中学生思维能力训练活动初二年级试题(附答案)
- 格式:doc
- 大小:410.50 KB
- 文档页数:7
思维能力测试(60分钟)请将答案写在答题卡上,不在要试题上涂画。
一.1、山羊和卷心菜请用3条直线将图中的山羊和卷心菜分开。
2、他们最少是几个人?小刘一家人在一起欢聚圣诞节。
他们是:一位祖母,一位祖父,两位母亲,两位父亲,一位岳父,一位岳母,一位儿媳,4个孩子,3个孙子,1个哥哥,2个姐姐,2个儿子,2个女儿,问他们最少是几个人?()3、往一个篮子里放鸡蛋,假定篮子里的鸡蛋数目每分钟增加一倍,一小时后,篮子里的鸡蛋满了,请问在什么时候是半篮鸡蛋?4、错变对62-63=1是一个错误的等式,能不能移动一个符号让等式成立呢?62-63=15、画下边这幅图的画家犯了一系列视觉的,概念的和逻辑的错误。
共多少处?二.下面的每道题包含两套图形。
其中一套图形包括三个图形,第二套图形包括两个图形和一个问号。
在这两套图形之下选择之下还有供选择的四个图形。
请你认真观察两套图形的相似性,然后从四个供选择的图形中选择你认为最适合取代问号的一个。
正确的答案使两套图形表现出最大程度的相似性。
6、7、9、10、11、13、14、15、三. 在下面的每道题中给出一段陈述,在这项考试中,这段陈述被假设是正确的,不容置疑的。
请你根据这段陈述从四个备选答案中选出一个能够从陈述中直接推出的结论。
16、西欧在建立文明社会时打破了原有的氏族关系,建立了以区域为中心的政治关系,中国与西欧不同,它在建立文明社会时没有打破原有的氏族关系,相反却以氏族关系为依据,以血缘关系为纽带建立起国家制度。
这样的国家是以家族的宗法关系为主干的,所以A.西欧的文明比中国的文明先进。
B.在中国文明里,国便是家,家为国的本体,国是家的放大。
C.西欧文明并不重视血缘亲情关系。
D.中国的文明比西欧的文明先进。
17、“传统与现代”并不是一个时间的概念,它们应有其价值内容。
现代法律文化以实现社会成员的性格与发展,自由、平等、尊严、幸福为追求的价值目标。
因此A.所有产生于现代的法律文化现象都具有现代的特征。
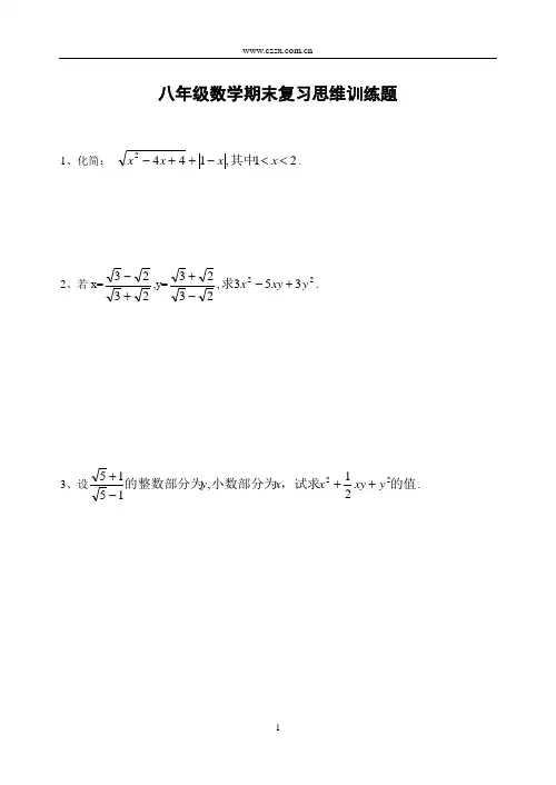
八年级数学期末复习思维训练题1、化简: 21,1442<<-++-x x x x 其中.2、若x=2323+-,y=22353,2323y xy x +--+求.3、设的值,试求小数部分为的整数部分为2221,1515y xy x x y ++-+.4、若a=a121 (212121),12++++++计算共有两百层的值。
5、计算:.__________12121751531311=++-+++++++n n6、如果y x ,满足753=+y x ,m y x =-32,求m 的最小值与最大值.7、化简二次根式22aa a +-.8、已知a a -=,化简=+-+-a a a 2)2(129、若41=+aa (0<a <1),求aa 1-的值。
10、若3x 2-x-1=0,求6x 3+7x 2-5x+2007的值.11、若一个三角形的三边长均满足方程x 2-6x+8=0,求此三角形的周长。
12、已知6x 2+xy-2y 2=0,则x y的值为________。
练一:选择题1、关于x 的方程2x 2+3ax-2a=0有一个根是x =2,则关于x 的方程y 2+a=7的解是 ( )A 、 5±B 、7±C 、 ±3D 、±92、如果a-b+c=0,则方程ax 2+bx+c=0(a ≠0)必有一根是( ) A 、 1 B 、-1 C 、±1 D 、 03、如果关于x 的二次方程2kx 2+(8k+1)x+8k=0有两个不相等的实数根,那么k 的取值范围是 ( ) A 、 k<-161 B 、 k>-161 C 、 k ≥-161 D 、 不同于上述结论 4、下列各组所述几何图形中,一定全等的是( )A 、一个角是45°的两个等腰三角形;B 、两个等边三角形;C 、腰长相等的两个等腰直角三角形;D 、各有一个角是40°,腰长都为5㎝的两个等腰三角形5、下面四个语句①内错角相等;②O C 是∠AOB 的角平分线吗? ③两条直线互相垂直,则所成的角等于直角;④π不是有理数. 