基础化学习题答案chap1-2
- 格式:doc
- 大小:68.00 KB
- 文档页数:4
学生自测答案[TOP]一、判断题1.√2.√3.×4.×5.√二、选择题1.B2.B3.D4.A5.C三、填空题1. (1) 难挥发性 (2)非电解质 (3) 稀溶液2.(4)溶液的蒸气压下降 (5)沸点升高 (6)凝固点降低 (7)溶液的渗透压力。
3.(8)存在半透膜 (9)膜两侧单位体积中溶剂分子数不等 (10)从纯溶剂向溶液 (11)从稀溶液向浓溶液四、问答题1.Raoult F M 探索溶液蒸气压下降的规律。
对于难挥发性的非电解质稀溶液,他得出了如下经验公式:p = p o x A 又可表示为Δp = p o - p = K b BΔp 是溶液蒸气压的下降,比例常数K 取决于p o 和溶剂的摩尔质量M A 。
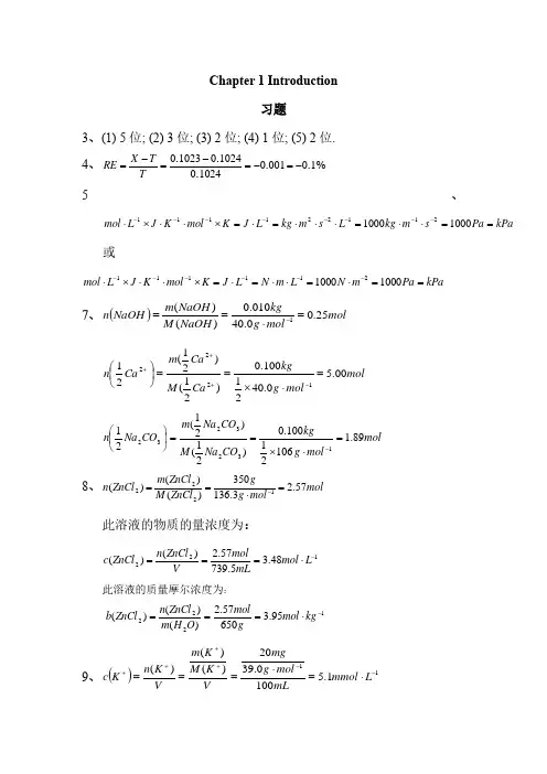
这就是Raoult 定律。
温度一定时,难挥发性非电解质稀溶液的蒸气压下降与溶质的质量摩尔浓度b B 成正比,而与溶质的本性无关。
在水中加入葡萄糖后,凝固点将比纯水低。
因为葡萄糖溶液的蒸气压比水的蒸气压低,在水的凝固点时葡萄糖溶液的蒸气压小于冰的蒸气压,两者不平衡,只有降低温度,才能使溶液和冰平衡共存。
2. 这里一个重要问题就是使补液与病人血浆渗透压力相等,才能使体水分调节正常并维持细胞的正常形态和功能。
否则会造成严重后果。
五、计算题1.11-4L mol 6149.0mol g 48.53L 0020.0g160.0Cl)(NH -⋅=⋅⨯=c-1-1-14os L mmol 2.299mol mmol 00012L mol 6149.0Cl)(NH ⋅=⋅⨯⨯⋅=c红细胞行为正常。
2. AB B f B f f 1000m M m K b K T ⋅⋅⋅==∆ 1-1-1f A B f B mol g 5.123g04.19K 245.0kg g 0001g 0113.0mol kg K 10.5Δ0001-⋅=⨯⋅⨯⨯⋅⋅=⋅⋅⋅=T m m K M 磷分子的相对分子质量为123.5所以,磷分子中含磷原子数为:499.397.305.123≈= 章后习题答案[TOP] 习题1. 水在20℃时的饱和蒸气压为2.34 kPa 。
习 题 答 案第一章 绪论1、求0.010kgNaOH 、0.100kg (21Ca 2+)、0.10kg (21Na 2CO 3)的物质的量。
解:(1)m (NaOH) = 0.010kg M (NaOH) = 40g ·mol -1n (NaOH) =4010= 0.25 (mol) (2)m (21Ca 2+) = 0.100kg M (21Ca 2+) = 40g ·mol -1 n (21Ca 2+) =20100= 5.0(mol) (3)m (21Na 2CO 3) = 0.10kg M (21Na 2CO 3) = 53g ·mol -1 n (Na 2CO 3) =53100= 1.89 (mol) 2、下列数值各有几位有效数字?(1)1.026 4位 (2)0.0208 3位 (3)0.003 1位(4)23.40 4位 (5)3000 无数位 (6)1.0×10-3 2位 3、应用有效数字计算规则,计算下列各式:(1)21.10 - 0.263 + 2.3 = 23.1 (2)3.20×23.45×8.912 = 667(3)31026.117.2322.3⨯⨯= 5.93×10-3(4)=⨯⨯⨯-15.2325.21032.44.52 4.6×10-2 4、(1) 以H 2SO 4为基本单元,M(H 2SO 4)=98g/mol ; (2) 以HSO 4-为基本单元,M(HSO 4-)=97g/mol ; (3) 以3H 2SO 4为基本单元,M(3H 2SO 4)=294g/mol 。
5、答:甲的报告更为合理,百分比小数点后保留两位有效数字。
第二章 溶液与胶体1、在25o C 时,质量分数为0.0947的稀硫酸溶液的密度为1.06g ·L -1,在该温度下纯水的密度为0.997 g ·L -1。
第一章 习题答案1.答:能量单位J 、质量单位μg 、长度单位nm 、温度单位℃、属于SI 单位;其他不是。
2.答:SI 基本单位:m 、kg 、s 、A 、K 、mol 、cd 。
3.答:一切属于国际单位制的单位都是我国的法定计量单位。
根据我国的实际情况,在法定计量单位中还明确规定采用了若干可与国际单位制并用的非国际单位制单位。
