最新浙江专用高考数学压轴大题分类练习
- 格式:pdf
- 大小:5.47 MB
- 文档页数:39
压轴大题抢分专练(四)1.过椭圆C :x 2a 2+y 2b2=1(a >b >0)右焦点F (1,0)的直线与椭圆C 交于A ,B 两点,自A ,B 向直线x =5作垂线,垂足分别为A 1,B 1,且|AA 1||AF |= 5. (1)求椭圆C 的方程;(2)记△AFA 1,△FA 1B 1,△BFB 1的面积分别为S 1,S 2,S 3,证明:S 1·S 3S 22是定值,并求出该定值.解:(1)设A (x ,y ),则|AA 1|=|5-x |,|AF |=x -2+y 2,由|AA 1||AF |=5,得x 25+y24=1,而A 是椭圆C 上的任一点,∴椭圆C 的方程为x 25+y 24=1.(2)证明:由题意知,直线AB 的斜率不可以为0,而可以不存在,∴可设直线AB 的方程为x =my +1.设A (x 1,y 1),B (x 2,y 2),由⎩⎪⎨⎪⎧x =my +1,x 25+y24=1,得(4m 2+5)y 2+8my -16=0,∴y 1+y 2=-8m 4m +5,y 1y 2=-164m +5.①由题意,S 1=12|AA 1||y 1|=12|5-x 1||y 1|,S 3=12|BB 1||y 2|=12|5-x 2||y 2|, S 2=12|A 1B 1|·4=2|y 1-y 2|,∴S 1S 3S 22=116·-x 1-x 2-y 1y 2y 1-y 22=116·-my 1-my 2-y 1y 2y 1-y 22=-116·y 1y 2[16-4m y 1+y 2+m 2y 1y 2]y 1+y 22-4y 1y 2,将①代入,化简并计算可得S 1S 3S 22=14, ∴S 1·S 3S 22是定值,且该定值为14.2.设a n =x n ,b n =⎝ ⎛⎭⎪⎫1n 2,S n 为数列{a n ·b n }的前n 项和,令f n (x )=S n -1,x ∈R ,n ∈N *.(1)若x =2,求数列⎩⎨⎧⎭⎬⎫2n -1a n 的前n 项和T n ; (2)求证:对任意n ∈N *,方程f n (x )=0在x n ∈⎣⎢⎡⎦⎥⎤23,1上有且仅有一个根;(3)求证:对任意p ∈N *,由(2)中x n 构成的数列{x n }满足0<x n -x n +p <1n.解:(1)∵x =2,∴a n =2n,令c n =2n -12n , T n =c 1+c 2+…+c n =12+322+…+2n -12n , ① 12T n =122+323+…+2n -12n +1, ② ①-②得12T n =12+2⎝ ⎛⎭⎪⎫122+123+…+12n -2n -12n +1=12+2×122⎝ ⎛⎭⎪⎫1-12n -11-12-2n -12n +1=32-2n +32n +1, ∴T n =3-2n +32n .(2)证明:对任意n ∈N *,当x >0时,由函数f n (x )=-1+x +x 222+x 332+…+x n n2(x ∈R ,n ∈N *),可得f ′(x )=1+x 2+x 23+…+x n -1n>0,∴函数f (x )在(0,+∞)上是增函数.令f n (x n )=0,当n ≥2时,f n (1)=122+132+…+1n2>0,即f n (1)>0.又f n ⎝ ⎛⎭⎪⎫23=-1+23+⎣⎢⎢⎡⎦⎥⎥⎤⎝ ⎛⎭⎪⎫23222+⎝ ⎛⎭⎪⎫23332+⎝ ⎛⎭⎪⎫23442+…+⎝ ⎛⎭⎪⎫23n n 2≤-13+14·∑i =2n ⎝ ⎛⎭⎪⎫23i =-13+14×⎝ ⎛⎭⎪⎫232⎣⎢⎡⎦⎥⎤1-⎝ ⎛⎭⎪⎫23n -11-23=-13×⎝ ⎛⎭⎪⎫23n -1<0,根据函数的零点判定定理,可得存在唯一的x n ∈⎣⎢⎡⎦⎥⎤23,1,满足f n (x n )=0. 当n =1时,显然存在唯一的x 1=1满足f 1(x 1)=0.综上所述,对任意n ∈N *,方程f n (x )=0在x n ∈⎣⎢⎡⎦⎥⎤23,1上有且仅有一个根.(3)证明:当x >0时,∵f n +1(x )=f n (x )+x n +1n +2>f n (x ),∴f n +1(x n )>f n (x n )=f n +1(x n +1)=0.由f n +1(x )在(0,+∞)上单调递增, 可得x n +1<x n ,即x n -x n +1>0, 故数列{x n }为递减数列,即对任意的n ,p ∈N *,x n -x n +p >0.由于f n (x n )=-1+x n +x 2n 22+x 3n32+…+x n nn2=0,①f n +p (x n +p )=-1+x n +p +x 2n +p 2+x 3n +p3+…+x nn +p n +⎣⎢⎡⎦⎥⎤x n +1n +p n +2+x n +2n +pn +2+…+x n +p n +pn +p2=0,②用①减去②并移项,利用0<x n +p ≤1,可得x n -x n +p =∑k =2nx k n +p -x k n k 2+∑k =n +1n +px k n +pk 2 ≤∑k =n +1n +p x kn +pk 2<∑k =n +1n +p 1k 2<∑k =n +1n +p1k k-=1n -1n +p <1n. 综上可得,对于任意p ∈N *,由(2)中x n 构成的数列{x n } 满足0<x n -x n +p <1n.。
2024年杭州市高考数学压轴题答案详解高考,对于每一位学子来说,都是一场重要的战役。
而数学压轴题,更是这场战役中的关键一役。
接下来,让我们一同深入剖析 2024 年杭州市高考数学压轴题。
题目:已知函数$f(x) = x^3 3x^2 + ax + b$在$x =-1$处取得极值,且曲线$y = f(x)$在点$(1,f(1))$处的切线与直线$2x + y 3 =0$平行。
(1)求实数$a$,$b$的值;(2)求函数$f(x)$在区间$-2,2$上的最大值与最小值。
解:(1)首先,对函数$f(x) = x^3 3x^2 + ax + b$求导,可得$f'(x) = 3x^2 6x + a$。
因为函数$f(x)$在$x =-1$处取得极值,所以$f'(-1) = 0$,即:\\begin{align}3\times(-1)^2 6\times(-1) + a &= 0\\3 + 6 + a &= 0\\9 + a &= 0\\a &=-9\end{align}\又因为曲线$y = f(x)$在点$(1,f(1))$处的切线与直线$2x + y 3 = 0$平行,直线$2x + y 3 = 0$的斜率为$-2$。
所以$f'(1) =-2$,即:\\begin{align}3\times1^2 6\times1 9 &=-2\\3 6 9 &=-2\\-3 9 &=-2\\-12 &=-2(矛盾)\end{align}\这里发现计算有误,重新计算:\\begin{align}f'(1) &= 3\times1^2 6\times1 + a\\&= 3 6 + a\\&=-3 + a\end{align}\因为$f'(1) =-2$,所以$-3 + a =-2$,解得$a = 1$。
将$x =-1$,$a = 1$代入$f'(x) = 3x^2 6x + 1$,可得$f'(-1) = 3\times(-1)^2 6\times(-1) + 1 = 3 + 6 + 1 = 10 \neq 0$,说明我们前面求得的$a = 1$是正确的。
(一)三角函数与解三角形1.(2019·余高、缙中、长中模拟)已知函数f (x )=cos x (sin x +cos x )-12.(1)求函数f (x )的单调增区间; (2)若f (α)=26,α∈⎝ ⎛⎭⎪⎫π8,3π8,求cos2α的值.解 (1)f (x )=12sin2x +1+cos2x 2-12=22sin ⎝⎛⎭⎪⎫2x +π4,由-π2+2k π≤2x +π4≤π2+2k π,k ∈Z ,得函数f (x )的单调增区间是⎣⎢⎡⎦⎥⎤-38π+k π,π8+k π,k ∈Z .(2)由f (α)=26得sin ⎝⎛⎭⎪⎫2α+π4=13,因为α∈⎝ ⎛⎭⎪⎫π8,3π8,所以2α+π4∈⎝ ⎛⎭⎪⎫π2,π, 所以cos ⎝⎛⎭⎪⎫2α+π4=-223, 所以cos2α=cos ⎣⎢⎡⎦⎥⎤⎝ ⎛⎭⎪⎫2α+π4-π4=2-46.2.(2019·某某二中高考热身考)已知函数f (x )=sin 2π4x -3sin π4x cos π4x . (1)求f (x )的最大值及此时x 的值; (2)求f (1)+f (2)+…+f (2019)的值. 解 (1)f (x )=12-12cos π2x -32sin π2x=12-sin ⎝ ⎛⎭⎪⎫π2x +π6, 令π2x +π6=-π2+2k π,k ∈Z , 得x =4k -43,k ∈Z ,∴当x =4k -43(k ∈Z )时,f (x )max =32.(2)由(1)知函数的周期T =4,f (1)=12-32,f (2)=12+12,f (3)=12+32,f (4)=12-12, ∴f (4k +1)=12-32,f (4k +2)=12+12,f (4k +3)=12+32,f (4k +4)=12-12, ∴f (4k +1)+f (4k +2)+f (4k +3)+f (4k +4)=2, ∴f (1)+f (2)+…+f (2019) =504×2+f (1)+f (2)+f (3)=1010.3.(2019·余高等三校联考)设△ABC 的内角A ,B ,C 所对边的长分别是a ,b ,c ,且b sin A -3a cos B =0. (1)求角B 的大小;(2)若a +c =3,求AC 边上中线长的最小值. 解 (1)由正弦定理得,sin B sin A -3sin A cos B =0, ∵sin A ≠0, ∴tan B =3, ∵B 是三角形的内角, ∴B =60°.(2)方法一 设AC 边上的中点为E ,在△BAE 中,由余弦定理得,BE 2=c 2+⎝ ⎛⎭⎪⎫b 22-2c ·b2·cos A ,又cos A =b 2+c 2-a 22bc,a 2+c 2-b 2=2·cos60°ac ,∴BE 2=c 2+b 24-b 2+c 2-a 22=2a 2+2c 2-b 24=a 2+c 2+ac 4=(a +c )2-ac 4=9-ac 4≥9-⎝⎛⎭⎪⎫a +c 224=2716, 当且仅当a =c 时取到“=”, ∴AC 边上中线长的最小值为334. 方法二 设AC 边上的中点为E , BE →=12(BA →+BC →),|BE →|2=14|BA →+BC →|2=c 2+a 2+ac 4,以下同方法一.4.(2019·浙大附中考试)已知f (x )=2cos x ·sin ⎝⎛⎭⎪⎫x +π6+3sin x ·cos x -sin 2x .(1)求函数y =f (x )(0<x <π)的单调递增区间;(2)设△ABC 的内角A 满足f (A )=2,而AB →·AC →=3,求BC 边上的高AD 长的最大值. 解 (1)f (x )=2cos x ·sin ⎝ ⎛⎭⎪⎫x +π6+2sin x ·cos ⎝ ⎛⎭⎪⎫x +π6=2sin ⎝ ⎛⎭⎪⎫2x +π6.由-π2+2k π≤2x +π6≤π2+2k π,k ∈Z ,解得k π-π3≤x ≤k π+π6,k ∈Z .∴当0<x <π时,函数y =f (x )的单调递增区间是⎝ ⎛⎦⎥⎤0,π6和⎣⎢⎡⎭⎪⎫2π3,π.(2)∵f (A )=2,∴2sin ⎝ ⎛⎭⎪⎫2A +π6=2,∴A =π6,∵AB →·AC →=3,∴bc ·cos A =3,∴bc =2, ∴S △ABC =12bc sin A =12,而a =b 2+c 2-3bc ≥(2-3)bc =3-1(当且仅当b =c 时等号成立), ∴所求BC 边上的高AD ≤3+12, 即AD 的最大值为3+12. 5.在△ABC 中,角A ,B ,C 的对边分别为a ,b ,c ,已知sin A +sin B =3sin C . (1)若cos 2A =sin 2B +cos 2C +sin A sin B ,求sin A +sin B 的值; (2)若c =2,求△ABC 面积的最大值. 解 (1)∵cos 2A =sin 2B +cos 2C +sin A sin B , ∴1-sin 2A =sin 2B +1-sin 2C +sin A sin B , ∴sin 2A +sin 2B -sin 2C =-sin A sin B , ∴由正弦定理,得a 2+b 2-c 2=-ab ,∴由余弦定理,得cos C =a 2+b 2-c 22ab =-12,又0<C <π,∴C =2π3,∴sin A +sin B =3sin C =3sin 2π3=32.(2)若c =2,则a +b =3c =23,∴cos C =a 2+b 2-c 22ab =(a +b )2-2ab -c 22ab =4ab-1,∴sin C =1-cos 2C =1-⎝ ⎛⎭⎪⎫4ab-12=-⎝ ⎛⎭⎪⎫4ab 2+8ab, ∴S =12ab sin C =12ab-⎝ ⎛⎭⎪⎫4ab 2+8ab=12-16+8ab . ∵a +b =23≥2ab ,即0<ab ≤3,当且仅当a =b =3时等号成立, ∴S =12-16+8ab ≤12-16+8×3=2,∴△ABC 面积的最大值为 2.6.已知m =(3sin ωx ,cos ωx ),n =(cos ωx ,-cos ωx )(ω>0,x ∈R ),f (x )=m·n -12且f (x )的图象上相邻两条对称轴之间的距离为π2.(1)求函数f (x )的单调递增区间;(2)若△ABC 中内角A ,B ,C 的对边分别为a ,b ,c 且b =7,f (B )=0,sin A =3sin C ,求a ,c 的值及△ABC 的面积.解 (1)f (x )=m·n -12=3sin ωx cos ωx -cos 2ωx -12=32sin2ωx -12cos2ωx -1 =sin ⎝⎛⎭⎪⎫2ωx -π6-1.∵f (x )的图象上相邻两条对称轴之间的距离为π2,∴T =2π2ω=π,∴ω=1,∴f (x )=sin ⎝⎛⎭⎪⎫2x -π6-1,令2k π-π2≤2x -π6≤2k π+π2,k ∈Z ,则k π-π6≤x ≤k π+π3,k ∈Z ,∴f (x )的单调递增区间为⎣⎢⎡⎦⎥⎤k π-π6,k π+π3,k ∈Z .(2)由(1)知,f (B )=sin ⎝ ⎛⎭⎪⎫2B -π6-1=0,∵0<B <π,∴-π6<2B -π6<11π6,∴2B -π6=π2,∴B =π3,由sin A =3sin C 及正弦定理,得a =3c , 在△ABC 中,由余弦定理,可得cos B =a 2+c 2-b 22ac =9c 2+c 2-76c 2=10c 2-76c 2=12, ∴c =1,a =3,∴S △ABC =12ac sin B =12×3×1×32=334.。
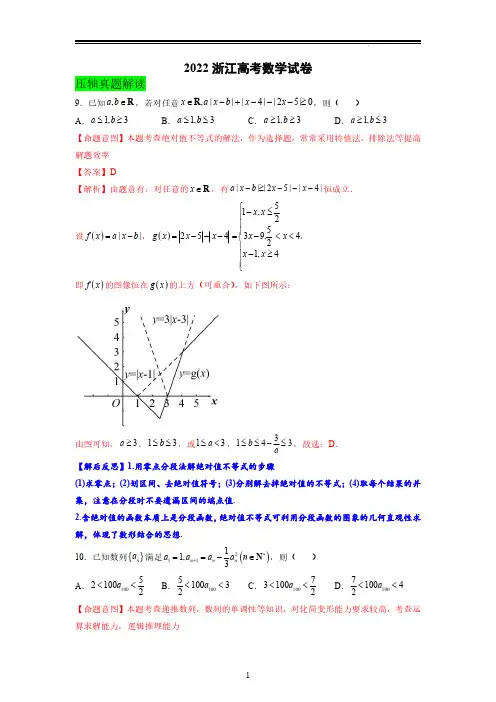
2022浙江高考数学试卷压轴真题解读9.已知,a b ∈R ,若对任意,|||4||25|0x a x b x x ∈-+---≥R ,则()A .1,3a b ≤≥B .1,3a b ≤≤C .1,3a b ≥≥D .1,3a b ≥≤【命题意图】本题考查绝对值不等式的解法,作为选择题,常常采用特值法,排除法等提高解题效率【答案】D【解析】由题意有:对任意的x ∈R ,有|||25||4|a x b x x -≥---恒成立.设()||f x a x b =-,()51,2525439,421,4x x g x x x x x x x ⎧-≤⎪⎪⎪=---=-<<⎨⎪-≥⎪⎪⎩,即()f x 的图像恒在()g x 的上方(可重合),如下图所示:由图可知,3a ≥,13b ≤≤,或13a ≤<,3143b a≤≤-≤,故选:D .【解后反思】1.用零点分段法解绝对值不等式的步骤(1)求零点;(2)划区间、去绝对值符号;(3)分别解去掉绝对值的不等式;(4)取每个结果的并集,注意在分段时不要遗漏区间的端点值.2.含绝对值的函数本质上是分段函数,绝对值不等式可利用分段函数的图象的几何直观性求解,体现了数形结合的思想.10.已知数列{}n a 满足()21111,3n n n a a a a n *+==-∈N ,则()A .100521002a <<B .100510032a <<C .100731002a <<D .100710042a <<【命题意图】本题考查递推数列,数列的单调性等知识,对化简变形能力要求较高,考查运算求解能力,逻辑推理能力【答案】B【解析】∵11a =,易得()220,13a =∈,依次类推可得()0,1n a ∈由题意,1113n n n a a a +⎛⎫=- ⎪⎝⎭,即()1131133n n n n n a a a a a +==+--,∴1111133n n n a a a +-=>-,即211113a a ->,321113a a ->,431113a a ->,…,1111,(2)3n n n a a -->≥,累加可得()11113n n a ->-,即11(2),(2)3n n n a >+≥,∴()3,22n a n n <≥+,即100134a <,100100100334a <<,又11111111,(2)333132n n n n a a a n n +⎛⎫-=<=+≥ ⎪-+⎝⎭-+,∴211111132a a ⎛⎫-=+ ⎪⎝⎭,321111133a a ⎛⎫-<+ ⎪⎝⎭,431111134a a ⎛⎫-<+ ⎪⎝⎭,…,111111,(3)3n n n a a n -⎛⎫-<+≥ ⎪⎝⎭,累加可得()11111111,(3)3323n n n a n ⎛⎫-<-++++≥ ⎪⎝⎭,∴10011111111133334943932399326a ⎛⎫⎛⎫-<++++<+⨯+⨯< ⎪ ⎪⎝⎭⎝⎭,即100140a <,∴100140a >,即10051002a >;综上:100510032a <<.