其中是真命题的个数为( ) A.1个 B.2个 C.3个 D.4个6、在同一平面内,两条直线可能的位置关系是( )A 、 平行B 、相交C 、平行或相交D 、 平行、相交或垂直7、如果一个三角形的三边长分别为1,k ,3化简723k --的结果是( )A 、 -5B 、 1C 、 13D 、 19-4k8、如图,在△ABC 中,AD ⊥BC 于D ,BE ⊥AC 于E ,AD 与BE 相交于F ,若BF=AC 则∠ABC= 度。
八年级数学思维训练答案发散思维是指大脑在思维时呈现的一种扩散状态的思维模式,比较常见,它表现为思维视野广阔,思维呈现出多维发散状。
发散思维又称辐射思维、放射思维、扩散思维或求异思维。
八年级数学思维训练(一)1、有两个桶,一个三斤,一个五斤,水无限,如何得出精确的四斤水。
2、夜晚过一桥,甲过需要一分钟,乙两分钟,丙五分钟,丁十分钟。
桥一次最多只能承受两人,过桥必须使用手电筒,现在只有一只手电筒。
请问4人如何在17分钟内全部过桥。
3、小赵的店里来了一位顾客,挑了20元的货,顾客拿出50元,小赵没零钱找不开,就到隔壁小韩的店里把这50元换成零钱,回来给顾客找了30元零钱。
过一会,小韩来找小赵,说刚才的是假钱,小赵马上给小李换了张真钱。
问:在这一过程中小赵赔了多少钱4、鸡妈妈领着自己的孩子出去觅食,为了防止小鸡丢失,她总是数着,从后向前数到自己是8,从前向后数,数到她是9。
鸡妈妈最后数出来她有17个孩子,可是鸡妈妈明明知道自己没有这么多孩子。
那么这只糊涂的鸡妈妈到底有几个孩子呢鸡妈妈为什么会数错5、用水果刀平整地去切一个大西瓜,一共切10刀,最多能将西瓜切成多少块最少能切多少块6、小李有40元钱,他想用他们买饮料,老板告诉他,2元钱可以买一瓶饮料,4个饮料瓶可以换一瓶饮料。
那么,小李可以买到多少瓶饮料7、有一口深4米的井,井壁非常光滑。
井底有只青蛙总是往井外跳,但是,这只青蛙每次最多能跳3米,你觉得这只青蛙几次能跳到井外去吗为什么8、小红和小丽一块到新华书店去买书,两个人都想买《综合习题》这本书,但钱都不够,小红缺少4.9元,小丽缺少0.1元,用两个人合起来的钱买一本,但是钱仍然不够,那么,这本书的价格是多少呢9、明明牵着一只狗和两只小羊回家,路上遇到一条河,没有桥,只有一条小船,并且船很小,他每次只能带狗或一只小羊过河。
你能帮他想想办法,把狗和羊都带过河去,又不让狗咬到小羊。
10、如果有9个乒乓球,要分别装在4个袋里,保证每个袋里有乒乓球,并且每个袋里的乒乓球个数是单数,你能想出办法吗1、取五斤水,倒入三斤的桶中, H# }+把三斤桶的水倒了,然后把五斤桶中的二斤水倒入三斤桶中;再取五斤水,倒满三斤桶,则五斤桶的水即为四斤。
思维能力训练测试题(答案仅供参考)测试时间:姓名:分数:以下各题,请写出分析过程及最后答案。
第1-5题判分标准:结论错0分、结论对推理错减10分、结论对推理不完全减5分第6题判分标准:只要画出来就给满分1、谁在说谎(20分)甲、乙、丙三人都喜欢对别人说谎话,不过有时候也说真话。
这一天,甲指责乙说谎话,乙指责丙说谎话,丙说甲与乙两人都在说谎话。
其实,在他们三个人当中,至少有一人说的是真话。
请问到底是谁在说谎话呢?参考答案:至少一人说真话。
1)如果甲说真话,乙说的就是谎话,因为乙指责丙说谎,那么丙说的就成了真话,而丙说甲乙都在说谎,矛盾;2)如果乙说真话,则丙在说谎,上述1)分析知甲在说谎,成立;3)如果丙说真话,意指甲说的“乙说谎话”为假,那么乙说的就是真话了,而乙说的是真话则丙在说谎,矛盾。
2、猜头花的颜色(20分)开始盒子里有三朵红头花和两朵蓝头花。
现在三个女孩A、B、C在黑暗中分别选了一个头花戴在自己的头上。
