通信原理答案第五章
- 格式:doc
- 大小:826.00 KB
- 文档页数:15
第五章第五章 脉冲编码调制脉冲编码调制5.2 解:(1) )180cos(5)220cos(5)200cos()20cos(10)(t t t t t S p p p p +==)]180()180()220()220([5)(p w d p w d p w d p w d p w -+++-++=Så-=úûùêëéå-*=¥-¥=¥-¥=n s s n s s n S T n T S S )(1)(2)(21)(w w w w d p w p w d )]500180()500180()500220()500220([1250p p w d p p w d p p w d p p w d p n n n n n --+-++å--+-+=¥-¥=(2)HzfH110=要求无失真恢复)(t S ,对)(t S d采用的低通滤波器的截止频率为Hz 110。
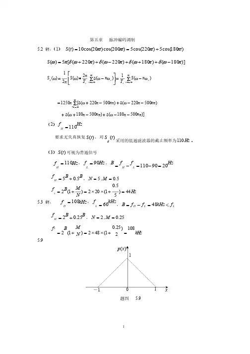
(3))(t S 可视为带通信号可视为带通信号 Hz fH110=,Hz f L90=,HzffBLH2090110=-=-=BB fH5.05+=,5=N ,5.0=MHz N M Bf s 44)55.01(202)1(2=+´´=+= 5.3 解: kHz f H 108=,kHz f L 60=,L L H f kHz f f B <=-=48 BB fH25.02+=,2=N ,25.0=MkHz N M Bf s108)225.01(482)1(2=+´´=+= 5.9 -111)(x p 0x题图题图 5.9 解:解: ïîïí죣-+££-=01,110,1)(x x x x x p61)1(2)(1022=-==òò¥¥-dx x x dx x p x S , 1=V 5.042==D4811222=D =qs dB SSNR q98481612即===s5.10解:满足一定量化信噪比要求时输入信号的取值范围定义为动态范围。
数字基带传输 国防 5-1.1100100011100E E-E E 0E E 007E 5E 3E E 0-E -3E -5E -7E单极性码双极性码单极性归零码双极性归零码二进制差分码八电平码5-4.三角波的功率谱密度函数为:2s s a AT T S f 22π⎛⎫⎪⎝⎭因此信号的功率谱密度函数为:()()2222i i s 2m ss s m G f G mf f-T T T σμδ+∞-∞⎛⎫+⎪⎝⎭∑= 代入均值为1/2,方差为1/4,得到功率谱密度函数()2324444441sin sin 22s s m s A f f A m f mf f f mππδππ+∞=-∞⎛⎫⎛⎫+- ⎪ ⎪⎝⎭⎝⎭∑ 按照书本应该是()()22s s sm s m f (1)G f f (1-p)G mf f-T p p δ+∞-∞⎛⎫-+⎪⎝⎭∑= 所以在s f f =±处可以提取到能量总计为242A π的脉冲,可以同步。
5-7.信源 1 0 0 0 0 0 0 0 0 0 1 1AMI +1 0 0 0 0 0 0 0 0 0 -1 +1 HDB3 +1 0 0 0 +V –B 0 0 -V 0 +1 –1 PST(正)+ 0 - + - + - + - + + - 双相码10 01 01 01 01 01 01 01 01 01 10 10 5-8.1010000011000011+10-100000+1-10000+1-1+B 0-B 000-V 0+B -B -B 00+V +B +B+1 0 -1 0 0 0 –V 0 +1 -1 +B 0 0 +v -1 +1 5-9.波形为标准三角脉冲平移2sT ,所以频域响应为()()2s T i s H H e ωωω-=,其中()224s s s a T T H S ωω⎛⎫=⎪⎝⎭。
由于()()()()()()()1,,TR TR C G G H G C G ωωωωωωω===,所以()()44s T i s T R a T G G eωωωω-⎛⎫=== ⎪⎝⎭5-11.根据奈奎斯特定律,只有c 满足条件 5-17.n a 1 0 1 1 0 0 1 0 2n a - 1 0 1 1 0 02n n n c a a -=- 1 0 0 1 -1 -1 1 0所以有三种电平n a 0 3 2 1 2 1 3 1 2 3 3 2 2n a - 0 3 2 1 2 1 3 1 2 32n n n c a a -=-0 3 2 -2 0 0 1 0 -1 2 1 -1所以有七种电平。
移动通信原理习题答案5章Chapter 11、为什么寻呼系统需要提供较低的数据传输速率?较低的数据速率如何实现更好的覆盖?答:寻呼系统⽤来提供⾼度可靠地覆盖,甚⾄包括建筑物内部。
⽽建筑物能削弱⽆线信号20-30dB 。
因此我们希望在信号传输过程中提⾼信噪⽐。
发射功率是⼀定的,因此提⾼信噪⽐要求降低接收端的噪声电平,因为噪声电平和射频带宽成正⽐,因此提⾼信噪⽐必然要求我们减⼩射频带宽,射频带宽的减⼩导致较低的数据传输速率。
寻呼机的接收信噪⽐随着寻呼机与基站距离的增加⽽减⼩。
若将寻呼系统的覆盖范围⽤寻呼机正确接收所需的最低信噪⽐门限来表⽰,那么为了得到更好的覆盖,可以通过降低噪声功率来使得信噪⽐满⾜门限限制,即降低频带宽度(使得速率降低)。
2、假设蜂窝电话使⽤容量为1安培⼩时的电池。
假设蜂窝电话在空闲时耗电35mA ,通话时耗电250mA 。
如果⽤户⼀直开机,并且每天通话3分钟,那么这个电池能⽤多久?每天通话6⼩时呢?该电池最多能通话多久。
