初 绝对值化简 知识点经典例题及练习题带答案
- 格式:docx
- 大小:38.69 KB
- 文档页数:5
初中数学绝对值化简1含答案一.填空题(共25小题)1.有理数a,b,c在数轴上的对应点位置如图:化简:|a+b|+|b﹣c|﹣|a+c|﹣|a﹣b|=______.2.如图所示,a、b是有理数,则式子|a|+|b|﹣|a+b|+|a﹣b|化简的结果为______.3.有理数a,b在数轴上对应点的位置如图所示,化简:|a|+|b|﹣|a+b|=______.4.已知a、b两数在数轴上的位置如图所示,则化简代数式|a+b|﹣|2﹣a|+|b+2|的结果是______.5.如图,化简代数式|a+b|﹣|a﹣1|+|b﹣2|的结果是______.6.有理数a,b,c在数轴上的对应点如图所示,化简:|a+b|﹣|b﹣c|+|c﹣a﹣b|=______.7.有理数a、b、c在数轴上的位置如图所示,且|a|=|b|,化简|c﹣a|+|c﹣b|+|a+b|=______.8.如图所示,数轴上点A,点B,点C分别表示有理数a,b,c,O为原点,化简:|b|+|a ﹣c|﹣|b﹣c|=______.9.已知a,b,c三个有理数在数轴上对应的位置如图所示,化简:|a+c|﹣|b﹣c|+|b﹣a|=______.10.数a,b在数轴上的位置如图所示,化简:|2a﹣b|﹣|b﹣a|+|b|=______.11.有理数a、b,若a<0<b,且|a|>|b|,则化简|a﹣b|﹣2|a+b|的结果为______.12.设a,b,c为非零有理数,且|a|﹣a=0,|b|+b=0,|bc|=bc,化简|c|﹣|b+c|﹣|a﹣c|+|b ﹣a|=______.13.已知|a|=﹣a,=﹣1,|c|=c,化简|a+b|+|a﹣c|﹣|b﹣c|=______.14.已知2<x<3,化简|2﹣x|+|3﹣x|=______.15.如果1<x<2,化简|x﹣1|+|x﹣2|=______.16.已知ab>0,b+|b|=0,则化简代数式|a+b|﹣|a﹣1|+|b﹣2|的结果是______.17.设x<﹣1,化简2﹣|2﹣|x﹣2||的结果为______.18.已知b<0<a,且|a|>|b|,化简|b﹣a|﹣|a﹣b|的结果是______.19.已知,|a|=﹣a,=﹣1,|c|=c,化简|a+b|﹣|a﹣c|﹣|b﹣c|=______.20.已知3<x<5,化简|x﹣3|+|x﹣5|=______.21.已知a>0,b<0,且|b|>a,化简|a+b|﹣|a﹣b|﹣|﹣a﹣b|﹣|b﹣a|=______.22.若1<a<2,化简|a﹣2|+|1﹣a|的结果是______.23.化简|π﹣4|+|3﹣π|=______.24.若2<x<6,则化简|6﹣x|﹣|3﹣2x|的结果为______.25.如果x、y都是不为0的有理数,则代数式的最大值是______.初中数学绝对值化简1含答案参考答案与试题解析一.填空题(共25小题)1.解:∵由图可知,c<a<0<b,|a|<|b|,∴a+b>0,b﹣c>0,a+c<0,a﹣b<0,∴|a+b|+|b﹣c|﹣|a+c|﹣|a﹣b|=a+b+b﹣c+a+c+a﹣b=3a+b.故答案为:3a+b.2.解:由有理数a、b在数轴上的位置可知,﹣1<a<0,b>1,∴a+b>0,a﹣b<0,∴|a|+|b|﹣|a+b|+|a﹣b|=﹣a+b﹣(a+b)﹣(a﹣b)=﹣a+b﹣a﹣b﹣a+b=﹣3a+b,故答案为:﹣3a+b.3.解:由有理数a、b在数轴上的位置,可得a>0,b<0,且|a|<|b|,所以a+b<0,因此,|a|+|b|﹣|a+b|=a﹣b﹣(﹣a﹣b)=a﹣b+a+b=2a.故答案为:2a.4.解:由有理数a、b、c在数轴上的位置,可得,﹣2<b<﹣1,2<a<3,所以有a+b>0,2﹣a<0、b+2>0,因此|a+b|﹣|2﹣a|+|b+2|=a+b﹣(a﹣2)+b+2=a+b﹣a+2+b+2=2b+4,故答案为:2b+4.5.解:由数轴可知﹣1<b<0,1<a<2,所以a+b>0,a﹣1>0,b﹣2<0,则|a+b|﹣|a﹣1|+|b﹣2|=a+b﹣(a﹣1)﹣(b﹣2)=a+b﹣a+1﹣b+2=3.故答案为:3.6.解:由a,b,c在数轴上的对应点可知,a+b<0,b﹣c<0,c﹣a﹣b>0,∴|a+b|﹣|b﹣c|+|c﹣a﹣b|=﹣a﹣b+b﹣c+c﹣a﹣b=﹣2a﹣b,故答案为:﹣2a﹣b.7.解:∵由数轴可得:a<0<c<b,且|a|=|b|∴b=﹣a,∴|c﹣a|+|c﹣b|+|a+b|=c﹣a+b﹣c+0=b﹣a,当b=﹣a时,原式=b﹣a=﹣a﹣a=﹣2a;当a=﹣b时,原式=b﹣a=b﹣(﹣b)=b+b=2b;综上,|c﹣a|+|c﹣b|+|a+b|=2b或﹣2a,故答案为:2b或﹣2a.8.解:由数轴可得:b>0,a﹣c<0,b﹣c>0,故:|b|+|a﹣c|﹣|b﹣c|=b+c﹣a﹣(b﹣c)=2c﹣a.故答案为:2c﹣a.9.解:∵c<b<0<a,﹣c>a,∴a+c<0,b﹣c>0,b﹣a<0,∴|a+c|﹣|b﹣c|+|b﹣a|=﹣a﹣c﹣b+c﹣b+a=﹣2b故答案为:﹣2b.10.解:∵﹣2<b<﹣1<0<a<1,∴2a﹣b>0,b﹣a<0,b<0,∴|2a﹣b|﹣|b﹣a|+|b|=2a﹣b+b﹣a﹣b=a﹣b.故答案为:a﹣b.11.解:∵若a<0<b,且|a|>|b|,∴a﹣b<0,a+b<0,∴|a﹣b|﹣2|a+b|=(b﹣a)+2(a+b)=b﹣a+2a+2b=a+3b,故答案为:a+3b.12.解:∵|a|﹣a=0,|b|+b=0,∴a>0,b<0,∵|bc|=bc,∴bc>0,∴c<0,∴|c|﹣|b+c|﹣|a﹣c|+|b﹣a|=﹣c+b+c﹣(a﹣c)+(a﹣b)=b﹣a+c+a﹣b=c,故答案为c.13.解:∵|a|=﹣a,=﹣1,|c|=c,∴a≤0,b<0,c≥0,∴a+b<0,a﹣c≤0,b﹣c<0,则原式=﹣a﹣b﹣a+c+b﹣c=﹣2a.故答案为:﹣2a.14.解:∵2<x<3,∴|2﹣x|+|3﹣x|=x﹣2+3﹣x=1,故答案为1.15.解:∵1<x<2,∴x﹣1>0,x﹣2<0,∴|x﹣1|+|x﹣2|=x﹣1+2﹣x=1.故答案为:1.16.解:∵b+|b|=0,∴b≤0,∵ab>0,∴a<0,b<0,∴|a+b|﹣|a﹣1|+|b﹣2|=﹣a﹣b+a﹣1﹣b+2=﹣2b+1,故答案为:﹣2b+1.17.解:∵x<﹣1,∴2﹣|2﹣|x﹣2||=2﹣|2+x﹣2|=2﹣|x|=2+x.故答案为:2+x.18.解:∵b<0<a,且|a|>|b|,∴b﹣a<0,a﹣b>0,则原式=a﹣b﹣a+b=0,故答案为:019.解:∵|a|=﹣a,=﹣1,即|b|=﹣b,|c|=c,∴a≤0,b<0,c≥0,∴a+b<0,a﹣c≤0,b﹣c<0,则原式=﹣a﹣b+a﹣c+b﹣c=﹣2c.故答案为:﹣2c.20.解:∵3<x<5∴x﹣3>0,x﹣5<0,∴|x﹣3|=x﹣3,|x﹣5|=5﹣x∴|x﹣3|+|x﹣5|=x﹣3+5﹣x=2故答案为2.21.解:∵a>0,b<0,且|b|>a,∴a+b<0,a﹣b>0,﹣a﹣b>0,b﹣a<0,∴|a+b|﹣|a﹣b|﹣|﹣a﹣b|﹣|b﹣a|=﹣a﹣b﹣(a﹣b)﹣(﹣a﹣b)﹣(a﹣b)=﹣a﹣b﹣a+b+a+b﹣a+b=﹣2a+2b.故答案为:﹣2a+2b.22.解:∵1<a<2,∴a﹣2<0,1﹣a<0,∴|a﹣2|+|1﹣a|=﹣a+2﹣1+a=1,故答案为:1.23.解:∵π≈3.414,∴π﹣4<0,3﹣π<0,∴|π﹣4|+|3﹣π|=4﹣π+π﹣3=1.故答案为1.24.解:∵2<x<6,∴4<2x<12,∴6﹣x>0,3﹣2x<0,∴|6﹣x|﹣|3﹣2x|=6﹣x﹣(2x﹣3)=9﹣3x.故答案为:9﹣3x.25.解:①当x,y中有二正,=1+1﹣1=1;②当x,y中有一负一正,=1﹣1+1=1;③当x,y中有二负,=﹣1﹣1﹣1=﹣3.故代数式的最大值是1.故答案为:1.。
中考复习——绝对值的化简一、选择题1、如图,数轴上点A表示数a,则|a|是().A. 2B. 1C. -1D. -2答案:A解答:∵A点在-2处,∴数轴上A点表示的数a=-2,|a-2|=2.2、实数a,b在数轴上的位置如图所示,则|a|-|b|可化简为().A. a-bB. b-aC. a+bD. -a-b 答案:C解答:观察数轴可得a>0,b<0,所以|a|-|b|=a-(-b)=a+b.3、如图,点A所表示的数的绝对值是().A. 3B. -3C. 13D. -13答案:A解答:点A表示的数是-3,|-3|=3.选A.4、实数a,b在数轴上对应的点的位置如图所示,计算|a-b|的结果为().A. a+bB. a-bC. b-aD. -a-b答案:C解答:由数轴值a<0,b>0,∴a-b<0,|a-b|为a-b的相反数.5、数线上有O、A、B、C四点,各点位置与各点所表示的数如图所示.若数线上有一点D,D点所表示的数为d,且|d-5d-c|,则关于D点的位置,下列叙述何者正确?().A. 在A的左边B. 介于A、C之间C. 介于C、O之间D. 介于O、B之间答案:D解答:∵c<0,b=5,|c|<5,|d-5d-c|,∴BD=CD,∴D点介于O、B之间,选D.6、已知实数a在数轴上的对应点位置如图所示,则化简|a-1|).A. 3-2aB. -1C. 1D. 2a-3答案:D解答:由数轴可知:1<a<2,所以|a-1|=a-1;a-2|=2-a;所以原式=a-1-(2-a)=2a-3,选D.7、如图,数轴上的A、B、C三点所表示的数分别是a、b、c,其中AB=BC,如果|a|>|c|>|b|,那么该数轴的原点O的位置应该在().A. 点A的左边B. 点A与点B之间C. 点B与点C之间D. 点B与点C之间或点C的右边答案:C解答:∵|a|>|c|>|b|,∴点A到原点的距离最大,点C其次,点B最小,又∵AB=BC,∴原点O的位置是在点B与点C之间,且靠近点B的地方.8、若a-|a|=2a,则实数a在数轴上的对应点一定在().A. 原点左侧B. 原点或原点左侧C. 原点右侧D. 原点或原点右侧答案:B解答:由a-|a|=2a,得|a|=-a,故a是非正数.9、实数在数轴上的位置如图所示,则|a-2.5|=().A. a-2.5B. 2.5-aC. a+2.5D. -a-2.5答案:B解答:如图可得a<2.5,即a-2.5<0,则|a-2.5|=-(a-2.5)=2.5-a.10、如图数轴的A、B、C三点所表示的数分别为a、b、c.若|a-b|=3,|b-c|=5,且原点O与A、B的距离分别为4、1,则关于O的位置,下列叙述何者正确?()A. 在A的左边B. 介于A、B之间C. 介于B、C之间D. 