2015年东莞中考各大高中学校分数线全部公布剖析
- 格式:doc
- 大小:291.50 KB
- 文档页数:12
最大最全最精的教育资源网2015 年广东省东莞市中考数学试卷一、选择题:本大题 10 小题,每题 3 分,共 30 分。
在每题给出的四个选项中,只有 一个是正确的,请把答题卡上对应题目所选的选项涂黑。
21·世纪 *教育网1.( 3 分)( 2015?东莞) |﹣ 2|=()A . 2B .﹣2C .D .2.(3 分)( 2015?东莞)据国家统计局网站 2014 年 12 月 4 日公布的信息, 2014 年广东省粮 食总产量约为 13 573 000 吨,将 13 573 000 用科学记数法表示为( ) 21*cnjy*comA . 1.3573×106B . 1.3573×107C . 1.3573×108D . 1.3573×1093.( 3 分)( 2015?东莞)一组数据 2, 6, 5, 2, 4,则这组数据的中位数是()A . 2B . 4C . 5D . 64.( 3 分)( 2015?东莞)如图,直线 a ∥b , ∠1=75°, ∠2=35°,则 ∠3 的度数是( )A . 75°B . 55°C . 40°D . 35°5.(3 分)( 2015?东莞)以下所述图形中,既是中心对称图形,又是轴对称图形的是()A . 矩形B . 平行四边形C . 正五边形D . 正三角形2( )6.( 3 分)( 2015?东莞)(﹣ 4x ) =2222A . ﹣ 8xB . 8xC . ﹣ 16xD . 16x7.( 3 分)( 2015?东莞)在 0,2,(﹣ 3) 0,﹣ 5 这四个数中,最大的数是( )A . 0B . 2C . (﹣3)0D .﹣58.( 3 分)( 2015?东莞)若对于 2=0 有两个不相等的实数根,则实数ax 的方程 x +x ﹣ a+ 的取值范围是( )教育名师】【出处: 21A . a ≥2B . a ≤2C . a > 2D . a < 29.(3 分)( 2015?东莞)如图, 某数学兴趣小组将边长为 3 的正方形铁丝框 ABCD 变形为以 A 为圆心, AB 为半径的扇形(忽视铁丝的粗细),则所得扇形 DAB 的面积为()A. 6B. 7C. 8D. 910.( 3 分)( 2015?东莞)如图,已知正△ABC 的边长为 2, E、 F、 G 分别是 AB 、 BC 、CA上的点,且 AE=BF=CG ,设△EFG 的面积为 y, AE 的长为 x,则 y 对于 x 的函数图象大概是()A.B.C.D.二、填空题:本大题 6 小题,每题 4 分,共 24 分。
各地级以上市及顺德区招⽣委员会,各⾼等学校:经省招⽣委员会研究决定:2015年⼴东省普通⾼校招⽣各批次录取最低控制分数线如下:⼀、第⼀批本科院校(含执⾏本批次最低控制分数线的提前批本科院校)⽂科类:总分573分。
理科类:总分577分。
体育类:⽂化科总分410分,体育术科240分。
美术类:⽂化科总分345分,美术术科234分。
⾳乐类:⽂化科总分348分,⾳乐术科230分。
重点院校招收贫困地区农村学⽣专项计划:⽂科类总分553分,理科类总分557分。
空军飞⾏学员:⽂科类总分548分,理科类总分552分。
⼆、第⼆批本科院校A线(含执⾏本批次最低控制分数线的提前批本科院校)⽂科类:总分524分。
理科类:总分519分。
体育类:⽂化科总分330分,体育术科200分。
美术类:⽂化科总分335分,美术术科224分。
⾳乐类:⽂化科总分330分,⾳乐术科207分。
B线⽂科类:总分474分。
理科类:总分483分。
体育类:⽂化科总分320分,体育术科198分。
美术类:⽂化科总分325分,美术术科214分。
⾳乐类:⽂化科总分315分,⾳乐术科202分。
三、第三批专科院校A线(含执⾏本批次最低控制分数线的提前批专科院校)⽂科类:总分403分。
理科类:总分407分。
体育类:⽂化科总分292分,体育术科183分。
美术类:⽂化科总分285分,美术术科195分。
⾳乐类:⽂化科总分280分,⾳乐术科180分。
B线:⽂科类:总分270分。
理科类:总分280分。
体育类:⽂化科总分260分,体育术科178分。
美术类:⽂化科总分255分,美术术科170分。
⾳乐类:⽂化科总分255分,⾳乐术科160分。
四、⾼等院校招收中等职业学校毕业⽣中职毕业⽣:⽂化科总分200分,并取得⼴东省中等职业技术教育专业技能课程考试合格证书。
⾼职院校招收退役⼠兵:⽂化课总分150分。
⾼职院校招收内地西藏新疆班:⽂化课总分150分。
五、订单定向培养农村卫⽣⼈才(⼀)第⼀批本科院校农村卫⽣⼈才定向:理科类总分557分。
