MCA图纸K3500465日立电梯MCA图纸K3500465
- 格式:pdf
- 大小:16.76 MB
- 文档页数:111
DCO门停止VFM(H)G、HVF、NPX DIGITAL CPI轿内数字式显示全梯种DM1电感线圈YPVFDM37副安全触板端接开关G(H)VFDMR门机调速电阻G(H)VFDMS门机减速开关G(H)VFDOWM司机操作下行按钮G(H)VF 、YPVF DRFFB AUX门机用FFB开关VFM(H)G、HVF DSB厅门门锁开关短接VFM(H)G、HVF、NPX EFS各层停开关全梯种EH-OOM对讲机主机6V VFM(H)G、HVF、NPX EHS-OOM轿内对讲机6V VFM(H)G、HVF、NPX ESGA差动变压器电源装置全梯种EW-D差动变压器全梯种EZ-PS轿内对讲机电源24V全梯种EZS-RH轿内对讲机VFM(H)G、HVF、NPXF RET消防返回继电器G(H)VFF TR分扇变压器G(H)VFFDB分频板G(H)VFFDI层楼指示器G(H)VFFFB主电源开关全梯种FILC滤波电容器YPVF、VFM(G)、HVF、NPX FILR滤波电阻YPVF、VFM(G)、HVF、NPX FIO输入输出电子板YPVFFLASH TYPE CPI轿内指层灯YPVF FLS双向可控硅G(H)VFFML平层感应器全梯种FMS手动层高测定开关G(H)VFFTH温度感应器VFM(G)、HVFGK井道照明开关YPVFGS轿门开关全梯种H48A输入输出电子板VFM(H)G、HVF、NPX HAD起动补偿电子板VFM(H)G、HVF、NPX HALL B厅外召唤按钮YPVFHATCH J BOX中线箱YPVF HBS厅外召唤按钮VFM(H)G、HVF、NPX HCTA霍尔护感器过电流检出YPVF、VFM(G)、HVF、NPH HCTU,HCTV霍尔护感器过电压检出YPVF、VFM(G)HKRY继电器保持电子板VFM(G)、HVF、NPX HLN厅外串行通信电子板VFM(G)、HVF、NPX HSDS超声波探测器VFM(G)、HVF、NPXI.LIGHT检修灯开关VFM(G)、HVF、NPXICBD电流指令电子板VFM(G)、HVF IHZ对讲机回馈信号装置VFM(G)、HVF、NPX IND指示回路闸刀开关全梯种INSPECT-LIGT检修灯开关YPVINTERPHONE 对讲机电源YPV INV变频器全梯种INV3-2GD基极驱动电子板NPXINV-FAN变频器风扇YPVF、VFM(G)、HVF、NPX INV-SNB逆变器电容、电阻电子板VFM(H)G、HVF IOCB输入输出电子板NPXIPM智能功能模块NPXK.SW闸刀开关VFM(G)、HVF、NPX LAN局部网络VFM(G)、HVF、NPX LDM-MIBD无连杆门机电子板 VFM(G)、HVF LDM-SNB门机电容电阻电子板 VFM(G)、HVF。
日立电梯图纸元件代码1 A 门电机 YPVF2 ACR 电流控制调整电子板 YPVF、VFM(H)G、HVF、NPX3 AD 模数电子板 YPVF4 ALARM 警铃按钮 GVF5 ALP 停电柜全梯种6 AM 电流表 VFM(H)G、HVF7 AMP 增幅器 NPX8 ATD 司机下行按钮全梯种9 ATT 司机开关全梯种10 ATU 司机上行按钮全梯种11 AVR 自动稳压电源 YPVF、VFM(G)、HVF、NPX12 B951—CSD 轿顶电器箱数字显示电子板 NPH13 B.CON 信号网转换电子板 VFM(H)G、HVF、NPX14 BD 基极驱动 VFM(H)G、HVF15 BDR 抱闸电阻 VFM(H)G、HVF、NPX、G(G)VF16 BD—TR 基极驱动变压器 VFM(H)G、HVF、NPX、G(H)VF17 BELL 警铃全梯种18 BGM 背景音乐装置 VFM(H)G、HVF、NPX19 BSR 抱闸电阻 VFM(H)G、HVF、NPX、G(G)VF20 BZ 蜂鸣器全梯种21 CAGE.B。
L 内指令应答信号灯 YPVF22 CALL 对讲机呼叫按钮 YPVF23 CAM 防止手动开门装置 VFM(H)G、HVF、NPX24 CDS 关门减速开关 VFM(H)G、HVF、NPX25 CFR CFC 制动器阻容组件 YPVF26 CLN 轿厢串行通信电子板 VFM(H)G、HVF、NPX27 CLOSE 关门按钮全梯种28 CLS 关门限位开关 YPVF、G(H)VF29 CNV 整流器 YPVF、VFM(G)、HVF、NPX30 CONTROL-1 AC100V电源保险丝 YPVF31 CONTROL-2 多重回路电源保险丝 YPVF32 CONTROL—3 光电装置电源保险丝 YPVF33 COUNT 计数器全梯种34 CP 控制柜全梯种35 CP—FAN 大功率逆变器冷却分扇 YPVF、VFM(G)、HVF、NPX36 CPI 轿内指示器全梯种37 CR 阻容组件 YPVF38 CRS 阻容组件 YPVF39 CRU2 阻容组件 YPVF40 D1-D4 二极管 YPVF 41 D2 二极管桥堆 YPVF42 DBR 制动电阻 G(H)VF43 DCO 门停止 VFM(H)G、HVF、NPX44 DIGITAL CPI 轿内数字式显示全梯种45 DLS 下终端限位开关全梯种46 DM1 电感线圈 YPVF47 DM37 副安全触板短接开关 G(H)VF48 DM 门电机 G(H)VF49 M.MOTOR 门电机 VFM(H)G、HVF、NPX50 DMC。
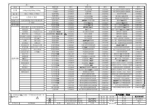