第二章习题答案1. 解: 根据)()O H ()O H ()O H (222蔗糖n n n x +=0292m o l .0m o l 342g g0.10)( mol 56.5mol 18.0g g 100)O H (1-1-2=⋅==⋅=蔗糖n n 995.00.0292m o lm o l 56.5mol56.5)O H (2=+=xkPa 33.20.995kPa 34.2)O H ()O H (2*2=⨯==x p p2.解:)B ()O H ()()O H (999.00.1molmol 08mol08)O H ()O H ()O H ()O H (899.00.1molmol 04mol 04)O H ()O H ()O H ()(999.00.1molmol 80mol80)()()()O H (999.00.1mol mol 80mol80)O H ()O H ()O H (*2**2*22*22*2*22*23***2*2*22*21答案为苯苯苯苯苯∴>=+⋅===+⋅===+⋅===+⋅==p p p p x p p p p x p p p p x p p p p x p p 3.解:与人体血浆等渗。
11os f 11os f B f B f f 11-1-1-os L mmol 310L mol 31.0C58.0K58.0L mol 31.0mol kg K 86.1L mol 31.0L00.1mol 147g g33.03mol 74.6g g 30.02mol 58.5g g 50.82-----⋅=⋅=︒-==⋅⨯⋅⋅=≈≈=∆⋅=⋅⨯+⋅⨯+⋅⨯=c T c K c iK b iK T c4.解:K 85.1mol kg K 512.00.510Kmol kg K 86.1mol g 1.28mol kg 0281.00.510K 250g g 00.7mol kg K 512.011b b f B f f 111b A B b B =⋅⋅⋅⋅⋅=∆⋅=⋅=∆⋅=⋅=⨯⨯⋅⋅=∆⋅⋅=-----K T K b K T T m m K MT f = -1.85℃ 5. 解:压略高于人体眼液的渗透kPa 869K 310K mol L kPa 314.8L mol 337.0L mmol 337L mol 337.0mL10001.000LmL 1000mol 61.8g g 00.17mol 161.5g g 00.52111-os 1-1-1-1-os =⨯⋅⋅⋅⨯⋅==⋅=⋅=⨯⋅+⋅⨯=--RT c Πc6. 解:11A fB f B 11A b B b B mol kg 61.1100g0.220K g0.19mol kg K 86.1mol kg 62.1100g 0.0600K g 0.19mol kg .512K 0----⋅=⨯⨯⋅⋅=∆=⋅=⨯⨯⋅⋅=∆=m T m K M m T m K M用两种方法计算该物质的相对分子质量基本相同。
基础化学第八版课后习题答案基础化学第八版课后习题答案在学习化学的过程中,课后习题是巩固知识、检验理解的重要环节。
本文将为大家提供基础化学第八版课后习题的答案,希望能够帮助大家更好地学习和掌握化学知识。
第一章:化学世界1. 化学是一门研究物质的科学。
它研究物质的组成、性质、结构、转化过程以及与能量的关系。
2. 物质是构成宇宙万物的基本单位,可以分为纯物质和混合物。
纯物质由一种组分构成,混合物由两种或两种以上的组分构成。
3. 化学变化是物质发生变化的过程,包括化学反应和核反应。
4. 化学反应的特征有:起始物质(反应物)和生成物质的变化,化学键的形成和断裂,能量的吸收和释放。
5. 物质的性质可以通过观察和实验来确定,包括物理性质和化学性质。
物理性质是物质本身固有的性质,如颜色、密度、熔点等;化学性质是物质与其他物质发生反应时表现出的性质,如与酸反应产生气体等。
第二章:物质的量和化学反应1. 物质的量是描述物质数量的物理量,用单位摩尔(mol)表示。
1摩尔物质的质量称为摩尔质量,用单位克/摩尔(g/mol)表示。
2. 摩尔质量的计算公式为:摩尔质量 = 物质的质量 / 物质的量。
3. 化学方程式是用化学符号和化学式表示化学反应的过程。
化学方程式必须满足质量守恒定律和电荷守恒定律。
4. 反应的量比关系可以通过化学方程式的系数来确定。
系数表示反应物和生成物的摩尔比。
5. 化学计量是研究化学反应中物质的量关系的学科。
它可以通过计算反应物和生成物的摩尔比来确定反应的量比关系。
第三章:化学反应的能量变化1. 化学反应的能量变化可以通过热量变化来描述。
化学反应吸热时,称为吸热反应;放热时,称为放热反应。
2. 反应的焓变(ΔH)是描述化学反应能量变化的物理量。
焓变可以通过实验测量或计算得到。
3. 反应的焓变可以通过热量计(卡计)进行测量。
热量计是一种用于测量物质吸收或释放的热量的仪器。
4. 焓变的计算公式为:ΔH = 反应物的焓 - 生成物的焓。
习题解答(第一章物质结构基础)思考与习题1.填空题(1)原子核外电子运动具有波粒二象性、能量变化不连续的特征,其运动规律可用量子力学来描述。
(2)当主量子数为3时,包含有3s、3p、3d三个亚层,各亚层为分别包含1、3、5个轨道,分别能容纳2、6、10个电子。