故选:B .【解题技巧】1.由数列的递推关系求通项公式的常用方法(1)已知a 1,且a n -a n -1=f (n ),可用“累加法”求a n .(2)已知a 1(a 1≠0),且a na n -1f (n ),可用“累乘法”求a n .2.已知a 1且a n +1=pa n +q (其中p ,q 均为常数,pq (p -1)≠0).把原递推公式转化为a n +1-t =p (a n -t ),其中t =q1-p,再利用换元法转化为等比数列求解.16.已知双曲线22221(0,0)x y a b a b -=>>的左焦点为F ,过F 且斜率为4b a的直线交双曲线于点()11,A x y ,交双曲线的渐近线于点()22,B x y 且120x x <<.若||3||FB FA =,则双曲线的离心率是_________.【命题意图】本题考查双曲线的性质,考查数形结合思想及运算求解能力【解析】过F 且斜率为4ba 的直线:()4b AB y xc a=+,渐近线2:b l y x a =,联立()4b y x c a b y xa ⎧=+⎪⎪⎨⎪=⎪⎩,得,33c bc B a ⎛⎫ ⎪⎝⎭,由||3||FB FA =,得5,,99c bc A a ⎛⎫- ⎪⎝⎭而点A 在双曲线上,于是2222222518181c b c a a b -=,解得:228124c a =,所以离心率e =故答案为:4.【规律总结】求双曲线离心率或其取值范围的方法(1)求a ,b ,c 的值,由c 2a 2=a 2+b 2a2=1+b 2a 2直接求e .(2)列出含有a ,b ,c 的齐次方程(或不等式),借助于b 2=c 2-a 2消去b ,然后转化成关于e 的方程(或不等式)求解.17.设点P 在单位圆的内接正八边形128A A A 的边12A A 上,则222182PA PA PA +++ 的取值范围是_______.【命题意图】本题主要考查了平面向量数量积的运算和性质,考查了学生分析问题和转化问题的能力【答案】[12+【解析】以圆心为原点,37A A 所在直线为x 轴,51A A 所在直线为y 轴建立平面直角坐标系,如图所示:则1345726222222(0,1),,(1,0),,(0,1),,(1,0)222222A A A A A A A ⎛-- ⎝⎭⎝⎭⎝⎭,82222A ⎛⎫- ⎪ ⎪⎝⎭,设(,)P x y ,于是()2222212888PA PA PA x y +++=++ ,因为cos 22.5||1OP ≤≤,所以221cos 4512x y +≤+≤ ,故222128PA PA PA +++ 的取值范围是[1222,16]+.故答案为:[122,16]+.【解后反思】1.以平面几何为载体的向量问题有两种基本解法:(1)基向量法:恰当选择基底,结合共线定理、平面向量的基本定理进行向量运算.(2)坐标法:如果图形比较规则,可建立平面坐标系,把有关点与向量用坐标表示,从而使问题得到解决.2.解决平面向量与三角函数的交汇问题,关键是准确利用向量的坐标运算化简已知条件,将其转化为三角函数中的有关问题.21.如图,已知椭圆22112x y +=.设A ,B 是椭圆上异于(0,1)P 的两点,且点0,21Q ⎛⎫ ⎪⎝⎭在线段AB 上,直线,PA PB 分别交直线132y x =-+于C ,D 两点.(1)求点P 到椭圆上点的距离的最大值;(2)求||CD 的最小值.【命题意图】本题考查直线与椭圆的综合运用,涉及了两点间的距离公式,利用二次函数的性质求最值,弦长公式等基础知识点,考查逻辑推理能力,运算求解能力【解析】(1)设,sin )Q θθ是椭圆上任意一点,(0,1)P ,则222221144144||12cos (1sin )1311sin 2sin 11sin 111111PQ θθθθθ⎛⎫=+-=--=-+≤⎭+⎪⎝,当且仅当1sin 11θ=-时取等号,故||PQ的最大值是11.(2)设直线1:2AB y kx =+,直线AB 方程与椭圆22112x y +=联立,可得22130124k x kx ⎛⎫++-= ⎪⎝⎭,设()()1122,,,A x y B x y ,所以12212211231412k x x k x x k ⎧+=-⎪+⎪⎪⎨⎪=-⎛⎫⎪+ ⎪⎪⎝⎭⎩,因为直线111:1y PA y x x -=+与直线132y x =-+交于C ,则111114422(21)1C x x x x y k x ==+-+-,同理可得,222224422(21)1D x x x x y k x ==+-+-.则224||(21)1C D x CD x x k x =--+-==当且仅当316k =时取等号,故CD的最小值为5.【方法总结】圆锥曲线中的最值问题类型较多,解法灵活多变,但总体上主要有两种方法:一是几何方法,即通过利用圆锥曲线的定义、几何性质以及平面几何中的定理、性质等进行求解;二是代数方法,即把要求最值的几何量或代数表达式表示为某个(些)变量的函数(解析式),然后利用函数方法、不等式方法等进行求解.22.设函数e()ln (0)2f x x x x=+>.(1)求()f x 的单调区间;(2)已知,a b ∈R ,曲线()y f x =上不同的三点()()()()()()112233,,,,,x f x x f x x f x 处的切线都经过点(,)a b .证明:(ⅰ)若e a >,则10()12e a b f a ⎛⎫<-<- ⎪⎝⎭;(ⅱ)若1230e,a x x x <<<<,则22132e 112e e 6e 6ea a x x a --+<+<-.(注:e 2.71828= 是自然对数的底数)【命题意图】本题考查函数的单调区间的求法,考查不等式的证明,考查导数的性质、函数的单调性、极值、零点、换元法、构造法等基础知识,考查运算求解能力【解析】(1)()22e 12e 22xf x x x x -'=-+=,当e02x <<,()0f x ¢<;当e 2x >,()0f x ¢>,故()f x 的减区间为e 02⎛⎫⎪⎝⎭,,()f x 的增区间为e ,2⎛⎫+∞ ⎪⎝⎭.(2)(ⅰ)因为过(),a b 有三条不同的切线,设切点为()(),,1,2,3i i x f x i =,故()()()i i i f x b f x x a '-=-,故方程()()()f x b f x x a '-=-有3个不同的根,该方程可整理为()21e e ln 022x a x b x x x ⎛⎫----+= ⎪⎝⎭,设()()21e e ln 22g x x a x b x x x ⎛⎫=----+ ⎪⎝⎭,则()()22321e 1e 1e 22g x x a x x x x x x⎛⎫'=-+-+--+ ⎪⎝⎭()()31e x x a x=---,当0e x <<或x a >时,()0g x ¢<;当e x a <<时,()0g x ¢>,故()g x 在()()0,e ,,a +∞上为减函数,在()e,a 上为增函数,因为()g x 有3个不同的零点,故()e 0g <且()0>g a ,故()21e e e ln e 0e 2e 2e a b ⎛⎫----+< ⎪⎝⎭且()21e e ln 022a a a b a a a ⎛⎫---+> ⎪⎝⎭,整理得到:12e ab <+且()e ln 2b a f a a>+=,此时()1e 13e11ln ln 2e 2e 22e 222a a a b f a a a a a⎛⎫⎛⎫---<+-+-+=-- ⎪ ⎪⎝⎭⎝⎭,设()3e ln 22u a a a =--,则()2e-202a u a a '=<,故()u a 为()e,+∞上的减函数,故()3eln e 022eu a <--=,故()1012e a b f a ⎛⎫<-<- ⎪⎝⎭.(ⅱ)当0e a <<时,同(ⅰ)中讨论可得:故()g x 在()()0,,e,a +∞上为减函数,在(),e a 上为增函数,不妨设123x x x <<,则1230e x a x x <<<<<,因为()g x 有3个不同的零点,故()0g a <且()e 0g >,故()21e e e ln e 0e 2e 2e a b ⎛⎫----+> ⎪⎝⎭且()21e e ln 022a a a b a a a ⎛⎫----+< ⎪⎝⎭,整理得到:1ln 2e 2ea ab a +<<+,因为123x x x <<,故1230e x a x x <<<<<,又()2e e 1ln 2a ag x x b x x+=-+-+,设et x=,()0,1e a m =∈,则方程2e e 1ln 02a a x b x x +-+-+=即为:2e ln 0e 2ea at t t b +-+++=即为()21ln 02m m t t t b -++++=,记123123e e e,,,t t t x x x ===则113,,t t t 为()21ln 02m m t t t b -++++=有三个不同的根,设3131e 1x t k t x a ==>>,1eam =<,要证:22122e 112e e 6e 6e a a x x a --+<+<-,即证13e 2e e 26e 6ea at t a --+<+<-,即证:13132166m mt t m --<+<-,即证:131********m m t t t t m --⎛⎫⎛⎫+-+-+< ⎪⎪⎝⎭⎝⎭,即证:()()()2131313122236m m m t t m m t t --++--<+,而()21111ln 02m m t t t b -++++=且()23331ln 02mm t t t b -++++=,故()()()22131313ln ln 102m t t t t m t t -+--+-=,故131313ln ln 222t t t t m m t t -+--=-⨯-,故即证:()()()21313131312ln ln 236m m m t t m t t m t t --+--⨯<-+,即证:()()()1213313ln1312072t t t m m m t t t +--++>-即证:()()()213121ln 0172m m m k k k --+++>-,记()()1ln ,11k k k k k ϕ+=>-,则()()2112ln 01k k k k k ϕ⎛⎫'=--> ⎪⎝⎭-,设()12ln u k k k k =--,则()2122210u k k k k k'=+->-=即()0k ϕ'>,故()k ϕ在()1,+∞上为增函数,故()()k m ϕϕ>,所以()()()()()()22131213121ln 1ln 172172m m m m m m k k m m k m --+--++++>+--,记()()()()()211312ln ,01721m m m m m m m m ω---+=+<<+,则()()()()()()()2232322132049721330721721m mm m m mm m m m m ω---+-+'=>>++,所以()m ω在()0,1为增函数,故()()10m ωω<=,故()()()()211312ln 0721m m m m m m ---++<+即()()()213121ln 0172m m m m m m --+++>-,故原不等式得证:【规律总结】1.待证不等式的两边含有同一个变量时,一般地,可以直接构造“左减右”或“右减左”的函数,利用研究其单调性等相关函数性质证明不等式.2.某些不等式,直接构造不易求最值,可利用条件与不等式性质,适当放缩后,再构造函数进行证明.压轴模拟专练1.(2022·浙江·模拟预测)已知实数a ,b ,c 满足:()111220a b a b c c c+++-+-≤+≠对任意c 都成立,则().A .02ab ≤≤B .20ab -≤≤C .11a b -≤+≤D .13a b -≤+≤【答案】D 【解析】因为12c c+≥,112a a ++-≥,22b b +-≥,所以,当()111220a b a b c c c+++-+-≤+≠恒成立时,112a a ++-=,22b b +-=则11a -≤≤,02b ≤≤,所以22ab -≤≤,13a b -≤+≤,故选:D .2.(2022·浙江省新昌中学模拟预测)设||||1x y +≤,若(,)|||1|M x y ax by ay bx =++-+的最大值是5,则ab 的最大值是()A .254B.C .2D .4【答案】D【解析】当2a b ==时,111222()2()522ax by ay bx x y y x x y x y ++-+=++-+≤++++≤,所以4ab =是可能的,故B 、C 错误;将点(1,0)(0,1)(1,0)(0,1)--、、、分别代入(,)M x y ,得(1,0)1(0,1)1(1,0)1(0,1)1M a b M b a M a b M b a ⎧-=-++⎪-=-+-⎪⎨=+-⎪⎪=++⎩,又11111111a b a b b a b a a b a b b a b a ⎧-++≤++⎪-+-≤++⎪⎨+-≤++⎪⎪++≤++⎩,因为(,)M x y 的最大值为5,所以max (,)5M x y ≤恒成立,即15151515a b b a a b b a ⎧++≤⎪++≤⎪⎨++≤⎪⎪++≤⎩,解得4a b +≤,当(4)ab t t =>时,4a b tb a ⎧+≤⎪⎨=⎪⎩,无解,故A 错误,D 正确.故选:D.3.(2022·浙江·三模)设数列{}n a 满足()21192,24n n n a a a n N a *+=-+∈=,记数列221n a ⎧⎫⎨⎬-⎩⎭的前n 项的和为n S ,则()A .10127a <B .存在k *∈N ,使1k k a a +=C .1012S <D .数列{}n a 不具有单调性【答案】C【解析】由于()211551,244n n a a a +=-+≥=,则54n a ≥,又由21333122422n n n n n a a a a a +⎛⎫⎛⎫-=-+=-- ⎪ ⎪⎝⎭⎝⎭,则132n a +-与32n a -同号.又由12a =,则32n a >,可得221933042n n n n n a a a a a +⎛⎫-=-+=-> ⎪⎝⎭,所以数列{}n a 单调递增,故B 、D 错误;又因为()()11214n n n n a a a a +-=--+,由数列{}n a 单调递增,且12a =,所以20,10n n a a ->->,所以114n n a a +-≥,累加得1011100254a a -≥=,所以10127a ≥,故A 错误;由21924n nn a a a +=-+可得1111133222n n n a a a +=----,因为12n a a >=,所以101110211112333222S a a a =-<=---,故C 正确.故选:C .4.(2022·浙江·效实中学模拟预测)已知数列{}n a 满足11a =,()11e 21n a n n a ++=-∈+N ,其中e 是自然对数的底数,则()A .2022104043a <<B .20221140432022a <<C .2022112022a <<D .202212a <<【答案】B【解析】∵e 1x x ≥+(当0x =时等号成立),∴11e 1n a n a ++≥+,当0n a >时,111e 2101n a n n a a ++=->⇒>+,即1100n a a =>⇒>,则11e1n a n a ++>+,11111e2n a n n a a ++=->++,整理得11n n n a a a +>+,即1111n n a a +->,即21111a a ->,32111a a ->,⋅⋅⋅,1111n n a a -->,将n 个不等式相加得1111n n a a ->-,即1n n a >,1n a n<,令()()e 11x f x x =--,则()e xf x x '=-,当0x <时,()0f x '>,当0x <时,()0f x '<,则()f x 在(),0∞-上单调递增,在()0,∞+上单调递减,即()f x 在0x =出取得最大值,()()00f x ≤=,所以()e 110x x --≤(当0x =时等号成立),当1x <时,1e 1x x≤-(当0x =时等号成立),即当1n >时,111e 1n an a ++<-,112111n n a a +-<-+,1111111n n a a +---<+,1111n n n n a a a a ++<+-,1111n n n n a a a a +++->,即1112n na a +-<,同理利用累加法可得()11121n n a a -<-,即121n a n >-,所以()11121n a n n n<<>-,则20221140432022a <<,故选:B .5.(2015·浙江·二模(文))已知1F ,2F 分别为双曲线()222210,0x y a b a b-=>>的左、右焦点,P 为双曲线右支上任意一点,若212||||PF PF 的最小值为8a ,则该双曲线的离心率e 的取值范围是______.【答案】(]1,3【解析】设2PF m =,则m c a ≥-,由双曲线的定义知,122PF PF a -=,∴12PF m a =+,∴()2221224448PF m a a m a a a PF mm +==++≥=,当且仅当24a m m=,即2m a =时,等号成立,∴当212PF PF 的最小值为8a 时,14PF a =,22PF a =,此时2m a c a =≥-,解得3ce a=≤,又1e >,∴(]1,3e ∈,6.(2022·浙江·金华市曙光学校模拟预测)过双曲线2222:1(0,0)x y E a b a b-=>>的左焦点1F 的直线l ,在第一象限交双曲线的渐近线于点P ,与圆222x y a +=相切于点Q .若12PQ FQ =,则离心率e 的值为________.