《医用物理学》试题库
- 格式:pdf
- 大小:764.96 KB
- 文档页数:36
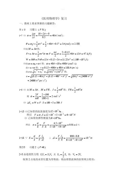
《医用物理学》复习一、教材上要求掌握的习题解答:第1章 习题1 )31(P1-7 ⑴ )rad (.t ππωα40500210=-⨯=∆∆=, 圈5.2)(55.0402121220→=⨯⨯=+=rad t t ππαωθ⑵由αJ M =得: )(1.471540215.052212N mr F mr J Fr ==⨯==⇒==ππααα )(10109.125.11515.01522J Fr M W ⨯==⨯⨯===πππθθ ⑶由t αωω+=0得:)/(4001040s rad ππω=⨯=由ωr v =得:)/(4.1886040015.0s m v ==⨯=ππ 由22222)()(ωατr r a a a n +=+=得:)/(24000)24000()6()40015.0()4015.0(222222222s m a πππππ≈+=⨯⨯+⨯=1-8 ⑴ 由αJ M =、FR M =、221mR J =得:α221mR FR = 则 2/2110010022s rad mR F =⨯⨯==α ⑵ J S F W E k 5005100=⨯=⋅==∆1-15 ⑴已知骨的抗张强度为71012⨯Pa ,所以 N S F C 4471061051012⨯=⨯⨯⨯==-σ⑵ 已知骨的弹性模量为9109⨯Pa ,所以 101.010*******.4944==⨯⨯⨯⨯=⋅==-E S F E σε%1-16 ∵ l S l F E ∆⋅⋅==0εσ ∴ m E S l F l 4940101091066.0900--=⨯⨯⨯⨯=⋅⋅=∆ 第2章习题2 )46(P2-5由连续性方程 2211V S V S = 及 1221S S = 得:122V V = 取第2点处的水管位置为零势面,则由理想流体的伯努利方程有:2222112121v P gh v P ρρρ+=++ 而 Pa P P )10(401+= 202P P P '+= (0P 为大气压强)KPa Pa gh v v P 8.13108.1318.910)42(102110)(2110332234222142=⨯=⨯⨯+-⨯+=+-+='ρρ2-8 如图,设水平管粗、细处的截面积、压强、流速分别为111v p S 、、和222v p S 、、,2CO 、水的密度分别为21ρρ、。
医用物理学试题及答案一、选择题1. 医用物理学包括以下哪些内容?A. 医学成像技术B. 放射治疗C. 辐射防护D. 生物电磁学E. 全部都是答案:E2. 放射线的作用机制主要包括以下哪些?A. 电离作用B. 共振作用C. 热效应D. 感光作用答案:A、C3. 医学成像技术主要包括以下哪些方法?A. X射线摄影B. 核医学影像学C. 磁共振成像D. 超声波成像E. 全部都是答案:A、B、C、D4. 某X射线装置的工作电压为80kV,电流为200mA,曝光时间为0.1秒,计算曝光量(mAs)为多少?答案:16mAs5. X光的量子能量与频率成何种关系?A. 正比关系B. 反比关系C. 无关答案:B二、判断题1. X射线对人体组织产生的生物效应主要是热效应。
答案:错误2. 核医学影像学主要利用磁共振原理进行成像。
答案:错误3. 超声波成像技术是一种无创的成像方法。
答案:正确4. CT扫描中的螺旋扫描技术可以提高成像速度。
答案:正确5. 数字减影血管造影(DSA)是一种放射治疗手段。
答案:错误三、简答题1. 请简要说明医学成像技术的发展对临床诊断的重要性。
答:医学成像技术的发展为临床诊断提供了重要的工具和方法。
通过不同的成像技术,医生可以观察到人体内部的结构和功能,帮助诊断疾病、评估治疗效果和指导手术操作。
不同的成像技术在不同的临床领域具有独特的应用优势,如X射线摄影适用于骨骼和肺部的成像,核医学影像学适用于心血管和肿瘤的诊断,磁共振成像适用于脑部和关节的成像等。
医学成像技术的发展不仅提高了诊断的准确性和精确度,还为各种疾病的治疗和康复提供了科学依据。
2. 简要介绍一下辐射防护的基本原则。
答:辐射防护的基本原则包括时间、距离和屏蔽。
时间原则要求尽量缩短接触辐射源的时间,减少辐射的累积剂量。
距离原则要求尽量远离辐射源,通过增加距离来减少辐射的强度。
屏蔽原则要求使用合适的材料和技术来阻挡和吸收辐射,减少辐射的穿透。
医用物理学试题A 卷姓名: 年级: 专业:一、填空题(每小题2分,共20分)1、水在截面不同的水平管内做稳定流动,出口处的截面积为管最细处的3倍。
若出口处的流速为2m/s ,则最细处的压强 。
2、一沿X 轴作简谐振动的物体,振幅为2cm ,频率为2Hz ,在时间t=0时,振动物体在正向最大位移处,则振动方程的表达式为 。
3、在温度为T 的平衡状态下,物体分子每个自由度的平均动能都相等,都等于__________。
4、中空的肥皂泡,其附加压强为: 。
