(完整版)数列典型例题(含答案)
- 格式:doc
- 大小:893.51 KB
- 文档页数:16
专题06 数列求和(裂项相消法)(典型例题+题型归类练)一、必备秘籍常见的裂项技巧 类型一:等差型类型二:无理型类型三:指数型①11(1)11()()n n n n n a a a k a k a k a k++-=-++++如:11211(2)(2)22n n n n n k k k k++=-++++类型四:通项裂项为“+”型如:①()()()21111111nn n n n n n +⎛⎫-⋅=-+ ⎪++⎝⎭ ②()()131222(1)(11)1n nn n nn n n n n +⎛⎫++⋅-=+- ⎝+⎪⎭本类模型典型标志在通项中含有(1)n -乘以一个分式.二、典型例题类型一:等差型例题1.(2022·辽宁·鞍山一中模拟预测)已知n S 是等差数列{}n a 的前n 项和,0n a >,315S =,公差1d >,且___________.从①21a -为11a -与31a +等比中项,②等比数列{}n b 的公比为3q =,1124,b a b a ==这两个条件中,选择一个补充在上面问题的横线上,使得符合条件的数列{}n a 存在并作答. (1)求数列{}n a 的通项公式;(2)设数列11n n a a +⎧⎫⎨⎬⎩⎭的前n 项和为n T ,求证:16nT <. 【答案】(1)选择条件见解析,21n a n =+(2)证明见解析 (1)若选①,21a -为11a -与31a +的等比中项,则()()()2132111a a a -+=-,由{}n a 为等差数列,315S =,得2315a =,∴25a =,把25a =代入上式,可得()()4616d d -+=,解得2d =或4d =-(舍) ∴13a =,21n a n =+;若选②,3q =为等比数列{}n b 的公比,且1124,b a b a ==, 可得213b b =,即413a a =,即有113)3a d a +=(,即123a d =; 又315S =,可得11332152a d +⨯⨯=,即15a d +=,解得12,3d a ==, 此时21n a n =+;第(2)问解题思路点拨:由(1)知:,设,则,典型的裂项相消的特征,可将通项裂项为:解答过程:由题意知:;(2)∵()()111111212322123n n a a n n n n +⎛⎫==- ⎪++++⎝⎭, ∴11111111112355721232323n T n n n ⎛⎫⎛⎫=-+-+⋅⋅⋅+-=- ⎪ ⎪+++⎝⎭⎝⎭; ∴16n T <,得证 例题2.(2022·广东佛山·模拟预测)已知数列{}n a 的前n 项和为n S ,111a =-,29a =-,且()11222n n n S S S n +-+=+≥. (1)求数列{}n a 的通项公式; (2)已知11n n n b a a +=,求数列{}n b 的前n 项和n T . 【答案】(1)213n a n =- (2)122212nn -(1)解:由题意得:由题意知()()112n n n n S S S S +----=,则()122n n a a n +-=≥又212a a -=,所以{}n a 是公差为2的等差数列,则()11213n a a n d n =+-=-;感悟升华(核心秘籍)本例是裂项相消法的等差型,注意裂项,是裂通项,裂项的过程中注意前面的系数不要忽略了.第(2)问解题思路点拨:由(1)知:,,则,典型的裂项相消的特征,可将通项裂项为:解答过程:由题意知:;(2)由题知()()11112132112213211n b n n n n ⎛⎫==- ⎪----⎝⎭则1111111111211997213211211211n T n n n ⎡⎤⎛⎫⎛⎫⎛⎫⎛⎫=-++-+++-=-- ⎪ ⎪ ⎪ ⎪⎢⎥---⎝⎭⎝⎭⎝⎭⎝⎭⎣⎦ 122212n n-=类型二:无理型例题3.(2022·重庆八中模拟预测)已知各项均为正数的等差数列{}n a 满足11a =,22112()n n n n a a a a ++=++.(1)求{}n a 的通项公式; (2)记11n n n b a a +=+,求数列{}n b 的前n 项和n S .【答案】(1)21n a n =-(2)1(211)2n +-(1)解:各项均为正数的等差数列{}n a 满足11a =,22112()n n n n a a a a ++=++,整理得()()()1112n n n n n n a a a a a a ++++-=+,由于10n n a a ++≠, 所以12n n a a +-=, 故数列{}n a 是以1为首项,2为公差的等差数列.所以21n a n =-.(2)解:由(1)可得111212122121n n n n n b a a n n ++--===+-++,所以11(3153...2121)(211)22n S n n n =⨯-+-+++--=+-.例题4.(2022·福建龙岩·模拟预测)已知等差数列{}n a 的前n 项和为n S ,3518a a +=,648S =.第(2)问解题思路点拨:由(1)知:,,则,典型的裂项相消的无理型特征,可将通项分母有理化为:解答过程:由题意知:;(1)求{}n a 的通项公式; (2)设112n n n b a a +-=+,求数列{}n b 的前n 项和为n T .【答案】(1)21n a n =+;(2)证明见解析﹒(1)由题可知,11261861548a d a d +=⎧⎨+=⎩,解得132a d =⎧⎨=⎩,∴21n a n =+;(2)1122232122321n n n n n b a a n n +-+--===+++-,()()()()()1517395212323212n T n n n n ⎡⎤=-+-+-+++--++--⎣⎦12123132n T n n ⎡⎤=+++--⎣⎦感悟升华(核心秘籍)本例是裂项相消法的无理型,具有明显的特征,其技巧在于分母有理化,注意裂项相消的过程中,是连续相消,还是隔项相消,计算注意细节.类型三:指数型第(2)问解题思路点拨:由(1)知:,,则,典型的裂项相消的无理型特征,可将通项分母有理化为:解答过程:由题意知:;例题5.(2022·全国·模拟预测)已知等差数列{}n a 满足()*10n n a a n +->∈N ,且141015a a a ++=,2a ,4a ,8a 成等比数列.(1)求数列{}n a 的通项公式;(2)若122n a n n n n a b a a ++⋅=⋅,求数列{}n b 的前n 项和n S .【答案】(1)n a n =(2)n S 1212n n +=-++(1)解:设等差数列{}n a 的公差为d ,因为2a ,4a ,8a 成等比数列,所以()()()211137a d a d a d +=++,整理得()10d a d -=,又因为10n n a a +->,所以0d >,1a d =,又1410131215a a a a d ++=+=,即15d =15, 所以11a d ==,所以n a n =;感悟升华(核心秘籍)第(2)问解题思路点拨:由(1)知:,,则,具有明显的裂项相消法的特征,但是裂项是难点,在裂项时要把握住“型”,再结合待定系数法解答过程:用待定系数法裂通项:与对比,得通分,逆向求裂项求和.(2)解:由(1)知,n a n =, 所以()()12221221n n nn n b n n n n +⋅==-++++,2324312112222222222223243541121n n n n n n n S n n n n n n ---+⎛⎫⎛⎫⎛⎫⎛⎫⎛⎫⎛⎫=-+-+-++-+-+- ⎪ ⎪ ⎪ ⎪ ⎪ ⎪-+++⎝⎭⎝⎭⎝⎭⎝⎭⎝⎭⎝⎭1212n n +=-++.例题6.(2022·江西·临川一中模拟预测(理))已知数列{}n a 的前n 项和为n S ,且21,*=-∈n n S a n N .(1)求数列{}n a 的通项公式; (2)若数列{}n b 满足22,(1)*++=∈⋅⋅+n n n b n N a n n ,求数列{}n b 的前n 项和n T .【答案】(1)12n na ;(2)1112(1)2n n T n +=-+⋅. (1)因为21n n S a =-,当1n =时,1121S a =-,解得11a =,当2n ≥时,1121n n S a --=-,所以()()111212122n n n n n n n a S S a a a a ---=-=---=-,即12(2)n n a a n -=≥,所以数列{}n a 是首项为1,公比为2的等比数列.故11122n n n a --=⨯=.(2),1122211(1)(1)22(1)2n n n n n n n b a n n n n n n +++++===-⋅⋅++⋅+⋅于是12231111111111122222322(1)22(1)2n n n n T n n n ++=-+-++-=-⋅⋅⋅⋅⋅+⋅+⋅类型四:通项裂项为“+”型第(2)问解题思路点拨:由(1)知:,,则,具有明显的裂项相消法的特征,但是裂项是难点,在裂项时要把握住“型”,再结合待定系数法解答过程:用待定系数法裂通项:与对比,得通分,逆向求裂项求和例题7.(2022·吉林辽源·高二期末)已知等差数列{}n a 的前n 项和21,3n S n an b a =++=,数列{}n b 的前n 项和23n n n T b +=,12b =. (1)求数列{}n a 和{}n b 的通项公式; (2)令(1)nnn na cb =-,求数列{}nc 的前n 项和n P .【答案】(1)21n a n =+,()1n b n n =+ (2)2,?1,?1n n n n P n n n +⎧-⎪⎪+=⎨⎪-⎪+⎩为奇数为偶数感悟升华(核心秘籍)第(2)问解题思路点拨:由(1)知:,,则,注意通项中含有明显的裂项的两个特征,①含有分式②含有(注意通项中含有是裂项为“”型的重要标志),但是裂项是难点,在裂项时要把握住“型”,再结合待定系数法解答过程:用待定系数法裂通项:与对比,得则:,注意到通项中含有,需分奇偶讨论通分,逆向求当为偶数(为正),(注意此时为偶数,代入偶数的结论中)当为奇数(为偶数)综上:(1)设等差数列{}n a 的公差为d ,则22113222n n n n d d S na d n n n a b -⎛⎫=+=+-=++ ⎪⎝⎭, 所以1,23,20,dd a b ⎧=⎪⎪⎪-=⎨⎪=⎪⎪⎩所以2,2,0,d a b =⎧⎪=⎨⎪=⎩,所以数列{}n a 的通项公式为()32121n a n n =+-=+. 因为23n n n T b +=,当2n ≥时,1113n n n T b --+=, 所以112133n n n n n n n b T T b b --++=-=-, 所以11133n n n n b b --+=,即111n n b n b n -+=-. 所以1232112321n n n n n n n b b b b b b b b b b b b -----=⨯⨯⨯⋅⋅⋅⨯⨯⨯()11432112321n n n n n n n n +-=⨯⨯⨯⋅⋅⋅⨯⨯⨯=+---. (2)()()()()()11111111nn n n n n n n a c b n n n n ++⎛⎫=-=-⋅=-+ ⎪++⎝⎭, 当n 为奇数时,11111111223341n P n n ⎛⎫⎛⎫⎛⎫⎛⎫=-+++-++⋅⋅⋅-+ ⎪ ⎪ ⎪ ⎪+⎝⎭⎝⎭⎝⎭⎝⎭12111n n n +=--=-++. 当n 为偶数时,11111111223341n P n n ⎛⎫⎛⎫⎛⎫⎛⎫=-+++-++⋅⋅⋅++ ⎪ ⎪ ⎪ ⎪+⎝⎭⎝⎭⎝⎭⎝⎭1111n n n =-+=-++. 综上所述,数列{}n c 的前n 项和2,1,1n n n n P n n n +⎧-⎪⎪+=⎨⎪-⎪+⎩为奇数为偶数.例题8.(2022·陕西·长安一中高二期中(文))已知等差数列{}n a 的公差为2,前n 项和为n S ,且124,,S S S成等比数列.(1)求数列{}n a 的通项公式; (2)令()1141n n n n nb a a -+=-,求数列{}n b 的前n 项和n T .【答案】(1)21n a n =-;(2)2,2122,21n nn n T n n n ⎧⎪⎪+=⎨+⎪⎪+⎩为偶数为奇数 第(2)问解题思路点拨:由(1)知:,,则,注意通项中含有明显的裂项的两个特征,①含有分式②含有(注意通项中含有是裂项为“”型的重要标志),但是裂项是难点,在裂项时要把握住“型”,再结合待定系数法解答过程:用待定系数法裂通项:与对比,得,通分,逆向求当为奇数(为正),(注意此时为奇数,代入奇数的结论中)当为偶数(为奇数)综上:(1)∴等差数列{an }的公差为2,前n 项和为S n ,且S 1、S 2、S 4成等比数列. ∴S n =na 1+n (n ﹣1)(2a 1+2)2=a 1(4a 1+12),a 1=1,∴an =2n ﹣1; (2)∴由(1)可得()()111411112121n n n n n n b a a n n --+⎛⎫=-=-+ ⎪-+⎝⎭, 当n 为偶数时,T n =11111111113355723212121n n n n ⎛⎫⎛⎫⎛⎫⎛⎫⎛⎫+-+++-++-+ ⎪ ⎪ ⎪ ⎪ ⎪---+⎝⎭⎝⎭⎝⎭⎝⎭⎝⎭1212121nn n =-=++. 当n 为奇数时,11111111113355723212121n T n n n n ⎛⎫⎛⎫⎛⎫⎛⎫⎛⎫=+-+++-⋯-+++ ⎪ ⎪ ⎪ ⎪ ⎪---+⎝⎭⎝⎭⎝⎭⎝⎭⎝⎭12212121n n n +=+=++ . 2,2122,21n nn n T n n n ⎧⎪⎪+∴=⎨+⎪⎪+⎩为偶数为奇数. 三、题型归类练1.(2022·内蒙古·满洲里市教研培训中心模拟预测(理))已知在等差数列{}n a 中,25a =,1033a a =. (1)求数列{}n a 的通项公式; (2)设()21n n b n a =+,求数列{}n b 的前n 项和n S .【答案】(1)21n a n =+(2)1n n + (1)设等差数列{}n a 的公差为d , 由210353a a a =⎧⎨=⎩,可得()1115932a d a d a d ⎧+=⎪⎨+=+⎪⎩解得13,2a d==,所以()13122n a n n -⨯=++= (2)由(1)可得2111(1)(22)(1)12n n b n a n n n n n n ====-++++所以111111 (22311)n n S n n n ⎛⎫⎛⎫⎛⎫=-+-++-= ⎪ ⎪ ⎪++⎝⎭⎝⎭⎝⎭ 2.(2022·山西运城·模拟预测(理))已知单调递增的等差数列{}n a 的前n 项和为n S ,512340,,1,S a a a =-成等比数列,正项等比数列{}n b 满足11631,23b a S b =+=+. (1)求{}n a 与{}n b 的通项公式; (2)设()3123log n n n c a b =+,求数列{}n c 的前n 项和n T .【答案】(1)31n a n =-,3nn b =(2)64n nT n =+ (1)设数列{}n a 的公差为d ,则0d >, 由540S =得1545402a d ⨯+=,即128a d +=①, 又123,1,a a a -成等比数列,所以()22131a a a -=,所以()()211112a d a a d +-=+,所以21(1)2d a -=②,联立①②及0d >解得12,3a d ==. 所以2(1)331n a n n =+-⨯=-. 所以161653,6572b S a d ⨯==+=, 所以35723b =+,解得327b =,又231,0b b q q =>,所以3q =,所以3nn b =.(2)由(1)得()311111(31)23log (31)(32)33132n n c n b n n n n ⎛⎫===- ⎪-+-+-+⎝⎭,所以121111111111325583132323264n n n T c c c n n n n ⎛⎫⎛⎫=+++=-+-+⋅⋅⋅+-=-= ⎪ ⎪-+++⎝⎭⎝⎭. 3.(2022·河南·模拟预测(理))已知正项数列{}n a 的前n 项和为n S ,且()()222220n n S n n S n n -+--+=.(1)求1a 的值和数列{}n a 的通项公式; (2)设21n n n b a a +=,求数列{}n b 的前n 项和n T . 【答案】(1)12a =;2n a n =;(2)()()32316812n n T n n +=-++. (1)由()()222220n n S n n S n n -+--+=得:()()()220n n S S n n +-+=;{}n a 为正项数列,0n S ∴>,2n S n n ∴=+;当1n =时,112a S ==;当2n ≥时,()()221112n n n a S S n n n n n -=-=+----=;经检验:12a =满足2n a n =;()2n a n n N *∴=∈.(2)由(1)得:()()111112224282n b n n n n n n ⎛⎫===- ⎪⋅+++⎝⎭,11111111111832435112n T n n n n ⎛⎫∴=⨯-+-+-+⋅⋅⋅+-+- ⎪-++⎝⎭()()()()1111132332318212821216812n n n n n n n n ⎛⎫++⎛⎫=⨯+--=⨯-=- ⎪ ⎪ ⎪++++++⎝⎭⎝⎭. 4.(2022·河北保定·一模)已知数列{}n a 的前n 项和为n S ,且1332n n S +-=. (1)求数列{}n a 的通项公式; (2)设3314log log n n n b a a +=⋅,求{}n b 的前n 项和n T .【答案】(1)3nn a =;(2)41n nT n =+. (1)因为1332n n S +-=,故当1n =时,13a =,当2n ≥时,1332n n S --=,则()132nn n n a S S n -=-=≥,当1n =时,13a =满足上式,所以3nn a =.