答:每天通话三分钟,则每天耗电:35*(24-3/60)+250*3/60=850.75mAh ,故可⽤1000/850.75=1.175天=28.21⼩时每天通话6⼩时,则每天耗电:35*18+250*6=2130mAh>1000mAh ,故⼀天不能通话6⼩时,最长通话时间为:1000/250=4⼩时。
移动通信原理习题Chapter 31、证明对六边形系统,同频复⽤因⼦为Q =3N ,其中22N i j ij =++.答:如图,由余弦定理:RD2、⼀个FDD 蜂窝电话系统分配有24MHz 总带宽,并使⽤两个30kHz 信道来提供全双⼯语⾳和控制信道。
设每个⼩区电话⽤户的业务量为0.1 Erlang 。
假设使⽤Erlang B 公式。
()2222222233222232cos12023333D i R j R i j R i j ij R NR =??+?? ? ?-??? ???=++=233DNRQ N R R===(a )计算在4⼩区复⽤系统中每个⼩区的信道数。
第5章 数字基带传输系统5.1 学习指导 5.1.1 要点本章的要点主要有数字基带传输系统结构及各部件功能;基带信号常用波形及其频谱特性;基带传输常用码型的编译及其特点;码间串扰和奈奎斯特第一准则;理想低通传输特性和奈奎斯特带宽;升余弦滚将特性;第一类部分响应系统;无码间串扰基带系统的抗噪声性能;眼图和均衡的概念。
1.数字基带传输系统数字基带传输系统:不经载波调制而直接传输数字基带信号的系统,其基本结构如图5-1所示。
主要有发送滤波器、信道、接收滤波器、同步提取电路以及抽样判决器组成。
发送滤波器用于产生适合于信道中传输的基带信号波形。
信道是基带信号传输媒质(通常为有线信道)。
加性n (t )是均值为零的高斯白噪声。
接收滤波器的功能接收有用信号,滤除带外噪声,对信道特性均衡,使输出的基带波形有利于抽样判决。
同步提取即从接收信号中提取用来抽样的定位脉冲。
抽样判决器用来对对接收滤波器的输出波形进行抽样、判决和再生(恢复基带信号)。
图5 - 1 数字基带传输系统的原理方框图发送滤波器信道接收滤波器抽样、判决器e (t )n (t)位同步提取y (t )2.数字基带信号及其频谱特性(1) 数字基带信号数字基带信号用不同的电平或脉冲来表示不同的消息代码。
数字基带信号的单个脉冲有矩形脉冲、余弦脉冲、升余弦脉冲、高斯脉冲等等形式。
常用的基本信号波形有:单极性与双极性波形、不归零码与归零码波形、差分波形、多电平波形等。
数字基带信号通常是一个随机的脉冲序列。
若其各码元波形相同而电平取值不同,则可表示为()()nsn s t a g t nT ∞=-∞=-∑ (5-1)式(5-1)中,a n 是第n 个码元所对应的电平值(随机量);T s 为码元持续时间;g (t )为某种脉冲波形。
一般情况下,数字基带信号可表示为()()nn s t s t ∞=-∞=∑ (5-2)(2) 基带信号的频谱特性数字基带信号s (t )的频谱特性可以用功率谱密度来描述。
第五章(正弦载波数字调制系统)习题及其答案【题5-1】设发送数字信息为 011011100010,试分别画出 2ASK 、2FSK 、2PSK 及2DPSK 信号的波形示意图。
【答案5-1】2ASK 、2FSK 、2PSK 及2DPSK 信号的波形如下图所示。
【题5-2】已知某2ASK 系统的码元传输速率为103Band ,所用的载波信号为()6cos 410A π⨯。
1)设所传送的数字信息为011001,试画出相应的2ASK 信号波形示意图;2)求2ASK 信号的带宽。
【答案5-2】1)由题中的已知条件可知310B R Baud =因此一个码元周期为3110s B T s R -==载波频率为664102102s f Hz ππ⨯==⨯载波周期为61102T s -=⨯所以一个码元周期内有2000个载波周期。
如下图所示我们画出2ASK 信号的波形图,为简便,我们用两个载波周期代替2000个载波周期。
2)根据2ASK 的频谱特点,可知其带宽为222000B B R Hz T ===【题5-3】设某2FSK 调制系统的码元传输速率为1000Baud ,已调信号的载频为1000Hz 或 2000 HZ 。
1)若发送数字信息为011010,试画出相应的ZFSK 信号波形;2)试讨论这时的2FSK 信号应选择怎样的解调器解调?3)若发送数字信息是等可能的,试画出它的功率谱密度草图。
【答案5-3】1)由题意可画出ZFSK 信号波形如下图所示。
2)由于ZFSK 信号载波频差较小,频谱有较大重叠,采用非相干解调时上下两个支路有较大串扰,使解调性能降低。
由于两个载频人与人构成正交信号,采用相干解调可减小相互串扰,所以应采用相干解调。
3)该2FSK 信号功率谱密度草图如下图所示。
【题5-4】假设在某2DPSK 系统中,载波频率为 2400 Hz ,码元速率为 1200 Band ,已知相对码序列为11000101ll 。
5-1 设二进制符号序列为1 0 0 1 0 0 1 ,试求矩形脉冲为例,分别画出相应的单极性、双极性、单极性归零、双极性归零、二进制差分波形和四电平波形。
解 单极性、双极性、单极性归零、双极性归零、二进制差分、四电平波形分别如下图5-6(a)、(b)、(c)、(d)、(e)、(f)所示。
图5-6 波形图5-2 设二进制随机脉冲序列中的“0”和“1”分别由g (t )和-g (t )表示,它们的出现概率分别为2/5及3/5:(1) 求其功率谱密度;(2) 若g (t )为如图题5-2(a)所示波形,T s 为码元宽度,问该序列是否存在位定时分量f s = 1/T s ? (3) 若g (t )改为图题5-2(b),重新回答题(1)和(2)所问。