(3)同时用n、l、m和m s四个量子数可表示原子核外某电子的运动状态;用n、l、m 三个量子数表示核外电子运动的一个轨道;而n、l两个量子数确定原子轨道的能级。
(4)改错的现象称为能级交错。
3d4S(6)原子序数为35的元素,其基态原子的核外电子分布式为1s22s22p63s23p63d104s24p5,用原子实表示为[Ar]3d104s24p5,其价电子构型为4s24p5,价电子构型的轨道表示式为;该元素位于元素周期表的第ⅦA 族,第四周期,元素符号是Br 。
(7)等价轨道处于全充满(p6、d10、f14)、半充满(p3、d5、f7)和全空(p0、d0、f0)状态时,具有较低的能量,比较稳定。
这一规律通常又称为洪德规则的特例。
(8)原子间通过共用电子对而形成的化学键,叫做共价键。
共价键的本质是原子轨道的重叠,其形成条件是两个具有自旋相反单电子的原子轨道,尽可能达到最大重叠。
(9)表征化学键性质的物理量,统称为键参数,常用的有键能、键长、键角。
(10)H2S分子的构型为V形,中心原子S采取sp3不等性杂化,键角∠HSH<109°28′(提示:填写>,=或<)。
(11)完成下表2.选择题(1)下列原子轨道中,属于等价轨道的一组是( C )。
A .2s ,3sB .2p x ,3p xC .2p x ,2p yD .3d xy ,4d xy(2)下列用一套量子数表示的电子运动状态中,能量最高的是( B )。
A .4,1,-1,-12B .4,2,0,-12C .4,0,0,+12D .3,1,1,+12(3)下列不存在的能级是( C )。
基础化学第二版习题答案第一章:原子结构与元素周期表1. 根据质子数确定元素:- 质子数为1的元素是氢(H)。
- 质子数为6的元素是碳(C)。
2. 元素周期表中元素的排列规律:- 元素按照原子序数递增排列。
- 元素周期表分为s区、p区、d区和f区。
3. 元素周期表中的族和周期:- 每个周期代表一个电子壳层。
- 每个族代表一个价电子层。
第二章:化学键与分子结构1. 离子键与共价键的区别:- 离子键是由正负离子之间的静电吸引力形成的。
- 共价键是由两个原子共享电子对形成的。
2. 极性分子与非极性分子:- 极性分子具有不对称的电荷分布。
- 非极性分子的电荷分布是对称的。
3. 分子间作用力:- 包括氢键、范德华力等。
第三章:化学计量学1. 摩尔的概念:- 摩尔是化学中用于表示物质量的单位。
2. 摩尔质量的计算:- 摩尔质量是元素的相对原子质量,以克/摩尔为单位。
3. 化学方程式的平衡:- 确保方程式两边的原子数相等。
第四章:溶液与溶解度1. 溶液的类型:- 包括水溶液、有机溶液等。
2. 溶解度的定义:- 溶解度是在特定条件下,物质在溶剂中的最大溶解量。
3. 溶液的浓度表示方法:- 包括摩尔浓度、质量浓度等。
第五章:化学反应速率与化学平衡1. 反应速率的影响因素:- 包括温度、浓度、催化剂等。
2. 化学平衡的定义:- 反应物和生成物的浓度不再随时间变化的状态。
3. 勒夏特列原理:- 描述了化学平衡对系统条件变化的响应。
第六章:氧化还原反应1. 氧化与还原的定义:- 氧化是电子的损失,还原是电子的获得。
2. 氧化还原反应的平衡:- 涉及电子的转移,需要考虑电子的平衡。
3. 氧化还原电位:- 描述了氧化还原反应的倾向性。
第七章:酸碱平衡1. 酸与碱的定义:- 酸是能够释放氢离子的物质,碱是能够释放氢氧根离子的物质。
2. pH的定义:- pH是溶液酸度的度量,表示为氢离子浓度的负对数。
3. 缓冲溶液:- 能够抵抗小量酸或碱添加引起的pH变化。
基础化学 第一章 习题参考答案3. (1) 5位,(2) 3位,(3) 2位,(4)1位,(5)2位。
4. %1.0001.01024.00001.01024.01024.01023.0-=-=-=-=RE5. kPa}){}{}({m N 10}){}{}({dm m N }){}{}({ L J }){}{}({K mol K J L mol }){}{}({ ])[][]([}){}{}({][}{][}{][}{2331111-T R c T R c T R c T R c T R c T R c T R c T T R R c c cRT Π⨯⨯=⋅⨯⨯⨯=⋅⋅⨯⨯=⋅⨯⨯=⨯⋅⋅⨯⋅⨯⨯=⨯⨯⋅⨯⨯=⋅⨯⋅⨯⋅==-----式中,花括号代表量的值,方括号代表量的单位。