(2)由(1)得()33144114log log 11n n n b a a n n n n +⎛⎫===- ⎪⋅++⎝⎭,所以12311111144141223111n n n T b b b b n n n n ⎛⎫⎛⎫=++++=⨯-+-++-=-= ⎪ ⎪+++⎝⎭⎝⎭. 故数列{}n b 的前n 项和41n nT n =+. 5.(2022·安徽·北大培文蚌埠实验学校高三开学考试(文))已知数列{}n a 的前n 项和为n S ,11a =,525S =,且()*1232n n n n S a S S n ++-=+∈N .(1)求数列{}n a 的通项公式; (2)设n b =,求数列{}n b 的前n 项和n T .【答案】(1)21n a n =-(2)n T )112=(1)由1232n n n n S a S S ++-=+得:121211223222n n n n n n n n n n a S S S S S S S a a +++++++-=-+=-+-=-+即122n n n a a a ++=+, 所以数列{}n a 为等差数列, 由53525S a ==得35a =,设公差为d ,315212a a d d ==+=+,得2d =, 所以()11221n a n n =+-⨯=-, 故数列{}n a 的通项公式为21n a n =-.(2)12n b =,所以1122n Tn =++)112=.6.(2022·江苏盐城·三模)已知正项等比数列{}n a 满足1330a a +=,请在①4120S =,②481a =,③2211120n n n n a a a a --+-=,2n ≥,*n N ∈中选择一个填在横线上并完成下面问题:(1)求{}n a 的通项公式;(2)设()()12311n n n n b a a +⋅=++,{}n b 的前n 和为n S ,求证:14n S <.【答案】(1)选择见解析;3nn a =(2)证明见解析(1)设正项等比数列{}n a 公比为q ,又1330a a +=,选①,()()41234131120S a a a a a a q =+++=++=,所以3q =;选②,13431130a a a q q ⎛⎫+=+= ⎪⎝⎭,所以()()2310390,3q q q q -++==;选③,()()22111112340n n n n n n n n a a a a a a a a ----+-=-+=,所以13n n a a -=,∴3q =;又1311191030a a a a a +=+==,∴13a =,则3nn a =.(2)因为()()()()1112323111131313131n n n n n n n n n b a a +++⋅⋅===-++++++,所以122231111111313131313131n n n n S b b b +⎛⎫⎛⎫⎛⎫=++⋅⋅⋅+=-+-+⋅⋅⋅+- ⎪ ⎪ ⎪++++++⎝⎭⎝⎭⎝⎭11114314n +=-<+. 7.(2022·浙江金华·模拟预测)已知数列{}{},n n a b ,其中{}n a 为等差数列,且满足11211,,32a b b ===,21141,2n n n n nn a b a b n N *++-=+∈. (1)求数列{}{},n n a b 的通项公式; (2)设212n n nn n a c a a ++=,数列{}n c 的前n 项和为n T ,求证:1n T <【答案】(1)21n a n =-,131(21)22n n b n -⎛⎫=-- ⎪⎝⎭(2)证明见解析(1)解:由数列{}n a 为等差数列,{}n b 且满足11211,,32a b b ===,211412n n n n nn a b a b ++-=+,当1n =时,可得122132a b a b =+,即213322a =⨯+,解得23a =; 因为{}n a 是等差数列,所以21n a n =-,所以2141(21)(21)2n n nn n b n b +--=++,所以1121212n n n b b n n +-=+-, 所以12132121131532123n n n b b b b b b b b n n n -⎛⎫⎛⎫⎛⎫=+-+-++- ⎪ ⎪ ⎪---⎝⎭⎝⎭⎝⎭11211112211111311222222212n n n ---⎛⎫⎛⎫- ⎪ ⎪⎪⎝⎭⎛⎫⎝⎭=++++=+=- ⎪⎝⎭-所以131(21)22n n b n -⎛⎫=-- ⎪⎝⎭.(2)解:由(1)得12311(21)(21)22(21)2(21)n n n n n c n n n n -+==--+-+,所以12n n T c c c =+++211111112323252(21)2(21)n n n n -=-+-++-⋅⋅⋅-+ 1112(21)n n =-<+.8.(2022·湖北·二模)已知正项等差数列{}n a 满足:()33n n a a n *=∈N ,且1382,1,a a a +成等比数列.(1)求{}n a 的通项公式;(2)设()()1121212n n n a n a a c ++=++,n R 是数列{}n c 的前n 项和,若对任意n *∈N 均有n R λ<恒成立,求λ的最小值. 【答案】(1)n a n =(2)最小值为23(1)解:设等差数列的公差为d ,由33n n a a =得[]11(31)3(1)a n d a n d +-=+-,则1a d =, 所以1(1)n a a n d nd =+-=.因为12a 、31a +、8a 成等比数列,所以()231812a a a +=⋅,即2(31)28d d d +=⋅, 所以27610d d --=,解得1d =或17d =-,因为{}n a 为正项数列,所以0d >,所以1d =,所以n a n =.(2)解:由(1)可得()()()()1111122112121212121212n n n a n n nn a a n n c +++++⎛⎫===- ⎪++++++⎝⎭, 所以1223111111111122121212121212312n n n n R ++⎡⎤⎛⎫⎛⎫⎛⎫⎛⎫=-+-++-=- ⎪ ⎪⎪ ⎪⎢⎥+++++++⎝⎭⎝⎭⎝⎭⎝⎭⎣⎦, 因为对任意n *∈N 均有23n R <,所以23λ≥,所以实数λ的最小值为239.(2022·江西·临川一中高二期末(理))已知数列{}n a ,0n a >,11a =,n S 为其前n 项和,且满足()()()1112n n n n S S S S n --+-=≥.(1)求数列{}n a 的通项公式; (2)设()11nnn a b =-⋅,求数列{}n b 的前n 项和n T .【答案】(1)=n a ()1nn T =-(1)由题可知()22112n n S S n --=≥⇒数列是{}2n S 等差数列,所以()2211n S S n n =+-=,)12n n n n S a S S n -=-=≥,又因为11a ==,所以n a(2)()()11nnnnnb a -===-.所以()()311nnn T =-=+-故答案为:n a ()1n- .10.(2022·重庆八中模拟预测)已知n S 是公差不为零的等差数列{}n a 的前n 项和,36S =,2319a a a =⋅.(1)求数列{}n a 的通项公式; (2)设数列()()24141nn n a b n n +=-∈-N ,数列化{}n b 的前2n 项和为2n T ,若2112022n T +<,求正整数n 的最小值. 【答案】(1)*,N na n n =∈(2)505(1)公差d 不为零的等差数列{}n a ,由2319a a a =⋅, ()()211182a a d a d +=+,解得1a d =.又31336S a d =+=,可得11a d ==,所以数列{}n a 是以1为首项和公差的等差数列, 所以*,N na n n =∈.(2)解:由(1)可知()()241111412121nn n n b n n n ⎛⎫=-=-+ ⎪--+⎝⎭, 211111111113355743414141n T n n n n ∴=--++--+--++---+1141n =-++,2111412020n T n +=<+,20194n ∴>所以n 的最小值为505.11.(2022·天津市武清区杨村第一中学二模)已知{}n a 是等差数列,{}n b 是等比数列,且114342131,2,2,a b a b b b a a ====+.(1)求数列{}{},n n a b 的通项公式;(2)记{}n b 的前n 项和为n S ,证明:()n n n S a b n *≤⋅∈N ;(3)记()311(1)*++⋅=-∈⋅n n n nnn a b c n a a N ,求数列{}n c 的前2n 项和. 【答案】(1)(),2nn n a n b n *=∈=N ;(2)证明见解析;(3)2212221n n T n +=-+(1)设等差数列公差为d ,等比数列公比为q ,所以()2311111132132222222d q d a d b q b q q d q b q a d⎧+==+=⎧⎧⇒⇒⎨⎨⎨=+==+⎩⎩⎩,所以,2n n na b n ==, (2){}n b 的前n 项和为 248222222n n n n n n n n n S n a b =++++≤++++=⋅=⋅,(当1n =时,取等号)命题得证.(3)由(1)得,()()131131222(1)(1)(1)11n nn n n n nn n n n n n a b c a n n a n +++⎛⎫+ ⎪+⋅⋅=-=-=-+⎝+⎭⋅, 所以数列{}n c 的前2n 项和2212244881616122()3222241334522nn n n T n n +⎛⎫⎛⎫⎛⎫⎛⎫⎛⎫=-+++-++++++ ⎪ ⎪ ⎪ ⎪ ⎪+⎝⎭⎝⎭⎝⎭⎝⎭-⎝⎭,2212221n n T n +=-+12.(2022·黑龙江实验中学模拟预测(理))已知数列{}n a 满足11a =,11n n n n a a a a --=-,且0n a ≠. (1)求数列{}n a 的通项公式; (2)若()()11121n n n n b n a a ++=-+,数列{}n b 前n 项和为nT,求2022T .【答案】(1)1n a n =;(2)20222023. (1)由11n n n n a a a a --=-,0n a ≠得:1111n n a a --=,又111a ,∴数列1n a ⎧⎫⎨⎬⎩⎭是以1为首项,1为公差的等差数列,1n n a ∴=,1n a n ∴=;(2)由(1)知:()()()()1121111111n n n n b n n n n +++=-=-+++;20221111111111223342021202220222023T ⎛⎫⎛⎫⎛⎫⎛⎫⎛⎫∴=++--+++⋅⋅⋅+++-- ⎪ ⎪ ⎪ ⎪ ⎪⎝⎭⎝⎭⎝⎭⎝⎭⎝⎭12022120232023=-=.13.(2022·湖北·蕲春县第一高级中学模拟预测)已知数列{}n a 的前n 项和为n S ,其中1215a S ==,,当2n ≥时,1124n n n a S S +-,,成等差数列. (1)求数列{}n a 的通项公式.(2)记数列()()2123211n n n a a ++⎧⎫⋅⎪⎪⎨⎬++⎪⎪⎩⎭的前n 项和n T ,求证:121855n T ≤<.【答案】(1)14n n a -=;(2)证明见解析.(1)依题意,当2n ≥时,1144n n n a S S +-+=, 故11444n n n n a S S a +-=-=, 由1215a S ==,得22144a a a ==,,故数列{}n a 是以1为首项,4为公比的等比数列,则14n n a -=;(2)依题意,()()()()2211123232111141414141n n n n n n n n a a ++++⋅⋅==-++++++,故12231111111111414141414141541n n n n T ++⎛⎫⎛⎫⎛⎫=-+-++-=- ⎪ ⎪ ⎪+++++++⎝⎭⎝⎭⎝⎭, ∴n *∈N ,∴1112111855415n T +=≤-<+,即121855n T ≤<.。
数列知识点-——-求通项一、由数列的前几项求数列的通项:观察法和分拆与类比法-—-—-猜测———-证明(略)二、由a n 与S n 的关系求通项a n例1已知数列{a n }的前n 项和为S n =3n -1,则它的通项公式为a n =________。
答案2·3n -1练1 已知数列{a n }的前n 项和S n =3n 2-2n +1,则其通项公式为________. 答案a n =错误!三、由数列的递推公式求通项例3、(1)设数列{}n a 的前n 项和为n S .已知1a a =,13n n n a S +=+,*n ∈N .设3n n n b S =-,求数列{}n b 的通项公式;答案: 13(3)2n n n n b S a -=-=-,*n ∈N .(2)(4)在数列{}n a 中,11a =,22a =,且11(1)n n n a q a qa +-=+-(2,0n q ≥≠).(Ⅰ)设1n n n b a a +=-(*n N ∈),证明{}n b 是等比数列;(Ⅱ)求数列{}n a 的通项公式;答案: 11,,.1,111n n q q q a n q-≠=⎧-+⎪=-⎨⎪⎩(3)在数列{}n a 中,1112(2)2()n n n n a a a n λλλ+*+==++-∈N ,,其中0λ>.(Ⅰ)求数列{}n a 的通项公式; (Ⅱ)求数列{}n a 的前n 项和n S ;答案:(1)2nnn a n λ=-+21212(1)22(1)(1)n n n n n n S λλλλλ+++--+=+-≠- 1(1)22(1)2n n n n S +-=+-λ=(4)已知数列{}n a 满足:()213,22n n a a a n n N *+=+=+∈(1)求数列{}n a 的通项公式; (2)设1234212111n n nT a a a a a a -=+++,求lim n n T →∞答案: 11,,.1,111n n q q q a n q-≠=⎧-+⎪=-⎨⎪⎩注意:由数列的递推式求通项常见类型(请同学们查看高一笔记)1.)(1n f a a n n +=+ 2 . n n a n f a )(1=+.3 q pa a n n +=+1(其中p,q 均为常数,)0)1((≠-p pq )。
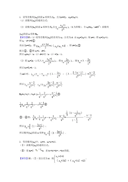
1.设等差数列{a n}的前n项和为S n,且S4=4S2,a2n=2a n+1.(1)求数列{a n}的通项公式;(2)设数列{b n}的前n项和为T n且(λ为常数).令c n=b2n(n∈N*)求数列{c n}的前n项和R n.【解答】解:(1)设等差数列{a n}的首项为a1,公差为d,由a2n=2a n+1,取n=1,得a2=2a1+1,即a1﹣d+1=0①再由S4=4S2,得,即d=2a1②联立①、②得a1=1,d=2.所以a n=a1+(n﹣1)d=1+2(n﹣1)=2n﹣1;(2)把a n=2n﹣1代入,得,则.所以b1=T1=λ﹣1,当n≥2时,=.所以,.R n=c1+c2+…+c n=③④③﹣④得:=所以;所以数列{c n}的前n项和.2.等差数列{a n}中,a2=4,a4+a7=15.(Ⅰ)求数列{a n}的通项公式;(Ⅱ)设b n=2+n,求b1+b2+b3+…+b10的值.【解答】解:(Ⅰ)设公差为d,则,解得,所以a n=3+(n﹣1)=n+2;(Ⅱ)b n=2+n=2n+n,所以b1+b2+b3+…+b10=(2+1)+(22+2)+…+(210+10)=(2+22+...+210)+(1+2+ (10)=+=2101.3.已知数列{log2(a n﹣1)}(n∈N*)为等差数列,且a1=3,a3=9.(Ⅰ)求数列{a n}的通项公式;(Ⅱ)证明++…+<1.【解答】(I)解:设等差数列{log2(a n﹣1)}的公差为d.由a1=3,a3=9得2(log22+d)=log22+log28,即d=1.所以log2(a n﹣1)=1+(n﹣1)×1=n,即a n=2n+1.(II)证明:因为==,所以++…+=+++…+==1﹣<1,即得证.4.已知{a n}是正数组成的数列,a1=1,且点(,a n+1)(n∈N*)在函数y=x2+1的图象上.(Ⅰ)求数列{a n}的通项公式;(Ⅱ)若列数{b n}满足b1=1,b n+1=b n+2an,求证:b n•b n+2<b n+12.【解答】解:解法一:(Ⅰ)由已知得a n+1=a n+1、即a n+1﹣a n=1,又a1=1,所以数列{a n}是以1为首项,公差为1的等差数列.故a n=1+(n﹣1)×1=n.(Ⅱ)由(Ⅰ)知:a n=n从而b n+1﹣b n=2n.b n=(b n﹣b n﹣1)+(b n﹣1﹣b n﹣2)+…+(b2﹣b1)+b1=2n﹣1+2n﹣2+…+2+1=∵b n•b n+2﹣b n+12=(2n﹣1)(2n+2﹣1)﹣(2n+1﹣1)2=(22n+2﹣2n﹣2n+2+1)﹣(22n+2﹣2•2n+1+1)=﹣2n<0∴b n•b n+2<b n+12解法二:(Ⅰ)同解法一.(Ⅱ)∵b2=1b n•b n+2﹣b n+12=(b n+1﹣2n)(b n+1+2n+1)﹣b n+12=2n+1•bn+1﹣2n•bn+1﹣2n•2n+1=2n(b n+1﹣2n+1)=2n(b n+2n﹣2n+1)=2n(b n﹣2n)=…=2n(b1﹣2)=﹣2n<0∴b n•b n+2<b n+125.已知等差数列{a n}满足a1+a2=10,a4﹣a3=2(1)求{a n}的通项公式;(2)设等比数列{b n}满足b2=a3,b3=a7,问:b6与数列{a n}的第几项相等?【解答】解:(I)设等差数列{a n}的公差为d.∵a4﹣a3=2,所以d=2∵a1+a2=10,所以2a1+d=10∴a1=4,∴a n=4+2(n﹣1)=2n+2(n=1,2,…)(II)设等比数列{b n}的公比为q,∵b2=a3=8,b3=a7=16,∴∴q=2,b1=4∴=128,而128=2n+2∴n=63∴b6与数列{a n}中的第63项相等6.