华南理工大学_高等数学B下随堂练习参考答案
- 格式:doc
- 大小:3.10 MB
- 文档页数:57
答案整理6.1:√√ D √ D6.2:√ D B B DA B A D C6.3: D6.4:√√√6.5: B C C7.1: A C7.2: D D7.3:√×√ C8.1: D D B D8.2: B A B C BA A ×√√√8.3: A B √√×× D8.4: C D B D8.5: C A8.6:×√ D B A9.1:×√√√××× × C9.2: C A D A CB C C B DB ACD B√√ B9.3: C A9.4: A B9.5: A D9.6: B C9.7: D D C10.1:√× A B10.2:B ×√10.3:B D10.4:×√×√√B第6章常微分方程6.1常微分方程的基本概念1.(判断题)参考答案:√2.(判断题)参考答案:√3.(单选题)参考答案:D4.(判断题)参考答案:√5.(单选题)参考答案:D6.2一阶微分方程1.(判断题)参考答案:√2.(单选题)参考答案:D3.(单选题)参考答案:B4.(单选题) 参考答案:B5.(单选题) 参考答案:D6.(单选题) 参考答案:A7.(单选题) 参考答案:B8.(单选题) 参考答案:A9.(单选题) 参考答案:D10.(单选题)参考答案:C6.3 可降阶的二阶微分方程1.(单选题)参考答案:D6.4 二阶线性微分方程解的结构1.(判断题)参考答案:√2.(判断题)参考答案:√3.(判断题)参考答案:√6.5 二阶常系数线性微分方程的求解1.(单选题)参考答案:B2.(单选题)参考答案:C3.(单选题)参考答案:C第7章向量代数与空间解析几何7.1向量及其线性运算1.(单选题)参考答案:A2.(单选题)参考答案:C7.2空间的平面与直线1.(单选题)参考答案:D2.(单选题)参考答案:D7.3 常见的空间曲面1.(判断题)参考答案:√2.(判断题)参考答案:×3.(判断题)参考答案:√4.(单选题)参考答案:C第8章多元函数微分学8.1多元函数的基本概念。
华师10秋学期《高等数学(理工)》在线作业单选题(共 50 道试题,共 100 分。
)得分:01. 正确答案:D2. 正确答案:A3. 正确答案:C4. 正确答案:C5. 正确答案:D6. 下列有跳跃间断点x=0的函数为A. xarctan1/xB. arctan1/xC. tan1/xD. cos1/x正确答案:B7. 正确答案:D8. 正确答案:D9. 正确答案:B10. 正确答案:C11. 正确答案:D12. 正确答案:C13. 正确答案:B14. 正确答案:A15. 若函数f(x在(a,b)内存在原函数,则原函数有A. 一个B. 两个C. 无穷多个D. 都不对正确答案:C16. 设直线y=x+a与曲线y=2arctanx相切,则a=A. ±1B. ±л/2C. ±(л/2+1D. ±(л/2-1正确答案:D17. f(af(b <0是在[a,b]上连续的函f(x数在(a,b)内取零值的A. 充分条件B. 必要条件C. 充要条件D. 无关条件正确答案:A18. 函数f(x=tanx能取最小最大值的区间是下列区间中的A. [0,л]B. (0,л)C. [-л/4,л/4]D. (-л/4,л/4)正确答案:C19. 设yf(x= ㏑(1+X,y=f[f(x],则y’|x=0=A. 0B. 1/ ㏑2C. 1D. ㏑2正确答案:C20. 正确答案:A21. 正确答案:A22. 正确答案:A23. 正确答案:B24. 正确答案:A25. f(x在点x=x0处有定义是f(x在x=x0处连续的A. 必要条件B. 充分条件C. 充分必要条件D. 无关条件正确答案:A26. 正确答案:A27. 函数f(x在点x0连续是函数f(x在x0可微的A. 充分条件B. 必要条件C. 充要条件D. 无关条件正确答案:B28. 正确答案:C29. 数列有界是数列收敛的A. 充分条件B. 必要条件C. 充要条件D. 既非充分也非必要正确答案:B30. 正确答案:B31. 在闭区间[a ,b]上连续是函数f(x有界的A. 充分条件B. 必要条件C. 充要条件D. 无关条件正确答案:A32. 正确答案:A33. 正确答案:A34. 设f(x为可导的奇函数,且f`(x0=a,则f`(-x0=B. -aC. |a|D. 0正确答案:A35. 正确答案:A36. 正确答案:C37. 方程=0所表示的图形为A. 原点(0,0,0)B. 三坐标轴C. 三坐标轴D. 曲面,但不可能为平面正确答案:C38. 正确答案:D39. 函数f(x=|x|在x=0的微分是A. 0B. -dxC. dxD. 不存在正确答案:D40. 正确答案:A41. 设曲面方程(P,Q)则用下列平面去截曲面,截线为抛物线的平面是A. Z=4B. Z=0C. Z=-2D. x=2正确答案:D42. 若函数f(x=xsin|x|,则A. f``(0不存在B. f``(0=0C. f``(0 =∞D. f``(0= л正确答案:A43. 正确答案:C44. 正确答案:C45. 若函数f(x在[0, +∞]内可导,且f`(x >0,xf(0 <0则f(x在[0,+ ∞]内有A. 唯一的零点B. 至少存在有一个零点C. 没有零点D. 不能确定有无零点正确答案:D46. 正确答案:B47. 正确答案:C48. 正确答案:B49. 正确答案:C50. 正确答案:C华中师范大学网络教育学院《高等数学》练习测试题库一.选择题1.函数y=是()A.偶函数B.奇函数 C 单调函数 D 无界函数2.设f(sin=cosx+1,则f(x为()A 2x-2B 2-2xC 1+xD 1-x3.下列数列为单调递增数列的有()A.0.9 ,0.99,0.999,0.9999 B.,,,C.{f(n},其中f(n= D. {}4.数列有界是数列收敛的()A.充分条件 B. 必要条件C.充要条件 D 既非充分也非必要5.下列命题正确的是()A.发散数列必无界 B.两无界数列之和必无界C.两发散数列之和必发散 D.两收敛数列之和必收敛6.()A.1B.0C.2D.1/27.设e则k=(A.1B.2C.6D.1/68.当x1时,下列与无穷小(x-1)等价的无穷小是()A.x-1B. x-1C.(x-1D.sin(x-19.f(x在点x=x0处有定义是f(x在x=x0处连续的()A.必要条件B.充分条件C.充分必要条件D.无关条件10、当|x|<1时,y= ()A、是连续的B、无界函数C、有最大值与最小值D、无最小值11、设函数f(x)=(1-x)cotx要使f(x)在点:x=0连续,则应补充定义f(0)为()A、B、e C、-e D、-e-112、下列有跳跃间断点x=0的函数为()A、 xarctan1/xB、arctan1/xC、tan1/xD、cos1/x13、设f(x在点x0连续,g(x在点x0不连续,则下列结论成立是()A、f(x+g(x在点x0 必不连续B、f(x×g(x在点x0必不连续须有C、复合函数f[g(x]在点x0必不连续D、在点x0必不连续14、设f(x= 在区间(- ∞,+ ∞上连续,且f(x=0,则a,b满足()A、a>0,b>0B、a>0,b<0C、a<0,b>0D、a<0,b<015、若函数f(x在点x0连续,则下列复合函数在x0也连续的有()A、 B、C、tan[f(x]D、f[f(x]16、函数f(x=tanx能取最小最大值的区间是下列区间中的()A、[0,л]B、(0,л)C、[-л/4,л/4]D、(-л/4,л/4)17、在闭区间[a ,b]上连续是函数f(x有界的()A、充分条件B、必要条件C、充要条件D、无关条件18、f(af(b <0是在[a,b]上连续的函f(x数在(a,b)内取零值的()A、充分条件B、必要条件C、充要条件D、无关条件19、下列函数中能在区间(0,1内取零值的有()A、f(x=x+1B、f(x=x-1C、f(x=x2-1D、f(x=5x4-4x+120、曲线y=x2在x=1处的切线斜率为()A、k=0B、k=1C、k=2D、-1/221、若直线y=x与对数曲线y=log x相切,则()A、eB、1/eC、exD、e1/e22、曲线y=lnx平行于直线x-y+1=0的法线方程是()A、x-y-1=0B、x-y+3e-2=0C、x-y-3e-2=0D、-x-y+3e-2=023、设直线y=x+a与曲线y=2arctanx相切,则a=()A、±1B、±л/2C、±(л/2+1D、±(л/2-124、设f(x为可导的奇函数,且f`(x0=a,则f`(-x0=()A、aB、-aC、|a|D、025、设y=㏑,则y’|x=0=()A、-1/2B、1/2C、-1D、026、设y=(cossinx,则y’|x=0=()A、-1B、0C、1D、不存在27、设yf(x= ㏑(1+X,y=f[f(x],则y’|x=0=()A、0B、1/ ㏑2C、1D、㏑228、已知y=sinx,则y(10=()A、sinxB、cosxC、-sinxD、-cosx29、已知y=x㏑x,则y(10=()A、-1/x9B、1/ x9C、8.1/x9D、 -8.1/x930、若函数f(x=xsin|x|,则()A、f``(0不存在B、f``(0=0C、f``(0 =∞D、 f``(0= л31、设函数y=yf(x在[0,л]内由方程x+cos(x+y=0所确定,则|dy/dx|x=0=()A、-1B、0C、л/2D、 232、圆x2cosθ,y=2sinθ上相应于θ=л/4处的切线斜率,K=()A、-1B、0C、1D、 