6. 1 mi 3 = 1.609 3443 km 3 = 4.168 182 km 3, 所以水资源的总体积V = (317 000 000 + 7 000 000 + 2 000 000 + 30 000) × 4.168 182 km 3 =1.3590 ×109 km 37.m ol 0.25 kg 1g1000 m ol g )00.10.160.23(kg 0.010(NaOH)1-=⨯⋅++=nmol1.89 kg 1g 1000 mol g )00.16301.1299.222(21kg 0.100 )CO Na 21(mol4.99 kg 1g1000 mol g 08.4021kg 0.100 )Ca 21(1-321-2=⨯⋅⨯++⨯⨯==⨯⋅⨯=+n n8. m ol 2.57 m ol g )35.45 239.65(g350)(ZnCl 1-2=⋅⨯+=n1-21-2k mol 3.95 kg 1g1000 650mol 2.57 )(ZnCl L mol 3.48 L1mL1000 mL 39.57mol 2.57)(ZnCl g g b c ⋅=⨯=⋅=⨯=9. 1-1--3L mmol 5.1 mol 1mmol1000 L 1L 100mL 1000 mol g 9.13g 10 20 )(K ⋅=⨯⨯⨯⋅⨯=+c1-1--3-L mmol 103 mol1mmol 1000 L 1L 100mL 1000 mol g 5.453g 10 366 )(Cl ⋅=⨯⨯⨯⋅⨯=c10. 设称取含结晶水的葡萄糖(C 6H 12O 6·H 2O)的质量为m ,052600. molg 16.0)1.01g/[(2 50)-(1000 mol 0.28mol0.278 )O H (C Lmol 0.278 mol g )0.16601.1120.126(L g 0.05 )O H (C g 27.5L g 50.0 L.50001g )0.1601.120.16601.1120.126(g)0.16601.1120.126( O)H O H (C 1-61261-1-1-61261-26126=⋅+⨯+=⋅=⋅⨯+⨯+⨯⋅==⋅=⨯+⨯+⨯+⨯+⨯⨯+⨯+⨯⨯=⋅x c m m ρ11. L .41 L g .091g 3.02g )5.350.23( g 5.0 (NaCl)1-=⋅⨯+⨯=V12. ∵ 10KI + 2KMnO 4 + 8H + = 12K + + 2MnO 2 + 5I 2 + 4H 2O∴ mol 0.004 mol g )9.1262(21g 0.508 )I 21( )KMnO 51 (KI 1-24=⋅⨯⨯==+n n基础化学 第二章 习题参考答案1. 根据 BA AA n n n x +=,mol 56.5mol 18.0g 100g O)(H 1-2=⋅=n mol 0292.0molg 342g 0.10)(1=⋅=-蔗糖n 995.0mol0292.0mol 56.5mol 56.5)(O)(H O)(H O)(H 222=+=+=蔗糖n n n xkPa 33.2995.0kPa 34.2O)(H 20=⨯==x p p2. (1) mol 004912.0molg 342g68.1)(1=⋅=-甲n mol 003551.0molg 690g45.2)(1=⋅=-乙n 1kg mol 2456.0kg0200.0mol004912.0-⋅==(甲)b1kg mol 1775.0kg0200.0mol003551.0-⋅==(乙)b溶液乙的蒸气压下降小,故蒸气压高。
基础化学第三版习题答案章集团档案编码:[YTTR-YTPT28-YTNTL98-UYTYNN08]习 题 答 案第一章 绪论1、求、0.100kg (21Ca 2+)、0.10kg (21Na 2CO 3)的物质的量。
解:(1)m (NaOH) = 0.010kg M (NaOH) = 40g ·mol -1n (NaOH) =4010= (mol) (2)m (21Ca 2+) = M (21Ca 2+) = 40g ·mol -1 n (21Ca 2+) =20100= (mol) (3)m (21Na 2CO 3) = M (21Na 2CO 3) = 53g ·mol -1 n (Na 2CO 3) =53100= (mol) 2、下列数值各有几位有效数字(1) 4位 (2) 3位 (3) 1位 (4) 4位 (5)3000 无数位 (6)×10-3 2位 3、应用有效数字计算规则,计算下列各式: (1) - + = (2)×× = 667(3)31026.117.2322.3⨯⨯= ×10-3(4)=⨯⨯⨯-15.2325.21032.44.52×10-2 4、(1) 以H 2SO 4为基本单元,M(H 2SO 4)=98g/mol ; (2) 以HSO 4-为基本单元,M(HSO 4-)=97g/mol ; (3) 以3H 2SO 4为基本单元,M(3H 2SO 4)=294g/mol 。
5、答:甲的报告更为合理,百分比小数点后保留两位有效数字。
第二章 溶液与胶体1、在25o C 时,质量分数为的稀硫酸溶液的密度为1.06g ·L -1,在该温度下纯水的密度为0.997 g ·L -1。
计算H 2SO 4的物质的量分数、物质的量浓度和质量摩尔浓度。
