《信号与系统》综合复习资料
- 格式:doc
- 大小:1.43 MB
- 文档页数:24
信号与系统知识点总结复试一、信号的基本特性1. 信号的定义与分类信号是指随时间、空间或者其他独立变量的变化而变化的物理量,它可以是连续的也可以是离散的,可以是周期的也可以是非周期的。
按照不同的分类标准,信号可以被分为不同的类型,例如按照时间变量的类型可以分为时域信号和频域信号;按照取值的类型可以分为模拟信号和数字信号。
2. 基本信号及其性质常见的基本信号包括冲激信号、阶跃信号、正弦信号、复指数信号等,它们都有各自的特点和性质。
比如冲激信号的面积为1,幅度无限大,持续时间无限短,具有单位冲激响应的性质;阶跃信号在零点之前取值为0,在零点之后取值为1,具有单位阶跃响应的性质;正弦信号具有周期性、频率和幅度可调的性质。
3. 信号的运算信号的运算包括加法、乘法、延迟、抽取等操作,这些操作可以用来构建复杂的信号或者进行信号处理。
比如信号的加法是指将两个信号的对应点相加,乘法是指将两个信号的对应点相乘,延迟是指将信号沿时间轴平移。
4. 信号的变换信号的变换包括时域变换和频域变换两种,时域变换可以将信号从时域空间转换到频域空间,频域变换可以将信号从频域空间转换到时域空间。
常见的时域变换包括傅里叶变换、拉普拉斯变换,频域变换包括逆傅里叶变换、逆拉普拉斯变换等。
二、系统的基本特性1. 系统的定义与分类系统是指对一个或多个输入信号作用下,产生一个或多个输出信号的过程,它可以是线性的也可以是非线性的,可以是时不变的也可以是时变的。
按照不同的分类标准,系统可以被分为不同的类型,例如按照输入变量的类型可以分为时不变系统和时变系统;按照输出变量的类型可以分为线性系统和非线性系统。
2. 系统的性质线性系统具有叠加性和齐次性的性质,即若输入信号为x1(t)、x2(t),对应输出信号为y1(t)、y2(t),则对于任意常数a和b,有ax1(t)+bx2(t)对应于ay1(t)+by2(t);齐次性是指若输入信号为ax(t),对应输出信号为ay(t),则输入信号的缩放等于输出信号的缩放。
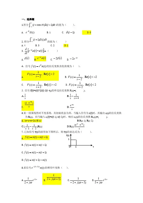
一、选择题 1.积分(cos )(1)d t t t t t t π∞∞-∞-∞+δ-=0δ-=⎰⎰的值为( )。
A. )(3t etδ-B.1C.)1(-t δD.02.积分⎰∞∞-+dtt t )()1(δ的值为( )A.4B.3C.2D.1 3.()()[]=*-t t e dtd tεε2( ) A.()t δ B.()t e tε2- C.()t δ2- D.t e 22-- 4、信号)()(2t e t f tε=的拉氏变换及收敛域为( )。
B.2]Re[,21)(-<-=s s s FC. 2]Re[,21)(->+=s s s F D.2]Re[,21)(<+=s s s F 5. 信号f(t)=ε(t)*(δ(t)-δ(t -4))的单边拉氏变换F(s)=( )。
A.1B.4s 1s 1+-D.se -4s6.某一因果线性时不变系统,其初始状态为零,当输入信号为ε(t)时,其输出r(t)的拉氏变换为R(s),问当输入r 1(t)=ε(t -1)-ε(t -2)时,响应r 1(t)的拉氏变换R 1(s)=( )。
A.(e-s-e-2s)R(s) B.R(s-1)-R(s-2) C.(2-s 11-s 1-)R(s) D.R(s)s )e -(e -2s -s 7.已知信号f(t)的波形如下图所示,则f(t)的表达式为( )。
A.)1()()(--=t u t u t fB.)1()()(-+=t u t u t fC.)1()()(+-=t u t u t fD.)()1()(t u t u t f -+= 8.求信号)()52(t u etj +-的傅里叶变换( )。
A.ωω521j e j + C.)5(21-+-ωj D.ωω251j e j+ t9.)2)(1()2(2)(-++=s s s s s H ,属于其极点的是( )。