图题5-2g (t )sst(a)g (t )sst(b)解 (1)随机二进制序列的功率谱密度212()(1)()()s S P f f P P G f G f =--+212[()(1)()]()S S S S m f PG mf P G mf f mf δ∞=-∞+--∑由题意知g 1(t ) = - g 2(t ) = g (t ),因此双极性波形序列的功率谱密度为()2222()4(1)()12()()S S S S S P f f P P G f f P G mf f mf δ+∞-∞=-+--∑222241()()()2525S S S S f G f f G mf f mf δ+∞-∞=+-∑式中,G (f )⇔g (t );等式右端第一项是连续谱成分,第二项是离散谱成分。
功率()SS P f df ∞-∞==⎰()22224(1)()12()()SS SSfP P G f df f P G mff mfdf δ∞∞∞-∞-∞-∞-+--∑⎰⎰222241(1)()()2525S S S f P P G f df f G mf ∞∞-∞-∞=-+∑⎰ (2)若基带脉冲波形g (t )为()1,20,ST t g t ⎧≤⎪=⎨⎪⎩其他则g (t )的傅里叶变换G (f )为()()S S G f T Sa T f π=因为sin ()()0s S S s SG f T Sa T f T πωπ===所以由题(1)的结果可知,该二进制序列不存在离散分量1/s s f T =。
第五章习题习题5.1 若消息码序列为1101001000001,试求出AMI 和3HDB 码的相应序列。
解: AMI 码为 3HDB 码为习题5.2 试画出AMI 码接收机的原理方框图。
解:如图5-20所示。
图5-1 习题5.2图习题 5.3 设)(1t g 和)(2t g 是随机二进制序列的码元波形。
它们的出现概率分别是P 和)1(P -。
试证明:若k t g t g P =-=)](/)(1[121,式中,k 为常数,且10<<k ,则此序列中将无离散谱。
证明:若k t g t g P =-=)(/)(1121,与t 无关,且10<<k ,则有1)()]()([212=-t g t g t g P即 )()1()()()(2221t g P t g t Pg t Pg -=-=0)()1()(21=-+t g P t Pg所以稳态波为 ∑∑--+-=)()1()()(s 2s 1nT t g P nT t g P t v0)]()1()([s 2s 1=--+-=∑nT t g P nT t g P即0)(=w P v 。
所以无离散谱。
得证!习题5.4 试证明式()()()()⎰+-=1011d 2sin 2sin 4W f ft W f H Wt t h ππ。
证明:由于⎰∞∞-=df e f H t h ft j π211)()(,由欧拉公式可得⎰⎰⎰∞∞-∞∞-∞∞-+=+=fft f H ftdf f H fft ft f H t h d 2sin )(j 2cos )(d )2sin j 2)(cos ()(1111ππππ由于)(1f H 为实偶函数,因此上式第二项为0,且⎰∞∞-=f ft f H t h d )2cos()(2)(11π10100010010111000001001011+--+-++-+-+k a《通信原理》习题第五章令,'d d ,'f f W f f =+=,代入上式得⎰⎰⎰∞-∞-∞-+++=++=WWW fWt ft W f H f Wt ft W f H f t W f W f H t h d 2sin 2sin )(2d 2cos 2cos )(2'd ])'(2cos[)'(2)(1111πππππ由于)(1f H 单边为奇对称,故上式第一项为0,因此⎰⎰+=+=∞-WW fftt W f H W fftt W f H W t h 0111d 2sin )(2sin 4d 2sin )(2sin 2)(ππππ习题5.5 设一个二进制单极性基带信号序列中的“1”和“0”分别用脉冲)(t g [见图5-2的有无表示,并且它们出现的概率相等,码元持续时间等于T 。
5-2 解 (1)随机二进制序列的双边功率谱密度为由得式中,是的频谱函数,在功率谱密度中,第一部分是连续谱成分,第二部分是离散谱成分。
随机二进制序列的功率为(2)当基带脉冲波形为的付式变换为因为所以该二进制序列不存在离散分量。
(3)当基带脉冲波形为的付式变换为因为所以该二进制序列存在离散分量。
5-3 解( 1)由图 5-7 得的频谱函数为由题意且所以代入二进制数字基带信号的双边功率谱密度函数式,可得(2) 二进制数字基带信号的离散谱分量为当代入上式得因为该二进制数字基带信号中存在离散谱分量,所以能从该数字基带信号中提取码元同步所取得频率的分量。
