【精品】高中数学必修1经典题型总结
- 格式:doc
- 大小:262.20 KB
- 文档页数:4
高一数学题经典题型1. 集合运算题:- 已知两个集合A和B,求它们的并集A∪B、交集A∩B或差集A-B。
- 判断一个元素是否属于某个集合或集合的运算结果。
2. 函数性质题:- 已知函数f(x)的定义域和解析式,求f(x)的值域、单调性、奇偶性。
- 复合函数的运算和性质判断。
- 函数图像的平移、对称和伸缩变换。
3. 二次函数和一元二次方程题:- 二次函数y = ax² + bx + c的图像和性质分析。
- 一元二次方程ax² + bx + c = 0的根的判断和求解。
- 利用判别式Δ = b² - 4ac判断方程的根的情况。
4. 数列题:- 等差数列和等比数列的通项公式和求和公式的应用。
- 已知数列的前几项,找出数列的规律并求出后续项。
- 数列的性质证明题,如证明某个数列是等差或等比数列。
5. 三角函数题:- 基本三角函数的性质和图像分析,如正弦函数y = sin(x)、余弦函数y = cos(x)。
- 三角函数的诱导公式、和差化积公式、积化和差公式的应用。
- 解三角形问题,利用正弦定理、余弦定理求解三角形的边长或角度。
6. 不等式题:- 一元一次不等式和一元一次不等式组的求解。
- 利用数轴表示不等式的解集。
- 绝对值不等式的解法。
- 不等式的性质证明和应用题。
7. 解析几何初步题:- 直线的方程(斜截式、点斜式、两点式、截距式)及其性质。
- 圆的标准方程和一般方程,点与圆、直线与圆的位置关系。
- 距离公式和中点公式的应用。
8. 立体几何初步题:- 空间几何体的三视图和直观图的认识。
- 空间几何体的表面积和体积的计算(如棱柱、棱锥、球等)。
- 点、直线、平面之间的位置关系判断。
必修(一)题型总结-、集合的概念与表示:1. 对于集合,一定要抓住集合的代表元素,及元素的“确定性、互异性、无序性”2. 进行集合的交、并、补运算时,不要忘记集合本身和空集⑺的特殊情况注重借助于数轴和文氏图解集合问题。
3. 注意下列性质:集合9i, a2, , a n .的所有子集的个数是2n;4. 对于集合的元素是不等式的,画数轴确定两集合的关系例题:1. 满足关系{1,2} A {1,2,3,4,5}的集合的个数是( )A: 4 B: 6 C: 8 D: 92 3 :32. 以实数X , - x , |x|, x , - <x为元素所组成的集合最多含有( ) A: 2个元素B: 3个元素C: 4个元素D: 5个元素「k 1 ] f k 1 13. M=』x|x=—+ — ,k€Z],N=d x|x=—+—,k E Z 贝U ( )(A M =N (B) M N (C) N M (D) M』N4. 已知A={(x,y)|y=x 2-4x+3},B=[(x,y)|y=-x 2-2x+2}, A n B= ______________5. 某班考试中,语文、数学优秀的学生分别有30人、28人,语文、数学至少有一科优秀的学生有38人,求:(1)语文、数学都优秀的学生人数(2)仅数学成绩优秀的学生人数2 2 26.设A={x|x -ax a -19=0} , B ={x| x-5x 6 =0},且A B,求实数a 的值.二、函数的三要素(定义域、值域、对应法则) 如何比较两个函数是否相同?1. 定义域的求法:分母、开偶次方、对数(保证它们有意义)2 .值域的求法:①判断函数类型(一次、二次、反比例、指数、对数、幕函数)由函数的单调性与图像确定当x为何值时函数有最大值(最高点)和最小值(最低点) ,②对于一个没有学过的函数表达式,需要将它变成一个学过的函数来解决(换元法、图像变换法)3表达式的求法:O1已知函数类型待定系数法②已知f(x)求f(2x+1)整体代换法,已知f(2x+1)求f(x)换元法。
必修一数学题型总结必修一数学题型总结在初中阶段的数学学习中,必修一是数学的基础课程之一。
它涵盖了许多数学题型,这些题型包括代数方程、二次函数、统计与概率等内容。
掌握这些题型并熟练运用它们,对于学生进一步学习高阶数学和应用数学都具有重要意义。
在本文中,我将对必修一的数学题型进行总结和讲解。
一、代数方程代数方程是初中数学中非常常见的题型之一。
它是通过字母的代换和运算规则,利用方程的等式关系解决与数目关系相关的问题。
在必修一中,常见的代数方程包括一元一次方程、一元二次方程等。
一元一次方程是最基本的代数方程之一。
它的标准形式为ax+b=0,其中a和b是已知的实数常数,x是未知数。
解一元一次方程的方法主要有等式性质法和倒序消元法。
一元二次方程是在一元一次方程基础上的进一步发展。
它的标准形式为ax^2+bx+c=0,其中a、b和c是已知的实数常数,a≠0,x是未知数。
解一元二次方程的方法有因式分解法、配方法、二次根公式等。
二、二次函数二次函数是初中阶段非常重要的基础概念之一。
二次函数是指函数的形式为f(x)=ax^2+bx+c的函数,其中a、b和c是已知的实数常数。
二次函数的图像为抛物线。
对于二次函数的学习,必修一主要内容包括顶点坐标、对称轴、开口方向、图像的移动等。
除此之外,还包括通过函数的图像判断相关的性质,如最大值最小值、奇偶性、单调性等。
三、统计与概率统计与概率是数学必修一中非常实用的部分。
统计是指对所研究的大量数值数据进行总结、处理和分析,以便得出符合实际问题的结论或规律。
概率是指用来描述随机事件发生可能性大小的数值。
统计与概率中的常见题型包括频数表的制作、数据图的绘制、统计参数的计算、事件的概率计算等。
在统计与概率中,计算平均数是非常常见的题型之一。
平均数反映了一组数值的集中趋势,计算公式为平均数=总和÷个数。
此外,在概率的学习中,概率的计算方法包括数学定义法、频率定义法、几何定义法等。