5、透镜的焦距越短,它对光线的会聚或发散的本领越强,通常用焦距的倒数来表示透镜的会聚或发散的本领,称为透镜的 。
6、基尔霍夫第一定理的内容是 。
7、电流的周围空间存在着磁场,为了求任意形状的电流分布所产生的磁场,可以把电流分割成无穷小段dl ,每一小段中的电流强度为I ,我们称Idl 为 。
8、劳埃镜实验得出一个重要结论,那就是当光从光疏媒质射向光密媒质时,会在界面上发生 。
9、多普勒效应是指由于声源与接收器间存在相互运动而造成的接收器接收到的声波 与声源不同的现象。
10、单球面成像规律是_________________________________。
1、某物体的运动规律为t k t 2d /d v v -=,式中的k 为大于零的常量。
当0=t 时,初速为v 0,则速度v 与时间t 的函数关系是( )A 、 0221v v +=kt , B 、 0221v v+-=kt ,C 、 02121v v +=kt ,D 、 02121v v +-=kt 2、水平自来水管粗处的直径是细处的两倍。
如果水在粗处的流速是2m/s ,则水在细处的流速为A 、2m/sB 、1m/sC 、4m/sD 、8m/s3、已知波动方程为y=Acos (Bt -Cx ) 其中A 、B 、C 为正值常数,则: A 、波速为C /B ; B 、周期为1/B ; C 、波长为C / 2π; D 、圆频率为B4、两个同方向同频率的简谐振动:cm t x )cos(0.2321ππ+=,cm t x )cos(0.8341ππ-=,则合振动振幅为( )。
医用物理学试题及答案一、选择题1. 医用物理学是研究什么的学科?A. 医学现象的物理原理B. 物理现象在医学中的应用C. 医学与物理学的交叉领域D. 以上都是答案:D2. 下列哪个不是X射线在医学中的应用?A. 放射治疗B. 影像诊断C. 核磁共振成像D. 计算机断层扫描答案:C3. 人体组织对电磁波的吸收与下列哪个因素无关?A. 频率B. 组织密度C. 组织温度D. 电磁波的极化方式答案:D4. 以下哪种波长的电磁波对人体组织的穿透能力最强?A. 红外线B. 可见光C. X射线D. 伽马射线答案:D5. 在医学超声检查中,通常使用的频率范围是多少?A. 1-10 MHzB. 10-50 MHzC. 50-100 MHzD. 100-500 MHz答案:A二、填空题1. 医用物理学中的放射治疗主要利用________射线的________效应来破坏病变细胞。
答案:X射线;照射2. 核磁共振成像技术(MRI)是利用氢原子核在外部磁场中的________现象来获取人体内部结构信息的。
答案:磁共振3. 超声波在医学中的应用主要包括________、________和________。
答案:诊断;治疗;生物效应研究4. 医学影像技术中,计算机辅助设计(CAD)主要用于________和________。
答案:图像处理;病变检测5. 激光在医学中的应用包括激光________、激光________和激光________。
答案:外科手术;治疗;诊断三、简答题1. 请简述医用物理学在现代医学中的重要性。
答:医用物理学将物理学的原理和技术应用于医学领域,极大地推动了医学诊断和治疗技术的发展。
通过医用物理学的应用,医生能够更准确地诊断疾病,更有效地进行治疗,并提高手术的成功率。
此外,医用物理学还促进了医疗设备的创新和改进,为患者提供了更为安全和舒适的医疗服务。
2. 解释X射线是如何在医学影像诊断中发挥作用的。
答:X射线是一种波长很短的电磁波,能够穿透人体组织并在不同组织界面上产生不同程度的吸收和散射。
«医学物理学»考试试卷(A 卷 闭卷)一、单项选择题(每小题2分,共26分)1. 一力学系统由两个质点组成,它们之间只有引力作用。
若两个质点所受外力的矢量和为零,则此系统:( )A.动量、机械能以及对一轴的角动量守恒B.动量、机械能守恒,但角动量是否守恒不能断定C.动量守恒,但机械能和角动量守恒与否不能断定D.动量和角动量守恒,但机械能是否守恒不能断定2.理想液体在一水平管中作稳定流动时,截面积S 、流速v 、压强P 间的关系是:( ) A.S 大处v 小P 小 B.S 大处v 大P 大 C.S 小处v 大P 大 D.S 小处v 小P 小 E.S 小处v 大P 小3.一个质点作上下方向的简谐振动,设向上方向为正方向。