【解析】设双曲线的右焦点为2F ,在1PFO 中,2POF ∠是1PFO 的一个外角,设2POF θ∠=,11,PFO F PO αβ∠=∠=,则θαβ=+,因为直线1PF 与圆222x y a +=相切于点Q ,所以1OQ PF ⊥,在1Rt OQF 中,1,OQ a OF c ==,所以1FQ b ===,因为12PQ FQ =,所以2PQ b =,所以在直角POQ △中,tan 2OQ aPQ bβ==,在直角1OQF △中,1tan OQ a F Qbα==,因为θαβ=+,所以22tan tan 32tan tan()1tan tan 212a a ab b b a a b a b bαβθαβαβ++=+===---⋅,因为θ为直线OP 的倾斜角,直线OP 为双曲线的渐近线,所以2232ab bb a a=-,所以222b a =,所以22223c a b a =+=,所以c =,所以离心率为==ce a,7.(2022·浙江·镇海中学模拟预测)如图,已知点O ,A ,B ,C (顺时针排列)在半径为2的圆E 上,将OB 顺时针旋转90︒,得到OP,则||||OA OP OC OP ⋅+⋅ 的最大值为_________.【答案】16【解析】如图,作AG OP ⊥于G ,CH OP ⊥于H ,由题可得||||24OB OP r =≤=,∴()()||||||||OA O G P OC OP O P A HC G O OH OP =++⋅+⋅⋅+⋅ ||||||||||||OG OP OH OP OG OP OH OP =⋅+⋅=⋅+⋅(||||)||OG OH OP =+⋅||||16GH OB =⋅≤.当且仅当||4||=4AC OB =,且AC OB ⊥时等号成立,8.(2022·浙江绍兴·模拟预测)如图,在平行四边形ABCD 中,1P ,2P ,3P 依次为边BC 的四等分点,1Q ,2Q ,3Q 依次为边DC 的四等分点,若111AP AQ ⋅=,332AP AQ ⋅= ,则22AP AQ ⋅=__________.【答案】1913【解析】因为四边形ABCD 是平行四边形,所以AB DC = ,AD BC =,所以144BC AD AP AB AB +=+= ,144DC AB AQ AD AD +=+=33344BC AD AP AB AB +=+= ,33344DC ABAQ AD AD +=+=,所以221117144416AB AD AD AB AP AQ AB AD AB AD +⎛⎫⎛⎫⋅+⋅+=+⋅= ⎪ ⎪⎝⎭⎝⎭=,所以2233333325244416AB AD AD AB AP AQ AB AD AB AD +⎛⎫⎛⎫⋅+⋅+=+⋅= ⎪ ⎪⎝⎭⎝=⎭,设22AB AD x += ,AB AD y ⋅= ,则17181416133258241613x y x x y y ⎧⎧+==⎪⎪⎪⎪⇒⎨⎨⎪⎪+==⎪⎪⎩⎩,又222BC AD AB AB AP =+=+,222DC AB AD D Q A A =+=+ ,所以2222AD AB AP AQ AB AD ⎛⎫⎛⎫⋅+⋅+ ⎪ =⎪⎝⎭⎝⎭22511858192421341313AB ADAB AD +=+⋅=⨯+⨯=.9.(2022·浙江·杭师大附中模拟预测)已知椭圆与抛物线22(0)y px p =>有一个相同的焦点2(1,0)F ,椭圆的长轴长为2p .(1)记椭圆于抛物线的公共弦为MN ,求||MN ;(2)P 为抛物线上一点,1F 为椭圆的左焦点,直线1PF 交椭圆于A ,B 两点,直线2PF 与抛物线交于P ,Q 两点,求||||AB PQ 的最大值.【解析】(1)根据题意得:1,2242pc a p ====,223b a c =-=∴抛物线方程:24y x =,椭圆方程:22143x y +=联立抛物线与椭圆:2224143y xx y ⎧=⎪⎨+=⎪⎩,整理得:22316120,,63x x x x +-===-(舍)∴226226,,3333M N ⎛⎛ ⎝⎭⎝⎭∴46||3MN =(2)设()()()()11223344,:1,,,:,,,1,,AB x my PQ x ny A x y B x y P x y Q x y =-=+联立AB 与椭圆:221431x y x my ⎧+=⎪⎨⎪=-⎩,整理得:()2234690m y my +--=所以12122269,3434-+==++m y y y y m m 弦长公式:()()222221222(6)434(9)121||113434m m m AB m y mm m --+-+=+-=+=++联立PQ 与抛物线:214x ny y x=+⎧⎨=⎩,整理得:2440y ny --=所以34344,4y y n y y +==-弦长公式:()234||41PQ y y n =-=+联立AB 与1:1x my PQ x ny =-⎧⎨=+⎩,∴332m n x m n y m n +⎧=⎪⎪-⎨⎪=⎪-⎩P 在抛物线上:224m n m n m n +⎛⎫⎛⎫= ⎪ ⎪--⎝⎭⎝⎭,整理得:221m n -=,即2221,1n m m =-≥∴()()()()()2222222212131||3363411||7413431232212m m AB m PQ n m m m m +++===≤=+++--⋅--+∴||||AB PQ 的最大值为67,当1m =±时取到最大值.10.(2022·浙江·海宁中学模拟预测)设椭圆2222:1(0)x y C a b a b+=>>的左右焦点分别为12.F F A B ,,是该椭圆C的右顶点和上顶点,且AB =(1)求椭圆C 的标准方程;(2)直线l 与椭圆C 交于P Q ,两点,且与x 轴交于点().D D x a >若直线2PF 与直线2QF 的倾斜角互补,求2PQF 的面积的最大值.【解析】(1)由题可得,AB ==所以225a b +=因为椭圆的离心率为2所以2c e a ==,结合椭圆中222b a c =-可知,2 1.a b ==,所以椭圆C 的标准方程为22 1.4x y +=(2))2F ,设()()1122.P x y Q x y ,,,因为直线2PF 与直线2QF 的倾斜角互补,所以可知220PF QF k k +=,0=,化简得)1221120.x y x y y y +-+=设直线:(2)PQ x my n n =+>,将1122x my n x my n =+=+,代入上式,整理可得(()121220.my y n y y ++=且由2244x my n x y =+⎧⎨+=⎩,消元化简可得()2224240my mny n +++-=,所以21212222444mn n y y y y m m -+=-=++,,代入上式由()(222242044m n mnn m m ---=++,解得n =所以:PQ x my =因为点)2F 到直线PQ 的距离d且PQ =所以2211.2234PQF S d PQ m ∆=⋅==+令t =2243t m +=所以2221164PQF t S t ∆=≤+,.当且仅当4t =,2203m =时取等号.所以2PQF 的面积的最大值为1.411.(2022·浙江·镇海中学模拟预测)已知函数3(),,R f x x ax b a b =++∈的图像记为曲线E .(1)过点13,28A ⎛⎫- ⎪⎝⎭作曲线E 的切线,这样的切线有且仅有两条.(ⅰ)求2+a b 的值;(ⅱ)若点A 在曲线E 上,对任意的[0,1]x ∈,求证:1()3102f x a b ++++≥.(2)若3e ()x f x x ≥-对R x ∈恒成立,求ab 的最大值.【解析】(1)(ⅰ)∵3(),,R f x x ax b a b =++∈,∴2()3f x x a'=+设切点为()00,x y ,则3000,y x ax b =++所以切线方程为()()20003y y x a x x -=+-,将点13,28A ⎛⎫- ⎪⎝⎭代入得()200031382y x a x ⎛⎫--=+- ⎪⎝⎭可化为320016124830x x a b ----=设32()1612483g x x x a b =----∵2()4824g x x x =-',令2()4824g x x x=-'令()0g x '>即248240x x ->,解得12x >或0x <;令()0g x '<即248240x x -<,解得102x <<;所以函数()g x 在1(0,2上单调递减,在1(,)2+∞上单调递增.∴()y g x =的极值点0和12,∵过点13,28A ⎛⎫- ⎪⎝⎭作曲线E 的切线.这样的切线有且仅有两条∴(0)0g =或102g ⎛⎫= ⎪⎝⎭,∴324a b +=-或21a b +=-;所以2+a b 的值为34-或1-.(ⅱ)因为点A 在曲线E 上,所以21a b +=-,3111()31()222f x a b f x b x ax b b ++++=++=++++当0b ≤时,左边3311(12)22x ax x b x =++=+--+令函数31()(12)(01)2h x x b x x =+--+≤≤,∵2()3(12)h x x b '=-+.当120b +≤时()0h x '≥,函数()h x 在[0,1]上单调递增,1()(0)02h x h ≥=≥当120b +>即102b ≥>-时,由()0h x '>得x >由()0h x '<得0x <∴函数()h x 在⎡⎢⎣上单调递减,在⎤⎥⎦上单调递增∴211()(21)32b h x h b +≥=+11022=+≥>;当0b >时,左边31(12)22x b x b =+--++令函数31()(12)2(01)2k x x b x b x =+--++≤≤∵2()3(12)k x x b '=-+,由()0k x '>得x >;由()0k x '<得0x <;1≥时,即1b ≥时,函数()k x 在[0,1]上单调递减,1()(1)02k x k ≥=≥当01b <<时,函数()k x 在⎡⎢⎣上单调递减,在⎤⎥⎦上单调递增1()(21)2k x k b ≥=+-令函数1()(21)2m b b =+-321,()232t m t t t ⎫=∈=-+-⎪⎝⎭在⎫⎪⎪⎝⎭上单调递增∴()03m t m ⎛>> ⎝⎭即证1()3102f x a b ++++≥.(2)由3e ()x f x x ≥-得e x ax b ≥+对R x ∈恒成立,显然0a ≥.若0a =,则0ab =,若0a >,则()e xab a ax ≤-,设函数()()e xw x a ax =-,令()0,w x '>即()e 0xa a ->,解得ln x a >;令()0,w x '<即()e 0xa a -<,解得0ln x a <<;所以函数()()e xw x a ax =-在(0,ln )a 上单调递减,在(ln ,)a +∞上单调递增∴()(ln )(ln )w x w a a a a a ≥=-设()(ln )r a a a a a =-,∵()(12ln )r a a a '=-令()0r a '>,即(12ln )0a a ->,解得0a <<;令()0r a '<,即(12ln )0a a -<,解得a >∴函数0a <<上单调递增,在)+∞上单调递减.∴1()e 2r a r ≤=,即ab 的最大值为1e 2,此时a b ==12.(2022·浙江·效实中学模拟预测)设函数()()ln 1e xf x x a x =--,其中R a ∈.(1)若0a ≤,讨论()f x 的单调性;(2)若10ea <<,设0x 为()f x 的极值点.(i )求()0f x 取值范围:(ii )若1x 为()f x 的零点,且10x x >,证明:0132x x ->.(注:e 2.71828= 是自然对数的底数)【解析】(1)()1e xf x ax x-'=,因为0a ≤,所以()0f x '>,所以()f x 在()0,∞+上单调递增;(2)(i )因为10,e a ⎛⎫∈ ⎪⎝⎭,所以()1e xf x ax x -'=在()0,∞+单调递减;又0x →时,(),f x x ∞∞→+→+时,()f x →-∞,所以存在唯一的极值点()00,x ∈+∞,使得()00001e xf x ax x =-',即0201ex a x =.又因为()00201e x h x x =单调递减,且()11e h =,所以020110,e e x a x ⎛⎫=∈ ⎪⎝⎭,可得01x >,()()00000021ln 1e ln x x f x x a x x x -=--=-,()200233000021120x x f x x x x x +-=='+->,所以()0f x 单调递增,所以()()010f x f >=,所以()()00,f x ∞∈+.(ii )法()111ln 1:1ex x a x =-且0201,e x a x =所以()011210ln 1,1e e x x x x x =-令()()111ln 1e x x T x x =-,则()()10T x h x=,且()0h x 单调递减,要证:0132x x ->,即证:102,3x x +>即证:()1023x h x h +⎛⎫< ⎪⎝⎭,即证:012221311e2e 3x x x x +<+⎛⎫ ⎪⎝⎭,即证:()11122113ln 11e 2e 3x x x x x +<-+⎛⎫ ⎪⎝⎭,(*)21又因为11ln 1x x <-,所以(*)式只要证明:()11122113111e 2e 3x x x x x +-<-+⎛⎫ ⎪⎝⎭,整理得即证:11132e 3x x -+<,又因为e 1x x >+,所以11132e 3x x -+<成立.法2:由题意,()()010,0,f x f x ⎧=⎪⎨='⎪⎩即()012011e 1ln 1e x x ax x a x ⎧=⎪⎨=-⎪⎩,从而1011201ln e x x x x x --=,即102011ln e 1x x x x x -=-.因为当1x >时,ln 1x x <-.又101x x >>,故()102012011e 1x x x x x x --<=-.两边取对数,得1020lne ln x x x -<,于是()10002ln 21x x x x -<<-.整理得0132x x ->.。
浙江省杭州市(新版)2024高考数学统编版测试(押题卷)完整试卷一、单选题:本题共8小题,每小题5分,共40分 (共8题)第(1)题已知关于的方程有4个不同的实数根,分别记为,则的取值范围为()A.B.C.D.第(2)题计算机是20世纪最伟大的发明之一,被广泛地应用于工作和生活之中,在进行计算和信息处理时,使用的是二进制.已知一个十进制数可以表示成二进制数,且,其中.记中1的个数为,若,则满足的的个数为()A.126B.84C.56D.36第(3)题已知复数的模为,则的最大值为:( )A.1B.2C.D.3第(4)题如图,网格纸上绘制的是某三棱锥的三视图,网格小正方形的边长为1,则该三棱锥的体积为()A.B.2C.3D.第(5)题设a>0,b>0,则以下不等式中不恒成立的是A .(a+b)≥4B.a3+b3≥2ab2C.a2+b2+2≥2a+2b D.第(6)题已知函数在上单调递增,在上单调递减,则实数的取值范围为()A.B.C.D.第(7)题纯电动汽车是以车载电源为动力,用电机驱动车轮行驶,符合道路交通、安全法规各项要求的车辆,它使用存储在电池中的电来发动.因其对环境影响较小,逐渐成为当今世界的乘用车的发展方向.研究发现电池的容量随放电电流的大小而改变,1898年Peukert提出铅酸电池的容量、放电时间和放电电流之间关系的经验公式:,其中为与蓄电池结构有关的常数(称为Peukert常数),在电池容量不变的条件下,当放电电流为时,放电时间为;当放电电流为时,放电时间为,则该萻电池的Peukert常数约为()(参考数据:,)A.1.12B.1.13C.1.14D.1.15第(8)题在中,内角A,B,C的对边分别为a,b,c,若,则( )A.B.C.D.二、多选题:本题共3小题,每小题6分,共18分 (共3题)第(1)题已知a,b都是正实数,则下列不等式中恒成立的是()A.B.C.D.第(2)题已知函数的零点依次构成一个公差为的等差数列,把函数的图象向右平移个单位长度,得到函数的图象,则函数()A .是奇函数B.图象关于直线对称C .在上是减函数D.在上的值域为第(3)题已知抛物线的焦点为F,准线与x轴的交点为P,过点F的直线与抛物线交于点M,N,过点P的直线与抛物线交于点A,B,则()A.B.C.D.三、填空题:本题共3小题,每小题5分,共15分 (共3题)第(1)题已知随机变量,则___________.第(2)题函数满足,当时,方程恰有两个不等的实根,则实数的取值范围为_______.第(3)题已知数列是等比数列,且,.若数列的前项和为364,则正整数的值为___________.四、解答题:本题共5小题,每小题15分,最后一题17分,共77分 (共5题)第(1)题如图1,在平面四边形中,.将沿折叠至处.使平面平面(如图2),分别为的中点.(1)求证:平面平面;(2)求点到平面的距离.第(2)题卫生纸要求无毒性化学物质、无对皮肤有刺激性的原料、无霉菌病毒性细菌残留.卫生纸的特征是吸水性强、无致病菌、纸质柔软厚薄均匀无孔洞、起皱均匀、色泽一致.卫生纸主要是供人们生活日常卫生之用.是人民群众生活中不可缺少的纸种之一.某品牌卫生纸生产厂家为保证产品质量.现从甲、乙两条生产线生产的产品中随机抽取600件进行品质鉴定.并将统计结果整理如下:合格品优等品甲生产线16030乙生产线32090(1)根据表中数据判断是否有的把握认为产品的品质与生产线有关?(2)用分层抽样的方法,从样本的优等品中抽取8件进行详细检测,再从这8件产品中任选2件,求所选的2件产品中至少有1件来自甲生产线的概率.附:,其中.0.150.100.050.0102.0722.7063.8416.635第(3)题已知函数(a为常数,e=2.718…),且函数处的切线和处的切线互相平行.(1)求常数a的值;(2)若存在x使不等式成立,求实数m的取值范围.第(4)题如图,在三棱锥中,H为的内心,直线AH与BC交于M,,.(1)证明:平面平面ABC;(2)若,,,求三棱锥的体积.第(5)题各项都为整数的数列满足,,前6项依次成等差数列,从第5项起依次成等比数列.(1)求数列的通项公式;(2)求出所有的正整数m,使得.。
