《启功论书绝句百首》:46《伊阙佛龛碑》褚遂良书
- 格式:doc
- 大小:25.00 KB
- 文档页数:4
论书绝句一百首笔记一西京隶势自堂堂,点画纷披态万方。
何必残砖搜五凤,漆书天汉接元康。
笔记注释:西京,代指西汉。
隶势,指隶书。
隶书是西汉的代表文字,西汉亦是隶书发展之颠峰,其气势堂堂。
成语有相貌堂堂,和这里的“堂堂”同意。
五凤,元康分别是汉宣帝的一个年号。
天汉,是汉武帝的一个年号。
漆书,指写在竹简上的墨迹。
西汉隶书存世不多,在五凤年间的残砖中有少量流传,为时人所贵,争相收藏。
砖瓦上的刻字与原作有差异。
启功先生思想中有一点即提倡原帖,不提倡碑帖。
这句是说,与其搜寻碑刻,不如看竹简上的漆书,更能领会书法的精髓。
二翠墨黟然发古光,金题锦帙照琳琅。
十年校遍流沙简,平复无惭署墨皇。
笔记注释:古人评论书法作品喜欢用比方使得自己的感觉观点更加形象,容易被听众接受,在“平复帖”身上,明代的张丑和宋代的米芾想到了两个很妙的事物,“饮太羹玄酒”“火箸划灰”,仔细看看原帖,确实如此。
彦先为贺循字,循多病,见于《晋书》本传,或谓彦先卒于陆士衡之后,则此非贺氏。
然“恐难平复”,只是疑词,非谓即死也。
此帖当属于陆氏入洛之前,所谓“临西复来”,殆吴子杨将往荆襄一带,行前作别耳。
此帖自宋以来,流传有绪。
传世晋人手札,无一原迹,二王诸帖,求其确出唐摹者,已为上乘。
此麻纸上用秃笔作书,字近章草,与汉晋木简中草书极相似,是晋人真迹毫无可疑者。
帖中字有残损处,释文有据偏旁推断者。
三大地将沉万国鱼,昭陵玉匣劫灰余。
先茔松柏俱零落,肠断羲之丧乱书。
笔记注释:流传到日本的中国“书圣”王羲之的作品《丧乱帖》是唐代传入日本的,一直为日本皇室收藏,有专家考证说是唐朝大和尚鉴真东渡日本时带去的,被列为日本国宝。
《丧乱帖》为行草墨迹,白麻纸,纵28.7厘米,横63厘米。
共八行,全文如下:“羲之顿首:丧乱之极,先墓再离荼毒,追惟酷甚,号慕摧绝,痛贯心肝,痛当奈何奈何!虽即修复,未获奔驰,哀毒益深,奈何奈何!临纸感哽,不知何言!羲之顿首顿首。
”此帖反映了丧乱时期王羲之痛苦不安的情绪。
启功先生《论书绝句一百首》1、西京隶势自堂堂点画纷披态万方何必残砖搜五凤漆书天汉接元康2、翠墨黟然发古光金题锦帙照琳琅十年校遍流沙简平复无惭署墨皇3、大地将沉万国鱼昭陵玉匣劫灰余先茔松柏俱零落肠断羲之丧乱书4、底从骏骨辨媸妍定武椎轮且不传赖有唐摹存血脉神龙小印白麻笺5、风流江左有同音折简书怀语倍深一自楼兰神物见人间不复重来禽6、蝯翁睥睨慎翁狂黑女文公费品量翰墨有缘吾自幸居然妙迹见高昌7、砚臼磨穿笔作堆千文真面海东回分明流水空山境无数林花烂漫开8、烂漫生疏两未妨神全原不在矜庄龙跳虎卧温泉帖妙有三分不妥当9、宋元響拓汝南志枣石翻身孔庙堂曾向蒙庄闻傥论古人已与不传亡10、书楼片石万千题物论悠悠总未齐照眼残编来陇右九原何处起覃溪11、乳臭纷纷执笔初几人雾霁识匡庐枣魂石魄才经眼已薄经生是俗书12、笔姿京卞尽清妍蹑晋踪唐傲宋贤一念云泥判德艺遂教坡谷以人传13、臣书刷字墨淋漓舒卷烟云势最奇更有神通知不尽蜀缣游戏到乌丝14、草写千文正写经温夫逸老各专城宋贤一例标新尚此是先唐旧典型15、朴质一漓成侧媚吴兴赝迹日纷沦明珠美玉千金价自有流光悦妇人16、丹丘复古不乖时波磔翩翩似竹枝想见承平文物盛奎章阁下写宫词17、疏越朱弦久寂寥陵夷八法亦烦嚣论书宁下迂翁拜古淡风姿近六朝18、万古江河有正传无端毁誉别天渊史家自具阳秋笔径说香光学米颠19、刻舟求剑翁北平我所不解刘诸城差喜天真铁梅叟肯将淡宕易纵横20、横扫千军笔一枝艺舟双楫妙文辞无钱口数他家宝得失安吴果自知21、礼器方严体势坚史晨端劲有余妍不祧汉隶宗风在鸟翼双飞未可偏22、笔锋无恙字如新体态端严近史晨虽是断碑犹可宝朝侯小子尔何人23、石言张景造郡屋刊刻精工笔法足劝君莫买千金碑刘熊模糊史晨秃24、北朝重造夏承碑高肃唐邕故等夷汉隶缤纷无此体笔今貌古太支离25、军阀相称你是贼谁为曹刘辨白黑八分到此渐浇漓披阅经年无所得26、清颂碑流异代芳真书天骨最开张小人何处通温清一字千金泪数行27、数行古刻有余师焦尾奇音续色丝始识彝斋心独苦兰亭出水补粘时28、世人那得知其故墨水池头日几临可望难追仙迹远长松万仞石千寻29、江表巍然真逸铭迢迢鲁郡得同声浮天鹤响禽鱼乐大化无方四海行30、铭石庄严简札遒方圆水乳费探求萧梁元魏先河在结穴遥归大小欧31、出墨无端又入杨前摹松雪后香光如今只爱张神冏一剂强心健骨方32、题记龙门字势雄就中尤属始平公学书别有观碑法透过刀锋看笔锋33、王帖惟余伯远真非摹是写最精神临窗映日分明见转折毫芒墨若新34、琅琊奕代尽工书真赝同传久不殊万岁通天留响拓金轮功绩过天枢35、或