解:设取稀硫酸溶液1L ,则n(H 2SO 4) = 980947.0100006.1⨯⨯ = (mol)n(H 2O) = 18)0947.01(100006.1-⨯⨯ = (mol)c (H 2SO 4) =Vn )SO H (42 = (mol ·l -1) x(H 2SO 4) = )O H ()SO H ()SO H (24242n n n + =31.5302.102.1+=b(H 2SO 4) =)O H ()SO H (242m n =)0947.01(06.1100002.1-⨯⨯= (mol ·kg -1)2、醚的正常沸点为℃,在40℃时往100g 乙醚中至少加入多少摩尔不挥发溶质才能防止乙醚沸腾 解: B b b •=Δb K T 0.12.0234.5)-(40n⨯= n =3、苯的凝固点为5.50℃, K f = K·kg·mol -1。
基础化学第二版习题答案基础化学是一门让人们对物质世界有更深入了解的学科。
无论是学生还是教师,习题是学习和教授化学知识的重要工具。
本文将回答《基础化学第二版》中的一些习题,帮助读者更好地理解化学知识。
1. 习题一:如何计算化学反应的摩尔比例?在化学反应中,摩尔比例是指反应物之间的化学计量比。
计算摩尔比例的方法是通过化学方程式中的系数来确定。
例如,对于反应式2H2 + O2 → 2H2O,我们可以看到氢气和氧气的系数分别为2和1,因此它们的摩尔比例为2:1。
2. 习题二:如何计算化学反应的理论产量?理论产量是指在理想条件下,根据化学计量关系计算出的产物的最大可能量。
计算理论产量的方法是根据化学方程式中的系数以及反应物的摩尔量来确定。
例如,对于反应式2H2 + O2 → 2H2O,如果我们有4摩尔的氢气和2摩尔的氧气,根据摩尔比例,氢气的限制摩尔量为2摩尔,因此理论产量为2摩尔的水。
3. 习题三:如何计算化学反应的实际产量?实际产量是指在实验条件下,通过实验测量得到的产物的量。
计算实际产量的方法是根据实验数据计算出来。
例如,如果在上述反应中,实验中得到了1.8摩尔的水,则实际产量为1.8摩尔。
4. 习题四:如何计算化学反应的反应过程中的物质的摩尔量?在化学反应中,可以通过摩尔比例和已知物质的摩尔量来计算其他物质的摩尔量。
例如,对于反应式2H2 + O2 → 2H2O,如果已知氢气的摩尔量为4摩尔,根据摩尔比例可以计算出氧气的摩尔量为2摩尔。
5. 习题五:如何计算化学反应的能量变化?化学反应的能量变化可以通过反应热进行计算。
反应热是指在化学反应中释放或吸收的能量。
计算能量变化的方法是根据反应热的数值以及反应物和产物的摩尔量来计算。
例如,如果反应热为-200 kJ/mol,反应物的摩尔量为2摩尔,产物的摩尔量为2摩尔,则能量变化为-400 kJ。
通过回答以上习题,我们可以更好地理解基础化学中的一些重要概念和计算方法。
第二章稀薄溶液的依数性首页难题解析学生自测题学生自测答案章后习题答案难题解析[TOP]例2-1 已知异戊烷C 5H 12的摩尔质量M (C 5H 12) = 72.15 g ·mol -1,在20.3℃的蒸气压为77.31 kPa 。
现将一难挥发性非电解质0.0697g 溶于0.891g 异戊烷中,测得该溶液的蒸气压降低了2.32 kPa 。
(1)试求出异戊烷为溶剂时Raoult 定律中的常数K ;(2)求加入的溶质的摩尔质量。
分析 Raoult 定律中的常数K = p 0M A ,注意p 0是溶剂异戊烷的蒸气压。
解(1)AA B AB BAB BM m n n n n n n x BBA 0A AB 0BΔKb b M p M m n px p p K = p 0MA 对于异戊烷有K = p 0M A = 77.31 kPa ×72.15 g ·mol-1=5578 kPa ·g ·mol-1= 5.578 kPa ·kg ·mol-1(2)AB B BΔm M m K Kb p 11A BBmolg 188kg10000.891kPa32.2g 0697.0molkg kPa 578.5Δm p m KM例2-2 一种体液的凝固点是-0.50℃,求其沸点及此溶液在0℃时的渗透压力(已知水的K f =1.86K ·kg ·mol -1,K b =0.512K ·kg ·mol -1)。
分析稀薄溶液的四个依数性是通过溶液的质量摩尔浓度相互关连的,即RTK T K T Kp b ff bb BΔΔΔ因此,只要知道四个依数性中的任一个,即可通过b B 计算其他的三个依数性。
解Bf fbK T11-ff Bkgmol 269.0molkg K 86.1K 500.0Δk T b K138.0kgmol 269.0mol kg K 512.0Δ-1-1Bb b b K T 故其沸点为100+0.138 = 100.138℃0℃时的渗透压力RTb cRTB = 0.269mol ·L-1×8.31J ·K-1·mol -1×273K = 0. 269mol ·L-1×8.31kPa ·L ·K-1·mol -1×273K= 610 kPa例2-3 按溶液的凝固点由高到低的顺序排列下列溶液:① 0.100mol ·kg-1的葡萄糖溶液② 0.100mol ·kg -1的NaCl 溶液③ 0.100mol ·kg -1的尿素溶液④ 0.100mol ·kg-1的萘的苯溶液分析这里要考虑多种因素:溶剂的凝固点、溶剂的摩尔凝固点降低常数、溶液的质量摩尔浓度、溶质是电解质还是非电解质。