9.1 直线方程和两直线间的位置关系【真题典例】挖命题【考情探究】考点内容解读5年考情预料热度考题示例考向关联考点直线及其方程1.理解直线的倾斜角和斜率的概念.2.驾驭过两点的直线斜率的计算公式.3.驾驭确定直线位置的几何要素以及直线方程的几种形式.4.了解斜截式与一次函数的关系.2024浙江,21 直线斜率直线与抛物线的位置关系★★★2024浙江文,19 直线方程直线与抛物线的位置关系2015浙江,19 直线方程直线与椭圆的位置关系2014浙江文,17直线方程和斜率两直线 1.能依据两条直线的斜率2024浙江文,4 两平行线之间线性规划★★间的位置关系判定这两条直线平行或垂直.2.会求两条直线的交点坐标.3.驾驭两点间的距离公式、点到直线的距离公式,会求两条平行直线间的距离.的距离★分析解读 1.考查基本概念、直线的倾斜角和斜率、两直线的位置关系的推断、点到直线的距离等,一般以选择题、填空题的形式呈现,此类题大都属于中、低档题.2.求直线方程有时与其他曲线综合进行考查,以解答题形式出现,此类题属于难题.3.求不同条件下的直线方程,主要方法是待定系数法,在运用待定系数法求直线方程时,要留意形式的选择,留意分斜率存在与不存在进行探讨.4.预料2024年高考中,仍将以直线的倾斜角与斜率、直线方程、两直线的位置关系为命题的热点.破考点【考点集训】考点一直线及其方程1.(2024浙江高考模拟卷,7) 已知P1(a1,b1)与P2(a2,b2)是直线y=kx+1(k为常数)上两个不同的点,则关于x和y 的方程组的解的状况是 ( )A.无论k,P1,P2如何,总是无解B.无论k,P1,P2如何,总有唯一解C.存在k,P1,P2,使之恰有两解D.存在k,P1,P2,使之有无穷多解答案 B2.(2024浙江杭州地区重点中学第一学期期中,9)已知a,b为正实数,若直线y=x-a与曲线y=ln (x+b)相切,则的取值范围为( )A. B.(0,1) C.(0,+∞) D.[1,+∞)答案 A考点二两直线间的位置关系1.(2024浙江杭州二模(4月),4)设k1,k2分别是直线l1,l2的斜率,则“l1∥l2”是“k1=k2”的( )A.充分不必要条件B.必要不充分条件C.充分必要条件D.既不充分也不必要条件答案 A2.(2024浙江镇海中学模拟卷(一),8)已知直线l:Ax+By+C-1=0(A>0,B>0)过定点(m,0),若点(2,2)到直线l的最大距离为2,则+的最小值为( )A. B. C.4 D.答案 C炼技法【方法集训】方法直线方程的求法1.已知直线l:(2m+1)x+(m-2)y-5m=0.(1)求证:直线l必经过定点;(2)若直线l在两坐标轴上的截距相等,求直线l的方程.解析(1)证明:由题意得,m(2x+y-5)+(x-2y)=0,由得所以直线l必经过定点(2,1).(2)解法一:令x=0,得y=;令y=0,得x=.由题意得=,解得m=0或-3,则直线l的方程为x-2y=0或x+y-3=0.解法二:因为直线l在两坐标轴上的截距相等,则直线l过原点或斜率为-1.从而有m=0或-=-1(m≠0且m≠2),所以m=0或m=-3,则直线l的方程为x-2y=0或x+y-3=0.2.过点P(2,1)作直线l,与x轴正半轴,y轴正半轴分别交于A,B两点,求:(1)△AOB面积的最小值及此时直线l的方程;(2)直线l在两坐标轴上截距之和的最小值及此时直线l的方程;(3)|AP|∶|PB|=3∶5时,直线l的方程.解析设直线l:y-1=k(x-2),k<0,则A,B两点的坐标分别为,(0,1-2k).(1)△AOB的面积S=(1-2k)=2+≥4,当且仅当k=-时,△AOB的面积取得最小值,为4,此时直线l的方程为x+2y-4=0.(2)解法一:直线l在两坐标轴上截距之和u=2-+1-2k=3+2(-k)+≥3+2,当且仅当k=-时,直线l在两坐标轴上截距之和取得最小值,为3+2,此时直线l的方程为x+y-2-=0.解法二:设直线l的方程为+=1(a>0,b>0),由l过点P(2,1)得+=1,直线l在两坐标轴上截距之和μ=a+b=(a+b)=3++≥3+2,当且仅当即时,μ取得最小值,为3+2,此时直线l的方程为x+y-2-=0.(3)当|AP|∶|PB|=3∶5时,5=3,可得k=-,此时直线l的方程为5x+6y-16=0.过专题【五年高考】统一命题、省(区、市)卷题组考点两直线间的位置关系1.(2024北京理,7,5分)在平面直角坐标系中,记d为点P(cos θ,sin θ)到直线x-my-2=0的距离.当θ,m改变时,d的最大值为( )A.1B.2C.3D.4答案 C2.(2024四川, 9,5分)设直线l1,l2分别是函数f(x)=图象上点P1,P2处的切线,l1与l2垂直相交于点P,且l1,l2分别与y轴相交于点A,B,则△PAB的面积的取值范围是( ) A.(0,1) B.(0,2) C.(0,+∞) D.(1,+∞)答案 A【三年模拟】一、选择题(每小题4分,共12分)1.(2025届浙江高考模拟试卷(二),4)已知A(-2,a),B(3,b),直线AB的斜率为,则|AB|=( )A.5B.5C.10D.10答案 D2.(2024浙江9+1中学联盟期中,3)“m=2”是“直线2x+(m+1)y+4=0与直线mx+3y-2=0平行”的( )A.充分不必要条件B.必要不充分条件C.充分必要条件D.既不充分也不必要条件答案 A3.(2024浙江镇海中学阶段性测试,3)若直线2(a+1)x+ay-2=0与直线ax+2y+1=0垂直,则a=( )A.-2B.0C.0或-2D.2±2答案 C二、填空题(单空题4分,多空题6分,共20分)4.(2025届浙江“七彩阳光”联盟期初联考,17)已知直线l与椭圆C:+y2=1交于A、B两点,l 与x轴、y轴分别交于C、D两点.若C、D是线段AB的两个三等分点,则直线l的斜率为.答案±5.(2024浙江高考模拟卷,11)已知直线l1:ax+y+2=0,l2:(a2-3)x+2y+1=0,若a∈R,则直线l1过定点;若l1∥l2,则实数a= .答案(0,-2);3或-16.(2024浙江金华十校调研,11)已知直线l1:2x-2y+1=0,直线l2:x+by-3=0,若l1⊥l2,则b= ;若l1∥l2,则两直线间的距离是.答案1;7.(2024浙江镇海中学阶段性测试,15)直线l1与直线l2交于一点P,且l1的斜率为,l2的斜率为2k,直线l1、l2与x轴围成一个等腰三角形,则正实数k的全部可能取值为.答案或。
浙江省杭州市(新版)2024高考数学部编版真题(押题卷)完整试卷一、单选题:本题共8小题,每小题5分,共40分 (共8题)第(1)题函数的定义域是,,对任意,,则不等式:的解集为()A.B.C.或D.或第(2)题函数的单调递增区间是()A.B.C.D.第(3)题已知点在椭圆上,,是椭圆的左、右焦点,若,且的面积为2,则()A.2B.3C.4D.5第(4)题设为函数(其中)的两个不同的极值点,若不等式成立,则实数的取值范围为()A.B.C.D.第(5)题如图,在四面体中,平面平面,与均为等腰直角三角形,且,,点在线段(不含端点)上运动.若线段(不含端点)上存在点,使异面直线与所成的角为,则线段的长度的取值范围是A.B.C.D.第(6)题过抛物线的焦点作一条直线与抛物线相交于两点,它们的横坐标之和等于5,则这样的直线( )A.有且仅有一条B.有且仅有两条C.有无穷多条D.不存在第(7)题设直线L过双曲线C的一个焦点,且与C的一条对称轴垂直,L与C交于A ,B两点,为C的实轴长的2倍,则C的离心率为A.B.C.2D.3第(8)题已知,且,则的最小值为()A.B.C.D.二、多选题:本题共3小题,每小题6分,共18分 (共3题)第(1)题已知正方体的棱长为3,点是线段上靠近点的三等分点,是中点,则()A.该正方体外接球的表面积为B.直线与所成角的余弦值为C.平面截正方体所得截面为等腰梯形D.点到平面的距离为第(2)题下列说法不正确的是()A.存在,使得B.函数的最小正周期为C.函数的一个对称中心为D.若角的终边经过点,则角是第三象限角第(3)题已知抛物线的焦点为,准线为,过点且斜率大于0的直线交抛物线于两点(其中在的上方),为坐标原点,过线段的中点且与轴平行的直线依次交直线于点.则()A.若,则直线的斜率为B.C.若是线段的三等分点,则直线的斜率为D.若不是线段的三等分点,则一定有三、填空题:本题共3小题,每小题5分,共15分 (共3题)第(1)题某几何体的三视图如图所示,则该几何体的体积为______.第(2)题某社区对在抗击疫情工作中表现突出的3位医生、2位护士和1位社区工作人员进行表彰并合影留念.现将这6人随机排成一排,则3位医生中有且只有2位相邻的概率为__________.第(3)题如图,已知直角的斜边长为,设是以为圆心的单位圆的任意一点,则的取值范围为________.四、解答题:本题共5小题,每小题15分,最后一题17分,共77分 (共5题)第(1)题已知函数,其导函数为.(1)若函数在时取得极大值,求曲线在点处的切线方程;(2)证明:当时,函数有零点.第(2)题已知四棱锥如图所示,其中四边形为梯形,为等边三角形,且平面,平面,M为棱的中点,.(1)求证:平面;(2)求点M到平面的距离.第(3)题已知函数.(1)求函数f(x)的周期与的值;(2)若,求函数的取值范围.第(4)题差分密码分析(Differential Cryptanalysis)是一种密码分析方法,旨在通过观察密码算法在不同输入差分下产生的输出差分,来推断出密码算法的密钥信息.对于数列,规定为数列的一阶差分数列,其中;规定为的二阶差分数列,其中.如果的一阶差分数列满足,则称是“绝对差异数列”;如果的二阶差分数列满足,则称是“累差不变数列”.(1)设数列,判断数列是否为“绝对差异数列”或“累差不变数列”,请说明理由;(2)设数列的通项公式,分别判断是否为等差数列,请说明理由;(3)设各项均为正数的数列为“累差不变数列”,其前项和为,且对,都有,对满足的任意正整数都有,且不等式恒成立,求实数的最大值.第(5)题已知正项数列中,,且.(1)求数列的通项公式;(2),证明:.。
高考数学压轴试卷题号一二三总分得分一、选择题(本大题共11小题,共44.0分)1.已知全集U={1,2,3,4,5,6},集合A={1,3,5},B={1,2},则A∩(∁U B)()A. ∅B. {5}C. {3}D. {3,5}2.已知双曲线(a>0)的离心率为,则a的值为()A. B. C. D.3.《九章算术》中,将底面是直角三角形的直三棱柱称之为“堑堵”.已知某“堑堵”的三视图如图所示,俯视图中间的实线平分矩形的面积,则该“堑堵”的表面积为()A. 4+2B. 2C. 4+4D. 6+44.若复数z满足:1+(1+2z)i=0(i是虚数单位),则复数z的虚部是()A. B. C. D.5.函数y=2x2-e|x|在[-2,2]的图象大致为()A. B.C. D.6.已知平面α与两条不重合的直线a,b,则“a⊥α,且b⊥α”是“a∥b”的()A. 充分不必要条件B. 必要不充分条件C. 充分必要条件D. 既不充分也不必要条件7.(1-x)4(1+x)5的展开式中x3的系数为()A. 4B. -4C. 6D. -68.4月23日是“世界读书日”,某中学在此期间开展了一系列的读书教育活动.为了查.根据调查结果知道,从该校学生中任意抽取1名学生恰为读书迷的概率是.现在从该校大量学生中,用随机抽样的方法每次抽取1人,共抽取3次,记被抽取的3人中的“读书迷”的人数为X.若每次抽取的结果是相互独立的,则期望E(X)和方差D(X)分别是()A. ,B. ,C. ,D. ,9.已知A,B,C是球O球面上的三点,且,D为该球面上的动点,球心O到平面ABC的距离为球半径的一半,则三棱锥D-ABC体积的最大值为()A. B. C. D.10.设S n为等差数列{a n}的前n项和,若a7=5,S5=-55,则nS n的最小值为()A. B. C. D.11.某校毕业典礼由6个节目组成,考虑整体效果,对节目演出顺序有如下要求:节目甲必须排在前三位,且节目丙、丁必须排在一起,则该校毕业典礼节目演出顺序的编排方案共有()A. 120种B. 156种C. 188种D. 240种二、填空题(本大题共6小题,共32.0分)12.《九章算术》第七章“盈不足”中第一题:“今有共买物,人出八,盈三钱;人出七,不足四,问人数物价各几何?”借用我们现在的说法可以表述为:有几个人合买一件物品,每人出8元,则付完钱后还多3元;若每人出7元,则还差4元才够付款.问他们的人数和物品价格?答:一共有______人;所合买的物品价格为______元.13.已知x,y满足条件则2x+y的最大值是______,原点到点P(x,y)的距离的最小值是______14.在△ABC中,若b=2,A=120°,三角形的面积,则c=________;三角形外接圆的半径为________.15.已知向量、满足||=1,||=2,则|+|+|-|的最小值是______,最大值是______.16.已知实数f(x)=,若关于x的方程f2(x)+f(x)+t=0有三个不同的实根,则t的取值范围为______.17.已知直线y=-x+1与椭圆+=1(a>b>0)相交于A,B两点,且OA⊥OB(O为坐标原点),若椭圆的离心率e∈[,],则a的最大值为______.三、解答题(本大题共5小题,共60.0分)18.设函数f(x)=sin(ωx-)+sin(ωx-),其中0<ω<3,已知f()=0.(Ⅰ)求ω;(Ⅱ)将函数y=f(x)的图象上各点的横坐标伸长为原来的2倍(纵坐标不变),再将得到的图象向左平移个单位,得到函数y=g(x)的图象,求g(x)在[-,]上的最小值.19.已知等差数列{a n}的前n项和为S n,若.(1)求首项a1与m的值;(2)若数列{b n}满足,求数列{(a n+6)•b n}的前n项和.20.如图,已知四棱锥P-ABCD,底面ABCD为菱形,AB=2,∠BAD=120°,PA⊥平面ABCD,M,N分别是BC,PC的中点.(1)证明:AM⊥平面PAD;(2)若H为PD上的动点,MH与平面PAD所成最大角的正切值为,求二面角M-AN-C的余弦值.21.已知抛物线C的顶点在原点,焦点在x轴上,且抛物线上有一点P(4,m)到焦点的距离为5.(1)求该抛物线C的方程;(2)已知抛物线上一点M(t,4),过点M作抛物线的两条弦MD和ME,且MD⊥ME,判断直线DE是否过定点?并说明理由.22.已知函数.若函数是单调递减函数,求实数a的取值范围;若函数在区间上既有极大值又有极小值,求实数a的取值范围.答案和解析1.【答案】D【解析】解:∵U={1,2,3,4,5,6},B={1,2},∴∁U B═{3,4,5,6},又集合A={1,3,5},∴A∩∁U B={3,5},故选:D.先由补集的定义求出∁U B,再利用交集的定义求A∩∁U B.本题考查交、并补集的混合运算,解题的关键是熟练掌握交集与补集的定义,计算出所求的集合.2.【答案】B【解析】解:双曲线,可得c=1,双曲线的离心率为:,∴,解得a=.故选:B.直接利用双曲线求出半焦距,利用离心率求出a即可.本题考查双曲线的离心率的求法,双曲线的简单性质的应用.3.【答案】D【解析】解:根据题意和三视图知几何体是一个放倒的直三棱柱ABC-A′B′C′,底面是一个直角三角形,两条直角边分别是、斜边是2,且侧棱与底面垂直,侧棱长是2,∴几何体的表面积S=2×+2×2+2×=6+4,故选:D.根据题意和三视图知几何体是一个放倒的直三棱柱,由三视图求出几何元素的长度,由面积公式求出几何体的表面积.本题考查三视图求几何体的表面积,由三视图正确复原几何体是解题的关键,考查空间想象能力.4.【答案】B【解析】解:由1+(1+2z)i=0,得z=,∴复数z的虚部是,故选:B.把已知等式变形,再由复数代数形式的乘除运算化简得答案.本题考查复数代数形式的乘除运算,考查复数的基本概念,是基础题.5.【答案】D【解析】【分析】本题考查的知识点是函数的图象,属于基础题.根据已知函数的解析式,分析函数的奇偶性,最大值及单调性,利用排除法,可得答案.【解答】解:∵,∴,故函数为偶函数,当时,,故排除A,B;当时,,则有解为x0,当时,时,故函数在[0,2]不是单调的,故排除C,故选D.6.【答案】A【解析】解:a⊥α,且b⊥α⇒a∥b,反之不成立.可能a,b分别于α,β斜交.∴“a⊥α,且b⊥α”是“a∥b”的充分不必要条件.故选:A.a⊥α,且b⊥α⇒a∥b,反之不成立.可能a,b分别于α,β斜交.本题考查了空间线面位置关系、简易逻辑的判定方法,考查了推理能力与计算能力,属于中档题.7.【答案】B【解析】解:(1-x)4(1+x)5=(1-4x+6x2-4x3+x3)(1+5x+10x2+10x3+5x4+x5),故展开式中x3的系数为10-40+30-4=-4,故选:B.把(1-x)4和(1+x)5按照二项式定理展开,可得展开式中x3的系数.本题主要考查二项式定理的应用,二项展开式的通项公式,二项式系数的性质,属于基础题.8.【答案】B【解析】解:由题意,从该校学生中任意抽取1名学生恰为读书迷的概率.从该校大量学生中,用随机抽样的方法每次抽取1人,共抽取3次,记被抽取的3人中的“读书迷”的人数为X.若每次抽取的结果是相互独立的,所以.X0123p均值,方差.从该校学生中任意抽取1名学生恰为读书迷的概率.说明每次抽取的结果是相互独立的,推出.得到分布列,然后求解期望即可.本题考查独立重复实验的概率的分布列以及期望的求法,考查转化思想以及计算能力.9.【答案】D【解析】解:如图,在△ABC中,∵AB=AC=3,BC=3,∴由余弦定理可得cos A==-,则A=120°,∴sin A=.设△ABC外接圆的半径为r,则,得r=3.设球的半径为R,则,解得R=2.∵×3×3×=,∴三棱锥D-ABC体积的最大值为=,故选:D.