233、函数f(x在点x0连续是函数f(x在x0可微的()A、充分条件B、必要条件C、充要条件D、无关条件34、函数f(x在点x0可导是函数f(x在x0可微的()A、充分条件B、必要条件C、充要条件D、无关条件35、函数f(x=|x|在x=0的微分是()A、0B、-dxC、dxD、不存在36、极限的未定式类型是()A、0/0型B、∞/∞型C、∞ -∞D、∞型37、极限的未定式类型是()A、00型B、0/0型C、1∞型D、∞0型38、极限=()A、0B、1C、2D、不存在39、x x0时,n阶泰勒公式的余项Rn(x是较x x0的()A、(n+1)阶无穷小B、n阶无穷小C、同阶无穷小D、高阶无穷小40、若函数f(x在[0, +∞]内可导,且f`(x >0,xf(0 <0则f(x在[0,+ ∞]内有()A、唯一的零点B、至少存在有一个零点C、没有零点D、不能确定有无零点41、曲线y=x2-4x+3的顶点处的曲率为()A、2B、1/2C、1D、042、抛物线y=4x-x2在它的顶点处的曲率半径为()A、0B、1/2C、1D、243、若函数f(x在(a,b)内存在原函数,则原函数有()A、一个B、两个C、无穷多个D、都不对44、若∫f(xdx=2ex/2+C=()A、2ex/2B、4 ex/2C、ex/2 +CD、ex/245、∫xe-xdx =( D )A、xe-x -e-x +CB、-xe-x+e-x +CC、xe-x +e-x +CD、-xe-x -e-x +C46、设P(X)为多项式,为自然数,则∫P(x(x-1-ndx()A、不含有对数函数B、含有反三角函数C、一定是初等函数D、一定是有理函数47、∫-10|3x+1|dx=()A、5/6B、1/2C、-1/2D、148、两椭圆曲线x2/4+y2=1及(x-12/9+y2/4=1之间所围的平面图形面积等于()A、лB、2лC、4лD、6л49、曲线y=x2-2x与x轴所围平面图形绕轴旋转而成的旋转体体积是()A、лB、6л/15C、16л/15D、32л/1550、点(1,0,-1)与(0,-1,1)之间的距离为()A、 B、2 C、31/2 D、 21/251、设曲面方程(P,Q)则用下列平面去截曲面,截线为抛物线的平面是()A、Z=4B、Z=0C、Z=-2D、x=252、平面x=a截曲面x2/a2+y2/b2-z2/c2=1所得截线为()A、椭圆B、双曲线C、抛物线D、两相交直线53、方程=0所表示的图形为()A、原点(0,0,0)B、三坐标轴C、三坐标轴D、曲面,但不可能为平面54、方程3x2+3y2-z2=0表示旋转曲面,它的旋转轴是()A、X轴B、Y轴C、Z轴D、任一条直线55、方程3x2-y2-2z2=1所确定的曲面是()A、双叶双曲面B、单叶双曲面C、椭圆抛物面D、圆锥曲面二、填空题1、求极限 (x2+2x+5/(x2+1=()2、求极限[(x3-3x+1/(x-4+1]=()3、求极限x-2/(x+21/2=()4、求极限 [x/(x+1]x=()5、求极限 (1-x1/x= ()6、已知y=sinx-cosx,求y`|x=л/6=()7、已知ρ=ψsinψ+cosψ/2,求dρ/dψ| ψ=л/6=()8、已知f(x=3/5x+x2/5,求f`(0=()9、设直线y=x+a与曲线y=2arctanx相切,则a=()10、函数y=x2-2x+3的极值是y(1=()11、函数y=2x3极小值与极大值分别是()12、函数y=x2-2x-1的最小值为()13、函数y=2x-5x2的最大值为()14、函数f(x=x2e-x在[-1,1]上的最小值为()15、点(0,1)是曲线y=ax3+bx2+c的拐点,则有b=() c=()16、∫xx1/2dx= ()17、若F`(x=f(x,则∫dF(x= ()18、若∫f(xdx=x2e2x+c,则f(x= (19、d/dx∫abarctantdt=()20、已知函数f(x=在点x=0连续,则a=()21、∫02(x2+1/x4dx=()22、∫49 x1/2(1+x1/2dx=()23、∫031/2a dx/(a2+x2=()24、∫01 dx/(4-x21/2=()25、∫л/3лsin(л/3+xdx=()26、∫49 x1/2(1+x1/2dx=(27、∫49 x1/2(1+x1/2dx=()28、∫49 x1/2(1+x1/2dx=()29、∫49 x1/2(1+x1/2dx=()30、∫49 x1/2(1+x1/2dx=()31、∫49 x1/2(1+x1/2dx=()32、∫49 x1/2(1+x1/2dx=()33、满足不等式|x-2|<1的X所在区间为 (34、设f(x = [x] +1,则f(л+10)=()35、函数Y=|sinx|的周期是()36、y=sinx,y=cosx直线x=0,x=л/2所围成的面积是()37、 y=3-2x-x2与x轴所围成图形的面积是()38、心形线r=a(1+cosθ的全长为()39、三点(1,1,2),(-1,1,2),(0,0,2)构成的三角形为()40、一动点与两定点(2,3,1)和(4,5,6)等距离,则该点的轨迹方程是()41、求过点(3,0,-1),且与平面3x-7y+5z-12=0平行的平面方程是()42、求三平面x+3y+z=1,2x-y-z=0,-x+2y+2z=0的交点是 (43、求平行于xoz面且经过(2,-5,3)的平面方程是()44、通过Z轴和点(-3,1,-2)的平面方程是()45、平行于X轴且经过两点(4,0,-2)和(5,1,7)的平面方程是()三、解答题1、设Y=2X-5X2,问X等于多少时Y最大?并求出其最大值。
2.1 流水施工的基本概念1.在一个主体结构工程内部,各分项工程之间组织起来的流水施工,称为()。
A.分项工程流水施工B.分部工程流水施工C.单位工程流水施工D.群体工程流水施工答题: A. B. C. D. (已提交)参考答案:B问题解析:2.缩短工期也不能无限制增加施工班组内人数,这是因为受到( )的限制。
A.足够工作面 B.劳动力 C.生产资源 D.时间答题: A. B. C. D. (已提交)参考答案:A问题解析:3.在组织多幢同类房屋施工时,当资源充足和工作面允许的条件下,应采用()。
A、流水施工B、依次施工C、顺序施工D、平行施工答题: A. B. C. D. (已提交)参考答案:A问题解析:4.同一个施工过程依次连续、均衡地施工,而不同施工过程呈平行进行状态的施工方式称()。
A、依次施工B、平行施工C、流水施工D、连续施工答题: A. B. C. D. (已提交)参考答案:C问题解析:5.施工过程开展情况,用斜线段表示的进度表称为()。
A、水平指示图表B、横道图C、垂直指示图表D、网络图答题: A. B. C. D. (已提交)参考答案:C问题解析:6.流水施工的横道计划能够正确地表达( )。
A工作之间的逻辑关系 B.关键工作 C.关键线路 D.工作开始和完成的时间答题: A. B. C. D. (已提交)参考答案:D问题解析:7.施工过程开展情况,用斜线段表示的进度表称为()。
A、水平指示图表B、横道图C、垂直指示图表D、网络图答题: A. B. C. D. (已提交)参考答案:C问题解析:2.2 组织流水施工的主要参数1.工作面、施工层在流水施工中所表达的参数为()。
A.空间参数 B.工艺参数 C.时间参数 D.施工参数答题: A. B. C. D. (已提交)参考答案:A问题解析:2.施工段,施工层在流水施工中所表达的参数为()。
A.空间参数 B.工艺参数 C. 时间参数 D. 一般参数答题: A. B. C. D. (已提交)参考答案:A问题解析:3.某流水施工过程,施工段m=4,施工过程n=6,施工层r =3,则流水步距的个数为()。
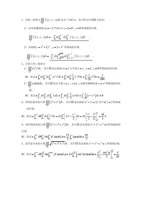
1、试将三重积分(),,f x y z dv Ω⎰⎰⎰化为三次积分,其中积分区域Ω分别为:1) 由双曲抛物面xy z =及平面10,0x y z +-==所围成的区域。
(),,f x y z dv Ω=⎰⎰⎰()110,,xxydx dy f x y z dz-⎰⎰⎰。
2) 由曲面2222,2z x y z x =+=-所围成的区域(),,f x y z dv Ω=⎰⎰⎰()2221212,,x x y dx f x y z dz --+⎰⎰。
2、计算下列三重积分 1)23xy z dv Ω⎰⎰⎰,其中Ω是由曲面xy z =与平面,1,0x y x z ===所围成的闭区域。
解:原式111235612000000111428364x xy xdx dy xy z dz dx x y dy x dx ====⎰⎰⎰⎰⎰⎰ 2)xzdxdydz Ω⎰⎰⎰,其中Ω是由平面,1,0z y y z ===及抛物柱面2y x =所围成的闭区域。
解:原式()221111127101111026yx x dx dy xzdz dx xy dy x x dx ---===-=⎰⎰⎰⎰⎰⎰ 3、利用柱面坐标计算()22x y dv Ω+⎰⎰⎰,其中Ω是由曲面222x y z +=及平面2z =所围成的区域。
解:原式22546222233000201622222123r r r r d dr r dz r dr πθπππ⎛⎫⎡⎤==-=-= ⎪⎢⎥⎝⎭⎣⎦⎰⎰⎰⎰4、利用球面坐标计算()222xy z dv Ω++⎰⎰⎰,其中Ω是由球面2221x y z ++=所围成的闭区域。
解:原式214024sin sin 55d d d d πππππθϕρϕρϕϕ===⎰⎰⎰⎰5、选用适当坐标计算Ω,其中Ω是由球面222x y z z ++=所围成区域。