设等差数列{a n}的前n项和为S n,且a5+a13=34,S3=9.(1)求数列{a n}的通项公式及前n项和公式;(2)设数列{b n}的通项公式为,问:是否存在正整数t,使得b1,b2,b m(m≥3,m∈N)成等差数列?若存在,求出t和m的值;若不存在,请说明理由.【解答】解:(1)设等差数列{a n}的公差为d.由已知得即解得.故a n=2n﹣1,S n=n2(2)由(1)知.要使b1,b2,b m成等差数列,必须2b2=b1+b m,即,(8分).移项得:=﹣=,整理得,因为m,t为正整数,所以t只能取2,3,5.当t=2时,m=7;当t=3时,m=5;当t=5时,m=4.故存在正整数t,使得b1,b2,b m成等差数列.7.设{a n}是等差数列,b n=()an.已知b1+b2+b3=,b1b2b3=.求等差数列的通项a n.【解答】解:设等差数列{a n}的公差为d,则a n=a1+(n﹣1)d.∴b1b3=•==b22.由b1b2b3=,得b23=,解得b2=.代入已知条件整理得解这个方程组得b1=2,b3=或b1=,b3=2∴a1=﹣1,d=2或a1=3,d=﹣2.所以,当a1=﹣1,d=2时a n=a1+(n﹣1)d=2n﹣3.当a1=3,d=﹣2时a n=a1+(n﹣1)d=5﹣2n.8.已知等差数列{a n}的公差大于0,且a3,a5是方程x2﹣14x+45=0的两根,数列{b n}的前n项的和为S n,且S n=1﹣(1)求数列{a n},{b n}的通项公式;(2)记c n=a n b n,求证c n+1≤c n.【解答】解:(1)∵a3,a5是方程x2﹣14x+45=0的两根,且数列{a n}的公差d>0,∴a3=5,a5=9,公差∴a n=a5+(n﹣5)d=2n﹣1.又当n=1时,有b1=S1=1﹣当∴数列{b n}是等比数列,∴(2)由(Ⅰ)知,∴∴c n+1≤c n.9.已知等差数列{a n}的前n项和为S n,S5=35,a5和a7的等差中项为13.(Ⅰ)求a n及S n;(Ⅱ)令(n∈N﹡),求数列{b n}的前n项和T n.【解答】解:(Ⅰ)设等差数列{a n}的公差为d,因为S5=5a3=35,a5+a7=26,所以,…(2分)解得a1=3,d=2,…(4分)所以a n=3+2(n﹣1)=2n+1;S n=3n+×2=n2+2n.…(6分)(Ⅱ)由(Ⅰ)知a n=2n+1,所以b n==…(8分)=,…(10分)所以T n=.…(12分)10.已知等差数列{a n}是递增数列,且满足a4•a7=15,a3+a8=8.(Ⅰ)求数列{a n}的通项公式;(Ⅱ)令b n=(n≥2),b1=,求数列{b n}的前n项和S n.【解答】解:(1)根据题意:a3+a8=8=a4+a7,a4•a7=15,知:a4,a7是方程x2﹣8x+15=0的两根,且a4<a7解得a4=3,a7=5,设数列{a n}的公差为d由.故等差数列{a n}的通项公式为:(2)=又∴=11.设f(x)=x3,等差数列{a n}中a3=7,a1+a2+a3=12,记S n=,令b n=a n S n,数列的前n项和为T n.(Ⅰ)求{a n}的通项公式和S n;(Ⅱ)求证:;(Ⅲ)是否存在正整数m,n,且1<m<n,使得T1,T m,T n成等比数列?若存在,求出m,n的值,若不存在,说明理由.【解答】解:(Ⅰ)设数列{a n}的公差为d,由a3=a1+2d=7,a1+a2+a3=3a1+3d=12.解得a1=1,d=3∴a n=3n﹣2∵f(x)=x3∴S n==a n+1=3n+1.(Ⅱ)b n=a n S n=(3n﹣2)(3n+1)∴∴(Ⅲ)由(2)知,∴,∵T1,T m,T n成等比数列.∴即当m=1时,7=,n=1,不合题意;当m=2时,=,n=16,符合题意;当m=3时,=,n无正整数解;当m=4时,=,n无正整数解;当m=5时,=,n无正整数解;当m=6时,=,n无正整数解;当m≥7时,m2﹣6m﹣1=(m﹣3)2﹣10>0,则,而,所以,此时不存在正整数m,n,且1<m<n,使得T1,T m,T n成等比数列.综上,存在正整数m=2,n=16,且1<m<n,使得T1,T m,T n成等比数列.12.已知等差数列{a n}的前n项和为S n=pn2﹣2n+q(p,q∈R),n∈N+.(Ⅰ)求的q值;(Ⅱ)若a1与a5的等差中项为18,b n满足a n=2log2b n,求数列{b n}的前n和T n.【解答】解:(Ⅰ)当n=1时,a1=S1=p﹣2+q当n≥2时,a n=S n﹣S n﹣1=pn2﹣2n+q﹣p(n﹣1)2+2(n﹣1)﹣q=2pn﹣p﹣2∵{a n}是等差数列,a1符合n≥2时,a n的形式,∴p﹣2+q=2p﹣p﹣2,∴q=0(Ⅱ)∵,由题意得a3=18又a3=6p﹣p﹣2,∴6p﹣p﹣2=18,解得p=4∴a n=8n﹣6由a n=2log2b n,得b n=24n﹣3.∴,即{b n}是首项为2,公比为16的等比数列∴数列{b n}的前n项和.13.已知等差数列{a n}的前n项和为S n,且满足:a2+a4=14,S7=70.(Ⅰ)求数列a n的通项公式;(Ⅱ)设b n=,数列b n的最小项是第几项,并求出该项的值.【解答】解:(I)设公差为d,则有…(2分)解得以a n=3n﹣2.…(4分)(II)…(6分)所以=﹣1…(10分)当且仅当,即n=4时取等号,故数列{b n}的最小项是第4项,该项的值为23.…(12分)14.己知各项均为正数的数列{a n}满足a n+12﹣a n+1a n﹣2a n2=0(n∈N*),且a3+2是a2,a4的等差中项.(1)求数列{a n}的通项公式a n;(2)若b n=a n a n,S n=b1+b2+…+b n,求S n+n•2n+1>50成立的正整数n的最小值.【解答】解:(Ⅰ)∵a n+12﹣a n+1a n﹣2a n2=0,∴(a n+1+a n)(a n+1﹣2a n)=0,∵数列{a n}的各项均为正数,∴a n+1+a n>0,∴a n+1﹣2a n=0,即a n+1=2a n,所以数列{a n}是以2为公比的等比数列.∵a3+2是a2,a4的等差中项,∴a2+a4=2a3+4,∴2a1+8a1=8a1+4,∴a1=2,∴数列{a n}的通项公式a n=2n.(Ⅱ)由(Ⅰ)及b n=得,b n=﹣n•2n,∵S n=b1+b2++b n,∴S n=﹣2﹣2•22﹣3•23﹣4•24﹣﹣n•2n①∴2S n=﹣22﹣2•23﹣3•24﹣4•25﹣﹣(n﹣1)•2n﹣n•2n+1②①﹣②得,S n=2+22+23+24+25++2n﹣n•2n+1=,要使S n+n•2n+1>50成立,只需2n+1﹣2>50成立,即2n+1>52,∴使S n+n•2n+1>50成立的正整数n的最小值为5.15.设数列{a n}的前n项和为S n,且a1=1,a n+1=2S n+1,数列{b n}满足a1=b1,点P(b n,b n+1)在直线x﹣y+2=0上,n∈N*.(Ⅰ)求数列{a n},{b n}的通项公式;(Ⅱ)设,求数列{c n}的前n项和T n.【解答】解:(Ⅰ)由a n+1=2S n+1可得a n=2S n﹣1+1(n≥2),两式相减得a n+1﹣a n=2a n,a n+1=3a n(n≥2).又a2=2S1+1=3,所以a2=3a1.故{a n}是首项为1,公比为3的等比数列.所以a n=3n﹣1.由点P(b n,b n+1)在直线x﹣y+2=0上,所以b n+1﹣b n=2.则数列{b n}是首项为1,公差为2的等差数列.则b n=1+(n﹣1)•2=2n﹣1(Ⅱ)因为,所以.则,两式相减得:.所以=.。
数列题目精选精编【典型例题】(一)研究等差等比数列的有关性质 1. 研究通项的性质例题1. 已知数列}{n a 满足1111,3(2)n n n a a a n --==+≥. (1)求32,a a ;(2)证明:312n n a -=. 解:(1)21231,314,3413a a a =∴=+==+=.(2)证明:由已知113--=-n n n a a ,故)()()(12211a a a a a a a n n n n n -++-+-=---1213133312n n n a ---+=++++=, 所以证得312n n a -=.例题2. 数列{}n a 的前n 项和记为11,1,21(1)n n n S a a S n +==+≥(Ⅰ)求{}n a 的通项公式;(Ⅱ)等差数列{}n b 的各项为正,其前n 项和为n T ,且315T =,又112233,,a b a b a b +++成等比数列,求n T .解:(Ⅰ)由121n n a S +=+可得121(2)n n a S n -=+≥,两式相减得:112,3(2)n n n n n a a a a a n ++-==≥,又21213a S =+=∴213a a = 故{}n a 是首项为1,公比为3的等比数列∴13n n a -=(Ⅱ)设{}n b 的公差为d ,由315T =得,可得12315b b b ++=,可得25b = 故可设135,5b d b d =-=+,又1231,3,9a a a ===,由题意可得2(51)(59)(53)d d -+++=+,解得122,10d d ==∵等差数列{}n b 的各项为正,∴0d > ∴2d =∴2(1)3222n n n T n n n -=+⨯=+例题3. 已知数列{}n a 的前三项与数列{}n b 的前三项对应相同,且212322...a a a +++128n n a n -+=对任意的*N n ∈都成立,数列{}n n b b -+1是等差数列.⑴求数列{}n a 与{}n b 的通项公式;⑵是否存在N k *∈,使得(0,1)k k b a -∈,请说明理由.点拨:(1)2112322...28n n a a a a n -++++=左边相当于是数列{}12n n a -前n 项和的形式,可以联想到已知n S 求na 的方法,当2n ≥时,1n n n S S a --=.(2)把k k a b -看作一个函数,利用函数的思想方法来研究k k a b -的取值情况.解:(1)已知212322a a a +++ (1)2n n a -+8n =(n ∈*N )①2n ≥时,212322a a a +++ (2)128(1)n n a n --+=-(n ∈*N )②①-②得,128n n a -=,求得42n n a -=,在①中令1n =,可得得41182a -==,所以42nn a -=(n ∈N*). 由题意18b =,24b =,32b =,所以214b b -=-,322b b -=-,∴数列}{1n n b b -+的公差为2)4(2=---, ∴1n nb b +-=2)1(4⨯-+-n 26n =-,121321()()()n n n b b b b b b b b -=+-+-++-(4)(2)(28)n =-+-++-2714n n =-+(n ∈*N ).(2)k k b a -=2714k k -+-42k-,当4k ≥时,277()()24f k k =-+-42k-单调递增,且(4)1f =, 所以4k ≥时,2()714f k k k =-+-421k-≥, 又(1)(2)(3)0f f f ===,所以,不存在k ∈*N ,使得(0,1)k k b a -∈.例题4. 设各项均为正数的数列{a n }和{b n }满足:a n 、b n 、a n+1成等差数列,b n 、a n+1、b n+1成等比数列,且a 1 = 1, b 1 = 2 , a 2 = 3 ,求通项a n ,b n 解: 依题意得:2b n+1 = a n+1 + a n+2 ① a 2n+1 = b n b n+1 ②∵ a n 、b n 为正数, 由②得21211,+++++==n n n n n n b b a b b a , 代入①并同除以1+n b 得:212+++=n n n b b b , ∴}{n b 为等差数列∵ b 1 = 2 , a 2 = 3 ,29,22122==b b b a 则 ,∴ 2)1(),1(22)229)(1(22+=∴+=--+=n b n n b n n ,∴当n ≥2时,2)1(1+==-n n b b a n n n , 又a 1 = 1,当n = 1时成立, ∴2)1(+=n n a n2. 研究前n 项和的性质例题5. 已知等比数列}{n a 的前n 项和为2nn S a b =⋅+,且13a =. (1)求a 、b 的值及数列}{n a 的通项公式;(2)设n n nb a =,求数列}{n b 的前n 项和n T .解:(1)2≥n 时,a S S a n n n n ⋅=-=--112.而}{n a 为等比数列,得a a a =⋅=-1112,又31=a ,得3=a ,从而123-⋅=n n a .又123,3a a b b =+=∴=-.(2)132n n n n n b a -==⋅, 21123(1)3222n n nT -=++++231111231(2322222n n n n n T --=+++++) ,得2111111(1)232222nn n n T -=++++-,111(1)2412[](1)13232212n n n n n n n T +⋅-=-=---.例题6. 数列{}n a 是首项为1000,公比为110的等比数列,数列{b }n 满足121(lg lg lg )k k b a a a k=+++*()N k ∈, (1)求数列{b }n 的前n 项和的最大值;(2)求数列{|b |}n 的前n 项和n S '. 解:(1)由题意:410nn a -=,∴lg 4n a n =-,∴数列{lg }n a 是首项为3,公差为1-的等差数列,∴12(1)lg lg lg 32k k k a a a k -+++=-,∴1(1)7[3]22n n n nb n n --=-=由100n n b b +≥⎧⎨≤⎩,得67n ≤≤,∴数列{b }n 的前n 项和的最大值为67212S S ==.(2)由(1)当7n ≤时,0n b ≥,当7n >时,0n b <,∴当7n ≤时,212731132()244n n n S b b b n n n -+'=+++==-+当7n >时,12789n n S b b b b b b '=+++----27121132()2144n S b b b n n =-+++=-+∴22113(7)4411321(7)44n n n n S n n n ⎧-+≤⎪⎪'=⎨⎪-+>⎪⎩.例题7. 已知递增的等比数列{n a }满足23428a a a ++=,且32a +是2a ,4a 的等差中项. (1)求{n a }的通项公式n a ;(2)若12log n n nb a a =,12n n S b b b =+++求使1230n n S n ++⋅>成立的n 的最小值.解:(1)设等比数列的公比为q (q >1),由a 1q +a 1q 2+a 1q 3=28,a 1q +a 1q 3=2(a 1q 2+2),得:a 1=2,q =2或a 1=32,q =12(舍)∴a n =2·2(n -1)=2n(2) ∵12log 2nn n n b a a n ==-⋅,∴S n =-(1·2+2·22+3·23+…+n ·2n ) ∴2S n =-(1·22+2·23+…+n ·2n +1),∴S n =2+22+23+…+2n -n ·2n +1=-(n -1)·2n +1-2, 若S n +n ·2n +1>30成立,则2n +1>32,故n >4,∴n 的最小值为5.例题8. 已知数列}{n a 的前n 项和为S n ,且11,,n n S a +-成等差数列,*1,1N n a ∈=. 函数3()log f x x =.(I )求数列}{n a 的通项公式; (II )设数列{}n b 满足1(3)[()2]n n b n f a =++,记数列{}n b 的前n 项和为T n ,试比较52512312n n T +-与的大小. 解:(I )11,,n n S a +-成等差数列,121n n S a +∴=-① 当2n ≥时,121n n S a -=-②. ①-②得:112()n n n n S S a a -+-=-,13+=∴n n a a ,13.n na a +∴=当n =1时,由①得112221S a a ∴==-, 又11,a =2213,3,a a a ∴=∴={}n a ∴是以1为首项3为公比的等比数列,13.n n a -∴=(II )∵()x log x f 3=,133()log log 31n n n f a a n -∴===-,11111()(3)[()2](1)(3)213n n b n f a n n n n ===-++++++,1111111111111()224354657213n T n n n n ∴=-+-+-+-++-+-+++11111()22323n n =+--++525,122(2)(3)n n n +=-++比较52512312n n T +-与的大小,只需比较2(2)(3)n n ++与312 的大小即可. 222(2)(3)3122(56156)2(5150)n n n n n n ++-=++-=+-又2(15)(10)n n =+-∵*,N n ∈∴当*19N n n ≤≤∈且时,5252(2)(3)312,;12312n n n n T +++<<-即 当10n =时,5252(2)(3)312,;12312n n n n T +++==-即 当*10N n n >∈且时,5252(2)(3)312,12312n n n n T +++>>-即.3. 研究生成数列的性质例题9. (I ) 已知数列{}n c ,其中nn n c 32+=,且数列{}n n pc c -+1为等比数列,求常数p ;(II ) 设{}n a 、{}n b 是公比不相等的两个等比数列,n n n b a c +=,证明数列{}n c 不是等比数列.