)*T(2)for i=2:9;D(i)= A(i)*T(i)-B(i)*T(i+1)-C(i)*T(i-1)endD(10)= A(10)*T(10)-C(10)*T(9);P(1)=B(1)/A(1);Q(1)= D(1)/A(1);for i=2:10;P(i)=B(i)/(A(i)-C(i)*P(i-1));Q(i)=(D(i)+C(i)*Q(i-1))/(A(i)-C(i)*P(i-1)); endfor i=10:-1:2;t(10)=Q(10);t(i-1)=P(i-1)*t(i)+Q(i-1);enddisp(D(1:10))disp(T(1:10))disp(t(1:10))运行结果:由运行结果可知:无论系数怎样变化,T与t都是一致的。
第四章 传热习题答案4-1一炉壁由三层不同材料组成,第一层为耐火砖,导热系数为1.7 W/(m·℃),允许最高温度为1450℃,第二层为绝热砖,导热系数为0.35 W/(m·℃),允许最高温度为1100℃,第三层为铁板,导热系数为40.7W/(m·℃),其厚度为6mm ,炉壁内表面温度为1350℃,外表面温度为220℃。
在稳定状态下通过炉壁的热通量为4652 W/m 2,试问各层应该多厚时才能使壁的总厚度最小?解:当绝热材料达到最高允许温度时,总壁厚为最小btq ∆=λ,q t b ∆=λ()mm m b 1920.09136/4652110013501.7==-⨯= 0.006/40.70.35/22011004652+-=2bmm m b 2660.066==因第二层绝热砖已达到最高温度,故第一层耐火砖的厚度不可再小,所以现在所得总厚为其最小厚度:mm b b b 32116466692min =++=++=δ4-2一根直径为φ60mm×3mm 的铝铜合金钢管,导热系数为45 W/(m·℃)。
用30mm 厚的软木包扎,其外又用30mm 厚的保温灰包扎作为绝热层。
现测得钢管内壁面温度为-110℃,绝热层外表面温度10℃。
求每米管每小时散失的冷量。
如将两层绝热材料位置互换,假设互换后管内壁温度及最外保温层表面温度不变,则传热量为多少?已知软木和保温灰的导热系数分别为0.043和0.07W/(m·℃)。
解:()()mW 34.4m W 3060/2303060/2ln 0.07160/23060/2ln 0.0431/2326060/2ln 451101103.142ln ln ln -=++++++⨯---⨯⨯=++-=34323212141r r 21r r 21r r 21t t L Q πλπλπλ两层互换位置后,热损失为()()mW 39m W 3060/2303060/2ln 0.043160/23060/2ln 0.071/2326060/2ln 451101103.142ln 2ln 2ln 2-=++++++⨯---⨯⨯=++-=34323212141r r 1r r 1r r 1t t L Q πλπλπλ4-3一炉壁面由225mm 厚的耐火砖,120mm 厚的绝热转及225mm 厚的建筑转所组成。
第四章《传热》练习题一、选择题1、关于传热系数K,下述说法中错误的是()A、传热过程中总传热系数K实际是个平均值;B、总传热系数K随着所取的传热面不同而异;C总传热系数K可用来表示传热过程的强弱,与冷、热流体的物性无关;D要提高K值,应从降低最大热阻着手;答案:C2、揭示了物体辐射能力与吸收率之间关系的定律是()。
A、斯蒂芬-波尔兹曼定律; C 、折射定律;B、克希霍夫定律; D 、普郎克定律;答案:B3、在确定换热介质的流程时,通常走管程的有(),走壳程的有()。
A、高压流体;B、蒸汽; C 、易结垢的流体;D、腐蚀性流体;E、粘度大的流体;F、被冷却的流体;答案:A C D; B、E、F4、影响对流传热系数的因素有()。
A、产生对流的原因;B、流体的流动状况;C流体的物性;D流体有无相变;E、壁面的几何因素;答案:A、B、C D、E5、某套管换热器,管间用饱和水蒸气将湍流流动的空气加热至指定温度,若需进一步提高空气出口温度,拟将加热管管径增加一倍(管长、流动状态及其他条件均不变),你认为此措施是()。
A、不可行的;B、可行的;C、可能行,也可能不行;D视具体情况而定;答案:A解:原因是:流量不变d2u二常数2当管径增大时,a. U * I / d ,'0.8 0.2 1.8 u /d T/daC b. d增大时,a增大,对于该系统KA 1 me p K A —ln 口 T -t 2V = —d u =常数根据连续性方程,流量不变时, 4 ,所以管径变化,管内流速也发生变化。