年东莞市第一批高中阶段学校录取分数线————————————————————————————————作者:————————————————————————————————日期:22016年东莞市第一批高中阶段学校录取分数线院校号院校名称第一志愿第二志愿第三志愿第四志愿第五志愿第六志愿9010 东莞中学(本市户籍)713 7439012 东莞中学(随迁子女)726 7569020 市第一中学(本市户籍)685 7159022 市第一中学(随迁子女)714 7449030 市实验中学(本市户籍)670 7009032 市实验中学(随迁子女)696 7269040 市高级中学(本市户籍)672 7029042 市高级中学(随迁子女)709 7399170 东莞中学松山湖学校(本市户籍)701 7319172 东莞中学松山湖学校(随迁子女)719 7499090 东莞外国语学校(本市户籍)660 6909092 东莞外国语学校(随迁子女)708 7389050 石龙中学(本市户籍)619 624 629 634 634 634 9052 石龙中学(随迁子女)694 699 704 709 709 709 9060 虎门中学(本市户籍)500 505 510 515 515 515 9062 虎门中学(随迁子女)638 643 648 653 653 653 9070 常平中学(本市户籍)604 609 614 619 619 619 9072 常平中学(随迁子女)687 692 697 702 702 702 9080 万江中学(本市户籍)591 596 601 606 606 606 9082 万江中学(随迁子女)675 680 685 690 690 690 9130 市第四高级中学(本市户籍)540 545 550 555 555 555 9132 市第四高级中学(随迁子女)631 636 641 646 646 646 9150 市第五高级中学(本市户籍)528 533 538 543 543 543 9152 市第五高级中学(随迁子女)632 637 642 647 647 647 9180 厚街中学(本市户籍)521 526 531 536 536 536 9182 厚街中学(随迁子女)622 627 632 637 637 637 9190 塘厦中学(本市户籍)520 525 530 535 535 535 9192 塘厦中学(随迁子女)645 650 655 660 660 660 9250 市第六高级中学(本市户籍)635 640 645 650 650 650 9252 市第六高级中学(随迁子女)700 705 710 715 715 715 9260 市第七高级中学(本市户籍)555 560 565 570 570 570 9262 市第七高级中学(随迁子女)658 663 668 673 673 673 9270 市第八高级中学(本市户籍)578 583 588 593 593 593 9272 市第八高级中学(随迁子女)674 679 684 689 689 689 9280 麻涌中学(本市户籍)503 508 513 518 518 518 9282 麻涌中学(随迁子女)600 605 610 615 615 615 9290 市第二高级中学(本市户籍)565 570 575 580 580 5809292 市第二高级中学(随迁子女)664 669 674 679 679 679 9300 市第十高级中学(本市户籍)503 508 513 518 518 518 9302 市第十高级中学(随迁子女)614 619 624 629 629 629 9320 济川中学(本市户籍)500 505 510 515 515 515 9322 济川中学(随迁子女)607 612 617 622 622 622 9330 大岭山中学(本市户籍)509 514 519 524 524 524 9332 大岭山中学(随迁子女)620 625 630 635 635 635 9340 大朗中学(本市户籍)518 523 528 533 533 533 9342 大朗中学(随迁子女)630 635 640 645 645 645 9360 长安中学(本市户籍)506 511 516 521 521 521 9362 长安中学(随迁子女)608 613 618 623 623 623 7090 光正实验学校(公费生)682 687 692 697 697 697 7091 光正实验学校(自费生)552 557 562 567 567 567 7093 光正实验学校(国际课程班)502 507 512 517 517 517 7100 东华高级中学(公费生)东城校区724 7547101 东华高级中学(除国际课程班外的自费生)东城校区645 650 655 660 660 660 7103 东华高级中学(国际课程班)东城校区503 508 513 518 518 518 7110 光明中学(公费生)718 7487111 光明中学(除国际课程班外的自费生)630 635 640 645 645 645 7113 光明中学(国际课程班)500 505 510 515 515 515 7120 新世纪英才学校(公费生)677 682 687 692 692 692 7121 新世纪英才学校(自费生)537 542 547 552 