必修一数学必考题型及答题方法全文共四篇示例,供读者参考第一篇示例:数学作为一门理科必修课程,对于学生来说是一个必考的科目。
必修一数学主要包括函数、导数、微分、积分等内容,其中考试题型也比较多样化。
在备考必修一数学考试时,掌握各种题型及答题方法是非常重要的。
本文将针对必修一数学的必考题型及相应的答题方法进行分析与总结。
1. 函数与极限函数与极限是必修一数学中一个非常重要的题型,通常考察的内容包括函数的性质、极限的计算以及极限存在性的判断。
在应对这类题型时,需要注意以下几点答题方法:- 对于函数的性质,需要掌握函数的定义域、值域、奇偶性等基本概念,并能够应用这些概念解决实际问题。
- 在计算极限时,需要掌握常见极限的计算方法,如利用洛必达法则、泰勒展开等方法,同时要注意极限存在性的判断。
- 针对极限存在性的判断,需要掌握夹逼定理、单调有界准则等方法,以判断函数在某点的极限是否存在。
2. 导数与微分导数与微分是必修一数学中另一个重点考察的内容,通常考察的内容包括导数的计算、导数的应用、微分的计算等。
在应对这类题型时,需要注意以下几点答题方法:- 计算导数时,要掌握基本函数的导数计算方法,如常数函数、幂函数、指数函数、对数函数、三角函数等的导数计算公式。
- 在导数的应用中,需要注意应用题的建模、解题过程,并掌握利用导数分析函数的单调性、凹凸性以及求取最值等问题。
- 对于微分的计算,要掌握微分的定义及微分运算规则,并能够熟练应用微分进行问题的求解。
3. 积分与定积分积分与定积分是必修一数学中另一个重要的考察内容,通常考察的内容包括积分的计算、定积分的应用、面积计算等。
在应对这类题型时,需要注意以下几点答题方法:- 对于积分的计算,要掌握不定积分的计算方法,如基本积分法、换元积分法、分部积分法等,同时要注意积分的性质和常见积分的计算结果。
- 在应用题中,要能够熟练应用定积分计算曲线下面积、旋转体的体积、物理问题中的积分应用等内容。
常见题型归类第一章集合与函数概念集合题型1 集合与元素题型2 集合的表示^题型3 空集与0题型4 子集、真子集题型5 集合运算题型已知集合,求集合运算题型已知集合运算,求集合题型已知集合运算,求参数题型6 “二维”集合运算题型6 自定义的集合函数及其表示|题型1 映射概念题型2 函数概念题型3 同一函数题型4 函数的表示题型5 已知函数解析式求值题型6 求解析式题型7 定义域题型求函数的定义域题型已知函数的定义域问题,题型8 值域题型图像法求函数的值域题型转化为二次函数,求函数的值域题型转化为反比例函数,求函数的值域题型利用有界性,求函数的值域题型单调性法求函数的值域题型判别式法求函数的值域题型几何法求函数值域题型9 已知函数值域,求系数~函数的基本性质单调性题型1 判断函数的单调区间题型2 已知函数的单调区间,求参数题型3 已知函数的单调性,比较大小题型4 已知函数的单调性,求范围函数的基本性质奇偶性题型1 判断函数的奇偶性-题型2 已知函数的奇偶性,求解析式题型3 已知函数的奇偶性,求参数题型4 已知函数的奇偶性,求值或解集等函数的图像题型1 函数图像题型2 去绝对值作函数图像题型3 利用图像变换作函数图像题型4 已知函数解析式判断图像~题型5 研究函数性质作函数图像题型6 函数图像的对称性第二章基本初等函数指数函数题型1 指数运算7题型2 指数函数概念题型3 指数函数型的定义域、值域…题型4 指数函数型恒过定点题型5 单调性题型6 奇偶性题型7 图像题型8 方程、不等式对数函数题型1 对数运算题型2 对数概念^题型3 对数函数型的定义域、值域题型4 对数函数型的恒过定点题型5 奇偶性题型5 单调性题型6 对数函数型的图像题型8 方程、不等式幂函数题型1 幂函数概念|题型2 五个重要的幂函数题型3 幂函数性质题型4 求幂函数题型5 比较大小第三章函数的应用函数与不等式&题型1 不等式恒成立、存在问题题型2 一元二次不等式函数与方程题型1 函数的零点题型2 存在性定理题型3 判断函数的零点个数题型4 二分法题型5 求函数的零点(题型6 一元二次方程根的分布函数模型应用题型1函数模型应用第一章 集合与函数概念集合题型1 集合与元素)1.下列各项中,不能组成集合的是 ( )A.所有的正整数B.等于2的数C.接近于0的数D.不等于0的偶数2.设集合M={x ∈R|x ≤3},a=2,则 ( )∉M ∈M C.{a}∈M D.{a}∉M3.给出下列关系:①12R ∈; ②2Q ∈;③ *3N ∈;④0Z ∈. 其中正确的个数是 A. 1 B. 2 C. 3 D. 4 ( ):4.由实数x,-x,|x |,332,x x -所组成的集合,最多含 ( ) 个元素 个元素 C 。
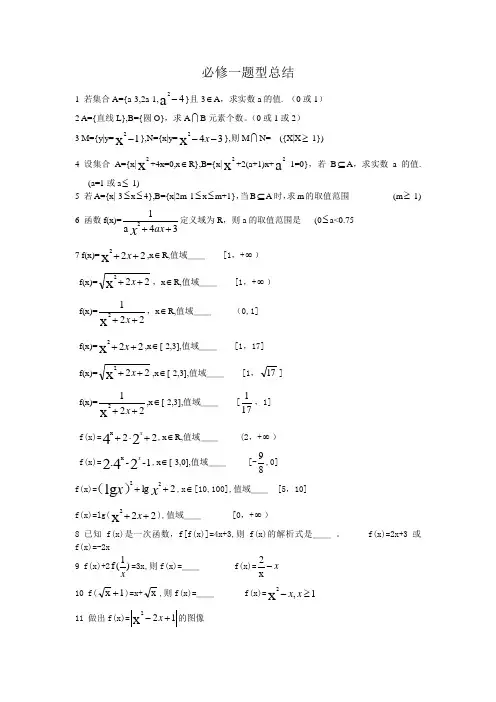
必修一题型总结1 若集合A={a-3,2a-1,4a 2-}且-3∈A ,求实数a 的值. (0或1)2 A={直线L},B={圆O},求A B 元素个数。
(0或1或2)3 M={y|y=1x 2-},N={x|y=34x 2--x },则M N= ({X|X ≥-1}) 4 设集合A={x|x 2+4x=0,x ∈R},B={x|x 2+2(a+1)x+a 2-1=0},若B ⊆A ,求实数a 的值. (a=1或a ≤-1)5 若A={x|-3≤x ≤4},B={x|2m-1≤x ≤m+1},当B ⊆A 时,求m 的取值范围(m ≥-1) 6 函数f(x)=34a 12++ax x 定义域为R ,则a 的取值范围是 (0≤a<0.757 f(x)=22x 2++x ,x ∈R,值域__ [1,+∞)f(x)=22x 2++x ,x ∈R,值域__ [1,+∞)f(x)=221x 2++x ,x ∈R,值域__ (0,1]f(x)=22x 2++x ,x ∈[-2,3],值域__ [1,17]f(x)=22x 2++x ,x ∈[-2,3],值域__ [1,17]f(x)=221x 2++x ,x ∈[-2,3],值域__ [171,1]f(x)=2224x +⋅+x ,x ∈R,值域__ (2,+∞)f(x)=1--242x x ⋅,x ∈[-3,0],值域__ [-89,0]f(x)=2lg 22lg ++x x )(,x ∈[10,100],值域__ [5,10]f(x)=lg(22x 2++x ),值域__ [0,+∞)8 已知f(x)是一次函数,f[f(x)]=4x+3,则f(x)的解析式是__ 。