管间用饱和水蒸气加热, 小,可以忽略不计,总热阻近似等于管内传热热阻,即 K :-:6、对下述几组换热介质,通常在列管式换热器中K 值从大到小正确的排列顺序应是()。
A 、②〉④曲>①;B ③>@ '②〉①;C 、③ '② '① > ④;D 、②〉③>@ >①; 冷流体 热流体①水气体②水沸腾 水蒸气冷凝 ③水 水 ④水 轻油答案:D综合以上结果,1.81/ d ,管径增加,■ A 下降根据mCPt2 t1KA A t mKA t mT -t 2T -t i In则 T -t 2 t 2= 本题在于灵活应用管内强制湍流表面传热系数经验关联式: N u = 0.023Re Pr",即物性一定时,:■乂 u 0-7 8/d 0-2。
四传热单层平壁导热4.1 红砖平壁墙,厚度为500 mm,一侧温度为200 ℃,另一侧温度为30 ℃,设红砖的平均导热系数可取0.57 W/(m·℃),试求:(1)单位时间,单位面积导过的热量q为多少W/m2,并换算成工程单位制kCal/ (m2·h) 。
(2)距离高温侧350 mm处的温度为多少?(3)如红砖导热系数与温度关系可表示为:λ=0.51+5×10 -4t,则q又为多少?多层平壁导热4.2 某燃烧炉的炉墙由三种砖依次砌成:第一层为耐火砖,厚b1=0.23 m,λ1=1.05 W/(m·℃);第二层为绝热砖,λ2 =0.151 W/(m·℃);第三层为普通砖,b3 =0.24 m,λ3 =0 .93 W/(m·℃)。
若已知耐火砖内侧温度为1000 ℃,耐火砖与绝热砖接触处温度为940 ℃,绝热砖与普通砖接触面温度不得超过138℃;试求:(1)绝热砖层的厚度;(2)普通砖外侧温度。
4.3 平壁炉壁由三种材料组成,其厚度和导热系数如下:序号材料厚度b(mm)导热系数λ(W/m·℃)1(内层)耐火砖200 1.072 绝热砖100 0.143 钢板 6 45若耐火砖层内表面温度t1=1150 ℃,钢板外表面温度t4 =30 ℃,试计算导热的热通量。
又实测通过炉壁的热损失为300 W/m2,如计算值与实测不符,试分析原因并计算附加热阻。
多层圆筒导热4.4 一外径为100 mm的蒸汽管,外包一层50 mm绝热材料A,λA =0.07 W/(m·℃),其外再包一层25 mm的绝热材料B,λB =0.087 W/(m·℃)。
设A的内侧温度为170 ℃,B外侧温度为38 ℃。
试求每米管上的热损失及A、B界面的温度。
4.5 Φ60×3 mm铝合金管(其导热系数可取为45 W/(m·℃)),外包一层厚30 mm石棉,之外再包一层厚30 mm的软木,石棉和软木的导热系数分别为0.16 W/(m·℃)和0.04 W/(m·℃) 。
第四章的习题及答案4-1 设有一台锅炉,水流入锅炉是之焓为62.7kJ ·kg -1,蒸汽流出时的焓为2717 kJ ·kg -1,锅炉的效率为70%,每千克煤可发生29260kJ 的热量,锅炉蒸发量为4.5t ·h -1,试计算每小时的煤消耗量。
解:锅炉中的水处于稳态流动过程,可由稳态流动体系能量衡算方程:Q W Z g u H s +=∆+∆+∆221体系与环境间没有功的交换:0=s W ,并忽 动能和位能的变化, 所以: Q H =∆设需要煤mkg ,则有:%7029260)7.622717(105.43⨯=-⨯m解得:kg m 2.583=4-2 一发明者称他设计了一台热机,热机消耗热值为42000kJ ·kg -1的油料0.5kg ·min -1,其产生的输出功率为170kW ,规定这热机的高温与低温分别为670K 与330K ,试判断此设计是否合理?解:可逆热机效率最大,可逆热机效率:507.06703301112max =-=-=T T η 热机吸收的热量:1m in210005.042000-⋅=⨯=kJ Q热机所做功为:1m in 102000m in)/(60)/(170-⋅-=⨯-=kJ s s kJ W该热机效率为:486.02100010200==-=Q W η 该热机效率小于可逆热机效率,所以有一定合理性。
4-3 1 kg 的水在1×105 Pa 的恒压下可逆加热到沸点,并在沸点下完全蒸发。
试问加给水的热量有多少可能转变为功?环境温度为293 K 。