552 552 7140 南开实验学校(公费生)710 715 720 725 725 725 7141 南开实验学校(自费生)621 626 631 636 636 636 7160 北师大翰林实验学校(公费生)713 718 723 728 728 728 7161 北师大翰林实验学校(除国际课程班外的自费生)615 620 625 630 630 630 7163 北师大翰林实验学校(国际课程班)501 506 511 516 516 516 7200 东方明珠学校(公费生)651 656 661 666 666 666 7201 东方明珠学校(自费生)500 505 510 515 515 515 7210 虎门外语学校(公费生)719 724 729 734 734 734 7211 虎门外语学校(除国际课程班外的自费生)666 671 676 681 681 681 7213 虎门外语学校(国际课程班)502 507 512 517 517 517 7220 北师大东莞石竹附属学校(公费生)677 682 687 692 692 692 7221 北师大东莞石竹附属学校(除国际课程班外的自费生)579 584 589 594 594 594 7223 北师大东莞石竹附属学校(国际课程班)518 523 528 533 533 533 7230 塘厦水霖学校(公费生)627 632 637 642 642 642 7231 塘厦水霖学校(自费生)500 505 510 515 515 515 7240 粤华学校(公费生)688 693 698 703 703 703 7241 粤华学校(自费生)516 521 526 531 531 5317250 松山湖莞美学校(公费生)674 679 684 689 689 689 7251 松山湖莞美学校(自费生)549 554 559 564 564 564 7300 东华高级中学(公费生)松山湖校区728 7587301 东华高级中学(除国际课程班外的自费生)松山湖校区603 608 613 618 618 618 820 东莞理工学校软件与信息服务三二分段586 591 596 601 601 601 820 东莞理工学校数控技术应用德国课程班403 408 413 418 418 418 820 东莞理工学校数控技术应用三二分段532 537 542 547 547 547 820 东莞理工学校模具制造技术三二分段516 521 526 531 531 531 820 东莞理工学校汽车运用与维修德国课程班402 407 412 417 417 417 820 东莞理工学校汽车运用与维修三二分段557 562 567 572 572 572 820 东莞理工学校汽车电子技术应用德国课程班404 409 414 419 419 419 820 东莞理工学校电子技术应用(光电))三二分段490 495 500 505 505 505 820 东莞理工学校机电化技术应用(机器人)台湾课程班409 414 419 424 424 424 820 东莞理工学校机电化技术应用(机器人)三二分段528 533 538 543 543 543 820 东莞理工学校电子商务台湾课程班485 490 495 500 500 500 820 东莞理工学校商务英语新西兰国际留学班554 559 564 569 569 569 820 东莞理工学校计算机应用新西兰国际留学班411 416 421 426 426 426 821 东莞市经济贸易学校会计三二分段527 532 537 542 542 542 821 东莞市经济贸易学校物流服务与管理三二分段469 474 479 484 484 484 821 东莞市经济贸易学校物流服务与管理韩国国际留学班418 423 428 433 433 433 821 东莞市经济贸易学校金融事务台湾课程班407 412 417 422 422 422 821 东莞市经济贸易学校计算机网络技术三二分段487 492 497 502 502 502 821 东莞市经济贸易学校计算机应用台湾课程班403 408 413 418 418 418 821 东莞市经济贸易学校计算机应用三二分段482 487 492 497 497 497 821 东莞市经济贸易学校旅游服务与管理三二分段435 440 445 450 450 450 822 东莞卫生学校护理三二分段488 493 498 503 503 503 822 东莞卫生学校助产三二分段468 473 478 483 483 483 822 东莞卫生学校药剂三二分段497 502 507 512 512 512 822 东莞卫生学校制药技术三二分段427 432 437 442 442 442 825 东莞市纺织服装学校服装设计与工艺三二分段477 482 487 492 492 492 825 东莞市纺织服装学校服装设计与工艺韩国国际留学班408 413 418 423 423 423 825 