24时计时法
- 格式:docx
- 大小:28.14 KB
- 文档页数:10
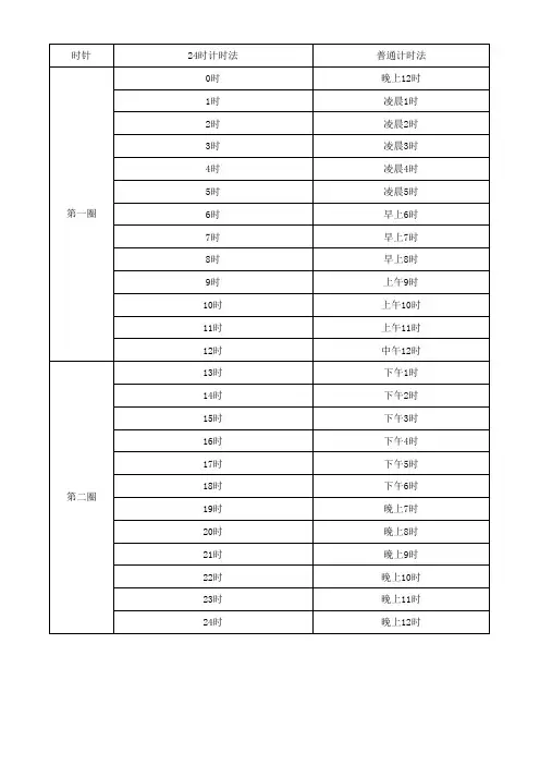
1.24时计时法:在一日(天)里,钟表上时针正好走两圈,共24小时,采用从0时到24时的计时法,叫24时计时法。
1日=24时
2.从凌晨0时到中午12时,24时计时法与普通计时法相同;中午12时以后,普通计时法与24时计时法的整点时刻相差12小时,普通计时法的时刻加12就是24时计时法,24时计时法的时刻减12就是普通计时法。
例如上午9时用9时表示,晚上9时用21时表示。
下午5时表示成17时,5+12=17,下午5时就是17时。
普通计时法24时计时法普通计时法24时计时法
凌晨1时1:00 下午1时13:00
凌晨2时2:00 下午2时14:00
凌晨3时3:00 下午3时15:00
凌晨4时4:00 下午4时16:00
凌晨5时5:00 下午5时17:00
早上6时6:00 傍晚6时18:00
早上7时7:00 晚上7时19:00
上午8时8:00 晚上8时20:00
上午9时9:00 晚上9时21:00
上午10时10:00 晚上10时22:00
上午11时11:00 晚上11时23:00
中午12时12:00 晚上12时24:00或0:00 4.时刻:是表示一天内某一特定的时候。
钟面上时针和分针所指的每一个位置表示的都是时刻。
5.时间:是指从某一个时刻(或日期)到另一个时刻(或日期)的间隔,也就是计算经过的时间。
24时计时法记忆顺口溜
1. 零点开始新一天,例子:哎呀,这不就像我们每天早上睁开眼,全新的开始嘛!
2. 一点两点慢慢数,例子:就像我们一步一步往前走一样呀。
3. 三点四点别迷糊,例子:可别像我有时候迷迷糊糊的哟。
4. 五点六点天渐亮,例子:嘿,这时候是不是感觉有点希望啦?
5. 七点八点上学啦,例子:哎呀,就像我们每天背着书包去上学一样。
6. 九点十点认真学,例子:你看,就该像这样专心致志呀。
7. 十一点十二点肚子叫,例子:哈哈,是不是像你的肚子咕咕叫啦?
8. 十三点十四点接着干,例子:就像我们做事不能半途而废呀。
9. 十五点十六点过半天,例子:哇,这都过去半天啦,时间过得好快呀!