言异趣出钩摹章草如斯世已无梁武标名何足辨六朝柔翰压奇觚36、永师真迹八百本海东一卷逃劫灰儿童相见不相识少小离乡老大回37、隋贤墨迹史岑文冒做索靖萧子云漫说虚名胜实诣叶公从古不求真38、真书汉末已胚胎钟体婴儿尚未孩直至三唐方烂漫万花红紫一齐开39、六朝别字体无凭三段妖书语莫征正始以来论篆隶唐人毕竟是中兴40、事业贞观定九州巍峨宫阙起麟游行人不说唐皇帝细拓丰碑宝大欧41、买椟还珠事不同拓碑多半为书工滔滔骈散终何用几见藏家诵一通42、集书辛苦倍书丹内学何如外学宽多智怀仁寻护法半求王字半求官43、集王大雅亦名家半截碑文语太夸写得阉妻颜色好圆姿替月脸呈花44、草字书碑欲擅场羽衣木鹤共徜徉缑山月夜空如水不见莲花似六郎45、书谱流传真迹在参差摹刻百疑生箴膏起废吾何有曾拨乌云见月明46、青琐蝉娟褚遂良毫端犹带绮罗香可怜鼓努三龛记乍绾双鬟学霸王?47、翰林供奉拨灯手素帛黄麻次第开千载鹡鸰留胜迹有姿无媚见新裁48、跌宕为奇笔仗精飚如电发静渊渟学来俗死何须怪当日书碑太逞能49、真迹颜公此最奇海隅同慰见心期请看造极登峰处纸上神行手不知50、敏捷才华号立成杜家兄弟远闻名正藏文轨传东国多仗中台笔墨精51、东瀛楷法尽精能世说词林本行经小卷藤家临乐毅两行题尾署天平52、羲献深醇旭素狂流传遗法入扶桑不图古墨珍三笔小野藤原并擅场53、笋茗俱佳可径来明珠十四迈琼瑰精纯虽胜牛腰卷终惜裁缣各袜材54、劲媚应从笔正论更将心正哄愚人书碑试问心何在谀阉谀僧颂禁军55、诗思低回根肺腑墨痕狼藉化飞腾满襟泪溅黄麻纸薄幸谐谈未可听56、谢客先书庾信诗早悬明鉴考功辞腾诬攘善鸿堂帖枉费千思与万思57、非狷非狂自一家草堂夏热起龙蛇壶公忽现容身地方丈蓬山是韭花59、行押徐铉体绝工江南书格继唐风名家汴宋存遗矩只有西台李建中60、编摹底本自升元王著从蒙不白冤淳化工粗大观细宋镌先后本同源61、晋代西陲纸数张都成阁帖返魂香回看枣石迷离处意态分明想硬黄62、百刻千摹逊国门昔人曾此问书源赫然一卷房中诀堪笑黄庭语太村63、失名人写孝娥碑拟不于伦是诔辞谶语毕陈仍进隐长篇初见晋传奇64、子发书名冠宋初流传照乘四明珠寥寥跋尾谁能及不是苏髯莫唤奴65、矜持有态苦难舒颜告题名逐字摹可笑东坡饶事故也随座主誉君谟66、梦泽云边放钓舟坡仙墨妙世无俦天花坠处何人会但见春风绕树头67、字中有笔意堪传夜雨鸣廊到晓悬要识涪翁无秘密舞筵长袖柳公权68、从来翰墨号如林几见临池手应心羡煞襄阳—枝笔玲珑八面写秋深69、薛米相齐比弟兄薛书寂寞米孤行尚留遗派乡关着继起河东李士弘70、多力丰筋属宋高墨池笔冢亦人豪祥搜旧格衡书品美谥难求一字超71、傅朋姿媚最堪师不是羲之即献之草法更能探笔髓非同儿戏弄游丝72、黄华米法盛波澜任赵椽毫仰大观太白仙诗题尾富中州书势过临安73、破的穿杨射艺精赏音还在弦外声渔阳笔外无余韵难怪沤波擅盛名74、绝代天姿学力深吴兴字欲拟精金纤毫渗漏无容觅但觉微余爱好心75、细楷清妍弱自持五言绝调晚唐诗平生每踏燕郊路最忆金台乃易之76、有元一世论书派妍媸莫出吴兴外要知豪杰不因人尚有倪吴真草在77、唐摹陆拓各酸咸识小生涯在笔尖只有牛皮看透处贼毫一折万华严78、丛帖三希字万行继之一石独凋伤恰如急景潇湘馆赢得诗人吊古忙79、昔我全疑帖与碑怪他毫刃总参差但从灯帐观遗影黑虎牵来大可骑80、七姬志里血模糊片石应充抵雀珠孤本流传余罪证徒留遗恨仲温书81、黄庭画赞惟糟粕面目全非点画讹希哲雅宜归匍匐宛然七子学饶歌82、无今无古任天真举重若轻笔绝尘何事六如常耿耿功名傀儡下场人83、憨山清后破山明五百年来见几曾笔法晋唐原莫二当机文董不如僧84、锺王逐鹿定何如此是人间未见书异代会心吾不忝?参天两地一朱驴?85、破阵声威四海闻敢移旧句策殊勋王侯笔力能扛鼎五百年来无此君86、头面顶礼南田翁画家字说殊不公千金宝刀十五女极妍尽利将无同87、耕烟画笔天瓶字格熟功深作祖师更有文风同此调望溪八股阮亭诗88、坦白胸襟品最高神寒骨重墨萧寥朱文印小人千古二十年前旧板桥89、持将血泪报春晖文伯经师世所稀禊帖卷中瞻墨迹瓣香应许我归依90、高邮之后有番禺安雅终推学者书一代翁刘空作态几经鸣鼓召我徒91、琳琅诗富容夷韵洞达书饶婉娈情一事惜翁真可惜误将八股榜桐城92、一般风气一乡人岁月推迁有故新四体历观程穆倩始知完白善传薪93、惊呼马背肿巍峨那识人间有橐驼莫笑研经持论陋六朝遗墨见无多94、无端石刻似蜂窝摸索低昂聚讼多身后是非谁管得安吴包与道州何95、秦汉碑中篆隶形有人傅会说真行逆圈狂草寻常见可得追源到拉丁96、贬赵卑唐意不殊推波南海助安吴行回楫橹空辞费只剩衰时馆阁书97、少谈汉魏怕徒劳简版摩挲未几遭岂独甘卑爱唐宋半生师笔不师刀98、亦自矜持亦任真亦随俗媚亦因人亦知狗马常难似不知青红画鬼神99、用笔何如结字难纵横聚散最相关一从证得黄金律顿觉全牛骨隙宽100、先摹赵董后欧阳晚爱诚应竟体芳偶作擘窠钉壁看旁人多说似成王。