解:原式522cos 3422001cos sin 2cos sin 42510d d d d ππππϕπϕπθϕρϕρπϕϕϕ⎡⎤===-=⎢⎥⎣⎦⎰⎰⎰⎰。
《高等数学》练习测试题库及答案一.选择题1.函数y=112+x 是( ) A.偶函数 B.奇函数 C 单调函数 D 无界函数2.设f(sin 2x )=cosx+1,则f(x)为( ) A 2x 2-2 B 2-2x 2 C 1+x 2 D 1-x 23.下列数列为单调递增数列的有( )A .0.9 ,0.99,0.999,0.9999B .23,32,45,54 C .{f(n)},其中f(n)=⎪⎩⎪⎨⎧-+为偶数,为奇数n nn n n n 1,1 D. {n n 212+} 4.数列有界是数列收敛的( )A .充分条件 B. 必要条件C.充要条件 D 既非充分也非必要5.下列命题正确的是( )A .发散数列必无界B .两无界数列之和必无界C .两发散数列之和必发散D .两收敛数列之和必收敛6.=--→1)1sin(lim 21x x x ( ) A.1 B.0 C.2 D.1/27.设=+∞→x x xk )1(lim e 6 则k=( ) A.1 B.2 C.6 D.1/68.当x →1时,下列与无穷小(x-1)等价的无穷小是( )A.x 2-1B. x 3-1C.(x-1)2D.sin(x-1)9.f(x)在点x=x 0处有定义是f(x)在x=x 0处连续的( )A.必要条件B.充分条件C.充分必要条件D.无关条件10、当|x|<1时,y= ( )A 、是连续的B 、无界函数C 、有最大值与最小值D 、无最小值11、设函数f(x)=(1-x)cotx要使f(x)在点:x=0连续,则应补充定义f(0)为()A、B、e C、-e D、-e-112、下列有跳跃间断点x=0的函数为()A、 xarctan1/xB、arctan1/xC、tan1/xD、cos1/x13、设f(x)在点x0连续,g(x)在点x不连续,则下列结论成立是()A、f(x)+g(x)在点x必不连续B、f(x)×g(x)在点x必不连续须有C、复合函数f[g(x)]在点x必不连续D、在点x0必不连续在区间(- ∞,+ ∞)上连续,且f(x)=0,则a,b满足14、设f(x)=()A、a>0,b>0B、a>0,b<0C、a<0,b>0D、a<0,b<015、若函数f(x)在点x0连续,则下列复合函数在x也连续的有()A、 B、C、tan[f(x)]D、f[f(x)]16、函数f(x)=tanx能取最小最大值的区间是下列区间中的()A、[0,л]B、(0,л)C、[-л/4,л/4]D、(-л/4,л/4)17、在闭区间[a ,b]上连续是函数f(x)有界的()A、充分条件B、必要条件C、充要条件D、无关条件18、f(a)f(b) <0是在[a,b]上连续的函f(x)数在(a,b)内取零值的()A、充分条件B、必要条件C、充要条件D、无关条件19、下列函数中能在区间(0,1)内取零值的有()A、f(x)=x+1B、f(x)=x-1C、f(x)=x2-1D、f(x)=5x4-4x+120、曲线y=x2在x=1处的切线斜率为()A、k=0B、k=1C、k=2D、-1/221、若直线y=x与对数曲线y=logax相切,则()A、eB、1/eC、e xD、e1/e22、曲线y=lnx平行于直线x-y+1=0的法线方程是()A、x-y-1=0B、x-y+3e-2=0C、x-y-3e-2=0D、-x-y+3e-2=023、设直线y=x+a与曲线y=2arctanx相切,则a=()A、±1B、±л/2C、±(л/2+1)D、±(л/2-1)24、设f(x)为可导的奇函数,且f`(x0)=a,则f`(-x)=()A、aB、-aC、|a|D、025、设y=㏑,则y’|x=0=()A、-1/2B、1/2C、-1D、026、设y=(cos)sinx,则y’|x=0=()A、-1B、0C、1D、不存在27、设yf(x)= ㏑(1+X),y=f[f(x)],则y’|x=0=()A、0B、1/ ㏑2C、1D、㏑228、已知y=sinx,则y(10)=()A、sinxB、cosxC、-sinxD、-cosx29、已知y=x㏑x,则y(10)=()A、-1/x9B、1/ x9C、8.1/x9D、 -8.1/x930、若函数f(x)=xsin|x|,则()A、f``(0)不存在B、f``(0)=0C、f``(0) =∞D、 f``(0)= л31、设函数y=yf(x)在[0,л]内由方程x+cos(x+y)=0所确定,则|dy/dx|x=0=()A、-1B、0C、л/2D、 232、圆x2cos θ,y=2sin θ上相应于θ=л/4处的切线斜率,K=( )A 、-1B 、0C 、1D 、 233、函数f(x)在点x 0连续是函数f(x)在x 0可微的( )A 、充分条件B 、必要条件C 、充要条件D 、无关条件34、函数f(x)在点x 0可导是函数f(x)在x 0可微的( )A 、充分条件B 、必要条件C 、充要条件D 、无关条件35、函数f(x)=|x|在x=0的微分是( )A 、0B 、-dxC 、dxD 、 不存在36、极限)ln 11(lim 1xx x x --→的未定式类型是( )A 、0/0型B 、∞/∞型C 、∞ -∞D 、∞型37、极限 012)sin lim(→x x x x 的未定式类型是( ) A 、00型 B 、0/0型 C 、1∞型 D 、∞0型 38、极限 x x x x sin 1sinlim 20→=( )A 、0B 、1C 、2D 、不存在39、x x 0时,n 阶泰勒公式的余项Rn(x)是较x x 0 的( )A 、(n+1)阶无穷小B 、n 阶无穷小C 、同阶无穷小D 、高阶无穷小40、若函数f(x)在[0, +∞]内可导,且f`(x) >0,xf(0) <0则f(x)在[0,+ ∞]内有( )A 、唯一的零点B 、至少存在有一个零点C 、没有零点D 、不能确定有无零点41、曲线y=x 2-4x+3的顶点处的曲率为( )A、2B、1/2C、1D、042、抛物线y=4x-x2在它的顶点处的曲率半径为()A、0B、1/2C、1D、243、若函数f(x)在(a,b)内存在原函数,则原函数有()A、一个B、两个C、无穷多个D、都不对44、若∫f(x)dx=2e x/2+C=()A、2e x/2B、4 e x/2C、e x/2 +CD、e x/245、∫xe-x dx =( D )A、xe-x -e-x +CB、-xe-x+e-x +CC、xe-x +e-x +CD、-xe-x -e-x +C46、设P(X)为多项式,为自然数,则∫P(x)(x-1)-n dx()A、不含有对数函数B、含有反三角函数C、一定是初等函数D、一定是有理函数0|3x+1|dx=()47、∫-1A、5/6B、1/2C、-1/2D、148、两椭圆曲线x2/4+y2=1及(x-1)2/9+y2/4=1之间所围的平面图形面积等于()A、лB、2лC、4лD、6л49、曲线y=x2-2x与x轴所围平面图形绕轴旋转而成的旋转体体积是()A、лB、6л/15C、16л/15D、32л/1550、点(1,0,-1)与(0,-1,1)之间的距离为()A、 B、2 C、31/2 D、 21/251、设曲面方程(P,Q)则用下列平面去截曲面,截线为抛物线的平面是()A、Z=4B、Z=0C、Z=-2D、x=252、平面x=a截曲面x2/a2+y2/b2-z2/c2=1所得截线为()A、椭圆B、双曲线C、抛物线D、两相交直线53、方程=0所表示的图形为()A、原点(0,0,0)B、三坐标轴C 、三坐标轴D 、曲面,但不可能为平面54、方程3x 2+3y 2-z 2=0表示旋转曲面,它的旋转轴是( )A 、X 轴B 、Y 轴C 、Z 轴D 、任一条直线55、方程3x 2-y 2-2z 2=1所确定的曲面是( )A 、双叶双曲面B 、单叶双曲面C 、椭圆抛物面D 、圆锥曲面二、填空题1、求极限1lim -→x (x 2+2x+5)/(x 2+1)=( )2、求极限 0lim →x [(x 3-3x+1)/(x-4)+1]=( )3、求极限2lim →x x-2/(x+2)1/2=( )4、求极限∞→x lim [x/(x+1)]x=( )5、求极限0lim →x (1-x)1/x= ( )6、已知y=sinx-cosx ,求y`|x=л/6=( )7、已知ρ=ψsin ψ+cos ψ/2,求d ρ/d ψ| ψ=л/6=( )8、已知f(x)=3/5x+x 2/5,求f`(0)=( )9、设直线y=x+a 与曲线y=2arctanx 相切,则a=( )10、函数y=x 2-2x+3的极值是y(1)=( )11、函数y=2x 3极小值与极大值分别是( )12、函数y=x 2-2x-1的最小值为( )13、函数y=2x-5x 2的最大值为( )14、函数f(x)=x 2e -x 在[-1,1]上的最小值为( )15、点(0,1)是曲线y=ax 3+bx 2+c 的拐点,则有b=( ) c=( )16、∫xx 1/2dx= ( )17、若F`(x)=f(x),则∫dF(x)= ( )18、若∫f(x)dx =x 2e 2x +c ,则f(x)= ( )19、d/dx ∫a barctantdt =( )20、已知函数f(x)=⎪⎩⎪⎨⎧=≠⎰-0,0,022)1(1x a x x t dt e x 在点x=0连续, 则a=( ) 21、∫02(x 2+1/x 4)dx =( )22、∫49 x 1/2(1+x 1/2)dx=( )23、∫031/2a dx/(a 2+x 2)=( )24、∫01 dx/(4-x 2)1/2=( )25、∫л/3лsin (л/3+x)dx=( )26、∫49 x 1/2(1+x 1/2)dx=( )27、∫49x 1/2(1+x 1/2)dx=( ) 28、∫49 x 1/2(1+x 1/2)dx=( )29、∫49 x 1/2(1+x 1/2)dx=( )30、∫49 x 1/2(1+x 1/2)dx=( )31、∫49 x 1/2(1+x 1/2)dx=( )32、∫49x 1/2(1+x 1/2)dx=( ) 33、满足不等式|x-2|<1的X 所在区间为 ( )34、设f(x) = [x] +1,则f (л+10)=( )35、函数Y=|sinx|的周期是 ( )36、y=sinx,y=cosx 直线x=0,x=л/2所围成的面积是 ( )37、 y=3-2x-x 2与x 轴所围成图形的面积是 ( )38、心形线r=a(1+cos θ)的全长为 ( )39、三点(1,1,2),(-1,1,2),(0,0,2)构成的三角形为 ( )40、一动点与两定点(2,3,1)和(4,5,6)等距离,则该点的轨迹方程是 ( )41、求过点(3,0,-1),且与平面3x-7y+5z-12=0平行的平面方程是( )42、求三平面x+3y+z=1,2x-y-z=0,-x+2y+2z=0的交点是 ( )43、求平行于xoz 面且经过(2,-5,3)的平面方程是 ( )44、通过Z轴和点(-3,1,-2)的平面方程是()45、平行于X轴且经过两点(4,0,-2)和(5,1,7)的平面方程是()三、解答题1、设Y=2X-5X2,问X等于多少时Y最大?并求出其最大值。
数据库》随堂练习-2020年华南理工大学网络教育参考答案:B在数据管理技术的发展过程中,经历了人工管理阶段、文件系统阶段和数据库系统阶段。
其中,数据库系统阶段具有最高的数据独立性。
数据库的概念模型与具体的机器和DBMS、E-R图、信息世界以及现实世界是独立的。
数据库的基本特点包括数据可以共享或数据结构化、数据独立性、数据冗余小易扩充、统一管理和控制。
选项B中的数据冗余小易扩充是正确的。
数据库是存储在计算机内有结构的数据的集合。
数据库中存储的是数据以及数据之间的联系。
数据库中,数据的物理独立性是指用户的应用程序与存储在磁盘上数据库中的数据是相互独立的。
数据库的特点之一是数据的共享,其中数据共享是指多种应用、多种语言、多个用户相互覆盖地使用数据集合。
数据库系统的核心是数据库管理系统。
9.关于数据库系统,正确的叙述应该是数据库系统能够减少数据冗余,避免数据不一致等问题。
10.将数据库的结构划分成多个层次,主要是为了提高数据库的逻辑独立性和物理独立性,以及管理规范性和数据的共享。
11.数据库(DB)、数据库系统(DBS)和数据库管理系统(DBMS)三者之间的关系是,DBS包括DB和DBMS。
12.在数据库中,产生数据不一致的根本原因是数据冗余,而不是数据存储量太大等原因。
13.数据库管理系统(DBMS)是一种系统软件。
14.数据库管理系统(DBMS)的主要功能是定义数据库,而不是修改、应用或保护数据库。
15.数据库系统的特点是数据共享、数据独立、减少数据冗余、避免数据不一致和加强了数据保护。
16.数据库系统的最大特点是数据的三级抽象和二级独立性,而不是数据共享性、数据的结构化或数据独立性。
17.数据库管理系统能实现对数据库中数据的查询、插入、修改和删除等操作,这种功能称为数据操纵功能,而不是数据定义功能或数据管理功能。
18.数据库的三级模式结构中,描述数据库中全体数据的全局逻辑结构和特征的是模式。
19.数据库系统的数据独立性是指不会因为系统数据存储结构与数据逻辑结构的变化而影响应用程序。
高等数学B(下)第6章常微分方程6.1常微分方程的基本概念1.(判断题)答题:对. 错. (已提交)参考答案:√问题解析:2.(判断题)答题:对. 错. (已提交)参考答案:√问题解析:3.(单选题)答题: A. B. C. D. (已提交)参考答案:D问题解析:4.(判断题)答题:对. 错. (已提交)参考答案:√问题解析:5.(单选题)答题: A. B. C. D. (已提交)参考答案:D问题解析:6.2一阶微分方程1.(判断题)答题:对. 错. (已提交)参考答案:√问题解析:2.(单选题)答题: A. B. C. D. (已提交)参考答案:D问题解析:3.(单选题)答题: A. B. C. D. (已提交)参考答案:B问题解析:4.(单选题)答题: A. B. C. D. (已提交)参考答案:B问题解析:5.(单选题)参考答案:D问题解析:6.(单选题)答题: A. B. C. D. (已提交)参考答案:A问题解析:7.(单选题)答题: A. B. C. D. (已提交)参考答案:B问题解析:8.(单选题)答题: A. B. C. D. (已提交)参考答案:A问题解析:9.(单选题)参考答案:D问题解析:10.(单选题)答题: A. B. C. D. (已提交)参考答案:C问题解析:6.3 可降阶的二阶微分方程1.(单选题)答题: A. B. C. D. (已提交)参考答案:D问题解析:6.4 二阶线性微分方程解的结构1.(判断题)答题:对. 错. (已提交)参考答案:√问题解析:2.(判断题).3.(判断题)答题:对. 错. (已提交)参考答案:√问题解析:6.5 二阶常系数线性微分方程的求解1.(单选题)答题: A. B. C. D. (已提交)参考答案:B问题解析:2.(单选题)答题: A. B. C. D. (已提交)3.(单选题)答题: A. B. C. D. (已提交)参考答案:C问题解析:6.6 微分方程的简单应用第7章向量代数与空间解析几何7.1向量及其线性运算1.(单选题)答题: A. B. C. D. (已提交)参考答案:A问题解析:2.(单选题)答题: A. B. C. D. (已提交)参考答案:C问题解析:7.2空间的平面与直线1.(单选题)答题: A. B. C. D. (已提交)参考答案:D问题解析:2.(单选题)答题: A. B. C. D. (已提交)参考答案:D问题解析:7.3 常见的空间曲面1.(判断题)答题:对. 错. (已提交)参考答案:√问题解析:2.(判断题)答题:对. 错. (已提交)参考答案:×问题解析:3.(判断题)答题:对. 错. (已提交)参考答案:√(更多作业答案,随堂、平时作业,添加 WeChat ID:xu940413)问题解析:4.(单选题)答题: A. B. C. D. (已提交)参考答案:C问题解析:7.4 常见空间曲线第8章多元函数微分学8.1多元函数的基本概念1.(单选题)答题: A. B. C. D. (已提交)参考答案:D问题解析:2.(单选题)答题: A. B. C. D. (已提交)参考答案:D问题解析:3.(单选题)答题: A. B. C. D. (已提交)参考答案:B问题解析:4.(单选题)答题: A. B. C. D. (已提交)参考答案:D问题解析:8.2二元函数的偏导数1.(单选题)答题: A. B. C. D. (已提交)参考答案:B问题解析:2.(单选题)答题: A. B. C. D. (已提交)参考答案:A问题解析:答题: A. B. C. D. (已提交)参考答案:B问题解析:4.(单选题)答题: A. B. C. D. (已提交)参考答案:C问题解析:5.(单选题)答题: A. B. C. D. (已提交)参考答案:B问题解析:6.(单选题)答题: A. B. C. D. (已提交)参考答案:A问题解析:7.(单选题)答题: A. B. C. D. (已提交)参考答案:A问题解析:8.(判断题)答题:对. 错. (已提交)参考答案:×问题解析:9.(判断题)答题:对. 错. (已提交)参考答案:√问题解析:10.(判断题)答题:对. 错. (已提交)参考答案:√问题解析:11.(判断题)答题:对. 错. (已提交)问题解析:8.3二元函数的全微分1.(单选题)答题: A. B. C. D. (已提交)参考答案:A问题解析:2.(单选题)答题: A. B. C. D. (已提交)参考答案:B问题解析:3.(判断题)答题:对. 错. (已提交)参考答案:√问题解析:4.(判断题)答题:对. 错. (已提交)参考答案:√问题解析:5.(判断题)答题:对. 错. (已提交)参考答案:×6.(判断题)答题:对. 错. (已提交)参考答案:×问题解析:7.(单选题)答题: A. B. C. D. (已提交)参考答案:D问题解析:8.4多元复合函数与隐函数的求导法则1.(单选题)答题: A. B. C. D. (已提交)参考答案:C问题解析:2.(单选题)答题: A. B. C. D. (已提交)参考答案:D问题解析:3.(单选题)答题: A. B. C. D. (已提交)4.(单选题)答题: A. B. C. D. (已提交)参考答案:D问题解析:8.5 二元函数微分法的几何应用1.(单选题)答题: A. B. C. D. (已提交)参考答案:C问题解析:2.(单选题)答题: A. B. C. D. (已提交)参考答案:A问题解析:答题:对. 错. (已提交)参考答案:×问题解析:2.(判断题)答题:对. 错. (已提交)参考答案:√问题解析:3.(单选题)答题: A. B. C. D. (已提交)参考答案:D问题解析:4.(单选题)答题: A. B. C. D. (已提交)参考答案:B问题解析:5.(单选题)答题: A. B. C. D. (已提交)参考答案:A问题解析:第9章多元函数积分学1.(判断题)答题:对. 错. (已提交)参考答案:×问题解析:2.(判断题)答题:对. 错. (已提交)参考答案:√问题解析:3.(判断题)答题:对. 