该频率分量的功率为5-6解 AMI 码为+10-1+1000000000-10+1HDB3 码+10-1+1000+V –B00 –V0+10-15-7解 PST码为 -++0+--+0-+0-++-双相码为01 0110 01 10 10 01 01 01 10 10 01 01 01 10 105-8解原信息代码为 1010000100001100001015-9解( 1)令由图 5-8 可得,因为的频谱函数为所以,系统的传输函数为(2)系统的传输函数由发送滤波器,信道和接收滤波器三部分组成,即因为则所以,发送滤波器和接收滤波器为5-10 解( 1)总特性 H( f)可以看成是图 5-11 两个三角形特性之差,即H ( f ) =H1 ( f) -H2( f )其中 H 1 ( f )h1 (t )1(1)W1 gSa2(1)Wt112H 2 ( f )h2(t )(1)W1gSa2(1)W1t2h(t )h1 (t )h2 (t)所以冲激响应(1)2W1 gSa2(1)2(1)Wt`W1gSa2(1 )Wt`22(2)因为该系统克等小成理想低通特性H eq ( f )1,f W1 0,f W1它所对应的无码间串扰的最高传码率为2W1,所当传输速率为2W1 时,在抽样店无码间串扰。
第五章 数字基带传输系统第六章\设随机二进制序列中的0和1分别由g (t )和-g (t )组成,它们的出现概率分别为P 及(1-P ):求其功率谱密度及功率;解:(1)随机二进制序列的双边功率谱密度为P s (ω)=f s P(1-P)|G 1(f)-G 2(f)|2 + ∑|f s [PG 1(mf s ) + (1-P)G 2(mf s )]|2δ(f- mf s ) 由g 1(t)=-g 2(t)=g(t)得P s (ω)=4f s P(1-P)G 2(f) + f s (1-2P)2∑|G(mf s )|2δ(f- mf s )式中,G(f)是g (t )的频谱函数,在功率谱密度P s (ω)中,第一部分是其连续谱部分,第二部分是其离散成分。
随机二进制序列的功率为 S=1/2л∫P s (ω)d ω=4f s P(1-P)∫G 2(f)df + ∑|f s (1-2P) G(mf s )|2∫δ(f- mf s )df =4f s P(1-P)∫G 2(f)df + f s P(1-P)2∑|G(mf s )|2 (2)当基带脉冲波形g(t)为⎪⎩⎪⎨⎧≤=t T t t g s 其他,02||,1)(g(t)的傅立叶变换G(f)为s ssfT fT T f G ππsin )(=因为0sin )(==ss ss sT f T f T f G ππ由题(1)中的结果知,此时的离散分量为0。
(3)⎪⎩⎪⎨⎧≤=t T t t g s 其他,04||,1)(g (t )的傅立叶变换G (f )为2/2/sin 2)(≠==πππss s s s s T T f T f T f G所以该二进制序列存在离散分量s sT f 1=1. 设某二进制数字基带信号的基本脉冲为三角形脉冲,如图所示。
图中s T 为码元间隔,数字信号“1”和“0”分别用g(t)的有无表示,且“1”和“0”出现的概率相等:(1) 求该数字基带信号的功率谱密度,并画出功率谱密度图;(2)能否从该数字基带信中提取码元同步所需的频率ss T f 1=的分量,若能,式计算该分量的功率。
第五章〔正弦载波数字调制系统〕习题及其答案【题5-1】设发送数字信息为,试分别画出 2ASK 、2FSK 、2PSK 及2DPSK 信号的波形示意图。
【答案5-1】2ASK 、2FSK 、2PSK 及2DPSK 信号的波形如下列图所示。
【题5-2】确定某2ASK 系统的码元传输速率为103Band ,所用的载波信号为()6cos 410A π⨯。
1〕设所传送的数字信息为011001,试画出相应的2ASK 信号波形示意图; 2〕求2ASK 信号的带宽。
【答案5-2】1〕由题中的确定条件可知310B R Baud =因此一个码元周期为3110s B T s R -==载波频率为664102102s f Hz ππ⨯==⨯载波周期为61102T s -=⨯所以一个码元周期内有2000个载波周期。
如下列图所示我们画出2ASK 信号的波形图,为简便,我们用两个载波周期代替2000个载波周期。
2〕依据2ASK 的频谱特点,可知其带宽为 222000B B R Hz T ===【题5-3】设某2FSK 调制系统的码元传输速率为1000Baud ,已调信号的载频为1000Hz 或 2000 HZ 。
1〕假设发送数字信息为011010,试画出相应的ZFSK 信号波形;2〕摸索讨这时的2FSK 信号应选择怎样的解调器解调?3〕假设发送数字信息是等可能的,试画出它的功率谱密度草图。
【答案5-3】1〕由题意可画出ZFSK 信号波形如下列图所示。
2〕由于ZFSK 信号载波频差较小,频谱有较大重叠,接受非相干解调时上下两个支路有较大串扰,使解调性能降低。
由于两个载频人与人构成正交信号,接受相干解调可减小相互串扰,所以应接受相干解调。
3〕该2FSK 信号功率谱密度草图如下列图所示。
【题5-4】假设在某2DPSK 系统中,载波频率为 2400 Hz ,码元速率为 1200 Band ,确定相对码序列为11000101ll 。
1〕试画出2DPSK 信号波形〔注:相对偏移ϕ∆,可自行假设〕;2〕假设接受差分相干解调法接收该信号时,试画出解调系统的各点波形;3〕假设发送信息符号0和1的概率分别为0.6和0.4,试求2DPSK 信号的功率谱密度。
《通信原理》习题参考答案第五章5-3. 设随机二进制序列中的0和1分别由g(t)和-g(t)组成,它们的出现概率分别为P 和(1-P);(1)求其功率谱密度及功率;(2)若g(t)为图P5-2(a)所示,T s 为码元宽度,问该序列存在离散分量f s =1/T s 否?(3)若g(t)改为图P5-2(b),回答题(2)所问。