启功《论书绝句一百首》
启功先生的论书绝句一百首在书界流传甚广,先生介绍,前20首为其1935年所作,后80首为其1961-1968年所作。
“学书别有观碑法,透过刀锋看笔锋”,这一经典名句就出自这一百首绝句中(其三十二)。
诗集以小行楷(间以草法)的“启体”写成,启体书法缩小后,更见其浓郁的书卷文人气,真是好极。
而不学无术者居然以为这是硬笔字,更有随声附和者以为是所谓“美工笔”写成,真是贻笑大方(Ps:启老的硬笔字真没这么好看,而这也说明关注一个专业的书法微信公众号是多么重要??)。
不过,此作可以像许多古代名帖一样当作硬笔字帖临习。
褚遂良《伊阙佛龛碑》释文及评介龙门山三龛记夫藏室延阁之旧典,蓬莱宛委之遗文,其教始於六经,其流分於百氏,莫不美天地为广大,嘉富贵为崇高。
备物致用,则上圣存其发育;御气乘云,则列仙体其变化,兹乃尽域中之事业,殚方外之天府,逾繫表而称笃论,眇帝先而谓穷神。
岂非徇淼漫於陷井者,未从海若而泳天池也;矜峻极於块阜者,未托山祗而窥地轴也。
乌识夫无边慧日,垂鸿辉於四衢;无相法宝,韫善价於三藏。
泊乎出形器之外,寂焉超筌蹄之表。
三界方於禹迹也。
犹大林之匹豪端;四天视於侯服也。
若龙宫之方蜗舍。
升彼岸而捨六度,则周孔尚溺於沉沦;证常乐而捐一乘,则松乔莫追其轨辙。
由是见真如之寂灭,悟俗谛之幻化。
八儒三墨之所称,其人填丘陇矣;柱史园吏之所述,其旨犹糠粃矣。
若夫七觉开绪八正分涂,离生灭而降灵,排色空而现相。
惟妙也,掩室以标其实;惟神也,降魔以显其权。
故登十号而御六天,绝智於无形之地;遗三明而冥五道,应物於有为之域。
是以慈悲所及,跨恒沙而同跬步;业缘既启,积僧祗而比崇朝,故能使百亿日月,荡无明於大夜,三千世界,隮法云於下土。
然则功成道树,非炼金之初;迹灭坚林,岂断筹之末?功既成,俟奥典而垂范;迹既灭,假灵仪而图妙。
是以载雕金玉。
阐其化於迦维;载饰丹青,发其善於震旦。
绳绳乎方便之力至矣!巍巍乎饶益之义大矣!文德皇后道高轩曜,德配坤仪,淑圣表於无疆,柔明极於光大。
沙麓蕃祉,涂山发祥。
来翼家邦,嗣徽而赞王业;聿修阴教,正位而叶帝图。
求贤显重轮之明,逮下彰厚载之德。
忠谋著於房闼,孝敬申於宗祀。
至诚所感,清朏魄於上,至柔所被,荡震腾於下。
心系忧勤,行归俭约。
胎教克明,本枝冠於三代;阃政攸叙,宫掖光於二南。
陋锦绘之华,身安大帛;贱珠玉之宝,志绝名珰。
九族所以增睦,万邦所以至道。
宏览图籍,雅好艺文,酌黄老之清静,穷诗书之溥博。
立德之茂,合大两仪,立言之美,齐明五纬。
加以宿殖远因,早成妙果。
降神渭涘,明四谛以契无生,应绩昭阳,驰三车以济有结。
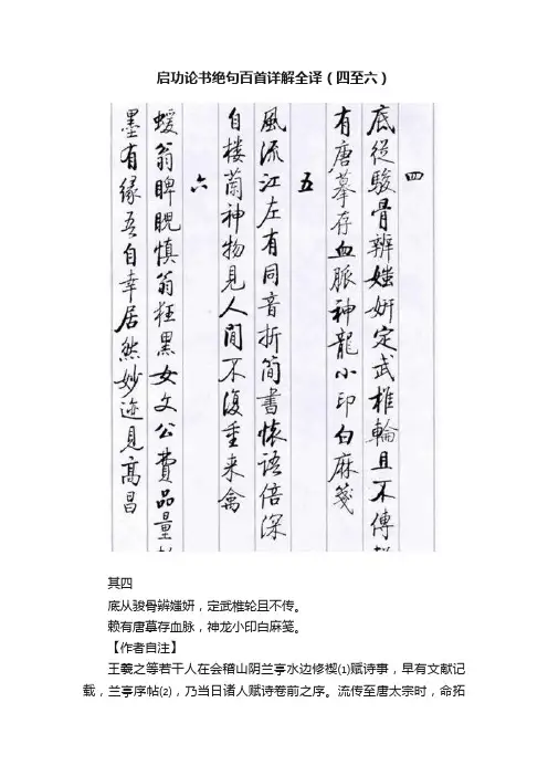
启功论书绝句百首详解全译(四至六)其四底从骏骨辨媸妍,定武椎轮且不传。
赖有唐摹存血脉,神龙小印白麻笺。
【作者自注】王羲之等若干人在会稽山阴兰亭水边修禊⑴赋诗事,早有文献记载,兰亭序帖⑵,乃当日诸人赋诗卷前之序。
流传至唐太宗时,命拓书人分别钩摹⑶,成为副本。
摹手有工有拙,且有直接钩摹或间接钩摹之不同,因而艺术效果往往悬殊。
今日故宫博物院所藏有神龙半印之本⑷,清代题为冯承素⑸摹本,笔法转折,最见神采。
且于原迹墨色浓淡不同处,亦忠实摹出,在今日所存种种兰亭摹本中,应推最善之本。
钩摹向拓⑹,精细费工,在唐代已属难得之珍品,至宋代更不易得。
于是有人摹以刻石,其石在定武军州,遂称为定武本⑺,北宋人以其易得,于是收藏,遂成名帖。
实则只才存梗概,无复神采。
试与唐摹并观,如棋着之判死活⑻,优劣立见矣。
至清代李文田⑼习见碑版字体刻法,而疑禊序,不过见橐驼⑽谓马肿背耳。
【译者附注】⑴修禊(xì):指古人三月三日在水边祓除不祥的风俗。
《兰亭序》:“永和九年,岁在癸丑,暮春之初,会于会稽山阴之兰亭,修禊事也。
”⑵兰亭序帖:《兰亭序》又名《兰亭宴集序》、《兰亭集序》、《临河序》、《禊序》和《禊帖》,行书法帖。
东晋穆帝永和九年(公元353年)三月三日,王羲之与谢安、孙绰等四十一人,在山阴(今浙江绍兴)兰亭“修禊”,会上各人做诗,王羲之为他们的诗写的序文手稿。
《兰亭序》中记叙兰亭周围山水之美和聚会的欢乐之情,抒发作者好景难留、生死无常的感慨。
法帖相传之本,共二十八行,三百二十四字,章法、结构、笔法都很完美,是他中年时的得意之作。
⑶钩摹:勾画描摹。
⑷神龙半印之本:神龙本兰亭集序,是唐朝冯承素摹本。
纸本,行书,纵24.5cm,横69.9cm,28行,324字。