基础化学教程习题答案在基础化学教程中,习题答案通常是为了帮助学生更好地理解化学概念、原理和计算方法。
以下是一些典型的习题及其答案,以供参考:习题1:计算摩尔质量- 题目:水(H₂O)的摩尔质量是多少?- 答案:水的摩尔质量是18.015 g/mol。
计算公式为:摩尔质量 = 2 × 原子质量(H) + 原子质量(O) = 2 × 1.008 g/mol + 16.00 g/mol。
习题2:计算溶液的浓度- 题目:如果将25.0克的氯化钠(NaCl)溶解在100毫升水中,所得溶液的摩尔浓度是多少?- 答案:首先计算NaCl的摩尔数,摩尔数 = 质量 / 摩尔质量 =25.0 g / 58.44 g/mol ≈ 0.428 mol。
然后计算摩尔浓度,摩尔浓度= 摩尔数 / 体积(L) = 0.428 mol / 0.1 L = 4.28 mol/L。
习题3:化学方程式的平衡- 题目:写出铁与氧气反应生成铁(III)氧化物的化学方程式,并平衡它。
- 答案:4 Fe + 3 O₂ → 2 Fe₂O₃。
这个方程式已经平衡,因为每个元素在反应物和生成物中的原子数相等。
习题4:计算反应物的摩尔数- 题目:在实验室中,需要进行一个反应,已知需要1.5摩尔的氢气(H₂)。
如果氢气瓶的标签上标明了其摩尔体积为22.4 L/mol,求需要多少升的氢气?- 答案:需要的氢气体积 = 摩尔数× 摩尔体积= 1.5 mol × 22.4 L/mol = 33.6 L。
习题5:计算pH值- 题目:如果一个溶液的氢离子浓度为10⁻⁵ M,求其pH值。
- 答案:pH值 = -log₁₀[H⁺] = -log₁₀(10⁻⁵) = 5。
习题6:计算溶液的pOH- 题目:如果一个溶液的氢氧根离子浓度为10⁻¹⁰ M,求其pOH值。
- 答案:pOH = -log₁₀[OH⁻] = -log₁₀(10⁻¹⁰) = 10。
第二章 稀薄溶液的依数性 首 页 难题解析 学生自测题 学生自测答案 章后习题答案 难题解析 [TOP]例2-1 已知异戊烷C 5H 12的摩尔质量M (C 5H 12) = 72.15 g·mol -1,在20.3℃的蒸气压为77.31 kPa 。
现将一难挥发性非电解质溶于异戊烷中,测得该溶液的蒸气压降低了2.32 kPa 。
(1)试求出异戊烷为溶剂时Raoult 定律中的常数K ;(2)求加入的溶质的摩尔质量。
分析 Raoult 定律中的常数K = p 0M A ,注意p 0是溶剂异戊烷的蒸气压。
解 (1) AA B AB B A B B M m n n n n n n x =≈+= B B A 0A A B 0B 0ΔKb b M p M m n p x p p ==== K = p 0M A对于异戊烷有 K = p 0M A = 77.31 kPa×72.15 g·mol -1=5578 kPa·g·mol -1 = 5.578 kPa·kg·mol -1(2)AB B B Δm M m K Kb p == 11A B B mol g 188kg 10000.891kPa 32.2g 0697.0mol kg kPa 578.5Δ--⋅=⨯⋅⋅=⋅=m p m K M 例2-2 一种体液的凝固点是-0.50℃,求其沸点及此溶液在0℃时的渗透压力(已知水的K f =1.86 K·kg·mol -1,K b =0.512K·kg·mol -1)。
分析 稀薄溶液的四个依数性是通过溶液的质量摩尔浓度相互关连的,即RTK T K T K p b ∏≈===f f b b B ΔΔΔ 因此,只要知道四个依数性中的任一个,即可通过b B 计算其他的三个依数性。
解 Bf f b K T =∆11-f f B kg mol 269.0mol kg K 86.1K 500.0Δ-⋅=⋅⋅==k T b K 138.0kg mol 269.0mol kg K 512.0Δ-1-1B b b =⋅⨯⋅⋅==b K T 故其沸点为100+0.138 = 100.138℃ 0℃时的渗透压力 RT b cRT B ≈=∏ = 0.269mol·L -1×8.31J·K -1·mol -1×273K = 0. 269mol·L -1×8.31kPa·L·K -1·mol -1×273K = 610 kPa 例2-3 按溶液的凝固点由高到低的顺序排列下列溶液: ① 0.100mol·kg -1的葡萄糖溶液 ② 0.100mol·kg -1的NaCl 溶液 ③ 0.100mol·kg -1的尿素溶液 ④ 0.100mol·kg -1的萘的苯溶液分析 这里要考虑多种因素:溶剂的凝固点、溶剂的摩尔凝固点降低常数、溶液的质量摩尔浓度、溶质是电解质还是非电解质。