在C的右边答案:C解答:∵|a-b|=3,|b-c|=5,∴b=a+3,c=b+5.∵原点O与A、B的距离分别为4、1,∴a=±4,b=±1.∵b=a+3,∴a=-4,b=-1.∵c=b+5,∴c=4.∴点O介于B、C点之间.选C.11、数轴上A、B、C三点所表示的数分别为a、b、c,且C在AB上,若|ab|,AC:CB=1:3,则下列b 、c 的关系式,何者正确?( ) A. |c |=12|b | B. |c |=13|b |C. |c |=14|b |D. |c |=34|b |答案:A解答:如下图所示, ∵C 在AB 上,AC :CB =1:3, ∴|c |=4a b ,又∵|ab |,∴|c |=12|b |.12、实数a ,b ,c ,d 在数轴上的对应点的位置如图所示,这四个数中,绝对值最大的是( ).A. aB. bC. cD. d答案:A 解答:方法一:由图可知:-4<a <-3,-2<b <-1,0<c <1,2<d <3, 故|a |最大. 方法二:由数轴可知,实数a 在数轴对应的点到原点的距离最大, 所以实数a 的绝对值最大. 选A.13、已知x 是整数,当|x 取最小值时,x 的值是( ).A. 5B. 6C. 7D. 8答案:A∴56,5,∴当|x取最小值时,x的值是5.选A.14、当1<a<2时,代数式|a-2|+|1-a|的值是().A. -1B. 1C. 3D. -3答案:B解答:因为1<a<2,所以a-2<0,1-a<0,所以|a-2|+|1-a|=-(a-2)-(1-a)=-a+2-1+a=1.15、数轴上A、B、C三点所代表的数分别是a、1、c,且|c-1|-|a-1a-c|.若下列选项中,有一个表示A、B、C三点在数轴上的位置关系,则此选项为何?().A. B.C. D.答案:A解答:∵数轴上A、B、C三点所代表的数分别是a、1、c,设B表示的数为b,∴b=1,∵|c-1|-|a-1a-c|.∴|c-b|-|a-ba-c|.A、b<a<c,则有|c-b|-|a-b|=c-b-a+b=c-a=|a-c|,正确;B、c<b<a则有|c-b|-|a-b|=b-c-a+b=2b-c-a≠|a-c|,故错误;C、a<c<b,则有|c-b|-|a-b|=b-c-b+a=a-c≠|a-c|,故错误;D、b<c<a,则有|c-b|-|a-b|=c-b-a+b=c-a≠|a-c|,故错误.二、填空题16、|-3|的相反数是______.答案:-3解答:∵|-3|=3,∴3的相反数是-3,故答案为:-3.17、实数a在数轴上的位置如图,则|a|=______.-a解答:∵a<0,∴a0,则原式-a.18、实数a在数轴的位置如图所示,则|a-1|=______.答案:1-a解答:∵a<-1,∴a-1<0,原式=-(a-1)=1-a.19、在数轴上,点A(表示整数a)在原点的左侧,点B(表示整数b)在原点的右侧.若|a-b|=2013,且AO=2BO,则a+b的值为______.答案:-671解答:依题可知,|a-b|=2013,且AO=2BO,即b-a=2013,-a=2b,3b=2013,b=671,a=-1342,a+b=-671.20、在数轴上表示实数a a-2|的结果为______.答案:3解答:由数轴可得:a-5<0,a-2>0,a-2|=5-a+a-2=3.21、写出一个负数,使这个数的绝对值小于3:______.答案:-1(答案不唯一)解答:|-1|=1<3.22、已知aa+bb=0,则abab的值为______.答案:-1解答:由题意可得a、b异号,abab=-1.三、解答题23、我国著名数学家华罗庚说过“数缺形时少直观,形少数时难入微”;数形结合是解决数学问题的重要思想方法,例如,代数式|x-2|的几何意义是数轴上x所对应的点与2所对应的点之间的距离;因为|x+1x-(-1)|,所以|x+1|的几何意义就是数轴上x所对应的点与-1所对应的点之间的距离.发现问题:代数式|x+1|+|x-2|的最小值是多少?探究问题:如图,点A,B,P分别表示的是-1,2,x,AB=3.∵|x+1|+|x-2|的几何意义是线段P A与PB的长度之和,∴当点P在线段AB上时,P A+PB=3;当点P在点A的左侧或点B的右侧时,P A+PB>3,∴|x+1|+|x-2|的最小值是3.解决问题:(1)|x-4|+|x+2|的最小值是______.(2)利用上述思想方法解不等式:|x+3|+|x-1|>4.(3)当a为何值时,代数式|x+a|+|x-3|的最小值是2.答案:(1)6(2)x<-3或x>1.(3)a=-1或a=-5.解答:(1)设A表示的数为4,B表示的数为-2,P表示的数为x,∴|x-4|表示数轴上的点P到4的距离,用线段P A表示,|x+2x-(-2)|表示数轴上的点P到-2的距离,用线段PB表示,∴|x-4|+|x+2|的几何意义表示为P A+PB,当P在线段AB上时取得最小值为AB,且线段AB 的长度为6,∴|x-4|+|x+2|的最小值为6.故答案为:6.(2)设A表示-3,B表示1,P表示x,∴线段AB的长度为4,则|x+3|+|x-1|的几何意义表示为P A+PB,∴不等式的几何意义是P A+PB>AB,∴P不能在线段AB上,应该在A的左侧或者B的右侧,即不等式的解集为x<-3或x>1.(3)设A表示-a,B表示3,P表示x,则线段AB的长度为|-a-3|,|x+a|+|x-3|的几何意义表示为P A+PB,当P在线段AB上时P A+PB取得最小值,∴|-a-3|=2,∴a+3=2或a+3=-2,即a=-1或a=-5.。
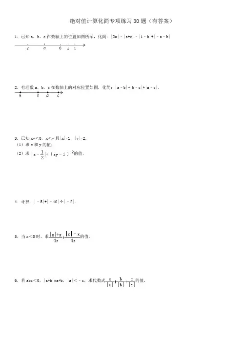
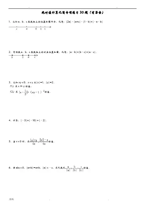
绝对值计算化简专项练习30题(有答案)1.已知a、b、c在数轴上的位置如图所示,化简:|2a|﹣|a+c|﹣|1﹣b|+|﹣a﹣b|2.有理数a,b,c在数轴上的对应位置如图,化简:|a﹣b|+|b﹣c|+|a﹣c|.3.已知xy<0,x<y且|x|=1,|y|=2.(1)求x和y的值;(2)求的值.4.计算:|﹣5|+|﹣10|÷|﹣2|.5.当x<0时,求的值.6.若abc<0,|a+b|=a+b,|a|<﹣c,求代数式的值.7.若|3a+5|=|2a+10|,求a的值.8.已知|m﹣n|=n﹣m,且|m|=4,|n|=3,求(m+n)2的值.9.a、b在数轴上的位置如图所示,化简:|a|+|a﹣b|﹣|a+b|.10.有理数a,b,c在数轴上的位置如图所示,试化简下式:|a﹣c|﹣|a﹣b|﹣|b﹣c|+|2a|.11.若|x|=3,|y|=2,且x>y,求x﹣y的值.12.化简:|3x+1|+|2x﹣1|.13.已知:有理数a、b在数轴上对应的点如图,化简|a|+|a+b|﹣|1﹣a|﹣|b+1|.14.++=1,求()2003÷(××)的值.15.(1)|x+1|+|x﹣2|+|x﹣3|的最小值?(2)|x+1|+|x﹣2|+|x﹣3|+|x﹣1|的最小值?(3)|x﹣2|+|x﹣4|+|x﹣6|+…+|x﹣20|的最小值?16.计算:|﹣|+|﹣|+|﹣|+…+|﹣|17.若a、b、c均为整数,且|a﹣b|3+|c﹣a|2=1,求|a﹣c|+|c﹣b|+|b﹣a|的值.18.已知a、b、c三个数在数轴上对应点如图,其中O为原点,化简|b﹣a|﹣|2a﹣b|+|a﹣c|﹣|c|.19.试求|x﹣1|+|x﹣3|+…+|x﹣2003|+|x﹣2005|的最小值.20.计算:.21.计算:(1)2.7+|﹣2.7|﹣|﹣2.7| (2)|﹣16|+|+36|﹣|﹣1|22.计算(1)|﹣5|+|﹣10|﹣|﹣9|;(2)|﹣3|×|﹣6|﹣|﹣7|×|+2|23.计算.(1);(2).24.若x>0,y<0,求:|y|+|x﹣y+2|﹣|y﹣x﹣3|的值.25.认真思考,求下列式子的值..26.问当x取何值时,|x﹣1|+|x﹣2|+|x﹣3|+…+|x﹣2011|取得最小值,并求出最小值.27.(1)当x在何范围时,|x﹣1|﹣|x﹣2|有最大值,并求出最大值.(2)当x在何范围时,|x﹣1|﹣|x﹣2|+|x﹣3|﹣|x﹣4|有最大值,并求出它的最大值.(3)代数式|x﹣1|﹣|x﹣2|+|x﹣3|﹣|x﹣4|+…+|x﹣99|﹣|x﹣100|最大值是_________ (直接写出结果)28.阅读:一个非负数的绝对值等于它本身,负数的绝对值等于它的相反数,所以,当a≥0时|a|=a,根据以上阅读完成下列各题:(1)|3.14﹣π|= _________ ;(2)计算= _________ ;(3)猜想:= _________ ,并证明你的猜想.29.(1)已知|a﹣2|+|b+6|=0,则a+b= _________(2)求|﹣1|+|﹣|+…+|﹣|+|﹣|的值.30.已知m,n,p满足|2m|+m=0,|n|=n,p•|p|=1,化简|n|﹣|m﹣p﹣1|+|p+n|﹣|2n+1|.参考答案:1.解:∵a、c在原点的左侧,a<﹣1,∴a<0,c<0,∴2a<0,a+c<0,∵0<b<1,∴1﹣b>0,∵a<﹣1,∴﹣a﹣b>0∴原式=﹣2a+(a+c)﹣(1﹣b)+(﹣a﹣b)=﹣2a+a+c﹣1+b﹣a﹣b=﹣2a+c﹣1.故答案为:﹣2a+c﹣12.解:由图可知:b<0,c>a>0,∴a﹣b>0,b﹣c<0,a﹣c<0,∴|a﹣b|+|b﹣c|+|a﹣c|,=(a﹣b)﹣(b﹣c)﹣(a﹣c),=a﹣b﹣b+c﹣a+c,=2c﹣2b3.解:(1)∵|x|=1,∴x=±1,∵|y|=2,∴y=±2,∵x<y,∴当x取1时,y取2,此时与xy<0矛盾,舍去;当x取﹣1时,y取2,此时与xy<0成立,∴x=﹣1,y=2;(2)∵x=﹣1,y=2,∴=|﹣1﹣|+(﹣1×2﹣1)2=|(﹣1)+(﹣)|+[(﹣2)+(﹣1)]2=|﹣|+(﹣3)2=+9 =104.解:|﹣5|+|﹣10|÷|﹣2|=5+10÷2=5+5=105.解:∵x<0,∴|x|=﹣x,∴原式==0+=﹣6.解:∵|a|<﹣c,∴c<0,∵abc<0,∴ab>0,∵|a+b|=a+b,∴a>0,b>0,∴=++=1+1﹣1=17.解:∵|3a+5|=|2a+10|,∴3a+5=2a+10或3a+5=﹣(2a+10),又|m|=4,|n|=3,∴m=﹣4,n=3或m=﹣4,n=﹣3.∴当m=﹣4,n=3时,(m+n)2=(﹣1)2=1;当m=﹣4,n=﹣3时,(m+n)2=(﹣7)2=499.解:∵a<0,b>0,∴a﹣b<0;又∵|a|>|b|,∴a+b<0;原式=﹣a+[﹣(a﹣b)]﹣[﹣(a+b)],=﹣a﹣(a﹣b)+(a+b),=﹣a﹣a+b+a+b,=﹣a+2b10.