解:(1)随机二进制的功率谱密度是由稳态波)(t v T 的功率谱密度和交流波)(t u T 的功率谱密度之和,即: )()()(ωωωu v s P P P +=()[]sm s s s s T f G f G P P mf f mf G P mf PG f 1)()()1()()(1)(221221--+-⋅-+=∑∞-∞=δ ()sm s s s T f G P P mf fmf G P f1)()1(4)()(12222-+-⋅-=∑∞-∞=δ s m s s s T f G P P mf f mf G P f 1)()1(4)()()12(2222-+-⋅-=∑∞-∞=δ∴⎰∞∞-=ωωπd P S s )(21df T f G P P mf f mf G P f s m s s s ⎰∑∞∞-∞-∞=⎥⎦⎤⎢⎣⎡-+-⋅-=1)()1(4)()()12(2222δ df T f G P P df mf f mf G P f s m s s s ⎰⎰∑∞∞-∞∞-∞-∞=-+-⋅-=1)()1(4)()()12(2222δtt(a) (b) 图P5-2df f G P P T df mf f mf G P f s s m s s⎰⎰∑∞∞-∞∞-∞-∞=-+--=2222)()1(41)()()12(δ (2) 若g(t)为图P5-2(a),则g(t)经过傅立叶变化可得到它的频谱,即:)2()(ss T Sa T G ωω=将ω换为f 得: ffT f T f T T f T Sa T f G s s s ss s πππππsin sin )()(=== 判断频域中是否存在s T f 1=,就是将sT f 1=代入)(f G 中,得:0sin sin )(===ππππss T f f T f G说明sT f 1=时g(t)的功率为0,所以不存在该分量。
第5章习题解答1. 已知某2ASK 系统的码元速率为1000波特,所用载波信号为()6cos 410A t π⨯。
(1) 假定比特序列为{0110010},试画出相应的2ASK 信号波形示意图; (2) 求2ASK 信号第一零点带宽。
解:由1000b sR R bps ==,6210c f Hz =⨯, 621020001000b c c b T f T R ⨯===(1)一个码元周期内有2000个正弦周期:111{}n a ()2ASK s t 0(2)022000b B R Hz ==2. 某2ASK 系统的速率为2b R =Mbps ,接收机输入信号的振幅40μV A =,AWGN 信道的单边功率谱密度为180510N -=⨯W/Hz ,试求传输信号的带宽与系统的接收误码率。
解:传输信号的带宽24T b B R MHz ==,平均码元能量:24bb A T E =。
()()22212010cos 21cos 4,0222b bT T bb c c b b b b A T A E A f t dt f t dt E E E E ππ==+==+=⎰⎰系统的接收误码率: (1)若是非相干解调,()2622618000401040444210510b b b E A T AN N R N --⨯====⨯⨯⨯⨯ 由非相干解调误码率公式,/4092211 1.03061022b E N e P ee ---≈==⨯ (2)若是相干解调:由相干解调误码率公式得,101.269810b P Q Q-===⨯3. 某2FSK 发送“1”码时,信号为()()111sin s t A t ωθ=+,0s t T ≤≤;发送“0”码时,信号为()()000sin s t A t ωθ=+,0s t T ≤≤。
式中1θ及0θ为均匀分布随机变量,0128s ωωπ==,“1”与“0”码等概率出现。
(1) 画出包络检波形式的接收机框图; (2) 设码元序列为11010,画出接收机中的主要波形(不考虑噪声);(3) 若接收机输入高斯噪声功率谱密度为02N (W/Hz ),试给出系统的误码率公式。
++++++++++++++++++++++++++第一章习题答案1-1解:1-2解:1-3解:1-4 解:1-5 解:1-6 解:1-7 解:1-8 解:第二章习题答案2-1 解:群延迟特性曲线略2-2 解:2-3 解:2-4 解:二径传播时选择性衰落特性图略。
2-5 解:2-6 解:2-7 解:2-8 解:第三章习题答案3-4 解:3-5 解:3-6 解:3-7 解:3-8 解:3-9 解:3-10 解:3-11 解:第四章习题答案4-2 解:4-3 解:4-4 解:4-6 解:4-8 解:4-9 解:4-10 解:4-11 解:4-12 解:4-13 解:4-15 解:4-16 解:4-17 解:第五章习题答案5-1 解:,,,(1)波形(2)5-2 解:,,(1)(2)相干接收时5-3 解:,,(1)相干解调时(2)非相干解调时5-4 解:,,,(1)最佳门限:而:所以:(2)包检:5-5 解:系统,,5-6 解:(1)信号与信号的区别与联系:一路可视为两路(2)解调系统与解调系统的区别与联系:一路信号的解调,可利用分路为两路信号,而后可采用解调信号的相干或包检法解调,再进行比较判决。
前提:信号可分路为两路信号谱不重叠。
5-7 解:系统,,,(1)(2)5-8 解:系统,,,,(1)(2)所以,相干解调时:非相干解调时:5-9 解:5-10 解:(1)信号时1 0 0 1 0(2)1 0 1 0 0,5-12 解:时:相干解调码变换:差分相干解调:,,(1):a:相干解调时解得:b:非相干解调时解得:(2):(同上)a:相干解调时,b:非相干解调时,(3)相干解调时即在保证同等误码率条件下,所需输入信号功率为时得1/4,即(4)a:差分相干解调时即在保证同等误码率条件下,所需输入信号功率为时得1/4,即b:相干解调的码变换后解得:5-16 解:(A方式)0 1 1 0 0 1 1 1 0 1 0 0 ,5-17 解:(1)时所以(2)时所以5-18 解:5-19 解:,::一个码元持续时间,含:个周波个周波。