由题意画出图形,求出三角形ABC外接圆的半径,设出球的半径,利用直角三角形中的勾股定理求得球的半径,则三棱锥D-ABC体积的最大值可求.本题主要考查空间几何体的体积等基础知识,考查空间想象能力、推理论证能力、运算求解能力,考查化归与转化思想、数形结合思想等,是中档题.10.【答案】A【解析】解:由题意可得,解可得a1=-19,d=4,∴S n=-19n=2n2-21n,∴nS n=2n3-21n2,设f(x)=2x3-21x2,f′(x)=6x(x-7),当0<x<7时,f′(x)<0;函数是减函数;当x>7时,f′(x)>0,函数是增函数;所以n=7时,nS n取得最小值:-343.故选:A.分别利用等差数列的通项公式及求和公式表示已知条件,然后求出得a1,d,在代入求和公式即可求解.本题主要考查了等差数列的通项公式及求和公式的简单应用,属于基础试题.11.【答案】A【解析】【分析】本题考查排列、组合的应用,注意题目限制条件比较多,需要优先分析受到限制的元素,是简单题.根据题意,由于节目甲必须排在前三位,对甲的位置分三种情况讨论,依次分析乙丙的加法原理计算可得答案.【解答】解:根据题意,由于节目甲必须排在前三位,分3种情况讨论:①甲排在第一位,节目丙、丁必须排在一起,则丙丁相邻的位置有4个,考虑两者的顺序,有2种情况,将剩下的3个节目全排列,安排在其他三个位置,有=6种安排方法,则此时有4×2×6=48种编排方法;②甲排在第二位,节目丙、丁必须排在一起,则丙丁相邻的位置有3个,考虑两者的顺序,有2种情况,将剩下的3个节目全排列,安排在其他三个位置,有=6种安排方法,则此时有3×2×6=36种编排方法;③甲排在第三位,节目丙、丁必须排在一起,则乙丙相邻的位置有3个,考虑两者的顺序,有2种情况,将剩下的3个节目全排列,安排在其他三个位置,有=6种安排方法,则此时有3×2×6=36种编排方法;则符合题意要求的编排方法有36+36+48=120种;故选:A.12.【答案】7 ;53【解析】解:设人数为x,物品价格为y,则,解得x=7,y=53.故答案为:7,53.列方程组求解.本题考查了方程的应用,属于基础题.13.【答案】6【解析】解:作出x,y满足条件的可行域如图:目标函数z=2x+y在的交点A(2,2)处取最大值为z=2×2+1×2=6.原点到点P(x,y)的距离的最小值是:|OB|=.故答案为:6;;画出约束条件表示的可行域,判断目标函数z=2x+y的位置,求出最大值.利用可行域转化求解距离即可.本题考查简单的线性规划的应用,正确画出可行域,判断目标函数经过的位置是解题的关键.14.【答案】2;2【解析】【分析】本题主要考查正弦定理的应用,三角形的面积公式,属于基础题.由条件求得c =2=b,可得B的值,再由正弦定理求得三角形外接圆的半径R的值.【解答】解:△ABC中,∵b=2,A=120°,三角形的面积S==bc•sin A=c•,∴c=2=b,故B=(180°-A)=30°.再由正弦定理可得=2R==4,∴三角形外接圆的半径R=2.故答案为2;2.15.【答案】4【解析】解:记∠AOB=α,则0≤α≤π,如图,由余弦定理可得:|+|=,|-|=,令x=,y=,则x2+y2=10(x、y≥1),其图象为一段圆弧MN,如图,令z=x+y,则y=-x+z,则直线y=-x+z过M、N时z最小为z min=1+3=3+1=4,当直线y=-x+z与圆弧MN相切时z最大,由平面几何知识易知z max即为原点到切线的距离的倍,也就是圆弧MN所在圆的半径的倍,所以z max=×=.综上所述,|+|+|-|的最小值是4,最大值是.故答案为:4、.通过记∠AOB=α(0≤α≤π),利用余弦定理可可知|+|=、|-|=,进而换元,转化为线性规划问题,计算即得结论.本题考查函数的最值及其几何意义,考查数形结合能力,考查运算求解能力,涉及余弦定理、线性规划等基础知识,注意解题方法的积累,属于中档题.16.【答案】(-∞,-2]【解析】解:原问题等价于f2(x)+f(x)=-t有三个不同的实根,即y=-t与y=f2(x)+f(x)有三个不同的交点,当x≥0时,y=f2(x)+f(x)=e2x+e x为增函数,在x=0处取得最小值为2,与y=-t只有一个交点.当x<0时,y=f2(x)+f(x)=lg2(-x)+lg(-x),根据复合函数的单调性,其在(-∞,所以,要有三个不同交点,则需-t≥2,解得t≤-2.原问题等价于f2(x)+f(x)=-t有三个不同的实根,即y=-t与y=f2(x)+f(x)有三个不同的交点,然后分x≥0和x<0两种情况代入解析式可得.本题考查了函数与方程的综合运用,属难题.17.【答案】【解析】解:设A(x1,y1)、B(x2,y2),由,消去y,可得(a2+b2)x2-2a2x+a2(1-b2)=0,∴则x1+x2=,x1x2=,由△=(-2a2)2-4a2(a2+b2)(1-b2)>0,整理得a2+b2>1.∴y1y2=(-x1+1)(-x2+1)=x1x2-(x1+x2)+1.∵OA⊥OB(其中O为坐标原点),可得•=0∴x1x2+y1y2=0,即x1x2+(-x1+1)(-x2+1)=0,化简得2x1x2-(x1+x2)+1=0.∴2•-+1=0.整理得a2+b2-2a2b2=0.∵b2=a2-c2=a2-a2e2,∴代入上式,化简得2a2=1+,∴a2=(1+).∵e∈[,],平方得≤e2≤,∴≤1-e2≤,可得≤≤4,因此≤2a2=1+≤5,≤a2≤,可得a2的最大值为,满足条件a2+b2>1,∴当椭圆的离心率e=时,a的最大值为.故答案为:.将直线方程代入椭圆方程,由韦达定理,向量数量积的坐标运算,求得2a2=1+,由离心率的取值范围,即可求得a的最大值.本题考查椭圆的标准方程,直线与椭圆的位置关系,韦达定理,向量数量积的坐标运算,考查计算能力,属于中档题.18.【答案】解:(Ⅰ)函数f(x)=sin(ωx-)+sin(ωx-)=sinωx cos-cosωx sin-sin(-ωx)=sinωx-cosωx=sin(ωx-),又f()=sin(ω-)=0,∴ω-=kπ,k∈Z,解得ω=6k+2,又0<ω<3,∴ω=2;(Ⅱ)由(Ⅰ)知,f(x)=sin(2x-),将函数y=f(x)的图象上各点的横坐标伸长为原来的2倍(纵坐标不变),得到函数y=sin (x-)的图象;再将得到的图象向左平移个单位,得到y=sin(x+-)的图象,∴函数y=g(x)=sin(x-);当x∈[-,]时,x-∈[-,],∴sin(x-)∈[-,1],∴当x=-时,g(x)取得最小值是-×=-.【解析】本题考查了三角恒等变换与正弦型函数在闭区间上的最值问题,是中档题.(Ⅰ)利用三角恒等变换化函数f(x)为正弦型函数,根据f()=0求出ω的值;(Ⅱ)写出f(x)解析式,利用平移法则写出g(x)的解析式,求出x∈[-,]时g(x)的最小值.19.【答案】解:(1)由已知得a m=S m-S m-1=4,且a m+1+a m+2=S m+2-S m=14,设数列{a n}的公差为d,则有2a m+3d=14,∴d=2由S m=0,得,即a1=1-m,∴a m=a1+(m-1)×2=m-1=4∴m=5,a1=-4(2)由(1)知a1=-4,d=2,∴a n=2n-6∴n-3=log2b n,得.∴.设数列{(a n+6)b n}的前n项和为T n∴①②①-②得==∴【解析】(1)利用a m=S m-S m-1,转化求出数列的公差,然后利用已知条件求解m.(2)化简数列的通项公式,利用错位相减法求和求解即可.本题考查数列的递推关系式的应用,数列求和,考查转化思想以及计算能力.20.【答案】(1)证明:由四边形ABCD为菱形,∠BAD=120°,可得∠ABC=60°,△ABC 为正三角形.因为M为BC的中点,所以AM⊥BC.…(2分)又BC∥AD,因此AM⊥AD.因为PA⊥平面ABCD,AM⊂平面ABCD,所以PA⊥AM.而PA∩AD=A,所以AM⊥平面PAD.…(4分)(2)解:AB=2,H为PD上任意一点,连接AH,MH.由(1)知:AM⊥平面PAD,则∠MHA为MH与平面PAD所成的角.在Rt△MAH中,AM=,∴当AH最短时,∠MHA最大,即当AH⊥PD时,∠MHA最大.此时,tan∠MHA==又AD=2,∴∠ADH=45°,∴PA=2.由(1)知AM,AD,AP两两垂直,以A为坐标原点如图建立空间直角坐标系,则A(0,0,0),P(0,0,2),D(0,2,0),,,,则,,,设AC的中点为E,则,故就是面PAC的法向量,.设平面MAN的法向量为n=(x,y,1),二面角M-AN-C的平面角为θ..,∴二面角M-AN-C的余弦值为.…(12分)【解析】(1)利用菱形与等边三角形的性质可得:AM⊥BC,于是AM⊥AD.利用线面垂直的性质可得PA⊥AM.再利用线面垂直的判定与性质定理即可得出;(2)连接AH,MH.由(1)知:AM⊥平面PAD,可得:∠MHA为EH与平面PAD所成的角.在Rt△EAH中,AM=,可知:当AH最短时,∠MHA最大,即当AH⊥PD时,∠MHA最大.利用直角三角形边角关系可得PA=2.由(1)知AM,AD,AP两两垂直,以A为坐标原点,建立如图所示的空间直角坐标系.求出法向量,利用向量夹角求解即可.本题考查了直线与平面垂直的判定.在题中出现了探究性问题,在解题过程中“空间问题平面化的思路”,是立体几何常用的数学思想,属于中档题.21.【答案】解:(1)由题意设抛物线方程为y2=2px,其准线方程为,∵P(4,m)到焦点的距离等于A到其准线的距离,∴,∴p=2.∴抛物线C的方程为y2=4x.(2)由(1)可得点M(4,4),可得直线DE的斜率不为0,设直线DE的方程为:x=my+t,联立,得y2-4my-4t=0,则△=16m2+16t>0①.设D(x1,y1),E(x2,y2),则y1+y2=4m,y1y2=-4t.∵•=(x1-4,y1-4)•(x2-4,y2-4),=x1x2-4(x1+x2)+16+y1y2-4(y1+y2)+16,=,=,=t2-16m2-12t+32-16m=0即t2-12t+32=16m2+16m,得:(t-6)2=4(2m+1)2,∴t-6=±2(2m+1),即t=4m+8或t=-4m+4,代入①式检验均满足△>0,∴直线DE的方程为:x=my+4m+8=m(y+4)+8或x=m(y-4)+4.∴直线过定点(8,-4)(定点(4,4)不满足题意,故舍去).【解析】(1)求出抛物线的焦点坐标,结合题意列关于p的等式求p,则抛物线方程可求;(2)由(1)求出M的坐标,设出直线DE的方程x=my+t,联立直线方程和抛物线方程,化为关于y的一元二次方程后D,E两点纵坐标的和与积,利用⊥得到t与m的关系,进一步得到DE方程,由直线系方程可得直线DE所过定点.本题考查抛物线的简单性质,考查了直线与圆锥曲线位置关系的应用,训练了平面向量在求解圆锥曲线问题中的应用,属中档题.22.【答案】解:(1),∵函数f(x)是单调递减函数,∴f'(x)≤0对(0,+∞)恒成立,∴-2x2+ax-1≤0对(0,+∞)恒成立,即对(0,+∞)恒成立,∵(当且仅当2x=,即x=时取等号),∴;(2)∵函数f(x)在(0,3)上既有极大值又有极小值.∴在(0,3)上有两个相异实根,即2x2-ax+1=0在(0,3)上有两个相异实根,,则,得,即.【解析】本题考查函数的导数的应用,函数的单调性以及函数的极值的求法,考查转化思想以及计算能力.(1)求出导函数,通过f'(x)≤0对(0,+∞)恒成立,分离变量推出a,利用基本不等式求解函数的最小值,得到a的范围.(2)通过函数f(x)在(0,3)上既有极大值又有极小值,则说明导函数有由两个零点,列出不等式组求解即可.。
专练06(填空题-压轴)(20题)-2021年高考数学考点必杀300题(浙江卷)一、填空题1.(2021·浙江高三其他模拟)如图为函数()f x )的部分图象,已知()f x 的定义域为R ,()()0f x f x --=,若()lg 1f a ≤,则a 的取值范围为______.【答案】1,1010⎡⎤⎢⎥⎣⎦【分析】由已知条件推出()f x 为偶函数,然后由()f x 的部分图象得到()11f =,函数()f x 在[)0,+∞上单调递增,从而将()lg 1f a ≤转化为lg 1a ≤即可得解. 【详解】由题意知()()f x f x -=,所以()f x 为偶函数.由()f x 的部分图象知()11f =,且函数()f x 在[)0,+∞上单调递增, 则不等式()lg 1f a ≤等价于()()lg 1f a f ≤, 所以lg 1a ≤,即:1lg 1a -≤≤,解得:11010a ≤≤. 故答案为:1,1010⎡⎤⎢⎥⎣⎦【点睛】本题考查根据函数奇偶性,单调性解不等式,对数不等式等,考查运算求解能力,数形结合思想,是中档题.本题解题的关键在于根据已知条件将问题转化为()()lg 1f a f ≤,进而根据函数的单调性求解即可.2.(2020·浙江高三其他模拟)现有三个平面向量a ,b ,c ,满足1a c ==,2b =,,,a c b c π+=,则a b c +-的取值范围为________. 【答案】()0,2 【分析】由向量的线性运算可得||a b c AE →+-=,利用余弦定理求出()0,2AE ∈即可求解. 【详解】 根据题意可作图,其中DC a =,DA c =,DB b =,取BD 的中点E ,得BE DC a ==, 所以a b c DC DB DA DC AB BE AB AE +-=+-=+=+=, 又()1os 1c ,ADE -∠∈,∴由余弦定理得()22211cos =1,12AE ADE +-∠∈-,所以()20,4AE ∈,所以()0,2AE ∈.故答案为:()0,23.(2020·浙江省富阳中学高三三模)已知函数()()()sin 0xxf x a e ex a π-=-->存在唯一零点,则实数a 的取值范围是____________. 【答案】,2π⎡⎫+∞⎪⎢⎣⎭【分析】计算()0f ,可知唯一零点,同时可知该函数为奇函数,转化为当0x >时,函数()f x 无零点,利用不等式sin x x >,以及构造函数()π-=--xxxg x e ea,最后有导数进行判读即可.【详解】由题可知:函数定义域为R 且()00f = 因为函数()()()sin 0xxf x a e ex a π-=-->存在唯一零点所以()f x 只有一个零点0 因为()()()sin xx f x a ee xf x π--=-+=-所以函数()f x 为奇函数,故只考虑当0x >时,函数()f x 无零点 当0x >时,有sin ππ>x x , 所以()sin ππ--⎛⎫⎛⎫=-->-- ⎪ ⎪⎝⎭⎝⎭xxx x x x f x a e ea e e a a 令()(),0π-=-->xxxg x e ex a ,则()00g = 因为()(),0π--'=+-''=->xxx x g x e eg x e e a所以函数()g x '在()0,∞+上单调递增,又()00g = 所以()()0202ππ'>'=-≥⇒≥g x g a a故答案为:,2π⎡⎫+∞⎪⎢⎣⎭【点睛】本题考查函数零点问题,熟练使用等价转化的思想,化繁为简,掌握函数零点问题等价于方程根的问题又等价于两函数图象交点问题,属中档题.4.(2017·浙江高三其他模拟)甲、乙两人被随机分配到,,A B C 三个不同的岗位(一个人只能去一个工作岗位).记分配到A 岗位的人数为随机变量X ,则随机变量X 的数学期望()E X =_____. 【答案】23【分析】由题意得出X 的可能取值以及相应的概率,再计算数学期望即可. 【详解】由题意可得X 的可能取值有0,1,2224(0)339P X ⨯===⨯,122411(1),(2)339339C P X P X ⨯======⨯⨯则数学期望4()09E X =⨯41212993+⨯+⨯=. 故答案为:23【点睛】本题主要考查了求离散型随机变量的数学期望,属于中档题.5.(2020·浙江高三专题练习)早在11世纪中叶,我国宋代数学家贾宪在其著作《释锁算数》中就给出了二、三、四、五、六次幂的二项式系数表,已知0a ≠,()61ax -的展开式中各项系数之和为1,则展开式中5x 的系数为__________.(用数字作答) 【答案】-192 【分析】令1x =求得参数a ,然后写出二项展开式的通项公式,由x 的指数为5得项数,从而其系数. 【详解】由题意,在6(1)ax -中令1x =,得()611a -=,因为0a ≠,所以2a =,所以666166(2)(1)(1)2r r r r r r rr T C x C x ---+=-=-⋅,令65r -=得1r =,所以5x 的系数为()155621192C -=-.故答案为:-192. 【点睛】本题考查二项式定理,掌握二项展开式通项公式是解题关键.赋值法求展开式中系数和是解题基础.6.(2020·浙江高三其他模拟)已知点P 为抛物线24y x =上的动点,过点P 作圆()2231x y +-=的切线,切点为A ,则P A 的最小值为_________. 【答案】1 【分析】由直线与圆相切的性质可得当PC 取最小值时,PA 最小,设200,4y P y ⎛⎫⎪⎝⎭,由两点间距离公式可得PC =()426916x f x x x =+-+,求导求得()f x 的最小值后即可得解.【详解】圆()2231x y +-=的圆心()0,3C ,半径1r =,由切线的性质可得PA ==,若要使PA 最小,则PC 取最小值,设200,4y P y ⎛⎫ ⎪⎝⎭,则PC == 令()426916x f x x x =+-+,则()3264x f x x '=+-,易知()f x '单调递增,且()20f '=,所以()f x 在(),2-∞上单调递减,在()2,+∞上单调递增, 所以()()22f x f ≥=,所以420006916y y y +-+的最小值为2即PC ,所以min 1PA ==.故答案为:1. 【点睛】本题考查了抛物线方程、直线与圆相切的性质的应用,考查了利用导数求最值的应用及转化化归思想,属于中档题.7.