当质点在平衡位置开始向下振动,则初相位为:( )A.0B.2π C.2π- D.3π4.一横波沿绳子传播时波动方程为0.05cos(410)y x t =π-π(SI 制)则:( ) A.波长为0.5m B.波长为0.05m C.波速为0.5 D.波速为5 5.两种声音的声强级相差20dB ,则它们的强度之比是:( ) A.2:1 B.100:1 C.26:1 D. 20:16.将半径分别为r 与3r 的同种玻璃毛细管,插入水中,在两管中水上升的高度是 A.粗管比细管高三倍 B.两管高度相同C.细管比粗管高三倍D.E.倍7. 一束平行单色光垂直入射在光栅上,当光栅常数(b a +)为下列哪种时, k=3,6,9…等级次的主极大均不出现? :( )A.(a b +)=2aB.(a b +)=3aC.(a b +)=4aD.(a b +)=6a8. 三个偏振片1P ,2P 与3P 堆叠在一起,1P 与3P 的偏振化方向互相垂直,1P 与的2P 偏振化方向夹角为30°,强度为0I 的自然光入射到偏振片1P ,并依次透过偏振片2P 与3P ,若不考虑吸收和反射,则通过3P 的光强为:( )A. 016IB. 038IC. 0316ID. 04I 9.关于电场强度定义式0E F q =,下列说法中哪个是正确的? A.强度E 的大小与试探电荷0q 的大小成反比。
医用物理学考试题一、选择题1. 下列哪个物理量常用来表示X射线与物质相互作用的强弱?A. 厚度B. 出射强度C. 撒射角度D. 吸收剂量2. 对于医用线性加速器辐照治疗,下面哪个参数用来评价辐射剂量分布的均匀性?A. 放射束能量B. 透射剂量C. 同位素活度D. 饱和活度3. 在核医学中,下列哪个放射性同位素常用于诊断肿瘤?A. 钾-40B. 铅-210C. 钛-47D. 技99,术994. 当物体距离X射线源越远时,辐射剂量会?A. 增加B. 减少C. 不变D. 无法确定5. 下列哪个是用于医学成像的光学显微镜中使用的镜头?A. 凸透镜B. 凹透镜C. 棱镜D. 缝隙二、填空题1. 泄漏辐射检测仪器的检定周期一般为________年。
2. 高压发生器产生的X射线由________过滤器进行滤波。
3. 参考剂量是指靶体对放射线的________剂量。
4. 磁共振成像(MRI)利用的是原子核的________共振现象。
5. 核医学中常用的放射性同位素碘-131的半衰期为________天。
三、简答题1. 请简要介绍一下正电子发射断层扫描(PET)的原理和应用。
2. 什么是放射性同位素的半衰期?为什么有些同位素的半衰期很短,而有些却很长?3. 医学超声成像中,为什么要使用声速较小的介质作为超声脉冲传播介质?4. 请简述核磁共振成像(MRI)的基本原理和在医学诊断中的应用。
四、论述题请结合具体实例,论述医学成像技术在临床诊断和治疗中的重要性和作用。
以上是医用物理学考试题的内容。
请根据题目要求,准确回答选择题和填空题,并在简答题和论述题中进行适当的文字描述。
希望考试顺利,取得好成绩!。
《医用物理学》考卷一.选择题(10题,每小题2分;共20分)1、理想流体在同一流管中作稳定流动时,对于不同截面处的流量是:( C )A.截面大处流量大。
B. 截面小处流量大。
C. 截面大处流量等于截面小处流量。
D. 仅知截面大小不能确定流量大小。
2、医务人员从高压氧舱中出来,都必须有适当缓冲时间,否则血管中会出现( C )而危及生命。
A.血压过高。
B.血压过低。
C.气体栓塞现象。
D.不润湿现象。
3、通过导体任意一点的电流密度:( A )A.与该点的场强及导体的性质有关。
B.只与该点的导体性质有关。
C.只与该点的场强有关。
D.与导体的长度和面积有关。
4.低语时声强为10-8Wm-2,发动机的噪声声强为10-1Wm-2,其频率为1000Hz时,则它们的声强级之差为:(D) A.10-6dB; B.150dB; C.110dB; D.70dB;5、波动理论指出:只有满足以下条件( D )的相干光源才能产生稳定干涉现象。
A. 频率相同、振幅相同、振动方向相同。
B. 频率相同、振幅相同、有固定的相位差。
C.振幅相同、振动方向相同、有固定的相位差。
D.频率相同、振动方向相同、有固定的相位差。
6、理想流体在粗细不均匀、高低不同的管中作定常流动时有( D )A、低处的压强一定比较大;B、高处单位体积流体的动能总是比较小;C 、低处的流速一定比较大; D、压强较小处,单位体积流体的动能和重力势能之和一定比较大。
7、在连通器两端系有大小不同,表面张力系数相同的两个肥皂泡,当打开连通器使两肥皂泡相通后,泡的变化情况是 ( B )A.大泡变小,小泡变大。
B.大泡变大,小泡变小。
C.两泡大小不变。
D.两泡变化相同,即同时变大或变小。
8、表面活性物质是指( C )A.表面张力系数较小的液体。
B.表面张力系数较大的液体。
C.能使液体的表面张力系数减小的物质。
D.能使液体的表面张力系数增大的物质。
9、伯努利方程适用的条件必须是: ( C )A. 不同流管。
医用物理学考试题一、选择题1. 医用物理学是研究什么的学科?A. 医学成像技术B. 人体组织的物理特性C. 医学仪器的物理原理D. 所有以上内容2. 下列哪种成像技术不属于医学成像技术?A. X射线成像B. 超声波成像C. 光学显微镜成像D. 热成像3. 人体组织对X射线的吸收与哪些因素有关?A. 组织密度B. 组织厚度C. 组织含水量D. 所有以上因素4. 在医学成像中,分辨率是指:A. 成像系统能够区分两个相邻物体的最小距离B. 成像系统能够产生图像的清晰度C. 成像系统的颜色还原能力D. 成像系统的对比度5. 下列哪种物理现象常用于测量人体血液流动?A. 多普勒效应B. 霍尔效应C. 光电效应D. 压电效应二、填空题1. 医学成像技术中,_________是一种利用磁场和无线电波来成像的技术。