第五章5-1 已知线性调制信号表示式如下:(1)ttcωcoscosΩ,(2)tc5.01(+。
式中,Ω=6cω。
试分别画出它们的波形图和频谱图。
5-2 根据图P5-1所示的调制信号波形,试画出DSB及AM信号的波形图,并比较它们分别通过包络检波器后的波形差别。
解:5-3已知调制信号m(t)=cos(2000πt)+ cos(4000πt),载波为cos104πt,进行单边带调制,试确定该单边带信号的表示式,并画出频谱图。
5-4 将调幅波通过残留边带滤波器产生残留边带信号。
若此滤波器的传输函数H(ω)如图P5-2所示(斜线段为直线)。
当调制信号为f/kHz)解:设调幅波[()]cosAM cs m m t tω=+,其中()m m t,且()AM DSBs Sω⇔,根据残留边带滤波器在cω处的互补对称性,从()Hω的图中得知载频cf为10kHz,由此得到载波cos20000tπ。
因此设残留边带信号为()VSBs t,且()()VSB VSBs t Sω⇔,则()()()VSB DSBs t S Hωω⇔。
由图5-3可得10.05f kHz=±时,()10.059.50.55Hω=-=;10f kHz=±时,()0.5Hω=;9.95f kHz=±时,()9.959.50.45Hω=-=;7f kHz=±时,()0Hω=。
故5-5 某调制方框图如图P5-3(b)所示。
已知()m t的频谱如图P5-3(a)所示,载频12ωω,1Hωω>,且理想低通滤波器的截止频率为1ω,试求输出信号()s t,并说明()s t为何种已调信号。
解:上支路输入信号()m t 与1cos t ω相乘产生DSB 信号(频谱的中心频率为1ω),经过理想低通滤波器(截止频率1ω)后,产生下下边带信号输出:下支路输入信号()m t 与1sin t ω相乘产生DSB 信号(频谱的中心频率为1ω),经过理想低通滤波器(截止频率1ω)后,产生另一个下边带信号输出:1()s t 与2()s t 分别与2cos t ω和2sin t ω相乘,再相加后的输出信号11211211()[()cos ()sin ]cos [()sin ()cos ]sin 22s t m t t m t t t m t t m t t t ωωωωωω=++- 即:()s t 为载频为21ωω-的上边带信号。
第五章习题习题5.1 若消息码序列为1101001000001,试求出AMI 和3HDB 码的相应序列。
解: A MI 码为 3HDB 码为习题5.2 试画出A MI 码接收机的原理方框图。
解:如图5-20所示。
图5-1 习题5.2图习题 5.3 设)(1t g 和)(2t g 是随机二进制序列的码元波形。
它们的出现概率分别是P 和)1(P -。
试证明:若k t g t g P =-=)](/)(1[121,式中,k 为常数,且10<<k ,则此序列中将无离散谱。
证明:若k t g t g P =-=)(/)(1121,与t 无关,且10<<k ,则有1)()]()([212=-t g t g t g P即 )()1()()()(2221t g P t g t Pg t Pg -=-=0)()1()(21=-+t g P t Pg所以稳态波为 ∑∑--+-=)()1()()(s 2s 1nT t g P nT t g P t v0)]()1()([s 2s 1=--+-=∑nT t g P nT t g P即0)(=w P v 。
所以无离散谱。
得证!习题5.4 试证明式()()()()⎰+-=1011d 2sin 2sin 4W f ft W f H Wt t h ππ。
证明:由于⎰∞∞-=df e f H t h ft j π211)()(,由欧拉公式可得⎰⎰⎰∞∞-∞∞-∞∞-+=+=fft f H ftdf f H fft ft f H t h d 2sin )(j 2cos )(d )2sin j 2)(cos ()(1111ππππ由于)(1f H 为实偶函数,因此上式第二项为0,且⎰∞∞-=f ft f H t h d )2cos()(2)(11π10100010010111000001001011+--+-++-+-+k a令,'d d ,'f f W f f =+=,代入上式得⎰⎰⎰∞-∞-∞-+++=++=WWW fWt ft W f H f Wt ft W f H f t W f W f H t h d 2sin 2sin )(2d 2cos 2cos )(2'd ])'(2cos[)'(2)(1111πππππ由于)(1f H 单边为奇对称,故上式第一项为0,因此⎰⎰+=+=∞-WW fftt W f H W fftt W f H W t h 0111d 2sin )(2sin 4d 2sin )(2sin 2)(ππππ习题5.5 设一个二进制单极性基带信号序列中的“1”和“0”分别用脉冲)(t g [见图5-2的有无表示,并且它们出现的概率相等,码元持续时间等于T 。
第五章5-1 已知线性调制信号表示式如下:(1)t t c ωcos cos Ω,(2)t t c ωcos )sin 5.01(Ω+。
式中,Ω=6c ω。
试分别画出它们的波形图和频谱图。