解:查水蒸气表可得始态1对应的焓和熵为:H 1=83.93kJ/kg, S 1=0.2962kJ/kg.K 末态2对应的焓和熵为:H 2=2675.9kJ/kg, S 2=7.3609kJ/kg.K)/(0.259293.839.267512kg kJ H H Q =-=-=)/(0.522)2962.03609.7(15.2930.25920kg kJ S T H W sys id =-⨯-=∆-∆=4-4如果上题中所需热量来自温度为533 K 的炉子,此加热过程的总熵变为多少?由于过程的不可逆性损失了多少功? 解:此时系统的熵变不变)./(0647.7K kg kJ S sys =∆炉子的熵变为)./(86.45330.2592K kg kJ T H T Q S sur -=-=∆-==∆ )./(205.286.40647.7K kg kJ S t =-=∆ )/(0.646205.215.2930kg kJ S T W t l =⨯=∆=4-5 1mol 理想气体,400K 下在气缸内进行恒温不可逆压缩,由0.1013MPa 压缩到1.013MPa 。
第四章 传热习题答案4-1一炉壁由三层不同材料组成,第一层为耐火砖,导热系数为1.7 W/(m·℃),允许最高温度为1450℃,第二层为绝热砖,导热系数为0.35 W/(m·℃),允许最高温度为1100℃,第三层为铁板,导热系数为40.7W/(m·℃),其厚度为6mm ,炉壁内表面温度为1350℃,外表面温度为220℃。
在稳定状态下通过炉壁的热通量为4652 W/m 2,试问各层应该多厚时才能使壁的总厚度最小?解:当绝热材料达到最高允许温度时,总壁厚为最小btq ∆=λ,q t b ∆=λ()mm m b 1920.09136/4652110013501.7==-⨯= 0.006/40.70.35/22011004652+-=2bmm m b 2660.066==因第二层绝热砖已达到最高温度,故第一层耐火砖的厚度不可再小,所以现在所得总厚为其最小厚度:mm b b b 32116466692min =++=++=δ4-2一根直径为φ60mm×3mm 的铝铜合金钢管,导热系数为45 W/(m·℃)。
用30mm 厚的软木包扎,其外又用30mm 厚的保温灰包扎作为绝热层。
现测得钢管内壁面温度为-110℃,绝热层外表面温度10℃。
求每米管每小时散失的冷量。
如将两层绝热材料位置互换,假设互换后管内壁温度及最外保温层表面温度不变,则传热量为多少?已知软木和保温灰的导热系数分别为0.043和0.07W/(m·℃)。
解:()()mW 34.4m W 3060/2303060/2ln 0.07160/23060/2ln 0.0431/2326060/2ln 451101103.142ln ln ln -=++++++⨯---⨯⨯=++-=34323212141r r 21r r 21r r 21t t L Q πλπλπλ两层互换位置后,热损失为()()mW 39m W 3060/2303060/2ln 0.043160/23060/2ln 0.071/2326060/2ln 451101103.142ln 2ln 2ln 2-=++++++⨯---⨯⨯=++-=34323212141r r 1r r 1r r 1t t L Q πλπλπλ4-3一炉壁面由225mm 厚的耐火砖,120mm 厚的绝热转及225mm 厚的建筑转所组成。
第四章 传 热热传导【4-1】有一加热器,为了减少热损失,在加热器的平壁外表面,包一层热导率为(m·℃)、厚度为300mm 的绝热材料。
已测得绝热层外表面温度为30℃,另测得距加热器平壁外表面250mm 处的温度为75℃,如习题4-1附图所示。
试求加热器平壁外表面温度。
解 2375℃, 30℃t t ==计算加热器平壁外表面温度1t ,./()W m λ=⋅016℃ (1757530025005016016)t --= ..145025********t =⨯+=℃【4-2】有一冷藏室,其保冷壁是由30mm 厚的软木做成的。
软木的热导率λ= W/(m·℃)。
若外表面温度为28℃,内表面温度为3℃,试计算单位表面积的冷量损失。
解 已知.(),.123℃, 28℃, =0043/℃ 003t t W m b m λ==⋅=,则单位表面积的冷量损失为【4-3】用平板法测定材料的热导率,平板状材料的一侧用电热器加热,另一侧用冷水冷却,同时在板的两侧均用热电偶测量其表面温度。