解:由图可知:c<a<0<b,则有a﹣c>0,a﹣b<0,b﹣c>0,2a<0,|a﹣c|﹣|a﹣b|﹣|b﹣c|+|2a|,=(a﹣c)﹣(b﹣a)﹣(b﹣c)+(﹣2a),=a﹣c﹣b+a﹣b+c﹣2a,=﹣2b.故答案为:﹣2b11.解:因为x>y,由|x|=3,|y|=2可知,x>0,即x=3.(1)当y=2时,x﹣y=3﹣2=1;(2)当y=﹣2时,x﹣y=3﹣(﹣2)=5.所以x﹣y的值为1或512.解:分三种情况讨论如下:(1)当x<﹣时,原式=﹣(3x+1)﹣(2x﹣1)=﹣5x;(2)当﹣≤x<时,原式=(3x+1)﹣(2x﹣1)=x+2;(3)当x≥时,原式=(3x+1)+(2x﹣1)=5x.综合起来有:|3x+1|+|2x﹣1|=.13.解:由数轴可知:1>a>0,b<﹣1,所以原式=a+[﹣(a+b)]﹣(1﹣a)﹣[﹣(b+1)]=a 14.解:∵=1或﹣1,=1或﹣1,=1或﹣1,又∵++=1,不妨设,==1,=﹣1,即a>0,b>0,c<0,∴|abc|=﹣abc,|ab|=ab,|bc|=﹣bc,|ac|=﹣ac,∴原式=()2003÷(××)=(﹣1)2003÷1=﹣115.解:(1)∵数x表示的点到﹣1表示的点的距离为|x+1|,到2表示的点的距离为|x﹣2|,到3表示的点的距离为|x﹣3|,∴当x=2时,|x+1|+|x﹣2|+|x﹣3|的最小值为3﹣(﹣1)=4;(2)当x=1或x=2时,|x+1|+|x﹣2|+|x﹣3|+|x﹣1|的最小值为5;(3)当x=10或x=12时,|x﹣2|+|x﹣4|+|x﹣6|+…+|x﹣20|的最小值=5016.解:原式=(﹣)+(﹣)+(﹣)+…+(﹣)=﹣+﹣+﹣+…+﹣=﹣=17.解:∵a,b,c均为整数,且|a﹣b|3+|c﹣a|2=1,∴a、b、c有两个数相等,不妨设为a=b,则|c﹣a|=1,∴c=a+1或c=a﹣1,∴|a﹣c|=|a﹣a﹣1|=1或|a﹣c|=|a﹣a+1|=1,∴|a﹣c|+|c﹣b|+|b﹣a|=1+1=218.解:根据数轴可得c<b<0<a,∴|b﹣a|﹣|2a﹣b|+|a﹣c|﹣|c|=a﹣b﹣(2a﹣b)+a﹣c﹣(﹣c)=a﹣b﹣2a+b+a﹣c+c=019.解:∵2005=2×1003﹣1,∴共有1003个数,∴x=502×2﹣1=1003时,两边的数关于|x﹣1003|对称,此时的和最小,此时|x﹣1|+|x﹣3|+…+|x﹣2003|+|x﹣2005|=(x﹣1)+(x﹣3)…+(1001﹣x)+(1003﹣x)+(1005﹣x)+…+(2005﹣x)=2(2+4+6+ (1002)=2×=50300420.解:=﹣+﹣+﹣+…+﹣=﹣=21.解:(1)原式=2.7+2.7﹣2.7=2.7;=5122. 解:(1)原式=5+10﹣9=6;(2)原式=3×6﹣7×2=18﹣14=423.解:(1)原式=﹣+=;(2)原式=﹣+=24.解:∵x>0,y<0,∴x﹣y+2>0,y﹣x﹣3<0∴|y|+|x﹣y+2|﹣|y﹣x﹣3|=﹣y+(x﹣y+2)+(y﹣x﹣3)=﹣y+x﹣y+2+y﹣x﹣3=﹣y﹣125.解:原式=﹣+﹣+﹣=﹣=26.解:1﹣2011共有2011个数,最中间一个为1006,此时|x﹣1|+|x﹣2|+|x﹣3|+…+|x﹣2011|取得最小值,最小值为|x﹣1|+|x﹣2|+|x﹣3|+…+|x﹣2011|=|1006﹣1|+|1006﹣2|+|1006﹣3|+…+|1006﹣2011|=1005+1004+1003+…+2+1+0+1+2+3+…+1005=101103027.解:(1)∵|x﹣1|﹣|x﹣2|表示x到1的距离与x到2的距离的差,∴x≥2时有最大值2﹣1=1;(2)∵|x﹣1|﹣|x﹣2|+|x﹣3|﹣|x﹣4|表示x到1的距离与x到2的距离的差与x到3的距离与x到4的距离的差的和,∴x≥4时有最大值1+1=2;(3)由上可知:x≥100时|x﹣1|﹣|x﹣2|+|x﹣3|﹣|x﹣4|+…+|x﹣99|﹣|x﹣100|有最大值1×50=50.故答案为5028.解:(1)原式=﹣(3.14﹣π)=π﹣3.14;(2)原式=1﹣+﹣+﹣+…+﹣=1﹣=;(3)原式=1﹣+﹣+﹣+…+﹣=1﹣=.故答案为π﹣3.14;;29.解:(1)∵|a﹣2|+|b+6|=0,∴a﹣2=0,b+6=0,∴a=2,b=﹣6,∴a+b=2﹣6=﹣4;(2)|﹣1|+|﹣|+…+|﹣|+|﹣|=1﹣+﹣+…+﹣+﹣=1﹣=.故答案为:﹣4,30.解:由|2m|+m=0,得:2|m|=﹣m,∴m≤0,∴﹣2m+m=0,即﹣m=0,∴m=0.由|n|=n,知n≥0,由p•|p|=1,知p>0,即p2=1,且p>0,∴p=1,∴原式=n﹣|0﹣1﹣1|+|1+n|﹣|2n+1|=n﹣2+1+n﹣2n﹣1=﹣2。
标准实用文案大全绝对值的性质及化简【绝对值的几何意义】一个数a的绝对值就是数轴上表示数a的点与原点的距离.数a的绝对值记作a. (距离具有非负性)【绝对值的代数意义】一个正数的绝对值是它本身;一个负数的绝对值是它的相反数;0的绝对值是0.注意:①取绝对值也是一种运算,运算符号是“| |”,求一个数的绝对值,就是根据性质去掉绝对值符号.②绝对值的性质:一个正数的绝对值是它本身;一个负数的绝对值是它的相反数;0的绝对值是0.③绝对值具有非负性,取绝对值的结果总是正数或0.④任何一个有理数都是由两部分组成:符号和它的绝对值,如:5?符号是负号,绝对值是5.【求字母a的绝对值】①(0)0(0)(0)aaaaaa??????????②(0)(0)aaaaa???????③(0)(0)aaaaa???????利用绝对值比较两个负有理数的大小:两个负数,绝对值大的反而小.绝对值非负性:|a|≥0如果若干个非负数的和为0,那么这若干个非负数都必为0.例如:若0abc???,则0a?,0b?,0c?【绝对值的其它重要性质】(1)任何一个数的绝对值都不小于这个数,也不小于这个数的相反数,即aa?,且aa??;(2)若ab?,则ab?或ab??;(3)abab??;aabb?(0)b?;(4)222||||aaa??;(5)||a|-|b|| ≤ |a±b| ≤ |a|+|b|a的几何意义:在数轴上,表示这个数的点离开原点的距离.ab?的几何意义:在数轴上,表示数a.b对应数轴上两点间的距离.【去绝对值符号】基本步骤,找零点,分区间,定正负,去符号。
【绝对值不等式】(1)解绝对值不等式必须设法化去式中的绝对值符号,转化为一般代数式类型来解;(2)证明绝对值不等式主要有两种方法:标准实用文案大全A)去掉绝对值符号转化为一般的不等式证明:换元法、讨论法、平方法;B)利用不等式:|a|-|b|≦|a+b|≦|a|+|b|,用这个方法要对绝对值内的式子进行分拆组合、添项减项、使要证的式子与已知的式子联系起来。
七年级数学上册——绝对值化简强化训练1.在数轴上有示a、b、c三个实数的点的位置如图所示,化简|b-a|+|c-a|-|c-b|。
解:由图可知c<0<a<b,故而b-a>0,c-a<0,c-b<0∴ |b-a|+|c-a|-|c-b|=(b-a)+(a-c)-(b-c)=b-a+a-c-b+c=02.已知有理数a、b、c在数轴上的位置如图所示,化简|b-c|-|c-a|+|b-a|。
解:由图可知c<b<0<a,故而b-c>0,c-a<0,b-a<0∴ |b-c|-|c-a|+|b-a|=(b-c)-(a-c)+(a-b)=b-c-a+c+a-b=03.有理数a、b、c在数轴上的位置如图所示,化简|a-b|+2|a+c|-|b-2c|。
解:由图可知c<a<0<b,故而a-b<0,a+c<0,b-2c>0∴ |a-b|+2|a+c|-|b-2c|=(b-a)+2[-(a+c)]-(b-2c)=b-a-2a-2c-b+2c =-3a4.有理数a、b、c在数轴上的位置如图所示,化简|b+a|-|b-c|+|a-c|。
解:由图可知c<a<0<b且|b|<|a|<|c|,故而b+a<0,b-c>0,a-c>0 ∴ |b+a|-|b-c|+|a-c|=-(b+a)-(b-c)+(a-c)=-b-a-b+c+a-c=2b5.有理数a、b、c在数轴上的位置如图所示,化简|a-c|-|c-2b|+|a+c|-|a+b|。
解:由图可知c<a<0<b,故而a-c>0,c-2b<0,a+c<0,a+b>0∴ |a-c|-|c-2b|+|a+c|-|a+b|=(a-c)-(2b-c)+[-(a+c)]-(a+b)=-a-3b-c 6.若有理数a、b、c在数轴上的位置如图所示,化简|a+c|+|2a+b|-|c-b|。
绝对值计算化简专项练习30题(有答案)1.已知a、b、c在数轴上的位置如图所示,化简:|2a|﹣|a+c|﹣|1﹣b|+|﹣a﹣b|2.有理数a,b,c在数轴上的对应位置如图,化简:|a﹣b|+|b﹣c|+|a﹣c|.3.已知xy<0,x<y且|x|=1,|y|=2.(1)求x和y的值;(2)求的值.4.计算:|﹣5|+|﹣10|÷|﹣2|.5.当x<0时,求的值.6.若abc<0,|a+b|=a+b,|a|<﹣c,求代数式的值.7.若|3a+5|=|2a+10|,求a的值.8.已知|m﹣n|=n﹣m,且|m|=4,|n|=3,求(m+n)2的值.9.a、b在数轴上的位置如图所示,化简:|a|+|a﹣b|﹣|a+b|.10.有理数a,b,c在数轴上的位置如图所示,试化简下式:|a﹣c|﹣|a﹣b|﹣|b﹣c|+|2a|.11.若|x|=3,|y|=2,且x>y,求x﹣y的值.12.化简:|3x+1|+|2x﹣1|.13.已知:有理数a、b在数轴上对应的点如图,化简|a|+|a+b|﹣|1﹣a|﹣|b+1|.14.++=1,求()2003÷(××)的值.15.(1)|x+1|+|x﹣2|+|x﹣3|的最小值?(2)|x+1|+|x﹣2|+|x﹣3|+|x﹣1|的最小值?(3)|x﹣2|+|x﹣4|+|x﹣6|+…+|x﹣20|的最小值?16.计算:|﹣|+|﹣|+|﹣|+…+|﹣|17.若a、b、c均为整数,且|a﹣b|3+|c﹣a|2=1,求|a﹣c|+|c﹣b|+|b﹣a|的值.18.已知a、b、c三个数在数轴上对应点如图,其中O为原点,化简|b﹣a|﹣|2a﹣b|+|a﹣c|﹣|c|.19.试求|x﹣1|+|x﹣3|+…+|x﹣2003|+|x﹣2005|的最小值.20.计算:.21.计算:(1)2.7+|﹣2.7|﹣|﹣2.7| (2)|﹣16|+|+36|﹣|﹣1|22.计算(1)|﹣5|+|﹣10|﹣|﹣9|;(2)|﹣3|×|﹣6|﹣|﹣7|×|+2|23.计算.(1);(2).24.若x>0,y<0,求:|y|+|x﹣y+2|﹣|y﹣x﹣3|的值.25.认真思考,求下列式子的值..26.