存世兰亭集序摹墨迹以"神龙本"为最著,因卷首有唐中宗李显神龙年号小印,故称"神龙本",以便与其它摹本相区别。
此本摹写精细,笔法、墨气、行款、神韵,都得以体现,公认为是最好的摹本。
启功《论书绝句》中的碑帖观《论书绝句》是明代文学家于谦创作的一篇碑帖。
这篇碑帖是以对古代书法的推崇和独到的见解为主题,表达了作者对书法艺术的热爱与思考。
《论书绝句》共有四首绝句,每首绝句都是由四句七言诗组成,整体风格简练明快,言简意赅,给人一种抒发情感的冲动。
《论书绝句》的第一首绝句写道:“汉隶已殁许真踪,文章卷在堪罚后。
”这首绝句表达了作者对汉隶书法的敬仰和对许真的追思。
汉隶是我国书法的经典之作,而许真则是其中的代表人物。
许真以其精湛的技艺和独特的风格成为后世书法家学习的楷模。
作者通过这首绝句,表达了对这些伟大先贤的崇敬之情。
第二首绝句写道:“褚先生才韵分文乱,实录金华窃声传。
”这首绝句主要表达了作者对褚遂良的崇拜和对文学风气的思考。
褚遂良是明朝嘉靖年间的书法家和文学家,他以其才华横溢和卓越成就在书法和文学领域享有很高的声誉。
作者通过这首绝句,赞美了褚遂良的才情和突破传统的创新精神。
第三首绝句写道:“卷帙浩言成纸墨,时望行时费此铢。
”这首绝句主要表达了作者对书法创作的苦衷和对作家价值的思考。
书法是以墨迹在纸上的表达方式,需要大量的篇幅和时间来进行创作。
作者通过这首绝句,反映了自己在书法创作中所花费的努力和交出的时间,表达了对书法艺术的珍视和对作家的崇敬。
最后一首绝句写道:“陈后先生千古论,漫道金针独掷投。
”这首绝句主要表达了作者对陈后的敬仰和对书法创作的勇气和决心。
陈之后是明代初年的书法家和文学家,他在书法创作中敢于冒险和创新,以自己独特的风格和观点成为后世书法家学习的典范。
作者通过这首绝句,表达了自己坚持创新和不畏风险的态度,表达了对书法创作的热爱和追求卓越的决心。
启功《论书绝句》是一篇对古代书法和书法家的推崇和思考的碑帖。
通过四首绝句的简练明快的表达方式,作者展示了对汉隶、许真、褚遂良、陈之后等书法家的敬仰和对书法艺术的热爱。
这篇碑帖不仅在推崇古代书法的也表达了作者对创作所付出的努力和追求卓越的决心。
启功《论书绝句》中的碑帖观碑帖是中国书法艺术中的一种非常重要的形式,它不仅是中国文字艺术的重要载体,也是中国传统文化的珍贵遗产。
在启功的《论书绝句》中,他对碑帖的观点进行了阐述,其中包含了许多深刻的见解和精妙的艺术思考。
下面我们就来看看启功《论书绝句》中的碑帖观。
启功在《论书绝句》中提到:“碑帖书何如?胜在勾勒力。
榻上几行能够服。
寒山懒书多足矣。
”这句话中,启功对碑帖的评价是非常高的,他认为碑帖的胜在于勾勒力,即书法的力度和笔墨的韵味。
在启功看来,能够通过勾勒力表现出书法的魅力,才能被称为好的碑帖。
而对于书法家来说,要做到“榻上几行能够服”,也就是说要在字里行间展现出自己的功力和情感,让人在观赏之后产生共鸣。
而“寒山懒书多足矣”则是启功对寒山书法的赞美,他认为寒山书法虽然看似懒散,但其中包含了丰富的内涵和表现力,这正是书法艺术所追求的境界。
启功还在《论书绝句》中提到:“牌匾文章全召之,贯穿挠极句句中。
”这句话中,启功强调了碑帖中的文章内容对于整体艺术的影响。
他认为,碑帖的文章必须是全召之,即选材要丰富多样,能够展现书法家的才华和情感。
文章必须贯穿挠极,即要能够表现出整体的艺术性和深度,不能只停留在表面。
启功这句话中,他对碑帖的要求是非常严格的,他认为好的碑帖必须在字体、内容和艺术性上都要达到一个较高的水平,才能被称为优秀之作。
在《论书绝句》中,启功还谈到了碑帖的表现形式和技法。
他说:“重笔倍份笔画粗。
余波水遒一泼莽。
函谷井中润月华。
执簿当空谁用功。
”这几句诗中,启功提到了碑帖书法中的一些技法,如重笔倍份,即书法家在书写时要加重用力,使笔画更加粗犷有力;余波水遒一泼莽,描述的是书法的端庄刚劲之美;函谷井中润月华,则是启功在赞美书法的神韵和意境。
启功在这几句诗中,对碑帖的表现形式和技法进行了深入的探讨,他认为书法家在书写时要有力度、有韵味、有意境,并且要注重笔画的精湛和节奏的韵动,才能写出好的碑帖。
启功《论书绝句》中的碑帖观启功是中国书法界的重要代表人物之一,他在书法创作中有着独特的风格和独到的见解。
他的碑帖观在《论书绝句》这篇文章中得到了充分的展示,并且对于我们理解启功的书法思想和艺术造诣有着重要的指导意义。
本文将从多个角度解读启功《论书绝句》中的碑帖观。
启功在《论书绝句》中提到:“帖不可千万字写出,却能使你百万字同样写法。
”从这句话中可以看出,启功认为书法艺术中的帖法是相对固定的,不需要千变万化,而在这固定的帖法中,千变万化则是体现在每一个字的创作中。