这三个女孩走出黑暗,每个人都只能看见其他两个女孩子头上所戴的头花,但看不见自己头上的头花,并且也不知道盒子里剩余的两朵头花的颜色。
B问A:“你戴的是什么颜色的头花?”A看了一下说:“不知道。
”A问B:“你戴的是什么颜色的头花?”B想过一会之后,也说:“不知道。
”这时候C回答说:“我知道我戴的头花是什么颜色了。
”当然,C是在听了A、B的回答之后而作出推断的。
试问:C戴的是什么颜色的头花?她是怎么推断的?参考答案:A说不知道,说明她看到的另外两个人戴的至少不都是蓝色,可能是一蓝一红、或两红;B也不知道,说明B看到的也是一蓝一红、或两红,对于C有两种情况:1)如果C戴的是蓝色,从A的推断中可知,B应该能判断出自己是戴的是红色(如果B也是蓝色,A就会知道自己是红色),但B说不知道,说明C戴的是红色(因为B不能判断自己戴的是不是蓝色,两种可能都成立);2)如果C戴的红色,B也是不能判定自己是什么颜色;所以以上可知,C戴的是红色(任何两个人戴蓝色,第三人马上知道自己是红色)。
中学生思维能力训练活动初二年级试题填空题:1、计算:=___________________2、已知,则a+b-10x+5y=_________。
3、在1,2,3…,2013这2013个自然数中,最多可以取到______________个数,使得其中任意两个数之和为160的倍数。
4、已知实数a、b满足a3+b3+3ab=1,且ab≠1,则a+b=____________5、在△ABC中,AB=a,AC=b(b>a),∠ABC=3∠C,AD是∠BAC的平分线,BE⊥AD于F,则BE=____________(结果用a,b表示)=0,则x=_______________6、已知正数x满足-4x2-10x-6+2(x+1)2=0,则x=_______________7、如果一个数正写和逆写的值不变,那么我们称这样的数为回文数码比如12331或121,如果一个数不能表示为两个回文数之和,我们就称其为中环数。
则超过2013的最小中环数为_____________.8、如图,在长方形ABCD中,AB=14cm,AD=10cm,在线段AB上取一点E,作CF⊥DE交DE于F,则△ABF面积的最小值为__________cm29、已知关于x的方程x2-2ax+9=0的两个实数根为α,β,则(α-1)2+(β-1)2的最小值为______________.10、+++…+=_______(答案保留“!”符号)11、如图,在Rt△ABC中,E为斜边AB的三等分点中靠近B的那个点,∠AEC=45°,则=__________。
(a≠0),则的最小值为________________。
13、定义n!=1×2×3×…×n,那么÷7的余数为__________________。
14、将编号为1-10的10本书放入编号为1-10的10个书架上,要求编号为k的书只能放在编号为k-1或k或k+1的书架上,例如:编号为1的书只能放在编号为1或2的书架上;编号为4的书只能放在编号为3或4或5的书架上;编号为10的书只能放在编号为9或10的书架上。
初中二年思维逻辑训练数学题300道1.问题:如果一个数的5倍比它的3倍大8,那么这个数是多少?答案:42.问题:一个六边形有多少个角?答案:6个角3.问题:给定等式:2x + 5 = 15。
x的值是多少?答案:54.问题:如果一个长方形的长是8,宽是5,那么它的面积是多少?答案:40平方单位5.问题:如果一个球的半径是3,那么它的体积是多少(取π为3.14)?答案:约为113.04立方单位6.问题:在一个有20个人的班级中,有一半的学生是女生,有多少男生?答案:10个男生7.问题:一个数字乘以0得到的结果是什么?答案:08.问题:一个数字除以它自身得到的结果是什么?答案:19.问题:如果一个数加了5之后等于10,那么这个数是多少?答案:510.问题:一个正方形的边长是6,那么它的周长是多少?答案:24单位11.问题:质数是什么?答案:只有两个正因数(1和它本身)的大于1的自然数。