问当x取何值时,|x﹣1|+|x﹣2|+|x﹣3|+…+|x﹣2011|取得最小值,并求出最小值.27.(1)当x在何范围时,|x﹣1|﹣|x﹣2|有最大值,并求出最大值.(2)当x在何范围时,|x﹣1|﹣|x﹣2|+|x﹣3|﹣|x﹣4|有最大值,并求出它的最大值.(3)代数式|x﹣1|﹣|x﹣2|+|x﹣3|﹣|x﹣4|+…+|x﹣99|﹣|x﹣100|最大值是_________ (直接写出结果)28.阅读:一个非负数的绝对值等于它本身,负数的绝对值等于它的相反数,所以,当a≥0时|a|=a,根据以上阅读完成下列各题:(1)|3.14﹣π|= _________ ;(2)计算= _________ ;(3)猜想:= _________ ,并证明你的猜想.29.(1)已知|a﹣2|+|b+6|=0,则a+b= _________(2)求|﹣1|+|﹣|+…+|﹣|+|﹣|的值.30.已知m,n,p满足|2m|+m=0,|n|=n,p•|p|=1,化简|n|﹣|m﹣p﹣1|+|p+n|﹣|2n+1|.绝对值化简求值参考答案:1.解:∵a、c在原点的左侧,a<﹣1,∴a<0,c<0,∴2a<0,a+c<0,∵0<b<1,∴1﹣b>0,∵a<﹣1,∴﹣a﹣b>0∴原式=﹣2a+(a+c)﹣(1﹣b)+(﹣a﹣b)=﹣2a+a+c﹣1+b﹣a﹣b=﹣2a+c﹣1.故答案为:﹣2a+c﹣12.解:由图可知:b<0,c>a>0,∴a﹣b>0,b﹣c<0,a﹣c<0,∴|a﹣b|+|b﹣c|+|a﹣c|,=(a﹣b)﹣(b﹣c)﹣(a﹣c),=a﹣b﹣b+c﹣a+c,=2c﹣2b3.解:(1)∵|x|=1,∴x=±1,∵|y|=2,∴y=±2,∵x<y,∴当x取1时,y取2,此时与xy<0矛盾,舍去;当x取﹣1时,y取2,此时与xy<0成立,∴x=﹣1,y=2;(2)∵x=﹣1,y=2,∴=|﹣1﹣|+(﹣1×2﹣1)2 =|(﹣1)+(﹣)|+[(﹣2)+(﹣1)]2=|﹣|+(﹣3)2=+9=104.解:|﹣5|+|﹣10|÷|﹣2|=5+10÷2=5+5=105.解:∵x<0,∴|x|=﹣x,∴原式==0+=﹣6.解:∵|a|<﹣c,∴c<0,∵abc<0,∴ab>0,∴=++=1+1﹣1=17.解:∵|3a+5|=|2a+10|,∴3a+5=2a+10或3a+5=﹣(2a+10),解得a=5或a=﹣38.解:∵|m﹣n|=n﹣m,∴m﹣n≤0,即m≤n.又|m|=4,|n|=3,∴m=﹣4,n=3或m=﹣4,n=﹣3.∴当m=﹣4,n=3时,(m+n)2=(﹣1)2=1;当m=﹣4,n=﹣3时,(m+n)2=(﹣7)2=49 9.解:∵a<0,b>0,∴a﹣b<0;又∵|a|>|b|,∴a+b<0;原式=﹣a+[﹣(a﹣b)]﹣[﹣(a+b)],=﹣a﹣(a﹣b)+(a+b),=﹣a﹣a+b+a+b,=﹣a+2b10.解:由图可知:c<a<0<b,则有a﹣c>0,a﹣b<0,b﹣c>0,2a<0,|a﹣c|﹣|a﹣b|﹣|b﹣c|+|2a|,=(a﹣c)﹣(b﹣a)﹣(b﹣c)+(﹣2a),=a﹣c﹣b+a﹣b+c﹣2a,=﹣2b.故答案为:﹣2b11.解:因为x>y,由|x|=3,|y|=2可知,x>0,即x=3.(1)当y=2时,x﹣y=3﹣2=1;(2)当y=﹣2时,x﹣y=3﹣(﹣2)=5.所以x﹣y的值为1或512.解:分三种情况讨论如下:(1)当x <﹣时,原式=﹣(3x+1)﹣(2x﹣1)=﹣5x;(2)当﹣≤x <时,原式=(3x+1)﹣(2x﹣1)=x+2;(3)当x ≥时,原式=(3x+1)+(2x﹣1)=5x.综合起来有:|3x+1|+|2x﹣1|=.所以原式=a+[﹣(a+b)]﹣(1﹣a)﹣[﹣(b+1)]=a14.解:∵=1或﹣1,=1或﹣1,=1或﹣1,又∵++=1,∴,,三个式子中一定有2个1,一个﹣1,不妨设,==1,=﹣1,即a>0,b>0,c<0,∴|abc|=﹣abc,|ab|=ab,|bc|=﹣bc,|ac|=﹣ac,∴原式=()2003÷(××)=(﹣1)2003÷1=﹣115.解:(1)∵数x表示的点到﹣1表示的点的距离为|x+1|,到2表示的点的距离为|x﹣2|,到3表示的点的距离为|x﹣3|,∴当x=2时,|x+1|+|x﹣2|+|x﹣3|的最小值为3﹣(﹣1)=4;(2)当x=1或x=2时,|x+1|+|x﹣2|+|x﹣3|+|x﹣1|的最小值为5;(3)当x=10或x=12时,|x﹣2|+|x﹣4|+|x﹣6|+…+|x ﹣20|的最小值=5016.解:原式=(﹣)+(﹣)+(﹣)+…+(﹣)=﹣+﹣+﹣+…+﹣=﹣=17.解:∵a,b,c均为整数,且|a﹣b|3+|c﹣a|2=1,∴a、b、c有两个数相等,不妨设为a=b,则|c﹣a|=1,∴c=a+1或c=a﹣1,∴|a﹣c|=|a﹣a﹣1|=1或|a﹣c|=|a﹣a+1|=1,∴|a﹣c|+|c﹣b|+|b﹣a|=1+1=218.解:根据数轴可得c<b<0<a,∴|b﹣a|﹣|2a﹣b|+|a﹣c|﹣|c|=a﹣b﹣(2a﹣b)+a﹣c﹣(﹣c)=a﹣b﹣2a+b+a﹣c+c=019.解:∵2005=2×1003﹣1,∴共有1003个数,∴x=502×2﹣1=1003时,两边的数关于|x﹣1003|对称,=(x﹣1)+(x﹣3)…+(1001﹣x)+(1003﹣x)+(1005﹣x)+…+(2005﹣x)=2(2+4+6+ (1002)=2×=50300420.解:=﹣+﹣+﹣+…+﹣=﹣=21.解:(1)原式=2.7+2.7﹣2.7=2.7;(2)原式=16+36﹣1=5122. 解:(1)原式=5+10﹣9=6;(2)原式=3×6﹣7×2=18﹣14=423.解:(1)原式=﹣+=;(2)原式=﹣+=24.解:∵x>0,y<0,∴x﹣y+2>0,y﹣x﹣3<0∴|y|+|x﹣y+2|﹣|y﹣x﹣3|=﹣y+(x﹣y+2)+(y﹣x ﹣3)=﹣y+x﹣y+2+y﹣x﹣3=﹣y﹣125.解:原式=﹣+﹣+﹣=﹣=26.解:1﹣2011共有2011个数,最中间一个为1006,此时|x﹣1|+|x﹣2|+|x﹣3|+…+|x﹣2011|取得最小值,最小值为|x﹣1|+|x﹣2|+|x﹣3|+…+|x﹣2011|=|1006﹣1|+|1006﹣2|+|1006﹣3|+…+|1006﹣2011| =1005+1004+1003+…+2+1+0+1+2+3+…+1005=101103027.解:(1)∵|x﹣1|﹣|x﹣2|表示x到1的距离与x 到2的距离的差,∴x≥2时有最大值2﹣1=1;(2)∵|x﹣1|﹣|x﹣2|+|x﹣3|﹣|x﹣4|表示x到1的距离与x到2的距离的差与x到3的距离与x到4的距离的差的和,∴x≥4时有最大值1+1=2;(3)由上可知:x≥100时|x﹣1|﹣|x﹣2|+|x﹣3|﹣|x ﹣4|+…+|x﹣99|﹣|x﹣100|有最大值1×50=50.故答案为5028.解:(1)原式=﹣(3.14﹣π)=π﹣3.14;(2)原式=1﹣+﹣+﹣+…+﹣=1﹣=;(3)原式=1﹣+﹣+﹣+…+﹣=1﹣=.故答案为π﹣3.14;;29.解:(1)∵|a﹣2|+|b+6|=0,∴a﹣2=0,b+6=0,∴a=2,b=﹣6,∴a+b=2﹣6=﹣4;(2)|﹣1|+|﹣|+…+|﹣|+|﹣|=1﹣+﹣+…+﹣+﹣=1﹣=.故答案为:﹣4,30.解:由|2m|+m=0,得:2|m|=﹣m,∴m≤0,∴﹣2m+m=0,即﹣m=0,∴m=0.由|n|=n,知n≥0,由p•|p|=1,知p>0,即p2=1,且p>0,∴p=1,∴原式=n﹣|0﹣1﹣1|+|1+n|﹣|2n+1|=n﹣2+1+n﹣2n﹣1=﹣2。
初一数学压轴题:绝对值化简求值一、【考点】绝对值的代数意义、绝对值化简【北大附中期中】设a,b,c为实数,且化简|a|+a=0,|ab|=ab,|c|-c=0,化简|b|-|a+b|-|c-b|+|a-c|【解析】|a|+a=0,即|a|=-a,a≤0;|ab|=ab,ab≥0,b≤0;|c|-c=0,即|c|=c,c≥0原式=-b+a+b-c+b-a+c=b【答案】b二、【考点】有理数运算、绝对值化简【人大附期中】在有理数的范围内,我们定义三个数之间的新运算“#”法则:a#b#c=(|a-b-c|+a+b+c)/2如:(-1)#2#3=[|(-1-2-3)|+(-1)+2+3]/2=5(1)计算:3#(-2)#(-3)___________(2)计算:1#(-2)#(10/3)=_____________(3)在-6/7,-5/7……-1/7,0,1/9,2/9……8/9这15个数中,①任取三个数作为a、b、c的值,进行“a#b#c”运算,求所有计算结果的最大值__________,②若将这十五个数任意分成五组,每组三个数,进行“a#b#c”运算,得到五个不同的结果,由于分组不同,所以五个运算的结果也不同,那么五个结果之和的最大值是___________【分析】将a#b#c=(|a-b-c|+a+b+c)/2进行取绝对值化简。
【解析&答案】(1)原式=3(2)原式=4/3(3)当a<b+c时,原式=b+c,当a≥b+c时,原式=a①令b=7/9,c=8/9时 a#b#c的最大值为b+c=5/3②4(提示,将1/9,2/9……8/9分别赋予b、c同时赋予a 四个负数;最后一组,a=0,b、c赋予两个负数即可)三、【考点】绝对值与平方的非负性、二元一次方程组【北京四中期中】已知:(a+b)²+|b+5|=b+5,|2a-b-1|=0,求ab的值.【分析】考察平方和绝对值的非负性,若干个非负数的和为零,则每个数都为零。
专题02 绝对值化简问题专题总结训练考点一 根据绝对值的性质化简【知识点睛】❖绝对值的性质:⎪⎩⎪⎨⎧-==)a(a a )a(a a 0000<)(>或⎩⎨⎧≤-≥=)a(a )a(a a 00❖易错点拨:①在”“=的组合中,当“=”左边的部分未知时,求“| |”内部的数,需要分类讨论;当“=”右边的部分未知时,求“=”右边的值,结果只有一个。