A.1B.2C.0D.-210.已知信号f (t )的频带宽度为Δω,则f (3t -2)的频带宽度为( )。
信号与系统综合复习资料一、简答题: 1.dtt df t f x e t y t )()()0()(+=-其中x(0)是初始状态, 为全响应,为激励,)()(t y t f 试回答该系统是否是线性的?[答案:非线性]2.)()(sin )('t f t ty t y =+试判断该微分方程表示的系统是线性的还是非线性的,是时变的还是非时变的?[答案:线性时变的]3.已知有限频带信号)(t f 的最高频率为100Hz ,若对)3(*)2(t f t f 进行时域取样,求最小取样频率s f =?[答案:400s f Hz =]4.简述无失真传输的理想条件。
[答案:系统的幅频特性为一常数,而相频特性为通过原点的直线]5.求[]⎰∞∞--+dt t t e t )()('2δδ的值。
[答案:3]6.已知)()(ωj F t f ↔,求信号)52(-t f 的傅立叶变换。
[答案:521(25)()22j f t e F j ωω--↔]7.已知)(t f 的波形图如图所示,画出)2()2(t t f --ε的波形。
[答案:]8.已知线性时不变系统,当输入)()()(3t e e t x t t ε--+=时,其零状态响应为)()22()(4t e e t y t t ε--+=,求系统的频率响应。
[答案:())4)(2(52)3(++++ωωωωj j j j ]9.求象函数2)1(32)(++=s s s F ,的初值)0(+f 和终值)(∞f 。
[答案:)0(+f =2,0)(=∞f ]10.若LTI 离散系统的阶跃响应为)(k g ,求其单位序列响应。
其中:)()21()(k k g k ε=。
[答案:1111()()(1)()()()(1)()()(1)222k k k h k g k g k k k k k εεδε-=--=--=--]11.已知()1 1 , 0,1,20 , k f k else ==⎧⎨⎩ ,()2 1 , 0,1,2,30 , k k f k else-==⎧⎨⎩设()()()12f k f k f k =*,求()3?f =。
信号与系统复习书中最重要的三大变换几乎都有。
第一章信号与系统1、信号的分类①连续信号和离散信号②周期信号和非周期信号连续周期信号f(t)满足f(t) = f(t + mT),离散周期信号f(k)满足f(k) = f(k + mN),m = 0,±1,±2,…两个周期信号x(t),y(t)的周期分别为T1和T2,若其周期之比T1/T2为有理数,则其和信号x(t)+y(t)仍然是周期信号,其周期为T1和T2的最小公倍数。
③能量信号和功率信号④因果信号和反因果信号2、信号的基本运算(+ - ×÷)2.1信号的(+ - ×÷)2.2信号的时间变换运算(反转、平移和尺度变换)3、奇异信号3.1 单位冲激函数的性质f(t) δ(t) = f(0) δ(t) , f(t) δ(t –a) = f(a) δ(t –a)例:3.2序列δ(k)和ε(k)f(k)δ(k) = f(0)δ(k) f(k)δ(k –k0) = f(k0)δ(k –k0) 4、系统的分类与性质4.1连续系统和离散系统4.2 动态系统与即时系统 4.3 线性系统与非线性系统 ①线性性质T [af (·)] = a T [ f (·)](齐次性)T [ f 1(·)+ f 2(·)] = T[ f 1(·)]+T[ f 2(·)] (可加性) ②当动态系统满足下列三个条件时该系统为线性系统:y (·) = y f (·) + y x (·) = T[{ f (·) }, {0}]+ T[ {0},{x(0)}] (可分解性) T[{a f (·) }, {0}] = a T[{ f (·) }, {0}]T[{f 1(t) + f 2(t) }, {0}] = T[{ f 1 (·) }, {0}] + T[{ f 2 (·) }, {0}](零状态线性))0(d )()(f t t t f =⎰∞∞-δ)(d )()(a f t a t t f =-⎰∞∞-δ?d )()4sin(91=-⎰-t t t δπ)0('d )()('f t t f t -=⎰∞∞-δ)0()1(d )()()()(n n n ft t f t -=⎰∞∞-δ4)2(2])2[(d dd )(')2(0022=--=--=-==∞∞-⎰t t t t tt t t δ)(1||1)()()(t aa at n n n δδ⋅=)(||1)(t a at δδ=)(||1)(00at t a t at -=-δδ)0()()(f k k f k =∑∞-∞=δT[{0},{ax 1(0) +bx 2(0)} ]= aT[{0},{x 1(0)}] +bT[{0},{x 2(0)}](零输入线性) 4.4时不变系统与时变系统T[{0},f(t - t d )] = y f (t - t d )(时不变性质) 直观判断方法:若f (·)前出现变系数,或有反转、展缩变换,则系统为时变系统。
《信号与系统》复习提纲第一章 绪论一、根本容〔1〕信号与波形;〔2〕冲激信号的定义与性质;〔3〕信号的运算与响应波形变换:平移、反褶、尺度变换、相乘、相加、微积分等; 〔4〕信号的分解:奇、偶分量,交、直流分量的求法。
; 〔5〕功率信号、能量信号的定义与其确定方法; 〔6〕函数正交性:最小均方误差;〔7〕线性时不变系统特性:线性、时不变性、因果、稳定判别方法。
二、根本公式〔一〕冲激信号的性质 〔1〕()()(0)f t t dt f δ∞-∞=⎰;00()()()f t t t dt f t δ∞-∞-=⎰;00()()()f t t t dt f t δ∞-∞'-=-'⎰〔2〕()()t t δδ-=;1()()at t aδδ=〔3〕000()()()()f t t t f t t t δδ-=-〔4〕()()du t t dtδ=;()()t d u t δττ-∞=⎰〔5〕()()()f t t f t δ*=〔6〕1212()()()t t t t t t t δδδ-*-=-- 〔二〕线性时不变因果稳定系统特性 假设激励为()e t ,响应()r t 〔1〕线性:叠加性+齐次性 11221122()()()()c e t c e t c r t c r t +→+ 〔2〕时不变性:00()()e t t r t t -→-〔3〕微分特性:()()d de t r t dt dt →〔4〕积分特性:0()()tte d r d ττττ→⎰⎰〔5〕因果性:假设0t t <时,()0e t =,那么0t t <时,()0r t =〔6〕稳定性:()()e t M r t N ≤<∞→≤<∞第二章 连续时间系统的时域分析一、根本容〔1〕微分方程建立与求解:齐次解与特征根关系,特解与特征根关系;〔2〕零输入与零状态响应:二者待定系数确实定条件,与自由响应和强迫响应的关系; 〔3〕起始状态与线性时不变性的关系; 〔4〕冲激响应和阶跃响应; 〔5〕求卷积的方法;〔6〕利用卷积求零状态响应。
信 号 与 系 统 复 习 资 料一 填空1.如果一线性时不变系统的单位冲激响应为h(t),则该系统的阶跃响应g(t)为_________。
2.如果一线性时不变系统的输入为f(t),零状态响应为)(2)(0t t f t y f -=,则该系统的单位冲激响应h(t)为_________________。
3.如果一线性时不变系统的单位冲激响应)()(t t h ε=,则当该系统的输入信号)()(t t t f ε=时,其零状态响应为_________________。
4.傅里叶变换的时移性质是:当f(t)↔F(j ω),则f(t ±t 0)↔____________。
5.=--)]([)1(2t e dtd t tδ___________ 6.根据线性时不变系统的微分特性,若:)()(t y t f f −−→−系统则有:f ′(t)−−→−系统______。