这一观点与传统观念中注重套路的书法思想存在差异,启功强调的是创造,是个性与个体的表达。
他认为学习碑帖,不在于模仿碑帖的外形,而在于领悟碑帖的艺术表现力,从中吸取启发,融入自己的创作中。
在《论书绝句》中,启功还提到:“帖法学多易,境暇久难动。
”这句话表明了启功对于书法艺术的理解和追求。
他认为帖法学习起来容易,但达到曲高和寡的境地却需要很长时间的积淀和艰苦的努力。
启功在这里强调了对于书法技法的掌握和熟练运用的重要性,同时又警示后来者,不要满足于帖法的学习,要有深入挖掘和突破的精神和动力。
值得一提的是,启功在《论书绝句》中还借用了许多碑帖作为例证,通过对这些碑帖的分析,解读了碑帖的艺术特点和价值。
他引用了晚唐虞世南《晋书·陆机传》的碑文为例,指出了其“神采不可见”的特点。
启功认为,书法艺术的境界在于触动人心的力量,而这种力量来自于书法作品中蕴含的文化内涵和艺术感染力。
他以虞世南碑为例,引发了人们对于碑帖的情感共鸣和审美体验。
启功还通过对于碑帖特点的分析,提出了书法创作中的一些具体要求。
他强调了“识帖不如感帖”的重要性,即书法创作要求有一种真诚而深入的感受力,而不仅仅是对碑帖的表面形式进行模仿。
他指出:“感帖所感,事随境变。
”启功从帖迹、文意和风格等多个方面探讨了碑帖的价值和表现形式,为后来者提供了一种全面而深入的书法创作指导思想。
启功《论书绝句》中的碑帖观是他对于书法艺术的深刻思考和个人体验的总结。
褚遂良楷书《伊阙碑》伊阙佛龛之碑位置:龙门石窟宾阳中洞与宾阳南洞之间碑高:4.86米碑宽:1.92米功能:唐太宗第四子魏王李泰为亡母长孙皇后追福造像的发愿文伊阙佛龛之碑原是北魏宣武帝为孝文帝、文昭皇后开凿功德窟的发愿碑文,被魏王李泰抹去原碑文,重新刻于唐贞观十五年,由岑文本撰文,大书法家褚遂良书写,碑额上用篆文镌刻着“伊阙佛龛之碑”六个大字,也被称为“伊阙碑”。
大书法家褚遂良与伊阙佛龛之碑伊阙佛龛之碑书写碑文的是号称楷书大家的褚遂良。
褚遂良博涉文史,尤工书法,继王羲之、王献之、欧阳询、虞世南之后,自成一体,尤其是晚年的楷书,清秀娟好,瘦劲有力,《伊阙佛龛之碑》便是其最重要的代表作之一,也是我国现存最大的褚体碑。
正因为褚遂良书法的闻名,伊阙佛龛之碑又称为“褚遂良碑”,是初唐时期楷书的典范。
伊阙佛龛之碑隐藏了什么秘密?根据对碑文的研究,可知碑中记载的为宾阳南洞正壁的五身大像,文中又对皇后的美德和李泰的孝心大加赞扬。
据史书记载,李泰阴谋夺取太子李承乾的宝座,借此造像,表达“潜有夺嫡之意”的政治用心。
李泰是唐太宗李世民的第四子,被封为魏王,聪慧过人,得到唐太宗的宠爱,每次受到赏赐都比太子李承乾高出一截,久而久之,李泰心中欲壑难平,开始觊觎皇嗣之位。
贞观十年,长孙皇后因病去世,李世民陷入深深的悲痛之中,魏王李泰便借此机会,请求出巨资为母亲在龙门山开窟造像。
为了加快工程进度,他从北魏皇室开凿未完工的宾阳南洞入手,在原来已初具规模的基础上雕刻出主佛、弟子和胁侍菩萨像,再配合以浮雕和线刻,并在完工之后,请当时著名的大书法家褚遂良书丹,镌刻了洋洋洒洒1800多字的造像题记,使用大量篇幅去歌颂长孙皇后的“懿德”,以博取“纯孝”的美名来争得李世民欢心。
宾阳南洞伊阙佛龛之碑的艺术价值伊阙佛龛之碑碑文楷书,笔力挺劲,有博大奇伟之感,康有为曾评价此碑“清虚高简”,刘熙载高赞此碑“兼有欧虞之胜”。
因此伊阙佛龛之碑作为初唐书法的代表作品,是初唐时期楷书的典范,也是中国石窟寺中现存最大的摩崖碑刻。
书法家褚遂良早期楷书作品《伊阙佛龛碑》独有的书法美学金
石之气
《伊阙佛龛碑》是大唐书法家褚遂良早期楷书作品,充满了书法美学金石之气,此时的褚遂良还没有形成自己的艺术风格,这个碑刻应该属于摩崖刻石之类的,《伊阙佛龛碑》代表了初唐时期的楷书风格,俊美的摩崖书风也是初唐时期盛行的。
今天分享的是原拓本,此作品非常难得,虽然有些字迹残缺,也能看出当时褚遂良初期的书法风格,也是在临帖当中,很明显的欧阳询风范清晰可见。
从初期的书风到形成自己的风格转变,也需要了很多年,褚遂良也是学习了欧楷,并脱离了欧楷,现在很多人在学习欧楷,穷其一生也没有脱离欧楷,总是在别人的影子下作书,这不能不说缺乏创新?
从《伊阙佛龛碑》到《雁塔圣教序》,都能看到褚遂良极大的书风转变,作为书法大家必须要脱离你学习的法帖,从进去,还能走出来,不多,历史上成名的均能走出来,今人很难做到,应该是没有太多的心思在书法上面,更多的是追逐的商业利益,不能不说是书法的悲哀。
纵观目前现象,无人能担当起未来书风发展的趋势,这也和教育上不重视书法造成的。
大家是怎么看未来书法发展趋势的?谁能挑起大梁?书协那帮人真的没有指望了!