②直接的绝对值化简中,当a-b <0时,”“a b b a -=-;”“b a b a -+=--【类题训练】1.已知|6x ﹣2|=2﹣6x ,则x 的取值范围是 .【分析】直接利用绝对值的性质结合一元一次不等式的解法得出答案.【解答】解:∵|6x ﹣2|=2﹣6x ,∴2﹣6x ≥0,解得:x ≤.故答案为:x ≤.2.若|x |+|x ﹣4|=8,则x 的值为( )A .﹣2B .6C .﹣2或6D .以上都不对【分析】根据绝对值的意义得出,|x |+|x ﹣4|=8表示到原点和4的距离和是8的数,分两种情况求出x 的值即可.【解答】解:∵|x |+|x ﹣4|=8,∴当x >4时,x +x ﹣4=8,解得x =6,当x <0时,﹣x +4﹣x =8,解得x =﹣2,故选:C .3.若a <0,b >0,则|a |+|a ﹣b |=( )A.b﹣2a B.a﹣2b C.2a+b D.﹣2a﹣b【分析】直接利用绝对值的性质进而化简,再合并同类项得出答案.【解答】解:∵a<0,b>0,∴a﹣b<0,∴|a|+|a﹣b|=﹣a﹣(a﹣b)=﹣a﹣a+b=﹣2a+b.故选:A.4.如果|m|=﹣m,下列各式成立的是( )A.m>0B.m<0C.m≥0D.m≤0【分析】根据负数或0的绝对值等于它的相反数,判断即可.【解答】解:∵|m|=﹣m,∴m的绝对值等于它的相反数,∴m≤0,故选:D.5.若x>0,y<0,求|x﹣y+2|﹣|y﹣x﹣3|的值.【分析】直接利用x,y的符号进而去绝对值,再合并求出答案.【解答】解:∵x>0,y<0,∴x﹣y+2>0,y﹣x﹣3<0,∵|x﹣y+2|﹣|y﹣x﹣3|=x﹣y+2+(y﹣x﹣3)=﹣1.6.已知:x<0<z,xy>0,且|y|>|z|>|x|,那么|x+z|+|y+z|﹣|x﹣y|的值( )A.是正数B.是负数C.是零D.不能确定符号【分析】先根据已知条件确定x、y、z的符号及其绝对值的大小,再画出数轴确定出各点在数轴上的位置,根据绝对值的性质即可去掉原式的绝对值,使原式得到化简.【解答】解:由题意可知,x、y、z在数轴上的位置如图所示:所以|x+z|+|y+z|﹣|x﹣y|=x+z﹣(y+z)﹣(x﹣y)=0故选:C.7.代数式|x﹣1|﹣|x+2|,当x<﹣2时,可化简为 ;若代数式的最大值为a与最小值为b,则ab 的值 .【分析】根据绝对值的定义确定x﹣1与x+2的符号,进而进行化简即可;确定a、b的值,再代入计算即可.【解答】解:当x<﹣2时,x﹣1<0,x+2<0,所以|x﹣1|﹣|x+2|=1﹣x﹣(﹣2﹣x)=3,当x≤﹣2时,|x﹣1|﹣|x+2|的值最大,此时a=3,当x≥1时,|x﹣1|﹣|x+2|的值最小,此时b=﹣3,所以ab=﹣9,故答案为:3,﹣9.8.已知非零实数a,b,c,|a|+a=0,|ab|=ab,|c|﹣c=0,化简|b|﹣|a+b|﹣|c﹣b|+|a﹣c|.【分析】根据已知三等式判断出a,b及c的正负,进而确定出绝对值里边式子的正负,利用绝对值的代数意义化简,去括号合并即可得到结果.【解答】解:∵|a|+a=0,|ab|=ab,|c|﹣c=0,∴a<0,b<0,c>0,∴a+b<0,c﹣b>0,a﹣c<0,∴原式=﹣b+a+b﹣c+b﹣a+c=b.9.若a>0,= ;若a<0,= ;①若,则= ;②若abc<0,则= .【分析】根据实数绝对值的性质|a|=,根据a的符号确定它的绝对值是它本身还是绝对值即可.【解答】解:∵a>0,∴|a|=a,∴==1;∵a<0,∴|a|=﹣a,∴==﹣1,故答案为:1,﹣1;①∵,∴ab<0,∴|ab|=﹣ab,∴==1,故答案为:1;②∵abc<0,∴a、b、c中有一个负数、两个正数和三个负数两种情况,当a、b、c中有一个负数、两个正数时,=﹣1+1+1=1,当a、b、c中有三个负数时,=﹣1﹣1﹣1=﹣3,故答案为:1或﹣3.10.阅读下列材料,并解决有关问题:我们知道,|x|=,现在我们可以用这一结论来化简含有绝对值的式子,例如化简式子|x+1|+|x﹣2|时,可令x+1=0和x﹣2=0,分别求得x=﹣1,x=2(称﹣1、2分别为|x+1|与|x﹣2|的零点值).在有理数范围内,零点值x=﹣1和x=2可将全体有理数不重复且不遗漏地分成如下三种情况:①x<﹣1;②﹣1≤x<2;③x≥2.从而化简代数式|x+1|+|x﹣2|可分为以下3种情况:(Ⅰ)当x<﹣1时,原式=﹣(x+1)﹣(x﹣2)=﹣2x+1;(Ⅱ)当﹣1≤x<2时,原式=(x+1)﹣(x﹣2)=3;(Ⅲ)当x≥2时,原式=(x+1)+(x﹣2)=2x﹣1;综上所述:原式=.通过以上阅读,请你类比解决以下问题:(1)填空:|x+2|与|x﹣4|的零点值分别为 ;(2)化简式子|x﹣3|+2|x+4|.【分析】(1)令x+2=0和x﹣4=0,即可求得|x+2|与|x﹣4|的零点值;(2)先求出零点值,然后根据零点值分三种情况进行讨论;【解答】解:(1)令x+2=0和x﹣4=0,求得:x=﹣2和x=4,故答案为:﹣2和4;(2)由x﹣3=0得x=3,由x+4=0得x=﹣4,①当x<﹣4时,原式=﹣(x﹣3)﹣2(x+4)=﹣3x﹣5;②当﹣4≤x<3时,原式=﹣(x﹣3)+2(x+4)=x+11;③当x≥3时,原式=(x﹣3)+2(x+4)=3x+5;综上所述:原式=.、考点二已知范围的绝对值的化简【知识点睛】❖已知范围的绝对值的化简的基本步骤1.判断绝对值内部式子的正负2.把绝对值改为小括号3.根据去括号法则去括号4.化简合并❖易错点拨:1.数轴上两个数(或字母)相加减的正负判断:① 两数(或字母)相减时,右边-左边>0,左边-右边<0(与两数本来的正负无关);② 两数(或字母)相加时,原点右侧两数相加>0,原点左侧两数相加<0,原点两侧的两个数相加,谁离原点远,和就取谁的符号;2.具体两数相加减的正负判断:① 大数-小数>0;小数-大数<0;② 正数+正数>0;负数+负数<0;正数+负数时,谁的绝对值大,和就取谁的符号3.去括号法则:括号外是“+”,去掉括号后,括号内的各项符号不变;括号外是“-”,去掉括号后,括号内的各项符号都改变;【类题训练】1.已知有理数a,b在数轴上的位置如图所示,则化简|b+1|﹣|b﹣a|的结果为( )A.a﹣2b﹣1B.a+1C.﹣a﹣1D.﹣a+2b+1【分析】先根据数轴判断a、b的大小,再判断所求式子中绝对值内部的符号,再化简求值.【解答】解:由数轴可知,﹣1<b<0,1<a<2,∴b+1>0,|b+1|=b+1,b﹣a<0,|b﹣a|=a﹣b,∴原式=b+1﹣(a﹣b)=1+2b﹣a,故选:D.2.有理数m、n在数轴上的位置如图所示,则|m﹣n|+|m+n|的值为( )A.2n B.2m C.﹣2n D.﹣2m【分析】由图可知,m<0,n>0,且|m|<|n|,即可得到m﹣n<0,m+n>0,根据绝对值的意义|a|=进行计算即可得出答案.【解答】解:由图可知,∵m<0,n>0,且|m|<|n|,∴m﹣n<0,m+n>0,∴|m﹣n|+|m+n|=﹣(m﹣n)+m﹣n=﹣m+n+m+n=2n.故选:A.3.有理数a、b、c在数轴上的位置如下图所示,化简:|a+c|﹣|c﹣b|+|a+b|= .【分析】根据题意可知:b<﹣c<a<0<a<c<﹣b,然后可知a+c>0,c﹣b>0,a+b<0,然后根据绝对值的性质进行化简即可求出答案.【解答】解:由数轴可知:b<﹣c<a<0<a<c<﹣b,∴a+c>0,c﹣b>0,a+b<0,∴原式=(a+c)﹣(c﹣b)﹣(a+b)=a+c﹣c+b﹣a﹣b=0,故答案为:0.4.已知,有理数a,b,c在数轴上的对应点的位置如图所示,化简:|c+b|﹣|a﹣c|+|b﹣a|.【分析】根据有理数a,b,c在数轴上的对应点的位置可得∵3<a<4,0<b<1,﹣2<c<﹣1,即可得再根据绝对值的性质|a|=行计算即可得出答案.【解答】解:如图可知,∵3<a<4,0<b<1,﹣2<c<﹣1,=﹣(c+b)﹣(a﹣c)+[﹣(b﹣a)]=﹣c﹣b﹣a+c﹣b+a=﹣2b.5.已知a、b、c三个数在数轴上对应点如图,其中O为原点,化简|b﹣a|﹣|2a﹣b|+|a﹣c|﹣|c|.【分析】先根据数轴得出a、b、c的取值范围,再根据正数的绝对值是正数,负数的绝对值是它的相反数来化简所求的式子,再进行合并即可.【解答】解:根据数轴可得c<b<0<a,∴|b﹣a|﹣|2a﹣b|+|a﹣c|﹣|c|=a﹣b﹣(2a﹣b)+a﹣c﹣(﹣c)=a﹣b﹣2a+b+a﹣c+c=0.6.有理数a、b、c在数轴上的位置如图所示:化简:|a+c|﹣|a﹣b﹣c|﹣|b﹣a|+|b+c|【分析】根据数轴判断出a、b、c的正负情况以及绝对值的大小,然后求出a+c,a﹣b﹣c,b﹣a,b+c的正负情况,再根据绝对值的性质去掉绝对值号,然后合并同类项即可得解.【解答】解:根据图形可得,a>0,b<0,c<0,且|a|<|b|<|c|,∴a+c<0,a﹣b﹣c>0,b﹣a<0,b+c<0,∴|a+c|﹣|a﹣b﹣c|﹣|b﹣a|+|b+c|,=﹣a﹣c﹣a+b+c+b﹣a﹣b﹣c,=﹣3a﹣c+b.7.如图,已知数轴上点A,B,C所对应的数a,b,c都不为0,且C是AB的中点,如果|a+b|﹣|a﹣2c|+|b ﹣2c|﹣|a+b﹣2c|=0,试确定原点O的大致位置.【分析】数轴与绝对值结合,先根据绝对值的性质,判断出a,b,c的大致取值,再根据图形和已知等式确定原点位置.【解答】解:C是AB的中点,则a+b=2c,因而①a+b﹣2c=0⇒|a+b﹣2c|=0,②a﹣2c=﹣b⇒|a﹣2c|=|﹣b|=|b|,③b﹣2c=﹣a⇒|b﹣2c|=|﹣a|=|a|,所以原式=|a+b|﹣|b|+|a|﹣0=0⇒|a+b|=|b|﹣|a|,因为|a+b|>0⇒a,b异号,并且|b|>|a|,就是|OB|>|OA|,因而点O在A,C之间.8.已知a、b、c在数轴上的位置如图所示,化简:|2a|﹣|a+c|﹣|1﹣b|+|﹣a﹣b|【分析】先根据数轴上各点的位置确定2a、a+c、1﹣b、﹣a﹣b的符号,再根据绝对值的性质去掉绝对值符号,合并同类项即可.【解答】解:∵a、c在原点的左侧,a<﹣1,∴a<0,c<0,∴2a<0,a+c<0,∵0<b<1,∴1﹣b>0,∵a<﹣1,∴﹣a﹣b>0∴原式=﹣2a+(a+c)﹣(1﹣b)+(﹣a﹣b)=﹣2a+a+c﹣1+b﹣a﹣b=﹣2a+c﹣1.故答案为:﹣2a+c﹣1.9.有理数a,b在数轴上的对应点位置如图所示,且|a|=|c|.(1)用“<”连接这四个数:0,a,b,c; ;(2)比较大小:a b,a+c 0;(3)化简:|a+b|﹣2|a|﹣|b+c|.【分析】(1)根据数轴上的点左边的数比右边的数小即可判断;(2)根据数轴和相反数的性质可得答案;(3)利用绝对值的性质即可解决问题;【解答】解:(1)根据数轴得:b<a<0<c;故答案为:b<a<0<c;(2)由数轴可得,b<a<0<c,|a|=|c|,∴a>b,a+c=0;故答案为:>,=;(3)由图可知:a<0,a+b<0,b+c<0,a+c=0,∴原式=﹣a﹣b+2a+b+c=a+c=0.10.已知A,B,C三点在数轴上如图所示,它们表示的数分别是a,b,c.且|a|<|b|.(1)①填空:abc 0,a+b 0(填“>”“<”或“=”).(2)化简:|a﹣b|﹣2|a+b|+|b﹣c|.【分析】(1)根据数轴上的点所在位置判断a、b、c的正负号,再确定abc、a+b正负号;(2)先确定a﹣b,a+b以及b﹣c的正负号,再根据绝对值的性质去绝对值符号即可.【解答】解:(1)根据数轴上A、B、C三点的位置,可知a<0<b<c,且|c|>|b|>|a|,∴abc<0,a+b>0,故答案为:<,>;(2)由题意可知,a﹣b<0,a+b>0,b﹣c<0,∴|a﹣b|﹣2|a+b|+|b﹣c|=b﹣a﹣2(a+b)+c﹣b=b﹣a﹣2a﹣2b+c﹣b=﹣3a﹣2b+c.11.若用点A,B,C分别表示有理数a,b,c,它们在数轴上的位置如图所示.(1)比较a,b,c的大小(用“<”连接);(2)请在横线上填上>,<或=:a+b 0,b﹣c 0;(3)化简:2c+|a+b|+|c﹣b|−|c﹣a|.【分析】(1)根据数轴上点的位置判断即可;(2)根据有理数的加减法法则判断即可;(3)利用绝对值的代数意义化简即可.【解答】解:(1)根据数轴上点的位置得:a<c<b;(2)∵a<c<0<b,且|b|<|a|,∴a+b<0,b﹣c>0,故答案为:<;>;(3)∵a+b<0,c﹣b<0,c﹣a>0,∴2c+|a+b|+|c﹣b|﹣|c﹣a|=2c﹣a﹣b+b﹣c﹣c+a=0.12.已知有理数a、b、c在数轴上的位置如图所示:(1)判断下列各式的符号,用“>”或“<”填空:a+b 0,c﹣b 0;(2)化简|a+b|﹣2|c﹣b|.【分析】(1)根据a、b、c在数轴上的位置,利用有理数的加法的计算方法,可得出答案;(2)化简绝对值再计算即可.【解答】解:(1)由a、b、c在数轴上的位置,可知c<a<0<b,且|c|>|b|>|a|,所以,a+b>0,c﹣b<0,故答案为:>,<;(2)|a+b|﹣2|c﹣b|=a+b﹣2(b﹣c)=a+b﹣2b+2c=a﹣b+2c.。