解:(Ⅰ)因为{c n +1-pc n }是等比数列,故有 (c n +1-pc n )2=( c n +2-pc n+1)(c n -pc n -1), 将c n =2n +3n 代入上式,得 [2n +1+3n +1-p (2n +3n )]2=[2n +2+3n +2-p (2n +1+3n +1)]·[2n +3n -p (2n -1+3n -1)], 即[(2-p )2n +(3-p )3n ]2=[(2-p )2n+1+(3-p )3n+1][ (2-p )2n -1+(3-p )3n -1],整理得61(2-p )(3-p )·2n ·3n =0,解得p =2或p =3. (Ⅱ)设{a n }、{b n }的公比分别为p 、q ,p ≠q ,c n =a n +b n .为证{c n }不是等比数列只需证22c ≠c 1·c 3.事实上,22c =(a 1p +b 1q )2=21a p 2+21b q 2+2a 1b 1pq ,c 1·c 3=(a 1+b 1)(a 1 p 2+b 1q 2)= 21a p 2+21b q 2+a 1b 1(p 2+q 2).由于p ≠q ,p 2+q 2>2pq ,又a 1、b 1不为零,因此≠22c c 1·c 3,故{c n }不是等比数列.例题10. n 2( n ≥4)个正数排成n 行n 列:其中每一行的数成等差数列,每一列的数成等比数列,并且所有公比相等已知a 24=1,163,814342==a a 求S=a 11 + a 22 + a 33 + … + a nn解: 设数列{1k a }的公差为d , 数列{ik a }(i=1,2,3,…,n )的公比为q则1k a = a 11 + (k -1)d , a kk = [a 11 + (k -1)d]q k -1依题意得:⎪⎪⎪⎩⎪⎪⎪⎨⎧=+==+==+=163)2(81)(1)3(31143311421124q d a a q d a a q d a a ,解得:a 11 = d = q = ±21 又n 2个数都是正数,∴a 11 = d = q = 21 , ∴a kk = kk2n n S 212132122132⨯++⨯+⨯+=,1432212132122121+⨯++⨯+⨯+=n n S ,两式相减得:n n nS 22121--=-例题11. 已知函数3()log ()f x ax b =+的图象经过点)1,2(A 和)2,5(B ,记()*3,.f n n a n N =∈ (1)求数列}{n a 的通项公式;(2)设n n n nn b b b T a b +++==21,2,若)(Z m m T n ∈<,求m 的最小值;(3)求使不等式12)11()11)(11(21+≥+++n p a a a n对一切*N n ∈均成立的最大实数p .解:(1)由题意得⎩⎨⎧=+=+2)5(log 1)2(log 33b a b a ,解得⎩⎨⎧-==12b a ,)12(log )(3-=∴x x f *)12(log ,1233N n n a n n ∈-==-(2)由(1)得n n n b 212-=, n n n n n T 2122322523211321-+-++++=∴- ① 1132212232252232121+--+-+-+++=n n n n n n n T ② ①-②得)21212121(2121n 22222222221T 211n 2n 2111n n 1n 321n --+-+++++=--+++++= 1n 1n 1n 21n 2212321n 2+-+---=--.n n 2n n 23n 2321n 2213T +-=---=∴-, 设*,232)(N n n n f n ∈+=,则由 1512132121)32(252232252)()1(1<+≤++=++=++=++n n n n n n f n f n n 得*,232)(Nn n n f n ∈+=随n 的增大而减小+∞→∴n 当时,3→n T 又)(Z m m T n ∈<恒成立,3min =∴m(3)由题意得*21)11()11)(11(121N n a a a n p n ∈++++≤对 恒成立记)11()11)(11(121)(21n a a a n n F ++++=,则 ()()11n 21n 2)1n ()1n (4)1n (2)3n 2)(1n 2(2n 2)a 11()a 11)(a 11(1n 21)a 11)(a 11()a 11)(a 11(3n 21)n (F )1n (F 2n 211n n 21=++>+-++=+++=+++++++++=++)(),()1(,0)(n F n F n F n F 即>+∴> 是随n 的增大而增大)(n F 的最小值为332)1(=F ,332≤∴p ,即332max =p .(二)证明等差与等比数列 1. 转化为等差等比数列.例题12. 数列{}n a 中,2,841==a a 且满足n n n a a a -=++122,*N n ∈.⑴求数列{}n a 的通项公式;⑵设||||||21n n a a a S +++= ,求n S ;⑶设n b =1(12)n n a -**12(),()N N n n n T b b b n ∈=+++∈,是否存在最大的整数m ,使得对任意*N n ∈,均有>n T 32m成立?若存在,求出m 的值;若不存在,请说明理由.解:(1)由题意,n n n n a a a a -=-+++112,}{n a ∴为等差数列,设公差为d , 由题意得2832d d =+⇒=-,82(1)102n a n n ∴=--=-.(2)若50210≤≥-n n 则,||||||,521n n a a a S n +++=≤ 时21281029,2n na a a n n n +-=+++=⨯=-6n ≥时,n n a a a a a a S ---+++= 765212555()2940n n S S S S S n n =--=-=-+故⎪⎩⎪⎨⎧+--=40n 9n n n 9S 22n 56n n ≤≥ (3)11111()(12)2(1)21n n b n a n n n n ===--++, ∴n T 1111111111[(1)()()()()]22233411n n n n =-+-+-++-+--+.2(1)n n =+ 若32n m T >对任意*N n ∈成立,即116n m n >+对任意*N n ∈成立, *()1N n n n ∈+的最小值是21,1,162m ∴<m ∴的最大整数值是7.即存在最大整数,7=m 使对任意*N n ∈,均有.32n m T >例题13. 已知等比数列{}n b 与数列{}n a 满足3,n an b n =∈N *. (1)判断{}n a 是何种数列,并给出证明;(2)若8131220,a a m b b b +=求.解:(1)设{}n b 的公比为q ,∵3n an b =,∴()q log 1n a a 3q 331n a 1n a n 1-+=⇒=⋅-。
完整版)数列典型例题(含答案)等差数列的前n项和公式为代入已知条件,得到解得代入已知条件,得到解得代入已知条件,得到解得代入已知条件,得到解得代入已知条件,得到解得代入已知条件,得到解得代入已知条件,得到解得代入已知条件,得到解得代入已知条件,得到解得代入已知条件,得到解得代入已知条件,得到解得代入已知条件,得到解得代入已知条件,得到解得代入已知条件,得到解得代入已知条件,得到解得代入已知条件,得到解得代入已知条件,得到解得代入已知条件,得到解得代入已知条件,得到解得代入已知条件,得到解得代入已知条件,得到解得代入已知条件,得到解得代入已知条件,得到解得代入已知条件,得到解得代入已知条件,得到解得代入已知条件,得到解得。
因此,前项和为。
⑵由已知条件可得代入等差数列的前n项和公式,得到化简得因此,前项和为。
8.(2010山东理) 已知等差数列 $a_1,a_2,\ldots,a_n,\ldots$,其中 $a_1=1$,公差为 $d$。
1) 求 $a_5$ 和 $a_{10}$。
2) 满足 $a_1+a_2+\ldots+a_k=100$,$a_1+a_2+\ldots+a_{k+1}>100$,$k\in\mathbb{N}$,求该等差数列的前 $k$ XXX。
考查目的:考查等差数列的通项公式和前项和公式等基础知识,考查数列求和的基本方法以及运算求解能力。
答案:(1) $a_5=5d+1$,$a_{10}=10d+1$;(2) $k=13$,前$k$ 项和为 $819$。
解析:(1) 根据等差数列的通项公式 $a_n=a_1+(n-1)d$,可得 $a_5=1+4d$,$a_{10}=1+9d$。
2) 设该等差数列的前 $k$ 项和为 $S_k$,则由等差数列的前项和公式可得 $S_k=\dfrac{k}{2}[2a_1+(k-1)d]$。
根据已知条件可列出不等式组:begin{cases}S_k=100\\S_{k+1}>100end{cases}将 $S_k$ 代入得:frac{k}{2}[2+(k-1)d]=100整理得:$k^2+kd-400=0$。
数列求和综合(经典总结版)含答案详解包括四种题型:分组求和、并项法、错位相减、裂项相消一、分组求和例1.求和.练1已知数列{}n x 的首项13x =,通项2n n x p n q =⋅+⋅(*n ∈N ,,p q 是常数),且145,,x x x 成等差数列.(1)求,p q 的值;(2)求数列{}n x 的前n 项和n S .例2.(奇偶性)已知等差数列{a n }中,a 1=1,且a 1,a 2,a 4+2成等比数列.(Ⅰ)求数列{a n }的通项公式及前n 项和S n ;(Ⅱ)设b n =,求数列{b n }的前2n 项和T 2n .二、并项法例1.已知数列的前项和,求,的值以及Sn 的值.练1.求,,,,…,,…的前50项之和以及前项之和.三、错位相减例1 已知数列{a n }的前n 项和为S n ,且有a 1=2,3S n =11543(2)n n n a a S n ---+≥(I )求数列a n 的通项公式; (Ⅱ)若b n =n ·a n ,求数列{b n }的前n 项和T n 。
11111232482n n ⎛⎫+++⋅⋅⋅++ ⎪⎝⎭{}n a n 1159131721...(1)(43)n n S n -=-+-+-++--15S 22S 21-2223-242(1)n n •-50S n n S练1 等比数列{a n }的前n 项和为S n .已知S 1,S 3,S 2成等差数列.若a 1-a 3=-32,求数列{n ·a n }的前n 项和T n .练2 设数列{a n }满足a 1=2,a n +1-a n =3·22n -1.(1)求数列{a n }的通项公式;(2)令b n =na n ,求数列{b n }的前n 项和S n .例2已知数列{}n a 的首项123a =,121n n n a a a +=+,1,2,3,n =…. (Ⅰ)证明:数列1{1}na -是等比数列;(Ⅱ)数列{}n n a 的前n 项和n S .练1 已知各项均为正数的数列{}n a 前n 项和为n S ,首项为1a ,且n n S a ,,21等差数列. (Ⅰ)求数列{}n a 的通项公式;(Ⅱ)若n bn a )21(2=,设nnn a b c =,求数列{}n c 的前n 项和n T .练2、已知递增的等比数列{a n }满足:a 2+a 3+a 4=28,且a 3+2是a 2,a 4的等差中项. (1)求数列{a n }的通项公式;(2)若b n =a n log 12a n ,S n =b 1+b 2+…+b n ,求S n .例3 在等比数列{a n }中,a 2a 3=32,a 5=32.(1)求数列{a n }的通项公式; (2)设数列{a n }的前n 项和为S n ,求S 1+2S 2+…+nS n .例4.已知数列{a n }的前n 项和为S n =3n ,数列{b n }满足b 1=-1,b n +1=b n +(2n -1)(n ∈N *). (1)求数列{a n }的通项公式a n ;(2)求数列{b n }的通项公式b n ;(3)若c n =a n ·b nn ,求数列{c n }的前n 项和T n .四、裂项相消裂项相消的实质是将数列中的每项(通项)分解,然后重新组合,使之能消去一些项,以达到求和的目的. 常见的裂项相消形式有: 1. 111(1)1n a n n n n ==-++ 1111()(2)22n a n n n n ==-++ ┈┈1111()()n a n n k k n n k ==-++2n p a An Bn C ⇒=++(分母可分解为n 的系数相同的两个因式)2. 1111()(21)(21)22121n a n n n n ==--+-+ 1111()(21)(23)22123n a n n n n ==-++++1111()(65)(61)66561n a n n n n ==--+-+3. 1111(1)(2)2(1)(1)(2)n a n n n n n n n ⎡⎤==-⎢⎥+++++⎣⎦4.)121121(211)12)(12()2(2+--+=+-n n n n n 5. 111211(21)(21)2121n n n n n n a ---==-++++ +1+1211(21)(21)2121nnn n n n a ==-++++122(1)111(1)2(1)22(1)2n n n n n n n n a n n n n n n -++-==⋅=-++⋅+6.=┈┈12=1k=- 例1.正项数列}{n a 满足02)12(2=---n a n a n n .(Ⅰ)求数列}{n a 的通项公式n a ; (Ⅱ)令,)1(1nn a n b +=求数列}{n b 的前n 项和n T .练1.等比数列}{n a 的各项均为正数,且6223219,132a a a a a ==+.(Ⅰ)求数列}{n a 的通项公式; (Ⅱ)设,log log log 32313n n a a a b +++= 求数列}1{nb 的前n 项和.例2.已知等差数列}{n a 满足:26,7753=+=a a a .}{n a 的前n 项和为n S .(Ⅰ)求n a 及n S ; (Ⅱ)令),(11*2N n a b n n ∈-=求数列}{n b 的前n 项和n T .例3.已知等差数列}{n a 的公差为2,前n 项和为n S ,且421,,S S S 成等比数列.(1)求数列}{n a 的通项公式;(2)令,4)1(112+--=n n n a a nb 求数列}{n b 的前n 项和n T .例4.正项数列}{n a 的前n 项和n S 满足:0)()1(222=+--+-n n S n n S n n .(1)求数列}{n a 的通项公式n a ;(2)令,)2(122n n a n n b ++=数列}{n b 的前n 项和为n T ,证明:对于,*N n ∈∀都有645<n T .练1、已知数列{}n a 是首相为1,公差为1的等差数列,21n n n b a a +=⋅,n S 为{}n b 的前n 项和,证明:1334n S ≤<.例5.已知数列{a n }是递增的等比数列,且a 1+a 4=9,a 2a 3=8.(1)求数列{a n }的通项公式; (2)设S n 为数列{a n }的前n 项和,b n =,求数列{b n }的前n 项和T n .例6. (无理型)设数列{}n a 满足01=a 且111111=---+nn a a ,(1)求{}n a 的通项公式;(2)设na b n n 11+-=,记∑==nk kn bS 1,证明:1<n S .例7.(指数型).已知数列{a n }的前n 项和为S n ,且a 2=8,S n =﹣n ﹣1.(Ⅰ)求数列{a n }的通项公式;(Ⅱ)求数列{}的前n 项和T n .例8.设{a n }是等比数列,公比大于0,其前n 项和为S n (n ∈N *),{b n }是等差数列.已知a 1=1,a 3=a 2+2,a 4=b 3+b 5,a 5=b 4+2b 6.(Ⅰ)求{a n }和{b n }的通项公式; (Ⅱ)设数列{S n }的前n 项和为T n (n ∈N *), (i )求T n ;(ii )证明=﹣2(n ∈N *)作业:1.设231()2222()n f n n N ++=++++∈,则()f n 等于( )A.21n -B.22n -C. 122n +-D. 222n +-2.满足*12121,log log 1()n n a a a n +==+∈N ,它的前n 项和为n S ,则满足1025n S >的最小n 值是( )A .9B .10C .11D .123.已知等差数列}{n a 的前n 项和为,15,5,55==S a S n 则数列}1{1+n n a a 的前100项和为( A ) A .100101 B .99101 C .99100 D .1011004.求和2345672223242526272+⨯+⨯+⨯+⨯+⨯+⨯= . 5.定义在上的函数满足, 则6.已知数列{a n }的前n 项和S n 与通项a n 满足S n =12-12a n .(1)求数列{a n }的通项公式;(2)设f (x )=log 3x ,b n =f (a 1)+f (a 2)+…+f (a n ),T n =1b 1+1b 2+…+1b n ,求T 2 012;(3)若c n =a n ·f (a n ),求{c n }的前n 项和U n .7.已知数列{a n }为公差不为零的等差数列,a 1=1,各项均为正数的等比数列{b n }的第1项,第3项,第5项分别是a 1,a 3,a 21.(1)求数列{a n }与{b n }的通项公式;(2)求数列{a n b n }的前n 项和S n .8. 已知数列{an}的前n 项和Sn =-12n 2+kn(其中k ∈N +),且S n 的最大值为8.(1)确定常数k ,并求a n ;(2)求数列⎩⎨⎧⎭⎬⎫9-2a n 2n 的前n 项和Tn.R )(x f 2)21()21(=-++x f x f )83()82()81(f f f ++67()()_______88f f +++=数列求和综合答案详解版一、分组求和例1.