错. (已提交)参考答案:√问题解析:4.(判断题)答题:对. 错. (已提交)参考答案:√问题解析:5.(判断题)答题:对. 错. (已提交)参考答案:×6.(判断题)答题:对. 错. (已提交)参考答案:×问题解析:7.(判断题)答题:对. 错. (已提交)参考答案:×问题解析:8.(判断题)答题:对. 错. (已提交)参考答案:×问题解析:9.(单选题)答题: A. B. C. D. (已提交)参考答案:C问题解析:9.2 二重积分的计算1.(单选题)答题: A. B. C. D. (已提交)2.(单选题)答题: A. B. C. D. (已提交)参考答案:A问题解析:3.(单选题)答题: A. B. C. D. (已提交)参考答案:D问题解析:4.(单选题)答题: A. B. C. D. (已提交)参考答案:A问题解析:答题: A. B. C. D. (已提交)参考答案:C问题解析:6.(单选题)答题: A. B. C. D. (已提交)参考答案:B问题解析:7.(单选题)答题: A. B. C. D. (已提交)参考答案:C问题解析:8.(单选题)答题: A. B. C. D. (已提交)参考答案:C问题解析:答题: A. B. C. D. (已提交)参考答案:B问题解析:10.(单选题)答题: A. B. C. D. (已提交)参考答案:D问题解析:11.(单选题)答题: A. B. C. D. (已提交)参考答案:B问题解析:12.(单选题)答题: A. B. C. D. (已提交)参考答案:A问题解析:。
第一章函数与极限·第一节函数1.(单选题)参考答案:B2.(单选题)参考答案:C3.(单选题)下面那一句话是错误的?()A.两个奇函数的和是奇函数;B.两个偶函数的和是偶函数;C.两个奇函数的积是奇函数;D.两个偶函数的积是偶函数.参考答案:C4.(单题)参考答案:C第一章函数与极限·第二节初等函数和常见的经济函数1.(单选题)参考答案:C2.(单选题)参考答案:A3.(单选题)下面那一句话是错误的?()A.两个奇函数的和是奇函数;B.两个偶函数的和是偶函数;C.两个奇函数的积是奇函数;D.两个偶函数的积是偶函数.参考答案:C4.(单选题)参考答案:B5.(单选题)参考答案:C6.(单选题)参考答案:B7.(单选题)参考答案:C8.(单选题)某厂为了生产某种产品,需一次性投入1000元生产准备费,另外每生产一件产品需要支付3元,共生产了100件产品,则每一件产品的成本是?()A.11元;B.12元;C.13元;D.14元.参考答案:C9.参考答案:A10.参考答案:C11.参考答案:C第一章函数与极限·第三节极限概念与性质1.(单选题)参考答案:D2.(单选题)参考答案:D第一章函数与极限·第四节无穷小与无穷大1.(单选题)参考答案:A2.(单选题)参考答案:A3.(单选题)参考答案:B第一章函数与极限·第五节极限的运算1.(单选题)参考答案:C2.(单选题)参考答案:A3.(单选题)参考答案:D4.(单选题)参考答案:B5.(单选题)参考答案:A6.(单选题)参考答案:B7.(单选题)参考答案:B8.(单选题)参考答案:B9.(单选题)参考答案:C第一章函数与极限·第六节无穷小的比较1.(单选题)参考答案:A2.(单选题)参考答案:B3.(单选题)参考答案:C第一章函数与极限·第七节函数的连续性1.(单选题)参考答案:B2.(单选题)参考答案:A第二章导数与微分·第一节导数的概念1.(单选题)参考答案:B2.(单选题)参考答案:A3.(单选题)关于连续和可导的关系,下面哪个命题是对的?()A.可导的函数是连续的,连续的函数不一定可导。
高等数学下考试题库(附答案) 高等数学》试卷1(下)一、选择题(3分×10)1.点M1(2,3,1)到点M2(2,7,4)的距离M1M2=().A.3B.4C.5D.62.向量a=-i+2j+k,b=2i+j,则有().A.a∥bB.a⊥bC.a,b=D.a,b=3.函数y=2-x^2-y^2+1/x+y-12/2+y^2的定义域是().A.{(x,y)|1<x<2,1≤x^2+y^2≤2}B.{(x,y)|x,y<0}C.{(x,y)|1<x≤2,2+y^2<2}D.{(x,y)|2+y^2<x}4.两个向量a与b垂直的充要条件是().A.a·b=0B.a×b=0C.a-b=0D.a+b=05.函数z=x+y-3xy的极小值是().A.2B.-2C.1D.-16.设z=xsiny,则∂z/∂y|(π/4,3/4)=().A.2/√2B.-2/√2C.2D.-27.若p级数∑n=1∞pn收敛,则().A.p1 D.p≥18.幂级数∑n=1∞xn/n的收敛域为().A.[-1,1]B.(-1,1)C.[-1,1)D.(-1,1]9.幂级数∑n=2∞x^n/(n-1)在收敛域内的和函数是().A.1/(1-x)B.2/(1-x)^2C.2/(1+x)D.1/(1+x)10.微分方程xy'-ylny=0的通解为().A.y=cxB.y=e^xC.y=cxe^xD.y=ex二、填空题(4分×5)1.一平面过点A(1,2,3)且垂直于直线AB,其中点B(2,-1,1),则此平面方程为______________________.2.函数z=sin(xy)的全微分是______________________________.3.设z=xy-3xy^2+1,则(∂^2z)/(∂x∂y)|3/2=-___________________________.三、计算题(5分×6)4.1.设z=esinv,而u=xy,v=x+y,求u∂z/∂x-∂z/∂y.2.已知隐函数z=z(x,y)由方程x^2+y^2+z^2=1确定,求∂z/∂x.3.设f(x,y)=x^2y-xy^2,求f在点(1,1)处的方向导数沿向量i+j的值.4.设z=f(x^2+y^2),其中f(u)在u=1处可导,求∂z/∂x|P,其中P为曲线x^2+y^2=1,z=1上的点.5.设z=ln(x+y)cos(x-y),求∂^2z/∂x^2-2∂^2z/∂x∂y+∂^2z/∂y^2.6.设f(x,y)在点(0,0)处可微,且f(0,0)=0,证明:∂f/∂x和∂f/∂y在点(0,0)处连续.1.已知函数f(x)在区间[0,1]上连续,且f(0)=0,f(1)=1,则方程f(x)=0在区间(0,1)内至少有()个实根。
高等数学B2分题型练习(参考答案)一、单顶选择题1、 2、 3、 4、 5、 6、 7、 8、9、10、 11、 12、 13、 14、15、 16、 17、18、 19、 20、21、 22、23、24、 25、26、 27、 28、 29、30、 31、32、 33、 34、 35、36、 二、填空题1、 2、 3、 4、 5、 6、 7、 8、 9、 10、 11、 12、 13、 14、 15、 16、17、 18、 19、 20、 21、 22、 23、 24、 25、 26、 27、28、 29、 30、 31、 32、 33、 34、 35、 三、计算定积分1、求定积分 解:2、求定积分解:3、求定积分4、求定积分 解: 解:5、求定积分解:0022222(1)arctan(1)|()221(1)442dx d x x x x x πππ---+==+=--=++++⎰⎰ 6、求定积分解:令,则,且当时,;时,。
于就是7求定积分解:令8、求定积分解:9、求定积分解:111211002220001111ln(1)|arctan |ln 2111224x x dx dx dx x x x x x π+=+=++=++++⎰⎰⎰ 10、求定积分解:由定积分得几何意义可知,积分值为区域 落在第一象限得部分得面积,即, 解法二,令,则,且当时,,当时,,则2222000014cos 2(1cos 2)2(sin 2)|2tdt t dt t t ππππ==+=-=⎰⎰⎰11、求定积分解: 令 ,则,且当时,;时,。
于就是2333221444sec cos 1|tan sec sin sin 3tdt t dt t t tt ππππππ===-=⎰⎰⎰12、求定积分 解:令111111000222|222|2ttt t t te dt tde te e dt e e ===-=-=⎰⎰⎰⎰四、计算偏导数、全微分 1、设其中,求。
《高等数学》试卷1(下)一。
选择题(3分10)1。
点到点的距离( ).A.3 B。
4 C。
5 D.62.向量,则有().A。
∥B。
⊥ C. D。
3.函数的定义域是( ).A. B.C。
D4。
两个向量与垂直的充要条件是( ).A. B. C. D.5.函数的极小值是( ).A。
2 B。
C。
1 D。
6。
设,则=()。
A. B. C. D。
7.若级数收敛,则()。
A. B。
C。
D.8。
幂级数的收敛域为().A. B C。
D。
9。
幂级数在收敛域内的和函数是( ).A. B。
C。
D。
10。
微分方程的通解为().A. B. C。
D。
二.填空题(4分5)1.一平面过点且垂直于直线,其中点,则此平面方程为______________________.2。
函数的全微分是______________________________.3.设,则_____________________________。
4.的麦克劳林级数是___________________________.5。
微分方程的通解为_________________________________.三。
计算题(5分6)1.设,而,求2。
已知隐函数由方程确定,求3.计算,其中.4.如图,求两个半径相等的直交圆柱面所围成的立体的体积(为半径)。