初一七年级绝对值练习(含例题、基础、培优)例题部分一、根据题设条件例1 设化简的结果是()。
(A)(B)(C)(D)思路分析由可知可化去第一层绝对值符号,第二次绝对值符号待合并整理后再用同样方法化去.解∴应选(B).。
归纳点评只要知道绝对值将合内的代数式是正是负或是零,就能根据绝对值意义顺利去掉绝对值符号,这是解答这类问题的常规思路.二、借助数轴例2 实数a、b、c在数轴上的位置如图所示,则代数式的值等于().(A)(B)(C)(D)思路分析由数轴上容易看出,这就为去掉绝对值符号扫清了障碍.解原式∴应选(C).`归纳点评这类题型是把已知条件标在数轴上,借助数轴提供的信息让人去观察,一定弄清:1.零点的左边都是负数,右边都是正数.2.右边点表示的数总大于左边点表示的数.3.离原点远的点的绝对值较大,牢记这几个要点就能从容自如地解决问题了.三、采用零点分段讨论法例3 化简思路分析本类型的题既没有条件限制,又没有数轴信息,要对各种情况分类讨论,可采用零点分段讨论法,本例的难点在于的正负不能确定,由于x是不断变化的,所以它们为正、为负、为零都有可能,应当对各种情况—一讨论.解令得零点:;!令得零点:,把数轴上的数分为三个部分(如图)①当时,∴原式②当时,,∴原式③当时,,$∴原式∴归纳点评虽然的正负不能确定,但在某个具体的区段内都是确定的,这正是零点分段讨论法的优点,采用此法的一般步骤是:1.求零点:分别令各绝对值符号内的代数式为零,求出零点(不一定是两个).2.分段:根据第一步求出的零点,将数轴上的点划分为若干个区段,使在各区段内每个绝对值符号内的部分的正负能够确定.3.在各区段内分别考察问题.4.将各区段内的情形综合起来,得到问题的答案.误区点拨千万不要想当然地把等都当成正数或无根据地增加一些附加条件,以免得出错误的结果.;练习:请用文本例1介绍的方法解答l、2题1.已知a、b、c、d满足且,那么2.若,则有()。
绝对值计算化简专项练习30题(有答案)1.已知a、b、c在数轴上的位置如图所示,化简:|2a|﹣|a+c|﹣|1﹣b|+|﹣a﹣b|2.有理数a,b,c在数轴上的对应位置如图,化简:|a﹣b|+|b﹣c|+|a﹣c|.3.已知xy<0,x<y且|x|=1,|y|=2.(1)求x和y的值;(2)求的值.4.计算:|﹣5|+|﹣10|÷|﹣2|.5.当x<0时,求的值.6.若abc<0,|a+b|=a+b,|a|<﹣c,求代数式的值.7.若|3a+5|=|2a+10|,求a的值.8.已知|m﹣n|=n﹣m,且|m|=4,|n|=3,求(m+n)2的值.9.a、b在数轴上的位置如图所示,化简:|a|+|a﹣b|﹣|a+b|.10.有理数a,b,c在数轴上的位置如图所示,试化简下式:|a﹣c|﹣|a﹣b|﹣|b﹣c|+|2a|.11.若|x|=3,|y|=2,且x>y,求x﹣y的值.12.化简:|3x+1|+|2x﹣1|.13.已知:有理数a、b在数轴上对应的点如图,化简|a|+|a+b|﹣|1﹣a|﹣|b+1|.14.++=1,求()2003÷(××)的值.15.(1)|x+1|+|x﹣2|+|x﹣3|的最小值?(2)|x+1|+|x﹣2|+|x﹣3|+|x﹣1|的最小值?(3)|x﹣2|+|x﹣4|+|x﹣6|+…+|x﹣20|的最小值?16.计算:|﹣|+|﹣|+|﹣|+…+|﹣|17.若a、b、c均为整数,且|a﹣b|3+|c﹣a|2=1,求|a﹣c|+|c﹣b|+|b﹣a|的值.18.已知a、b、c三个数在数轴上对应点如图,其中O为原点,化简|b﹣a|﹣|2a﹣b|+|a﹣c|﹣|c|.19.试求|x﹣1|+|x﹣3|+…+|x﹣2003|+|x﹣2005|的最小值.20.计算:.21.计算:(1)2.7+|﹣2.7|﹣|﹣2.7| (2)|﹣16|+|+36|﹣|﹣1|22.计算(1)|﹣5|+|﹣10|﹣|﹣9|;(2)|﹣3|×|﹣6|﹣|﹣7|×|+2|23.计算.(1);(2).24.若x>0,y<0,求:|y|+|x﹣y+2|﹣|y﹣x﹣3|的值.25.认真思考,求下列式子的值..26.问当x取何值时,|x﹣1|+|x﹣2|+|x﹣3|+…+|x﹣2011|取得最小值,并求出最小值.27.(1)当x在何围时,|x﹣1|﹣|x﹣2|有最大值,并求出最大值.(2)当x在何围时,|x﹣1|﹣|x﹣2|+|x﹣3|﹣|x﹣4|有最大值,并求出它的最大值.(3)代数式|x﹣1|﹣|x﹣2|+|x﹣3|﹣|x﹣4|+…+|x﹣99|﹣|x﹣100|最大值是_________ (直接写出结果)28.阅读:一个非负数的绝对值等于它本身,负数的绝对值等于它的相反数,所以,当a≥0时|a|=a,根据以上阅读完成下列各题:(1)|3.14﹣π|= _________ ;(2)计算= _________ ;(3)猜想:= _________ ,并证明你的猜想.29.(1)已知|a﹣2|+|b+6|=0,则a+b= _________(2)求|﹣1|+|﹣|+…+|﹣|+|﹣|的值.30.已知m,n,p满足|2m|+m=0,|n|=n,p•|p|=1,化简|n|﹣|m﹣p﹣1|+|p+n|﹣|2n+1|.绝对值化简求值参考答案:1.解:∵a、c在原点的左侧,a<﹣1,∴a<0,c<0,∴2a<0,a+c<0,∵0<b<1,∴1﹣b>0,∵a<﹣1,∴﹣a﹣b>0∴原式=﹣2a+(a+c)﹣(1﹣b)+(﹣a﹣b)=﹣2a+a+c﹣1+b﹣a﹣b=﹣2a+c﹣1.故答案为:﹣2a+c﹣12.解:由图可知:b<0,c>a>0,∴a﹣b>0,b﹣c<0,a﹣c<0,∴|a﹣b|+|b﹣c|+|a﹣c|,=(a﹣b)﹣(b﹣c)﹣(a﹣c),=a﹣b﹣b+c﹣a+c,=2c﹣2b3.解:(1)∵|x|=1,∴x=±1,∵|y|=2,∴y=±2,∵x<y,∴当x取1时,y取2,此时与xy<0矛盾,舍去;当x取﹣1时,y取2,此时与xy<0成立,∴x=﹣1,y=2;(2)∵x=﹣1,y=2,∴=|﹣1﹣|+(﹣1×2﹣1)2 =|(﹣1)+(﹣)|+[(﹣2)+(﹣1)]2=|﹣|+(﹣3)2=+9=104.解:|﹣5|+|﹣10|÷|﹣2|=5+10÷2=5+5=105.解:∵x<0,∴|x|=﹣x,∴原式==0+=﹣6.解:∵|a|<﹣c,∴c<0,∵abc<0,∴ab>0,∴=++=1+1﹣1=17.解:∵|3a+5|=|2a+10|,∴3a+5=2a+10或3a+5=﹣(2a+10),解得a=5或a=﹣38.解:∵|m﹣n|=n﹣m,∴m﹣n≤0,即m≤n.又|m|=4,|n|=3,∴m=﹣4,n=3或m=﹣4,n=﹣3.∴当m=﹣4,n=3时,(m+n)2=(﹣1)2=1;当m=﹣4,n=﹣3时,(m+n)2=(﹣7)2=499.解:∵a<0,b>0,∴a﹣b<0;又∵|a|>|b|,∴a+b<0;原式=﹣a+[﹣(a﹣b)]﹣[﹣(a+b)],=﹣a﹣(a﹣b)+(a+b),=﹣a﹣a+b+a+b,=﹣a+2b10.解:由图可知:c<a<0<b,则有a﹣c>0,a﹣b<0,b﹣c>0,2a<0,|a﹣c|﹣|a﹣b|﹣|b﹣c|+|2a|,=(a﹣c)﹣(b﹣a)﹣(b﹣c)+(﹣2a),=a﹣c﹣b+a﹣b+c﹣2a,=﹣2b.故答案为:﹣2b11.解:因为x>y,由|x|=3,|y|=2可知,x>0,即x=3.(1)当y=2时,x﹣y=3﹣2=1;(2)当y=﹣2时,x﹣y=3﹣(﹣2)=5.所以x﹣y的值为1或512.解:分三种情况讨论如下:(1)当x<﹣时,原式=﹣(3x+1)﹣(2x﹣1)=﹣5x;(2)当﹣≤x<时,原式=(3x+1)﹣(2x﹣1)=x+2;(3)当x≥时,原式=(3x+1)+(2x﹣1)=5x.综合起来有:|3x+1|+|2x﹣1|=.13.解:由数轴可知:1>a>0,b<﹣1,所以原式=a+[﹣(a+b)]﹣(1﹣a)﹣[﹣(b+1)]=a 14.解:∵=1或﹣1,=1或﹣1,=1或﹣1,又∵++=1,∴,,三个式子中一定有2个1,一个﹣1,不妨设,==1,=﹣1,即a>0,b>0,c<0,∴|abc|=﹣abc,|ab|=ab,|bc|=﹣bc,|ac|=﹣ac,∴原式=()2003÷(××)=(﹣1)2003÷1=﹣115.解:(1)∵数x表示的点到﹣1表示的点的距离为|x+1|,到2表示的点的距离为|x﹣2|,到3表示的点的距离为|x﹣3|,∴当x=2时,|x+1|+|x﹣2|+|x﹣3|的最小值为3﹣(﹣1)=4;(2)当x=1或x=2时,|x+1|+|x﹣2|+|x﹣3|+|x﹣1|的最小值为5;(3)当x=10或x=12时,|x﹣2|+|x﹣4|+|x﹣6|+…+|x﹣20|的最小值=5016.解:原式=(﹣)+(﹣)+(﹣)+…+(﹣)=﹣+﹣+﹣+…+﹣=﹣=17.解:∵a,b,c均为整数,且|a ﹣b|3+|c﹣a|2=1,∴a、b 、c 有两个数相等,不妨设为a=b ,则|c﹣a|=1,∴c=a+1或c=a﹣1,18.解:根据数轴可得c<b<0<a,∴|b﹣a|﹣|2a﹣b|+|a﹣c|﹣|c|=a ﹣b ﹣(2a﹣b)+a﹣c﹣(﹣c )=a﹣b﹣2a+b+a﹣c+c=019.