12.问题:解决以下方程:4x = 16。
x是多少?答案:413.问题:一个三角形的内角之和是多少?答案:180度14.问题:5的平方是多少?答案:2515.问题:如果你有50元,每个苹果3元,那么你最多可以买多少个苹果?答案:16个苹果(剩下2元)16.问题:数字8是偶数还是奇数?答案:偶数17.问题:求解这个等式:9 - 3x = 0。
x是多少?答案:318.问题:一个长方形的长是6,宽是3,那么它的面积是多少?答案:18平方单位19.问题:如果一个立方体的边长是4,那么它的体积是多少?答案:64立方单位20.问题:一个球的表面积是多少(取半径r,π为3.14)?答案:4πr²21.问题:如果一个数的9倍等于其平方,求这个数。
答案:0或922.问题:一个数字加上它的两倍等于18,这个数字是多少?答案:623.问题:解这个等式:5x + 2 = 27。
x是多少?答案:524.问题:如果从一个数中减去8,然后再除以2,得到的结果是6。
思维能力训练测试题(答案仅供参考)测试时间: 姓名: 分数:以下各题,请写出分析过程及最后答案。
第1-5题判分标准:结论错0分、结论对推理错减10分、结论对推理不完全减5分第6题判分标准:只要画出来就给满分1、谁在说谎(20分)甲、乙、丙三人都喜欢对别人说谎话,不过有时候也说真话。
这一天,甲指责乙说谎话,乙指责丙说谎话,丙说甲与乙两人都在说谎话。
其实,在他们三个人当中,至少有一人说的是真话。
请问到底是谁在说谎话呢?参考答案:至少一人说真话。
1)如果甲说真话,乙说的就是谎话,因为乙指责丙说谎,那么丙说的就成了真话,而丙说甲乙都在说谎,矛盾;2)如果乙说真话,则丙在说谎,上述1)分析知甲在说谎,成立;3)如果丙说真话,意指甲说的“乙说谎话”为假,那么乙说的就是真话了,而乙说的是真话则丙在说谎,矛盾。
2、猜头花的颜色(20分)开始盒子里有三朵红头花和两朵蓝头花。
现在三个女孩A、B、C在黑暗中分别选了一个头花戴在自己的头上。
这三个女孩走出黑暗,每个人都只能看见其他两个女孩子头上所戴的头花,但看不见自己头上的头花,并且也不知道盒子里剩余的两朵头花的颜色。
B问A:“你戴的是什么颜色的头花?” A看了一下说:“不知道。
” A问B:“你戴的是什么颜色的头花?” B想过一会之后,也说:“不知道。
” 这时候C回答说:“我知道我戴的头花是什么颜色了。
” 当然,C是在听了A、B的回答之后而作出推断的。
试问:C戴的是什么颜色的头花?她是怎么推断的?参考答案:A说不知道,说明她看到的另外两个人戴的至少不都是蓝色,可能是一蓝一红、或两红;B也不知道,说明B看到的也是一蓝一红、或两红,对于C有两种情况: 1)如果C戴的是蓝色,从A的推断中可知,B应该能判断出自己是戴的是红色(如果B也是蓝色,A就会知道自己是红色),但B说不知道,说明C戴的是红色(因为B不能判断自己戴的是不是蓝色,两种可能都成立);2)如果C戴的红色,B也是不能判定自己是什么颜色;所以以上可知,C戴的是红色(任何两个人戴蓝色,第三人马上知道自己是红色)。
八年级数学思维训练答案篇1:八年级数学思维训练答案发散思维是指大脑在思维时呈现的一种扩散状态的思维模式,比较常见,它表现为思维视野广阔,思维呈现出多维发散状。
发散思维又称辐射思维、放射思维、扩散思维或求异思维。
八年级数学思维训练(一)1、有两个桶,一个三斤,一个五斤,水无限,如何得出精确的四斤水。
2、夜晚过一桥,甲过需要一分钟,乙两分钟,丙五分钟,丁十分钟。
桥一次最多只能承受两人,过桥必须使用手电筒,现在只有一只手电筒。
请问4人如何在17分钟内全部过桥。
3、小赵的店里来了一位顾客,挑了20元的货,顾客拿出50元,小赵没零钱找不开,就到隔壁小韩的店里把这50元换成零钱,回来给顾客找了30元零钱。
过一会,小韩来找小赵,说刚才的是假钱,小赵马上给小李换了张真钱。