表二项目图纸名称图号图纸名称图号图纸名称图号主回路113520821副门机回路13529243副门轿顶电器箱内部配线C0004153主回路213520822交流回路13520845副门轿顶电器箱内部配线C0014030速 度电源回路113520823报警回路13529242轿内照明回路13526052电源回路213520824元件排列图113520847轿顶感应器配置图13507520电源回路2B C0000866元件排列图213520848轿底称重装置配置图13504153控制方式电源回路313520826OPTION元件排列图C0001074操纵箱MLC接线13529251适用层站控制回路113520827控制柜MLC表113520857副操纵箱MLC接线135160981m/s 、1.5m/s 、1.75m/s 630kg/825kg/900kg/1050kg 6.7KW/11.7KW 交流变频调速 单控/并联/群管理2~48站表一负 载电动机规格基本功能控制回路1B 13529102控制柜MLC表213520858副门主操纵箱MLC接线C0001068消防员操作自动自发电控制控制回路213520828OPTION柜MLC表C0011206副门副操纵箱MLC接线C0015049消防返回不停层控制回路313529244TK端子表13520856残疾人操纵箱MCL接线及DIP设置13516268司机操作厅外报站钟 (灯)控制回路4(SCLC3)13520830机房配线系统图13520849操纵箱上部接线13524998微动平层专用运行控制回路4B(SCLC2/C5)13526361机房大线图13520853操纵箱中部接线13516269光电保护(光幕)厅外信号灯控制回路513520831机房细线图13520854操纵箱开关接线13529245手动自发电控制轿内IC卡控制回路613520832机房地线图13520855残疾人操纵箱中部接线13516262泊梯独立运行控制回路713520833CA09-ALP系统图13520867主、副、残操纵箱通讯系统图13516266语音报站高峰运行控制回路813520834电缆配线系统图13515438主、副、残操纵箱通讯系统图C0015082轿内报站钟外加运行计数控制回路8B C0000867并联及群管理配线图13526470SCLB3板DIP设置13517875K 停电自救电梯服务支援系统(无线遥监)控制回路8C C0000868系统DIP开关设置图13526475对讲系统通讯线连接图13511282平层预开门残疾人操纵箱控制回路8D C0000869井道配线系统图113520850数字对讲系统接线示意图C0003309远程监控接口厅外IC卡控制回路913520835井道配线系统图213520851对讲系统接线图13508670延长开门控制回路9B C0011207井道开关接线图13507522轿内串行IC卡控制回路13529372副操纵箱控制回路1013520836井道极限开关配置图13504154厅外串行IC卡控制回路C0004652BA 接口信号回路113520837井道接线(SCL1)13514632IC卡功能工程接线图C0004800外召内显信号回路213520838井道接线(SCLC)13515442串行IC卡DIP设置14513713简易监视屏信号回路313520839井道接线(SCLC3)13520859电梯服务支援系统(无线遥监)工程配线图C0007942双开门信号回路3B13527543井道接线(HSB)13517029电梯服务支援系统(无线遥监)接线图C0007955监控接口信号回路413520840SCL-C3通讯板楼层ID设置13517394电脑监视系统工程接线图13505377轿内误指令取消信号回路4C13520841外召串行通讯板DIP开关设置13514891监视屏工程接线(环宇二线制)13512799选择功能J 微机监视屏信号回路4D13526389轿厢配线系统图13520852监视屏工程接线(日滨二线制) 13524997信号回路4E13526390轿顶电器箱接线图13520862视频电缆与视频传输器接线图13511971信号回路513520842轿顶电器箱配线系统图13529246厅外液晶显示器原理图13529222信号回路5B13527544轿顶电器箱配线系统图C0000283彩色液晶工程追加配线14501520信号回路5C13526391轿顶电器箱内部标准配线13529247RS300T终端中继箱接线图13505378信号回路5D13527545轿顶电器箱内部标准配线C0000284RS400T中心中继箱接线图13505379门机回路13527224轿顶电器箱内部追加配线113523856井道与机房照明回路C0003278副门机回路C0000282副门轿顶电器箱接线图C0001069消防电梯机房配线示意图C0014720门机回路13520843副门轿顶电器箱配线系统图C0001067 电气回路一览表J J备 编 制 编 号注1ECN-C00391297林灼宇 2012-09-07 校 对 名 称4ECN-C00334369陈春梅 2012-03-28 审 核 梯 种参考表号 标 记 处 数修改文件号 签 名 日 期 日 期 版 本1.本图册适应MCA小规格(不带能量反馈功能)和MCA-F电梯。
日立电梯图纸元件代码1 A 门电机YPVF2 ACR 电流控制调整电子板YPVF、VFM(H)G、HVF、NPX3 AD 模数电子板YPVF4 ALARM 警铃按钮GVF5 ALP 停电柜全梯种6 AM 电流表VFM(H)G、HVF7 AMP 增幅器NPX8 ATD 司机下行按钮全梯种9 ATT 司机开关全梯种10 ATU 司机上行按钮全梯种11 AVR 自动稳压电源YPVF、VFM(G)、HVF、NPX12 B951-CSD 轿顶电器箱数字显示电子板NPH13 B.CON 信号网转换电子板VFM(H)G、HVF、NPX14 BD 基极驱动VFM(H)G、HVF15 BDR 抱闸电阻VFM(H)G、HVF、NPX、G(G)VF16 BD-TR 基极驱动变压器VFM(H)G、HVF、NPX、G(H)VF17 BELL 警铃全梯种18 BGM 背景音乐装置VFM(H)G、HVF、NPX19 BSR 抱闸电阻VFM(H)G、HVF、NPX、G(G)VF20 BZ 蜂鸣器全梯种21 CAGE。
B。