2. 在医学物理治疗中,放射治疗常常使用_________来杀死肿瘤细胞。
3. 人体对电磁辐射的敏感度与_________有关,不同频率的电磁波对人体的影响不同。
4. 光学显微镜成像的极限分辨率受到_________的限制。
5. 在医学超声成像中,探头的频率越高,其成像的_________越高,但穿透能力越低。
三、简答题1. 请简述X射线成像的基本原理及其在医学中的应用。
2. 说明超声波成像技术是如何工作的,并列举其在临床上的应用。
3. 讨论医用物理学在提高医疗诊断准确性方面的作用。
四、论述题1. 论述MRI技术的原理及其在现代医学中的重要性。
2. 分析医用物理学在放射治疗计划设计中的作用及其对患者治疗结果的影响。
五、计算题1. 一个厚度为5cm的人体组织,对X射线的吸收系数为0.2cm⁻¹。
计算通过该组织后,X射线的强度减少了百分之多少?2. 一个超声波探头的频率为5MHz,声速在组织中为1500m/s。
计算超声波在该组织中的波长。
请注意,以上题目仅供参考,实际考试题目可能会有所不同。
考生应根据实际情况和所学知识进行答题。
医用物理学试题及答案一、选择题1. 医用物理学是研究什么领域的学科?A. 生物学B. 物理学C. 医学D. 化学答案: C. 医学2. X射线检查属于医用物理学中的哪个分支?A. 成像学B. 放射治疗学C. 高能物理学D. 核医学答案: A. 成像学3. 以下哪种仪器常用于测量血压?A. 电子血压计B. 磁共振成像仪C. γ射线治疗机D. 超声波成像仪答案: A. 电子血压计4. 对于医学影像的诊断,以下哪种成像技术最具有辐射风险?A. X射线摄影B. 超声波成像C. 核磁共振成像D. CT扫描答案: D. CT扫描5. 下列哪种检查方法可以用于检测骨骼中的肿瘤?A. 超声波成像B. 磁共振成像C. X射线摄影D. 核磁共振成像答案: C. X射线摄影二、填空题1. 医学中最早使用的成像技术是____。
答案: X射线摄影2. ______是一种医学诊断技术,利用了人体组织对高频声波的反射。
答案: 超声波成像3. 核医学利用了放射性核素的____特性进行医学影像诊断。
答案: 放射性4. 磁共振成像(MRI)利用了____现象来获得人体内部的图像。
答案: 核磁共振5. 医用物理学的发展使得医学影像的质量得到了____。
答案: 提高三、简答题1. 请简述X射线摄影的原理及其在医学中的应用。
答案: X射线摄影利用X射线通过人体组织时的吸收、散射和透射来获得影像。
它可以用于检查骨骼、肺部和消化道等部位的疾病,如骨折、肺炎和胃肠道疾病等。
2. 超声波成像的原理是什么?举例说明其在医学实践中的应用。
答案: 超声波成像利用高频声波在人体组织中的传播、反射和散射来生成影像。
例如,在妇科中,超声波成像可用于检查孕妇子宫内的胎儿情况;在心脏病学中,超声波成像可以检测心脏功能和心脏瓣膜异常等。
3. 请说明核医学的基本原理及其在癌症治疗中的应用。
答案: 核医学利用放射性核素的放射特性,通过核素在人体内的摄取、分布和代谢过程来进行医学诊断和治疗。
A .B .C .D .A . IB . IC . ID . IA . 1B . 4C .5D .71/2专业组别学号 姓名《医学物理学》试卷一、选择题(每题 2 分,共 15 题,计 30 分)1、同一媒质中,两声波的声强级相差 20dB, 则它们的声强之比为:(B ) A .20 :1 B .100 :1 C .2 :1 D .40 :12、理想液体在同一流管中稳定流动时,对于不同截面处的流量描述正确的是: (D )A .截面小处流量大B .截面大小不能确定流量大小C .截面大处流量大D . 截面大处流量等于截面小处流量3、水在同一流管中稳定流动,截面为 1cm 2 处的流速为 12cm/s ,在流速为 4cm/s 处的截 面积为: (B )A .1 cm 2B .3cm 2C .5cm 2D .6cm 24、半径为 R 的球形肥皂泡,作用在球形肥皂泡上的附加压强是:(B ) 2α 4α α αR R 2 R 4 R5、自然光通过两个透光轴相交 60︒的偏振片,则透射光与入射光之比为: (D ) 1 1 3 12 4 4 86、有两个同方向的振动:x =3cos ωt , x =4cos(ωt+π),则合成振动的振幅为: (A )1 2 7、波长为 λ、向右传播的某简谐波,其波源的振动方程为 x = 2cos π t ,则传播方向上 与波源相距一个波长的质点振动方程为: (B )A . x = 2cos(π t - π )B . x = 2cos(π t - 2π )C . x = 2cos π tD . x = 2cos(π t + 2π )8、波动方程为 y = 6cos 2π (4t - 0.2 x + 0.5)cm ,(x 单位为 cm),则该波的波长 λ 为: (D )A . λ =40cmB . λ =20cmC . λ =10cmD . λ =5cm9、在杨氏双缝实验中,当光程差 δ 为 0 时,屏幕上将显示什么条纹:(A )A .