若所测固体的表面积为0.02m 2,材料的厚度为0.02m 。
现测得电流表的读数为2.8A ,伏特计的读数为140V ,两侧温度分别为280℃和100℃,试计算该材料的热导率。
解 根据已知做图热传导的热量 .28140392Q I V W =⋅=⨯=.().()12392002002280100Qb A t t λ⨯==-- 【4-4】燃烧炉的平壁由下列三层材料构成:耐火砖层,热导率λ=(m·℃),厚度230b mm =;绝热砖层,热导率λ=(m·℃);普通砖层,热导率λ=(m·℃)。
耐火砖层内侧壁面温度为1000℃,绝热砖的耐热温度为940℃,普通砖的耐热温度为130℃。
(1) 根据砖的耐热温度确定砖与砖接触面的温度,然后计算绝热砖层厚度。
若每块绝热砖厚度为230mm ,试确定绝热砖层的厚度。
第四章填空题:1、传热的基本方式有 、 和 三种。
2、导热系数的物理意义是 ,它的单位是 。
3、各种物体的导热系数大小顺序为 。
4、在湍流传热时,热阻主要集中在 ,因此,减薄该层的厚度是强化 的重要途径。
5、在间壁式换热器中,间壁两边流体都变温时,两流体的流动方向有 、 、 和 四种。
6、无相变时流体在圆形直管中作强制湍流传热,在α=0.023λ/diRe 0.8Pr n 公式中,n 是为校正 的影响。
当流体被加热时,n 取 ,被冷却时n 取 。
7、某化工厂,用河水在一间壁式换热器内冷凝有机蒸汽,经过一段时间运行后,发现换热器的传热效果明显下降,分析主要原因是 。
8、当管壁及污垢热阻可忽略时,薄管壁求K 公式可简化为:10111αα+=K 此时若10αα<<,则有 。
9、努塞尔特准数Nu 表示 的准数,其表达式为 ,普兰特准数Pr 表示 的准数,其表达式为 。
10、蒸汽冷凝有 和 两种方式。
11、总传热系数的倒数K1代表 ,提高K 值的关键是 。
12、在卧式管壳式换热器中,用饱和水蒸气加热原油,则原油宜走 程,而总传热系数K 接近于 的对流传热系数13、在管壳式换热器中,当两流体的温差超过 时就应该采取热补偿措施。
其基本形式有 、 和 。
14、写出四种间壁式换热器的名称 、 、 及 。
选择题:1、两流体可作严格逆流的换热器是( )A 板翅式换热器B U 型管式列管换热器C 浮头式列管换热器D 套管式换热器2、管壁及污垢热阻可略,对薄管壁来说,当两流体对流体热系数相差悬殊时(如0αα>>i ),为有效提高K 值,关键在于( ) A 提高i α B 提高0α C 减小垢层热阻 D 提高管内流体流量3、双层平壁定态热传导,两层壁厚面积均相等,各层的导热系数分别为1λ和2λ,其对应的温度差为1t ∆和2t ∆,若1t ∆>2t ∆,则1λ和2λ的关系为( ) A 1λ<2λ B 1λ>2λ C 1λ=2λ D 无法确定4、空气、水、铁的导热系数分别是λ1、λ2和λ3,其大小顺序是( ) A λ1>λ2>λ3 B λ1<λ2<λ3 C λ2>λ3>λ1 D λ2<λ3<λ15、对流体热速率=系数×推动力,其中推动力是()A 两流体的温度差B 流体与壁面(或反之)间的温度差C 同一流体的温度差D 流体的速度差6、计算液体无相变时在圆直管内对流传热系数,若可采用公式nr p Nu 8.0Re 023.0=,式中指数n 为( )A 0.4B 0.3C 被加热时为0.4,被冷却时为0.3D 被加热时为0.3,被冷却时0.4 7、水在无相变时在原直管中强制湍流,对流传热系数i α为1000W/(m 2.℃)若将水的流量增加1倍,而其他条件不变,则i α为( ) A 2000 B 1741 C 不变 D 5008、对间壁两侧流体一侧恒温,另一侧变温的传热过程,逆流和并流时m t ∆大小为( )A 逆m t ∆>并m t ∆B 逆m t ∆<并m t ∆C 逆m t ∆=并m t ∆D 无法确定判断题:1、保温材料应采用导热系数小的材料制作( )2、管壳式换热器的传热面积既是管子截面积,可按照24i d n S π=来计算( )3、在对流传热时,热阻主要集中在缓冲层( )4、导热系数λ,对流传热系数α及总传热系数K 都是表征物质性能的参数()5、对于符合121)11(-+≈ααK 情况来说,若21αα<<时,要提高K 值时则主要用提高1α的值( )6、换热器应采用导热系数大的材料来制造( )7、管壳式换热器设计时,腐蚀性的流体宜走管程( ),而饱和水蒸气冷凝时宜走壳程( )计算题:1、某炉壁由下列三种材料组成,内层是耐火砖,()℃./4.11m W =λ,mm b 2301=;中间是保温砖,()℃./15.02m W =λ,mm b 1152=;最外层是建筑砖,()℃./8.03m W =λ,mm b 2303=。