7.卷积(1-2t)ε(t)*ε(t)等于________________。
8.信号f(n)=δ(n)+(21)nε(n)的Z 变换等于____________。
9.单位序列响应 h(n) 是指离散系统的激励为δ (n) 时,系统的 ____________。
10.线性性质包含两个内容:________,__________ 。
11.余弦信号)cos(0t ω的傅里叶变换为___________。
12.若)()()(21t f t f t f *=,则=)()1(t f________)(2t f *。
13.已知)()]([ωj F t f F =,则=-)52(t f ________。
14.已知15.011)(--=z Z F ,则=)(k f __________。
15.=⋅-)()3(t t εε________________。
16.离散系统稳定的z 域充要条件是系统函数H (z )的所有极点位于z 平面的__________。
《信号与系统》几个核心问题(期末复习)第一部分:连续时间信号与系统一、连续时间信号分析1、给定周期信号70),求其傅里叶级数。
2、给定非周期信号/(f),求其傅里叶变换尸(。
).3、给定信号/(/),求其拉氏变换尸(5)。
4、给定某因果信号/⑺的拉氏变换尸(三),求信号/«)(用部分分式分解法求逆拉氏变换)。
5、给定二信号e(r)和g),求e(f)*%α)0二、1.Tl系统分析1、给定1.Tl系统的微分方程(2阶)和0_状态,用时域经典法求系统全响应。
2、给定1.Tl系统的微分方程(2阶)和0_状态,求系统的零输入响应和零状态响应。
3、给定1.Tl系统的微分方程(2阶),求系统的冲激响应力⑺。
4、给定系统电路图,求系统函数。
5、给定系统微分方程(2阶),求系统函数H6、给定激励e(f)及系统的零状态响应"f),求系统函数”(三)。
7、给定1.Tl系统的系统函数H(三),求冲激响应8、给定1.TI系统的系统函数H(三),画系统函数的零、极点分布图并判断系统的稳定性。
9、给定因果、稳定1.Tl系统的系统函数”(三),画出系统频率响应特性的大致曲线(s平面几何分析法)第二部分:离散时间信号与系统1、给定序列M〃),求其Z变换X(Z)。
2、给定某因果序列x(〃)的Z变换X(z),求X5)(用部分分式分解法求逆Z变换)。
3、给定序列x(〃),求其离散傅里叶变换X(∕°).4、给定二系列x(ti)和h(n),求x(ri)*Λ(n),>二、1.TI系统分析1、给定DTEn系统的差分方程(2阶)和边界条件,用时域经典法求系统全响应。
2、给定DTEn系统的差分方程(2阶)和边界条件,求系统的零输入响应和零状态响应。
3、给定DTEn系统的差分方程(2阶),求系统的单位样值响应力(〃)。
4、给定算法结构框图,写出系统的差分方程。
5、给定系统差分方程(2阶),求系统函数”(Z)。
6、给定激励X。
信号与系统复习资料一、信号与系统的基本概念信号在工程和科学领域中起着重要的作用,它们传输着信息和能量。
信号可以是连续的或离散的,并且可以是模拟的或数字的。
系统是用来处理信号的工具,它们可以是线性的或非线性的,并且可以是时不变的或时变的。
在信号与系统的学习中,我们需要了解信号的性质、系统的特性以及它们之间的相互关系。
二、连续时间信号与离散时间信号连续时间信号是在连续时间域上表示的信号,它们在每个时间点都有定义。
离散时间信号是在离散时间点上采样的信号,它们只在有限的时间点上有定义。
连续时间信号和离散时间信号可以通过采样和保持操作相互转换。
三、信号的分类根据信号的性质,信号可以被分类为周期信号和非周期信号。
周期信号具有重复的模式,并且在无穷远处也保持有界。
非周期信号则没有重复的模式,并且在无穷远处不保持有界。
另外,信号还可以是基带信号或带通信号,基带信号是直接由信息源产生的信号,而带通信号是通过调制技术从基带信号中得到的。
四、连续时间系统与离散时间系统连续时间系统是用连续时间输入信号产生连续时间输出信号的系统,离散时间系统是用离散时间输入信号产生离散时间输出信号的系统。