亮条纹B .暗条纹C .无条纹D .以上都不是10、某人对 2.5 米以外的物看不清,若要看清无穷远的物体,则需配眼镜的度数为:(B) A .40 度 B .-40 度 C .250 度 D .-250 度11、在光栅实验中,光栅常数 d = 3μm ,光栅上的狭缝宽度 a = 1μ m ,那么下列哪一极明条纹会在光栅衍射图样中缺少? (C ) A .第 1 极 B .第 2 极 C .第 3 极 D .第 4 极12、大小不同的两肥皂泡,中间活塞打开,会发生什么现象?(A ) A .大泡变大、小泡变小 B . 大泡变大、小泡变大 C .大泡变小、小泡变大 D . 大泡变小、小泡变小13、下列哪个不属于屈光不正?(C )⎰Ò⎰⎰ E g dS = 1 ∑n qεi =15、磁场的安培环路定理ÑB g dl = μ ∑ I。
医用物理学试题第一章流体力学1.具有下列特点的流体是理想流体:A.绝对不可压缩 B.流动时没有粘滞性C.A、 B二者都对 D.A、 B二者都不对* 具有下列特点的流体是实际流体:A.绝对不可压缩 B.流动时没有粘滞性C.A、 B二者都对 D.A、 B二者都不对2. 理想流体作稳定流动时:A.流体流经空间中各点速度一定相同B.流体流动时的流速一定要很小C.流体流经空间流线是一组平行的曲线D.流体流经空间各点的速度不随时间变化E.流体流经空间同一流线上速度一定要相同3.理想流体作稳定流动时,同一流线上选取任意三点,A. 这三点各自的速度都不随时间而改变B. 这三点速度一定是相同C. 这三点速度一定是不同D. 这三点速率一定是相同 E.这三点速率一定是不同4.研究液体运动时所取的流管:A. 一定是直的刚性管 B.一定是刚性园筒形体C.一定是由许多流线组成的管状体 D.一定是截面相同的管状体E. —定是截面不同的圆形管5. 水在同一流管中稳定流动,截面为0.5cm 2处的流速为12cm/s,在流速为4cm/s处的截面积为:A. 0.167 cm 2B. 1.5 cm 2C. 0.056cm 2D. 4.50 cm 2E. 以上都不对6. 水在同一流管中稳定流动,半径为3.0cm处水的流速为1.0 m/s,那么半径为1.5cm处的流速为:A. 0.25m/sB. 0.5m/sC. 2.0m/sD. 2.5 m/sE. 4.0 m/s7. 理想液体在同一流管中稳定流动时,对于不同截面处的流量是:A. 截面大处流量大B. 截面小处流量大C. 截面大处流量等于截面小处流量D. 仅知截面大小不能确定流量大小8.伯努利方程适用的条件必须是: ( 多选题 )A. 同一流管B. 不可压缩的液体C.理想液体D. 稳定流动E. 对单位体积的液体9.一个截面不同的水平管道,在不同截面竖直接两个管状压强计,若流体在管中流动时,两压强计中液面有确定的高度。
医用物理学第一章流体力学1.具有下列特点的流体是理想流体:A.绝对不可压缩B.流动时没有粘滞性C.A、B二者都对D.A、B 二者都不对具有下列特点的流体是实际流体:A.绝对不可压缩B.流动时没有粘滞性C.A、B二者都对D.A、B二者都不对 2. 理想流体作稳定流动时:A.流体流经空间中各点速度一定相同B.流体流动时的流速一定要很小C.流体流经空间流线是一组平行的曲线;D.流体流经空间各点的速度不随时间变化E.流体流动只要内摩擦极小3.理想流体作稳定流动时,同一流线上任意三点的: A. 三点各自的速度都不随时间而改变 B. 三点速度一定是相同 C. 三点速度一定是不同的D. 三点速率一定是相同E.三点速率一定是不同的4.研究液体运动时所取的流管: A. 一定是直的刚性管B.一定是刚性园筒形体C.一定是许多流线组成的管状体;D.一定是截面相同的管状体E. —定是截面不同的圆形管 5. 水在同一流管中稳定流动,截面为处的流速为12cm/s,在流速为4cm/s 处的截面积为:A. cm2 B. cm2 C. cm2 D. cm2 E.都不对 6. 水在同一流管中稳定流动,半径为处的流速为m/s,那么半径为处的流速为:A. /s B. /s C. /s D. m/s E. m/s 7. 理想液体在同一流管中稳定流动时,对于不同截面处的流量是:A. 截面大处流量大 B. 截面小处流量大 C. 截面大处流量等于截面小处流量 D. 截面不知大小不能确定8.伯努利方程适用的条件是:(多选题) A. 同一流管 B. 所有液体 C.理想液体 D. 稳定流动E. 对单位体积的液体9.一个截面不同的水平管道,在不同截面竖直接两个管状压强计,若流体在管中流动时,两压强计中液面有确定的高度。