L 指令应答信号灯YPVF22 CALL 对讲机呼叫按钮YPVF23 CAM 防止手动开门装置VFM(H)G、HVF、NPX24 CDS 关门减速开关VFM(H)G、HVF、NPX25 CFR CFC 制动器阻容组件YPVF26 CLN 轿厢串行通信电子板VFM(H)G、HVF、NPX27 CLOSE 关门按钮全梯种28 CLS 关门限位开关YPVF、G(H)VF29 V 整流器YPVF、VFM(G)、HVF、NPX30 CONTROL-1 AC100V电源保险丝YPVF31 CONTROL-2 多重回路电源保险丝YPVF32 CONTROL-3 光电装置电源保险丝YPVF33 COUNT 计数器全梯种34 CP 控制柜全梯种35 CP-FAN 大功率逆变器冷却分扇YPVF、VFM(G)、HVF、NPX36 CPI 轿指示器全梯种37 CR 阻容组件YPVF38 CRS 阻容组件YPVF39 CRU2 阻容组件YPVF40 D1-D4 二极管YPVF 41 D2 二极管桥堆YPVF42 DBR 制动电阻G(H)VF43 DCO 门停顿VFM(H)G、HVF、NPX44 DIGITAL CPI 轿数字式显示全梯种45 DLS 下终端限位开关全梯种46 DM1 电感线圈YPVF47 DM37 副平安触板短接开关G(H)VF48 DM 门电机G(H)VF49 M.MOTOR 门电机VFM(H)G、HVF、NPX50 DMC。
日立电梯图纸元件代码1 A 门电机 YPVF2 ACR 电流控制调整电子板 YPVF、VFM(H)G、HVF、NPX3 AD 模数电子板 YPVF4 ALARM 警铃按钮 GVF5 ALP 停电柜全梯种6 AM 电流表 VFM(H)G、HVF7 AMP 增幅器 NPX8 ATD 司机下行按钮全梯种9 ATT 司机开关全梯种10 ATU 司机上行按钮全梯种11 AVR 自动稳压电源 YPVF、VFM(G)、HVF、NPX12 B951-CSD 轿顶电器箱数字显示电子板 NPH13 B.CON 信号网转换电子板 VFM(H)G、HVF、NPX14 BD 基极驱动 VFM(H)G、HVF15 BDR 抱闸电阻 VFM(H)G、HVF、NPX、G(G)VF16 BD-TR 基极驱动变压器 VFM(H)G、HVF、NPX、G(H)VF17 BELL 警铃全梯种18 BGM 背景音乐装置 VFM(H)G、HVF、NPX19 BSR 抱闸电阻 VFM(H)G、HVF、NPX、G(G)VF20 BZ 蜂鸣器全梯种21 CAGE。
B。
L 内指令应答信号灯 YPVF22 CALL 对讲机呼叫按钮 YPVF23 CAM 防止手动开门装置 VFM(H)G、HVF、NPX24 CDS 关门减速开关 VFM(H)G、HVF、NPX25 CFR CFC 制动器阻容组件 YPVF26 CLN 轿厢串行通信电子板 VFM(H)G、HVF、NPX27 CLOSE 关门按钮全梯种28 CLS 关门限位开关 YPVF、G(H)VF29 CNV 整流器 YPVF、VFM(G)、HVF、NPX30 CONTROL-1 AC100V电源保险丝 YPVF31 CONTROL-2 多重回路电源保险丝 YPVF32 CONTROL-3 光电装置电源保险丝 YPVF33 COUNT 计数器全梯种34 CP 控制柜全梯种35 CP-FAN 大功率逆变器冷却分扇 YPVF、VFM(G)、HVF、NPX36 CPI 轿内指示器全梯种37 CR 阻容组件 YPVF38 CRS 阻容组件 YPVF39 CRU2 阻容组件 YPVF40 D1-D4 二极管 YPVF 41 D2 二极管桥堆 YPVF42 DBR 制动电阻 G(H)VF43 DCO 门停止 VFM(H)G、HVF、NPX44 DIGITAL CPI 轿内数字式显示全梯种45 DLS 下终端限位开关全梯种46 DM1 电感线圈 YPVF47 DM37 副安全触板短接开关 G(H)VF48 DM 门电机 G(H)VF49 M.MOTOR 门电机 VFM(H)G、HVF、NPX50 DMC。
日立电梯图纸元件代码1 A 门电机 YPVF2 ACR 电流控制调整电子板 YPVF、VFM(H)G、HVF、NPX3 AD 模数电子板 YPVF4 ALARM 警铃按钮 GVF5 ALP 停电柜全梯种6 AM 电流表 VFM(H)G、HVF7 AMP 增幅器 NPX8 ATD 司机下行按钮全梯种9 ATT 司机开关全梯种10 ATU 司机上行按钮全梯种11 AVR 自动稳压电源 YPVF、VFM(G)、HVF、NPX12 B951-CSD 轿顶电器箱数字显示电子板 NPH13 B.CON 信号网转换电子板 VFM(H)G、HVF、NPX14 BD 基极驱动 VFM(H)G、HVF15 BDR 抱闸电阻 VFM(H)G、HVF、NPX、G(G)VF16 BD-TR 基极驱动变压器 VFM(H)G、HVF、NPX、G(H)VF17 BELL 警铃全梯种18 BGM 背景音乐装置 VFM(H)G、HVF、NPX19 BSR 抱闸电阻 VFM(H)G、HVF、NPX、G(G)VF20 BZ 蜂鸣器全梯种21 CAGE。
B。
L 内指令应答信号灯 YPVF22 CALL 对讲机呼叫按钮 YPVF23 CAM 防止手动开门装置 VFM(H)G、HVF、NPX24 CDS 关门减速开关 VFM(H)G、HVF、NPX25 CFR CFC 制动器阻容组件 YPVF26 CLN 轿厢串行通信电子板 VFM(H)G、HVF、NPX27 CLOSE 关门按钮全梯种28 CLS 关门限位开关 YPVF、G(H)VF29 CNV 整流器 YPVF、VFM(G)、HVF、NPX30 CONTROL-1 AC100V电源保险丝 YPVF31 CONTROL-2 多重回路电源保险丝 YPVF32 CONTROL-3 光电装置电源保险丝 YPVF33 COUNT 计数器全梯种34 CP 控制柜全梯种35 CP-FAN 大功率逆变器冷却分扇 YPVF、VFM(G)、HVF、NPX36 CPI 轿内指示器全梯种37 CR 阻容组件 YPVF38 CRS 阻容组件 YPVF39 CRU2 阻容组件 YPVF40 D1-D4 二极管 YPVF 41 D2 二极管桥堆 YPVF42 DBR 制动电阻 G(H)VF43 DCO 门停止 VFM(H)G、HVF、NPX44 DIGITAL CPI 轿内数字式显示全梯种45 DLS 下终端限位开关全梯种46 DM1 电感线圈 YPVF47 DM37 副安全触板短接开关 G(H)VF48 DM 门电机 G(H)VF49 M.MOTOR 门电机 VFM(H)G、HVF、NPX50 DMC。