求和. 【解析】(1+2+3+…+n)+ =【总结升华】1. 一般数列求和,先认真理解分析所给数列的特征规律,联系所学,考虑化归为等差、等比数列或常数列,然后用熟知的公式求解.2. 一般地,如果等差数列与等比数列的对应项相加而形成的数列都用分组求和的办法来求前项之和.练1已知数列{}n x 的首项13x =,通项2n n x p n q =⋅+⋅(*n ∈N ,,p q 是常数),且145,,x x x 成等差数列.(1)求,p q 的值;(2)求数列{}n x 的前n 项和n S . 【解析】(1)232(164)2325p q p q p q p p +=⎧⎨+=+++⎩ 解得11q p =⎧⎨=⎩(2)12212(21)(22)+(2)n n S x x x n =+++=+++++………… =12(22+2)(123+n)n ++++++…………=1(1)222n n n ++-+ 例2.(奇偶性)已知等差数列{a n }中,a 1=1,且a 1,a 2,a 4+2成等比数列.(Ⅰ)求数列{a n }的通项公式及前n 项和S n ; (Ⅱ)设b n =,求数列{b n }的前2n 项和T 2n .【解答】解:(I )设等差数列{a n }的过程为d ,∵a 1=1,且a 1,a 2,a 4+2成等比数列. ∴=a 1•(a 4+2),即(1+d )2=1×(1+3d +2),化为:d 2﹣d ﹣2=0,解得d =2或﹣1.其中d =﹣1时,a 2=0,舍去.∴d =2.a n =1+2(n ﹣1)=2n ﹣1,S n ==n 2.(Ⅱ)设b n ==,∴n 为偶数时,==16,b 2=8;11111232482n n ⎛⎫+++⋅⋅⋅++ ⎪⎝⎭11111232482n n S n ⎛⎫=+++⋅⋅⋅++= ⎪⎝⎭111242n ⎛⎫++⋅⋅⋅+ ⎪⎝⎭(1)1122n n n ++-{}n a {}n b {}n n a b +n n Sn 为奇数时,==,b 1=.∴数列{b n }的奇数项是首项为,公比为.数列{b n }的偶数项是首项为8,公比为16.∴数列{b n }的前2n 项和T 2n =+=.二、并项法例1.已知数列的前项和,求,的值以及Sn 的值.【思路点拨】该数列{}n a 的特征:1(1)(43)n n a n -=--,既非等差亦非等比,但也有规律:所有奇数项构成以1为首项8为公差的等差数列,偶数项构成以-5为首项-8为公差的等差数列,因而可以对奇数项和偶数项分组求和;还有规律:1234561...4n n a a a a a a a a ++=+=+==+=-(n 为奇数),可以将相邻两项组合在一起. 【解析】(1)法1(分组)由可得,法2(并项)a1+a2=−4,a3+a4=−4(2)由∴当为奇数,时, ,Sn=( a1+a2)+ a3+a4……(a n-2-a n-1)+an=−4(n−12)+4n-3=2n-1当为偶数,时,,Sn=( a1+a2)+ a3+a4……(a n-1+an )=−4×n2=−2n 【总结升华】1.对通项公式中含有或的一类数列,在求时要注意讨论的奇偶情况.2. 对正负相间的项中的相邻两项进行恰当的组合,可能会有意料之结. 举一反三:【变式1】求,,,,…,,…的前50项之和以及前项之和.{}n a n 1159131721...(1)(43)n n S n -=-+-+-++--15S 22S 1(1)(43)n n a n -=--158(157)7(553)[19...(4153)][513...(4143)]2922S ++=+++⨯--+++⨯-=-=2211(181)11(585)[19...(4213)][513...(4223)]4422S ++=+++⨯--+++⨯-=-=-1(1)(43)n n a n -=--n n N +∈1(43)(41)4n n a a n n ++=--+=-n n N +∈1(43)(41)4n n a a n n ++=--++=n )1(-1n )1(+-n S n 21-2223-242(1)n n •-50S n n S【解析】(1)设,则数列为等差数列,且是的前25项之和, 所以.(2)当为偶数即时,.当为奇数即时,.三、错位相减例1 已知数列{a n }的前n 项和为S n ,且有a 1=2,3S n =11543(2)n n n a a S n ---+≥ (I )求数列a n 的通项公式;(Ⅱ)若b n =n ·a n ,求数列{b n }的前n 项和T n 。
数列经典例题(裂项相消法)数列裂项相消求和的典型题型1.已知等差数列}{n a 的前n 项和为,15,5,55==S a S n 则数列}1{1+n n a a 的前100项和为( ) A .100101 B .99101 C .99100 D .1011002.数列,)1(1+=n n a n 其前n 项之和为,109则在平⾯直⾓坐标系中,直线0)1(=+++n y x n 在y 轴上的截距为( )A .-10B .-9C .10D .93.等⽐数列}{n a 的各项均为正数,且6223219,132a a a a a ==+. (Ⅰ)求数列}{n a 的通项公式;(Ⅱ)设,log log log 32313n n a a a b +++= 求数列}1{nb 的前n 项和. 4.正项数列}{n a 满⾜02)12(2=---n a n a n n . (Ⅰ)求数列}{n a 的通项公式n a ;(Ⅱ)令,)1(1nn a n b +=求数列}{n b 的前n 项和n T . 5.设等差数列}{n a 的前n 项和为n S ,且12,4224+==n n a a S S .(Ⅰ)求数列}{n a 的通项公式;(Ⅱ)设数列}{n b 满⾜,,211*2211N n a b a b a b n n n ∈-=+++ 求}{n b 的前n 项和n T . 6.已知等差数列}{n a 满⾜:26,7753=+=a a a .}{n a 的前n 项和为n S .(Ⅰ)求n a 及n S ;(Ⅱ)令),(11*2N n a b n n ∈-=求数列}{n b 的前n 项和n T . 7.在数列}{n a 中n n a n a a 211)11(2,1,+==+. (Ⅰ)求}{n a 的通项公式;(Ⅱ)令,211n n n a a b -=+求数列}{n b 的前n 项和n S ;(Ⅲ)求数列}{n a 的前n 项和n T .8.已知等差数列}{n a 的前3项和为6,前8项和为﹣4.(Ⅰ)求数列}{n a 的通项公式;(Ⅱ)设),,0()4(*1N n q q a b n n n ∈≠-=-求数列}{n b 的前n 项和n S .9.已知数列}{n a 满⾜,2,021==a a 且对*,N n m ∈?都有211212)(22n m a a a n m n m -+=+-+--.(Ⅰ)求53,a a ;(Ⅱ)设),(*1212N n a a b n n n ∈-=-+证明:}{n b 是等差数列;(Ⅲ)设),,0()(*11N n q q a a c n n n n ∈≠-=-+求数列}{n c 的前n 项和n S .10.已知数列}{n a 是⼀个公差⼤于0的等差数列,且满⾜16,557263=+=a a a a .(Ⅰ)求数列}{n a 的通项公式;(Ⅱ)数列}{n a 和数列}{n b 满⾜等式),(2222*33221N n b b b b a n n n ∈++++= 求数列}{n b 的前n 项和n S . 11.已知等差数列}{n a 的公差为2,前n 项和为n S ,且421,,S S S 成等⽐数列.(1)求数列}{n a 的通项公式;(2)令,4)1(112+--=n n n a a n b 求数列}{n b 的前n 项和n T . 12.正项数列}{n a 的前n 项和n S 满⾜:0)()1(222=+--+-n n S n n S n n .(1)求数列}{n a 的通项公式n a ;(2)令,)2(122n n a n n b ++=数列}{n b 的前n 项和为n T ,证明:对于,*N n ∈?都有6451.A ;2.B3.解:(Ⅰ)设数列{a n }的公⽐为q ,由a 32=9a 2a 6有a 32=9a 42,∴q 2=.由条件可知各项均为正数,故q=.由2a 1+3a 2=1有2a 1+3a 1q=1,∴a 1=.故数列{a n }的通项式为a n =.(Ⅱ)b n =++…+=﹣(1+2+…+n )=﹣,故=﹣=﹣2(﹣)则++…+=﹣2[(1﹣)+(﹣)+…+(﹣)]=﹣,∴数列{}的前n项和为﹣.4.解:(Ⅰ)由正项数列{a n}满⾜:﹣(2n﹣1)a n﹣2n=0,可有(a n﹣2n)(a n+1)=0∴a n=2n.(Ⅱ)∵a n=2n,b n=,∴b n===,T n===.数列{b n}的前n项和T n为.5.解:(Ⅰ)设等差数列{a n}的⾸项为a1,公差为d,由S4=4S2,a2n=2a n+1有:,解有a1=1,d=2.∴a n=2n﹣1,n∈N*.(Ⅱ)由已知++…+=1﹣,n∈N*,有:当n=1时,=,当n≥2时,=(1﹣)﹣(1﹣)=,∴,n=1时符合.∴=,n∈N*由(Ⅰ)知,a n=2n﹣1,n∈N*.∴b n=,n∈N*.⼜T n=+++…+,∴T n=++…++,两式相减有:T n=+(++…+)﹣=﹣﹣∴T n=3﹣.6.解:(Ⅰ)设等差数列{a n}的公差为d,∵a3=7,a5+a7=26,∴有,解有a1=3,d=2,∴a n=3+2(n﹣1)=2n+1;S n==n2+2n;(Ⅱ)由(Ⅰ)知a n=2n+1,∴b n====,∴T n===,即数列{b n}的前n项和T n=.7.解:(Ⅰ)由条件有,⼜n=1时,,故数列构成⾸项为1,公式为的等⽐数列.∴,即.(Ⅱ)由有,,两式相减,有:,∴.(Ⅲ)由有.∴T n=2S n+2a1﹣2a n+1=.8.解:(Ⅰ)设{a n}的公差为d,由已知有解有a1=3,d=﹣1故a n=3+(n﹣1)(﹣1)=4﹣n;(Ⅱ)由(Ⅰ)的解答有,b n=n?q n﹣1,于是S n=1?q0+2?q1+3?q2+…+n?q n﹣1.若q≠1,将上式两边同乘以q,有qS n=1?q1+2?q2+3?q3+…+n?q n.上⾯两式相减,有(q﹣1)S n=nq n﹣(1+q+q2+…+q n﹣1)=nq n﹣于是S n=若q=1,则S n=1+2+3+…+n=∴,S n=.9.解:(Ⅰ)由题意,令m=2,n=1,可有a3=2a2﹣a1+2=6再令m=3,n=1,可有a5=2a3﹣a1+8=20(Ⅱ)当n∈N*时,由已知(以n+2代替m)可有a2n+3+a2n﹣1=2a2n+1+8于是[a2(n+1)+1﹣a2(n+1)﹣1]﹣(a2n+1﹣a2n﹣1)=8即b n+1﹣b n=8∴{b n}是公差为8的等差数列(Ⅲ)由(Ⅰ) (Ⅱ)解答可知{b n}是⾸项为b1=a3﹣a1=6,公差为8的等差数列则b n=8n﹣2,即a2n+1﹣a2n﹣1=8n﹣2另由已知(令m=1)可有a n=﹣(n﹣1)2.∴a n+1﹣a n=﹣2n+1=﹣2n+1=2n于是c n=2nq n﹣1.当q=1时,S n=2+4+6++2n=n(n+1)当q≠1时,S n=2?q0+4?q1+6?q2+…+2n?q n﹣1.两边同乘以q,可有qS n=2?q1+4?q2+6?q3+…+2n?q n.上述两式相减,有(1﹣q)S n=2(1+q+q2+…+q n﹣1)﹣2nq n=2?﹣2nq n=2?∴S n=2?综上所述,S n =.10.解:(Ⅰ)设等差数列{a n }的公差为d ,则依题意可知d >0由a 2+a 7=16,有,2a 1+7d=16①由a 3a 6=55,有(a 1+2d )(a 1+5d )=55②由①②联⽴⽅程求,有d=2,a 1=1/d=﹣2,a 1=(排除)∴a n =1+(n ﹣1)?2=2n ﹣1(Ⅱ)令c n =,则有a n =c 1+c 2+…+c n a n+1=c 1+c 2+…+c n+1两式相减,有a n+1﹣a n =c n+1,由(1)有a 1=1,a n+1﹣a n =2∴c n+1=2,即c n =2(n ≥2),即当n ≥2时,b n =2n+1,⼜当n=1时,b 1=2a 1=2∴b n =于是S n =b 1+b 2+b 3+...+b n =2+23+24+ (2)n+1=2n+2﹣6,n ≥2,. 11.解 (1)因为S 1=a 1,S 2=2a 1+2×12×2=2a 1+2, S 4=4a 1+4×32×2=4a 1+12,由题意得(2a 1+2)2=a 1(4a 1+12),解得a 1=1,所以a n =2n -1.(2)b n =(-1)n -14n a n a n +1=(-1)n -14n (2n -1)(2n +1)=(-1)n -1(12n -1+12n +1).当n 为偶数时,T n =(1+13)-(13+15)+…+(12n -3+12n -1)-(12n -1+12n +1)=1-12n +1=2n 2n +1. 当n 为奇数时,T n =(1+13)-(13+15)+…-(12n -3+12n -1)+(12n -1+12n +1)=1+12n +1=2n +22n +1.所以T n = 2n +22n +1,n 为奇数,2n 2n +1,n 为偶数.(或T n =2n +1+(-1)n -12n +1) 12.(1)解由S 2n -(n 2+n -1)S n -(n 2+n )=0,得[S n -(n 2+n )](S n +1)=0,由于{a n }是正项数列,所以S n +1>0. 所以S n =n 2+n (n ∈N *). n ≥2时,a n =S n -S n -1=2n , n =1时,a 1=S 1=2适合上式.∴a n =2n (n ∈N *).(2)证明由a n =2n (n ∈N *)得b n =n +1(n +2)2a 2n =n +14n 2(n +2)2=1161n 2-1(n +2)2 T n =116?? ????1-132+122-142+132-152+… ?+? ????1(n -1)2-1(n +1)2+? ????1n 2-1(n +2)2 =1161+122-1(n +1)2-1(n +2)2<1161+122=564(n ∈N *).即对于任意的n ∈N *,都有T n <564.。
数列裂项相消求和的典型题型1.已知等差数列}{n a 的前n 项和为,15,5,55==S a S n 则数列}1{1+n n a a 的前100项和为( ) A .100101 B .99101 C .99100 D .1011002.数列,)1(1+=n n a n 其前n 项之和为,109则在平面直角坐标系中,直线0)1(=+++n y x n 在y 轴上的截距为( )A .-10B .-9C .10D .93.等比数列}{n a 的各项均为正数,且6223219,132a a a a a ==+. (Ⅰ)求数列}{n a 的通项公式;(Ⅱ)设,log log log 32313n n a a a b +++=Λ求数列}1{nb 的前n 项和. 4.正项数列}{n a 满足02)12(2=---n a n a n n . (Ⅰ)求数列}{n a 的通项公式n a ;(Ⅱ)令,)1(1nn a n b +=求数列}{n b 的前n 项和n T . 5.设等差数列}{n a 的前n 项和为n S ,且12,4224+==n n a a S S . (Ⅰ)求数列}{n a 的通项公式;(Ⅱ)设数列}{n b 满足,,211*2211N n a b a b a b n n n ∈-=+++Λ求}{n b 的前n 项和n T . 6.已知等差数列}{n a 满足:26,7753=+=a a a .}{n a 的前n 项和为n S . (Ⅰ)求n a 及n S ;(Ⅱ)令),(11*2N n a b n n ∈-=求数列}{n b 的前n 项和n T . 7.在数列}{n a 中n n a na a 211)11(2,1,+==+. (Ⅰ)求}{n a 的通项公式;(Ⅱ)令,211n n n a a b -=+求数列}{n b 的前n 项和n S ; (Ⅲ)求数列}{n a 的前n 项和n T .8.已知等差数列}{n a 的前3项和为6,前8项和为﹣4.(Ⅰ)求数列}{n a 的通项公式;(Ⅱ)设),,0()4(*1N n q q a b n n n ∈≠-=-求数列}{n b 的前n 项和n S .9.已知数列}{n a 满足,2,021==a a 且对*,N n m ∈∀都有211212)(22n m a a a n m n m -+=+-+--.(Ⅰ)求53,a a ;(Ⅱ)设),(*1212N n a a b n n n ∈-=-+证明:}{n b 是等差数列;(Ⅲ)设),,0()(*11N n q q a a c n n n n ∈≠-=-+求数列}{n c 的前n 项和n S .10.已知数列}{n a 是一个公差大于0的等差数列,且满足16,557263=+=a a a a . (Ⅰ)求数列}{n a 的通项公式;(Ⅱ)数列}{n a 和数列}{n b 满足等式),(2222*33221N n b b b b a n n n ∈++++=Λ求数列}{n b 的前n 项和n S . 11.已知等差数列}{n a 的公差为2,前n 项和为n S ,且421,,S S S 成等比数列.(1)求数列}{n a 的通项公式;(2)令,4)1(112+--=n n n a a n b 求数列}{n b 的前n 项和n T . 12.正项数列}{n a 的前n 项和n S 满足:0)()1(222=+--+-n n S n n S n n .(1)求数列}{n a 的通项公式n a ;(2)令,)2(122n n a n n b ++=数列}{n b 的前n 项和为n T ,证明:对于,*N n ∈∀都有645<n T . 答案:1.A ;2.B3.解:(Ⅰ)设数列{a n }的公比为q ,由a 32=9a 2a 6有a 32=9a 42,∴q 2=. 由条件可知各项均为正数,故q=.由2a 1+3a 2=1有2a 1+3a 1q=1,∴a 1=.故数列{a n}的通项式为a n=.