如果把管口堵住,此时压强计中液面变化情况是:A. 都不变化 B. 两液面同时升高相等高度 C. 两液面同时下降相等高度 D. 两液面上升到相同高度E. 两液面下降到相同高度10.理想液体在一水平管中作稳定流动,截面积S 、流速v 、压强p的关系是:A. S 大处v 小p小 B. S大处v 大p大C. S小处v 大p大 D. S小处v 小p小 E. S小处v 大p小11.水在粗细均匀的虹吸管中流动时,图中四点的压强关系是: A. p1 = p2 = p3 = p4 B. p1 >p2 = p3 = p4 C. p1 = p4 >p2 = p3 D p1 >p2 >p3>p4 12.一盛水大容器,水面离底距离为H , 容器的底侧面有一面积为A的小孔,水从小孔流出,开始时的流量为:A.2AH B.C. D.E.2AgH 213. 一个顶端开口的圆形容器,横截面积为10cm,在圆形容器底侧面及底部中心各开一个截面积为的小孔,。
第三章 分子动理论3-1 一U 形玻璃管的两竖直管的直径分别为1mm 和3mm.试求两管内水面的高度差(水的表面张力系数⨯=73α10-3N·m -1)。
(2cm)解:设U 形玻璃管的两竖直管的半径分别为1r 和2r ,根据题意可知m m 5.0r 1=,m m 5.1r 2= 两管弯曲液面处的压强分别为101r 2-p p α=,202r 2-p p α=,同时,gh -p p 12ρ= 由上面三式联立可得: cm 2105.11-105.018.9100010732gr 2-gr 2h 3-3-3-21≈⨯⨯⨯⨯⨯==)(ραρα 答:两管水面高度差为2cm3-2 在内半径r=0.33mm 的毛细管中注入水,在管的下端形成一半径为R=3.0mm 的水滴,求管中水柱的高度。
(5.5cm) 解:设毛细管中靠近弯液面处的水中一点压强为r a p p 201-=,在管的下端的水滴中一点的压强为R a p p 202+=,且同时有pgh p p =-12。
由上面三式可得)5.5)11(2cm R r rg a h (≈+=3-3 有一毛细管长L =20cm ,内直径d =1.5mm ,水平的浸在水银中,其中空气全部都留在管中,如果管子浸在深度处h =10cm ,问管中空气柱的长度是多少(设大气压强0P =76cmHg ,已知水银表面张力系数α=0.49N·m -1,与玻璃的接触角=θπ)?(0.179m)答:因水银与玻璃的接触角πθ=,水平浸在深度cm h 10=处的玻璃毛细管内气体压强为220⨯-+=da pgh P P 按玻马定律有: 10022L d a pgh P L P ⋅⨯-+=⋅)( 所以:)(0.17922001m d a pgh P LP L =⨯-+=答:管中空气柱的长度是0.179m 。
3-4 吹一个直径为10cm 的肥皂泡,设肥皂液的表面张力系数α=40×10-3N·m -1。
医用物理学考卷一、选择题(每题1分,共5分)1. 下列哪种物理现象与医学影像技术无关?()A. X射线穿透B. 声波传播C. 磁共振D. 光的折射A. 贝克勒尔(Bq)B. 帕斯卡(Pa)C. 瓦特(W)D. 摩尔(mol)3. 下列哪种物理效应不是激光在医学中的应用?()A. 光动力疗法B. 激光焊接C. 激光切割D. 激光打印A. α射线B. β射线C. γ射线D. 中子射线5. 下列哪种成像技术是基于声波原理的?()A. X射线成像B. CT成像C. MRI成像D. 超声波成像二、判断题(每题1分,共5分)1. 医用物理学主要研究物理学在医学诊断和治疗中的应用。
()2. X射线是一种波长较长的电磁波,具有较强的穿透能力。
()3. 在放射性同位素示踪技术中,使用的同位素必须具有较长的半衰期。
()4. 超声波成像技术对人体没有电磁辐射的危害。
()5. 磁共振成像(MRI)是基于放射性物质的成像技术。
()三、填空题(每题1分,共5分)1. 医用超声波在人体内的传播速度大约为______m/s。
2. X射线的穿透能力与它的______有关。
3. 在放射性治疗中,______射线主要用于治疗浅表肿瘤。
4. MRI成像利用的是______与氢原子核的相互作用。
5. 激光在医学上的应用包括______、______和______等。
四、简答题(每题2分,共10分)1. 简述X射线在医学诊断中的应用。
2. 什么是放射性同位素示踪技术?3. 简述超声波成像的基本原理。
4. 激光在医学治疗中有哪些应用?5. MRI成像与CT成像的主要区别是什么?五、应用题(每题2分,共10分)1. 一束X射线穿过厚度为5cm的人体组织,其强度衰减到原来的1/4,求该组织的线性衰减系数。
2. 一放射性同位素的半衰期是8小时,经过24小时后,原有放射性活度衰减到原来的多少?3. 一束超声波在人体内的传播速度为1500m/s,如果发射和接收之间的时间间隔为0.02秒,求超声波传播的距离。