日立电梯图纸元件代码说明1 A 门电机 YPVF2 ACR 电流控制调整电子板 YPVF、VFM(HG、HVF 、NPX3 AD 模数电子板 YPVF4 ALARM 警铃按钮 GVF5 ALP 停电柜全梯种6 AM 电流表 VFM(HG、HVF7 AMP 增幅器 NPX8 ATD 司机下行按钮全梯种9 ATT 司机开关全梯种10 ATU 司机上行按钮全梯种11 AVR 自动稳压电源 YPVF、VFM(G、HVF 、NPX12 B951-CSD 轿顶电器箱数字显示电子板 NPH13 B.CON 信号网转换电子板 VFM(HG、HVF 、NPX14 BD 基极驱动 VFM(HG、HVF15 BDR 抱闸电阻 VFM(HG、HVF 、NPX 、G(GVF16 BD-TR 基极驱动变压器 VFM(HG、HVF 、NPX 、G(HVF17 BELL 警铃全梯种18 BGM 背景音乐装置 VFM(HG、HVF 、NPX19 BSR 抱闸电阻 VFM(HG、HVF 、NPX 、G(GVF20 BZ 蜂鸣器全梯种21 CAGE。
B 。
L 内指令应答信号灯 YPVF22 CALL 对讲机呼叫按钮 YPVF23 CAM 防止手动开门装置 VFM(HG、HVF 、NPX24 CDS 关门减速开关 VFM(HG、HVF 、NPX25 CFR CFC 制动器阻容组件 YPVF26 CLN 轿厢串行通信电子板 VFM(HG、HVF 、NPX27 CLOSE 关门按钮全梯种28 CLS 关门限位开关 YPVF、G(HVF29 CNV 整流器 YPVF、VFM(G、HVF 、NPX30 CONTROL-1 AC100V电源保险丝 YPVF31 CONTROL-2 多重回路电源保险丝 YPVF32 CONTROL-3 光电装置电源保险丝 YPVF33 COUNT 计数器全梯种34 CP 控制柜全梯种35 CP-FAN 大功率逆变器冷却分扇 YPVF、VFM(G、HVF 、NPX 36 CPI 轿内指示器全梯种37 CR 阻容组件 YPVF38 CRS 阻容组件 YPVF39 CRU2 阻容组件 YPVF40 D1-D4 二极管 YPVF41 D2 二极管桥堆 YPVF42 DBR 制动电阻 G(HVF43 DCO 门停止 VFM(HG、HVF 、NPX44 DIGITAL CPI 轿内数字式显示全梯种45 DLS 下终端限位开关全梯种46 DM1 电感线圈 YPVF47 DM37 副安全触板短接开关 G(HVF48 DM 门电机 G(HVF49 M.MOTOR 门电机 VFM(HG、HVF 、NPX50 DMC。
表二项目图纸名称图号图纸名称图号图纸名称图号主回路113520821副门机回路13529243副门轿顶电器箱内部配线C0004153主回路213520822交流回路13520845副门轿顶电器箱内部配线C0014030速 度电源回路113520823报警回路13529242轿内照明回路13526052电源回路213520824元件排列图113520847轿顶感应器配置图13507520电源回路2B C0000866元件排列图213520848轿底称重装置配置图13504153控制方式电源回路313520826OPTION元件排列图C0001074操纵箱MLC接线13529251适用层站控制回路113520827控制柜MLC表113520857副操纵箱MLC接线135160981m/s 、1.5m/s 、1.75m/s 630kg/825kg/900kg/1050kg 6.7KW/11.7KW 交流变频调速 单控/并联/群管理2~48站表一负 载电动机规格基本功能控制回路1B 13529102控制柜MLC表213520858副门主操纵箱MLC接线C0001068消防员操作自动自发电控制控制回路213520828OPTION柜MLC表C0011206副门副操纵箱MLC接线C0015049消防返回不停层控制回路313529244TK端子表13520856残疾人操纵箱MCL接线及DIP设置13516268司机操作厅外报站钟 (灯)控制回路4(SCLC3)13520830机房配线系统图13520849操纵箱上部接线13524998微动平层专用运行控制回路4B(SCLC2/C5)13526361机房大线图13520853操纵箱中部接线13516269光电保护(光幕)厅外信号灯控制回路513520831机房细线图13520854操纵箱开关接线13529245手动自发电控制轿内IC卡控制回路613520832机房地线图13520855残疾人操纵箱中部接线13516262泊梯独立运行控制回路713520833CA09-ALP系统图13520867主、副、残操纵箱通讯系统图13516266语音报站高峰运行控制回路813520834电缆配线系统图13515438主、副、残操纵箱通讯系统图C0015082轿内报站钟外加运行计数控制回路8B C0000867并联及群管理配线图13526470SCLB3板DIP设置13517875K 停电自救电梯服务支援系统(无线遥监)控制回路8C C0000868系统DIP开关设置图13526475对讲系统通讯线连接图13511282平层预开门残疾人操纵箱控制回路8D C0000869井道配线系统图113520850数字对讲系统接线示意图C0003309远程监控接口厅外IC卡控制回路913520835井道配线系统图213520851对讲系统接线图13508670延长开门控制回路9B C0011207井道开关接线图13507522轿内串行IC卡控制回路13529372副操纵箱控制回路1013520836井道极限开关配置图13504154厅外串行IC卡控制回路C0004652BA 接口信号回路113520837井道接线(SCL1)13514632IC卡功能工程接线图C0004800外召内显信号回路213520838井道接线(SCLC)13515442串行IC卡DIP设置14513713简易监视屏信号回路313520839井道接线(SCLC3)13520859电梯服务支援系统(无线遥监)工程配线图C0007942双开门信号回路3B13527543井道接线(HSB)13517029电梯服务支援系统(无线遥监)接线图C0007955监控接口信号回路413520840SCL-C3通讯板楼层ID设置13517394电脑监视系统工程接线图13505377轿内误指令取消信号回路4C13520841外召串行通讯板DIP开关设置13514891监视屏工程接线(环宇二线制)13512799选择功能J 