东莞市纺织服装学校服装制作与生产管理韩国国际留学班405 410 415 420 420 420 825 东莞市纺织服装学校美术设计与制作三二分段424 429 434 439 439 439 825 东莞市纺织服装学校平面媒体印制技术三二分段404 409 414 419 419 419 825 东莞市纺织服装学校针织工艺三二分段402 407 412 417 417 417 826 东莞市商业学校学前教育三二分段479 484 489 494 494 494 826 东莞市商业学校计算机动漫与游戏制作台湾课程班420 425 430 435 435 435 826 东莞市商业学校计算机动漫与游戏制作澳大利亚国际留学班401 406 411 416 416 416 826 东莞市商业学校计算机动漫与游戏制作三二分段485 490 495 500 500 500826 东莞市商业学校计算机平面设计澳大利亚国际留学班405 410 415 420 420 420 826 东莞市商业学校汽车整车与配件营销三二分段404 409 414 419 419 419 826 东莞市商业学校电子技术应用三二分段411 416 421 426 426 426 826 东莞市商业学校会计电算化澳大利亚国际留学班443 448 453 458 458 458 826 东莞市商业学校会计电算化三二分段446 451 456 461 461 461 826 东莞市商业学校市场营销三二分段456 461 466 471 471 471 826 东莞市商业学校电子商务三二分段468 473 478 483 483 483 827 东莞市轻工业学校家具设计与制作三二分段450 455 460 465 465 465 827 东莞市轻工业学校工艺美术三二分段463 468 473 478 478 478 828 东莞市机电工程学校模具制造技术德国课程班400 405 410 415 415 415 828 东莞市机电工程学校模具制造技术三二分段440 445 450 455 455 455 828 东莞市机电工程学校数控技术应用德国课程班401 406 411 416 416 416 829 东莞市电子科技学校计算机应用新西兰国际留学班400 405 410 415 415 415 829 东莞市电子科技学校电子技术应用台湾课程班400 405 410 415 415 415 829 东莞市电子科技学校计算机应用台湾课程班400 405 410 415 415 415 829 东莞市电子科技学校电子技术应用三二分段469 474 479 484 484 484 829 东莞市电子科技学校智能化控制技术(机器人)德国课程班407 412 417 422 422 422 829 东莞市电子科技学校动漫游戏三二分段471 476 481 486 486 486 829 东莞市电子科技学校社会文化艺术三二分段405 410 415 420 420 420 830 东莞市电子商贸学校电子商务台湾课程班403 408 413 418 418 418 830 东莞市电子商贸学校电子商务三二分段465 470 475 480 480 480 835 东莞市汽车技术学校汽车运用与维修德国课程班400 405 410 415 415 415 835 东莞市汽车技术学校汽车运用与维修韩国国际留学班405 410 415 420 420 420 835 东莞市汽车技术学校汽车电子技术应用韩国国际留学班409 414 419 424 424 424。
2015广东高考文科分数线
2015年广东高考分数线公布:
6月25日上午11:00,广东2015年普通高等学校招生录取分数线公布,文科一本573分,较去年降低6分;理科一本577分,较去年提高17分。
今年普通高等学校招生录取分数线是:
第一批本科院校文科类总分:573分,理科类总分:577分;
第二批本科院校A线文科类总分:524 分,理科类总分:519 分;B 线文科类总分:474 分,理科类总分:483分;
第三批专科院校A线文科类总分:403 分,理科类总分:407 分;B 线文科类总分:270 分,理科类总分:280 分。
另据了解,今年梅州高考理科第一名花落东山中学,总成绩686分;梅州文科第一名花落兴宁一中,总成绩668分。
东莞2015年高中阶段学校招生录取分数线已划定
东莞中招办官方消息!东莞中考各大高中学校分数线全部公布
中考分数线划定了!7月5日下午,东莞中招办发布了各大高中学校的录取分数线。
快来看看你上线了没有?!
与往年相比,今年中考的信息量更丰富:全市各大高中的录取分数线一起划定。
不过,受到试卷难度、择校班取消等因素的影响,各大高中录取分数线有所下降。
(回复数字“2013”或“2014”,可查看往年分数线,进行对比)
请继续关注教育莞家,将有更多重磅中考消息发布。
【精品文档】201X年广东东莞中考分数线情况-推荐word版
本文部分内容来自网络整理,本司不为其真实性负责,如有异议或侵权请及时联系,本司将立即删除!