f(x)=2x+3或f(x)=-2x 9 f(x)+2)1(f x =3x,则f(x)=__ f(x)=x -x 210 f(1x +)=x+x ,则f(x)=__ f(x)=1,x 2≥-x x11 做出f(x)=12x 2+-x 的图像f(x)=12x 2+-x 的图像做出f(x)=l0g 21x +的图像12 已知函数f(x)=4-x 4-x 2,x ∈[a,a+1],其函数f(x)最小值g(a)的解析式。
高中数学必修一题型总结高中数学必修一题型总结高中数学必修一题型总结第一章集合1.考查集合的特性确定性、无序性、互异性Eg.已知一集合A={2,9,5,36,X},则该集合中的X为下列选项中的哪一个()A.8B.9C.36D.5答案选A,原因就是集合特性中的互异性。
2.集合之间的基本关系子集、真子集、空集Eg.(20xx天津理数)设集合A={x||x-a|<1,x∈R},B={x||x-b|>2,x∈R}.若AB,则实数a、b必满足答案为|a-b|≥3,原因是A=(a-1,a+1)B=(-∞,b-2)∪(b+2,+∞)因为A包含于B所以a+1=b+2aⅢ.在不能约分的情况下用判别式法Eg.y=2x-2x+3/x-x+1Xy-xy+y=2x-2x+3(y-2)x+(2-y)x+y-3=0当x=2,-1≠0则y≠2B-4ac≥0代入得4-4y+y-4(y-5y+6)-3y+16y-20≥0(y-2)(3y-10)≤02≤y≤10/3又∵y≠2则y∈2,10/3]2.单调性与增减性同增异减扩展阅读:高中数学必修一函数题型方法总结这份资料是全部内容已经完成的一部分,后续资料正在编写中。
此资料是必修一函数部分的总结,希望对各位高中同学有所帮助。
部分题目给出了详细的答案,部分题目仅给出了简单思路。
部分题目仅仅是题目。
希望同学能仔细阅读给出答案的题目,总结这一类题目的思路与方法。
活学活用。
第一部分典型例题解析一、函数部分一、函数的值域:求函数值域的常用方法有(观察法、配方法、判别式、换元、分离常数法、方程法)。
1、函数y164x的值域是()。
A、[0,+∞)B、[0,4)C[0,4]D(0,4)解析:本题是指数函数与幂函数复合,我们可以直接求出各自的取值范围。
所以本题我们用直接分析法。
4x>016-4x<16;要根号有意义,16-4x0。
综上可知:016-4x<1616-4x0,4 2、若函数yf(x)的值域是12,3,则函数F(x)f(x)1f(x)的值域是()。
高中数学必修1知识点总结及题型高中数学讲义必修一第一章复知识点一:集合的概念集合是由一些能够归纳在一起的对象构成的整体,通常用大写拉丁字母A、B、C等表示。
构成集合的对象称为元素,通常用小写拉丁字母a、b、c等表示。
不含任何元素的集合称为空集,记为∅。
知识点二:集合与元素的关系如果元素a是集合A的一部分,则称a属于集合A,记作a∈A;如果a不是集合A中的元素,则称a不属于集合A,记作a∉A。
知识点三:集合的特性及分类集合元素具有唯一性、无序性和互异性。
集合可以分为有限集和无限集。
有限集包含有限个元素,无限集包含无限个元素。
知识点四:集合的表示方法集合的元素可以通过列举法和描述法来表示。
列举法是将集合的元素一一列举,并用花括号“{}”括起来表示集合的方法。
描述法是用集合所含元素的共同属性来表示集合的方法。
知识点五:集合与集合的关系子集是指集合A中的所有元素都是集合B中的元素,此时称集合A是集合B的子集,记作A⊆B。
如果A是B的子集且A不等于B,则称A是B的真子集,记作A⊂B。
空集是任何集合的子集,任何集合都是其本身的子集。
如果A是B的子集,B是C的子集,则A是C的子集。
如果A是B的真子集,B是C的真子集,则A是C的真子集。
集合相等是指A是B的子集,B是A的子集,此时称A与B相等,记作A=B。
知识点六:集合的运算交集是指两个集合中共同存在的元素构成的集合,记作A∩B。
并集是指两个集合中所有元素构成的集合,记作A∪B。
1.自然语言中,由文字、符号和图形语言组成的集合,称为集合A与B的并集。
2.交集的运算性质包括:A∩B=B∩A(交换律)A∩A=A(恒等律)A∩∅=∅(零律)A⊆B⇔A∩B=A(吸收律)3.在研究集合与集合之间的关系时,如果一个集合含有我们所研究问题中涉及的所有元素,那么就称这个集合为全集,通常记作U。
4.对于一个集合A,由全集U中除A的所有元素组成的集合称为集合A相对于全集U的补集,记作∁UA。
高中数学必修一重点题型和分析高中数学必修一,其重点题型有:
一、函数的定义与特点
1. 描述函数的定义及基本性质;
2. 对函数特点的总结分析,例如:一元函数的奇偶性、连续性等;
3. 求函数的递推公式及其解析表示。
二、一元函数的图像性质
1. 对一元函数曲线的性质进行图上表示;
2. 分析函数曲线上的关键点以及图像变化;
3. 分析函数极限性质及图样特征。
三、一元函数的分析
1. 求函数的单调性,增加减少和极值;
2. 分析函数的奇偶性、循环性、封闭性及一阶和二阶导数的性质;
3. 对函数的凹凸性和拐点进行分析;
4. 解决利用函数表达式求函数极限等问题。
四、实数的性质
1. 熟练体会和掌握实数的性质;
2. 描述实数的层次关系,包括闭包性、对称性及自反性;
3. 求解实数的基本运算,例如关系运算、交集运算等。