(Ⅱ)b n=++…+=﹣(1+2+…+n)=﹣,故=﹣=﹣2(﹣)则++…+=﹣2[(1﹣)+(﹣)+…+(﹣)]=﹣,∴数列{}的前n项和为﹣.4.解:(Ⅰ)由正项数列{a n}满足:﹣(2n﹣1)a n﹣2n=0,可有(a n﹣2n)(a n+1)=0∴a n=2n.(Ⅱ)∵a n=2n,b n=,∴b n===,T n===.数列{b n}的前n项和T n为.5.解:(Ⅰ)设等差数列{a n}的首项为a1,公差为d,由S4=4S2,a2n=2a n+1有:,解有a1=1,d=2.∴a n=2n﹣1,n∈N*.(Ⅱ)由已知++…+=1﹣,n∈N*,有:当n=1时,=,当n≥2时,=(1﹣)﹣(1﹣)=,∴,n=1时符合.∴=,n∈N*由(Ⅰ)知,a n=2n﹣1,n∈N*.∴b n=,n∈N*.又T n=+++…+,∴T n=++…++,两式相减有:T n=+(++…+)﹣=﹣﹣∴T n=3﹣.6.解:(Ⅰ)设等差数列{a n}的公差为d,∵a3=7,a5+a7=26,∴有,解有a1=3,d=2,∴a n=3+2(n﹣1)=2n+1;S n==n2+2n;(Ⅱ)由(Ⅰ)知a n=2n+1,∴b n====,∴T n===,即数列{b n}的前n项和T n=.7.解:(Ⅰ)由条件有,又n=1时,,故数列构成首项为1,公式为的等比数列.∴,即.(Ⅱ)由有,,两式相减,有:,∴.(Ⅲ)由有.∴T n=2S n+2a1﹣2a n+1=.8.解:(Ⅰ)设{a n}的公差为d,由已知有解有a1=3,d=﹣1故a n=3+(n﹣1)(﹣1)=4﹣n;(Ⅱ)由(Ⅰ)的解答有,b n=n•q n﹣1,于是S n=1•q0+2•q1+3•q2+…+n•q n﹣1.若q≠1,将上式两边同乘以q,有qS n=1•q1+2•q2+3•q3+…+n•q n.上面两式相减,有(q﹣1)S n=nq n﹣(1+q+q2+…+q n﹣1)=nq n﹣于是S n=若q=1,则S n=1+2+3+…+n=∴,S n=.9.解:(Ⅰ)由题意,令m=2,n=1,可有a3=2a2﹣a1+2=6再令m=3,n=1,可有a5=2a3﹣a1+8=20(Ⅱ)当n∈N*时,由已知(以n+2代替m)可有a2n+3+a2n﹣1=2a2n+1+8于是[a2(n+1)+1﹣a2(n+1)﹣1]﹣(a2n+1﹣a2n﹣1)=8即b n+1﹣b n=8∴{b n}是公差为8的等差数列(Ⅲ)由(Ⅰ) (Ⅱ)解答可知{b n}是首项为b1=a3﹣a1=6,公差为8的等差数列则b n=8n﹣2,即a2n+1﹣a2n﹣1=8n﹣2另由已知(令m=1)可有a n=﹣(n﹣1)2.∴a n+1﹣a n=﹣2n+1=﹣2n+1=2n于是c n=2nq n﹣1.当q=1时,S n=2+4+6++2n=n(n+1)当q≠1时,S n=2•q0+4•q1+6•q2+…+2n•q n﹣1.两边同乘以q,可有qS n=2•q1+4•q2+6•q3+…+2n•q n.上述两式相减,有(1﹣q)S n=2(1+q+q2+…+q n﹣1)﹣2nq n=2•﹣2nq n=2•∴S n=2•综上所述,S n=.10.解:(Ⅰ)设等差数列{a n}的公差为d,则依题意可知d>0由a2+a7=16,有,2a1+7d=16①由a 3a 6=55,有(a 1+2d )(a 1+5d )=55②由①②联立方程求,有d=2,a 1=1/d=﹣2,a 1=(排除)∴a n =1+(n ﹣1)•2=2n﹣1(Ⅱ)令c n =,则有a n =c 1+c 2+…+c n a n+1=c 1+c 2+…+c n+1两式相减,有a n+1﹣a n =c n+1,由(1)有a 1=1,a n+1﹣a n =2∴c n+1=2,即c n =2(n≥2),即当n≥2时,b n =2n+1,又当n=1时,b 1=2a 1=2∴b n =于是S n =b 1+b 2+b 3+…+b n =2+23+24+…2n+1=2n+2﹣6,n≥2,.11.解 (1)因为S 1=a 1,S 2=2a 1+2×12×2=2a 1+2, S 4=4a 1+4×32×2=4a 1+12, 由题意得(2a 1+2)2=a 1(4a 1+12),解得a 1=1,所以a n =2n -1.(2)b n =(-1)n -14n a n a n +1=(-1)n -14n (2n -1)(2n +1)=(-1)n -1(12n -1+12n +1). 当n 为偶数时,T n =(1+13)-(13+15)+…+(12n -3+12n -1)-(12n -1+12n +1)=1-12n +1=2n 2n +1. 当n 为奇数时, T n =(1+13)-(13+15)+…-(12n -3+12n -1)+(12n -1+12n +1)=1+12n +1=2n +22n +1.所以T n =⎩⎪⎨⎪⎧ 2n +22n +1,n 为奇数,2n 2n +1,n 为偶数.(或T n =2n +1+(-1)n -12n +1) 12.(1)解 由S 2n -(n 2+n -1)S n -(n 2+n )=0,得[S n -(n 2+n )](S n +1)=0,由于{a n }是正项数列,所以S n +1>0.所以S n =n 2+n (n ∈N *).n ≥2时,a n =S n -S n -1=2n ,n =1时,a 1=S 1=2适合上式.∴a n =2n (n ∈N *).(2)证明 由a n =2n (n ∈N *)得b n =n +1(n +2)2a 2n =n +14n 2(n +2)2=116⎣⎢⎡⎦⎥⎤1n 2-1(n +2)2 T n =116⎣⎢⎡ ⎝ ⎛⎭⎪⎫1-132+⎝ ⎛⎭⎪⎫122-142+⎝ ⎛⎭⎪⎫132-152+… ⎦⎥⎤+⎝ ⎛⎭⎪⎫1(n -1)2-1(n +1)2+⎝ ⎛⎭⎪⎫1n 2-1(n +2)2 =116⎣⎢⎡⎦⎥⎤1+122-1(n +1)2-1(n +2)2<116⎝ ⎛⎭⎪⎫1+122=564(n ∈N *). 即对于任意的n ∈N *,都有T n <564.。
数列题目精选精编【典型例题】(一)研究等差等比数列的有关性质 1. 研究通项的性质例题1. 已知数列}{n a 满足1111,3(2)n n n a a a n --==+≥. (1)求32,a a ;(2)证明:312n n a -=. 解:(1)21231,314,3413a a a =∴=+==+=Q .(2)证明:由已知113--=-n n n a a ,故)()()(12211a a a a a a a n n n n n -++-+-=---Λ1213133312n n n a ---+=++++=L , 所以证得312n n a -=.例题2. 数列{}n a 的前n 项和记为11,1,21(1)n n n S a a S n +==+≥(Ⅰ)求{}n a 的通项公式;(Ⅱ)等差数列{}n b 的各项为正,其前n 项和为n T ,且315T =,又112233,,a b a b a b +++成等比数列,求n T .解:(Ⅰ)由121n n a S +=+可得121(2)n n a S n -=+≥,两式相减得:112,3(2)n n n n n a a a a a n ++-==≥,又21213a S =+=∴213a a = 故{}n a 是首项为1,公比为3的等比数列∴13n n a -=(Ⅱ)设{}n b 的公比为d ,由315T =得,可得12315b b b ++=,可得25b = 故可设135,5b d b d =-=+,又1231,3,9a a a ===,由题意可得2(51)(59)(53)d d -+++=+,解得122,10d d ==∵等差数列{}n b 的各项为正,∴0d > ∴2d =∴2(1)3222n n n T n n n -=+⨯=+例题3. 已知数列{}n a 的前三项与数列{}n b 的前三项对应相同,且212322...a a a +++128n n a n -+=对任意的*N n ∈都成立,数列{}n n b b -+1是等差数列.⑴求数列{}n a 与{}n b 的通项公式;⑵是否存在N k *∈,使得(0,1)k k b a -∈,请说明理由.点拨:(1)2112322...28n n a a a a n -++++=左边相当于是数列{}12n n a -前n 项和的形式,可以联想到已知n S 求n a 的方法,当2n ≥时,1n n n S S a --=.(2)把k k a b -看作一个函数,利用函数的思想方法来研究k k a b -的取值情况.解:(1)已知212322a a a +++…12n n a -+8n =(n ∈*N )① 2n ≥时,212322a a a +++ (2)128(1)n n a n --+=-(n ∈*N )②①-②得,128n n a -=,求得42n n a -=,在①中令1n =,可得得41182a -==,所以42nn a -=(n ∈N*). 由题意18b =,24b =,32b =,所以214b b -=-,322b b -=-,∴数列}{1n n b b -+的公差为2)4(2=---, ∴1n nb b +-=2)1(4⨯-+-n 26n =-,121321()()()n n n b b b b b b b b -=+-+-++-L(4)(2)(28)n =-+-++-L 2714n n =-+(n ∈*N ).(2)k k b a -=2714k k -+-42k-,当4k ≥时,277()()24f k k =-+-42k-单调递增,且(4)1f =, 所以4k ≥时,2()714f k k k =-+-421k-≥, 又(1)(2)(3)0f f f ===,所以,不存在k ∈*N ,使得(0,1)k k b a -∈.例题4. 设各项均为正数的数列{a n }和{b n }满足:a n 、b n 、a n+1成等差数列,b n 、a n+1、b n+1成等比数列,且a 1 = 1, b 1 = 2 , a 2 = 3 ,求通项a n ,b n 解: 依题意得:2b n+1 = a n+1 + a n+2 ① a 2n+1 = b n b n+1 ②∵ a n 、b n 为正数, 由②得21211,+++++==n n n n n n b b a b b a , 代入①并同除以1+n b 得:212+++=n n n b b b , ∴}{n b 为等差数列∵ b 1 = 2 , a 2 = 3 ,29,22122==b b b a 则 ,∴ 2)1(),1(22)229)(1(22+=∴+=--+=n b n n b n n ,∴当n ≥2时,2)1(1+==-n n b b a n n n , 又a 1 = 1,当n = 1时成立, ∴2)1(+=n n a n2. 研究前n 项和的性质例题5. 已知等比数列}{n a 的前n 项和为2nn S a b =⋅+,且13a =.(1)求a 、b 的值及数列}{n a 的通项公式;(2)设n n n b a =,求数列}{n b 的前n 项和n T . 解:(1)2≥n 时,a S S a n n n n ⋅=-=--112.而}{n a 为等比数列,得a a a =⋅=-1112, 又31=a ,得3=a ,从而123-⋅=n n a .又123,3a a b b =+=∴=-Q .(2)132n n n n n b a -==⋅, 21123(1)3222n n n T -=++++L231111231(2322222n n n n n T --=+++++L ) ,得2111111(1)232222n n n nT -=++++-L , 111(1)2412[](1)13232212n n n n n n n T +⋅-=-=---.例题6. 数列{}n a 是首项为1000,公比为110的等比数列,数列{b }n 满足121(lg lg lg )k k b a a a k =+++L*()N k ∈, (1)求数列{b }n 的前n 项和的最大值;(2)求数列{|b |}n 的前n 项和n S '.解:(1)由题意:410nn a -=,∴lg 4n a n =-,∴数列{lg }n a 是首项为3,公差为1-的等差数列,∴12(1)lg lg lg 32k k k a a a k -+++=-L ,∴1(1)7[3]22n n n nb n n --=-=由100n n b b +≥⎧⎨≤⎩,得67n ≤≤,∴数列{b }n 的前n 项和的最大值为67212S S ==.(2)由(1)当7n ≤时,0n b ≥,当7n >时,0n b <,∴当7n ≤时,212731132()244n n n S b b b n n n -+'=+++==-+L当7n >时,12789n n S b b b b b b '=+++----L L 27121132()2144n S b b b n n =-+++=-+L∴22113(7)4411321(7)44n n n n S n n n ⎧-+≤⎪⎪'=⎨⎪-+>⎪⎩.例题7. 已知递增的等比数列{n a }满足23428a a a ++=,且32a +是2a ,4a 的等差中项. (1)求{n a }的通项公式n a ;(2)若12log n n nb a a =,12n n S b b b =+++L 求使1230n n S n ++⋅>成立的n 的最小值.解:(1)设等比数列的公比为q (q >1),由a 1q +a 1q 2+a 1q 3=28,a 1q +a 1q 3=2(a 1q 2+2),得:a 1=2,q =2或a 1=32,q =12(舍)∴a n =2·2(n -1)=2n(2) ∵12log 2nn n n b a a n ==-⋅,∴S n =-(1·2+2·22+3·23+…+n ·2n ) ∴2S n =-(1·22+2·23+…+n ·2n +1),∴S n =2+22+23+…+2n -n ·2n +1=-(n -1)·2n +1-2, 若S n +n ·2n +1>30成立,则2n +1>32,故n >4,∴n 的最小值为5.例题8. 已知数列}{n a 的前n 项和为S n ,且11,,n n S a +-成等差数列,*1,1N n a ∈=. 函数3()log f x x =.(I )求数列}{n a 的通项公式; (II )设数列{}n b 满足1(3)[()2]n n b n f a =++,记数列{}n b 的前n 项和为T n ,试比较52512312n n T +-与的大小. 解:(I )11,,n n S a +-Q 成等差数列,121n n S a +∴=-① 当2n ≥时,121n n S a -=-②. ①-②得:112()n n n n S S a a -+-=-,13+=∴n n a a ,13.n na a +∴=当n =1时,由①得112221S a a ∴==-, 又11,a =2213,3,a a a ∴=∴={}n a ∴是以1为首项3为公比的等比数列,13.n n a -∴=(II )∵()x log x f 3=,133()log log 31n n n f a a n -∴===-, 11111()(3)[()2](1)(3)213n n b n f a n n n n ===-++++++,1111111111111()224354657213n T n n n n ∴=-+-+-+-++-+-+++L11111()22323n n =+--++525,122(2)(3)n n n +=-++比较52512312n n T +-与的大小,只需比较2(2)(3)n n ++与312 的大小即可. 222(2)(3)3122(56156)2(5150)n n n n n n ++-=++-=+-又2(15)(10)n n =+-∵*,N n ∈∴当*19N n n ≤≤∈且时,5252(2)(3)312,;12312nn n n T +++<<-即当10n =时,5252(2)(3)312,;12312n n n n T +++==-即当*10N n n >∈且时,5252(2)(3)312,12312n n n n T +++>>-即.3. 研究生成数列的性质例题9. (I ) 已知数列{}n c ,其中nn n c 32+=,且数列{}n n pc c -+1为等比数列,求常数p ;(II ) 设{}n a 、{}n b 是公比不相等的两个等比数列,n n n b a c +=,证明数列{}n c 不是等比数列.解:(Ⅰ)因为{c n +1-pc n }是等比数列,故有 (c n +1-pc n )2=( c n +2-pc n+1)(c n -pc n -1), 将c n =2n +3n 代入上式,得 [2n +1+3n +1-p (2n +3n )]2=[2n +2+3n +2-p (2n +1+3n +1)]·[2n +3n -p (2n -1+3n -1)], 即[(2-p )2n +(3-p )3n ]2=[(2-p )2n+1+(3-p )3n+1][ (2-p )2n -1+(3-p )3n -1],整理得61(2-p )(3-p )·2n ·3n =0,解得p =2或p =3. (Ⅱ)设{a n }、{b n }的公比分别为p 、q ,p ≠q ,c n =a n +b n . 为证{c n }不是等比数列只需证22c ≠c 1·c 3.事实上,22c =(a 1p +b 1q )2=21a p 2+21b q 2+2a 1b 1pq , c 1·c 3=(a 1+b 1)(a 1 p 2+b 1q 2)=21a p 2+21b q 2+a 1b 1(p 2+q 2).由于p ≠q ,p 2+q 2>2pq ,又a 1、b 1不为零,因此≠22c c 1·c 3,故{c n }不是等比数列.