10. 十七点十八点要回家,例子:就像我们放学后急着回家一样呀。
我的观点结论:这24 时计时法记忆顺口溜是不是很有趣呀,能让大家轻松记住每个时刻呢!。
在三年级的数学课程中,学生开始接触一些较为基础的计算方法,如加减乘除等。
而今天我将为大家介绍一种特殊的计算方法——24时计时法。
24时计时法,简单来说,就是把一天的时间按照24小时制来计算。
在这种计时方法中,一天被分成了24个时辰,每个时辰等于一小时,即60分钟。
这是我们日常生活中比较常见的一种计时方法,也是一种十分重要的计算方法。
在应用中,如果要计算时间的长短,我们常常采用24时计时法来进行计算,好处在于精度高、易于计算。
具体来说,一天被分成了24个小时,每小时被分成了60分钟,每分钟被分成了60秒,这样的刻度能够帮助我们更准确地计算时间的长短。
这种计算方法对于日常生活中的时间安排以及学习数学都很有用处。
例如,我们可以通过该方法计算早上7点到下午3点的时间长短,具体计算方法是:3-7=4,即早上7点到下午3点一共过去了4个小时。
又如,我们在计算机考试中可以使用该计算方法来轻松计算考试时间的长短,比如,考试时间是上午8点至下午4点,即一共需要考试8小时,这样我们就能更好地安排我们的考试时间,并在考试中有着更加清晰精准的意识。
24时计时法是一种重要的计算方法,不仅可以帮助我们更好地安排时间,还能帮助我们更好地学习数学。
在日常生活和学习中,运用
这种计算方法可以帮助我们更好地掌握时间,提高效率,是一种十分实用的技巧。
24小时计时法的说课稿9篇24小时计时法的说课稿9篇说课稿包括教学设计、教学目标、教学步骤、教学方法、教学资源、评价方式等内容。
它旨在通过文字材料的形式对教学进行系统的分析和解释,展示教师的教学思路和专业能力。
现在随着小编一起往下看看24小时计时法的说课稿,希望你喜欢。
24小时计时法的说课稿精选篇1小学数学三年级上册《24时计时法》教案教学目标:1.让学生在具体的生活情景中,了解24时计时法的特征,会用24时计时法正确表示一天中的某一时刻,并能正确进行两种计时法的互换。
2.经历认识、收集、应用24时计时法的过程,体会24时计时法在生活中的应用,建立时间观念。
3.在探索24时计时法与普通计时法的互换中,促进思维发展。
教学重点:能正确地把用24时记时法表示的时间,与用普通记时法表示的时间进行互换。
教学难点:理解和发现普通记时法与24时记时法之间的联系与区别。
教学过程:一、导入新课。
出示钟面(上面是7时)1.同学们,在前边我们已经认识时钟,看看现在是几时?(7时)你们昨天7时在干什么?(看电视、吃早餐、睡觉)为什么会这样呢?2.揭示课题:24时计时法【从学生熟悉的情境引入数学学习,唤醒了学生已有知识经验。
新课伊始,设疑激趣,一方面引起学生强烈的好奇心,另一方面也为学生主动参与学习活动明确了方向。
】二、围绕目标,合作学习。
1.关于24时计时法你有哪些了解?2、.谈话交流。
a.晚上12时谈话:春节联欢晚会新年的钟声是什么时候敲响的呢?思考:这是夜里12时,是旧的一天的结束,新的一天的开始。
我们把这一刻称为0时。
闭上眼睛想一想,时针一天正好走几圈呢?接着演示时针是怎样走的。
b.上午7时思考:现在是几时?你在做什么?c.中午12时追问:上午的学习结束,该吃午饭了。
是几时?到中午12时为止,钟表上的时针走了几圈?经过了多少小时?d.晚上7时怎样用24时计时法表示?有什么电视节目?(思想教育:关心国家大事)e.又到晚上12时思考:这一天钟表上的时针走了几圈?经过了多少小时呢?1日=时?3. 怎样用24时计时法来表示一天中不同的时刻吗?4.反馈练习a. 0时指什么时候?b.上午7时,用24时计时法怎么表示?中午12时怎么表示呢?c.下午1时用24时计时法该怎么表示呢?d.下午7时,用24时计时法该怎么表示?【利用钟面模型的课件,激发学生浓厚的学习兴趣,让学生在认真观察的基础上感知一天中不同的时间段,时针在钟面上转两圈,一昼夜共有24个小时,建立0时的概念。