解:∵2005=2×1003﹣1,∴共有1003个数,∴x=502×2﹣1=1003时,两边的数关于|x﹣1003|对称,此时的和最小,此时|x﹣1|+|x﹣3|+…+|x﹣2003|+|x﹣2005|=(x﹣1)+(x﹣3)…+(1001﹣x)+(1003﹣x)+(1005﹣x)+…+(2005﹣x )=2(2+4+6+ (1002)=2×=50300420.解:=﹣+﹣+﹣+…+﹣=﹣=21.解:(1)原式=2.7+2.7﹣2.7=2.7;(2)原式=16+36﹣1=5122. 解:(1)原式=5+10﹣9=6;(2)原式=3×6﹣7×2=18﹣14=423.解:(1)原式=﹣+=;(2)原式=﹣+=24.解:∵x>0,y<0,∴x﹣y+2>0,y﹣x﹣3<0∴|y|+|x﹣y+2|﹣|y﹣x﹣3|=﹣y+(x﹣y+2)+(y ﹣x﹣3)=﹣y+x﹣y+2+y﹣x﹣3=﹣y﹣125.解:原式=﹣+﹣+﹣=﹣=26.解:1﹣2011共有2011个数,最中间一个为1006,最小值为|x﹣1|+|x﹣2|+|x﹣3|+…+|x﹣2011|=|1006﹣1|+|1006﹣2|+|1006﹣3|+…+|1006﹣2011|=1005+1004+1003+…+2+1+0+1+2+3+…+1005=101103027.解:(1)∵|x﹣1|﹣|x﹣2|表示x到1的距离与x 到2的距离的差,∴x≥2时有最大值2﹣1=1;(2)∵|x﹣1|﹣|x﹣2|+|x﹣3|﹣|x﹣4|表示x到1的距离与x到2的距离的差与x到3的距离与x到4的距离的差的和,∴x≥4时有最大值1+1=2;(3)由上可知:x≥100时|x﹣1|﹣|x﹣2|+|x﹣3|﹣|x﹣4|+…+|x﹣99|﹣|x﹣100|有最大值1×50=50.故答案为5028.解:(1)原式=﹣(3.14﹣π)=π﹣3.14;(2)原式=1﹣+﹣+﹣+…+﹣=1﹣=;(3)原式=1﹣+﹣+﹣+…+﹣=1﹣=.故答案为π﹣3.14;;29.解:(1)∵|a﹣2|+|b+6|=0,∴a﹣2=0,b+6=0,∴a=2,b=﹣6,∴a+b=2﹣6=﹣4;(2)|﹣1|+|﹣|+…+|﹣|+|﹣|=1﹣+﹣+…+﹣+﹣=1﹣=.∴﹣2m+m=0,即﹣m=0,∴m=0.由|n|=n,知n≥0,由p•|p|=1,知p>0,即p2=1,且p>0,∴p=1,∴原式=n﹣|0﹣1﹣1|+|1+n|﹣|2n+1|=n﹣2+1+n﹣2n﹣1=﹣2。
环球雅思教育学科教师讲义讲义编号:副校长/组长签字:签字日期:一. 绝对值的实质:正实数与零的绝对值是其自身,负实数的绝对值是它的相反数,即也就是说,|x|表示数轴上坐标为x的点与原点的距离。
总之,任何实数的绝对值是一个非负数,即|x|≥0,请牢牢记住这一点。
二. 绝对值的几何意义:一个数的绝对值就是数轴上表示这个数的点到原点的距离。
三. 绝对值的性质:1. 有理数的绝对值是一个非负数,即|x|≥0,绝对值最小的数是零。
2. 任何有理数都有唯一的绝对值,并且任何一个有理数都不大于它的绝对值,即x ≤|x|。
3. 已知一个数的绝对值,那么它所对应的是两个互为相反数的数。
4. 若两个数的绝对值相等,则这两个数不一定相等(显然如|6|=|-6|,但6≠-6),只有这两个数同号,且这两个数的绝对值相等时,这两个数才相等。
【经典例题】【例1【例2((【例3【例4【例5【例6【例7【例8 【例9【例10 【课堂练习】1、(2011许昌)若│x+2│+│y -3│=0,则xy=________.2、(2012周口)已知|1|x += 4,2(2)4y +=,求x y +的值.3、(2012淮安)同学们都知道,|5-(-2)|表示5与-2之差的绝对值,实际上也可理解为5与-2两数在数轴上所C B 0 A对的两点之间的距离,试探索:(1)求|5-(-2)|=______.(2)找出所有符合条件的整数x ,使得|x+5|+|x-2|=7这样的整数是_____.4、(2010枣庄)已知|a|=7,|b|=3,求a+b 的值.5、(2012安庆)若x>0,y<0,求32---+-x y y x 的值.【课后作业】1、如果A .2、若│a 3、若|a|=14、设a ,5、如果x 6、化简:7、数a ,8、若a<-b 本次家长意见:________________________________________________________________________________________【参考答案】【经典例题】1、-12、(1)4,-4 (2)2,-2, (3)2,-23、2b4、245、56、47、08、(1)x=-35,-325;(2)x=1,x=-5(3)此方程无解 9、4 10、2b-2c 【课堂练习】1、-62、3或-1或-5或-93、7,5±4、10或4或-4或-105、-1【课后作业】1、D2、93、0或24、最大值-85、76、当a-b>0时,即a>b,|a-b|=a-b;当a-b=0时,即a=b,|a-b|=0;当a-b<0时,即a<b,|a-b|=b-a。
绝对值计算化简专项练习30题(有答案)1.已知a、b、c在数轴上的位置如图所示,化简:|2a|﹣|a+c|﹣|1﹣b|+|﹣a﹣b|2.有理数a,b,c在数轴上的对应位置如图,化简:|a﹣b|+|b﹣c|+|a﹣c|.3.已知xy<0,x<y且|x|=1,|y|=2.(1)求x和y的值;(2)求的值.5.当x<0时,求的值.6.若abc<0,|a+b|=a+b,|a|<﹣c,求代数式的值.7.若|3a+5|=|2a+10|,求a的值. 8.已知|m﹣n|=n﹣m,且|m|=4,|n|=3,求(m+n)2的值.9.a、b在数轴上的位置如图所示,化简:|a|+|a﹣b|﹣|a+b|.10.有理数a,b,c在数轴上的位置如图所示,试化简下式:|a﹣c|﹣|a﹣b|﹣|b﹣c|+|2a|.11.若|x|=3,|y|=2,且x>y,求x﹣y的值.12.化简:|3x+1|+|2x﹣1|.13.已知:有理数a、b在数轴上对应的点如图,化简|a|+|a+b|﹣|1﹣a|﹣|b+1|.14.++=1,求()2003÷(××)的值.15.(1)|x+1|+|x﹣2|+|x﹣3|的最小值?(2)|x+1|+|x﹣2|+|x﹣3|+|x﹣1|的最小值?(3)|x﹣2|+|x﹣4|+|x﹣6|+…+|x﹣20|的最小值?16.计算:|﹣|+|﹣|+|﹣|+…+|﹣|17.若a、b、c均为整数,且|a﹣b|3+|c﹣a|2=1,求|a﹣c|+|c﹣b|+|b﹣a|的值.18.已知a、b、c三个数在数轴上对应点如图,其中O为原点,化简|b﹣a|﹣|2a﹣b|+|a﹣c|﹣|c|.19.试求|x﹣1|+|x﹣3|+…+|x﹣2003|+|x﹣2005|的最小值.20.计算:.24.若x>0,y<0,求:|y|+|x﹣y+2|﹣|y﹣x﹣3|的值.25.认真思考,求下列式子的值..26.问当x取何值时,|x﹣1|+|x﹣2|+|x﹣3|+…+|x﹣2011|取得最小值,并求出最小值.27.(1)当x在何范围时,|x﹣1|﹣|x﹣2|有最大值,并求出最大值.(2)当x在何范围时,|x﹣1|﹣|x﹣2|+|x﹣3|﹣|x﹣4|有最大值,并求出它的最大值.(3)代数式|x﹣1|﹣|x﹣2|+|x﹣3|﹣|x﹣4|+…+|x﹣99|﹣|x﹣100|最大值是_________ (直接写出结果)28.阅读:一个非负数的绝对值等于它本身,负数的绝对值等于它的相反数,所以,当a≥0时|a|=a,根据以上阅读完成下列各题:(1)|3.14﹣π|= _________ ;(2)计算= _________ ;(3)猜想:= _________ ,并证明你的猜想.29.(1)已知|a﹣2|+|b+6|=0,则a+b= _________(2)求|﹣1|+|﹣|+…+|﹣|+|﹣|的值.30.已知m,n,p满足|2m|+m=0,|n|=n,p•|p|=1,化简|n|﹣|m﹣p﹣1|+|p+n|﹣|2n+1|.参考答案:1.﹣2a+c﹣1 2.2c﹣2b3.解:(1)∵|x|=1,∴x=±1,∵|y|=2,∴y=±2,∵x<y,∴当x取1时,y取2,此时与xy<0矛盾,舍去;当x取﹣1时,y取2,此时与xy<0成立,∴x=﹣1,y=2;(2)∵x=﹣1,y=2,∴=|﹣1﹣|+(﹣1×2﹣1)2=|(﹣1)+(﹣)|+[(﹣2)+(﹣1)]2=|﹣|+(﹣3)2=+9 =105.解:∵x<0,∴|x|=﹣x,∴原式==0+=﹣6.解:∵|a|<﹣c,∴c<0,∵abc<0,∴ab>0,∵|a+b|=a+b,∴a>0,b>0,7.解:∵|3a+5|=|2a+10|,∴3a+5=2a+10或3a+5=﹣(2a+10),解得a=5或a=﹣38.解:∵|m﹣n|=n﹣m,∴m﹣n≤0,即m≤n.又|m|=4,|n|=3,∴m=﹣4,n=3或m=﹣4,n=﹣3.∴当m=﹣4,n=3时,(m+n)2=(﹣1)2=1;当m=﹣4,n=﹣3时,(m+n)2=(﹣7)2=499.解:∵a<0,b>0,∴a﹣b<0;又∵|a|>|b|,∴a+b<0;原式=﹣a+[﹣(a﹣b)]﹣[﹣(a+b)],=﹣a﹣(a﹣b)+(a+b),=﹣a﹣a+b+a+b,=﹣a+2b10.解:由图可知:c<a<0<b,则有a﹣c>0,a﹣b<0,b﹣c>0,2a<0,|a﹣c|﹣|a﹣b|﹣|b﹣c|+|2a|,=(a﹣c)﹣(b﹣a)﹣(b﹣c)+(﹣2a),=a﹣c﹣b+a﹣b+c﹣2a,=﹣2b.11.解:因为x>y,由|x|=3,|y|=2可知,x>0,即x=3.(1)当y=2时,x﹣y=3﹣2=1;(2)当y=﹣2时,x﹣y=3﹣(﹣2)=5.所以x﹣y的值为1或512.解:分三种情况讨论如下:(1)当x<﹣时,原式=﹣(3x+1)﹣(2x﹣1)=﹣5x;(2)当﹣≤x<时,原式=(3x+1)﹣(2x﹣1)=x+2;(3)当x≥时,原式=(3x+1)+(2x﹣1)=5x.综合起来有:|3x+1|+|2x﹣1|=.13.解:由数轴可知:1>a>0,b<﹣1,所以原式=a+[﹣(a+b)]﹣(1﹣a)﹣[﹣(b+1)]=a14.解:∵=1或﹣1,=1或﹣1,=1或﹣1,又∵++=1,∴,,三个式子中一定有2个1,一个﹣1,不妨设,==1,=﹣1,即a>0,b>0,c<0,∴|abc|=﹣abc,|ab|=ab,|bc|=﹣bc,|ac|=﹣ac,∴原式=()2003÷(××)=(﹣1)2003÷1=﹣115.解:(1)∵数x表示的点到﹣1表示的点的距离为|x+1|,到2表示的点的距离为|x﹣2|,到3表示的点的距离为|x﹣3|,∴当x=2时,|x+1|+|x﹣2|+|x﹣3|的最小值为3﹣(﹣1)=4;(2)当x=1或x=2时,|x+1|+|x﹣2|+|x﹣3|+|x﹣1|的最小值为5;(3)当x=10或x=12时,|x﹣2|+|x﹣4|+|x﹣6|+…+|x﹣20|的最小值=5016.