系统可以是线性的或非线性的。
线性系统遵循叠加原则,输出信号是输入信号的线性组合。
非线性系统则不遵循叠加原则。
五、信号的时域分析时域分析是通过观察信号在时间上的变化来研究信号的性质。
常用的时域分析技术包括时域图、自相关函数、互相关函数等。
时域图是信号在时间轴上的表示,可以直观地观察信号的振幅、频率和相位等特性。
自相关函数衡量信号与自身在不同时间点之间的相似度,互相关函数衡量两个信号之间的相似度。
六、信号的频域分析频域分析是通过观察信号在频率上的变化来分析信号的性质。
傅里叶变换是常用的频域分析工具,它将信号从时域转换到频域。
傅里叶变换可以将信号表示为一系列复指数函数的线性组合,其中每个复指数函数对应一个频率。
功率谱密度函数是衡量信号在不同频率上的能量分布情况和频率成分的重要工具。
信号与系统复习资料及答案2.设系统零状态响应与激励的关系是:"s (r )=∣∕α)∣,则以下表述不对的是(.A )。
B.系统是时不变的C.系统是因果的D.系统是稳定的4 .设一个矩形脉冲的面积为S,则矩形脉冲的FT (傅氏变换)在原点处的函数值等)o5 .信号(£(t )-£(t-2))的拉氏变换的收敛域为(C )。
6 .已知连续系统二阶微分方程的零输入响应κ,⑺的形式为A/+8",则其2个7 .函数£⑺是(8 .周期矩形脉冲序列的频谱的谱线包络线为()09 .能量信号其(B )010 .在工程上,从抽样信号恢复原始信号时需要通过的滤波器是(B )0A.高通滤波器C.带通滤波器D.带阻滤波器 二、填空题L 系统的激励是e(“,响应为若满足也乜,则该系统为线性、时不dt 变、因果。
一、选择题L 线性系统具有 D)o A.分解特性 B.零状态线性C.零输入线性D.ABC A.系统是线性的 3.零输入响应是( )0A.全部自由响应B.部分自由响应C.部分零状态响应D.全响应与强迫响应之差A.S/2B.S/3C.S/4D.SA.Re[s]>OB.Re[s]>2C.全S 平面D.不存在特征根为(AA. -1,-2)o B. -1,2 C. 1,-2 D. 1,2 A.奇函数B.偶函数C.非奇非偶函数D.奇谐函数 A. δ函数B. Sa 函数C. £函数D.无法给出 A.能量E=OB.功率P=OC.能量E=8D.功率P=OOB.低通滤波器2.求积分Jjr2+∖)δ(t-2)dt的值为o3.当信号是脉冲信号/⑺时,其低频分量主要影响脉冲的顶部,其高频分量主要影响脉冲的跳变沿。
4.若信号/⑺的最高频率是2kHz,则"2。
的乃奎斯特抽样频率为8kHz。
5.信号在通过线性系统不产生失真,必须在信号的全部频带内,要求系统幅频特性为相频特性为o6.系统阶跃响应的上升时间和系统的截止频率成反比。
信号与系统知识点综合CT:连续信号DT:离散信号第一章信号与系统1、功率信号与能量信号性质:(1)能量有限信号(de)平均功率必为0;(2)非0功率信号(de)能量无限;(3)存在信号既不是能量信号也不是功率信号.2、自变量变换(1)时移变换x(t)→x(t-t0),x[n]→x[n-n0](2)时间反转变换x(t)→x(-t),x[n]→x[-n](3)尺度变换x(t)→x(kt)3、CT、DT复指数信号周期频率CT 所有(de)w对应唯一TDT 为有理数4、单位脉冲、单位冲激、单位阶跃(1)DT信号关系(2)CT信号t=0时无定义关系(3)筛选性质(a)CT信号(b)DT信号5、系统性质(1)记忆系统y[n]=y[n-1]+x[n]无记忆系统y(t)=2x(t)(2)可逆系统y(t)=2x(t)不可逆系统y(t)=x2(t)(3)因果系统y(t)=2x(t)非因果系统y(t)=x(-t)(4)稳定系统y[n]=x[n]+x[n-1]不稳定系统(5)线性系统(零输入必定零输出)齐次性ax(t)→ay(t)可加性x1(t)+x2(t)→y1(t)+y2(t)(6)时不变系统x(t-t o)→y(t-t0)第二章1、DT卷积和,CT卷积积分2、图解法(1)换元;(2)反转平移;(3)相乘;(4)求和第三章CFS DFSCFS收敛条件:x(t)平方可积;Dirichlet条件.