== 本文为word格式,下载后可方便编辑和修改! ==
201X年广东东莞中考分数线情况
201X年广东东莞中考分数线情况
我市201X年高中阶段学校招生录取工作已于日前开始,列入第一批录取的公办普通高中、民办普通高中(含公费生和自费生)及中高职三二分段班、中职国际班和中职台湾课程班的最低录取分数线已划定。
根据志愿顺序,按照综合素质评价等级和学业考试成绩从高分到低分录取的原则,这部分学校的最低录取分数线见附表。
东莞中学、东莞中学松山湖学校、东莞市第一中学、市实验中学、市高级中学等五所学校名额分配到校的最低分数不得低于本校面向全市招收本市户籍考生的最低录取分数线50分,东莞外国语学校自主招生的最低分数不得低于本校面向全市招收本市户籍考生的最低录取分数线50分。
先来看看大家最关心的几所热门高中↓↓
(全部为第一志愿分数线)
东莞中学:713
莞中松山湖:705
市一中:689
实验中学:667
高级中学:681
东莞外国语学校:672
东华中学(东城区)
公费生:729
自费生:672
东华中学(松山湖校区)。
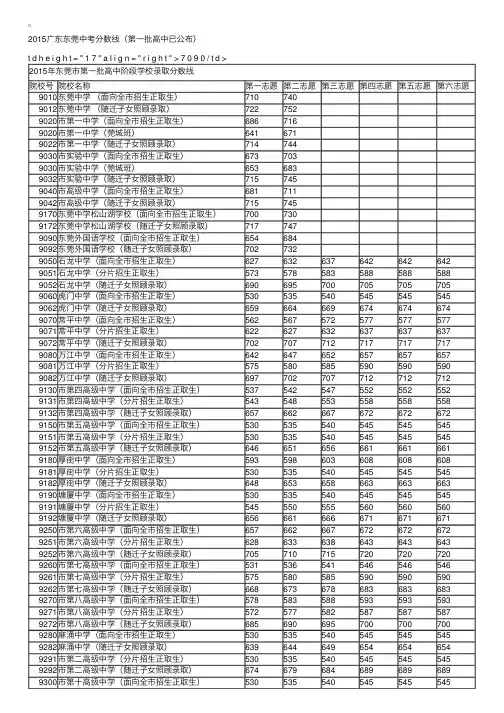
2015⼴东东莞中考分数线(第⼀批⾼中已公布)t d h e i g h t = " 1 7 " a l i g n = " r i g h t " > 7 0 9 0 / t d >2015年东莞市第⼀批⾼中阶段学校录取分数线院校号院校名称第⼀志愿第⼆志愿第三志愿第四志愿第五志愿第六志愿9010东莞中学(⾯向全市招⽣正取⽣)710740 9012东莞中学(随迁⼦⼥照顾录取)722752 9020市第⼀中学(⾯向全市招⽣正取⽣)686716 9020市第⼀中学(莞城班)641671 9022市第⼀中学(随迁⼦⼥照顾录取)714744 9030市实验中学(⾯向全市招⽣正取⽣)673703 9030市实验中学(莞城班)653683 9032市实验中学(随迁⼦⼥照顾录取)715745 9040市⾼级中学(⾯向全市招⽣正取⽣)681711 9042市⾼级中学(随迁⼦⼥照顾录取)715745 9170东莞中学松⼭湖学校(⾯向全市招⽣正取⽣)700730 9172东莞中学松⼭湖学校(随迁⼦⼥照顾录取)717747 9090东莞外国语学校(⾯向全市招⽣正取⽣)654684 9092东莞外国语学校(随迁⼦⼥照顾录取)702732 9050⽯龙中学(⾯向全市招⽣正取⽣)627632637642642642 9051⽯龙中学(分⽚招⽣正取⽣)573578583588588588 9052⽯龙中学(随迁⼦⼥照顾录取)690695700705705705 9060虎门中学(⾯向全市招⽣正取⽣)530535540545545545 9062虎门中学(随迁⼦⼥照顾录取)659664669674674674 9070常平中学(⾯向全市招⽣正取⽣)562567572577577577 9071常平中学(分⽚招⽣正取⽣)622627632637637637 9072常平中学(随迁⼦⼥照顾录取)702707712717717717 9080万江中学(⾯向全市招⽣正取⽣)642647652657657657 9081万江中学(分⽚招⽣正取⽣)575580585590590590 9082万江中学(随迁⼦⼥照顾录取)697702707712712712 9130市第四⾼级中学(⾯向全市招⽣正取⽣)537542547552552552 9131市第四⾼级中学(分⽚招⽣正取⽣)543548553558558558 9132市第四⾼级中学(随迁⼦⼥照顾录取)657662667672672672 9150市第五⾼级中学(⾯向全市招⽣正取⽣)530535540545545545 9151市第五⾼级中学(分⽚招⽣正取⽣)530535540545545545 9152市第五⾼级中学(随迁⼦⼥照顾录取)646651656661661661 9180厚街中学(⾯向全市招⽣正取⽣)593598603608608608 9181厚街中学(分⽚招⽣正取⽣)530535540545545545 9182厚街中学(随迁⼦⼥照顾录取)648653658663663663 9190塘厦中学(⾯向全市招⽣正取⽣)530535540545545545 9191塘厦中学(分⽚招⽣正取⽣)545550555560560560 9192塘厦中学(随迁⼦⼥照顾录取)656661666671671671 9250市第六⾼级中学(⾯向全市招⽣正取⽣)657662667672672672 9251市第六⾼级中学(分⽚招⽣正取⽣)628633638643643643 9252市第六⾼级中学(随迁⼦⼥照顾录取)705710715720720720 9260市第七⾼级中学(⾯向全市招⽣正取⽣)531536541546546546 9261市第七⾼级中学(分⽚招⽣正取⽣)575580585590590590 9262市第七⾼级中学(随迁⼦⼥照顾录取)668673678683683683 9270市第⼋⾼级中学(⾯向全市招⽣正取⽣)578583588593593593 9271市第⼋⾼级中学(分⽚招⽣正取⽣)572577582587587587 9272市第⼋⾼级中学(随迁⼦⼥照顾录取)685690695700700700 