例题10. n 2( n ≥4)个正数排成n 行n 列:其中每一行的数成等差数列,每一列的数成等比数列,并且所有公比相等已知a 24=1,163,814342==a a 求S=a 11 + a 22 + a 33 + … + a nn解: 设数列{1k a }的公差为d , 数列{ik a }(i=1,2,3,…,n )的公比为q则1k a = a 11 + (k -1)d , a kk = [a 11 + (k -1)d]q k -1依题意得:⎪⎪⎪⎩⎪⎪⎪⎨⎧=+==+==+=163)2(81)(1)3(31143311421124q d a a q d a a q d a a ,解得:a 11 = d = q = ±21 又n 2个数都是正数,∴a 11 = d = q = 21 , ∴a kk = kk2nn S 212132122132⨯++⨯+⨯+=Λ,1432212132122121+⨯++⨯+⨯+=n n S Λ,两式相减得:n n n S 22121--=-例题11. 已知函数3()log ()f x ax b =+的图象经过点)1,2(A 和)2,5(B ,记()*3,.f n n a n N =∈(1)求数列}{n a 的通项公式;(2)设n n n nn b b b T a b +++==Λ21,2,若)(Z m m T n ∈<,求m 的最小值;(3)求使不等式12)11()11)(11(21+≥+++n p a a a nΛ对一切*N n ∈均成立的最大实数p .解:(1)由题意得⎩⎨⎧=+=+2)5(log 1)2(log 33b a b a ,解得⎩⎨⎧-==12b a ,)12(log )(3-=∴x x f *)12(log ,1233N n n a n n ∈-==- (2)由(1)得n n n b 212-=, nn n n n T 2122322523211321-+-++++=∴-Λ ① 1132212232252232121+--+-+-+++=n n n n n n n T Λ ② ①-②得)21212121(2121n 22222222221T 211n 2n 2111n n 1n 321n --+-+++++=--+++++=ΛΛ1n 1n 1n 21n 2212321n 2+-+---=--.n n 2n n 23n 2321n 2213T +-=---=∴-, 设*,232)(N n n n f n ∈+=,则由 1512132121)32(252232252)()1(1<+≤++=++=++=++n n n n n n f n f n n 得*,232)(Nn n n f n ∈+=随n 的增大而减小 +∞→∴n 当时,3→n T 又)(Z m m T n ∈<恒成立,3min =∴m(3)由题意得*21)11()11)(11(121N n a a a n p n ∈++++≤对Λ恒成立记)11()11)(11(121)(21n a a a n n F ++++=Λ,则()()11n 21n 2)1n ()1n (4)1n (2)3n 2)(1n 2(2n 2)a 11()a 11)(a 11(1n 21)a 11)(a 11()a 11)(a 11(3n 21)n (F )1n (F 2n 211n n 21=++>+-++=+++=+++++++++=++ΛΛ)(),()1(,0)(n F n F n F n F 即>+∴>Θ是随n 的增大而增大)(n F 的最小值为332)1(=F ,332≤∴p ,即332max =p .(二)证明等差与等比数列 1. 转化为等差等比数列.例题12. 数列{}n a 中,2,841==a a 且满足n n n a a a -=++122,*N n ∈. ⑴求数列{}n a 的通项公式;⑵设||||||21n n a a a S +++=Λ,求n S ;⑶设n b =1(12)n n a -**12(),()N N n n n T b b b n ∈=+++∈L ,是否存在最大的整数m ,使得对任意*N n ∈,均有>n T 32m成立?若存在,求出m 的值;若不存在,请说明理由.解:(1)由题意,n n n n a a a a -=-+++112,}{n a ∴为等差数列,设公差为d , 由题意得2832d d =+⇒=-,82(1)102n a n n ∴=--=-. (2)若50210≤≥-n n 则,||||||,521n n a a a S n +++=≤Λ时21281029,2n na a a n n n +-=+++=⨯=-L6n ≥时,n n a a a a a a S ---+++=ΛΛ765212555()2940n n S S S S S n n =--=-=-+故⎪⎩⎪⎨⎧+--=40n 9n n n 9S 22n 56n n ≤≥ (3)11111()(12)2(1)21n n b n a n n n n ===--++Q , ∴n T 1111111111[(1)()()()()]22233411n n n n =-+-+-++-+--+L .2(1)n n =+ 若32n m T >对任意*N n ∈成立,即116n m n >+对任意*N n ∈成立, *()1N n n n ∈+Q 的最小值是21,1,162m ∴<m ∴的最大整数值是7.即存在最大整数,7=m 使对任意*N n ∈,均有.32n m T >例题13. 已知等比数列{}n b 与数列{}n a 满足3,n an b n =∈N *.(1)判断{}n a 是何种数列,并给出证明; (2)若8131220,a a m b b b +=L 求.解:(1)设{}n b 的公比为q ,∵3n an b =,∴()q log 1n a a 3q 331n a 1n a n 1-+=⇒=⋅-。
详解数列求和的常用方法数列求和是数列的重要内容之一,除了等差数列和等比数列有求和公式外,大部分数列的求和都需要一定的技巧。
第一类:公式法利用下列常用求和公式求和是数列求和的最基本最重要的方法。
1、等差数列的前n项和公式n(a-i a n) n(n 1)dna i2 22、等比数列的前n项和公式na i(q 1)S n a i(1 q n) a i a・q(q 1)1 q 1 q3、常用几个数列的求和公式n 1 /1)(1)S n k 1 2 3n-n(nk 12(2)、S nnk212 2232 2 n丄n(n1)(2n1)k 16(3)、S nnk313 2333 3 n G n(n1)]2 k 12第二类:乘公比错项相减(等差等比)这种方法是在推导等比数列的前n项和公式时所用的方法,这种方法主要用于求数列{a n b n}的前n项和,其中{a n},{b n}分别是等差数列和等比数列。
例1 :求数列{nq n 1}(q为常数)的前n项和。
解:1、若q=0,则S n=0n、若q=1,则S n1 2 3n訥1)『若q丰0且q丰1,S n则S n 1 2q 3q2n 1nq①(课本中的的等比数列前 n 项和公式就是用这种方法推导出来的) ,但要注意应按以上三种情况进行分类讨论,最后再综合成三种情况。
第三类:裂项相消法这是分解与组合思想在数列求和中的具体应用。
裂项法的实质是将数列中的每项(通项)分解,然后重新组合,使之能消去一些项,最 终达到求和的目的通项分解(裂项)1、乘积形式,如:qS n q 2q 23q 3nnq①式一②式:(1 q)S n n 1 nq nqS n1 —(1 qn \nq )S nn \nq )S n1 q n (1 q)2nq n 1 q综上所述:S n0(q 0) 1—n(n 1)(q 2 1 q n(1 q)1) nnq ((q 1 q0且 q 1)解析:数列{nq n 1}是由数列 n 与q n对应项的积构成的,此类型的才适应错位相减,如:(1)、 a n1 丄 n(n 1)n (2)、a n(2n)2 (2n 1)(2 n 1)1 1(2n 1(3)、a nn(n 1)( n 2)(n 1)(n 2)]n a n n(n 1)1 2(n 1) n 1 nn2 n(n 1)21 (n 1)2n这是推导等差数列的前 n 项和公式时所用的方法,就是将一个数列倒过来排列 (反序),再把它与原数列相加,就可以得到n 个(a 1 a n )。
1、(2004年福建高考)某企业去年的纯利润为500万元,因设备老化等原因,企业的生产能力将逐年下降,若不进行技术改造,预测今年起每年比上一年纯利润减少20万元。
今年初该企业一次性投入资金600万元进行技术改造,预测在未扣除技术改造资金的情况下,第n年(今年为第一年)的利润为500(1+12n)万元(n为正整数)①设从今年起的前n年,若该企业不进行技术改造的累计纯利润为A n万元,进行技术改造后的累计纯利润为B n万元(需扣除技术改造资金),求A n、B n的表达式;②依上述预测,从今年起该企业至少经过多少年,进行技术改造后的累计纯利润超过不进行技术改造的累计纯利润2、(2001年全国理)从社会效益和经济效益出发,某地投入资金进行生态环境建设,并以此发展旅游产业. 根据规划,本年度投入800万元,以后每年投入将比上年减少15.本年度当地旅游业收入估计为400万元,由于该项建设对旅游业的促进作用,预计今后的旅游业收入每年会比上年增加14。
(Ⅰ)设n年内(本年度为第一年)总投入为a n万元,旅游业总收入为b n万元. 写出a n,b n的表达式(Ⅱ)至少经过几年旅游业的总收入才能超过总投入?3、(2007年安徽卷)某国采用养老储备金制度,公民在就业的第一年就交纳养老储备金,数目为a1,以后每年交纳的数目均比上一年增加d (d>0),因此,历年所交纳的储备金数目a1,a2,…是一个公差为d的等差数列.与此同时,国家给予优惠的计息政策,不仅采用固定利率,而且计算复利.这就是说,如果固定利率为r(r>0),那么,在第n年末,第一年所交纳的储备金就变为a1(1 + r)n – 1,第二年所交纳的储备金就变为a2(1 + r) n – 2,…,以T n表示到第n年末所累计的储备金总额.(1)写出T n与T n– 1(n≥2)的递推关系式;(2)求证:T n = A n + B n,其中{A n}是一个等比数列,{B n}是一个等差数列.4、某工厂在1999年的“减员增效”中对部分人员实行分流,规定分流人员第一年可以到原单位领取工资的100%,从第二年起,以后每年只能在原单位按上一年的23领取工资,该厂根据分流人员的技术特长,计划创办新的经济实体,该经济实体预计第一年属投资阶段,第二年每人可获得b元收入,从第三年起每人每年的收入可在上一年的基础上递增50%,如果某人分流前工资的收入每年a元,分流后进入新经济实体,第n年的收入为na元,(1)求{}na的通项公式;(2)当827ab=时,这个人哪一年的收入最少?最少为多少?(3)当38ab≥时,是否一定可以保证这个人分流一年后的收入永远超过分流前的年收入?5、某产品具有一定的时效性,在这个时效期内,由市场调查可知,在不作广告宣传且每件获利a元的前提下,可卖出b件。
拓展目标:一:周期问题的解决方法(1)找出排列规律,确定排列周期。
(2)确定排列周期后,用总数除以周期。
①如果没有余数,正好有整数个周期,那么结果为周期里的最后一个②如果有余数,即比整数个周期多n个,那么结果为下一个周期的第n个。
例1:(1)1,2,1,2,1,2,…那么第18个数是多少?这个数列的周期是2,1829÷=,所以第18个数是2.(2)1,2,3,1,2,3,1,2,3,…那么第16个数是多少?这个数列的周期是3,16351÷=⋅⋅⋅,所以第16个数是1.二:斐波那契数列斐波那契是的有关兔子的问题:假设一对刚出生的小兔,一个月后就能长成大兔,再过一个月便能生下一对小兔,并且此后每个月都生一对小兔。
一年内没有发生死亡。
那么,由一对刚出生的兔子开始,12个月后会有多少对斐波那契数列(兔子数列)1, 1, 2, 3, 5, 8, 13, 21, 34, 55, 89, 144, 233, …你看出是什么规律:。
【前两项等于1,而从第三项起,每一项是其前两项之和,则称该数列为斐波那契数列】【巩固】(1)2,2,4,6,10,16,(),()(2)34,21,13,8,5,(),2,()例1:有一列数:1,1,2,3,5,8,13,21,34…..这个有趣的“兔子”数列,在前120个数中有个偶数?个奇数?第2004个数是数(奇或偶)?【解析】120÷3=40 2004÷3=668【巩固】有一列数按1、1、2、3、5、8、13、21、34……的顺序排列,第500个数是奇数还是偶数?例2:(10秒钟算出结果!)(1)1+1+2+3+5+8+13+21+34+55=(2)1+2+3+5+8+13+21+34+55+89=数学家发现:连续 10个斐波那契数之和,必定等于第 7个数的 11 倍!巩固:34+55+89+144+233+377+610+987+1597+2584==例3:1, 1, 2, 3, 5, 8, 13, 21, 34, 55, 89, 144, 233, …(1)这列数中第2013个数的个位数字是几?分析:相加,只管个位,发现60个数一循环个位数F1 - F30:1 1 2 3 5 8 3 1 4 5 9 4 3 7 0 7 7 4 1 5 61 7 8 5 3 8 1 9 0F31-F60:9 9 8 7 5 2 7 9 6 5 1 6 7 3 0 3 3 6 9 5 49 3 2 5 7 2 9 1 0F61-F81:1 1 2 3 5 8 3 1 4 5 9 4 3 7 0 7 7 4 1 5 6 2013 = 60*33 + 33,第33个个位为8巩固:这列数中第2003个数的个位数字是几?(2)这列数中第2003个数除以5的余数是几?规律:发现20个数一循环、。
等差数列试题精选一、选择题:(每小题5分,计50分)1.等差数列{}n a 的前n 项和为n S ,若=则432,3,1S a a ==( ) (A )12 (B )10 (C )8 (D )62.已知{a n }为等差数列,a 2+a 8=12,则a 5等于( )(A)4 (B)5 (C)6 (D)73.设n S 是等差数列{}n a 的前n 项和,若735S =,则4a =( )A .8B .7C .6D .54.记等差数列{}n a 的前n 项和为n S ,若42=S ,204=S ,则该数列的公差d=( ) A .7 B. 6 C. 3 D. 2 5.等差数列{}n a 中,已知31a 1=,4a a 52=+,33a n =,则n 为( ) (A )48 (B )49 (C )50 (D )516.等差数列{a n }中,a 1=1,a 3+a 5=14,其前n 项和S n =100,则n =( )(A)9 (B)10 (C)11 (D)12 7.设S n 是等差数列{}n a 的前n 项和,若==5935,95S Sa a 则( ) A .1 B .-1 C .2 D .21 8.已知等差数列{a n }满足α1+α2+α3+…+α101=0则有( )A .α1+α101>0B .α2+α100<0C .α3+α99=0D .α51=51 9.如果1a ,2a ,…,8a 为各项都大于零的等差数列,公差0d ≠,则( ) (A )1a 8a >45a a (B )8a 1a <45a a (C )1a +8a >4a +5a (D )1a 8a =45a a 10.若一个等差数列前3项的和为34,最后3项的和为146,且所有项的和为390,则这个数列有( )(A )13项 (B )12项 (C )11项 (D )10项 二、填空题:(每小题5分,计20分)11设数列{}n a 的首项)N n ( 2a a ,7a n 1n 1∈+=-=+且满足,则=+++1721a a a _____________.12.已知{a n }为等差数列,a 3 + a 8 = 22,a 6 = 7,则a 5 = __________13.已知数列的通项a n = -5n +2,则其前n 项和为S n = . 三、解答题:(15、16题各12分,其余题目各14分)14.等差数列{n a }的前n 项和记为S n .已知.50,302010==a a (Ⅰ)求通项n a ; (Ⅱ)若S n =242,求n.15.已知数列{}n a 是一个等差数列,且21a =,55a =-。
数列典型例题一.选择题1.若数列{}n a 是等差数列,且11a =,35a =,则10a 等于( )A .19B .21C .37D .412.设{}n a 是公差为正数的等差数列,若12315a a a ++=,12380a a a =,则111213a a a ++等于( )A .120B .105C .90D .753.在等差数列{}n a 中,533a =,45153a =,则201是该数列的第( )项A .60B .61C .62D .634若等差数列{}n a 的前5项和525S =,且23a =,则7a =( )A .12B .13C .14D .156等差数列{}n a 的前n 项和为n S ,若70a >,80a <,则下列结论正确的是( )A .78S S <B .1516S S <C .130S >D .150S >7等差数列{}n a 中,已知公差12d =,且139960a a a +++=,则12100a a a +++=( )A .170B .150C .145D .12013.已知等差数列{}n a 的公差12d =,8010042=+++a a a ,那么=100S ( )A .80B .120C .135D .160.9在等差数列{}n a 中,公差2-=d ,n S 为前n 项和,若1110S S =,则=1a ( ) A.18 B.20 C.22 D.24 10等差数列{}n a 中,10120S =,那么110a a +=( )A. 12B. 24C. 36D. 4811.已知等差数列{}n a 中,60191371=+++a a a a ,那么=19S ( )A .390B .285C .180D .12012. 在等差数列{}n a 中31140a a +=,则45678910a a a a a a a -+++-+的值为( )A.84B.72C.60D.4814. 等差数列{}n a 中, 12318192024,78a a a a a a ++=-++=,则此数列前20项和等于( )A.160B.180C.200D.22015若数列{a n }的通项公式是a n =(-1)n (3n -2),则a 1+a 2+…+a 10=( )A .15B .12C .-12D .-1516.数列{a n }的通项公式为a n =(-1)n -1·(4n -3),则它的前100项之和S 100等于( )A .200B .-200C .400D .-40017.数列1,11+2,11+2+3,…,11+2+…+n的前n 项和为( )A.2n 2n +1B.2n n +1C.n +2n +1D.n2n +118.数列112,314,518,7116,…,(2n -1)+12n ,…的前n 项和S n 的值等于( )A .n 2+1-12n B .2n 2-n +1-12n C .n 2+1-12n -1 D .n 2-n +1-12n19在等比数列}{n a 中,公比2q =,且30303212=⋅⋅⋅⋅a a a a ,则30963a a a a ⋅⋅⋅⋅ 等于( )A .102B .202C .162D .15220设等比数列{}n a 的前n 项和为n S ,若633S S =,则96=SS ( )A .2B .73C .83D .321等比数列}{n a 中,已知对任意自然数n ,=+⋯+++n a a a a 32121n -,则22212n a a a ++⋅⋅⋅+=( )A .()221n - B .()1213n - C .41n- D .()1413n -22在等比数列{}n a 中,11a =,公比1q ≠.若12345m a a a a a a =,则m =A .9B .10C .11D .1223已知{}n a 是等比数列,25124a a ==,,则12231n n a a a a a a ++++=( ))4116.n A --( B .16(12)n -- C .()32143n -- D .()32123n -- 24等比数列{}n a 的各项均为正数,且564718a a a a +=,则3132310log log log a a a ++=( )A .12B .10C .8D .32log 5+25已知各项均为正数的等比数列{}n a ,1235a a a =,78910a a a =,则456a a a =A.B .7C .6D.26.某数列前n 项之和3n 为,且前n 个偶数项的和为)34(2+n n ,则前n 个奇数项的和为( )A .)1(32+-n nB .)34(2-n nC .23n -D .321n二.填空题1在等差数列{}n a 中,,16,482==a a 则等于12a ________2.在等差数列{}n a 中,21=a ,1221=-+n n a a 。
