综合布线工程信息点端口对应表的绘制
- 格式:doc
- 大小:21.50 KB
- 文档页数:2
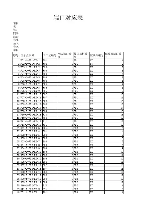
信息点端口对应表
信息点端口对应表
项目名称:网络布线工程01 建筑物编号:01
编制人签字:01 审核人签字:01 日期:2018年8月10日说明:
1、本信息点端口对应表,根据试题编制规则及建筑模型综合楼进行编制。
2、本信息点端口对应表,为建筑模型综合楼第一层信息点端口对应表。
3、建筑模型综合楼第一层楼层机柜编号均为FD1。
4、建筑模型综合楼第一层机柜内,数据信息点对应配线架编号为W1,语音信息点对应配线架编号为W2。
5、配线架端口编号按照从左至右,依次为01、02、 (12)
6、插座端口编号,按照数据信息点为D,语音信息点为Y的题目要求规则进行编号。
7、房间编号为建筑模型综合楼中已规定的编号。
8、建筑模型综合楼一层,共24个信息点,其中语音信息点12个,数据信息点12个,所有信息点端口编号均已编制完成,并核对无误。
综合布线工程信息点数量统计表编制一、制作点数统计表首先在表格第一行填写文件名称,第二行填写房间或区域编号,第三行填写数据点TO 和语音点TP。
一般数据点在左栏,语音点在右栏,其余行对应楼层,注意每个楼层按照两行,其中一行为数据点,一行为语音点,同时填写楼层号.楼层号一般按照第一行为顶层,最后一行为一层。
然后编制列,第一列为楼层编号,其余为房间编号。
二、填写数据和语音信息点数量按照西元教学模型,把每个房间的数据点和语音点数量填写到表格中。
填写时逐层逐房间进行,从楼层的第一个房间开始,逐间分析应用需求和划分工作区,确认信息点数量。
在每个工作区,首先确定数据信息点数量,然后考虑语音信息点数量,同时还要考虑其它智能化和控制设备的需要。
表格中对于不需要设置信息点的位置不能空白,而是填写0。
设计综合布线工程系统图编制信息点端口对应表综合布线工程信息点端口对应表应该在进场施工前完成,并且打印带到现场,方便现场施工编号。
端口对应表是综合布线施工必需的技术文件,主要规定房间编号,信息点编号,配线架编号,端口编号,机柜编号等,主要用于系统管理、施工方便和后续日常维护。
端口对应表编制要求如下:1.表格设计合理一般使用A4幅面竖向排版的文件,要求表格打印后,表格宽度和文字大小合理,编号清楚,特别是编号数字不能太大或者太小,一般使用小四或者五号字。
2.编号正确信息点端口编号一般由数字+字母串组成,编号中必须包含工作区位置、端口位置、配线架编号、配线架端口编号、机柜编号等信息,能够直观反映信息点与配线架端口的对应关系。
3.文件名称正确端口对应表可以按照建筑物编制,也可以按照楼层编制,或者按照FD配线机柜编制,无论采取哪种编制方法,都要在文件名称中直接体现端口的区域,能够直接反映该文件内容。
4.签字和日期正确作为工程技术文件,编写、审核、审定、批准等人员签字非常重要,如果没有签字就无法确认该文件的有效性,也没有人对文件负责,更没有人敢使用。
2018年全国职业院校技能大赛中职组“网络布线”赛项(赛项编号:ZZ2018067)赛题库(七)中职组“网络布线”赛项专家组2018年4月24日网络布线项目赛题(七)(满分1000分,时间180分钟)一、注意事项(一)全部书面作品、电子版竞赛作品、布线工程作品只能按要求填写工位号等进行识别,不得填写指定内容之外的任何识别性标记。
如果出现地区、校名、人名等其他任何与参赛队有关的识别信息,一经发现,竞赛试卷和作品作废,比赛按零分处理,并且提请大赛组委会进行处罚。
(二)竞赛赛卷、竞赛作品、竞赛工具、竞赛器材及竞赛材料等不得带出竞赛场地,一经发现,竞赛作品作废,比赛按零分处理,并且提请大赛组委会进行处罚。
(三)进入竞赛场地,禁止携带移动存储设备、计算器、通讯工具、加工/施工工具及参考资料等。
(四)进入竞赛施工现场,施工人员需佩戴安全帽(参与网络布线速度竞赛人员除外)。
(五)竞赛所用工具、器材、耗材,在竞赛开始前已全部发放到各个竞赛工位,保证充分满足竞赛需求。
竞赛开始前,请仔细核对器材明细表,并签字确认(未签字确认前禁止开始比赛)。
竞赛过程中,不再另行发放工具、器材、耗材。