基礎化學第1~2章試題卷(詳解答案)一、單選題()( ) 1. C60(巴克球)球面上共有幾個六角形平面?(A)12 (B)18 (C)20 (D)30。
C( ) 2. 下列各組物質中各有一個是純物質,另一個是混合物?(甲)氯化鈉水溶液與純水(乙)空氣與純氮氣(丙)金銅合金與純金(丁)柴油與乙醇假設在一般高中實驗室,用實驗的方法來區別純物質與混合物在50︒C~120︒C間測其沸點就可以區別出來者為何?(A)甲(B)乙(C)甲、乙(D)甲、丁。
D區別bp在50~120︒C,需知一是為液體,且有一較易蒸發。
( ) 3. 在1atm時,100克,-10︒C的冰欲形成100︒C的水蒸氣共吸熱若干仟卡(kcal) (A)72.7 (B)68.2 (C)83.2(D)58.4。
(設冰的比熱為0.90 cal/g ︒C)A(100⨯0.9⨯10+100⨯80+100⨯1⨯100+100⨯540)÷1000=72.7( ) 4. 某工廠所排放的廢水中Hg2+的重量百分率濃度為0.002%則該廢水中Hg2+濃度若干ppm (A)2 (B)20 (C)200(D)0.2。
B0.002%=0.002100=62010=20ppm( ) 5. 在蒸餾水製造過程中,很難除去的雜質為:(A)氯氣(B)二氧化碳(C)灰塵(D)礦物質。
B( ) 6. 大氣壓750mmHg時,純水之熔點(m.p.)及沸點(b.p.)為(A)m.p.<0︒C,b.p.<100︒C (B)m.p.>0︒C,b.p.<100︒C (C)m.p.>0︒C,b.p.>100︒C (D)m.p.<0︒C,b.p.>100︒C。
D壓力愈小,m.p愈小,b.p愈大( ) 7. 有關水庫之水質,有所謂「水質優養化」,此話的意思是指:(A)水經處理後水中之含氧量增多(B)水中之傳染媒介,如細菌、病毒等增多(C)水中植物的營養素,如有機物、硝酸鹽、磷酸鹽等增多(D)水中之重金屬離子,如汞、鉛等增多。
第一章绪论习题答案
1.指出下列哪些单位属于SI单位,那些不是。
时间单位min、能量单位J、体积单位L、质量单位μg、长度单位nm、温度单位℃
2.SI制的基本单位有哪几个?
3.我国的法定计量单位和SI制单位有什么联系和不同?
******************************************************************************* 1.答:能量单位J、质量单位μg、长度单位nm、温度单位℃属于SI单位;其他不是。
2.答:SI基本单位:m、kg、s、A、K、mol、cd
3.答:一切属于国际单位制的单位都是我国的法定计量单位。
根据我国的实际情况,在法定计量单位中还明确规定采用了若干可与国际单位制并用的非国际单位制单位。
第二章稀溶液的依数性习题答案
1. 20︒C时,水的饱和蒸气压为
2.34kpa。
若于100g水中溶入10.0g蔗糖(C12H22O11,相对分子质量为M r=342),求此溶液的蒸气压。
2.现有四种处于相同温度和压力下的理想稀溶液。
(1) 0.1 mol蔗糖溶于80 mol水中,水蒸气压为p1
(2) 0.1 mol萘溶于80 mol苯中,苯蒸气压为p2
(3) 0.1 mol葡萄糖溶于40 mol水中,水蒸气压为p3
(4) 0.1 mol尿素溶于80 mol水中,水蒸气压为p4
这四个溶液的蒸气压之间的关系为:( )
(A) p1≠p2≠p3≠p4(B) p2≠p1=p4>p3
(C) p1=p2=p4=(1/2)p3(D) p1=p4<2p3≠p2
3.治疗脱水、电解质失调与中毒静脉滴注的林格氏(Ringer)液的处方是:在1.00L注射用水中溶有8.50gNaCl,0.30gKCl,0.33gCaCl2⋅⋅2H2O。
林格氏液的渗透浓度是多少?101.3kpa 下凝固点为多少?它与人体血浆溶液等渗吗?
4.将7.00g难挥发非电解质溶于250g水,该溶液在101.325kpa下,沸点为100.510︒C。
求该溶质的相对分子质量及此溶液的凝固点。
5. 人体眼液的渗透压在37 ℃时约为770 kpa。
市售的某种眼药水是用下列4种物质配制而成的:5.00 g ZnSO4,17.00 g H3BO3(硼酸),0.20 g 盐酸黄连素和0.008 g 盐酸普鲁卡因,溶于水并稀释到1000 mL。
若设ZnSO4完全解离,硼酸是一元弱酸不解离,黄连素和普鲁卡因含量少忽略不计时,计算该眼药水在37 ℃时的渗透压是多少?并与人体眼液的渗透压比较。
6. 从植物中分离出一种未知结构的有抗白细胞增多症的生物碱,为了测定其相对分子质量,
将19.0g 该物质溶入100g 水中,测得溶液沸点升高为0.060K 、凝固点下降为0.220K 。
用两种方法计算该物质的相对分子质量。
7. 把一小块冰放到0℃的水中,另一小块冰放到0℃的盐水中,冰是否会融化,为什么?