五、代数式和方程
1. 熟悉代数式的概念和表示,以及它与模型的关系;
2. 了解方程的定义和性质,以及解出方程的方法;
3. 掌握解一元方程及一般多项式方程的定理;
4. 理解简单应用函数方程的概念及性质。
老师所用题型均从历年考试题中抽取出来作为解析用,比较有代表意义。
题型一:集合交集并集补集的求法解析:我们首先要求出集合A和集合B。
然后在数轴上表示出A和B,和容易就求出A∩B 了。
集合A:1<x<3,集合B:x>3/2.所以所求交集3/2<x<3。
解析:求不等式的解集,此题同学求出令分子分母同时为零的在数轴上的两个点为x=-2,x=1,求不等式大于0,则解集为大于大的(1)小于小的(-2)即可。
解集(-∞,-2)∪(1,∞)。
解析:求并集我们画出数轴即可。
求集合A的补集我们需要先画出数轴,表示出集合A,然后在数轴上画出它的补集,在画出集合B,找公共部分既是交集。
第二问若集合A与集合C交集不是,则在数轴上表示出来时,两者必有公共部分,从而确定a的范围。
题型二:奇偶函数求法题型解析:确定奇偶函数前提示先看定义域,定义域关于原点对称,之后才判断是否符合奇偶函数定义,f(-x)=f(x)为偶,f(-x)=-f(x)为奇函数。
从定义域判断,发现定义域都关于原点对称,所以下一步我们要用定义法判断,A是奇函数,C是偶函数,D是偶函数。
只有B答案非奇非偶函数。
解析:奇函数满足f(-x)=-f(x),所以此题最简算法:f(-2)=-f(2),我们直接计算出f(2)就能得出所求。
将x=2带入已知函数得f(2)=10-b,此时b为未知数,怎么办?这时我们要熟知奇函数另外一个性质,如果奇函数在原点处有定义f(0)=0,已知函数得b=1.f (2)=10-1=9,f(-2)=-f(2)=-9.题型三:过定点的函数类型题解析:首先我们确定指数函数过定点(0,1),令x-1=0,则x=1,此时f(x)=3.这个函数恒过定点(1,3),如果给出的复合函数中包括对数函数呢,对数函数恒过定点(1,0)。
题型四:求定义域值域类型题解析:此题求定义域,要满足对数函数有意即真数x大于0,同时要保证整个根号有意义,即根号下式子大于或等于0,解出x范围取交集。
高一数学必修一常考知识题型及解题思路总结制卷入:王众冠1、集合常考知识交集(取两个集合相同的部分且重复的取一次)、并集(取两个集合的所有元素且相同的取一次)、补集以及理解端点的取舍,能知道任意一个集合的子集个数设集合A={1,2,3},则集合A中子集个数为(2n)个;真子集个数(2n−1)个;非空子集(2n−1);非空真子集(2n−2);其中n代表集合中的元素个数题型一:解题步骤<1>必须掌握用数轴来表示各个集合间的关系<2>关键是在数轴上能表示满足A∩C≠∅或者A∩C=∅的情况<3>理解常数a能否取得等于号1、已知集合A={x|2≤x<7},B={x|3<x<10},C={x|x<a}.(1)求A∪B,(∁R A)∩B;(2)若A∩C≠∅,求a的取值范围.2、函数常考知识的分函数的定义域、单调性、奇偶性、最值、值域。
求定义域掌握几个规则:遇见形如cx+dax+b数形式,一律使(ax+b≠0)分母不等零;含偶次根式的一律使根式里的数大于等于零,如:√ax+b直接令ax+b≥0,直接令ax+b>0;遇到对数直接令对数的真数大于零,√ax+b如:log a(x+3)直接令x+3>0.指数运算公式:a r a s=a r+s, (a r)s=a rs,(ab)r=a r a s,a0=1,(a>0且a≠1,r,s∈Q)指数函数性质:形如f(x)=a x(a>0且a≠1)<1>所有指数函数都经过(0,1)<2>所有指数函数的y值都大于0,即值域y∈(0,+∞),定义域x∈R<3>当指数函数中的0<a<1时,指数函数是减函数;当指数函数中的a>1时,指数函数是增函数。
对数运算公式:log a MN=log a M+log a N,=log a M−log a N,log a MNlog a b,log a m b n=nmlog a b=log c b(换底公式),log c alog a1=0,log a a=1(a>0且a≠1,c>0且c≠1,M,N,m,n>0)对数函数性质:形如f(x)=log a x (a>0且a≠1,x>0)<1>所有的对数函数经过(1,0)<2>所有对数函数必须满足定义域x∈(0,+∞),值域y∈R<3> 当对数函数中0<a<1时,对数函数是减函数;当对数函数中的a>1时,对数函数是增函数。
第一章集合一、集合有关概念1. 集合的中元素的三个特性:(1) 元素的确定性•如:世界上最高的山(2) 元素的互异性•如:由HAPPY的字母组成的集合H,A, P,丫⑶元素的无序性•如:a,b,c和a,c,b是表示同一个集合2. 常用数集的表示:非负整数集(自然数集):N ;正整数集N或N ;整数集:Z ;有理数集:Q 实数集:R3. 集合的分类:(1) 有限集:含有有限个元素的集合(2) 无限集:含有无限个元素的集合⑶空集:不含任何元素的集合,记作:.例:x|x25二、集合间的基本关系1. “包含”关系一一子集注意:A B有两种可能:① A是B的一部分;② A与B是同一集合.反之:集合A不包含于集合B ,或集合B不包含集合A,记作A B或B A2•“相等”关系:A B ( A B且B A)实例:设A x | x2 1 0 , B 1, 1 “兀素相同则两集合相等”3.集合的性质:①任何一个集合是它本身的子集即A A.C②真子集:如果A B,且A B那就说集合A是集合B的真子集,记作A芒B或(B A)③如果A B, B C ,那么A C .④如果A B同时B A那么A B .4.子集个数问题规定:空集是任何集合的子集,空集是任何非空集合的真子集1个真子集.有n个元素的集合,含有2n个子集,2n四、典型例题:1.