医用物理学题库(2023秋季学期)第一部分振动与波动一、选择题1.弹簧振子作简谐振动,振幅为A ,周期为T ,其运动方程用余弦函数表示.若0t =时,振子在负的最大位移处,则初相为(A)0.(B)π.(C)/2π.(D)-/2π.2.一质量为m 的物体和劲度系数为k 的轻弹簧组成的振动系统,若以物体通过-1/2振幅且向负方向运动为计时时刻,该系统的振动方程为(A)2)3x A π=+.(B)1)3x A π=+.(C)1)3x A π=+.(D)2)3x A π=+.3.图中所画的是两个简谐振动的振动曲线.若这两个简谐振动可叠加,则合成的余弦振动的初相为(A)32π.(B)π.(C)12π.(D)0.4.0t =时,振子在位移为/2A 处,且向负方向运动,则初相的旋转矢量为5.一个质点作简谐运动,振幅为A ,在起始时刻质点的位移为-2A ,且向x 轴正方向运动,代表此简谐运动的旋转矢量为6.一物体作简谐振动,振动方程为cos(4x A t πω=+.在/4t T =(T 为周期)时刻,物体的加速度为(A)222A ω-.(B)222A ω.(C)232A ω-.(D)232A ω.7.一物体作简谐振动,振动方程为1cos()4x A t ωπ=+.在/2t T =(T 为周期)时刻,物体的加速度为(A)222A ω-.(B)222A ω.(C)232A ω-.(D)232A ω.8.已知某简谐运动的振动曲线如图所示,则此简谐运动的运动方程为(A)222cos[]33x t ππ=-.(B)222cos[]33x t ππ=+.(C)422cos[]33x t ππ=-.(D)422cos[]33x t ππ=+.9.一质点作简谐振动,已知振动周期为T ,则其振动动能变化的周期是(A)4T .(B)2T .(C)T .(D)2T .10.一弹簧振子作简谐振动,当位移为振幅的一半时,其动能为总能量的(A)14.(B)12.(C)12.(D)34.11.一质点作简谐振动,已知振动频率为f ,则振动动能的变化频率是(A)4f .(B)2f .(C)f .(D)2f .12.两个同振动方向、同频率、振幅均为A 的简谐运动合成后,振幅为2A ,则这两个简谐运动的相位差为(A)3π.(B)2π.(C)π.(D)2π13.右图中所画的是两个简谐振动的振动曲线.这两个简谐振动的相位相差为(A)3π.(B)2π.(C)π.(D)014.两个同振动方向、同频率、振幅均为A 的简谐运动合成后,振幅仍为A ,则这两个简谐运动的相位差为(A)60 .(B)90 .(C)120 .(D)180 .15.两个同周期简谐振动曲线如图所示.1x 的相位比2x 的相位(A)落后2π.(B)超前2π.(C)落后π.(D)超前π.16.若一平面简谐波的表达式为)cos(Cx Bt A y -=,式中A 、B 、C 为正值常量,则(A)波速为C ..(B)周期为1/B .(C)波长为2/C π.(D)角频率为2/B π.17.一横波以速度u 沿x 轴负方向传播,t 时刻波形曲线如图所示,则该时刻(A)A 点相位为π.(B)B 点静止不动.(C)C 点相位为3/2π.(D)D 点向上运动.18.在简谐波传播过程中,沿传播方向相距为12λ(λ为波长)的两点的振动速度必定(A)大小相同,而方向相反.(B)大小和方向均相同..(C)大小不同,方向相同.(D)大小不同,而方向相反.19.以下条件中,不属于两列相干波所必须满足的条件.(A)频率相同.(B)振动方向相同..(C)振幅相同.(D)相位差恒定.20.如图所示,两列波长为λ的相干波在P 点相遇.波在1S 点振动的初相是1φ,1S 到P 点的距离是1r ;波在2S 点的初相是2φ,2S 到P 点的距离是2r ,以k 代表零或正、负整数,则P 点是干涉极大的条件为:(A)21r r k λ-=.(B)212k φφπ-=.(C)21212()/2r r k φφπλπ-+-=.(D)21122()/2r r k φφπλπ-+-=.20.一平面简谐波的表达式为cos(/2) (m)y t x πππ=--,则下列选项中关于该平面波描述正确的是:(A)波长= m λπ.(B)周期2T =s .(C)频率=1νHz .(D)波速2u =m/s.22.如图(a)表示0t =时的简谐波的波形图,波沿x 轴正方向传播,图(b)为一质点的振动曲线.则图(a)中所表示的0x =处质点振动的初相位与图(b)所表示的振动的初相位分别为(A)均为2π(B)均为2π-.(C)2π与2π-.(D)2π-与2π.23.频率为100Hz ,传播速度为300m/s 的平面简谐波,波线上距离小于波长的两点振动的相位差为/3π,则此两点相距(A)2.86m .(B)2.19m .(C)0.5m .(D)0.25m .24.平面简谐机械波在弹性介质中传播时,在传播方向上某介质元在负的最大位移处,则它的能量是(A)动能为零,势能最大(B)动能为零,势能为零(C)动能最大,势能最大(D)动能最大,势能为零25.一平面简谐波在弹性介质中传播,在介质元从最大位移处回到平衡位置的过程中(A)它的势能转换成动能(B)它的动能转换成势能(C)它从相邻的一段介质元中获得能量,其能量逐渐增大(D)它把自己的能量传给相邻的一介质元,其能量逐渐减小26.已知在某一介质中两列相干的平面简谐波的强度之比是421=I I ,则这两列波的振幅之比21A A 是(A)4(B)2(C)16(D)827.