5.求微分方程在条件下的特解。
四.应用题(10分2)1.要用铁板做一个体积为2的有盖长方体水箱,问长、宽、高各取怎样的尺寸时,才能使用料最省?2。
曲线上任何一点的切线斜率等于自原点到该切点的连线斜率的2倍,且曲线过点,求此曲线方程.《高数》试卷2(下)一。
选择题(3分10)1.点,的距离( )。
A. B. C. D.2.设两平面方程分别为和,则两平面的夹角为().A。
B。
C. D。
3。
函数的定义域为()。
A. B.C。
D.4。
点到平面的距离为( )。
A。
3 B.4 C。
5 D.65.函数的极大值为()。
A.0B.1C.D.6。
华南理工大学网络教育学院2016–2017学年度第二学期《高等数学B(上)》作业1. 若0x 是()f x 的极小值点,则0x 不一定是 (是/不一定是)()f x 的驻点;若0x 是()f x 的驻点,则0x 不一定是 (是/不一定是)()f x 的极值点。
2. 求函数13/2y x =- 解:要求23/2040x x -≠⎧⎨-≥⎩,3/2-22x x ≠⎧⇒⎨≤≤⎩, 即函数的定义域为[2,3/2)(3/2,2]-⋃3. 求2231lim 62n n n →∞++。
解:原式=124. 设5cos(34)y x =+,求y '。
解:-15sin(34)y x '=+5. 设2e x y x =,求dy 。
解:()()2222(2)x x x x dy x e dx xe x e dx x x e dx '==+=+6. 求极限01lim tan 2x x e x→-。
解:原式=0-1lim 2x x e x→ 01=lim =22x x e →7. 设ln ln 0xy x y ++=确定隐函数()y y x =,求dy dx。
解:方程两边同时关于x 求导,得:110''+++=y xy y x y即 11⎛⎫⎛⎫'+=-+ ⎪ ⎪⎝⎭⎝⎭x y y y x 解得 11+=-=-+y dy y x dx x x y8. 求函数x y xe =的极值。
解:连续区间为(,)-∞+∞。
1+=0令()x y x e '=,得驻点1x =- 当1x >-时,0令y '>;当1x <-时,0令y '<所以1x =-为极小值点,极小值为1(1)y e --=-。
9. 求25x e dx +⎰。
解:原式=251(25)2x e d x ++⎰ =2512x e C ++10. 求()20sin x t tdt '⎰。
高等数学(B )(1)作业答案高等数学(B )(1)作业1初等数学知识一、名词解释:邻域——设δ和a 是两个实数,且0>δ,满足不等式δ<-a x 的实数x 的全体,称为点a 的δ邻域。
绝对值——数轴上表示数a 的点到原点之间的距离称为数a 的绝对值。
记为a 。
区间——数轴上的一段实数。
分为开区间、闭区间、半开半闭区间、无穷区间。
数轴——规定了原点、正方向和长度单位的直线。
实数——有理数和无理数统称为实数。
二、填空题1.绝对值的性质有0≥a 、b a ab =、)0(≠=b ba b a 、a a a ≤≤-、b a b a +≤+、b a b a -≥-。
2.开区间的表示有),(b a 、。
3.闭区间的表示有][b a ,、。
4.无穷大的记号为∞。
5.)(∞+-∞,表示全体实数,或记为+∞<<∞-x 。
6.)(b ,-∞b b x <<∞-。
7.)(∞+,a +∞<<x a 。
8.去心邻域是指)()(εε+-a a a a ,, 的全体。
用数轴表示即为9.MANZU9.满足不等式112-<≤-x 的数x 用区间可表示为]211(--,。
三、回答题 1.答:(1)发展符号意识,实现从具体数学的运算到抽象符号运算的转变。
(2)培养严密的思维能力,实现从具体描述到严格证明的转变。
(3)培养抽象思维能力,实现从具体数学到概念化数学的转变。
(4)树立发展变化意识,实现从常量数学到变量数学的转变。
2.答:包括整数与分数。
3.答:不对,可能有无理数。
4.答:等价于]51(,。
5.答:)2321(,。
四、计算题1.解:12020102010)2)(1(<>⇒⎩⎨⎧<-<-⎩⎨⎧>->-⇒>--x x x x x x x x 或或。
),2()1,(+∞-∞∴ 解集为。
2.解:⎩⎨⎧≤-≤-⎩⎨⎧≥-≥-⇒≥--⇒≥+-050105010)5)(1(0562x x x x x x x x 或 15≤≥⇒x x 或 )5[]1∞+∞-∴,,解集为( 。
高等数学〔下〕试题集t在点(),0,0a 的切线方程为0x a y z a c -==. 22122z x y =+上求出切平面,使所得的切平面与平面},,1x y -应与平面平面42210x y z ---=的法向量平行,11,2x =-=,由于切点在曲面上()221121122z ⎛⎫=+-= ⎪⎝⎭ ()()21210,210y z x y z +--=---=473y z+==-和平面:4223x y z ∏--=则〔 B 〕 、L 与∏平行,但L 不在∏内 、L 不与∏垂直,L 不与∏平行 23z xy +=在点()1,2,0处的法线方程是直线1210:320x y L x z +-=⎧⎨+-=⎩和2112:123x y z L -+-==,12,L L 所确定的平面方程。
()()0,1,2,1,1,1--,则{}11,2,3S =--是1L 的{}21,2,3S =-,因为12//S S ,所以12//L L设12,L L 所确定的平面方程为0Ax By Cz D +++=,它经过点()1,1,2-和点()()0,1,2,1,1,1--,所以2022000A B C D A D B C D B D A B C D C -++==-⎧⎧⎪⎪++=⇒=-⎨⎨⎪⎪--+==⎩⎩所求方程为210x y --+=二。
多元函数[](){}221.201042,116,18.z x y gradz ==+9点的梯度[]()()44222.2010(,)21,1,1,1.f x y x y x xy y =+-----的极值点是[]()()2010:(,)0,0,(0,0)(0,0),0,0.f x y f f x y=3. 证明处连续与存在但在处不可微()()()()()0:10(0,0),(,)0,0(,0)(0,0)2(0,0)lim (0,0)0,(0,0)(0,0).(0,0)(0,0)3lim (,)0,0.x y x y x x y x y f f x y f x f f f xf f f f x f y f x y →→∆→∆→∆→===∆-==∆⎡⎤∆-∆+∆解因为所以处连续.=0,同理所以与存在因为,所以在处不可微[]()2010,cos ,sin ,u x y x r y r u ux y r y xθθθ==∂∂-∂∂4. 设函数有连续偏导数,试用极坐标与 直角坐标的转化公式 将变换为,下的表达式.cos ,sin arctan ,sin cos cos ,sin ,,.yx r y r r xr r x y x r y r u u u x y y x θθθθθθθθθθ====∂∂∂∂===-=∂∂∂∂∂∂∂-=∂∂∂解:由得到从而于是5.[2021]00009916x x y y xy →→→→-+==-6.[2021] ()()()23322222200110,1x x y y y xyu du dx dy dx xyxy====-==+=++处7.[2021] 设22,y z f x x ⎛⎫= ⎪⎝⎭,其中函数f 具有二阶连续偏导数,求2z x y ∂∂∂。
华南理工大学网络教育专科高等数学B(下)第二学期(单选题)函数定义域为()(A) (B)(C)(D)答题: A. B。
C. D。
(已提交)参考答案:D问题解析:2.(单选题) 函数定义域为()(A)(B)(C)(D)答题: A. B. C. D。
(已提交)参考答案:B问题解析:3。
(单选题)(A)(B)(C)(D)答题: A。
B. C。
D. (已提交)参考答案:A问题解析:4。
(单选题)(A)(B)(C)(D)答题: A。
B。
C. D。
(已提交)参考答案:C问题解析:5。
(单选题)(A) (B) (C)(D)答题: A. B。
C。
D. (已提交)参考答案:A问题解析:6。
(单选题)(A)(B)0 (C)(D)答题: A. B. C. D. (已提交)参考答案:C问题解析:7.(单选题)(A) (B)(C)(D)答题: A。
B. C。
D。
(已提交)参考答案:A问题解析:8.(单选题)(A)(B)(C)(D)答题: A。
B. C. D. (已提交)参考答案:C问题解析:9.(单选题) , 则(A)(B) (C)(D)答题: A. B。
C. D. (已提交)参考答案:B问题解析:10.(单选题) 若,则(A)(B) (C)(D)答题: A. B。
C. D。
(已提交)参考答案:A问题解析:11.(单选题)若, 则(A)(B) (C)(D)答题: A。
B. C。
D。
(已提交)参考答案:B问题解析:12。
(单选题)若,则(A)(B) (C)(D)答题: A。
B. C。
D. (已提交)参考答案:C问题解析:13。
(单选题)若,则(A) (B)(C)(D)答题: A. B. C。
D。
(已提交)参考答案:B问题解析:14。
(单选题) 若,则(A)(B)(C)(D)答题: A. B。
C。
D. (已提交)参考答案:A问题解析:15.(单选题)若则dz=()(A)(B)(C)(D)答题: A。