(2020·浙江高三其他模拟)已知椭圆()2222:10x y C a b a b +=>>的离心率是2,若以()0,2N 为圆心且与椭圆C ,此时椭圆C 的方程是______________.【答案】221189x y +=【分析】由题意离心率可得a 与b 的关系,设(),P x y 是椭圆上任一点,依题意,PN 的距离公式写出2PN ,分类讨论求解b 值,则椭圆方程即可得出结果. 【详解】解:由c e a ==, 得22212a b a -=, 即222a b =,得椭圆C 的方程为222212x y b b+=.设(),P x y 是椭圆上任一点,依题意,PN 则()()()2222222222PNx y b y y =+-=-+-()()22228y b b y b =-+++-≤≤.若2b ≥,则2y =-时,max PN ==,∴3b =,此时椭圆方程为221189x y +=;若02b <<,则y b =-时,max2PN b =+=∴22b =>,不成立.综上可得椭圆方程为221189x y +=.故答案为:221189x y +=.【点睛】本题主要考查了椭圆标准方程的求法,考查圆与椭圆位置关系的应用,体现了分类讨论的数学思想方法,属于中档题.8.(2020·浙江高三其他模拟)已知双曲线E :2201()mx ny n +=>的离心率为2,则其渐近线方程是______________.【答案】y x = 【分析】把双曲线化为221(0)y y m n m-=<-,求得,,a b c ,结合离心率2,求得3n m =-,进而求得双曲线的渐近线方程. 【详解】由题意,双曲线220):1(E mx ny n +=>可化为221(0)y y m n m-=<-,可得a b ==c ==,因为双曲线E 的离心率2,即2ca ==,解得3n m =-,所以双曲线的渐近线的方程为y x x ==.故答案为:3y x =±. 【点睛】本题主要考查了双曲线的标准方程及简单的几何性质,其中解答熟记双曲线标准方程和几何性质,准确运算是解答的关键,着重考查推理与运算能力.9.(2021·浙江高三专题练习) 如图,已知,E F 分别是正方形ABCD 的边,AB CD 的中点,现将正方形沿EF 折成60︒的二面角,则异面直线AE 与BF 所成角的余弦值是_______.【分析】设正方形ABCD 的边长为2,则我们可以求出∴BDF 中,DF ,BF ,BD 的长,由于∴DFB 即为异面直线FB 与AE 所成角,利用余弦定理,解三角形DFB 即可得到答案. 【详解】 如图所示:连接BD ,∴AE∴DF∴∴DFB 即为异面直线FB 与AE 所成角.由题意可知,∴DFC 60=︒,所以三角形DFC 为等边三角形,所以DC=DF=FC.设正方形ABCD 的边长为2,则在∴BDF 中,DF=1,BD =∴cos∴DFB=10【点睛】本题考查异面直线及其所成的角,其中利用平移的方法,求出异面直线FB 与AE 所成角的平面角是解答本题的关键.10.(2020·浙江宁波市·镇海中学高三三模)已知抛物线24y x =,焦点记为F ,过点F 作直线l 交抛物线于A ,B 两点,则2||||AF BF -的最小值为________.【答案】2 【分析】分直线l 斜率存在不存在两种情况分类讨论,当斜率存在时,联立直线与抛物线方程,由韦达定理可得A ,B 两点横坐标间的关系,由抛物线定义可得2||||AF BF -的表达式,转化为一个变量,求最值即可,当斜率不存在时,由通径的长可求解. 【详解】因为抛物线24y x =, 所以(1,0)F ,当直线l 的斜率存在时,设直线l 的方程为(1)(0)y k x k =-≠,代入24y x =可得()2222240k x k x k -++=,设()11,A x y ,()22,B x y , 则121x x ⋅=.由抛物线的定义可得1||1AF x =+,2||1BF x =+,所以1222||1||1AF x BF x -=+-=+()()212122222222221121111111x x x x x x x x x x x ++-++===-+++++. 令21(1)x t t -=≥,则21x t =+,所以2||||AF BF-21112111112222tt t t t==≥===-+++++++(当且仅当t =时等号成立); 当直线l 的斜率不存在时,||||2AF BF ==, 所以2||1||AF BF -=. 综上,2||||AF BF -的最小值为2.故答案为:2 【点睛】本题考查抛物线的定义、直线与抛物线的位置关系,在解决与抛物线有关的问题时,要注意抛物线的定义在解题中的应用,属于中档题.11.(2021·浙江高二期末)某空间几何体的三视图如图所示(单位:cm ),则该几何体的体积=______cm 3,表面积=______cm 2.【答案】;【详解】试题分析:此几何体是三棱锥,底面是俯视图所示的三角形,顶点在底面的射影是点,高是,所以体积是;四个面都是直角三角形,所以表面积是.考点:1.三视图;2.体积和表面积.12.(2020·浙江高三其他模拟)若实数x ,y 满足约束条件*1{3Nx y x y-≤∈+,则22xy +的取值范围是___________.【答案】9139(0,1],,5882⎡⎤⎡⎤⋃⋃⎢⎥⎢⎥⎣⎦⎣⎦【分析】 设*3,x y m N m+=∈,从而可求22x y +的取值范围,再结合m 的变化可求最终的取值范围. 【详解】设*3,x y m N m +=∈,故实数x ,y 满足约束条件()*13x y m N x y m⎧-≤⎪∈⎨+=⎪⎩,如图所示:满足该条件的对应的点(),P x y 在线段AB 上,由13y x x y m =-⎧⎪⎨+=⎪⎩可得13131,122B m m ⎛⎫⎛⎫⎛⎫+- ⎪ ⎪ ⎪⎝⎭⎝⎭⎝⎭,而O 到直线*3,x y m N m+=∈的距离为32d m==, 故对于给定的*m N ∈,22292OP OB m ≤≤,即222919222OP m m ≤≤+, 当1m =时,2952OP ≤≤;当2m =时,291388OP ≤≤;当3m =时,2112OP ≤≤;当4m ≥,2911222m +>,而2902m >, 故对于任意的*m N ∈,201OP <≤或291388OP ≤≤或2952OP ≤≤故答案为:9139(0,1],,5882⎡⎤⎡⎤⋃⋃⎢⎥⎢⎥⎣⎦⎣⎦.【点睛】思路点睛:对于二元一次不等式组的问题,注意对离散直线的正确刻画,必要时需引进变量,从而便于问题的刻画.13.(2020·浙江高三其他模拟)已知1,,,12a b c ⎡⎤∈⎢⎥⎣⎦,则2222a b c ab bc+++的取值范围是________.【答案】52,2⎡⎤⎢⎥⎣⎦【分析】由()222222222a b c a b b ab bc c =≥++++++得到22222a b c ab bc++≥+,根据1,,12a b ⎡⎤∈⎢⎥⎣⎦,得到122b a ≤≤,122a b ≤≤,构造函数1y x x =+,利用其性质得52a b b a +≤,即2252a b ab +≤.同理2252b c bc +≤,代入原式化简即可.【详解】因为22222222a b c a b b c ab bc ab bc +++++=≥++222ab bcab bc +=+,当且仅当a b c ==时等号成立. 因为1,,12a b ⎡⎤∈⎢⎥⎣⎦,所以 111,122a b ≤≤≤≤ 所以 1112,12a b ≤≤≤≤所以 122b a ≤≤,122a b≤≤令1y x x =+,y 在1,22⎡⎤⎢⎥⎣⎦的图象如图所示:所以522y ≤≤, 所以52a b b a +≤,即2252a b ab +≤.同理2252b c bc +≤,故22255222a b c ab bc ≤+++,所以222252a b c ab bc ++≤+.故答案为:52,2⎡⎤⎢⎥⎣⎦【点睛】本题考查基本不等式、不等式的性质以及双勾函数的性质,还考查了运算求解的能力,属于中档题. 14.(2010·浙江嘉兴市·高三一模(理))如图所示,在正方体1111ABCD A B C D -中,M N 、分别是棱AB 、1CC 的中点,1MB P 的顶点P 在棱1CC 与棱11C D 上运动,有以下四个命题:(1)平面11MB P ND ⊥;(2)平面1MB P ∴平面11ND A ;(3)1MB P 在底面ABCD 上的射影图形的面积为定值; (4)1MB P 在侧面11D C CD 上的射影图形是三角形. 其中正确命题的序号是______. 【答案】(2)(3) 【分析】由正方体的几何性质对4个命题进行判断, 【详解】对于(1),当动点P 与点1D 重合时,MNP ∆以等腰三角形,PM 与1ND 不垂直,所以不能得出平面11MB P ND ⊥,(1)为假命题;对于(2),易证11111ND MB MB A D ⊥⊥,,所以1MB ⊥平面11ND A ,所以平面1MB P ∴平面11ND A ,故(2)为真命题;对于(3),∆1MB P 在底面ABCD 上的射影图形的面积为定值,因为1MB P ∆在底面ABCD 的射影是三角形,底边是MB , 点P 在底面的射影在CD 上,到MB 的距离不变, 若正方体棱长为a 时,则射影面积为214a 为定值, 所以(3)为真命题;对于(4),当P 点与点1C 重合时,则点1B 与点P 的投影重合,此时∆1MB P 在侧面11D C CD 上的射影图形是线段,不是三角形,故(4)是假命题.故真命题有(2)(3). 故答案为:(2)(3) 【点睛】本题主要考查面面之间的关系以及投影的概念,属于中档题,解决本题的关键是对正方体中的点线面之间的关系有比较透彻的了解,对其中的空间位置比较熟悉.15.(2021·浙江绍兴市·高三一模)袋中装有大小相同的1个白球和2个黑球,现分两步从中摸球:第一步从袋中随机摸取2个球后全部放回袋中(若摸得白球则涂成黑球,若摸得黑球则不变色);第二步再从袋中随机摸取2个球,记第二步所摸取的2个球中白球的个数为ξ,则()0P ξ==___________;()E ξ=___________. 【答案】7929【分析】得到ξ的所有值,并计算相应的概率,然后简单计算即可. 【详解】ξ所有可能结果为1,0()2112122233219C C C P C C ξ==⋅=,所以()()70119P P ξξ==-==所以()27210999E ξ=⨯+⨯= 故答案为:79,2916.(2021·浙江高三其他模拟)设n S 是数列{}n a 的前n 项和,满足()()()*2113322,N n n n n S S S S n n ++-+-+=≥∈,且12a =,26a =,312a =,则n a =______;若1n nb a =,则数列{}n b 的前2021项和为______. 【答案】()1n n + 20212022【分析】先根据()()()*2113322,Nn n n n S S S S n n ++-+-+=≥∈得出{}1n n aa +-从第二项起是等差数列,然后根据12a =,26a =,312a =得出{}1n n a a +-是等差数列,从而推出()121n n a a n +-=+,再利用累加法求出()1n a n n =+,最后利用裂项相消法求出数列{}n b 的前2021项和.【详解】当2n ≥时,由()()211332n n n n S S S S ++-+-+=,得()()21132n n n n S S S S +-+---=,所以21132n n n n a a a a +++++-=,整理得()()2112n n n n a a a a +++---=,则数列{}1n n a a +-从第二项起是等差数列.因为12a =,26a =,312a =,所以()()32212a a a a ---=,符合上式,所以{}1n n a a +-是等差数列,所以()()142121n n a a n n +-=+-=+.当2n ≥时,()()()()()1122112212221n n n n n a a a a a a a a n n n n ---=-+-+⋅⋅⋅+-+=+-+⋅⋅⋅+⨯+=+,12a =也符合上式,所以()1n a n n =+, 所以1111n n b a n n ==-+,所以数列{}n b 的前2021项和为 11111111202111223342021202220222022⎛⎫⎛⎫⎛⎫⎛⎫-+-+-+⋅⋅⋅+-=-= ⎪ ⎪ ⎪ ⎪⎝⎭⎝⎭⎝⎭⎝⎭. 故答案为:(1)n n +;20212022. 【点睛】关键点点睛:求解本题的关键点有两个:(1)根据递推关系式得出{}1n n a a +-从第二项起是等差数列,注意不是从第一项起,要验证第一项是否满足;(2)数列递推公式是以前后项的差给出时,利用累加法求出n a . 17.(2020·浙江高三专题练习)在数列{}n a 中,13a =,122313*********n n a a a na a a n +++⋅⋅⋅+=+++⋅⋅⋅++()*n N ∈,则na=______,4n n a λ≥对所有*n N ∈恒成立,则λ的取值范围是______.【答案】()61nn n + 320,81⎡⎫+∞⎪⎢⎣⎭. 【分析】在已知等式中用1n -替换n 得另一等式(2n ≥),两式相减得13nn a a +,然后用累乘法求得通项公式n a ,不等式4nn a λ≥变形为()213nn n λ⎛⎫≥⋅+ ⎪⎝⎭,求出()213nn n ⎛⎫⋅+ ⎪⎝⎭的最大值即可.可有作商法求数列的最大值. 【详解】解:由于122313*********n n a a a na a a n +++⋅⋅⋅+=+++⋅⋅⋅++()*n N ∈,所以当2n ≥时,有11223333111112312n n a a a n a a a n --++⋅⋅⋅+=+++⋅⋅⋅++-, 两式相减可得1311222n n a n a n n ++=+=,即当2n ≥时,162n n a n a n +=+,当1n =时,求得26a =,即12n a a =也符合该递推关系,所以()12112161nn n n n n a a a a a a a a n n ---=⋅⋅⋅=+. 由于()2413nnn a n n λλ⎛⎫≥⇒≥⋅+ ⎪⎝⎭,令()213nn c n n ⎛⎫=+ ⎪⎝⎭, 由于()()()1121224243333213n n n n n n c n c n n n n ++⎛⎫++ ⎪+⎝⎭===+⎛⎫+ ⎪⎝⎭,当4n =时,45c c =,当4n <单调递增,当4n >单调递减,所以123456c c c c c c <<<=>>⋅⋅⋅,故数列最大项为32081,即32081λ≥. 故答案为:()61n n n +;320,81⎡⎫+∞⎪⎢⎣⎭. 【点睛】本题考查已知递推关系式求数列的通项公式,累乘法求通项公式,考查数列不等式恒成立问题,求数列的最大项,综合性较强,必须熟练掌握每个知识点对应的方法,属于中档题.18.(2021·浙江高一单元测试)若非零向量a 和b 满足2a b b +==,则a 的取值范围是________,a b -的取值范围是________. 【答案】(0,4] (]2,6 【分析】(1)根据平面向量的三角不等式求解a 的取值范围即可.(2)根据2=b 结合平面向量的三角不等式可得4||||4-≤--+≤a b a b 与||||4-++a b a b ,再根据2a b +=求解a b -的取值范围即可.【详解】(1)因为||||||||||||||4+-≤=+-≤++=a b b a a b b a b b ,又a 是非零向量,所以||a 的取值范围是(0,4].(2)因为||||2||()()||||||-++=+----+a b a b b a b a b a b a b ,所以4||||4-≤--+≤a b a b ,||||4-++a b a b ,又||2+=a b ,0a ≠,所以||a b -的取值范围是(]2,6. 故答案为:(0,4];(]2,6 【点睛】本题考查平面向量加减法的几何意义、向量三角不等式运算.需要根据所给的向量构造合适的三角不等式,属于中档题.19.(2020·浙江杭州市·杭师大附中高三其他模拟)在ABC 中,内角,,A B C 的对边分别为,,a b c 且sin cos B B =,则角B 的大小为____;若3b =,()sin 3sin sin a A a B c C +-=,则ABC 的面积S =______.【答案】π4 8【分析】∴由sin cos B B =得tan 1B =,进而可求得B .∴通过正弦定理对()sin 3sin sin a A a B c C +-=进行角化边,和22()a b a b c +-⋅=及3b =,可得1cos 2C =,进而求得C ;通过sin sin()A B C =+求得sin A ,通过正弦定理sin sin b cB C =求得c ,通过面积公式1sin 2ABC S b c A =⋅⋅求面积即可.【详解】∴因为sin cos B B =,所以tan 1B =,因为()0,B π∈,所以4B π=.∴()sin 3sin sin a A a B c C +-=,3b =,∴由正弦定理得:22()a b a b c +-⋅=,又2222cos c a b a b C =+-⋅⋅,2()a b a b ∴+-⋅222cos a b a b C =+-⋅⋅,化简得:1cos 2C =,()0,C π∈,3C π∴=.()1sin sin sin 43222A B C ππ⎛⎫∴=+=+=⨯+=⎪⎝⎭由正弦定理:sin sin b cB C=,得3sin sin b C c B ⋅===,1127sin 322248ABCSb c A +∴=⋅⋅=⨯⨯=. 故答案为:π4【点睛】本题主要考查同角三角函数、正余弦定理、面积公式、两角和的正弦公式,特殊角的三角函数值,考查学生的计算能力及对公式的熟练程度,属于中档题.20.(2021·浙江高三其他模拟)如图,在四边形ABCD 中,3BC =,CD DA ==,0CB CD ⋅=,120ADC =∠︒,E ,F 分别为边BC ,CD 上的动点,且2EF =,则CD DA ⋅=______,AE AF ⋅的最小值为______.【答案】6 24 【分析】对第1个空,由所给数据直接利用数量积公式,直接求解即可;对第2个空,需要利用EF 的中点为M 进行问题的转化,依题意可知点M 的轨迹是以点C 为圆心,1为半径的一段圆弧,故可得22111224AE AF AM EF AM EF AM EF ⎛⎫⎛⎫⋅=-⋅+=- ⎪ ⎪⎝⎭⎝⎭,利用M 的特征即可得解.【详解】因为CD DA ==,120ADC =∠︒, 所以cos606CD DA CD DA ⋅=⋅︒=,设EF 的中点为M ,连接CM ,因为0CB CD ⋅=,所以90ECF ∠=︒,又2EF =,所以1CM =,所以点M 的轨迹是以点C 为圆心,1为半径的一段圆弧,如图,连接AC ,AM ,则()2222236AC DC DA DC DA DC DA =-=+-⋅=,所以6AC =. 22111224AE AF AM EF AM EF AM EF ⎛⎫⎛⎫⋅=-⋅+=- ⎪ ⎪⎝⎭⎝⎭, 又51AC AM =-≤,所以1254244AE AF ⋅≥-⨯=, 即AE AF ⋅的最小值为24.故答案为:24.【点睛】 本题考查了向量的数量积运算,考查了向量和圆的结合,同时考查了转化思想,有一定的计算量,属于中档题.本题关键有:(1)理解记忆数量积公式,并能简单应用;(2)利用圆的相关性质解决向量相关问题,把向量问题转化成圆的问题求最值是解决向量难题的一个重要方法.。