微机监视屏信号回路4D13526389轿厢配线系统图13520852监视屏工程接线(日滨二线制) 13524997信号回路4E13526390轿顶电器箱接线图13520862视频电缆与视频传输器接线图13511971信号回路513520842轿顶电器箱配线系统图13529246厅外液晶显示器原理图13529222信号回路5B13527544轿顶电器箱配线系统图C0000283彩色液晶工程追加配线14501520信号回路5C13526391轿顶电器箱内部标准配线13529247RS300T终端中继箱接线图13505378信号回路5D13527545轿顶电器箱内部标准配线C0000284RS400T中心中继箱接线图13505379门机回路13527224轿顶电器箱内部追加配线113523856井道与机房照明回路C0003278副门机回路C0000282副门轿顶电器箱接线图C0001069消防电梯机房配线示意图C0014720门机回路13520843副门轿顶电器箱配线系统图C0001067 电气回路一览表J J备 编 制 编 号注1ECN-C00391297林灼宇 2012-09-07 校 对 名 称4ECN-C00334369陈春梅 2012-03-28 审 核 梯 种参考表号 标 记 处 数修改文件号 签 名 日 期 日 期 版 本1.本图册适应MCA小规格(不带能量反馈功能)和MCA-F电梯。
日立电梯图纸元件代码1 A 门电机 YPVF2 ACR 电流控制调整电子板 YPVF、VFM(H)G、HVF、NPX3 AD 模数电子板 YPVF4 ALARM 警铃按钮 GVF5 ALP 停电柜全梯种6 AM 电流表 VFM(H)G、HVF7 AMP 增幅器 NPX8 ATD 司机下行按钮全梯种9 ATT 司机开关全梯种10 ATU 司机上行按钮全梯种11 AVR 自动稳压电源 YPVF、VFM(G)、HVF、NPX12 B951-CSD 轿顶电器箱数字显示电子板 NPH13 B.CON 信号网转换电子板 VFM(H)G、HVF、NPX14 BD 基极驱动 VFM(H)G、HVF15 BDR 抱闸电阻 VFM(H)G、HVF、NPX、G(G)VF16 BD-TR 基极驱动变压器 VFM(H)G、HVF、NPX、G(H)VF17 BELL 警铃全梯种18 BGM 背景音乐装置 VFM(H)G、HVF、NPX19 BSR 抱闸电阻 VFM(H)G、HVF、NPX、G(G)VF20 BZ 蜂鸣器全梯种21 CAGE。
B。
L 内指令应答信号灯 YPVF22 CALL 对讲机呼叫按钮 YPVF23 CAM 防止手动开门装置 VFM(H)G、HVF、NPX24 CDS 关门减速开关 VFM(H)G、HVF、NPX25 CFR CFC 制动器阻容组件 YPVF26 CLN 轿厢串行通信电子板 VFM(H)G、HVF、NPX27 CLOSE 关门按钮全梯种28 CLS 关门限位开关 YPVF、G(H)VF29 CNV 整流器 YPVF、VFM(G)、HVF、NPX30 CONTROL-1 AC100V电源保险丝 YPVF31 CONTROL-2 多重回路电源保险丝 YPVF32 CONTROL-3 光电装置电源保险丝 YPVF33 COUNT 计数器全梯种34 CP 控制柜全梯种35 CP-FAN 大功率逆变器冷却分扇 YPVF、VFM(G)、HVF、NPX36 CPI 轿内指示器全梯种37 CR 阻容组件 YPVF38 CRS 阻容组件 YPVF39 CRU2 阻容组件 YPVF40 D1-D4 二极管 YPVF 41 D2 二极管桥堆 YPVF42 DBR 制动电阻 G(H)VF43 DCO 门停止 VFM(H)G、HVF、NPX44 DIGITAL CPI 轿内数字式显示全梯种45 DLS 下终端限位开关全梯种46 DM1 电感线圈 YPVF47 DM37 副安全触板短接开关 G(H)VF48 DM 门电机 G(H)VF49 M.MOTOR 门电机 VFM(H)G、HVF、NPX50 DMC。
日立电梯图纸元件代码1 A 门电机 YPVF2 ACR 电流控制调整电子板 YPVF、VFM(H)G、HVF、NPX3 AD 模数电子板 YPVF4 ALARM 警铃按钮 GVF5 ALP 停电柜全梯种6 AM 电流表 VFM(H)G、HVF7 AMP 增幅器 NPX8 ATD 司机下行按钮全梯种9 ATT 司机开关全梯种10 ATU 司机上行按钮全梯种11 AVR 自动稳压电源 YPVF、VFM(G)、HVF、NPX12 B951-CSD 轿顶电器箱数字显示电子板 NPH13 B.CON 信号网转换电子板 VFM(H)G、HVF、NPX14 BD 基极驱动 VFM(H)G、HVF15 BDR 抱闸电阻 VFM(H)G、HVF、NPX、G(G)VF16 BD-TR 基极驱动变压器 VFM(H)G、HVF、NPX、G(H)VF17 BELL 警铃全梯种18 BGM 背景音乐装置 VFM(H)G、HVF、NPX19 BSR 抱闸电阻 VFM(H)G、HVF、NPX、G(G)VF20 BZ 蜂鸣器全梯种21 CAGE。
B。
L 内指令应答信号灯 YPVF22 CALL 对讲机呼叫按钮 YPVF23 CAM 防止手动开门装置 VFM(H)G、HVF、NPX24 CDS 关门减速开关 VFM(H)G、HVF、NPX25 CFR CFC 制动器阻容组件 YPVF26 CLN 轿厢串行通信电子板 VFM(H)G、HVF、NPX27 CLOSE 关门按钮全梯种28 CLS 关门限位开关 YPVF、G(H)VF29 CNV 整流器 YPVF、VFM(G)、HVF、NPX30 CONTROL-1 AC100V电源保险丝 YPVF31 CONTROL-2 多重回路电源保险丝 YPVF32 CONTROL-3 光电装置电源保险丝 YPVF33 COUNT 计数器全梯种34 CP 控制柜全梯种35 CP-FAN 大功率逆变器冷却分扇 YPVF、VFM(G)、HVF、NPX36 CPI 轿内指示器全梯种37 CR 阻容组件 YPVF38 CRS 阻容组件 YPVF39 CRU2 阻容组件 YPVF40 D1-D4 二极管 YPVF 41 D2 二极管桥堆 YPVF42 DBR 制动电阻 G(H)VF43 DCO 门停止 VFM(H)G、HVF、NPX44 DIGITAL CPI 轿内数字式显示全梯种45 DLS 下终端限位开关全梯种46 DM1 电感线圈 YPVF47 DM37 副安全触板短接开关 G(H)VF48 DM 门电机 G(H)VF49 M.MOTOR 门电机 VFM(H)G、HVF、NPX50 DMC。