下列四组对象,能构成集合的是( )A某班所有高个子的学生B著名的艺术家C一切很大的书D倒数等于它自身的实数2. 集合a,b,c的真子集共有_______ 个3. 若集合M y | y x2 2x 1, x R , N x| x 0 ,则M与N的关系是.4. 设集合A x|1 x 2,A x|x a,若A B,则a的取值范围是_—5. 已知集合A x | x22x 8 0 , B x | x25x 6 0 , C x | x2mx m219 0 ,若B C,求m的值.第二章函数、函数的相关概念1 函数的对应形式:一对一、多对一.2 •定义域:能使函数式—X的集合称为函数的定义域.常见定义域类型:①分母0;②偶次方根的被开方数0 ;对数式的真数N 0 ;④指数、对数式的底a 0且a 1 :⑤x0中x 0. 相同函数的判断方法:①表达式相同(与表示自变量和函数值的字母无关) ;②定义域一致(两点必须同时具备)3. 值域:先考虑其定义域(1)观察法⑵配方法(3) 代换法4. 函数图象变换规律:①平移变换:左________ ;②翻折变换: f (x) _______ 去左留右、右翻左f(x)f (x)________ 去下留上、下翻上I f (x)二、函数的性质I. 函数的单调性(局部性质)I•增函数:x1, x2 D 且%x2,都有f(xj f (x2)减函数:x1, x2D且x x2,都有f(xj f (x2)II. 图象的特点增函数:图象从左到右是上升的;减函数:图象从左到右是下降的.III. 函数单调区间与单调性的判定方法A.定义法:(证明步骤:取值、作差、变形、定号、下结论)B .图象法:从图象上看升降C .复合函数的单调性规律:“同增异减”2•函数的奇偶性(整体性质)I. 用定义判断函数奇偶性的步骤:①首先确定函数的定义域,并判断其是否关于原点对称;0确定f (x)与f ( x)的关系;◎作出相应结论:若为奇函数,则有f( x) f (x)或f (x) f( x) 0 ;若为偶函数,则有f( x) f (x)或f (x) f( x) 0II. 函数图象的特征奇函数:图象关于原点对称;偶函数:图象关于y轴对称.3.函数解析式主要方法有:①凑配法;②待定系数法;③换元法;④消参法三、典型习题:1. 已知函数f(x)满足2f(x) f( x) 3x 4,贝U f (x) = ________ . _____2. 设函数f (x)的定义域为[0, 1],则函数f (x2)的定义域为_________________ ;若函数f(x 1)的定义域为[2, 3],则函数f(2x 1)的定义域是3. 设f(M是R上的奇函数,且当x [0,)时,f(x) x(1 3 x),则当x ( ,0)时f(x)= __________________ f(x)在R上的解析式为____________________________8. 求下列函数的单调区间: ⑴ y―2x~3( 2) y x 2 6 x 129. 设函数 仁口 匚二判断它的奇偶性并且求证:f(1) f (x ).1 x 2第三章基本初等函数「、指数函数(一)指数与指数幕的运算1 •根式的概念: 一般地,如果x n a ,那么x 叫做a 的n 次方根,其中n >1,且n € N • 负数没有偶次方根;0的任何次方根都是 0,记作n 0 0.na na (n 为奇数);na n|a|a (a0)(n 为偶数) a (a0)2 •分数指数幕正数的分数指数幕的意义,规定:ma n va m(a 0, m,n N *, n 1), am齐1n 1 *——(a 0,m,n N ,n 1) ma na0的正分数指数幕等于 0, 0的负分数指数幕没有意义 3•实数指数幕的运算性质rrr sr srsrr s① a r • a r a r s ;②(a )a ;③(ab ) a a(二)指数函数及其性质 1. 指数函数:形如 y a x (a 0,且a 1)叫做指数函数2. 指数函数的图象和性质x 2(x4.函数2f (x) x ( 1 x 2x(x 2)5.求下列函数的定义域: 1)2)-H-,若 f(x) 3,则 x =⑴ x 2 2x 15⑴y⑵ y 、1(x 1)26.求下列函数的值域: (1) y x 2 2x 34x 57.已知函数f (x 1)x 2 4x ,求函数f (x>, f (2x 1)的解析式.二、对数函数 (一)对数1 •对数的概念:一般地,如果 a x N (a 0,a 1),那么数x 叫做以a 为底N 的对数, 记作:x log a N ( a —底数,N —真数,log a N —对数式) 说明:①注意底数的限制a 0,且a 1 ;g a x N log a N x ;◎注意对数的书写格式. log a_N-i两个重要对数:............① 常用对数:以10为底的对数IgN ;② 自然对数:以无理数 e 2.71828 为底的对数的对数In N .指数式与对数式的互化幂值 真数=N log a N = b底数如果a 0,且a 1 , M 0, N 0,那么: ◎ Iog a (M • N) log a M + log a N ; ② lOg a M log a M - log a N ;N◎ log a M n n log a M (n R).注意:换底公式log c blog a b c( a 0 ,且 a 1 ; c 0,且 c 1 ; b 0). log c a利用换底公式推导下面的结论(1)log a m b n— log a b ; ( 2) log a b 1 m log b a(二)对数函数1.对数函数:形如 y log a x(a 0,且a 1)叫做对数函数,其中 x R . 注意:y 2log 2x , y lo ^x 都不是对数函数,而只能称其为对数型函数.552. 对数函数的图象和性质:指数2.对数的运算性质对数定点(1, 0)(三)幕函数1. 