华南理工大学网络教育平台-*高等数学B(下)-随堂练习参考答案2013-4-10 1.函数定义域为()(A)(B)(C)(D)答题: A. B. C. D. (已提交)参考答案:C问题解析:2.函数定义域为()(A)(B)(C)(D)答题: A. B. C. D. (已提交)参考答案:D问题解析:3.函数定义域为()(A)(B)(C)(D)答题: A. B. C. D. (已提交)参考答案:C问题解析:4.函数定义域为()(A)(B)(C)(D)答题: A. B. C. D. (已提交)参考答案:B问题解析:5.,则的定义域为()(A)(B)(C)(D)答题: A. B. C. D. (已提交)参考答案:C问题解析:6.下列函数为同一函数的是()(A)(B)(C)(D)答题: A. B. C. D. (已提交)参考答案:D问题解析:7.(A)(B)(C)(D)答题: A. B. C. D. (已提交)参考答案:A问题解析:8.(A)(B)(C)(D)答题: A. B. C. D. (已提交)参考答案:B问题解析:9.(A)(B)(C)(D)答题: A. B. C. D. (已提交)参考答案:D问题解析:10.(A)(B)(C)(D)答题: A. B. C. D. (已提交)参考答案:C问题解析:11.(A)(B)(C)(D)答题: A. B. C. D. (已提交)参考答案:B问题解析:12.(A)(B)(C)(D)答题: A. B. C. D. (已提交)参考答案:A问题解析:13.(A)(B)0 (C)(D)答题: A. B. C. D. (已提交)参考答案:C问题解析:14.(A)(B)0 (C)(D)答题: A. B. C. D. (已提交)参考答案:A问题解析:15.(A)(B)(C)(D)答题: A. B. C. D. (已提交)参考答案:A问题解析:16.(A)(B)(C)0 (D)答题: A. B. C. D. (已提交)参考答案:B问题解析:17.(A)(B)(C)0 (D)答题: A. B. C. D. (已提交)参考答案:A问题解析:18.(A)(B)(C)0 (D)答题: A. B. C. D. (已提交)参考答案:B问题解析:19.(A)(B)(C)(D)答题: A. B. C. D. (已提交)参考答案:C问题解析:20.(A)(B)(C)(D)答题: A. B. C. D. (已提交)参考答案:A问题解析21., 则(A)(B)(C)(D)答题: A. B. C. D. (已提交)参考答案:B问题解析:22., 则(A)(B)(C)(D)答题: A. B. C. D. (已提交)参考答案:D问题解析:23.若,则(A)(B)(C)(D)答题: A. B. C. D. (已提交)参考答案:A问题解析:24.若,则(A)(B)(C)(D)答题: A. B. C. D. (已提交)参考答案:B问题解析:25.若,则(A)(B)(C)(D)答题: A. B. C. D. (已提交)参考答案:D问题解析:26.若,则(A)(B)(C)(D)答题: A. B. C. D. (已提交)参考答案:B问题解析:27.若,则(A)(B)(C)(D)答题: A. B. C. D. (已提交)参考答案:C问题解析:28.若,则(A)(B)(C)(D)答题: A. B. C. D. (已提交)参考答案:D问题解析:29.若,则(A)(B)(C)(D)答题: A. B. C. D. (已提交)参考答案:B问题解析:30.若,则(A)(B)(C)(D)答题: A. B. C. D. (已提交)参考答案:C问题解析:31.若,则(A)(B)(C)(D)答题: A. B. C. D. (已提交)参考答案:D问题解析:32.若,则(A)(B)(C)(D)答题: A. B. C. D. (已提交)参考答案:A问题解析:33.若则dz=()(A)(B)(C)(D)答题: A. B. C. D. (已提交)参考答案:B问题解析:34.若则dz=()(A)(B)(C)(D)答题: A. B. C. D. (已提交)参考答案:A问题解析:35.若,则dz=()(A)(B)(C)(D)答题: A. B. C. D. (已提交)参考答案:B问题解析:36.若,则dz=()(A)(B)(C)(D)答题: A. B. C. D. (已提交)参考答案:C问题解析:37.若,则dz=()(A)(B)(C)(D)答题: A. B. C. D. (已提交)参考答案:D 问题解析:38. 若, 则dz=( )(A ) (B ) (C ) (D )答题:A.B. C. D. (已提交)参考答案:D 问题解析: 39. 若, 则( ) (A ) (B ) (C )(D )答题:A.B.C. D. (已提交)参考答案:C 问题解析: 40. 若, 则( ) (A ) (B ) (C ) (D )答题:A.B.C. D. (已提交)参考答案:D问题解析:41.若,则()(A)(B)(C)(D)答题: A. B. C. D. (已提交)参考答案:B问题解析:42.若,则()(A)(B)(C)(D)答题: A. B. C. D. (已提交)参考答案:A问题解析:43.若,则()(A)(B)(C)(D)答题: A. B. C. D. (已提交)参考答案:B问题解析:44.若,则()(A)(B)(C)(D)答题: A. B. C. D. (已提交)参考答案:A 问题解析: 45. 若, 则( ) (A ) (B ) (C ) (D )答题:A.B.C. D. (已提交)参考答案:A 问题解析: 46. 若, 则( ) (A ) (B ) (C ) (D )答题:A.B.C. D. (已提交)参考答案:B 问题解析: 47. 设函数在点的偏导数存在,则在点( )(A )连续 (B )可微 (C )偏导数连续 (D )以上结论都不对答题:A.B.C.D. (已提交)参考答案:D 问题解析: 48. 设函数在点处可导(指偏导数存在)与可微的关系是( )(A )可导必可微 (B )可微必可导 (C )两者等价 (D )以上结论都不对答题:A.B.C.D. (已提交)问题解析:49.设, 则既是的驻点,也是的极小值点.答题:对. 错. (已提交)参考答案:对问题解析:50.函数的驻点()(A)(B)(C)(D)答题: A. B. C. D. (已提交)参考答案:C问题解析:51.函数是()(A)非驻点(B)驻点但不是极值点(C)驻点且是极大值点(D)驻点且是极小值点答题: A. B. C. D. (已提交)参考答案:D问题解析:52.设二元函数则必有()(A)(B)(C)(D)答题: A. B. C. D. (已提交)问题解析:53.若()(A)0 (B)(C)(D)答题: A. B. C. D. (已提交)参考答案:C问题解析:54.设且三个积分区域之间有关系,则有()答题: A. B. C. D. (已提交)参考答案:A问题解析:55.若()(A)(B)(C)(D)答题: A. B. C. D. (已提交)参考答案:A问题解析:56.若,其中,则()答题: A. B. C. D. (已提交)参考答案:B问题解析:57.若()(A)(B)(C)(D)答题: A. B. C. D. (已提交)参考答案:A问题解析:58.若()(A)(B)(C)(D)答题: A. B. C. D. (已提交)参考答案:D问题解析:59.若()(A)(B)(C)(D)答题: A. B. C. D. (已提交)参考答案:C问题解析:60.()(A)(B)2 (C)4 (D)答题: A. B. C. D. (已提交)参考答案:B问题解析:61.()(A)1 (B)-1 (C)2 (D)-2答题: A. B. C. D. (已提交)参考答案:C问题解析:62.()(A)(B)(C)(D)答题: A. B. C. D. (已提交)参考答案:A问题解析:63.等于()(A)(B)(C)(D)答题: A. B. C. D. (已提交)参考答案:C问题解析:64.()(A)(B)(C)(D)答题: A. B. C. D. (已提交)参考答案:B问题解析:65.()(A)(B)(C)(D)答题: A. B. C. D. (已提交)参考答案:A问题解析:66.()(A)(B)(C)(D)答题: A. B. C. D. (已提交)参考答案:C67.()(A)(B)(C)(D)答题: A. B. C. D. (已提交)参考答案:D问题解析:68.()(A)(B)(C)(D)答题: A. B. C. D. (已提交)参考答案:B问题解析:69.()(A)(B)(C)(D)答题: A. B. C. D. (已提交)参考答案:A问题解析:70.()(A)(B)(C)(D)答题: A. B. C. D. (已提交)参考答案:B问题解析:71.()(A)(B)(C)(D)答题: A. B. C. D. (已提交)参考答案:C问题解析:72.设()(A)(B)(C)(D)答题: A. B. C. D. (已提交)参考答案:B问题解析:73.设()(A)(B)(C)(D)答题: A. B. C. D. (已提交)参考答案:C问题解析:74.设()(A)(B)(C)(D)答题: A. B. C. D. (已提交)参考答案:B问题解析:75.设()(A)(B)(C)(D)答题: A. B. C. D. (已提交)参考答案:B问题解析:76.应等于()(A)(B)(C)(D)答题: A. B. C. D. (已提交)参考答案:C问题解析:77.应等于()(A)(B)(C)(D)答题: A. B. C. D. (已提交)参考答案:A问题解析:78.()(A)(B)(C)(D)答题: A. B. C. D. (已提交)参考答案:B问题解析:79.