日立电梯图纸元件代码1 A 门电机 YPVF2 ACR 电流控制调整电子板 YPVF、VFM(H)G、HVF、NPX3 AD 模数电子板 YPVF4 ALARM 警铃按钮 GVF5 ALP 停电柜全梯种6 AM 电流表 VFM(H)G、HVF7 AMP 增幅器 NPX8 ATD 司机下行按钮全梯种9 ATT 司机开关全梯种10 ATU 司机上行按钮全梯种11 AVR 自动稳压电源 YPVF、VFM(G)、HVF、NPX12 B951-CSD 轿顶电器箱数字显示电子板 NPH13 B.CON 信号网转换电子板 VFM(H)G、HVF、NPX14 BD 基极驱动 VFM(H)G、HVF15 BDR 抱闸电阻 VFM(H)G、HVF、NPX、G(G)VF16 BD-TR 基极驱动变压器 VFM(H)G、HVF、NPX、G(H)VF17 BELL 警铃全梯种18 BGM 背景音乐装置 VFM(H)G、HVF、NPX19 BSR 抱闸电阻 VFM(H)G、HVF、NPX、G(G)VF20 BZ 蜂鸣器全梯种21 CAGE。
B。
L 内指令应答信号灯 YPVF22 CALL 对讲机呼叫按钮 YPVF23 CAM 防止手动开门装置 VFM(H)G、HVF、NPX24 CDS 关门减速开关 VFM(H)G、HVF、NPX25 CFR CFC 制动器阻容组件 YPVF26 CLN 轿厢串行通信电子板 VFM(H)G、HVF、NPX27 CLOSE 关门按钮全梯种28 CLS 关门限位开关 YPVF、G(H)VF29 CNV 整流器 YPVF、VFM(G)、HVF、NPX30 CONTROL-1 AC100V电源保险丝 YPVF31 CONTROL-2 多重回路电源保险丝 YPVF32 CONTROL-3 光电装置电源保险丝 YPVF33 COUNT 计数器全梯种34 CP 控制柜全梯种35 CP-FAN 大功率逆变器冷却分扇 YPVF、VFM(G)、HVF、NPX36 CPI 轿内指示器全梯种37 CR 阻容组件 YPVF38 CRS 阻容组件 YPVF39 CRU2 阻容组件 YPVF40 D1-D4 二极管 YPVF 41 D2 二极管桥堆 YPVF42 DBR 制动电阻 G(H)VF43 DCO 门停止 VFM(H)G、HVF、NPX44 DIGITAL CPI 轿内数字式显示全梯种45 DLS 下终端限位开关全梯种46 DM1 电感线圈 YPVF47 DM37 副安全触板短接开关 G(H)VF48 DM 门电机 G(H)VF49 M.MOTOR 门电机 VFM(H)G、HVF、NPX50 DMC。
日立电梯图纸元件代码1 A 门电机 YPVF2 ACR 电流控制调整电子板 YPVF、VFM(H)G、HVF、NPX3 AD 模数电子板 YPVF4 ALARM 警铃按钮 GVF5 ALP 停电柜全梯种6 AM 电流表 VFM(H)G、HVF7 AMP 增幅器 NPX8 ATD 司机下行按钮全梯种9 ATT 司机开关全梯种10 ATU 司机上行按钮全梯种11 AVR 自动稳压电源 YPVF、VFM(G)、HVF、NPX12 B951-CSD 轿顶电器箱数字显示电子板 NPH13 B.CON 信号网转换电子板 VFM(H)G、HVF、NPX14 BD 基极驱动 VFM(H)G、HVF15 BDR 抱闸电阻 VFM(H)G、HVF、NPX、G(G)VF16 BD-TR 基极驱动变压器 VFM(H)G、HVF、NPX、G(H)VF17 BELL 警铃全梯种18 BGM 背景音乐装置 VFM(H)G、HVF、NPX19 BSR 抱闸电阻 VFM(H)G、HVF、NPX、G(G)VF20 BZ 蜂鸣器全梯种21 CAGE。
B。
L 内指令应答信号灯 YPVF22 CALL 对讲机呼叫按钮 YPVF23 CAM 防止手动开门装置 VFM(H)G、HVF、NPX24 CDS 关门减速开关 VFM(H)G、HVF、NPX25 CFR CFC 制动器阻容组件 YPVF26 CLN 轿厢串行通信电子板 VFM(H)G、HVF、NPX27 CLOSE 关门按钮全梯种28 CLS 关门限位开关 YPVF、G(H)VF29 CNV 整流器 YPVF、VFM(G)、HVF、NPX30 CONTROL-1 AC100V电源保险丝 YPVF31 CONTROL-2 多重回路电源保险丝 YPVF32 CONTROL-3 光电装置电源保险丝 YPVF33 COUNT 计数器全梯种34 CP 控制柜全梯种35 CP-FAN 大功率逆变器冷却分扇 YPVF、VFM(G)、HVF、NPX36 CPI 轿内指示器全梯种37 CR 阻容组件 YPVF38 CRS 阻容组件 YPVF39 CRU2 阻容组件 YPVF40 D1-D4 二极管 YPVF 41 D2 二极管桥堆 YPVF42 DBR 制动电阻 G(H)VF43 DCO 门停止 VFM(H)G、HVF、NPX44 DIGITAL CPI 轿内数字式显示全梯种45 DLS 下终端限位开关全梯种46 DM1 电感线圈 YPVF47 DM37 副安全触板短接开关 G(H)VF48 DM 门电机 G(H)VF49 M.MOTOR 门电机 VFM(H)G、HVF、NPX50 DMC。
第1页, 共67页前言本资料介绍MCA电梯,该梯种以集成了变频控制和逻辑控制的CA9-MPU控制板、SCL串行通讯系统和SF2-DSC永磁同步薄形门机系统作为电气的关键组成部分,并基本使用了HGP型电梯的机械系统。