幕函数:形如y x (a R )的函数称为幕函数,其中 为常数.2. 幕函数性质归纳I. 所有的幕函数图象都不经过第四象限,但都过点( 1,1);II.0时,幕函数的图象通过原点,并且在区间 [0,)上是增函数;特别地:①当1时,幕函数的图象下凸,概括为“高高昂起”②当0 1时,幕函数的图象上凸,概括为“匍匐前进”;III.0时,幕函数的图象在区间 (0,)上是减函数.四、典型习题1.已知a 12.计算:① log32;② 24|og 23= ________ ; 253叭27 2log 52=;log 27 64③0.0643( 7)0[( 2)3]; 16 0.75 0.01;= ---------------83. 函数 f(x) a" 5x6 ___________________________ 2(a 0且a 1)过定点 ;函数f(x) = log a (2x + 1) - 2恒过定点 _______________ ; 函数 f(x) log a (x 2 2x 2)5(a0且a 1)过定点 ___________________ .4. 函数y log 1 (2x 2 3x 1)的递减区间为 _____________ .25. 若函数f(x) log a x(0 a 1)在区间[a 2a ]上的最大值是最小值的3倍,则a6. 已知 f(x) log a 1_ (a 0且a 1),求:1 x(1) f (x>的定义域;(2)判断f(x)的奇偶性;(3)求使f(x) 0的x 的取值范围. 7. 画出下列函数图象 (2) f(x) = |log 3x|(1, 0)(1) f(x) = ln|x|0且a 1,函数ya x 与y log a ( x )的图象只能(W ⑻(C)(D ]8. 已知函数f(x) = log a(x2 - 2x - 3) (a> 0且a工1),讨论f(x)的单调性9. 求函数f(x) ln( x2 4x 3)的值域.。
精心整理高一数学必修1各章知识点总结第一章集合与函数概念一、集合有关概念1.集合的含义2.集合的中元素的三个特性:(1)元素的确定性如:世界上最高的山(2)元素的互异性如:由HAPPY的字母组成的集合{H,A,P,Y}(3)元素的无序性:如:{a,b,c}和{a,c,b}是表示同一个集合总结:元素的互异性是参考点,常常在求出值的时候必须代回集合察看是否满足该集合中元素是否有重复现象,从而决定值的取舍。
元素与集合之间的关系:属于--不属于--常有集合NZRQ加星号或者+号表示对应集合的正的集合3.集合的表示:{…}如:{我校的篮球队员},{太平洋,大西洋,印度洋,北冰洋}(1)用拉丁字母表示集合:A={我校的篮球队员},B={1,2,3,4,5}(2)集合的表示方法:列举法与描述法。
注意:常用数集及其记法:非负整数集(即自然数集)记作:N正整数集N*或N+整数集Z有理数集Q实数集R1)列举法:{a,b,c……}2)描述法:将集合中的元素的公共属性描述出来,写在大括号内表示集合的方法。
{x?R|x-3>2},{x|x-3>2}3)语言描述法:例:{不是直角三角形的三角形}4)Venn图:通常元素是很具体的值的时候,或者在考察抽象集合之间的关系的时候,我们常常考虑用venn图来表示。
4、集合的分类:(1)有限集含有有限个元素的集合(2)无限集含有无限个元素的集合(3)空集不含任何元素的集合,空集在集合这个章节中非常重要,特别是在集合之间的关系的题中经常出现,很容易考虑掉空集。
例:{x|x2=-5}二、集合间的基本关系1.“包含”关系—子集注意:BA⊆有两种可能(1)A是B的一部分,;(2)A与B是同一集合。
反之:集合A不包含于集合B,或集合B不包含集合A,记作A⊆/B或B⊇/A2.“相等”关系:A=B(5≥5,且5≤5,则5=5)实例:设A={x|x2-1=0}B={-1,1}“元素相同则两集合相等”即:①任何一个集合是它本身的子集。
高中数学必修一(理科)高频考点、常考题型及易错题型专题1 集合【高考命题趋势、难易度及分值分布】主要以考查集合相关概念和计算为主,侧重考查两个集合的交、并、补运算;一般为选择题和填空题,占5分,难度较低。
【必会高频考点】一、元素的3大特性(互异性)、元素与集合的2种关系、集合与集合的3种关系、集合与集合的3种运算 二、6大经典结论 (一)子集个数若集合A 有(1)n n ≥个元素,则它有2n个子集,21n-个真子集,21n-个非空子集,22n-非空真子集. (二)6个等价关系(注意不要忽略A 为空集的情况)A ∩B =A ⇔A ∪B =B ⇔A ⊆B ⇔∁U A ⊇∁U B ⇔A ∩(∁U B)=∅⇔∁U (AUB)=R (三)5个与空集有关的结论1.B A ⊆包含分A=Ø和A ≠Ø两种情况,A ≠Ø又分A=B 和A ≠⊂B 两种情况.当题目中出现A ⊆B 或A ∩B =A 或A ∪B =B 时,在解题过程中务必注意对集合A 进行分类讨论,即分A=Ø和A ≠Ø两种情况进行讨论.2.A ∅⊆,A≠∅⊂(A ≠Ø)3.若A ∩B =∅,则A 或B 可能是∅或A 与B 均不为∅但无公共元素;若A ∪B =A ,则B 可能是∅.4.Ø 与{Ø}的区别:前者代表空集,后者代表一个集合,这个集合的元素的空集,属于集中集. Ø∈{Ø}、Ø⊆{Ø}均正确.φ只有一个子集,就是它本身.5.5种空集的情况A={x |ax+b=0}=Ø⇔a=0,b ≠0 A={x |ax 2+bx+c=0,a ≠0}=Ø⇔b 2-4ac<0 A={x |m<x<n}=Ø⇔m ≥nA={x |ax+b>0}=Ø⇔a=0,b ≤0 A={x |ax 2+bx+c>0,a ≠0}=Ø⇔a<0,b 2-4ac ≤0 (四)如何读懂集合?先分区是数集,还是点集。