敲黑板:本人持续分享古今著名书法家的书法作品以及书法教材类,方便书友临摹学习,更多资源看我以往发布的文章和视频。
学习书法可以参考《宗少林钢笔书法教学》视频课程以及宗少林编著的《美工钢笔书法教程—行书黄金法则55讲》一书,以专业的视角,系统的讲解演示。
您的关注、点赞、评论、转发,赞赏,是我持续分享的动力。
《伊阙佛龛碑》
知识创作官,褚遂良《伊阙佛龛碑》
褚遂良《伊阙佛龛碑》,又名《三龛记》。
是现存褚遂良最早的书法作品,也极具代表性,后世有人称它为“褚遂良碑”。
虽名为碑,实为摩崖刻作碑状。
贞观十五年,去世,46岁的褚遂良奉命为长孙文德皇后书丹。
出于敬慕之心,又加上此碑置于佛窟之内,具有一个庄严的主题。
所以,褚遂良将此碑写得特别的端整静穆,清虚高洁。
横平竖直,刚严实在,朴质宽博,犹如仁者之言行,磊落坦荡,清澈见底,没有过多的修饰。
笔势往来,时而显露出隶书所特有的波磔之笔,浑朴中似有一种婀娜之气。
杨守敬的《评碑记》评此碑:“方整宽博,伟则有之,非用奇也。
”并称“盖犹沿陈、隋旧格。
登善晚年始力求变化耳,又知婵娟婀娜,先要此境界。
”翁方刚称此碑为“唐楷中隶法”,而刘熙载赞美更甚,说它“兼有欧、虞之胜”。
这些评说,大多着眼书势用笔。
事实上,最为可贵的是其中所包含的情感与个性,这同他为政为人的品格和气度是一致的。
此所谓书者如也,如其人,如其志。
••
•。
褚遂良《伊阙佛龛碑》《伊阙佛龛之碑》亦称“褚遂良碑”。
篆额题《伊阙佛龛之碑》。
贞观十五年(公元641年)刻于河南省洛阳龙门石窟壁宾阳洞内。
这里因伊水东西两岸之香山和龙门山对峙如天然门阙,故古称“伊阙”,隋唐以后,习称龙门。
《伊阙佛龛之碑》通高约5.00米、宽1.90米。
由中书侍郎岑文本撰文,谏议大夫褚遂良书。
字共三十二行,满行五十一字。
计一千六百余字。
碑文主要记述唐太宗第四子魏王李泰为其母文德皇后长孙氏死后做功德而开凿,太宗末年李泰与太子李承乾争夺太子位,李泰借为母亲开窟造像做功德,实有获得太宗好感,为自已捞取政治资本的目的。
这通碑原应为北魏所雕的宾阳中洞的造窟碑,到了唐代李泰为节省费用,竟就势磨去原有碑文,又重新雕刻成唐碑的。
关于该碑的记载,始见于宋嘉佑六年(公元1061年)欧阳修之《集古录》及赵明诚之《金石录》。
《伊阙佛龛之碑》是早期传世褚书的代表作。
为目前国内所见褚遂良楷书之最大者,字体清秀端庄,宽博古质,是标准的初唐楷书。
此碑虽说是碑,实际上却是摩崖刻石。
两者功用相同,都是为歌功颂的。
但在创作时条件不同,一个是光平如镜,而另一个则是凹凸不平,书写的环境也不会那么优游自在。
于是,摩崖书法的特征也就不言而喻。
因无法近观与精雕细琢,于是便在气势上极力铺张,字形比碑志大得多,舒卷自如,开张跌宕。
正是在这一点上,像汉代的《石门颂》、《郙阁颂》、《西峡颂》,它们气度之开张,韵致之飞扬,自然拙朴,即使是如《礼器碑》、《乙瑛碑》、《史晨碑》等真正的碑志精品也无法比拟,褚遂良的《伊阙佛龛碑》,正是这样一种典型的摩崖书风。
褚遂良(596—658),唐初書法家。
字登善,錢塘(今浙江杭州)人,其先世本在河南,晉室南遷,徙居江南。
其父通直散騎常侍褚亮,博學能文,為隋太常博士,後歸順秦王,為秦王文學侍從——十八學士之一。
褚遂良為其第二子,年少便博通文史,擅書楷隸,以通事舍人起家於隋,貞觀中累遷起居郎,虞世南去世後,以擅書得魏征薦,遷諫議大夫,兼知起居事,歷任太子賓客、黃門侍郎、中書令,其後十年,因“學問稍長,性亦堅正,既寫忠誠,甚親附於朕,譬如飛鳥依人,自加憐愛”,漸得太宗信任,為太宗臨終托孤之顧命大臣。
褚遂良书法,这份飘逸让人沉沦看完记得一键三连枯树赋褚遂良《枯树赋》墨拓册行书贞观四年(630)日本三井纪念美术馆藏伊阙佛龛碑褚遂良《伊阙佛龛碑》拓片贞观十五年(641)北京图书馆(今国家图书馆)藏孟法师碑褚遂良《孟法师碑》墨拓贞观十六年(642)日本三井纪念美术馆藏裴艺碑褚遂良《裴艺碑》(局部)贞观二十三年(649)363×111cm 陕西昭陵博物馆藏文皇哀册褚遂良《文皇哀册》宋拓册22.2×11.1cm 日本高岛菊次郎藏房玄龄碑褚遂良《房玄龄碑》清拓本楷书北京图书馆(今国家图书馆)藏雁塔圣教序褚遂良《雁塔圣教序》宋拓本永徽四年(653)日本东京国立博物馆藏潭府帖褚遂良《潭府帖》宋拓本同州圣教序褚遂良《同洲圣教序》龙朔三年(663)西安碑林博物馆藏褚遂良《兰亭序》褚遂良摹本《褚摹兰亭序》卷,唐,褚遂良摹,纸本,行书,纵24cm,横88.5cm褚遂良临《兰亭序》(黄绢本)唐褚遂良《临兰亭序》黄绢本,行书,纵24.3cm,横70.2cm。
台北故宫博物院藏倪宽赞褚遂良《倪宽赞》楷书 24.6x170.1 台北故宫博物院藏大字阴符经褚遂良《大字阴符经》(传)美国旧金山亚洲艺术馆藏21×394cm小字阴符经褚遂良《小字阴符经》(越州石氏本)日本东京国立博物馆藏小楷灵宝经褚遂良《小楷灵宝经》墨拓日本三井纪念美术馆藏(听冰阁旧藏本)临王献之飞鸟帖褚遂良《临王献之飞鸟帖》(传)纸本楷书22×47.4 cm 台北故宫博物院藏长风贴王羲之《长风帖》(临摹本)纸本草书27.5×40.9cm 台北故宫博物院藏。
高清字帖褚遂良《伊阙佛龛碑》褚遂良(596—658),字登善,唐初著名书法家,曾任秘书郎、起居郎、谏议大夫、黄门侍郎、吏部尚书等职,封河南郡公,人称褚河南。