(六)请仔细阅读本赛卷要求,按照赛卷规定要求/需求进行设备/器材配置、加工及调试。
(七)竞赛过程中,参赛队要做到工作井然有序、不跨区操作、不喧哗,竞赛施工材料、加工废料、施工模块等分区有序存放。
(八)竞赛时间结束后,立即停止操作,所有参赛队员离开竞赛工位,并且站立于竞赛工位之外。
竞赛赛卷放在电脑旁边,等待裁判员检查和参赛队确认,确认后参赛队必须立即离开竞赛场地。
(九)对设备上未标注端口编号的配线架,规定端口号均依次从左向右从小到大编号(左…… 1、2、3……n ……右)。
(十)本次竞赛由速度竞赛、工程项目施工和工程项目管理三部分组成,比赛时间180分钟,满分1000分。
竞赛所需的说明书等电子文档均存放在本竞赛组计算机桌面的“网络布线素材”文件夹中;网络布线速度竞赛需提交的电子作品,请保存在计算机桌面的“速度竞赛成果-n”文件夹下(n为工位号);其余需要提交的所有电子作品,均保存在“其余竞赛成果-n”文件夹下(n为工位号)。
信息点端口对应表
项目名称:网络布线工程01 建筑物编号:01
编制人签字:01 审核人签字:01 日期:2018年8月10日说明:
1、本信息点端口对应表,根据试题编制规则及建筑模型综合楼进行编制。
2、本信息点端口对应表,为建筑模型综合楼第一层信息点端口对应表。
3、建筑模型综合楼第一层楼层机柜编号均为FD1。
4、建筑模型综合楼第一层机柜内,数据信息点对应配线架编号为W1,语音信息点对应配线架编号为W2。
5、配线架端口编号按照从左至右,依次为01、02、 (12)
6、插座端口编号,按照数据信息点为D,语音信息点为Y的题目要求规则进行编号。
7、房间编号为建筑模型综合楼中已规定的编号。
8、建筑模型综合楼一层,共24个信息点,其中语音信息点12个,数据信息点12个,所有信息点端口编号均已编制完成,并核对无误。
单元一网络综合布线的读图和绘制在综合布线施工过程中,各类图纸的读取、分析、绘制是非常重要的技术。
本单元主要任务:根据用户需求绘制网络综合布线的系统图和施工图,并根据系统图确定材料预算表制作和端口编码表,学会使用各类绘图软件,如AutoCAD或Visio.等。
能力目标:1.绘制网络综合布线系统图2.制订端口编码表3.制订材料预算清单任务一绘制综合网络布线系统图任务描述某综合布线商承接了一项综合布线工程。
在进行施工前首先需要绘制综合布线系统图和施工图,现要求你完成此项任务。
首先要求你与客户进行沟通,了解用户需求,并进行分析用相关技术论证,绘制综合网络布线系统图和施工图。
任务分析在进行综合布线系统图和施工图绘制前,首先需要进行用户需求分析,了解用户的实际需求,根据大楼平面图进行技术设计,并确定综合布线的路由走线以及技术可行性论证,最终绘制综合布线系统图和施工图。
方法与步骤综合布线系统图及说明相关知识与技能建筑物类型在设计综合布线系统时,应先确定建筑物的功能类型,即智能大厦承担哪方面的功能。
由于目前建筑物的功能各异,一般可分为以下几类:⒈专用办公楼具体包括政府机关办公楼、跨国公司办公楼、金融(银行、证券、期货、保险等)办公楼和科教文卫(研究院、研究所、学校、医院等)办公楼。
⒉出租办公楼主要是由房产商投资兴建,然后出租或出售。
楼内的公用设施一次建成,出租或者出售的房间由使用者根据各自的需要进行二次装修。
⒊综合型建筑物(群)主要是指集办公、金融、商业、娱乐、生活于一体的多功能的建筑物(群)。
⒋住宅楼主要以生活起居为目的的多层、高层建筑物。
综合布线系统设计原则综合布线系统在进行设计时应遵循以下原则:1)将综合布线系统设计纳入建筑物整体规划、设计和建设中。
在进行新建筑物的设计时,应确认综合布线系统中的设备间、管理间、竖井、水平干线子系统和垂直干线子系统的管道走线路由等的位置和空间大小。
2)系统设计的兼容性和可扩展性。
1.填空题(1)综合布线系统就是用数据和通信电缆、光缆、各种软电缆及有关连接硬件构成的通用布线系统,它能支持语音、数据、影像和其他控制信息技术的标准应用系统。
(2)综合布线系统是集成网络系统的基础,它能满足数据、语音及图像的传输要求,是智能大厦的实现基础。