(直打版)高中数学必修一常考题型总结(word版可编辑修改)编辑整理:尊敬的读者朋友们:这里是精品文档编辑中心,本文档内容是由我和我的同事精心编辑整理后发布的,发布之前我们对文中内容进行仔细校对,但是难免会有疏漏的地方,但是任然希望((直打版)高中数学必修一常考题型总结(word版可编辑修改))的内容能够给您的工作和学习带来便利。
同时也真诚的希望收到您的建议和反馈,这将是我们进步的源泉,前进的动力。
本文可编辑可修改,如果觉得对您有帮助请收藏以便随时查阅,最后祝您生活愉快业绩进步,以下为(直打版)高中数学必修一常考题型总结(word版可编辑修改)的全部内容。
必修一常考题型总结Part1 基本概念1.设函数,则的表达式是( B )()23,(2)()f x x g x f x =++=()g x A . B . C . D .21x +21x -23x -27x +2.已知函数定义域是,则的定义域是( A )y f x =+()1[]-23,y f x =-()21A . B. C. D 。
[]052,[]-14,[]-55,[]-37,3.已知函数为偶函数,则的值是( B ))127()2()1()(22+-+-+-=m m x m x m x f m A. B. C. D 。
12344.若偶函数在上是增函数,则下列关系式中成立的是( D ))(x f (]1,-∞-A . B .)2()1()23(f f f <-<-)2(23()1(f f f <-<-C . D .)23()1()2(-<-<f f f )1()23()2(-<-<f f f 5.已知函数在区间上是减函数,则实数的取值范围是( ()()2212f x x a x =+-+(]4,∞-a A ) A . B . C . D .3a ≤-3a ≥-5a ≤3a ≥6.已知其中为常数,若,则的值等于( D )3()4f x ax bx =+-,a b (2)2f -=(2)f A . B . C . D .2-4-6-10-7.已知,{}R x x x y y M ∈+-==,34|2{}R x x x y y N ∈++-==,82|2则.___[1,9]_______M N =- 8.已知定义在上的奇函数,当时,,那么时, R ()f x 0x >2()1f x x x =-+-0x <。
高一数学必修一常考知识题型及解题思路总结制卷入:王众冠1、集合常考知识交集(取两个集合相同的部分且重复的取一次)、并集(取两个集合的所有元素且相同的取一次)、补集以及理解端点的取舍,能知道任意一个集合的子集个数设集合A={1,2,3},则集合A中子集个数为(2n)个;真子集个数(2n−1)个;非空子集(2n−1);非空真子集(2n−2);其中n代表集合中的元素个数题型一:解题步骤<1>必须掌握用数轴来表示各个集合间的关系<2>关键是在数轴上能表示满足A∩C≠∅或者A∩C=∅的情况<3>理解常数a能否取得等于号1、已知集合A={x|2≤x<7},B={x|3<x<10},C={x|x<a}.(1)求A∪B,(∁R A)∩B;(2)若A∩C≠∅,求a的取值范围.2、函数常考知识的分函数的定义域、单调性、奇偶性、最值、值域。
求定义域掌握几个规则:遇见形如cx+dax+b数形式,一律使(ax+b≠0)分母不等零;含偶次根式的一律使根式里的数大于等于零,如:√ax+b直接令ax+b≥0,直接令ax+b>0;遇到对数直接令对数的真数大于零,√ax+b如:log a(x+3)直接令x+3>0.指数运算公式:a r a s=a r+s, (a r)s=a rs,(ab)r=a r a s,a0=1,(a>0且a≠1,r,s∈Q)指数函数性质:形如f(x)=a x(a>0且a≠1)<1>所有指数函数都经过(0,1)<2>所有指数函数的y值都大于0,即值域y∈(0,+∞),定义域x∈R<3>当指数函数中的0<a<1时,指数函数是减函数;当指数函数中的a>1时,指数函数是增函数。
对数运算公式:log a MN=log a M+log a N,=log a M−log a N,log a MNlog a b,log a m b n=nmlog a b=log c b(换底公式),log c alog a1=0,log a a=1(a>0且a≠1,c>0且c≠1,M,N,m,n>0)对数函数性质:形如f(x)=log a x (a>0且a≠1,x>0)<1>所有的对数函数经过(1,0)<2>所有对数函数必须满足定义域x∈(0,+∞),值域y∈R<3> 当对数函数中0<a<1时,对数函数是减函数;当对数函数中的a>1时,对数函数是增函数。
1.集合基本运算,数轴应用
已知全集,{|0},{|1}U R A x x B x x ==≤=≥,则集合()U C A B =
A .{|0}x x ≥
B .{|1}x x ≤
C .{|01}x x ≤≤
D .{|01}x x <<
2.集合基本运算,二次函数应用
已知集合{}
{}22|,032|2<≤-=≥--=x x B x x x A ,则=B A ( ) A .]1,2[-- B . )2,1[- C..]1,1[- D .)2,1[
3.集合基本运算,绝对值运算,指数运算
设集合{}{}
]2,0[,2|,2|1||∈==<-=x y y B x x A x ,则=B A ( ) A.]2,0[ B. )3,1( C. )3,1[ D. )4,1(
4.集合基本性质,分类讨论法
已知集合A= {}
22,25,12a a a -+,且-3 ∈A ,求a 的值
5.集合基本性质,数组,子集数量公式n 2
.集合A={(x,y)|2x+y=5,x ∈N,y ∈N },则A 的非空真子集的个数为( )
A 4 B 5 C 6 D 7
6.集合基本性质,空集意识
已知集合A={x|2a-1≤x≤a+2},集合B={x|1≤x≤5},若A∩B=A,求实数a 的取值范围.