今测得其内壁温度℃9001=t ,外壁温度℃804=t 。
求(1)通过炉墙单位面积的热损失2/m W 。
(2)各层的温差。
(3)各层接触面的温度。
(假设各层接触良好)2、在一台套管式换热器中,用热水加热冷水。
热水流量为2000h Kg /,进口温度为80℃,冷水流量为3000h Kg /,进口温度为10℃,热损失可略,且热水和冷水的比热容相等,都取为4.187()℃//Kg KJ 。
求(1)若要求将冷水加热到30℃,此时并流和逆流的平均温度差m t ∆。
(2)若要将冷水加入到40℃,采用并流能否完成任务?(计算后说明)3、有一列管换热器由Φ25×2.5mm ,长为3m 的60根钢管组成。
热水走管内,其进、出口温度分别为70℃和30℃;冷水走管间,其进、出口温度分别为20℃和40℃,冷水流量为1.2 Kg/s 。
两流体作逆流流动,假设热水和冷水的平均比热容均为4.2 KJ/(Kg·℃),换热器的热损失可略。
求:总传热系数K 0。
4、某列管换热器由Φ25×2.5mm 的钢管组成。
热空气流经管程,冷却水在管外与空气逆流流动。
已知管内空气一侧的αi 为50 W/(m 2·℃),污垢热阻R si 为0.5×10-3(m 2·℃)/ W ;水侧的α0为1000 W/(m 2·℃),污垢热阻R so 为0.2×10-3(m 2·℃)/ W 。
⑴求基于管外表面积的总传热系数K 0⑵若管壁和污垢热阻可略①将αi 提高一倍②将α0提高一倍,分别计算K 0值。
5、某列管式冷凝器的列管直径为Φ25×2.5mm 。
管内通冷却水,流量为2.5Kg/s 。
在新使用时,冷却水的进、出口温度分别为20℃和30℃。
使用一段时间后,由于生成垢层,在冷却水进口温度和流量不变得情况下,冷水出口温度降为26℃。
已知换热器的传热面积S 0为16.5m 2,有机蒸汽的冷凝温度为80℃(有机蒸汽在管外冷凝),求水垢层的热阻。
6、某列管式换热器由多根Φ25×2.5mm 的钢管所组成。
某液体走管内,由20℃加热到55℃,其流量为15吨/时,流速为0.5m/s ,比热容为1.76KJ/(Kg·℃),密度为858 Kg/m 3。
加热剂为130℃的饱和水蒸汽,在管外冷凝。
已知基于外表面积的总传热系数K 0为774K/(m 2·℃)。
求⑴此换热器所需管数n 。
⑵单管长度L 。
答案:1、热传导 热对流 热辐射 2、单位温度梯度下的热传导通量,W/(m ﹒℃) 3、金属λ﹥非金属固体λ﹥液体λ﹥气体λ。
4、滞流内层 对流传热 5、并流 逆流 错流 折流 6、热流方向、0.4 、0.37、传热壁面上形成污垢、产生附加热阻、使K 值下降。
8、0α≈K (1分) 9、对流传热系数 、λαl Nu =、物性影响、 λμP C =Pr 10、膜状冷凝,滴状冷凝11、间壁两侧流体间传热的总热阻、设法减小起决定作用的分热阻 12、管 , 原油13、50℃ 、带补偿圈的固定管极式 、U 型管式 、浮头式 14、套管式、管壳式、平板式、翅片管式 选择题:1、D2、B3、A4、B5、B6、C7、B8、C 判断题:1、√2、×3、×4、×5、√6、×7、√8、√9、√、√ 计算题:1、解:设2t 为耐火砖和保温砖之间接触面的温度。
3t 为保温砖和建筑砖之间接触面的温度。
(1) 由多层平壁定态热传导公式可以导出q :233221141673288.0767.0164.08208.023.015.0115.04.123.080900mW b b b t t S Q q =++=++-=++-==λλλ(3分)(2)1t ∆、2t ∆、3t ∆分别为耐火砖层,保温砖层和建筑砖层的温差。