存在“吉伯斯现象”.DFS无收敛条件无吉伯斯现象1、三角函数表示第四、五章CTFT DTFT1、(1)CTFT(a)非周期收敛条件(充分非必要条件):x(t)平方可积;Dirichlet条件. 存在“吉伯斯现象”.(b)周期(2)DTFT(a)非周期存在收敛条件不存在吉伯斯现象(b)周期2、对偶(1)CTFT、DFS 自身对偶CTFT(de)对偶性DFS(de)对偶性(2)DTFT与CFS 对偶3、时域、频域特性4、性质(1)时移与频移(a)CT信号(b)DT信号(2)时域微分(差分)和频域微分(求和)(a)CT信号(b)DT信号(3)时域扩展(内插)(a)CT信号(b)DT信号(4)共轭性质(a)CT信号(b)DT信号5、系统稳定系统才存在H(jw)y(t)=x(t)h(t)Y(jw)=X(jw)H(jw)第六章时频特性1、模、相位2、无失真条件3、理想滤波器非因果,是物理不可能实现(de).4、非理想滤波器第七章采样1、理想采样2、Nyquist采样定理(1)x(t)带限于w m(Nyquist频率);(2)w s>2w m(Nyquist率).3、欠采样(w s<=w m)(1)高频→低频;(2)相位倒置.应用:(1)取样示波器;(2)频闪测速.4、CT信号用DT系统处理。
《信号与系统》综合复习资料《信号与系统》综合复习资料一、简答题1、dtt df t f t f x e t y t )()()()0()(+⋅=-其中x(0)是初始状态,为全响应,为激励,)()(t y t f 试回答该系统是否是线性的?2、已知描述LTI 连续系统的框图如图所示,请写出描述系统的微分方程。
∑∑∫∫---+)(t f )(t y 1223+3、若信号)(t f 的最高频率为20KHz ,则信号)3()2()(2t f t f t f+=的最高频率为___________KHz ;若对信号)(2t f 进行抽样,则奈奎斯特频率sf 为 ____________KHz 。
4、设系统的激励为()f t ,系统的零状态响应)(t yzs与激励之间的关系为:)()(t f t y zs-=,判断该系统是否是时不变的,并说明理由。
5、已知信号()⎪⎭⎫⎝⎛+⎪⎭⎫ ⎝⎛=8sin 4cos 2ππk k k f ,判断该信号是否为周期信号,如果是,请求其周期,并说明理由。
6、已知()1k+1 , 0,1,20 , k f k else ==⎧⎨⎩,()21 , 0,1,2,30 , k f k else==⎧⎨⎩设()()()12f k f k fk =*,求()f k 。
7、设系统的激励为()f t ,系统的零状态响应)(t yzs与激励之间的关系为:)1(*)()(-=k f k f k y zs,判断该系统是否是线性的,并说明理由。
8、已知描述LTI 离散系统的框图如图所示,请写出描述系统的差分方程。
∑∑DD---+)(k f )(k y 1223+9、已知()f t 的频谱函数1,2/()0,2/rad sF j rad sωωω⎧≤⎪=⎨>⎪⎩,对(2)f t 进行均匀抽样的奈奎斯特抽样间隔NT 为:_______________s 。
10、若信号()f t 的最高频率为20KHz ,则信号(2)f t 的最高频率为___________KHz ;若对信号(2)f t 进行抽样,则奈奎斯特频率sf 为 ____________KHz 。
11、已知描述系统的微分方程为'()sin ()()y t ty t f t +=其中()()f t y t 为激励,为响应,试判断此系统是否为线性的?12、已知信号3()sin cos 62f k k k ππ=+,判断该信号是否为周期信号;若是则求该信号的周期,并说明理由。