对褚遂良的书法,历来评价极高,他上继欧、虞,下开颜、柳,是唐代书法一个关键性的人物。
清刘熙载《艺概.》云:“褚河南为唐之广大教化主,颜平原得其筋,徐季海之流得其肉。
”褚遂良的书法艺术,实实在在地影响了众多中晚唐乃至唐代以后的书法家。
今日推荐褚遂良楷书《伊阙佛龛之碑》,为目前国内所见褚遂良楷书之最大者,字体清秀端庄,宽博古质,是标准的初唐楷书《褚遂良中楷课程》仅需一元!扫码报名,进群听课!名师授课,实时交流。
褚遂良中楷从临习到创作褚遂良作为唐初的著名书家,一生创作了大量精彩的书法作品,其中楷《雁塔圣教序》、《大字阴符经》、《倪宽赞》更是学习唐楷的不二法门,对于把握基本笔法、打通行书书写具有重要的作用。
李建勋老师将通过三个课时,对褚遂良中楷的知识背景、基础技法、基本临写以及创作拓展几个方面进行讲解,帮助大家掌握褚遂良中楷的书写方法,找准学习方向,从临摹走向创作。
第一节褚遂良中楷基础时间: 06月23日 19:001.褚遂良及其作品介绍2.褚遂良中楷的取法来源与风格特点3.临习褚遂良中楷的工具准备4.原大书写、一单元书写与基本笔调5.基本点画的书写方法6.经典单字(30字)赏析与示范第二节基本临写示范时间: 06月30日 19:001.常用偏旁2.常见重复字3.主次、收放与挪位4.单字内的横线与纵线5.章节临写第三节褚遂良中楷创作入门时间: 07月07日 19:001.创作工具准备2.确定作品的形式与内容3.奠定作品风格基调4.字法来源与单字处理5.章法的动态处理。
孟法师碑,褚遂良留下了哪些书法作品?褚遂良留下了哪些书法作品?褚遂良与欧阳询、虞世南、薛稷为初唐四大书法家。
他传世的书法作品,碑刻有《大唐三藏圣教序》、《伊阙佛龛记》、《孟法师碑》、《房玄龄碑》、《雁塔圣教序》等,墨迹相传有《倪宽赞》。
褚遂良有哪些生平简介?褚遂良(596~659)字伯高,浙江钱塘(今杭州)人,初唐四大书法家之一。
他出身名门贵族,唐太宗时,曾被提升为中书令,成为继魏征之后在唐代政坛上起着举足轻重作用的大臣。
高宗时曾作为尚书右仆射执掌朝政大权,晚年被贬到中国本土以外的河内西南一带,并在流放之中死去。
褚遂良是一位具有唯美气息的大师,他既是初唐楷书风格的创造者,同时也是晋人书风的继承者。
他的书法具有一种瘦硬清挺的“空灵”境界。
他刻意地处理每一笔画,每一根线条,使得笔下的线条充满生命,具有一种飞动之美。
在唐初四大书家中,褚遂良善于把虞、欧笔法融为一体,方圆兼备,波势自如,比前辈更显舒展。
代表作品有《房玄龄碑》、《孟法师碑》、《雁塔圣教序》等。
褚遂良的书法特点是什么?一、笔法的特点:1、点画。
用笔灵活多变,方圆兼施,融中锋、侧锋、露锋、藏锋等于一体。
2、钩画。
此碑钩法具六朝法度,形状多变,质朴饱满,要避免轻佻。
3、折画。
有方折和圆折两种,提按过渡、转锋换笔,须自然连贯。
4、点画。
有斜点、圆点、竖点、垂点、挑点和各种组合点。
书写时,充分表现各种点法的笔势。
斜点如高峰坠石;圆点凝重圆满;竖点多弯头取势,别具姿态;垂点有如水滴,活泼灵动;挑点气势连贯,极富行书意趣。
5、横画。
横画分为长、短两种。
长横,逆入、涩行、紧收,中段上鼓,形成弧状,有弹性;短横,切笔入纸,铺毫运行,轻收,线条凝练。
6、竖画。
竖有长短、曲直、垂悬各式,皆需挺拔劲健,力运末端。
7、提画。
提画是挑点的延长,要控制力度,不可软弱。
8、撇画。
长撇,起笔不宜过重,行笔稍按,力送撇尾;短撇,重顿起笔,棱角分明,短促有力。
9、捺画。
古意十足,尽显汉隶遗韵,由轻至重,一波三折。
褚遂良碑刻《伊阙佛龛碑》~写好楷书的15个绝密高招!1、楷书当以沉静为本。
用笔精到细腻,锋势备全,笔形到位,结字熨帖,有雍容自如之态,迹如前人所谓点画如刻入缣素,结构似天成铸就,增之不能,减之不得,故初学楷法,当缓笔以定其形势,切勿以字小而忙行笔势,亦勿以字大而慢展毫头,而是一种沉着的节奏---举止匆遽,易伤浅薄。
2、写楷书时发笔逆入时速度要快,如惊蛇之入草;逆入作点后调锋时宜慢一些,所谓“迟回不进,以成藏头护尾之势”。
3、笔与笔交换过渡时要快,所谓“过贵乎疾”;钩法要快,蹲锋得势而出,所谓“峻快以如锥”,快则力聚锋尖。
4、捺法宜抑扬顿挫,一波而三折,所谓“不徐不疾,欲卷复驻,得意徐乃出之”。
5、短撇要快,锐而且速,如鸟之啄物,所谓“仓皇而疾掩”。
6、挑法宜迟,仰笔锋,轻抬而进,所谓“贵乎迟留”。
7、长撇宜悠扬,贵险而劲,意欲婉转流畅,笔力送到而势有余韵。
8、悬针宜徐,徐则意足而态有余妍。
9、垂露宜疾,疾则力劲而笔能复逆。
10、点贵乎重,其势如高峰之坠石。
11、至于长画中间之走笔当视其情况而定,或逆势涩进,而中截略细。
毫内墨饱时用笔可略快,毫中墨少时用笔可略慢。
12、就虚实而言,按处皆实,提处皆虚,点画是实,就曲直而言,楷法妙在曲势中求直,不平中求平,或向或背,或向中有背,或背中有向,或上平而下高拱,如覆舟之状,有轻重徐疾,有疏密虚实,有曲直向背。
久而久之,一一运用纯熟,用笔就会灵动起来,而墨色亦会在灵动的笔法中产生浓淡枯润的变化。
13、在书写楷书时最忌写一个字去蘸一次墨,这样永远不会有枯笔,有飞白,有干渴之笔。
最理想的楷书用笔是画之当中浓,两边枯,不光而毛,涩中自有无穷之韵味;最理想的用墨是枯中见润,即在笔酣墨饱的情况下依靠速度和中锋、笔力和笔势拉出来的枯笔,有“干裂秋风,润含春雨”之状。