问:在这一过程中小赵赔了多少钱?4、鸡妈妈领着自己的孩子出去觅食,为了防止小鸡丢失,她总是数着,从后向前数到自己是8,从前向后数,数到她是9。
鸡妈妈最后数出来她有17个孩子,可是鸡妈妈明明知道自己没有这么多孩子。
那么这只糊涂的鸡妈妈到底有几个孩子呢?鸡妈妈为什么会数错?5、用水果刀平整地去切一个大西瓜,一共切10刀,最多能将西瓜切成多少块?最少能切多少块?6、小李有40元钱,他想用他们买饮料,老板告诉他,2元钱可以买一瓶饮料,4个饮料瓶可以换一瓶饮料。
那么,小李可以买到多少瓶饮料?7、有一口深4米的井,井壁非常光滑。
井底有只青蛙总是往井外跳,但是,这只青蛙每次最多能跳3米,你觉得这只青蛙几次能跳到井外去吗?为什么?8、小红和小丽一块到新华书店去买书,两个人都想买《综合习题》这本书,但钱都不够,小红缺少4.9元,小丽缺少0.1元,用两个人合起来的钱买一本,但是钱仍然不够,那么,这本书的价格是多少呢?9、明明牵着一只狗和两只小羊回家,路上遇到一条河,没有桥,只有一条小船,并且船很小,他每次只能带狗或一只小羊过河。
你能帮他想想办法,把狗和羊都带过河去,又不让狗咬到小羊。
2023年第四届超常(数学)思维与创新能力测评初二年级考试时间:100分钟满分:150分考试说明:(1)本试卷包括30道不定项选择题(可能有几个选项正确),每小题5分.(2)每道题的分值按正确选项的个数平均分配,但是如有错选,则该题不得分.1.如图,从所给五个选项中,选择最合适的一个填入问号处,使之呈现一定的规律性.()A. B. C. D. E.2.如果2x3+x2+kx−2能被2x+12整除,那么k等于().A.818B.−778C.778D.−818E.不能确定3.在吉玛部落,长距离步行和了解丛林道路都是极其重要的,所以当一个男子成年时,他必须在完成一个有趣的成年礼后才会被称为成人.该男子必须进行一系列的远足.第一次远足是在主干道上步行5km.第二次远足是在第二条路上步行514km.就这样每次在一条不同的路上比前一次多走14km.当该男子在所有远足中累积步行超过1000km时,这一成年礼就宣告完成.所以在吉玛部落,一名男子必须走过()条路才可以称为成人.A.36B.47C.59D.72E.734.把a√−1a的根号外的a移入根号内,得().A.√aB.−√aC.−√−aD.√−aE.以上都不对5.方程|x|=ax+1有一负根而无正根,则a的取值范围是().A.a>−1B.a>1C.a≥1D.a≥−1E.以上都不对6.如图,AB//EF//CD,已知AB=20,DC=80,那么EF的值是().A.10B.12C.16D.18E.不能确定7.如图,小刚打算从点A 走到点B ,要求他不能走进阴影区域,但是可以在白色区域沿任意方向行走(可以在整个平面上移动,而不仅限于沿网格线).则A 和B 之间的最短路径的长度为( ).A.15√2B.3+10√2C.7+5√2D.7+6√2E.108.已知a 2a 4−a 2+1=437,a 为正实数.那么,a 3a 6−a 3+1=mn ,其中m 和n 为互质的正整数.则m +n 的值为().A.251B.259C.270D.310E.3929.半径为8的圆形最多能容纳()个互不重叠的2×2的正方形.A.35B.37C.39D.40E.4110.在平面直角坐标系中,点P 从P 1(−4,0)依次跳动到P 2(−4,1),P 3(−3,1),P 4(−3,0),P 5(−2,0),P 6(−2,3),P 7(−1,3),P 8(−1,0),P 9(−1,−3),P 10(0,−3),P 11(0,0),P 12(0,1),P 13(1,1),…,依此规律,则点P 2023的坐标为( ).A.(2023,0) B.(2023,1) C.(805,0) D.(804,1) E.(805,1)11.设x =18m+1n.对于()个小于19的正整数n ,能够找到一个正整数m ,使得x 是正整数.A.1B.6C.7D.8E.912.