9280⿇涌中学(⾯向全市招⽣正取⽣)530535540545545545 9282⿇涌中学(随迁⼦⼥照顾录取)639644649654654654 9291市第⼆⾼级中学(分⽚招⽣正取⽣)530535540545545545 9292市第⼆⾼级中学(随迁⼦⼥照顾录取)674679684689689689 9300市第⼗⾼级中学(⾯向全市招⽣正取⽣)5305355405455455459302638643648653653653 93215305355405455455459331531536541546546546 9332635640645650650650 9341530535540545545545 9342624629634639639639 9351543548553558558558 93526586636686736736739362631636641646646646 7100726756 7103603608613618618618 7110713743 7111634639644649649649。
2015中考本异地录取分数最大差异144分2015中考本异地录取分数最大差异144分多个镇街公办高中随迁子女录取线都高出120分以上教育界人士认为,外来人口众多,公办学位少是根源对随迁子女和外来务工人员太不公平,太伤孩子们的心了……有没有想过这些务工人员对这个号称世界工厂的东莞付出了多少代价?—微信网友吐槽常平中学今年高一录取总人数1000人,教育局分给我们录取莞外户籍学生数量为30人。
那么多人报考,竞争激烈,录取分数线就被拉高了。
—常平中学负责人南都讯“同样在东莞工作10多年,孩子和别人一起参加中考,为什么我们外地户籍的录取分数线要高100多分?”东莞中考陆续放榜,录取分数线划定,昨日也进入录取阶段。
不过东莞一些市外户籍学生家长网上吐槽,称东莞的异地中考录取不公。
3年前实施异地中考时,东莞教育部门曾表示,要统筹考虑随迁子女升学考试需求和东莞教育资源承载能力,并确定“量力而为、报考从宽、逐年安排、考录分开、择优录取”的方针,一直沿用至今。
南都记者了解到,珠三角各城市都实施了异地中考,其中广深、中山等地也将学生按本外户籍,划定两条分数线,外地籍分数线普遍高于户籍生。
一所高中两条分数线相差144分7月5日东莞公布各高中录取分数线后,很多外地户籍考生家长网上发帖,对异地中考学生录取分数线奇高表示不满。
如一位微信网友“*业电照明尚”称,他孩子报考东莞一所普通高中,该校正取分数线才530多分,但因为他们是外地户籍,结果他孩子考了623分,竟然没考上这所高中。
微信网友“檀木”也吐槽称,看了今年(东莞)中考录取分数线,相差太多,对随迁子女和外来务工太不公平,太伤孩子们的心了……有没有想过这些务工对这个号称世界工厂的东莞付出了多少代价?……南都记者查询发现,今年东莞中考录取分数线,30多所公办高中中,有13所高中外地户籍学生录取分数线比本地户籍的高出100分以上,最高的一所中学为市第二高级中学(位于东城),面向户籍生正取生最低分数线530分,但面向外地户籍(随迁子女)的最低录取分数线高达674分(中考总分780分),两类考生的录取分数线相差144分(详见附表)。
院校号院校名称第一志愿第二志愿第三志愿第四志愿7300东华高级中学(公费生)松山湖校区7287589012东莞中学(随迁子女)7267567100东华高级中学(公费生)东城校区7247549172东莞中学松山湖学校(随迁子女)7197497210虎门外语学校(公费生)719724729734 7110光明中学(公费生)7187489022市第一中学(随迁子女)7147449010东莞中学(本市户籍)7137437160北师大翰林实验学校(公费生)713718723728 7140南开实验学校(公费生)710715720725 9042市高级中学(随迁子女)7097399092东莞外国语学校(随迁子女)7087389170东莞中学松山湖学校(本市户籍)7017319252市第六高级中学(随迁子女)700705710715 9032市实验中学(随迁子女)6967269052石龙中学(随迁子女)694699704709 7240粤华学校(公费生)688693698703 9072常平中学(随迁子女)687692697702 9020市第一中学(本市户籍)6857157090光正实验学校(公费生)682687692697 7120新世纪英才学校(公费生)677682687692 7220北师大东莞石竹附属学校(公费生)677682687692 9082万江中学(随迁子女)675680685690 9272市第八高级中学(随迁子女)674679684689 7250松山湖莞美学校(公费生)674679684689 9040市高级中学(本市户籍)6727029030市实验中学(本市户籍)6707007211虎门外语学校(除国际课程班外的自费生)666671676681 9292市第二高级中学(随迁子女)664669674679 9090东莞外国语学校(本市户籍)6606909262市第七高级中学(随迁子女)658663668673 7200东方明珠学校(公费生)651656661666 