资料编写目的:随着MCA电梯的开发成功,在工程方面需要提供安装、调试、维修和保养各项工作的技术说明。
本资料是根据MCA电梯的技术特点,列出电梯在工程环节中所需使用的资料。
由于MCA电梯在电气控制原理上与HGP电梯有较多的相同点,又基本使用HGP电梯的机械系统,所以本资料对于相同点不再进行叙述,只作出说明“与XX电梯保持一致”。
本资料基本内容:(1)MCA系统电梯构成和技术特点。
(2)安装部分。
电气回路图的使用说明;控制柜及轿顶电器箱等重要电气部分的名称、功能介绍;工程大、细线及地线的安装等。
(3)调试部分。
运行前需进行检查的电梯各项安装情况,控制柜绝缘测试、低速试运行、永磁同步门机的调试运行、层高测定操作、高速运行调试、平层精度调整等。
发至:设计类文档接收组(电气) [√]; 设计类文档接收组(机械) [ ]; 设计类文档接收组(机电一体化) [ ]; 其他:一、MCA电梯的技术概述.......................................................................................................错误!未定义书签。
1.1技术构成及特点 (4)1.2变频器控制系统的构成 (4)1.3微机构成及特点 (7)1.4速度控制部分的构成 (8)1.5MCA电梯的规格..........................................................................................................................................错误!未定义书签。
日立电梯图纸元件代码1 A 门电机 YPVF2 ACR 电流控制调整电子板 YPVF、 VFM(HG、 HVF 、 NPX3 AD 模数电子板 YPVF4 ALARM 警铃按钮 GVF5 ALP 停电柜全梯种6 AM 电流表 VFM(HG、 HVF7 AMP 增幅器 NPX8 ATD 司机下行按钮全梯种 9 ATT 司机开关全梯种 10 ATU 司机上行按钮全梯种 11 AVR 自动稳压电源 YPVF、 VFM(G、 HVF 、 NPX12 B951-CSD 轿顶电器箱数字显示电子板 NPH13 B.CON 信号网转换电子板 VFM(HG、 HVF 、 NPX14 BD 基极驱动 VFM(HG、 HVF15 BDR 抱闸电阻 VFM(HG、 HVF 、 NPX 、 G(GVF16 BD-TR 基极驱动变压器 VFM(HG、 HVF 、 NPX 、 G(HVF17 BELL 警铃全梯种18 BGM 背景音乐装置 VFM(HG、 HVF 、 NPX19 BSR 抱闸电阻 VFM(HG、 HVF 、 NPX 、 G(GVF20 BZ 蜂鸣器全梯种21 CAGE。
B 。
L 内指令应答信号灯 YPVF22 CALL 对讲机呼叫按钮 YPVF23 CAM 防止手动开门装置 VFM(HG、 HVF 、 NPX24 CDS 关门减速开关 VFM(HG、 HVF 、 NPX25 CFR CFC 制动器阻容组件 YPVF26 CLN 轿厢串行通信电子板 VFM(HG、 HVF 、 NPX27 CLOSE 关门按钮全梯种28 CLS 关门限位开关 YPVF、 G(HVF29 CNV 整流器 YPVF、 VFM(G、 HVF 、 NPX30 CONTROL-1 AC100V电源保险丝 YPVF31 CONTROL-2 多重回路电源保险丝 YPVF32 CONTROL-3 光电装置电源保险丝 YPVF33 COUNT 计数器全梯种34 CP 控制柜全梯种35 CP-FAN 大功率逆变器冷却分扇 YPVF、 VFM(G、 HVF 、 NPX36 CPI 轿内指示器全梯种37 CR 阻容组件 YPVF38 CRS 阻容组件 YPVF39 CRU2 阻容组件 YPVF40 D1-D4 二极管 YPVF 41 D2 二极管桥堆 YPVF42 DBR 制动电阻 G(HVF43 DCO 门停止 VFM(HG、 HVF 、 NPX44 DIGITAL CPI 轿内数字式显示全梯种45 DLS 下终端限位开关全梯种46 DM1 电感线圈 YPVF47 DM37 副安全触板短接开关 G(HVF48 DM 门电机 G(HVF49 M.MOTOR 门电机 VFM(HG、 HVF 、 NPX50 DMC。
日立电梯图纸元件代码1 A 门电机YPVF2 ACR 电流控制调整电子板YPVF、VFM(H)G、HVF、NPX3 AD 模数电子板YPVF4 ALARM 警铃按钮GVF5 ALP 停电柜全梯种6 AM 电流表VFM(H)G、HVF7 AMP 增幅器NPX8 ATD 司机下行按钮全梯种9 ATT 司机开关全梯种10 ATU 司机上行按钮全梯种11 AVR 自动稳压电源YPVF、VFM(G)、HVF、NPX12 B951-CSD 轿顶电器箱数字显示电子板NPH13 B.CON 信号网转换电子板VFM(H)G、HVF、NPX14 BD 基极驱动VFM(H)G、HVF15 BDR 抱闸电阻VFM(H)G、HVF、NPX、G(G)VF16 BD-TR 基极驱动变压器VFM(H)G、HVF、NPX、G(H)VF17 BELL 警铃全梯种18 BGM 背景音乐装置VFM(H)G、HVF、NPX19 BSR 抱闸电阻VFM(H)G、HVF、NPX、G(G)VF20 BZ 蜂鸣器全梯种21 CAGE。
B。
L 内指令应答信号灯YPVF22 CALL 对讲机呼叫按钮YPVF23 CAM 防止手动开门装置VFM(H)G、HVF、NPX24 CDS 关门减速开关VFM(H)G、HVF、NPX25 CFR CFC 制动器阻容组件YPVF26 CLN 轿厢串行通信电子板VFM(H)G、HVF、NPX27 CLOSE 关门按钮全梯种28 CLS 关门限位开关YPVF、G(H)VF29 CNV 整流器YPVF、VFM(G)、HVF、NPX30 CONTROL-1 AC100V电源保险丝YPVF31 CONTROL-2 多重回路电源保险丝YPVF32 CONTROL-3 光电装置电源保险丝YPVF33 COUNT 计数器全梯种34 CP 控制柜全梯种35 CP-FAN 大功率逆变器冷却分扇YPVF、VFM(G)、HVF、NPX36 CPI 轿内指示器全梯种37 CR 阻容组件YPVF38 CRS 阻容组件YPVF39 CRU2 阻容组件YPVF40 D1-D4 二极管YPVF 41 D2 二极管桥堆YPVF42 DBR 制动电阻G(H)VF43 DCO 门停止VFM(H)G、HVF、NPX44 DIGITAL CPI 轿内数字式显示全梯种45 DLS 下终端限位开关全梯种46 DM1 电感线圈YPVF47 DM37 副安全触板短接开关G(H)VF48 DM 门电机G(H)VF49 M.MOTOR 门电机VFM(H)G、HVF、NPX50 DMC。