等于()(A)(B)(C)(D)答题: A. B. C. D. (已提交)参考答案:A问题解析:80.等于()(A)(B)(C)(D)答题: A. B. C. D. (已提交)参考答案:B问题解析:81.交换二次积分等于()(A)(B)(C)(D)答题: A. B. C. D. (已提交)参考答案:D问题解析:82.交换二次积分等于()(A)(B)(C)(D)答题: A. B. C. D. (已提交)参考答案:B问题解析:83.交换二次积分等于()(A)(B)(C)(D)答题: A. B. C. D. (已提交)参考答案:C问题解析:84.交换二次积分等于()(A)(B)(C)(D)答题: A. B. C. D. (已提交)参考答案:A问题解析:85.交换二次积分等于()(A)(B)(C)(D)答题: A. B. C. D. (已提交)参考答案:C问题解析:86.交换二次积分等于()(A)(B)(C)(D)答题: A. B. C. D. (已提交)参考答案:A问题解析:87.交换二次积分等于()(A)(B)(C)(D)答题: A. B. C. D. (已提交)参考答案:C问题解析:88.()(A)5 (B)4 (C)3 (D)2答题: A. B. C. D. (已提交)参考答案:D问题解析:89.下列方程为二阶方程的是()(A)(B)(C)(D)答题: A. B. C. D. (已提交)参考答案:B问题解析:90.()(A)(B)(C)(D)答题: A. B. C. D. (已提交)参考答案:B问题解析:91.()(A)(B)(C)(D)答题: A. B. C. D. (已提交)参考答案:D问题解析:92.()(A)(B)(C)(D)答题: A. B. C. D. (已提交)参考答案:D问题解析:93.下列属变量可分离的微分方程的是()(A)(B)(C)(D)答题: A. B. C. D. (已提交)参考答案:C问题解析:94.下列微分方程中不是线性微分方程是()(A)(B)(C)(D)答题: A. B. C. D. (已提交)参考答案:D问题解析:95.下列微分方程中属于一阶线性微分方程是()(A)(B)(C)(D)答题: A. B. C. D. (已提交)参考答案:D问题解析:96.下列方程为一阶线性方程的是()(A)(B)(C)(D)答题: A. B. C. D. (已提交)参考答案:B问题解析:97.方程()(A)变量可分离方程(B)齐次方程(C)一阶线性方程(D)不属于以上三类方程答题: A. B. C. D. (已提交)参考答案:C问题解析:98.方程是()(A)一阶线性方程(B)齐次方程(C)变量可分离方程(D)不属于以上三类方程答题: A. B. C. D. (已提交)参考答案:A问题解析:99.下列微分方程中属于一阶齐次方程的是()(A)(B)(C)(D)答题: A. B. C. D. (已提交)参考答案:B问题解析:100.()(A)(B)(C)(D)答题: A. B. C. D. (已提交)参考答案:C问题解析:101.()(A)(B)(C)(D)答题: A. B. C. D. (已提交)参考答案:A问题解析:102.微分方程的通解为()(A)(B)(C)(D)答题: A. B. C. D. (已提交)参考答案:B问题解析:103.()(A)(B)(C)(D)答题: A. B. C. D. (已提交)参考答案:C问题解析:104.( )(A)(B)(C)(D)答题: A. B. C. D. (已提交)参考答案:B问题解析:105.为()(A)(B)(C)(D)答题: A. B. C. D. (已提交)参考答案:C 问题解析: 106. ( ) (A ) (B ) (C )(D )答题:A.B.C.D. (已提交)参考答案:C 问题解析:107. ( ) (A ) (B ) (C )(D )答题:A.B.C.D. (已提交)参考答案:B 问题解析:108. ( )(A ) (B ) (C ) (D )答题:A.B.C.D. (已提交)参考答案:B 问题解析:109.微分方程的通解是()(A)(B)(C)(D)答题: A. B. C. D. (已提交)参考答案:C问题解析:110.微分方程的特解是()(A)(B)(C)(D)答题: A. B. C. D. (已提交)参考答案:D问题解析:111.()(A)(B)(C)(D)答题: A. B. C. D. (已提交)参考答案:A问题解析:112.微分方程的通解为()(A)(B)(C)(D)答题: A. B. C. D. (已提交)参考答案:B问题解析:113.()(A)(B)(C)(D)答题: A. B. C. D. (已提交)参考答案:C问题解析:114.的特解是()(A)(B)(C)(D)答题: A. B. C. D. (已提交)参考答案:B问题解析:115.的通解是()(A)(B)(C)(D)答题: A. B. C. D. (已提交)参考答案:C问题解析:116.的通解为()(A)(B)(C)(D)答题: A. B. C. D. (已提交)参考答案:D问题解析:117.的特解为()(A)(B)(C)(D)答题: A. B. C. D. (已提交)参考答案:B问题解析:118.则下列求偏导数的四个步骤中计算正确的有()答题: A. B. C. D. >> (已提交)参考答案:ABCD119.,则下列求全微分的四个步骤中计算正确的有()答题: A. B. C. D. >> (已提交)参考答案:AB问题解析:120.已知,则下列求全微分的四个步骤中计算正确的有()答题: A. B. C. D. >> (已提交)参考答案:ABC问题解析:121.所确定,其中具有连续的偏导数.试证明:则下面证明过程正确的步骤有()(A)第一步:设,则(B)第二步:(C)第三步:(D)第四步:答题: A. B. C. D. >> (已提交)参考答案:ABCD问题解析:122.,则下列计算正确的步骤有()答题: A. B. C. D. >> (已提交)参考答案:ABC问题解析:123.,则下列计算正确的步骤有()答题: A. B. C. D. >> (已提交)参考答案:ABCD问题解析:124.,则下列计算正确的步骤有()答题: A. B. C. D. >> (已提交)参考答案:ACD问题解析:125.设则计算正确的步骤有()答题: A. B. C. D. >> (已提交)参考答案:AB126.()答题: A. B. C. D. >> (已提交)参考答案:ACD问题解析:127.计算正确的步骤有()答题: A. B. C. D. >> (已提交)参考答案:ABCD问题解析:128.()答题: A. B. C. D. >> (已提交)参考答案:ABCD问题解析:129.答题: A. B. C. D. >> (已提交)参考答案:ABC问题解析:130.已知下列步骤正确的有()答题: A. B. C. D. >> (已提交)参考答案:ABC问题解析:131.()答题: A. B. C. D. >> (已提交)参考答案:ABCD问题解析:132.下面求的步骤正确的有()答题: A. B. C. D. >> (已提交)参考答案:ABC问题解析:133.求解微分方程通解的正确步骤有( )答题: A. B. C. D. >> (已提交)参考答案:ABC问题解析:134.已知()答题: A. B. C. D. >> (已提交)参考答案:ABCD问题解析:135.()答题: A. B. C. D. >> (已提交)参考答案:ABCD问题解析:136.求微分方程正确的步骤有()答题: A. B. C. D. >> (已提交)参考答案:AB问题解析:137.()答题: A. B. C. D. >> (已提交)参考答案:AB问题解析:138.求微分方程的特解,则正确的步骤有()答题: A. B. C. D. >> (已提交)参考答案:ABCD问题解析:139.求微分方程满足条件特解的正确步骤有( )答题: A. B. C. D. >> (已提交)参考答案:ABC140.求微分方程的通解的正确步骤有()答题: A. B. C. D. >> (已提交)参考答案:ABCD问题解析:141.求微分方程通解的正确步骤有()答题: A. B. C. D. >> (已提交)参考答案:ABCD问题解析:142.答题:对. 错. (已提交)问题解析:143.答题:对. 错. (已提交)参考答案:×问题解析:144.答题:对. 错. (已提交)参考答案:×问题解析:145.答题:对. 错. (已提交)参考答案:×问题解析:146.函数答题:对. 错. (已提交)参考答案:×问题解析:147.答题:对. 错. (已提交)问题解析:148.若的偏导数存在, 则可微.答题:对. 错. (已提交)参考答案:×问题解析:149.若的偏导数存在, 则连续.答题:对. 错. (已提交)参考答案:×问题解析:150.若可微,则存在.答题:对. 错. (已提交)参考答案:√问题解析:151.若可微,则连续.答题:对. 错. (已提交)参考答案:√问题解析:152.若连续,则可微.答题:对. 错. (已提交)参考答案:×问题解析:153.若连续,则偏导数存在.答题:对. 错. (已提交)参考答案:×问题解析:154.若是的极值点,则是的驻点.答题:对. 错. (已提交)参考答案:×155.若是的极值点,且函数在点的偏导数存在,则是的驻点.答题:对. 错. (已提交)参考答案:√问题解析:156.二重积分表示以曲面为顶,以区域为底的曲顶柱体的体积.答题:对. 错. (已提交)参考答案:×问题解析:157.当时,二重积分表示以曲面为顶,以区域为底的曲顶柱体的体积.答题:对. 错. (已提交)参考答案:√。