浙江省杭州市(新版)2024高考数学统编版(五四制)真题(押题卷)完整试卷一、单选题:本题共8小题,每小题5分,共40分 (共8题)第(1)题执行如图所示的算法框图,则输出的值为()A.2B.3C.4D.5第(2)题设函数,数列,满足,则()A.B.C.D.第(3)题设,则()A.B.C.1D.第(4)题下列函数是奇函数的是( )A.B.C.D.第(5)题我国南宋时期的数学家秦九韶(约1202-1261)在他的著作《数书九章》中提出了多项式求值的秦九韶算法.如图所示的框图给出了利用秦九韶算法求多项式值的一个实例.若输入的,,,则输出的值为()A.B.C.D.第(6)题已知双曲线的焦距为,直线与双曲线的渐近线分别交于两点,若的中点在双曲线上,为坐标原点,且的面积为,则双曲线的离心率为()A.B.C.或D.或第(7)题已知是空间中的两条直线,则没有交点是的()A.充分不必要条件B.必要不充分条件C.充要条件D.既不充分也不必要条件第(8)题已知集合,,则()A.B.C.D.二、多选题:本题共3小题,每小题6分,共18分 (共3题)第(1)题若圆:与圆:的公共弦AB的长为1,则下列结论正确的有()A.B.直线AB的方程为C.AB中点的轨迹方程为D.圆与圆公共部分的面积为第(2)题已知为正实数,,则()A.的最大值为1B.的最小值3C.的最小值为D.的最小值为第(3)题已知直线和平面与所成锐二面角为.则下列结论正确的是()A.若,则与所成角为B.若,则与所成角为C.若,则与所成角最大值为D.若,则与所成角为三、填空题:本题共3小题,每小题5分,共15分 (共3题)第(1)题已知函数,下列关于函数的说法正确的序号有________.①函数在上单调递增;②是函数的周期;③函数的值域为;④函数在内有4个零点.第(2)题若,,则______.第(3)题已知向量,,,且,则实数__________.四、解答题:本题共5小题,每小题15分,最后一题17分,共77分 (共5题)第(1)题在直角坐标系中,曲线的参数方程为(为参数),以坐标原点为极点,轴正半轴为极轴建立极坐标系,直线的极坐标方程为.(1)求曲线的普通方程与直线的直角坐标方程;(2)设、分别为曲线和直线上的任意一点,求的最小值.第(2)题已知函数,.(1)判断函数的单调性;(2)若关于x的方程仅有两个实数解,求实数a的取值范围.第(3)题直三棱柱中,,M为AC的中点,N为的中点,.(1)证明:;(2)求平面与平面所成角的余弦值.第(4)题已知l为抛物线的准线,为抛物线C上一点,且点P到l的距离为.(1)求抛物线C的标准方程;(2)当时,M,N为抛物线C上异于P的两点,且恒为定值,求的最小值.第(5)题某足球俱乐部举办新一届足球赛,按比赛规则,进入淘汰赛的两支球队如果在120分钟内未分出胜负,则需进行点球大战.点球大战规则如下:第一阶段,双方各派5名球员轮流罚球,双方各罚一球为一轮,球员每罚进一球则为本方获得1分,未罚进不得分,当分差拉大到即使落后一方剩下的球员全部罚进也不能追上的时候,比赛即宣告结束,剩下的球员无需出场罚球.若5名球员全部罚球后双方得分一样,则进入第二阶段,双方每轮各派一名球员罚球,直到出现某一轮一方罚进而另一方未罚进的局面,则罚进的一方获胜.设甲、乙两支球队进入点球大战,由甲队球员先罚球,甲队每位球员罚进点球的概率均为,乙队每位球员罚进点球的概率均为.假设每轮罚球中,两队进球与否互不影响,各轮结果也互不影响.(1)求每一轮罚球中,甲、乙两队打成平局的概率;(2)若在点球大战的第一阶段,甲队前两名球员均得分而乙队前两名球员均未得分,甲队暂时以2:0领先,求甲队第5个球员需出场罚球的概率.。
浙江省杭州市(新版)2024高考数学统编版真题(押题卷)完整试卷一、单选题:本题共8小题,每小题5分,共40分 (共8题)第(1)题“”是“”的A .充分而不必要的条件B .必要而不充分的条件C .充要条件D .既不充分也不必要的条件第(2)题设,分别为双曲线(,)的左、右焦点,A 为双曲线的左顶点,以为直径的圆交双曲线的某条渐近线于M ,N 两点,且,(如图),则该双曲线的离心率为( )A .B .C .D .第(3)题对任意闭区间Ⅰ,用表示函数在I 上的最大值,若正数满足,则的值为( )A.或B.C .D .或第(4)题给定下列4个独立编号的命题:①设,,且,则二元函数的最小值为20②已知,函数在上是增函数,则的最大值为3③在中,为中点,,在线段上,则的最小值为④若,,则,,则.请你根据逻辑推理相关知识,那么上述所有命题中不成立的编号是( )A .①②B .②③C .③④D .①④第(5)题已知直线与抛物线相交于、两点(其中位于第一象限),若,则( )A.B .C.-1D .第(6)题设函数(,e 为自然对数的底数),若存在使成立,则a 的取值范围是( )A .B .C .D .第(7)题已知函数,过坐标原点O 作曲线的切线l ,切点为A ,过A 且与l 垂直的直线交x 轴于点B ,则面积的取值范围是( )A .B .C .D .第(8)题已知双曲线的一条渐近线上存在关于原点对称的两点和,若双曲线的左、右焦点与组成的四边形为矩形,若该矩形的面积为,则双曲线的离心率为( )A .B .C .D .二、多选题:本题共3小题,每小题6分,共18分 (共3题)第(1)题新冠阳性即新型冠状病毒核酸检测结果为阳性,其中包括无症状感染者和确诊者.无症状感染者通常没有症状.或仅出现感胃、干咳、咽痛、乏力等轻微症状,患者并未出现明显不适感,不影响患者正常生活,但患者新型冠状病毒核酸检测的结果呈阳性;确诊者的症状比较明显,患者常表现为发热、头痛、眩晕、呼吸困难等症状,影响患者的正常生活,经CT、B超等影像学检查,发现患者肺组织出现明显的变化,并且新型冠状病毒核酸检测的结果也呈阳性.下图是某地某月2日至16日的新冠疫情病例新增人数的折线统计图,则下列结论错误的是()A.新增阳性人数每天都不超过100人B.新增的无症状感染者总人数少于确诊总人数C.新增阳性人数最多的一天是12日D.每天新增确诊病例人数的中位数是43第(2)题如图,是长方体,是的中点,直线交平面于点M,则下列结论正确的是()A.四点共面B.四点共面C.四点共面D.三点共线第(3)题已知是自然对数的底数,则下列不等关系中不正确的是()A.B.C.D.三、填空题:本题共3小题,每小题5分,共15分 (共3题)第(1)题向量,满足,,,则向量与夹角的大小为_____________.第(2)题已知向量与的夹角为,且,,设,,则向量在方向上的投影数量为___________.第(3)题已知数列满足,,数列的前项和,.若,则的最小值为_______________.四、解答题:本题共5小题,每小题15分,最后一题17分,共77分 (共5题)第(1)题已知抛物线:的焦点为,顶点为坐标原点,过点的直线与相交于两点,当点到直线的距离最大时,.(1)求的标准方程;(2)过点作轴于点,记线段的中点为,且与的面积之和为,求的最小值.第(2)题已知函数.(1)若,求函数的单调增区间;(2)若时,不等式在上恒成立,求实数的取值范围;第(3)题函数.(1)求在处的切线方程(为自然对数的底数);(2)设,若,满足,求证:.第(4)题在中,角的对边分别为为边的中点.(1)用表示的长度;(2)若,求的面积.第(5)题已知函数,求:(1)化简成正弦型函数;(2)单调减区间.。
浙江省杭州市(新版)2024高考数学人教版考试(押题卷)完整试卷一、单选题:本题共8小题,每小题5分,共40分 (共8题)第(1)题已知是抛物线的焦点,点,在该抛物线上且位于轴的两侧,(其中为坐标原点),则与面积之和的最小值是()A.B.C.D.第(2)题设是函数的导函数,将和的图象画在同一个直角坐标系中,不可能正确的是()A.B.C.D.第(3)题设,则下列关系正确的是()A.B.C.D.第(4)题已知集合,,则()A.B.C.D.第(5)题在整数集Z中,被5除所得余数为k的所有整数组成一个“类”,记为[k],即[k]={5n+k丨n∈Z},k=0,1,2,3,4.给出如下四个结论:①2011∈[1];②﹣3∈[3];③Z=[0]∪[1]∪[2]∪[3]∪[4];④“整数a,b属于同一“类”的充要条件是“a﹣b∈[0]”.其中,正确结论的个数是A.1B.2C.3D.4第(6)题已知等差数列的前项和为,且,则()A.48B.52C.54D.56第(7)题已知复数z满足,则()A.B.C.2D.第(8)题已知全集,则等于()A.B.C.D.二、多选题:本题共3小题,每小题6分,共18分 (共3题)第(1)题下列说法中正确的是()A.某射击运动员在一次训练中10次射击成绩(单位:环)如下:6,5,7,9,6,8,9,9,7,5,这组数据的第70百分位数为8B.若随机变量,且,则C.若随机变量,且,则D.对一组样本数据进行分析,由此得到的线性回归方程为:,至少有一个数据点在回归直线上第(2)题已知抛物线的焦点为,准线与轴的交点为,过点的直线与抛物线交于A,两点,点为坐标原点,下列结论正确的是()A.存在点A、,使B.若点是弦的中点,则点M到直线的距离的最小值为C.平分D.以为直径的圆与轴相切第(3)题已知,为双曲线C:x2–=1的左、右焦点,在双曲线右支上取一点P,使得PF1⊥PF2,直线PF2与y轴交于点Q,连接QF1,△PQF1,的内切圆圆心为I,则下列结论正确的有()A.F1,F2,P,I四点共圆B.△PQF1的内切圆半径为1C.I为线段OQ的三等分点D.PF1与其中一条渐近线垂直三、填空题:本题共3小题,每小题5分,共15分 (共3题)第(1)题抛物线C:的焦点为F,准线为l,M是C上的一点,点N在l上,若,且,则______.第(2)题_______,=_______第(3)题已知,,对于时都有恒成立,则的取值范围为______.四、解答题:本题共5小题,每小题15分,最后一题17分,共77分 (共5题)第(1)题已知是公差为3的等差数列,数列满足.(1)求数列的通项公式;(2)求数列的前项和.第(2)题设函数.(1)若的最小值是,求的值;(2)若对于任意的实数,总存在,使得成立,求实数的取值范围.第(3)题选修4-5:不等式选讲已知函数.(1)求不等式的解集;(2)若对恒成立,求的取值范围.第(4)题甲、乙、丙、丁四支球队进行单循环小组赛(每两支队比赛一场),比赛分三轮,每轮两场比赛,第一轮第一场甲乙比赛,第二场丙丁比赛;第二轮第一场甲丙比赛,第二场乙丁比赛;第三轮甲对丁和乙对丙两场比赛同一时间开赛,规定:比赛无平局,获胜的球队记3分,输的球队记0分.三轮比赛结束后以积分多少进行排名,积分相同的队伍由抽签决定排名,排名前两位的队伍小组出线.假设四支球队每场比赛获胜概率以近10场球队相互之间的胜场比为参考.队伍近10场胜场比队伍甲乙甲丙甲丁乙丙乙丁丙丁(1)三轮比赛结束后甲的积分记为,求;(2)若前二轮比赛结束后,甲、乙、丙、丁四支球队积分分别为3、3、0、6,求甲队能小组出线的概率.第(5)题[选修4-4:坐标系与参数方程]在平面直角坐标系中,直线的参数方程为(为参数),以为极点,轴非负半轴为极轴建立极坐标系,曲线的极坐标方程为.(1)写出直线的普通方程和曲线的直角坐标方程;(2)若直线与曲线交于,两点,直线与曲线交于,两点,且直线与垂直,求直线与的交点坐标.。
浙江省杭州市(新版)2024高考数学人教版真题(押题卷)完整试卷一、单选题:本题共8小题,每小题5分,共40分 (共8题)第(1)题设复数,则()A.B.C.D.第(2)题若复数满足,则等于()A.B.C.D.第(3)题函数的定义域是()A.B.C.D.第(4)题抛物线y2=8x的焦点到直线的距离是( )A.B.2C.D.1第(5)题如果函数的图像与x轴有两个交点,则点在平面上的区域(不包含边界)为()A.B.C.D.第(6)题记是等差数列的前项和,则“是递增数列”是“是递增数列”的()A.充分不必要条件B.必要不充分条件C.充要条件D.既不充分也不必要条件第(7)题四棱锥的三视图如图所示,则该四棱锥的体积为()A.B.C.D.第(8)题已知各项均为正数的等比数列中,若,则=()A.3B.4C.8D.9二、多选题:本题共3小题,每小题6分,共18分 (共3题)第(1)题已知函数及其导函数的定义域均为R,若为奇函数,的图象关于y轴对称,则下列结论中一定正确的是()A.B.C.D.第(2)题已知,将向量绕原点O逆时针旋转到的位置,M,N为平面内两点,使得,,,则下列结论正确的是()A.B.C.D.第(3)题如图,在棱长为1的正方体ABCD﹣A1B1C1D1中,点P在线段BC1上运动,则下列判断中正确的是( )A.DP∥面AB1D1B.三棱锥A﹣D1PC的体积为C.平面PB1D与平面ACD1所成二面角为90°D.异面直线与所成角的范围是三、填空题:本题共3小题,每小题5分,共15分 (共3题)第(1)题设S n为数列{a n}的前n项和,且a1=2,(n≥2),则S4=___________.第(2)题数据、、、…、的方差为,则数据,、、…、的标准差为__________.第(3)题计算:___________.四、解答题:本题共5小题,每小题15分,最后一题17分,共77分 (共5题)第(1)题为了防止受到核污染的产品影响我国民众的身体健康,某地要求产品在进入市场前必须进行两轮核辐射检测,只有两轮都合格才能进行销售,否则不能销售.已知某产品第一轮检测不合格的概率为,第二轮检测不合格的概率为,每轮检测结果只有“合格”、“不合格”两种,且两轮检测是否合格相互没有影响.(Ⅰ)求该产品不能销售的概率;(Ⅱ)如果产品可以销售,则每件产品可获利40元;如果产品不能销售,则每件产品亏损80元(即获利-80元).已知一箱中有产品4件,记一箱产品获利X元,求EX.第(2)题已知椭圆的左、右顶点分别为,,且,离心率为,过点的直线l与椭圆C顺次交于点Q,P.(1)求椭圆C的方程;(2)是否存在定直线与直线交于点G,使,G,Q共线.第(3)题已知为双曲线的左右焦点,且该双曲线离心率小于等于,点和是双曲线上关于轴对称非重合的两个动点,为双曲线左右顶点,恒成立.(1)求该双曲线的标准方程;(2)设直线和的交点为,求点的轨迹方程.第(4)题如图,、是单位圆上的动点,是单位圆与轴的正半轴的交点,且,记,,的面积为.(Ⅰ)若,试求的最大值以及此时的值.(Ⅱ)当点坐标为时,求的值.第(5)题已知椭圆C :的离心率为,点在椭圆C 上.(1)求椭圆C 的标准方程;(2)过点的直线l 交椭圆C 于P ,Q 两点,O 为坐标原点,求△OPQ 面积的最大值.。