一幅楷书墨色有变化,就会大大增强它的灵动性。
14、总之书写楷书没有绝对的快慢,就风格而言,有快节奏的楷书,所谓“作真如草”,故其作楷时肘下生风,有沉着痛快之状。
启功《论书绝句》中的碑帖观启功(1912-1997)是中国现代书法大师,同时也是一位著名的散文家、画家和诗人。
他的书法作品以骨韵清澈、气韵生动、刚柔相济、虚实相间、厚重淋漓而著称,被誉为“书坛巨匠”和“书法艺术建设的重要推进者”。
同时,启功在书法领域的学术研究也相当深入,其理论著作中,关于碑帖的一些观点,可以说是独具见解、耐人寻味。
启功在《论书绝句》一文中,阐述了他对碑帖的看法,认为碑帖是中国书法文化中的重要组成部分。
他说:“古代碑刻录刻了人们推重的文字,它是汉字演变历史的重要见证。
”碑刻是历史的产物,它直接反映了当时社会的文化、政治、经济等方面的情况。
因此,通过研读碑刻,不仅可以了解古代社会的历史和文化情况,还可以深入探究汉字的演变和发展。
启功的碑帖观还包括以下几个方面:其一,碑帖是书法家学习、借鉴所需重要的素材。
启功认为,碑帖不仅是历史遗存,也是书法家创造力的催化剂。
每一件碑刻都是书法家研究、借鉴、模仿、发展的标本。
他说:“只要我们勤于游览,认真研读,就能得到必要的灵感和启示。
”因此,启功鼓励书法家们要广泛涵盖、积极收藏和细心品味碑帖,通过对碑帖的认真研习,去开拓自身的审美、创造和表现力。
其二,碑帖是书法家练习、提高书写技法的必要手段。
因为每一处碑帖都是经过千锤百炼,经受住了时间的考验才被留存下来的。
这些碑帖的字体、笔画、结构、气韵都极具特色和价值,对于学习和提高写字技能非常重要。
启功说:“每一种字体都有其独特的艺术特点和写法方法,必需学识笔者的要领和路径,加以消化吸收,才能调动自己的创造力,从而开创出自己特有的新风格。
”因此,一个优秀的书法家必定要有精通碑帖这一能力和实践基础。
其三,碑帖是书法艺术传承和弘扬的源泉。
启功认为,传承中国书法文化是每个书法家的责任和义务。
而这种传承不仅在于古代碑帖的召唤,还在于书法家们对于现代书法的创作和表现。
因此,启功提倡书法家们在碑帖研究的基础上,注重自身的创新和创造,将先贤的学问传递给当代人民,赋予新的时代含义和文化价值。
《启功论书绝句百首》:46《伊阙佛龛碑》褚遂良书
展开全文
我是一人。
启功先生的《启功论书绝句百首》,是我们当代非常优秀的书论。
此书不但有绝句百首,更是有启功先生的自注。
本文是《启功论书绝句百首》第四十六首,启老在自注中点了题。
此首主要说:《伊阙佛龛碑》褚遂良书。
【诗文】
四十六、《伊阙佛龛碑》褚遂良书
青琐婵娟褚遂良,毫端犹带绮罗香。
可怜鼓努三龛记,乍绾双鬟学霸王。
诗文一人注释:启老觉得褚遂良所写的《伊阙佛龛碑》不好,并且失去了褚遂良本身的特色。
【启功自注】
伊阙佛龛碑。
褚河南书,世称为青琐婵娟,不胜罗绮。
观于雁塔圣教序,正符所喻,亦褚书之本来面目也。
至于女道士孟法师碑,则有意求其严整,未免有矜持之态。
惟字不盈寸,引弦尚不难于中彀。
至伊阙佛龛碑,则不然矣。
【一人简说】
这一部分,启老说《伊阙佛龛碑》与褚遂良其他书法面目较远。
《伊阙佛龛碑》:亦称“褚遂良碑”。
篆额题《伊阙佛龛之碑》。
贞观十五年(公元641年)刻于河南省洛阳龙门石窟壁宾阳洞内。
由中书侍郎岑文本撰文,谏议大夫褚遂良书。
字共三十二行,满行五十一字。
计一千六百余字。
碑文主要记述唐太宗第四子魏王李泰在其母长孙皇后逝世后做功德而开凿。
伊阙佛龛碑拓片北京图书馆藏,局部如下。
清刘熙载:褚书《伊阙佛龛碑》,兼有欧、虞之胜,至《慈恩》、《圣教》拟之。
然王书虽缜密流动,终逊其逸气也。
褚河南:褚遂良(596年-659年),字登善,杭州钱塘(今浙
江杭州市)人,祖籍阳翟(今河南禹州),唐朝政治家、书法家。
雁塔圣教序:《雁塔圣教序》亦称《慈恩寺圣教序》,是书法史上著名碑刻作品,褚遂良的楷书代表作。
注意:《启功论书绝句百首》42 怀仁集王羲之书《圣教序》女道士孟法师碑:《孟法师碑》,唐岑文本撰,褚遂良书。
【启功自注】
昔日丰碑,贵在大书深刻,结字欲其充实,行毫欲其饱满,所谓擘窠书者,正贵其填足方格也。
盖行押书挑剔撩拨,便于简札,唐代之前不以入碑。
晋祠、温泉,帝王之笔,作古自我,莫之敢议也。
不宁是也,楷正之真书,于书碑者犹或嫌其未古,必搀以隶意,始觉庄严。
如北齐诸刻,文殊般若碑,泰山金刚经,呼为隶则似真,呼为真则似隶。
胥直此之由也。
河南书趣,本不适于方整,而此碑独架构求其方,笔势求其挺,于是鼎折膑绝,两败俱伤,则误追隶意,舍长就短之故耳。
【一人简说】
这一部分,启老评说,诸遂良字的特点,并称伊阙佛龛碑这样风格的字不好。
折膑绝,两败俱伤,则误追隶意,舍长就短之故耳。
这句话,应该让我们当代很多人看看。
【一人有感】
控笔能力强的书家,绝对能够写出多种风貌风格的字。
褚遂良唐朝人,当时隶书在当时日常生活还是很常用的。
而且褚遂良的水平,写楷书夹揉隶书时,启功认为这样的楷书并不如褚遂良最好的水准。
书法需要考虑取舍,尤其是写楷书的时候。
著名书家的楷书风格风貌,都是他们取舍之后而成的。
以我的知识,尽可能地客观求真。
能力有限,也有一定的取舍。
如有补充,欢迎大家一起讨论,一起进步。
我是一人,喜欢书画和艺术相关,关注我。
19年12月25日沪。