人耳能分辨同时传来的不同声音,这是由于(A)波的反射和折射(B)波的干涉(C)波的独立传播特性(D)波的强度不同28.两初相位相同的相干波源,在其叠加区内振幅最小的各点到两波源的波程差等于(A)波长的偶数倍(B)波长的奇数倍(C)半波长的偶数倍(D)半波长的奇数倍29.当超声波经过声阻抗差值较大的介质形成界面时,(A)穿透力增强.(B)分辨率增强.(C)被反射的声能增多.(D)被吸收的声能增多.30.低语时声强为10-⁸W·m -²,飞机发动机的噪声声强为10-¹W·m -²,当其频率为1000Hz 时,则它们的声强级之差为:(A)10-⁶dB.(B)150dB.(C)110dB.(D)70dB.31.一机车汽笛频率为750Hz,机车以时速90公里远离静止的观察者.观察者听到的声音的频率是(设空气中声速为340m·s -¹):(A)810Hz.(B)699Hz.(C)805Hz.(D)695Hz二、填空题1.一弹簧振子作简谐振动,振幅为A ,周期为T ,其运动方程用余弦函数表示.若0t =时,振子在负的最大位移处,则初相为_____________;振子在平衡位置向正方向运动,则初相为____________;振子在位移为/2A 处,且向负方向运动,则初相为_____.2.一质点沿x 轴作简谐振动,振动范围的中心点为x 轴的原点.若0t =时质点过0x =处且朝x 轴负方向运动,则振动的初相位0ϕ=;若0t =时质点处于/2x A =处且向x 轴正方向运动,则振动的初相位0ϕ=.3.在简谐波的一条射线上,相距0.2m 两点的振动相位差为6/π.又知振动周期为0.4s ,则波速为.4.一简谐振动的表达式为cos(3)x A t φ=+,已知0t =时的初位移为0.04m ,初速度为0.09m/s ,则振幅A =_____________,初相φ=________________.5.一弹簧振子,弹簧的劲度系数为k ,重物的质量为m ,则此系统的固有振动周期为.6.当质点以频率ν作简谐振动时,它的动能和势能的变化频率均为,总能量保持不变.7.横波的一个波长指的是波线上相邻两同相点之间的距离;一平面简谐横波的波源简谐运动的周期为T ,则2T 内波形向前推进了个波长.8.已知平面简谐波的表达式为cos()y A Bt Cx =-式中,,A B C 为正值常量,此波的波长是___,波速是______.在波传播方向上相距为d 的两点的振动相位差是________.9.在同一媒质中两列频率相同的平面简谐波的强度之比12/16I I =,则这两列波的振幅之比是12/A A =____________________.10.两相干波源S 1和S 2的振动方程分别是1cos()y A t ωϕ=+和2cos()y A t ωϕ=+.S 1距P 点3个波长,S 2距P 点4.5个波长.设波传播过程中振幅不变,则两波同时传到P 点时的合振幅是________________.11.引起人耳听觉的声波频率范围是(),频率高于20000Hz 的机械波叫(),频率低于20Hz 的机械波叫()。
13级检本《医用物理学》复习题一、填空题1、医学是以的生命科学,生命现象属于。
2、物理学在理论上和技术上的新成就不断为生命科学和医学的发展提供和。
反过来,生命科学和医学的发展,又不断地向物理学提供,二者。
总之,物理学与生命科学的关系可归结为两个主要方面:①;②。
3、质点的实际运动是各分运动的矢量合成,这一关系称为运动的。
4、称为质点在这一段时间内的平均速度。
速度是,速率是。
5、加速度的作用是,而法向加速度的作用是。
6、应用牛顿运动定律进行数量计算时,各物理量的单位必须“配套”。
相互配套的一组单位称为。
目前国内外通用的单位制是,即SI。
7、惯性系有一个重要的性质,即如果我们确认了某一参照系为惯性系,则一定是惯性系。
反过来也可以说,,一定不是惯性参照系,或者说是一个非惯性系。
8、从初态变化到末态时,等于外力和非保守内力所作功的代数和,这个结论称为。
它在中成立。
9机械能守恒定律:在,物体系统的机械能保持不变。
10、当时,系统内各物体的动量可以发生变化,但这种变化只能是。
11、刚体是,如果,就可以把它当做刚体处理。
转动是指运动。
转动物体的成正比,与物体的转动惯量成反比。
该定律称为。
相当于质点运动的牛顿第二定律。
故也称为转动的牛顿第二定律。
12、,称为形变。
有的形变是,有的形变是。
产生形变物体同时受的作用。
在,去掉外力后物体能够完全恢复原状的,这种形变称为。
外力超过某一限度后,,这种形变称为范(塑)性形变。
13、弹性模量表示,弹性模量越大,物体越。
14、强度是指,刚度表示,骨的这两种最基本的物理性能取决于它的。
15、有限元分析法包括以下三个主要步骤: 、、。
16、当不可压缩的流体在流管中做稳定流动时,单位时间内通过垂直于流管的任一截面的流体体积都相等。
因此流速与横截面积成,截面积大处,截面积小处。
17、所谓层流,即。
18、任何实际的振动都必然受到阻力的作用而损失能量,因而振幅也。
振幅随时间减小的振动,称为。