二、作图题1、已知)(1k f 和)(2k f的波形如图所示,求)(*)(21k fk f .2、已知()()12f t ft 、的波形如下图,求()()()12f t f t f t =*(可直接画出图形)3、已知信号()f k 的波形如图所示,画出信号(2)(2)f k k ε+⋅--的波形。
4、已知函数)(1t f 和)(2t f波形如图所示,画出)(*)(21t ft f 波形)(1k f--0 1 2 k1 -0 1 2k2 3)(2k fk 2f (13 0 -2()211()1210图。
三、综合题1、 某线性时不变系统在下述12(),()f t f t 两种输入情况下,初始状态都相同,已知当激励1()()f t t δ=时,系统的全响应()()213t y t e t ε-=;当激励()()2ft t ε=时,系统的全响应()()22t y t e t ε-=;试求该系统的单位冲激响应()h t ,写出描述该系统的微分方程。
2、 已知某线性时不变连续系统的阶跃响应为3()(1.50.5)()t t g t e e t ε--=-;当系统的激励为()(2)()f t t t ε=+,系统的初始值为(0)3,(0)9,y y ++'==-求系统的完全响应。
3、 某LTI 连续系统,已知当激励为)()(t t f ε=时,其零状态响应)()(2t e t yt zsε-=。
求:(1)当输入为冲激函数)(t δ时的零状态响应; (2)当输入为斜升函数)(t t ε时的零状态响应。
4、 描述某LTI 连续系统的微分方程为()()()()()''''3226y t y t y t f t f t ++=+已知输入()(), f t t ε=初始状态 ()()'02, 01y y --==;求系统的零输入响应()ziyt 、零状态响应()zsyt 和全响应()y t 。
f22-22-01()t f 15、 某一LTI 连续系统,已知:当起始状态 ,输入 时,其全响应为 ;当起始状态 ,输入 时,其全响应为 ,求该系统的冲激响应。
6、 已知某LTI 连续系统的系统函数()23122++++=s s s s s H ,求:(1)系统的冲激响应()t h ;(2)当激励)()(t t f ε=,初始状态()'(0) 1 , 01y y --==时系统的零输入响应() ziy t 和零状态响应()zsy t 。
7、某LTI 系统在下述12(),()f t f t 两种输入情况下,初始状态都相同,已知当激励1()()f t t δ= 时,系统的全响应)()()(1t e t t y t εδ-+=;当激励()()2ft t ε=时,系统的全响应)(3)(2t e t y t ε-=; 求:当激励为)()(23t et f tε-=时系统的全响应。
8、 已知某LTI 系统的冲激响应2()()(3)()tt h t t ee t δε--=+-,求(1)系统的系统函数)(s H ;(2)求当激励()()()3'(0) 1 01tf t e t y y ε---===时系统的零输入响应() ziy t 和零状态响应()zsy t 。
()10=-x ()()t t f ε21=()()t t y ε=1()20=-x ()()t t f δ=2()()t e t y t ε223-=参考答案一、简答题1、dtt df t f t f x et y t)()()()0()(+⋅=-其中x(0)是初始状态,为激励)(t f 为全响应,,)(t y 试回答该系统是否是线性的?解:由于无法区分零输入响应和零状态响应,因而系统为非线性的。
2、已知描述LTI 连续系统的框图如图所示,请写出描述系统的微分方程。
∑∑∫∫---+)(t f )(t y 1223+解:由于输入输入之间无直接联系,设中间变量)(t x 如图所示,则各积分器的的输入信号分别如图所示。