1(1)cos cos [cos()cos()]2[cos cos ]{[()][()][()][()]}21(2)(10.5sin )cos cos [sin()sin()]4[(10.5sin )cos ][()(c c c c c c c c c c c c c c c t t F t t t t t F t t ωωωπωδωωδωωδωωδωωωωωωωπδωωδωωΩ=-Ω++Ω∴Ω=--Ω++-Ω+-+Ω+++Ω+Ω=+-Ω++Ω∴+Ω=-++ 解:)]{[()][()]4[()[()]]}c c c c j πδωωδωωδωωδωω++-Ω---Ω+++Ω--+Ωππ5-2 根据图P5-1所示的调制信号波形,试画出DSB 及AM 信号的波形图,并比较它们分别通过包络检波器后的波形差别。
图P5-1解:从波形中可以看出,DSB 信号经过包络检波器后输出波形失真,不能恢复调制信号;而AM 信号经过包络检波器后能正确恢复调制信号。
5-3已知调制信号m (t )=cos(2000πt )+cos104πt ,进行单边带调制,()sin(2000)sin(4000)1111()()cos ()sin cos(12000)cos(14000)22221111()()cos ()sin cos(8000)cos(6000)2222USB c c LSB c c m t t t s t m t t m t t t t s t m t t m t t t t ππωωππωωππ=+=-=+=+=+解:则5-4 将调幅波通过残留边带滤波器产生残留边带信号。
若此滤波器的传输函数H(ω)如图P5-2所示(斜线段为直线)。
当调制信号为()[100600]m t A sin t sin t ππ=+时,试确定图P5-2 (横坐标的单位为f/kHz )解: 设调幅波 0[()]cos AM c s m m t t ω=+,其中0()m m t ,且()AM DSB s S ω⇔,根据残留边带滤波器在c ω处的互补对称性,从()H ω的图中得知载频c f 为10kHz ,由此得到载波cos 20000t π。
因此00()[(sin100sin 6000)]cos 20000cos 20000(sin 20100sin19900)(sin 26000sin14000)22AM s t m A t t tA Am t t t t t ππππππππ=++=+-+-0()[(20000)(20000)][(20100)(20100)2(19900)(19900)(26000)(26000)(14000)(14000)]DSB S m jmAωπδωπδωπδωπδωπδωπδωπδωπδωπδωπδωπ=++-++---++-++---++- 设残留边带信号为()VSB s t ,且()()VSB VSB s t S ω⇔,则()()()VSB DSB s t S H ωω⇔。
由图5-3可得10.05f kHz =±时,()10.059.50.55H ω=-=; 10f kHz =±时,()0.5H ω=;9.95f kHz =±时,()9.959.50.45H ω=-=; 7f kHz =±时,()0H ω=。
故00()[(20000)(20000)][0.55(20100)0.55(20100)20.45(19900)0.45(19900)(26000)(26000)]1()cos 20000[0.55sin 201000.45sin1990022sin 26000]VSB VSB S m jmAAs t m t t t t ωπδωπδωπδωπδωπδωπδωπδωπδωπππππ=++-++---++-++--=+-+5-5 某调制方框图如图P5-3(b )所示。
已知()m t 的频谱如图P5-3(a )所示,载频12ωω ,1H ωω>,且理想低通滤波器的截止频率为1ω,试求输出信号()s t ,并说明()s t 为何种已调信号。
(a )解:上支路输入信号()m t 与1cos t ω相乘产生DSB 信号(频谱的中心频率为1ω),经过理想低通滤波器(截止频率1ω)后,产生下下边带信号输出:11111()()cos ()sin 22s t m t t m t t ωω=+下支路输入信号()m t 与1sin t ω相乘产生DSB 信号(频谱的中心频率为1ω),经过理想低通滤波器(截止频率1ω)后,产生另一个下边带信号输出: 21111()()sin ()cos 22s t m t t m t t ωω=-1()s t 与2()s t 分别与2cos t ω和2sin t ω相乘,再相加后的输出信号11211211()[()cos ()sin ]cos [()sin ()cos ]sin 22s t m t t m t t t m t t m t t t ωωωωωω=++-1212121211()[cos cos sin sin ]()[sin cos cos sin ]22m t t t t t m t t t t t ωωωωωωωω=++-212111()cos()()sin()22m t t m t t ωωωω=---即:()s t 为载频为21ωω-的上边带信号。
5-6 某调制系统如图P5-4所示。
为了在输出端同时分别得到1()f t 和2()f t ,试确定接收端的和。
解:发送端相加器的输出为102011()()cos ()sin 22f t f t t f t t ωω=+ 根据图P5-4,采用相干调制,10()cos c t t ω=和20()sin c t t ω=,可以获得1()f t 和2()f t 输出:2110200102011()()()cos ()sin cos 22111()cos 2()sin 2444f t c t f t t f t t t f t t f t t ωωωωω=+=++经过低通滤波器后,获得1()f t 输出;2210020201011()()()cos sin ()sin 22111()cos 2()sin 2444f t c t f t t t f t t f t t f t t ωωωωω=+=-+经过低通滤波器后,获得2()f t 输出。