(3)在GB 50311—2007《综合布线系统工程设计规范》国家标准中规定,在智能建筑工程设计中宜将综合布线系统分为基本型、增强型、及综合型三种常用形式。
(4)综合布线系统包括7个子系统,分别是工作区子系统、水平子系统、管理间子系统、垂直子系统、设备间子系统和建筑群子系统,进线间子系统。
(5)在工作区子系统中,从RJ—45插座到计算机等终端设备间的跳线一般采用双绞线电缆,长度不宜超过_5_m。
(6)安装在墙上或柱上的信息插座应距离地面30 cm以上。
(7)水平子系统主要由信息插座,跳线和配线架等组成。
(8)水平子系统通常由4对非屏蔽双绞线组成,如果有磁场干扰时可用屏蔽双绞线。
(9)垂直子系统负责连接管理间子系统到设备间子系统,实现主配线架与中间配线架的连接。
(10)管理间子系统就是连接垂直子系统和水平千线子系统的设备,其配线对数由管理的信息点数来决定。
2.选择题(部分为多选题)(1)GB50311—2007《综合布线系统工程设计规范》中,将综合布线系统分为(C )子系统。
A、5 B、6 C、7 D8(2)工作区子系统又称服务区子系统,它是由跳线与信息插座所连接的设备组成。
其中信息插座包括以下哪些类型? ( ABC ) A、墙面型 B、地面型 C、桌面型 D、吸顶型(3)常用的网络终端设备包括(ABD)。
A、计算机B、电话机和传真机C、汽车D、报警探头和摄像机(4)设备间入口采用外开双扇门,门宽一般不应小于(B )°A、2m B、1. 5m C、1m D、0. 9m(5)在网络综合布线工程中,大量使用网络配线架,常用标准配线架有(BD )。
制作综合布线端口对照表
综合布线系统端口对照表是一张记录端口信息与其所在位置的对应关系的二维表。
它是网络管理人员在日常维护和检查综合布线系统端口过程中快速查找和定位端口的依据。
综合布线系统端口对照表可分为机柜配线架端口标签编号对照表和端口标签位置对照表,前者表示机柜配线架各个端口和信息点编号的对应关系,后者表示信息点编号和其物理位置的关系。
机柜配线架端口标签编号对照
端口标签位置对照表
一、制作表名
新建Excel工作簿,文本属性:字体:“宋体”;字号:“18”,字形:“加粗”,单元格设置水平对齐方式:“居中对齐”。
二、制作表头
文本属性为:字体:“宋体”;字号:“12”;字形:“加粗”。
每个数字代表配线架上一个端口的编号。
单元格格式、边框、外边框和内部具有细线条。
三、制作各配线架表格内容
文本属性为:字体:“宋体”;字号:“12”;字形:“常规”,上述各单元格对齐方式为水平对齐方式“居中对齐”,垂直对齐方式“居中对齐”。
四、为各个信息点标签编号
从第一个开始依次编号,数据和语音区分开。
五、制作制表有及其他相关信息
制表人及其相关信息填写完成后,关设置相关表格边框等属性。
最后制作效果图女如下:
Fd1端口对应表
数据配线架1
语音配线架1
在信息点平面布置图上应体现上表的内容制作综合布线标签号位置对照表。
单元3 编制端口对应表综合布线工程信息点端口对应表应该在进场施工前完成,并且打印带到现场,方便现场施工编号。
端口对应表是综合布线施工必需的技术文件,主要规定房间编号,每个信息点的编号,配线架编号,端口编号,机柜编号等,主要用于系统管理、施工方便和后续日常维护。
端口对应表编制要求如下:1)表格设计合理一般使用A4幅面竖向排版的文件,要求表格打印后,表格宽度和文字大小合理,编号清楚,特别是编号数字不能太大或者太小,一般使用小四或者五号字。
2)编号正确信息点端口编号一般由数字+字母串组成,编号中必须包含工作区位置、端口位置、配线架编号、配线架端口编号、机柜编号等信息,能够直观反映信息点与配线架端口的对应关系。
3)文件名称正确端口对应表可以按照建筑物编制,也可以按照楼层编制,或者按照FD配线机柜编制,无论采取哪种编制方法,都要在文件名称中直接体现端口的区域,能够直接反映该文件内容。
4)签字和日期正确作为工程技术文件,编写、审核、审定、批准等人员签字非常重要,如果没有签字就无法确认该文件的有效性,也没有人对文件负责,更没有人敢使用。
日期直接反映文件的有效性,因为在实际应用中,可能会经常修改技术文件,一般是最新日期的文件替代以前日期的文件。