由加法器的输入输出列些方程:左边加法器:)(3)(2)()(t x t x t f t x '--='' (1) 右边加法器:)(2)()(t x t x t y '-''= (2) 由(1)式整理得到:)()(2)(3)(t f t x t x t x =+'+'' (3) 消去中间变量)(t x : )](2)([2)(2t x t x t y '-''= (4))]'(2)([3)(3t x t x t y '-''=' (5)])(2)([)('''-''=''t x t x t y (6)将(4)(5)(6)左右两边同时相加可得:)](2)([2])(2)([3])('2)([)(2)(3)(t x t x t x t x t x t x t y t y t y '-''+''-''+''-''=+'+''整理可得到:)(2)()(2)(3)(t f t f t y t y t y '-''=+'+''3、 若信号)(t f 的最高频率为20KHz ,则信号)3()2()(2t f t f t f +=的最高频率为___________KHz ;若对信号)(2t f 进行抽样,则奈奎斯特频率sf 为 ____________KHz 。
解:本题目主要考查的是取样定理的条件:)2(21)2(ωj F t f ↔ )3(31)3(ωj F t f ↔ 因而:)2(t f 的最高频率为40KHz ,)3(t f 的最高频率为60KHz)3()2()(2t f t f t f +=的最高频率为两个分信号最高频率,为60KHz ,若对信号)(2t f 进行抽样,奈奎斯特频率12022=≥m sf fKHz4、 设系统的激励为()f t ,系统的零状态响应)(t yzs与激励之间的关系为:)()(t f t y zs-=,判断该系统是否是时不变的,并说明理由。
解:设)()(01t t f t f -=,若系统为时不变的,则必有结论)(01t t y yzs zs -=。
根据题意,由)(1t f 作用于系统的零状态响应为:)()(011t t f t yzs -=,根据信号的基本运算,)()()(0011t t f t t f t y zs +-=-=,很明显,)(01t t y yzs zs -≠,因而系统为时变的。
5、 已知信号()⎪⎭⎫⎝⎛+⎪⎭⎫ ⎝⎛=8sin 4cos 2ππk k k f ,判断该信号是否为周期信号,如果是,请求其周期,并说明理由。
解:设)4cos(2)(1πk k f =,则其周期81=T;设)8sin()(2πk k f=,则其周期162=T;1T 和2T 的最小公倍数为16,因而)(k f 为周期信号,其周期为16.6、 已知()1k+1 , 0,1,20 , k f k else ==⎧⎨⎩,()21 , 0,1,2,30 , k f k else==⎧⎨⎩设()()()12f k f k fk =*,求()f k 。
解:根据列表法,⎪⎪⎪⎪⎩⎪⎪⎪⎪⎨⎧======elsek k k k k k f ,05,34,53,2,61,30,1)(7、 设系统的激励为()f t ,系统的零状态响应)(t y zs与激励之间的关系为:)1(*)()(-=k f k f k y zs,判断该系统是否是线性的,并说明理由。
解:系统为非线性的。
因为表达式中出现了)(k f 的二次方。
8、 已知描述LTI 离散系统的框图如图所示,请写出描述系统的差分方程。
∑∑DD---+)(k f )(k y 1223+解:该系统是一个二阶离散系统。
由于有两个加法器,因而输入与输出之间的联系被割断,必须设定中间变量,)(k x ,位置如图所示,各个延迟单元的输入如图所示,根据加法器列写方程:左边加法器:)()1(3)2-(2)(k x k x k x k f =---整理可得:)()2-(2)1(3)(k f k x k x k x =+-+ (1) 右边加法器:)1(2)()(--=k x k x k y (2) 由(1)(2)两式,消去中间变量可得:)1(2)()2-(2)1(3)(--=+-+k f k f k y k y k y 9、已知()f t 的频谱函数1,2/()0,2/rad sF j rad sωωω⎧≤⎪=⎨>⎪⎩,对(2)f t 进行均匀抽样的奈奎斯特抽样间隔NT 为:_______________s 。