5-7设某信道具有双边噪声功率谱密度P n (f )=0.5⨯10-3W/Hz ,在该信道中传输抑制载波的双边带信号,并设调制信号m(t)的频带限制在5kHz ,而载波为100kHz ,已调信号的功率为10kW 。
若接收机的输入信号在加至解调器之前,先经过带宽为10kHz 的一理想带通滤波器,试问:(1) 该理想带通滤波器中心频率为多少? (2) 解调器输入端的信噪功率比为多少?(3) 解调器输出端的信噪功率比为多少?(4) 求出解调器输出端的噪声功率谱密度,并用图形表示出来。
1053950012100()95105()022()20.510101010001032220004c H c HH H f f k i n f f ki i DSB i iB f f kHz K kHz f HzH f N P f df df WS kW N W G S SN N +--=⨯=⎧≤≤=⎨⎩==⨯=∴===∴==⎰⎰解:()带通滤波器的宽度等于已调信号带宽,即=25kHz,其中心频率为。
带通滤波器的传输特性为常数其他()()()相干调制时,输出噪声00030031412.52()42.51()0.2510(/)()225102i n n n H N N W N P f BN P f W Hz P f f -===∴===⨯=⨯⨯功率是输入噪声功率的,即:,又5-8 若对某一信号用DSB 进行传输,设加至接收机的调制信号()m t 的功率谱密度为()20m m m mfn f f P f ff f ⎧⋅≤⎪=⎨⎪>⎩试求(1)接收机的输入信号功率; (2)接收机的输出信号功率;(3)若叠加于DSB 信号的白噪声具有双边功率谱密度为2n ,射解调器的输出端接有截止频率为m f 的理想低通滤波器,那么,输出信噪功率比为多少?解:(1)设DSB 信号()cos m c s m t t ω=。
接收机的输入信号功率为2111()()222m m f i m m m f S m t P f df f n -===⎰(2)DSB 信号采用相干解调的输出为1()()2o m t m t =,因此输出信号功率o S 为2211()()48o o m m S m t m t f n ===(3)解调器的输入噪声功率 002i m N n B n f == 对于相干解调方式,解调器的输出噪声功率 01142o i m N N n f == 输出信噪比为4o m o S n N n = 由2DSB G =,得到24o i m o i S S n N N n ==5-9设某信道具有双边噪声功率谱密度P n (f )=0.5*10-3W/Hz ,在该信道中传输抑制载波的单边带(上边带)信号,并设调制信号m(t)的频带限制在5kHz ,而载波为100kHz ,已调信号的功率为10kW 。
若接收机的输入信号在加至解调器之前,先经过带宽为10kHz 的一理想带通滤波器,试问:(1) 该理想带通滤波器中心频率为多少? (2) 解调器输入端的信噪功率比为多少? (3) 解调器输出端的信噪功率比为多少?010*********.5222()20.5105c H cHc f f ki n f kf f f kHz N P f df df W+-=+===⨯=⎰⎰解:()()1020005i i S kWN W∴==0031120002000i iSSB S SG N N ∴=⋅=⨯= ()的调制度增益为5-10 某线性调制系统的输出信噪比为20dB ,输出噪声功率为10-9W ,由发射机输出端到解调器输入端之间总的传输损耗为100dB ,试求:(1)DSB/SC 时的发射机输出功率; (2)SSB/SC 时的发射机输出功率。
解:设发射机的输出功率为T S ,解调器输入端信号功率为i S ,则传输损耗1010Ti S K S ==。
已知发射机的信噪比100o oS N =,910o N W -=, (1)DSB/SC 的制度增益2G =,因此解调器的输入信噪比为1502i oi oS S N N =⋅= 相干解调时4i o N N =,因此,解调器的输入端信号功率为 750200210()i i o S N N W -===⨯ 发射机的输出功率3210()T i S K S W =⋅=⨯(2)SSB/SC 的制度增益1G =,因此解调器的输入信噪比为100i o i oS SN N == 又,4i o N N =,解调器的输入端信号功率为7100400410()i i o S N N W -===⨯ 发射机的输出功率为3410()T i S K S W =⋅=⨯5-11 设调制信号()m t 的功率谱密度与题5-8相同,若用SSB 调制方式进行传输(忽略信道的影响),试求(1)接收机的输入信号功率; (2)接收机的输出信号功率;(3)若叠加于SSB 信号的白噪声具有双边功率谱密度为02n ,设解调器的输出端接有截止频率为m f Hz 的理想低通滤波器,那么,输出功率信噪比为多少?(4)该系统的调制制度增益是多少? 解:(1)设SSB 信号 11()()cos ()sin 22SSB c c s t m t t m t t ωω=+5-12 试证明:当AM 信号采用同步检波法进行解调时,其制度增益G 与公式(5.2-38)的结果相同。