9192塘厦中学(随迁子女)6456506556607101东华高级中学(除国际课程班外的自费生)东城校区6456506556609062虎门中学(随迁子女)638643648653 9250市第六高级中学(本市户籍)635640645650 9152市第五高级中学(随迁子女)632637642647 9132市第四高级中学(随迁子女)631636641646 9342大朗中学(随迁子女)630635640645 7111光明中学(除国际课程班外的自费生)630635640645 7230塘厦水霖学校(公费生)627632637642 9182厚街中学(随迁子女)622627632637 7141南开实验学校(自费生)621626631636 9332大岭山中学(随迁子女)620625630635 9050石龙中学(本市户籍)6196246296342016年东莞市第一批高中阶段学校录取分数线7161北师大翰林实验学校(除国际课程班外的自费生)6156206256309302市第十高级中学(随迁子女)6146196246299362长安中学(随迁子女)6086136186239322济川中学(随迁子女)6076126176229070常平中学(本市户籍)6046096146197301东华高级中学(除国际课程班外的自费生)松山湖校区6036086136189282麻涌中学(随迁子女)6006056106159080万江中学(本市户籍)591596601606820东莞理工学校软件与信息服务三二分段5865915966017221北师大东莞石竹附属学校(除国际课程班外的自费生)5795845895949270市第八高级中学(本市户籍)5785835885939290市第二高级中学(本市户籍)565570575580820东莞理工学校汽车运用与维修三二分段5575625675729260市第七高级中学(本市户籍)555560565570820东莞理工学校商务英语新西兰国际留学班5545595645697091光正实验学校(自费生)5525575625677251松山湖莞美学校(自费生)5495545595649130市第四高级中学(本市户籍)5405455505557121新世纪英才学校(自费生)537542547552820东莞理工学校数控技术应用三二分段5325375425479150市第五高级中学(本市户籍)528533538543820东莞理工学校机电化技术应用(机器人)三二分段528533538543821东莞市经济贸易学校会计三二分段5275325375429180厚街中学(本市户籍)5215265315369190塘厦中学(本市户籍)5205255305359340大朗中学(本市户籍)5185235285337223北师大东莞石竹附属学校(国际课程班)5185235285337241粤华学校(自费生)516521526531820东莞理工学校模具制造技术三二分段5165215265319330大岭山中学(本市户籍)5095145195249360长安中学(本市户籍)5065115165219280麻涌中学(本市户籍)5035085135189300市第十高级中学(本市户籍)5035085135187103东华高级中学(国际课程班)东城校区5035085135187093光正实验学校(国际课程班)5025075125177213虎门外语学校(国际课程班)5025075125177163北师大翰林实验学校(国际课程班)5015065115169060虎门中学(本市户籍)5005055105159320济川中学(本市户籍)5005055105157113光明中学(国际课程班)5005055105157201东方明珠学校(自费生)5005055105157231塘厦水霖学校(自费生)500505*********东莞卫生学校药剂三二分段497502507512820东莞理工学校电子技术应用(光电))三二分段490495500505822东莞卫生学校护理三二分段488493498503821东莞市经济贸易学校计算机网络技术三二分段487492497502820东莞理工学校电子商务台湾课程班485490495500826东莞市商业学校计算机动漫与游戏制作三二分段485490495500821东莞市经济贸易学校计算机应用三二分段482487492497826东莞市商业学校学前教育三二分段479484489494825东莞市纺织服装学校服装设计与工艺三二分段477482487492829东莞市电子科技学校动漫游戏三二分段471476481486821东莞市经济贸易学校物流服务与管理三二分段469474479484829东莞市电子科技学校电子技术应用三二分段469474479484822东莞卫生学校助产三二分段468473478483826东莞市商业学校电子商务三二分段468473478483830东莞市电子商贸学校电子商务三二分段465470475480827东莞市轻工业学校工艺美术三二分段463468473478826东莞市商业学校市场营销三二分段456461466471827东莞市轻工业学校家具设计与制作三二分段450455460465826东莞市商业学校会计电算化三二分段446451456461826