8. 3.246 g Hg(NO 3)2和10.84 g HgCl 2分别溶解于1000 g 水中。
溶液的凝固点分别为-0.0558 ℃和-0.0744 ℃。
问哪种物质在水中是以离子状态存在的?
9.下列各对溶液用半透膜隔开,请用箭头标明水分子的渗透方向:
(1)0.2mol·L -1KCl | 0.2mol·L -1蔗糖
(2)0.1mol·L -1葡萄糖 | 0.1mol·L -1蔗糖
(3)50g·L -1蔗糖 | 50g·L -1葡萄糖
10.农田施肥太浓时植物会被烧死,盐碱地的农作物长势不好甚至枯萎。
试解释原因。
11.测得人体血液的凝固点下降值△T f =0.56K ,求体温37℃时人体血液的渗透压。
12.500mL10g ·L -1的葡萄糖溶液中,应加入多少g NaCl 才能与血浆渗透压相等?
13.晶体渗透压和胶体渗透压分别是何种物质产生的?它们对维持机体稳定状态各有什么作用?
*******************************************************************************
1.解: kPa 33.2mol 18g g 100mol g 34210g mol g 18g
100kPa 34.21
-11A *=⋅+⋅⋅⨯==--x p p 2.解: B
3.解:
11
11os L mol 305.0L 1/)mol 147.33g 03mol 5.74.30g 02mol 5.58g 5.82(----⋅=⋅⨯+⋅⨯+⋅⨯==g g g ic c C 567.0 K,567.0k mol 305.0mol k K 86.1k mol 305.0o f 11f f 1os -==⋅⨯⋅⋅==∆⋅≈≈---T g
g ib K T g c ib B B
与人体血浆溶液等渗 4.解:11A B b b mol 1.28kg
250.0g 00.7K 510.0mol kg 0.512K --⋅=⋅⋅⋅=⋅∆=g m m T K M 1B kg mol 996.0kg
250.0mol 1.28g
00.7-⋅=⋅=g b △T f =K f ·b B =1.86 K·kg·mol -1·0.996 mol·kg -1=1.85 ℃
T f =-1.85 ℃
5.解:
略高。
其渗透压比人眼渗透压kPa 868K 103mol K L 8.314kPa L mol 337.0L mol 337.0L 000.1/)mol
g 83.61g 0.17mol g 5.161.00g 52(11-1os 1
11os =⨯⋅⋅⋅⋅⋅==⋅=⋅+⋅⨯==-----RT c Πic c
6.解:
1
31A B b b mol 1062.1kg
100.00.19K 060.0mol k 0.512K --⋅⨯=⋅⋅⋅=⋅∆=g g g m m T K M 131A B f f mol 1061.1kg
100.00.19K 220.0mol k 1.86K --⋅⨯=⋅⋅⋅=⋅∆=g g g m m T K M 7.解:把一小块冰放到0℃的水中,冰不会融化。
因为水的凝固点为0℃,此时冰水处于平衡状态,所以冰水能够共处。
另一小块冰放到0℃的盐水中,冰会融化。
因为盐水的凝固点下降,小于0℃,0℃时冰和盐水没达到平衡状态,加入的冰会融化而使溶液温度降低。
8.解:
316.3kg 000.1mol g 6.324246.3mol k K 86.1K
0588.0)Hg(NO 11B f f 2
3≈=⋅⋅⨯⋅⋅=∆=--g g b K T i 对00.1kg 000.1mol 71.5g 284.10mol k K 86.1K 0744.0HgCl 11B f f 2=⋅⋅⨯⋅⋅=∆=--g g b K T i 对 所以Hg(NO 3)2在水中是以离子状态存在的。
9.解:(1) <----- (2)<======> (3)----->
10.施肥太浓即所配的化肥为高渗溶液,将其施入土中会使土地中的渗透压高于植物细胞中的渗透压。
植物因失水而会被烧死。
同样盐碱地的渗透压也高于农作物细胞的渗透压,使农作物失水而长势不好甚至枯萎。
11.解:kPa
776K 103mol K L 8.314kPa L mol 301.0L mol 301.0mol k 1.86K K 56.011-1os 1
1f f os =⨯⋅⋅⋅⋅⋅==⋅=⋅⋅=∆≈----RT c Πg K T c
12.解
g
m m c c c 63.3)NaCl (mol
g 180L g 10L mol 3037.0L 500.0mol g 5.58)
NaCl (2)
()()NaCl (1-111-os os os =⋅⋅-⋅=⋅⨯-=--葡萄糖血浆 13.解:晶体渗透压由小分子晶体物质组成,血浆晶体渗透压对维持细胞内外水分的正常交换和分布,保持红细胞的正常形态有重要作用。
胶体渗透压由蛋白质等胶体高分子组成,血浆中胶体渗透压比组织液中胶体渗透压大,故血浆胶体渗透压对调节毛细血管内外水分
的正常分布,促使组织中水分渗入毛细血管以维持血容量,具有重要作用。