7.函数解析式,定义域,换元法,复合函数,单调性,根式和二次函数应用,数形结合法 已知x x x f 2)1(+=+,定义域为:x>0
(1)求f(x)的解析式,定义域及单调递增区间
(2)求(-1)f x 解析式,定义域及最小值
8.函数基本性质,整体思想,解方程组 设1()满足2()()2,f x f x f x x
-=求)(x f
9.函数基本性质,一次函数,多层函数,对应系数法 若f [ f (x )]=2x +3,求一次函数f (x )的解析式
10.不等式计算,穿针引线法
(1-x)(21)0(1)x x x +≥- 求x 取值范围
11.函数值域,反表示法,判别式法,二次函数应用,换元法,不等式法 求函数2241x y x +=-的值域 求函数2122
x y x x +=++的值域
求函数x x y 41332-+-=的值域 93(0)4y x x x =+>
12.函数值域,分类讨论,分段函数,数形结合,数轴应用 若函数a x x x f +++=21)(的最小值为3,则实数a 的值为
(A )5或8 (B )1-或5 (C )1-或4- (D )4-或8
13.函数单调性,对数函数性质,复合函数单调性(同增异减) 函数212
()log (4)f x x =-的单调递增区间为
A.(0,)+∞
B.(-∞,0)
C.(2,)+∞
D.(-∞,2)-
下列函数中,在区间(0,)+∞上为增函数的是( )
.A y 2.(1)B y x =- .2x C y -= 0.5.log (1)D y x =+
14.函数单调性,数形结合,二次函数应用
如果函数2)1(2)(2
+-+=x a x x f 在区间]4,(-∞上是减函数,则a 的取值范围是______
15.函数奇偶性,整体思想
设函数()f x ,()g x 的定义域都为R ,且()f x 是奇函数,()g x 是偶函数,则下列结论正确的是 A .()f x ()g x 是偶函数 B .|()f x |()g x 是奇函数
C .()f x |()g x |是奇函数
D .|()f x ()g x |是奇函数
16.函数奇偶性,单调性,特殊函数法,数形结合
已知偶函数()f x 在[)0,+∞单调递减,()20f =.
若()10f x ->,则x 的取值范围是
__________. 已知偶函数)(x f 在()0,∞-上为减函数,比较)5(-f ,)1(f ,)3(f 的大小。
17.函数奇偶性
已知y=f(x)为奇函数,当x>0时,f(x) =(1-x)x, f(-2)=
当x<0时,f(x)的解析式为__________.
f(x)=(m -1)x 2+2mx +3是偶函数,f(-2)=
18.指数函数,对数函数
已知,lg ,24a x a ==则x =________.
19.根式
4的平方根是 4的算术平方根是 =
的平方根是
20.指数函数基本运算
a = 31
63)278(--b a = ()3
263425.0031
323228765.1⎪⎭⎫ ⎝⎛--⨯+⨯+⎪⎭⎫ ⎝⎛-⨯- 21.对数函数基本运算,换底公式
计算: ⑴27log 9,⑵81log 43(3)5log 25,
(4)0.4
log 1, (5)752log (4*2), (6)lg 5100 已知5log N =3,5log a =2 ,则log a N =
22.对数函数,定义域 函数1)(log 1)(22-=
x x f 的定义域为
函数)ln()(2x x x f -=的定义域为 )1,0( B. ]1,0[ C. ),1()0,(+∞-∞ D. ),1[]0,(+∞-∞
23.函数的应用,零点,函数图像
若函数)(x f y =在区间[],a b 上的图象为连续不断的一条曲线,则下列说法正确的是
A .若0)()(>b f a f ,不存在实数),(b a c ∈使得0)(=c f ;
B .若0)()(<b f a f ,存在且只存在一个实数),(b a c ∈使得0)(=c f ;
C .若0)()(>b f a f ,有可能存在实数),(b a c ∈使得0)(=c f ;
D .若0)()(<b f a f ,有可能不存在实数),(b a c ∈使得0)(=c f ;
如下图所示,点P在边长为1的正方形的边上运动,设M 是CD 边的中点,则当点P沿着A —B —C —M 运动时,以点P经过的路程x 为自变量,三角形APM 的面积函数的图象形状大致是( )。