东莞市商业学校会计电算化澳大利亚国际留学班443448453458828东莞市机电工程学校模具制造技术三二分段440445450455821东莞市经济贸易学校旅游服务与管理三二分段435440445450822东莞卫生学校制药技术三二分段427432437442825东莞市纺织服装学校美术设计与制作三二分段424429434439826东莞市商业学校计算机动漫与游戏制作台湾课程班420425430435821东莞市经济贸易学校物流服务与管理韩国国际留学班418423428433820东莞理工学校计算机应用新西兰国际留学班411416421426826东莞市商业学校电子技术应用三二分段411416421426820东莞理工学校机电化技术应用(机器人)台湾课程班409414419424835东莞市汽车技术学校汽车电子技术应用韩国国际留学班409414419424825东莞市纺织服装学校服装设计与工艺韩国国际留学班408413418423821东莞市经济贸易学校金融事务台湾课程班407412417422829东莞市电子科技学校智能化控制技术(机器人)德国课程班407412417422825东莞市纺织服装学校服装制作与生产管理韩国国际留学班405410415420826东莞市商业学校计算机平面设计澳大利亚国际留学班405410415420829东莞市电子科技学校社会文化艺术三二分段405410415420835东莞市汽车技术学校汽车运用与维修韩国国际留学班405410415420820东莞理工学校汽车电子技术应用德国课程班404409414419825东莞市纺织服装学校平面媒体印制技术三二分段404409414419826东莞市商业学校汽车整车与配件营销三二分段404409414419820东莞理工学校数控技术应用德国课程班403408413418821东莞市经济贸易学校计算机应用台湾课程班403408413418830东莞市电子商贸学校电子商务台湾课程班403408413418820东莞理工学校汽车运用与维修德国课程班402407412417825东莞市纺织服装学校针织工艺三二分段402407412417826东莞市商业学校计算机动漫与游戏制作澳大利亚国际留学班401406411416828东莞市机电工程学校数控技术应用德国课程班401406411416828东莞市机电工程学校模具制造技术德国课程班400405410415829东莞市电子科技学校计算机应用新西兰国际留学班400405410415829东莞市电子科技学校电子技术应用台湾课程班400405410415829东莞市电子科技学校计算机应用台湾课程班400405410415835东莞市汽车技术学校汽车运用与维修德国课程班400405410415线第五志愿第六志愿734734728728725725715715709709703703702702697697692692692692690690689689689689681681679679673673666666660660660660653653650650647647646646645645645645642642637637636636635635634634630630 629629 623623 622622 619619618618 615615 606606 601601594594 593593 580580 572572 570570 569569 567567 564564 555555 552552 547547 543543 543543 542542 536536 535535 533533 533533 531531 531531 524524 521521 518518 518518 518518 517517 517517 516516 515515 515515 515515 515515 515515 512512 505505 503503 502502 500500500500 497497 494494 492492 486486 484484 484484 483483 483483 480480 478478 471471 465465 461461 458458 455455 450450 442442 439439 435435433433 426426 426426424424424424423423 422422422422420420420420 420420420420 419419 419419 419419 418418 418418 418418 417417 417417416416 416416415415 415415 415415 415415 415415。
东莞2015年高中阶段学校招生录取分数线已划定
东莞中招办官方消息!东莞中考各大高中学校分数线全部公布
中考分数线划定了!7月5日下午,东莞中招办发布了各大高中学校的录取分数线。
快来看看你上线了没有?!
与往年相比,今年中考的信息量更丰富:全市各大高中的录取分数线一起划定。
不过,受到试卷难度、择校班取消等因素的影响,各大高中录取分数线有所下降。
(回复数字“2013”或“2014”,可查看往年分数线,进行对比)
请继续关注教育莞家,将有更多重磅中考消息发布。