因是多层平壁的定态热传导,故q q q q ===321(1分)由111λb t q ∆=可得,℃6.1104.123.0673111=⨯==∆λb qt (1分)℃0.51615.0115.0673.222=⨯==∆λb q t (1分) ℃5.1938.023.0673.333=⨯==∆λb q t (1分) (3)℃4.7896.110900112=-=∆-=t t t (1分)℃4.2730.5164.789223=-=∆-=t t t (1分)2、解(1)求并流和逆流时的m t ∆① 先求都已知℃,此时1122,,,,30,t T W W c c t T c h pc ph == ()(),把已知量代入:1221Q t t c W T T C W pc c ph h -=-=()()分)℃(,可解出350103036003000803600200022=-⨯=-⨯T c T c pc ph ② 求m t ∆并流:207030105080=,=小大t t ∆∆→→ ℃-=-小大小大9.392070ln 2070ln =∆∆∆∆=∆t t t t t m (2分)逆流:)(2 45240502225.14050405010305080分℃故,,因,小大小大小大=+=∆+∆=∆<==∆∆=∆=∆←→t t t t t t t m (2)采用并流冷却水可能达到的最高温度受到限制,在极限情况下,2max 2T t =(1分)由热量衡算式可得:()()pc ph pc c ph h c c t t c W t T c W =-=-,但1max 2max 21,即有:℃3836003000360020003600300010360020008011max 2=+⨯+⨯=++=ch ch W W W t W T t (3分) 说明:要将冷水加热到38℃以上,采用并流是无法完成的。
(要加热到40℃,根本无法完成)(1分)3、解:由总传热速率方程可知: 0K =mt S Q∆0 ⑴求Q,当Q 损=0时,()()()分21001.12040102.42.15312wt t C W Q PC C ⨯=-⨯⨯⨯=-=⑵求S 0。
()分213.143025.014.360200m L d n S =⨯⨯⨯==π⑶求逆m t ∆。
20403070←→10,30=∆=∆⇒小大t t2.1810301030=-=∆∆∆-∆=∆n nm t t t t t λλ小大小大逆℃ ⑷3932.1813.141001.1500=⨯⨯=∆=m t S Q K w/(m 2•℃)4、解:⑴求K 0.())5(/2.370269.0110001102.00225.0025.0450025.002.0025.0105.002.050025.011123300000分℃⋅==+⨯+⨯+⨯⨯+⨯=++⋅++=--m W R d d b d d R d d K SO m i si i i αλα ⑵当管壁和污垢热阻可略,① 且()℃⋅=⨯==2'/1005022m W i i αα则()℃⋅==+⨯=+=2'00/740135.011000102.0100025.01110m W d d K i i αα(2分)②将0α提高一倍,即()℃⋅=⨯==20'/2000100022m W αα 此时()℃⋅==+⨯=+=2'00/390255.012000102.050025.0111m W d d K i i αα5、解:(1)换热器新使用时:①w t t c w Q pc e 3312107.104)2030(10187.45.2)(⨯=-⨯⨯⨯=-⋅= (2分)②8.5430802080ln )3080()2080(ln=-----=∆∆∆-∆=∆小大小大t t t t t m ℃ (2分)③)/(1168.545.16107.1042300℃⋅=⨯⨯=∆=m w t S Q K m (2分)④总热阻为w /m 1062.81161K 1R 230℃)(===⋅⨯- (1分) (2)换热器使用一段时间后:①w t t c w Q pc e 3312108.62)2026(10187.45.2)(⨯=-⨯⨯⨯=-'⋅=' (1分) ②9.5626802080ln )2680()2080(ln =-----='∆∆'∆-∆='∆小大小大t t t t t m℃ (1分) ③)/(9.669.565.16108.622300℃⋅=⨯⨯='∆'='m w t S Q K m (1分)④此时总热阻为w /m 1049.19.661K 1R 22℃)(===⋅⨯''- (1分) (3)水垢层热阻si R :33201028.61062.81049.1---⨯=⨯-⨯=-'=⨯R R d d R isi w /m 2℃)(⋅ (1分) 故00502.0025.002.01028.63=⨯⨯=-si R w /m 2℃)(⋅ (1分) 6、解:(1)由流量方程式求所需管数n 。