解:原式=(﹣)+(﹣)+(﹣)+…+(﹣)=﹣+﹣+﹣+…+﹣=﹣=17.解:∵a,b,c均为整数,且|a﹣b|3+|c﹣a|2=1,∴a、b、c有两个数相等,不妨设为a=b,则|c﹣a|=1,∴c=a+1或c=a﹣1,∴|a﹣c|=|a﹣a﹣1|=1或|a﹣c|=|a﹣a+1|=1,∴|a﹣c|+|c﹣b|+|b﹣a|=1+1=218.解:根据数轴可得c<b<0<a,∴|b﹣a|﹣|2a﹣b|+|a﹣c|﹣|c|=a﹣b﹣(2a﹣b)+a﹣c﹣(﹣c)=a﹣b﹣2a+b+a﹣c+c=019.解:∵2005=2×1003﹣1,∴共有1003个数,∴x=502×2﹣1=1003时,两边的数关于|x﹣1003|对称,此时的和最小,=2(2+4+6+…+1002)=2×=50300420.解:=﹣+﹣+﹣+…+﹣=﹣=23.解:(1)原式=﹣+=;(2)原式=﹣+=24.解:∵x>0,y<0,∴x﹣y+2>0,y﹣x﹣3<0∴|y|+|x﹣y+2|﹣|y﹣x﹣3|=﹣y+(x﹣y+2)+(y﹣x﹣3)=﹣y+x﹣y+2+y﹣x﹣3=﹣y﹣125.解:原式=﹣+﹣+﹣=﹣=26.解:1﹣2011共有2011个数,最中间一个为1006,此时|x﹣1|+|x﹣2|+|x﹣3|+…+|x﹣2011|取得最小值,最小值为|x﹣1|+|x﹣2|+|x﹣3|+…+|x﹣2011|=|1006﹣1|+|1006﹣2|+|1006﹣3|+…+|1006﹣2011| =1005+1004+1003+…+2+1+0+1+2+3+…+1005=101103027.解:(1)∵|x﹣1|﹣|x﹣2|表示x到1的距离与x到2的距离的差,∴x≥2时有最大值2﹣1=1;(2)∵|x﹣1|﹣|x﹣2|+|x﹣3|﹣|x﹣4|表示x到1的距离与x到2的距离的差与x到3的距离与x到4的距离的差的和,∴x≥4时有最大值1+1=2;(3)由上可知:x≥100时|x﹣1|﹣|x﹣2|+|x﹣3|﹣|x﹣4|+…+|x﹣99|﹣|x﹣100|有最大值1×50=50.答案为50 28.解:(1)原式=﹣(3.14﹣π)=π﹣3.14;(2)原式=1﹣+﹣+﹣+…+﹣=1﹣=;(3)原式=1﹣+﹣+﹣+…+﹣=1﹣=.29.解:(1)∵|a﹣2|+|b+6|=0,∴a﹣2=0,b+6=0,∴a=2,b=﹣6,∴a+b=2﹣6=﹣4;(2)|﹣1|+|﹣|+…+|﹣|+|﹣|=1﹣+﹣+…+﹣+﹣=1﹣=.故答案为:﹣4,30.解:由|2m|+m=0,得:2|m|=﹣m,∴m≤0,∴﹣2m+m=0,即﹣m=0,∴m=0.由|n|=n,知n≥0,由p•|p|=1,知p>0,即p2=1,且p>0,∴p=1,∴原式=n﹣|0﹣1﹣1|+|1+n|﹣|2n+1|=n﹣2+1+n﹣2n﹣1=﹣2。
①己如XI=-x,则化简x-2lχ-3l的结果是.答解析:内为X⅛0.W-x⅛O,易知X<0,所以κ-2<0:x-3<0所以lx-2卜lχ-3∣=2-χ+χ-3=T②IX-H与12y+61互为相反数,试求(x+y)”的值,答案:8解析:根抠它的互为相反数.由相反数的定义可知x-l÷2y+6=O即XT=Ol2y+6=0解得x-l,y=-3.(x+y),=(l-3),=-8③有现数a,b,c在数轴上的位置如图所示,式子a+b+∣a-∣b-∣c-b∣的化简结果是-r-?~g—?→答案:b-c解析:根据数轴可知,a+bX),a<0.b>0,c-bX)根据绝对值的定义.原式=a+b+(-a)-b-(c-b)=b-c ④用零点分段法化油2χ-l∣+∣x+3∣答案:当x<3时3x2:当3WxW0.5时4x:当x>0.5时3x,2解析:先找零点:-3和0.5然后分成三个区间当X*3时原式=l-2χ-χ-3=-3χ-2当~3SxS0∙5时原式=>2x+x+S三4X⅛x>0.5时晚式=2X-1-X*3=3X+2⑤已知a+b=a-b,则Iab-I的值是,答案:1解析:由于无法确定H+h与。
的大小关系.所以荡要分类讨论当a+b妾0时,,a+b=a+b=a-b得到∣>=T>,BPb=O当a-bVO时,a+b--a-b=a-b得到-a=a,即u=0我们发现无论哪种情况下a,b至少有一个是0.那么ab=O.所以ab-l的位是I.⑥己知X,y,Z是三个有理数,且∣x+y+z+2∣=x+y-z-6,W∣(x÷y-2)(2z+8)=答案:O解析:由玷葩础的第五题改编而来当χ∙(∙y+z+2H0时x+y+z+2=x+y-z-6得到z=7当x∙y∙z∙2<0时χ4yf2=-(x∙yZ6)得到X。
产2所以(x+y-2)(2z+8)的他是0.虽然ISIl看起来很难,但只要熟练掌握基本的方法就可以解决。
环球雅思教育学科教师讲义
讲义编号:副校长/组长签字:签字日期:
【考纲说明】
1、能够根据绝对值的意义、性质及非负性进行绝对值的化简;
2、灵活运用绝对值的性质进行化简和方程的解决。
【趣味链接】
由于研究的需要,人类创造了了大量的数学符号,来代替和表示某些数学概念和规律,简化了数学研究工作,促进了数学的发展.在中学数学中,常见的数学符号有以下八种:数量符号、运算符号、关系符号、结合符号、性质符号、简写符号、逻辑符号、集合论符号,其中,绝对值符号属于性质符号中的一种,常见的性质符号还有正号(+)和负号(-)。
数学符号不仅随着数学发展的需要而产生,而且也随着数学的发展不断完善。
我国宋朝科学家沈括说过,数学方法应该“见繁即变,见简即用”。
数学符号正是适应这种变“繁”为“简”的实际需要而产生的。
【知识梳理】
一. 绝对值的实质:
正实数与零的绝对值是其自身,负实数的绝对值是它的相反数,即
也就是说,|x|表示数轴上坐标为x 的点与原点的距离。
总之,任何实数的绝对值是一个非负数,即|x|≥0,请牢牢记住这一点。
二. 绝对值的几何意义:
一个数的绝对值就是数轴上表示这个数的点到原点的距离。
三. 绝对值的性质:
1. 有理数的绝对值是一个非负数,即|x|≥0,绝对值最小的数是零。
2. 任何有理数都有唯一的绝对值,并且任何一个有理数都不大于它的绝对值,即x ≤|x|。
3. 已知一个数的绝对值,那么它所对应的是两个互为相反数的数。
4. 若两个数的绝对值相等,则这两个数不一定相等(显然如|6|=|-6|,但6≠-6),只有这两个数同号,且这两个数的绝对值相等时,这两个数才相等。
【经典例题】
【例1】(2012毫州)若0|2|)1(2=++-b a ,则b a +=_________.
【例2】(2012曲阜)(1)已知x 是有理数,且|x|=|-4|,那么x=____;
(2)已知x 是有理数,且-|x|=-|2|,那么x=____;
(3)已知x 是有理数,且-|-x|=-|2|,那么x=____.
【例3】(2012徐州)若|a|=b ,求|a+b|的值.
【例4】(2012淮北)已知|x-1|=2,|y|=3,且x 与y 互为相反数,求
y xy x 4312--的值. 【例5】(2012商丘)|m+3 |+|n-2
7|+|2p-1|=0,求p+2m+3n 的值.
【例6】(2011菏泽)若已知a 与b 互为相反数,且|a-b|=4,求1
2+++-ab a b ab a 的值. 【例7】(2011新乡)计算:14
134191413419-+---
【例8】(2012开封)解方程:(1)
05|5|2
3=-+x (2)|4x+8|=12
(3)|3x+2|=-1 【例9】(2011济宁)若-2≤a≤0,化简|a+2|+|a-2|.
【例10】(2012泰安)有理数a ,b ,c 在数轴上对应点如图所示,化简|b+a|+|a+c|+|c-b|.
【课堂练习】
1、(2011许昌)若│x+2│+│y -3│=0,则xy=________.
2、(2012周口)已知|1|x += 4,2
(2)4y +=,求x y +的值.
3、(2012淮安)同学们都知道,|5-(-2)|表示5与-2之差的绝对值,实际上也可理解为5与-2两数在数轴上所对的两点之间的距离,试探索:
(1)求|5-(-2)|=______.
(2)找出所有符合条件的整数x ,使得|x+5|+|x-2|=7这样的整数是_____.
C B 0 A
4、(2010枣庄)已知|a|=7,|b|=3,求a+b 的值.
5、(2012安庆)若x>0,y<0,求32---+-x y y x 的值.
【课后作业】
1、如果a<2,那么│-1.5│+│a -2│等于( )
A .1.5-a
B .a-3.5
C .a-0.5
D .3.5-a
2、若│a —4│+│b +5│=0,则a —b = .
3、若|a|=1,|b|=2,|c|=3,且a>b>c,那么a+b-c=______.
4、设a ,b 是有理数,则-8-|a-b|是有最大值还是最小值?其值是多少?
5、如果x ,y 表示有理数,且x ,y 满足条件|x|=5,|y|=2,|x-y|=y-x ,那么x+y 的值是多少?
6、化简:|a-b|.
7、数a ,b 在数轴上对应的点如图所示,是化简|a+b|+|b-a|+|b|-|a-|a||
8、若a<-b 且
0>b
a ,化简|a|-|b|+|a+b|+|ab|.
【课后反馈】
本次______________同学课堂状态:_________________________________________________________________ 本次课后作业:___________________________________________________________________________________ 需要家长协助:____________________________________________________________________________________ 家长意见:________________________________________________________________________________________
【参考答案】
【经典例题】
1、-1
2、(1)4,-4 (2)2,-2, (3)2,-2
3、2b
4、24
5、5
6、4
7、0
8、(1)x=-35,-3
25;(2)x=1,x=-5(3)此方程无解 9、4 10、2b-2c 【课堂练习】
1、-6
2、3或-1或-5或-9
3、7,5±
4、10或4或-4或-10
5、-1
【课后作业】
1、D
2、9
3、0或2
4、最大值-8
5、7
6、当a-b >0时,即a >b ,|a-b|=a-b ; 当a-b=0时,即a=b ,|a-b|=0; 当a-b <0时,即a <b ,|a-b|=b-a 。
7、b 8、ab-2a。