(二)立体几何1.如图,四棱锥S-ABCD的底面是边长为1的正方形,侧棱SB垂直于底面.(1)求证:平面SBD⊥平面SAC;(2)若SA与平面SCD所成的角为30°,求SB的长.(1)证明连接AC,BD,因为四边形ABCD为正方形,所以AC⊥BD.又因为SB⊥底面ABCD,AC⊂平面ABCD,所以AC⊥SB,因为BD∩SB=B,BD,SB⊂平面SBD,所以AC⊥平面SBD.又因为AC⊂平面SAC,所以平面SAC⊥平面SBD.(2)解将四棱锥补形成正四棱柱ABCD-A′SC′D′,连接A′D,作AE⊥A′D,垂足为点E,连接SE.由SA′∥CD可知,平面SCD即为平面SCDA′.因为CD⊥侧面ADD′A′,AE⊂侧面ADD′A′,所以CD⊥AE,又因为AE⊥A′D,A′D∩CD=D,A′D,CD⊂平面SCD,所以AE⊥平面SCD,于是∠ASE 即为SA 与平面SCD 所成的角. 设SB =x ,在Rt△ABS 中,SA =1+x 2, 在Rt△DAA ′中,AE =x1+x2.因为∠ASE =30°,所以1+x 2=2x 1+x2,解得x =1,即SB 的长为1.2.(2019·某某模拟)如图,棱锥P -ABCD 的底面是菱形,AB =2,∠DAB =π3,侧面PAB 垂直于底面ABCD ,且△PAB 是正三角形.(1)求证:PD ⊥AB ;(2)求直线PC 与平面PBD 所成角的正弦值. (1)证明 取AB 的中点O ,连接OD ,OP , 由题意知,△ABD 为等边三角形, 所以AB ⊥OD ,又△PAB 是等边三角形, 所以AB ⊥OP ,又OP ∩OD =O ,OP ,OD ⊂平面POD , 所以AB ⊥平面POD ,又PD ⊂平面POD ,所以PD ⊥AB .(2)解 方法一 如图,由(1)知,PO ⊥AB ,PO ⊂平面PAB ,平面PAB ∩平面ABCD =AB ,平面PAB ⊥平面ABCD ,所以PO ⊥平面ABCD ,以O 为原点,OB 所在直线为x 轴,OD 所在直线为y 轴,OP 所在直线为z 轴,建立空间直角坐标系,则P (0,0,3),B (1,0,0),C (2,3,0),D (0,3,0), BD →=(-1,3,0),PD →=(0,3,-3), PC →=(2,3,-3).设平面PBD 的一个法向量为n =(x ,y ,z ),则⎩⎪⎨⎪⎧n ·BD →=0,n ·PD →=0,即⎩⎨⎧-x +3y =0,3y -3z =0,取y =1,得x =3,z =1,即n =(3,1,1), 设直线PC 与平面PBD 所成角为θ, 则sin θ=|cos 〈n ,PC →〉|=2310×5=65, 所以直线PC 与平面PBD 所成角的正弦值为65. 方法二 设点C 到平面PBD 的距离为h , 直线PC 与平面PBD 所成的角是θ, 则sin θ=h PC.同方法一得,PO ⊥平面ABCD ,PD =PO 2+DO 2=6,又PB =2,BD =2,所以cos∠PBD =BD 2+PB 2-PD 22BD ·PB =14,所以sin∠PBD =154, 所以S △PBD =12PB ·BD ·sin∠PBD =152,由V C -PBD =V P -BCD , 即13S △PBD ·h =13S △BCD ·PO , 得13·152·h =13·3·3,h =2155, 又PD ⊥AB ,AB ∥CD ,所以PD ⊥CD ,所以PC =PD 2+CD 2=10,所以sin θ=h PC =65. 所以直线PC 与平面PBD 所成角的正弦值为65. 3.(2019·某某十四中月考)如图,三棱柱ABC —A 1B 1C 1所有的棱长均为2,A 1B =6,A 1B ⊥AC .(1)求证:A 1C 1⊥B 1C ;(2)求直线AC和平面ABB1A1所成角的余弦值.(1)证明方法一取AC的中点O,连接A1O,BO,则BO⊥AC,∵A1B⊥AC,A1B∩BO=B,A1B⊂平面A1BO,BO⊂平面A1BO,∴AC⊥平面A1BO,连接AB1交A1B于点M,连接OM,则B1C∥OM,又OM⊂平面A1BO,∴AC⊥OM,∴AC⊥B1C,∵A1C1∥AC,∴A1C1⊥B1C.方法二连接AB1,BC1,∵四边形A1ABB1是菱形,∴A1B⊥AB1,又∵A1B⊥AC,AB1∩AC=A,AB1⊂平面AB1C,AC⊂平面AB1C,∴A1B⊥平面AB1C,又B1C⊂平面AB1C,∴A1B⊥B1C,又四边形B1BCC1是菱形,∴BC1⊥B1C,又A1B∩BC1=B,∴B1C⊥平面A1BC1,∴B1C⊥A1C1.(2)解∵A1B⊥AB1,A1B⊥AC,AB1∩AC=A,AB1,AC⊂平面AB1C,∴A1B⊥平面AB1C,又A1B⊂平面ABB1A1,∴平面AB1C⊥平面ABB1A1,∵平面AB1C∩平面ABB1A1=AB1,∴AC在平面ABB1A1内的射影为AB1,∴∠B1AC为直线AC和平面ABB1A1所成的角,由(1)知A1C1⊥B1C,又A1C1∥AC,∴B 1C ⊥AC ,∵AB 1=2AM =2AB 2-BM 2=10, ∴在Rt△ACB 1中, cos∠B 1AC =AC AB 1=210=105, ∴直线AC 和平面ABB 1A 1所成角的余弦值为105. 4.(2019·浙南联盟模拟)在三棱台ABC -A 1B 1C 1中,△ABC 是等边三角形,二面角A -BC -B 1的平面角为60°,BB 1=CC 1.(1)求证:A 1A ⊥BC ;(2)求直线AB 与平面BCC 1B 1所成角的正弦值.(1)证明 延长AA 1,BB 1,CC 1交于点S ,取棱BC 的中点O ,连接AO ,SO .因为BB 1=CC 1,B 1C 1∥BC , 故SB =SC .又O 是棱BC 的中点, 故BC ⊥SO .因为AB =AC ,所以BC ⊥AO ,又SO ,AO ⊂平面SAO ,且SO ∩AO =O , 因此BC ⊥平面SAO , 又A 1A ⊂平面SAO , 所以A 1A ⊥BC .(2)解 方法一 由(1)知,∠AOS 为二面角A -BC -B 1的平面角,即∠AOS =60°, 作AH ⊥SO ,垂足为H ,连接BH .因为BC ⊥平面SAO ,AH ⊂平面SAO ,所以BC ⊥AH , 又SO ∩BC =O ,SO ,BC ⊂平面BCC 1B 1,故AH ⊥平面BCC 1B 1,从而∠ABH 为直线AB 与平面BCC 1B 1所成的角. 不妨设AB =2,则AO =3,AH =AO sin∠AOS =32,所以sin∠ABH =AH AB =34.方法二 如图,以O 为原点,OA ,OB 所在直线为x 轴,y 轴,过点O 且垂直于平面ABC 的直线为z 轴,建立空间直角坐标系O -xyz ,由(1),∠AOS 为二面角A -BC -B 1的平面角, 则∠AOS =60°, 设BC =2,SO =a (a >0),则点A (3,0,0),B (0,1,0),C (0,-1,0),S ⎝ ⎛⎭⎪⎫a2,0,32a .所以AB →=(-3,1,0),CB →=(0,2,0),OS →=⎝ ⎛⎭⎪⎫a2,0,32a ,设n =(x ,y ,z )为平面BCC 1B 1的一个法向量, 由⎩⎪⎨⎪⎧n ·CB →=0,n ·OS →=0,得⎩⎪⎨⎪⎧2y =0,a 2x +32a ·z =0,令x =3,则z =-1, 即n =(3,0,-1).设θ是直线AB 与平面BCC 1B 1所成的角, 则sin θ=|cos 〈AB →,n 〉|=|AB →·n ||AB →||n |=34.5.在如图所示的几何体中,EA ⊥平面ABC ,DB ⊥平面ABC ,AC ⊥BC ,且AC =BC =BD =2AE ,M 是AB 的中点.(1)求证:CM ⊥EM ;(2)求CM 与平面CDE 所成的角.方法一 (1)证明 因为AC =BC ,M 是AB 的中点, 所以CM ⊥AB .又EA ⊥平面ABC ,CM ⊂平面ABC ,所以EA ⊥CM , 因为AB ∩EA =A ,AB ,EA ⊂平面ABDE , 所以CM ⊥平面ABDE ,又因为EM ⊂平面ABDE ,所以CM ⊥EM .(2)解 过点M 作MH ⊥平面CDE ,垂足为H ,连接CH 并延长交ED 于点F ,连接MF ,MD ,则∠FCM 是直线CM 和平面CDE 所成的角.因为MH ⊥平面CDE ,ED ,MF ⊂平面CDE ,所以MH ⊥ED ,MF ⊥CM , 又因为CM ⊥平面EDM ,ED ⊂平面EDM , 所以CM ⊥ED ,因为MH ∩CM =M ,MH ,CM ⊂平面CMF , 所以ED ⊥平面CMF ,因为MF ⊂平面CMF ,所以ED ⊥MF . 设EA =a ,则BD =BC =AC =2a , 所以在Rt△ABC 中,AB =22a ,M 是AB 的中点,所以在直角梯形ABDE 中,DE =3a ,EM =3a ,MD =6a , 所以EM 2+MD 2=ED 2,所以△EMD 是直角三角形,其中∠EMD =π2,所以MF =EM ·MDDE=2a .在Rt△CMF 中,tan∠FCM =MFMC=1, 又因为∠FCM ∈⎝⎛⎦⎥⎤0,π2,所以∠FCM =π4,故CM 与平面CDE 所成的角是π4.方法二 如图,以点C 为坐标原点,CA ,CB 所在直线分别作为x 轴和y 轴,过点C 作与平面ABC 垂直的直线为z 轴,建立空间直角坐标系,设EA =a ,则A (2a ,0,0),B (0,2a ,0),E (2a ,0,a ), D (0,2a ,2a ),M (a ,a ,0).(1)证明 因为EM →=(-a ,a ,-a ),CM →=(a ,a ,0), 所以EM →·CM →=0,故EM ⊥CM .(2)解 设向量n =(1,y 0,z 0)为平面CDE 的一个法向量, 则n ⊥CE →,n ⊥CD →,即n ·CE →=0,n ·CD →=0. 因为CE →=(2a ,0,a ),CD →=(0,2a ,2a ),所以⎩⎪⎨⎪⎧2a +az 0=0,2ay 0+2az 0=0,解得⎩⎪⎨⎪⎧y 0=2,z 0=-2,即n =(1,2,-2),cos 〈n ,CM →〉=CM →·n |CM →|·|n |=22,因为〈n ,CM →〉∈[0,π],所以〈n ,CM →〉=π4.直线CM 与平面CDE 所成的角θ是n 与CM →夹角的余角,所以θ=π4,因此直线CM 与平面CDE所成的角是π4.6.如图,在矩形ABCD 中,已知AB =2,AD =4,点E ,F 分别在AD ,BC 上,且AE =1,BF =3,将四边形AEFB 沿EF 折起,使点B 在平面CDEF 上的射影H 在直线DE 上.(1)求证:CD ⊥BE ; (2)求线段BH 的长度;(3)求直线AF 与平面EFCD 所成角的正弦值. (1)证明 ∵BH ⊥平面CDEF ,∴BH ⊥CD , 又CD ⊥DE ,BH ∩DE =H ,BH ,DE ⊂平面DBE , ∴CD ⊥平面DBE ,∴CD ⊥BE . (2)解 方法一 设BH =h ,EH =k , 过F 作FG 垂直ED 于点G ,∵线段BE ,BF 在翻折过程中长度不变, 根据勾股定理得⎩⎪⎨⎪⎧BE 2=BH 2+EH 2,BF 2=BH 2+FH 2=BH 2+FG 2+GH 2,即⎩⎪⎨⎪⎧5=h 2+k 2,9=22+h 2+(2-k )2,解得⎩⎪⎨⎪⎧h =2,k =1,∴线段BH 的长度为2.方法二 如图,过点E 作ER ∥DC ,过点E 作ES ⊥平面EFCD ,以点E 为坐标原点,分别以ER ,ED ,ES 所在直线为x ,y ,z 轴建立空间直角坐标系, 设点B (0,y ,z )(y >0,z >0), 由于F (2,2,0),BE =5,BF =3,∴⎩⎪⎨⎪⎧y 2+z 2=5,4+(y -2)2+z 2=9,解得⎩⎪⎨⎪⎧y =1,z =2,于是B (0,1,2),∴线段BH 的长度为2.(3)解 方法一 延长BA 交EF 于点M , ∵MA ∶MB =AE ∶BF =1∶3,∴点A 到平面EFCD 的距离为点B 到平面EFCD 距离的13,∴点A 到平面EFCD 的距离为23,而AF =AB 2+BF 2=13,故直线AF 与平面EFCD 所成角的正弦值为21339.方法二 由(2)方法二知FB →=(-2,-1,2), 故EA →=13FB →=⎝ ⎛⎭⎪⎫-23,-13,23,FA →=FE →+EA →=⎝ ⎛⎭⎪⎫-83,-73,23,设平面EFCD 的一个法向量为n =(0,0,1), 直线AF 与平面EFCD 所成角的大小为θ, 则sin θ=|FA →·n ||FA →||n |=21339.即直线AF 与平面EFCD 所成角的正弦值为21339.。
2015浙江省高考压轴卷理科数学一、选择题:本大题共10小题,每小题5分,共50分,在给出的四个选项中,只有一项是符合题目要求的。
1.合集{0,1,2,3},{2}U U C M ==,则集合M=()A .{0,1,3}B .{1,3}C .{0,3}D .{2}2.已知复数z 满足(2)(1)i i i z +-=⋅(i 为虚数单位),则z=()A .-1+3iB .-1-3iC .1+3iD .1-3i3.已知向量=(3cos α,2)与向量=(3,4sin α)平行,则锐角α等于( ) A .B .C .D .4.三条不重合的直线a ,b ,c 及三个不重合的平面α,β,γ,下列命题正确的是( )A .若a ∥α,a ∥β,则α∥βB .若α∩β=a ,α⊥γ,β⊥γ,则a ⊥γC .若a ⊂α,b ⊂α,c ⊂β,c ⊥α,c ⊥b ,则α⊥βD .若α∩β=a ,c ⊂γ,c ∥α,c ∥β,则a ∥γ 5.执行如右图所示的程序框图,则输出S 的值是() A .10B .17C .26D .286.已知函数()⎪⎭⎫ ⎝⎛-=32tan πx x f ,则下列说法错误的是()开始 S =1,i =1结束i =i +2i >7输出S 是否S =S +iA .函数f(x)BC f(x)的图象一个对称中心D 7.已知5250125(),a x a a x a x a x -=++++若2012580,a a a a a =++++则= ()A .32B .1C .-243D .1或-2438.已知a 、b 都是非零实数,则等式||||||a b a b +=+的成立的充要条件是 ()A .a b ≥B .a b ≤C .1ab≥ D .1ab≤ 9.已知函数()log (1)a f x x a =>的图象经过区域6020360x y x y x y +-≤⎧⎪--≤⎨⎪--≥⎩,则a的取值范围是()A .(B .2⎤⎦C .)+∞D .[)2,+∞10.作一个平面M ,使得四面体四个顶点到该平面的距离之比为1:1:1:2,则这样的平面M 共能作出(▲)个.A .4 B.8 C.16D.32二、填空题:本大题共7小题,每小题4分,共28分11.已知双曲线:221916x y -=,则它的焦距为__ _;渐近线方程为__ _; 焦点到渐近线的距离为__ _.12.在ABC ∆中,若1,AB AC AB AC BC ==+=,则其形状为BC=__(①锐角三角形②钝角三角形③直角三角形,在横线上填上序号); 13.已知,x y 满足方程210x y --=,当x >353712x y x y m x y +-+-=+--的最小值为__ _.14.一个几何体的三视图如图所示,则这个几何体的表面积与其外接球面积之比为________.15.若,,A B C 都是正数,且3A B C ++=,则411A B C +++的最小值为16.已知0a >且1a ≠,则使方程正视图侧视图222log ()log ()a a x ak x a -=-有解时的k 的取值范围为 .17.已知等差数列{}n a 首项为a ,公差为b ,等比数列{}n b 首项为b ,公比为a ,其中,a b 都是大于1的正整数,且1123,a b b a <<,对于任意的*n N ∈,总存在*m N ∈,使得3m n a b +=成立,则n a = . .二、填空题:本大题共5小题,共72分,解答应写出文字说明,证明过程或演算步骤). 18.已知函数f (x )=1﹣2sin (x+)[sin (x+)﹣cos (x+)](Ⅰ)求函数f (x )的最小正周期; (Ⅱ)当x ∈[﹣,],求函数f (x+)的值域.19.(本小题满分14分)已知{}n a 是公差不为零的等差数列,{}n b 等比数列,满足222112233,,.b a b a b a ===(I )求数列{}n b 公比q 的值;(II )若2121a a a =-<且,求数列{}n a 公差的值;20.一个袋中有大小相同的标有1,2,3,4,5,6的6个小球,某人做如下游戏,每次从袋中拿一个球(拿后放回),记下标号。
浙江省杭州市重点中学2025届高三压轴卷数学试卷注意事项:1.答卷前,考生务必将自己的姓名、准考证号、考场号和座位号填写在试题卷和答题卡上。
用2B 铅笔将试卷类型(B )填涂在答题卡相应位置上。
将条形码粘贴在答题卡右上角"条形码粘贴处"。
2.作答选择题时,选出每小题答案后,用2B 铅笔把答题卡上对应题目选项的答案信息点涂黑;如需改动,用橡皮擦干净后,再选涂其他答案。
答案不能答在试题卷上。
3.非选择题必须用黑色字迹的钢笔或签字笔作答,答案必须写在答题卡各题目指定区域内相应位置上;如需改动,先划掉原来的答案,然后再写上新答案;不准使用铅笔和涂改液。
不按以上要求作答无效。
4.考生必须保证答题卡的整洁。
考试结束后,请将本试卷和答题卡一并交回。
一、选择题:本题共12小题,每小题5分,共60分。
在每小题给出的四个选项中,只有一项是符合题目要求的。
1.已知()5x a +展开式的二项式系数和与展开式中常数项相等,则2x 项系数为( ) A .10B .32C .40D .802.记n S 为等差数列{}n a 的前n 项和.若25a =-,416S =-,则6a =( ) A .5B .3C .-12D .-133.已知函数()sin(2)f x x ϕ=+,其中(0,)2πϕ∈,若,()6x R f x f π⎛⎫∀∈≤ ⎪⎝⎭恒成立,则函数()f x 的单调递增区间为( ) A .,()36k k k z ππππ⎡⎤-+∈⎢⎥⎣⎦B .2,()33k k k z ππππ⎡⎤-+∈⎢⎥⎣⎦C .2,()33k k k z ππππ⎡⎤++∈⎢⎥⎣⎦D .2,()3k k k Z πππ⎡⎤+⎢⎥⎣∈⎦4.已知i 为虚数单位,则()2312ii i +=-( ) A .7455i + B .7455i - C .4755i + D .4755i - 5.已知m ,n 为异面直线,m ⊥平面α,n ⊥平面β,直线l 满足l ⊥m ,l ⊥n ,,l α⊄,l β⊄则 ( )A .α∥β且l ∥αB .α⊥β且l ⊥βC .α与β相交,且交线垂直于lD .α与β相交,且交线平行于l6.已知0a >,若对任意()0,m ∈+∞,关于x 的不等式()()1e ln 11exaxx m m --<-+-(e 为自然对数的底数)至少有2个正整数解,则实数a 的取值范围是( )A .3e e,2e ⎛⎤+ ⎥⎝⎦B .3e ,2e ⎡⎫++∞⎪⎢⎣⎭ C .3e 0,2e ⎛⎤+ ⎥⎝⎦D .3e ,2e ⎛⎫++∞ ⎪⎝⎭7.函数3()cos ln ||f x x x x x =+在[,0)(0,]ππ-的图象大致为( )A .B .C .D .8.已知数列满足,且,则数列的通项公式为( ) A .B .C .D .9.已知EF 为圆()()22111x y -++=的一条直径,点(),M x y 的坐标满足不等式组10,230,1.x y x y y -+≤⎧⎪++≥⎨⎪≤⎩则ME MF ⋅的取值范围为( ) A .9,132⎡⎤⎢⎥⎣⎦B .[]4,13C .[]4,12D .7,122⎡⎤⎢⎥⎣⎦10.已知,a b ∈R ,3(21)ai b a i +=--,则|3|a bi +=( ) A 10B .23C .3D .411.设a b c ,,为非零实数,且a c b c >>,,则( ) A .a b c +> B .2ab c >C .a b2c +> D .112a b c+> 12.集合{}2|4,M y y x x ==-∈Z 的真子集的个数为( )A .7B .8C .31D .32二、填空题:本题共4小题,每小题5分,共20分。