表二项目
图纸名称图号图纸名称图号图纸名称图号主回路113520821副门机回路13529243副门轿顶电器箱内部配线C0004153主回路213520822交流回路13520845副门轿顶电器箱内部配线C0014030速 度
电源回路113520823报警回路13529242轿内照明回路13526052电源回路213520824元件排列图113520847轿顶感应器配置图13507520电源回路2B C0000866元件排列图213520848轿底称重装置配置图13504153控制方式
电源回路313520826OPTION元件排列图C0001074操纵箱MLC接线13529251适用层站
控制回路113520827控制柜MLC表113520857副操纵箱MLC接线135160981m/s 、1.5m/s 、1.75m/s 630kg/825kg/900kg/1050kg 6.7KW/11.7KW 交流变频调速 单控/并联/群管理2~48站
表一
负 载
电动机
规格基本功能控制回路1B 13529102控制柜MLC表213520858副门主操纵箱MLC接线C0001068消防员操作自动自发电控制
控制回路213520828OPTION柜MLC表C0011206副门副操纵箱MLC接线C0015049消防返回不停层
控制回路313529244TK端子表13520856残疾人操纵箱MCL接线及DIP设置13516268司机操作
厅外报站钟 (灯)控制回路4(SCLC3)13520830机房配线系统图13520849操纵箱上部接线13524998微动平层专用运行
控制回路4B(SCLC2/C5)13526361机房大线图13520853操纵箱中部接线13516269光电保护(光幕)厅外信号灯
控制回路513520831机房细线图13520854操纵箱开关接线13529245手动自发电控制轿内IC卡
控制回路613520832机房地线图13520855残疾人操纵箱中部接线13516262泊梯独立运行
控制回路713520833CA09-ALP系统图13520867主、副、残操纵箱通讯系统图13516266语音报站高峰运行
控制回路813520834电缆配线系统图13515438主、副、残操纵箱通讯系统图C0015082轿内报站钟外加运行计数
控制回路8B C0000867并联及群管理配线图13526470SCLB3板DIP设置13517875K 停电自救
电梯服务支援系统(无线遥监)控制回路8C C0000868系统DIP开关设置图13526475对讲系统通讯线连接图13511282平层预开门
残疾人操纵箱控制回路8D C0000869井道配线系统图113520850数字对讲系统接线示意图C0003309远程监控接口厅外IC卡
控制回路913520835井道配线系统图213520851对讲系统接线图13508670延长开门
控制回路9B C0011207井道开关接线图13507522轿内串行IC卡控制回路13529372副操纵箱控制回路10
13520836井道极限开关配置图13504154厅外串行IC卡控制回路C0004652BA 接口信号回路1
13520837井道接线(SCL1)13514632IC卡功能工程接线图C0004800外召内显信号回路2
13520838井道接线(SCLC)13515442串行IC卡DIP设置14513713简易监视屏信号回路3
13520839井道接线(SCLC3)13520859电梯服务支援系统(无线遥监)工程配线图C0007942双开门信号回路3B
13527543井道接线(HSB)13517029电梯服务支援系统(无线遥监)接线图C0007955监控接口信号回路4
13520840SCL-C3通讯板楼层ID设置13517394电脑监视系统工程接线图13505377轿内误指令取消信号回路4C
13520841外召串行通讯板DIP开关设置13514891监视屏工程接线(环宇二线制)13512799选择功能J 微机监视屏信号回路4D
13526389轿厢配线系统图13520852监视屏工程接线(日滨二线制) 13524997信号回路4E
13526390轿顶电器箱接线图13520862视频电缆与视频传输器接线图13511971信号回路5
13520842轿顶电器箱配线系统图13529246厅外液晶显示器原理图13529222信号回路5B
13527544轿顶电器箱配线系统图C0000283彩色液晶工程追加配线14501520信号回路5C
13526391轿顶电器箱内部标准配线13529247RS300T终端中继箱接线图13505378信号回路5D
13527545轿顶电器箱内部标准配线C0000284RS400T中心中继箱接线图13505379门机回路
13527224轿顶电器箱内部追加配线113523856井道与机房照明回路C0003278副门机回路
C0000282副门轿顶电器箱接线图C0001069消防电梯机房配线示意图C0014720门机回路13520843副门轿顶电器箱配线系统图C0001067 电气回路一览表J J
备 编 制 编 号注
1ECN-C00391297林灼宇 2012-09-07 校 对 名 称4ECN-C00334369陈春梅 2012-03-28 审 核 梯 种参考表号 标 记 处 数修改文件号 签 名 日 期 日 期 版 本1.本图册适应MCA小规格(不带能量反馈功能)和
MCA-F电梯。
K3500465电气规格表MCA K
K3500448张曰国肖云英伍翔2011.03.30J J K。