端口对应表的编制一般使用Microsoft word软件或Microsoft Office Excel软件,下面我们以图3-13所示的综合布线教学模型为例,选择一层信息点,使用Microsoft word软件骤说明编制方法和要点。
(1)文件命名和表头设计首先打开Microsoft word软件,创建1个A4幅面的文件,同时给文件命名,例如“02-综合布线教学模型端口对应表”。
然后编写文件题目和表头信息,如表3-1所示,文件题目为“综合布线教学模型端口对应表”,项目名称为综合布线教学模型,建筑物名称为2号楼,楼层为一层FD1机柜,文件编号为XY03-2-1。
(2)设计表格设计表格前,首先分析端口对应表需要包含的主要信息,确定表格列数量,例如表3-1中为7列,第一列为“序号”,第二列为“信息点编号”,第三列为“机柜编号”,第四列为“配线架编号”,第五列为“配线架端口编号”,第六列为“房间编号”。
《物联网综合布线》课程教学标准《物联网综合布线》课程是计算机网络专业的专业技能必修课程。
课程针对网络工程技术领域的职业岗位任职要求,培养网络布线施工,布线系统测试和企事业网络维护人员。
该课程的先修课程有《计算机导论》、《电子技术》、《网络互联技术》,要求预先掌握计算机网络及通信的基础知识,理解计算机网络系统的构成,了解网络工程设计规划实施的步骤,掌握当前构建中小网络的主流技术,掌握主流交换机、路由器的安装配置技术。
3.课程目标计算机网络技术专业的教学目标是培养能够建设网络、管理网络、且具有一定网络程序开发能力的高技能人才。
本课程是是培养学生建设网络能力中的重要环节。
通过该课程的学习,学生能够达到以下能力目标:掌握知识:了解综合布线系统的概念,能够识别综合布线系统工程中各种工具和耗材,掌握综合布线系统中的电缆链路和光缆链路的基本组成。
设计能力:了解综合布线工程设计原则,掌握各子系统的设计步骤,能用相关软件进行路由走线设计,布线施工图设计,编制工程材料清单。
施工能力:掌握布线工程中的施工技术:环境、器材检验,设备安装;线管,线槽安装;线缆敷设;光、电信息插座端接等。
验收测试能力:能使用市场主流测试设备对综合布线工程进行各类测试。
实际解决问题能力:能够完成典型场所的综合布线方案设计、施工与验收,如会议室、家庭住宅、教学楼等。
通过对学生以上能力的培养,使其能成为一名具有相应职业素质,能熟练完成网络布线工程的高技能专业人才,结合计算机网络技术专业其他专业课程的学习,最终培养学生成为一名能够建设网络,管理网络,能开发一定难度网络应用程序的网络工程师。
4.课程内容4.1设计思路本课程主要按照工作任务和工程项目流程及综合布线系统项目工程经验来安排内容,突出项目设计和岗位技能训练,围绕当前网络综合布线工程中的基本概念、规范,布线工程中传输介质和器材、工具的使用,布线子系统的设计,施工工艺、施工图纸的绘制,布线系统的测试、验收等内容,培养学生职业能力和职业素质。
制作综合布线端口对照表
综合布线系统端口对照表是一张记录端口信息与其所在位置的对应关系的二维表。
它是网络管理人员在日常维护和检查综合布线系统端口过程中快速查找和定位端口的依据。
综合布线系统端口对照表可分为机柜配线架端口标签编号对照表和端口标签位置对照表,前者表示机柜配线架各个端口和信息点编号的对应关系,后者表示信息点编号和其物理位置的关系。
机柜配线架端口标签编号对照
端口标签位置对照表
一、制作表名
新建Excel工作簿,文本属性:字体:“宋体”;字号:“18”,字形:“加粗”,单元格设置水平对齐方式:“居中对齐”。
二、制作表头
文本属性为:字体:“宋体”;字号:“12”;字形:“加粗”。
每个数字代表配线架上一个端口的编号。
单元格格式、边框、外边框和内部具有细线条。
三、制作各配线架表格内容
文本属性为:字体:“宋体”;字号:“12”;字形:“常规”,上述各单元格对齐方式为水平对齐方式“居中对齐”,垂直对齐方式“居中对齐”。
四、为各个信息点标签编号
从第一个开始依次编号,数据和语音区分开。
五、制作制表有及其他相关信息
制表人及其相关信息填写完成后,关设置相关表格边框等属性。
最后制作效果图女如下:Fd1端口对应表
数据配线架1
语音配线架1
在信息点平面布置图上应体现上表的内容
制作综合布线标签号位置对照表。