数列中分奇偶的典型例题大题含解答共10题题目1:数列A的第1项为1,公差为2,求A的前10项中奇数的和。
解答1:数列A的前10项为:1, 3, 5, 7, 9, 11, 13, 15, 17, 19。
其中奇数的和为:1 + 5 + 7 + 9 + 11 + 13 + 15 + 17 + 19 = 98。
题目2:数列B的前10项为:2, 5, 8, 11, 14, 17, 20, 23, 26, 29,求B的前10项中偶数的和。
解答2:数列B的前10项为:2, 5, 8, 11, 14, 17, 20, 23, 26, 29。
其中偶数的和为:2 + 8 + 14 + 20 + 26 = 70。
题目3:已知数列C的第1项为3,公差为4,数列C中的第n项为奇数,求n的取值范围。
解答3:数列C的第n项可以表示为3 + (n - 1) * 4。
我们知道奇数减去奇数的结果一定是偶数,所以3 + (n - 1) * 4一定是偶数。
即,3 + (n - 1) * 4是奇数的条件是3 + (n - 1) * 4减去3是偶数。
简化得到(n - 1) * 4是偶数。
因为4是偶数,所以(n - 1)必须是偶数,即n必须是奇数。
所以n 的取值范围为奇数。
题目4:数列D的第1项为2,公差为3,数列D中的第n项为偶数,求n的取值范围。
解答4:数列D的第n项可以表示为2 + (n - 1) * 3。
我们知道偶数减去偶数的结果一定是偶数,所以2 + (n - 1) * 3一定是偶数。
即,2 + (n - 1) * 3是偶数的条件是2 + (n - 1) * 3减去2是偶数。
简化得到(n - 1) * 3是偶数。
因为3是奇数,所以(n - 1)必须是偶数,即n必须是奇数。
所以n 的取值范围为奇数。
题目5:数列E的第1项为1,公差为1,求数列E的前20项中奇数和偶数的个数分别是多少。
解答5:数列E的前20项为:1, 2, 3, 4, 5, 6, 7, 8, 9, 10, 11, 12, 13, 14, 15, 16, 17, 18, 19, 20。
《2.3 等差数列的前n项和》测试题一、选择题1.(2008陕西卷)已知是等差数列,,,则该数列前10项和等于( )A.64B.100C.110 D .120考查目的:考查等差数列的通项公式与前项和公式及其基本运算.答案:B解析:设的公差为. ∵,,∴两式相减,得,.∴,.2.(2011全国大纲理)设为等差数列的前项和,若,公差,,则( )A.8B.7C.6D.5考查目的:考查等差数列通项公式的应用、前项和的概念.答案:D解析:由得,,即,将,代入,解得.3.(2012浙江理)设是公差为的无穷等差数列的前项和,则下列命题错误的是( )A.若,则数列有最大项B.若数列有最大项,则C.若数列是递增数列,则对任意,均有D.若对任意,均有,则数列是递增数列考查目的:考查等差数列的前项和公式及其性质.答案:C解析:根据等差数列的前项和公式,可得,因为,所以其图像表示的一群孤立的点分布在一条抛物线上. 当时,该抛物线开口向下,所以这群孤立的点中一定有最高点,即数列有最大项;反之也成立,故选项A、B的两个命题是正确的. 选项C的命题是错误的,举出反例:等差数列-1,1,3,5,7,…满足数列是递增数列,但.对于选项D的命题,由,得,因为此式对任意都成立,当时,有;若,则,与矛盾,所以一定有,这就证明了选项D的命题为真.二、填空题4.(2011湖南理)设是等差数列的前项和,且,,则.考查目的:考查等差数列的性质及基本运算.答案:81.解析:设的公差为. 由,,得,. ∴,故.5.(2008湖北理)已知函数,等差数列的公差为. 若,则.考查目的:考查等差数列的通项公式、前项和公式以及对数的运算性质,考查运算求解能力.答案:.解析:∵是公差为的等差数列,∴,∴,∴,∴.6.(2011广东理)等差数列前9项的和等于前4项的和. 若,,则____.考查目的:考查等差数列的性质及基本运算.答案:10.解析:设等差数列前项和为. ∵,∴;∵,∴. ∴,故.三、解答题7.设等差数列的前项和为,且,求:⑴的通项公式及前项和;⑵.考查目的:考查等差数列通项公式、前项和的基本应用,考查分析问题解决问题的能力.答案:⑴;.⑵解析:设等差数列的公差为,依题意,得,解得.⑴;⑵由,得.当时,.当时,,∴8.(2010山东理)已知等差数列满足:,,的前项和为.⑴求及;⑵令,求数列的前项和.考查目的:考查等差数列的通项公式与前项和公式等基础知识,考查数列求和的基本方法以及运算求解能力.答案:⑴,;⑵.解析:⑴设等差数列的公差为,因为,,所以有,解得,,所以,.⑵由⑴知,所以,所以,即数列的前项和.一、选择题1.(2009广东文)已知等比数列的公比为正数,且,,则( ).A. B. C.D.2考查目的:考查等比数列通项公式的基本应用.答案:B解析:设公比为,由已知得,得,又因为等比数列的公比为正数,所以,故.2.(2007天津理)设等差数列的公差,.若是与的等比中项,则( ).A.2B.4C.6D.8考查目的:考查等差数列、等比数列的概念与通项公式、等比中项的概念等基础知识及基本运算能力.答案:B解析:∵,∴;又∵是与的等比中项,∴,即;∵,∴,解得,或(舍去).3.(2010江西理数)等比数列中,,,函数,则( )A. B. C.D.考查目的:多项式函数的导数公式、等比数列的性质等基础知识,考查学生的创新意识,综合与灵活地应用所学数学知识、思想和方法解决问题的能力.答案:C.解析:∵是多项式函数,∴的常数项的一次项系数,∴.二、填空题4.(2007重庆理)设为公比的等比数列,若和是方程的两根,则__________.考查目的:考查一元二次方程、等比数列的概念等基础知识,考查分析问题解决问题的能力.答案:18.解析:根据题意,得,,∴,∴.5.(2009江苏卷)设是公比为的等比数列,,令,若数列有连续四项在集合中,则 .考查目的:考查等比数列的概念、等价转化思想和分析推理能力.答案:.解析:根据题意可知,有连续四项在集合中,因为是等比数列,且公比满足,所以这四项只能依次是,所以公比,.6.(2012辽宁理)已知等比数列为递增数列,且,,则数列的通项公式______________.考查目的:考查等比数列的通项公式及方程思想和逻辑推理能力.答案:.解析:∵,∴,得,∴;又∵,∴,∴,解得或(舍去),∴.三、解答题7.已知数列的首项,关于的二次方程(,且)都有实数根,且满足.⑴求证:是等比数列;⑵求的通项公式.考查目的:考查等比数列的概念、通项公式、一元二次方程的根与系数的关系等基础知识,考查综合运用知识分析问题解决问题的能力.答案:⑴略;⑵.解析:⑴由题设可得,,(,且);又由,得. 所以,即(),化为(,且),又,所以是首项为,公比为的等比数列.⑵由⑴的结论,得,所以的通项公式为.8.(2012广东文)设数列前项和为,数列的前项和为,满足,.⑴求的值;⑵求数列的通项公式.考查目的:考查等比数列的概念、递推公式的处理方法、化归思想,考查分析问题解决问题的能力.答案:⑴;⑵.解析:⑴当时,. 因为,所以,求得.⑵当时,,∴①,∴②. ②①得,所以. ∵,易求得,∴,∴. 所以是以3为首项,2为公比的等比数列,,故所以,.置:首页>>高中数学>>教师中心>>同步教学资源>>课程标准实验教材>>同步试题>>必修5《2.5 等比数列的前n项和》测试题一、选择题1.(2007陕西理)各项均为正数的等比数列的前项和为,若,,则( )A.16B.25C.30D.80考查目的:考查等比数列的前项和公式及运算求解能力.答案:C.解析:由,可知,的公比,∴①,②,②式除以①式,得,解得(舍去),代入①,得. ∴.2.(2010天津理)已知是首项为的等比数列,是的前项和,且,则数列的前项和为( )A.或B.或C.D.考查目的:考查等比数列前项和公式的应用及等比数列的性质.答案:C解析:设的公比为,若,则,,不合题意,所以. 由,得,得,所以,因此是首项为1,公比为的等比数列,故前5项和为.3.设等比数列的前项和为,若,则等于( )A. B. C.D.考查目的:考查等比数列前项和公式及性质等基础知识,考查运算求解能力.答案:A.解析:解法1:若公比,则,∴. 由,得,∴,∴.解法2:由可知,公比(否则有).设,则,根据,,也成等比数列,及,,得,∴,故.二、填空题4.在等比数列中,已知,则公比.考查目的:考查等比数列的前项和公式及其中包含的分类讨论思想.答案:1或.解析:由已知条件,可得,当时,,符合题意;当时,由,消去,得,解得或(舍去). 综上可得,公比或.5.(2009浙江理)设等比数列的公比,前项和为,则.考查目的:考查等比数列通项公式与前项和公式的基本应用.答案:15.解析:∵,,∴.6.已知等比数列的首项为,是其前项和,某同学经计算得,,,后来该同学发现其中一个数算错了,则算错的那个数是,该数列的公比是 .考查目的:考查等比数列的概念、前项和概念及公式等基础知识,考查分析问题解决问题的能力.答案:,.解析:假设正确,则由,得,所以公比,可计算得,,但该同学算只算错了一个数,所以不正确,,正确,可得,,所以公比.三、解答题7.(2010重庆文)已知是首项为,公差为的等差数列,为的前项和.⑴求通项及;⑵设是首项为,公比为的等比数列,求数列的通项公式及其前项和.考查目的:考查等差数列、等比数列的通项公式与前项和公式的基本应用以及运算求解能力.答案:⑴,;⑵,.解析:⑴因为是首项为,公差为的等差数列,所以,.⑵由题意,所以,.8.(2012陕西理)设是公比不为1的等比数列,其前项和为,且成等差数列.⑴求数列的公比;⑵证明:对任意,成等差数列.考查目的:考查等比数列的通项公式、前项和公式、等差数列的概念等基础知识,考查推理论证能力.答案:⑴;⑵略.解析:⑴设数列的公比为(). 由成等差数列,得,即. 由,得,解得(舍去),所以数列的公比为.⑵证法一:对任意,,所以对任意,成等差数列.证法二:对任意,,,∴,因此,对任意,成等差数列.第二章《数列》测试题(一)一、选择题1.(2012安徽理)公比为等比数列的各项都是正数,且,则( ).A.4B.5C.6D.7考查目的:考查等比数列的通项公式与性质、对数的概念与运算等基础知识.答案:B.解析:∵,∴,∵的各项都是正数,∴,∴,∴.2.(2011江西理)已知数列的前项和满足:,且,那么( ).A.1B.9C.10D.55考查目的:考查数列的递推公式、等差数列的概念及通项公式、与的关系.答案:A解析:令,得,∵,∴,∴是首项为,公差为的等差数列,,因此,.3.(2011天津理)已知为等差数列,其公差为,且是与的等比中项,为的前项和,,则的值为( ).A.-110B.-90C.90D.110考查目的:考查等比中项的概念以及等差数列通项公式、前项和公式的基本应用.答案:D解析:设等差数列的公差为,根据题意得,即,将代入,并解得,所以.4.(2012湖北理)定义在上的函数,如果对于任意给定的等比数列,仍是等比数列,则称为“保等比数列函数”. 现有定义在上的如下函数:①;②;③;④.则其中是“保等比数列函数”的的序号为( ).A.①②B.③④C.①③ D.②④考查目的:本题考察等比数列的性质及函数计算.答案:C.解析:对于①,,所以是“保等比数列函数”;对于②,,所以不是“保等比数列函数”;对于③,,所以是“保等比数列函数”;对于④,,所以不是“保等比数列函数”.5.已知数列满足,当时,,则( ).A.1B.2C.-1D.-2考查目的:考查数列递推公式的运用、周期数列的概念与判断,考查分析判断能力.答案:A.解析:由条件可得该数列为:,所以是周期为的周期数列,所以.6.(2012上海理)设,,在中,正数的个数是( ).A.25B.50C.75D.100考查目的:数列前项和的概念、三角函数的周期性,考查综合运用知识分析问题解决问题的能力.答案:D.解析:当时,;当时,,但其绝对值要小于时相应的值;当时,;当时,,但其绝对值要小于时相应的值;当时,. ∴当时,均有.二、填空题7.(2009北京理)已知数列满足:,,,,则______;_________.考查目的:考查数列的概念、周期数列等基础知识.答案:1,0.解析:依题意,得,.8.(2011湖北理)《九章算术》“竹九节”问题:现有一根9节的竹子,自上而下各节的容积成等差数列,上面4节的容积共为3升,下面3节的容积共4升,则第5节的容积为升.考查目的:考查等差数列的概念、基本运算以及运算能力.答案:.解析:记题中的等差数列为,公差为,前项和为. 根据题意知,,两式联立解得,,∴.9.(2010天津文)设是等比数列,公比,为的前项和.记,,设为数列的最大项,则 .考查目的:考查等比数列的前项和公式及平均值不等式等基础知识,考查运算能力.答案:4.解析:根据等比数列前项和公式,得.∵,当且仅当,即时取等号,而,∴当时,取最大值,即数列的最大项为,所以.10.(2011江苏卷)设,其中成公比为的等比数列,成公差为1的等差数列,则的最小值是________.考查目的:考查等差数列、等比数列的概念和通项公式,考查不等式的有关知识及推理判断能力.答案:.解析:由题意可得,∴. ∵,∴当取最小值时,,∴,即的最小值是.11.(2012四川理)记为不超过实数的最大整数,例如,,,.设为正整数,数列满足,,现有下列命题:①当时,数列的前3项依次为5,3,2;②对数列都存在正整数,当时总有;③当时,;④对某个正整数,若,则. 其中的真命题有____________.(写出所有真命题的编号)考查目的:本题属于新概念问题,主要考查对新概念的理解、不等式的性质,以及数列知识的灵活运用和推理论证能力.答案:①③④解析:易证,对于取整函数有下列性质:性质1:当时,;性质2:对,有;性质3:若,,则. ①当时,,,故①为真;②当时,易知该数列为:(1与2交替出现),所以②为假;③∵,∴;由题易知,对一切,均为正整数,所以无论是奇数还是偶数,均有,故③为真;④若对某个正整数,则由,得,∴,∵是正整数,∴.又∵,,∴(或由③为真,及,直接可得),故,因此④为真.第二章《数列》测试题(二)三、解答题12.(2009浙江文)设为数列的前项和,,,其中是常数.⑴求及;⑵若对于任意的,,,成等比数列,求的值.考查目的:考查数列的通项与前项和以及它们之间的关系,考查等比数列的概念以及运算求解能力.答案:⑴,;⑵或.解析:⑴当时,;当时,.而也适合上式,所以.⑵∵,,成等比数列,∴,即,化简并整理得. ∵此式对成立,∴或.13.(2010全国卷Ⅱ文)已知是各项均为正数的等比数列,且,.⑴求的通项公式;⑵设,求数列的前项和.考查目的:考查等比数列的通项公式与前项和公式、方程与方程组等基础知识,考查运算求解能力.答案:⑴.⑵.解析:⑴设的公比为,则.由已知,有,化简得,解得,(舍去),所以.⑵由⑴知,所以.14.(2008湖南理)数列满足⑴求,,并求数列的通项公式;⑵设,,证明:当时,.考查目的:考查数列递推公式的运用、等差数列、等比数列的概念和通项公式、三角函数等基础知识,考查数列求和、不等式证明的基本方法,以及分析问题解决问题的能力.答案:⑴,,;⑵略.解析:⑴∵,,∴,.一般地,当时,,即,所以数列是首项为1、公差为1的等差数列,因此.当时,,所以数列是首项为2、公比为2的等比数列,因此.∴数列的通项公式为.⑵由⑴知,,①,②,得,,∴.要证明当时,成立,只需证明当时,成立.证明:要证明,只需证明.令,则,∴当时,.∴当时,.于是当时,.15.(2012广东理)设数列的前项和为,满足,且,,成等差数列.⑴求的值;⑵求数列的通项公式;⑶证明:对一切正整数,有.考查目的:考查数列和不等式的概念及其性质、数列与函数的关系等基础知识,考查数列递推公式的运用、不等式放缩等基本方法,考查综合运用知识分析问题的能力、推理论证能力和运算求解能力.答案:⑴;⑵;⑶略.解析:⑴在中,令得;令得,解得,.又∵,∴解得.⑵由,得.又∵也满足,∴成立,∴,∴,∴.⑶(法一)∵,∴,∴.(法二)∵,∴,当时,,,,…,,累乘得,∴.。