点E 和点F 都在矩形ABCD 内,且AE =DE =BF =CF =EF .若AB =11,BC =8,则四边形AEFB 的面积为( ). A.32 B.28 C.16 D.36 E.4413.如图,将9个面积为3的小正方形放入大正方形内.这些小正方形彼此相邻,且一个正方形一角的顶点恰好为另一正方形一边的中点.若大正方形之内、小正方形之外的阴影区域的面积为√n ,则整数n 的值为( ).A.144B.168C.234D.288E.31014.甲、乙两人同时解根式方程√x +a +√x +b =7.抄题时,甲错抄成√x −a +√x +b =7,结果解得其一根为12.乙错抄成√x +a +√x +d =7,结果解得其一根为13.已知甲、乙两人除抄错题之外,解题过程都是正确的,又a ,b ,d 都是整数,则(a ,b )=( ). A.(3,4) B.(-4,-3) C.(-13,-8) D.(12,37) E.(5,0) 15.幻方是古老的数学问题,我国古代的《洛书》中记载了最早的幻方——九宫格.将9个数填入幻方的空格中,要求每一行、每一列以及两条对角线上的3个数之和相等,例如图(a )就是一个幻方.图(b )是一个未完成的幻方,则x 与y 的和是( ).A.9B.10C.11D.12E.2216.满足n 3+m 3−mn (n +m )=2023的所有整数对(m ,n )(n ≥m )共有()组. A.0 B.1 C.2 D.3 E.无穷多17.当三位数6a3和2b5相加在一起时,其答案是一个被9除尽的数.则a +b 可能的最大值是().A.12B.9C.2D.20E.以上都不是18.已知x 2=y 3=z4,那么x 2−2y 2+3z 2xy+2yz+3zx 的值是().A.1727B.79C.1718D.729E.不能确定19.已知P 为等边△ABC 内一点,PA =6,PB =8,PC =10,则最接近△ABC 的面积的整数是( ).A.78 B.79 C.80 D.81 E.以上都不是20.在四边形ABCD 中,AB =AC ,AD =CD ,∠BAC =20°,且∠ADC =100°,则以下结论中正确的是( ). A.∠DAB =60° B.∠BCD =120° C.AB >BC +CDD.AB =BC +CDE.AB <BC +CD21.如图,矩形ABCD 中,AB =3,AD =4,若将矩形折叠,使点B 与点D 重合,则折痕EF 的长为( ).A.154B.4C.174D.92E.以上都不是22.有四个边长分别为3cm ,4cm ,5cm 的木三角形,则用所有这些三角形能拼成( )种凸多边形.注:凸多边形的所有内角均小于180°,且它没有任何洞.图(a )是凸的,图(b )不是凸的.A.7B.9C.11D.16E.1823.有一座城堡的城墙围成四边形PQRS 的形状,如图所示,其中PQ =40m ,QR =45m ,RS =20m ,SP =20m ,且∠PSR =90°,有一名卫兵在城墙外,依顺时针方向沿着与城墙最近的距离保持为2m 的路径上巡逻,绕一圈后回到原出发点.那么他总共走了( )m .A.(125+4π)B.(121+5π)C.(125+5π)D.(121+6π)E.(125+6π)24.△ABC 具有以下性质:它内部的点P 使∠PAB =10°,∠PBA =20°,∠PCA =30°,∠PAC =40°.则△ABC 是( ). A.等边三角形 B.等腰三角形 C.直角三角形 D.钝角三角形 E.锐角三角形25.对于正数a ,b 我们把a+b 2叫做它们的算术平均数,而√ab 则叫做几何平均数.现在有两个小于1000的正整数,其算术平均数与几何平均数是两个连续的奇数,则这两个数之差的最大值为().A.120B.128C.140D.112E.5726.如果p 、q 、2p−1q、2q−1p都是整数,且p >1,q >1,则p +q =(). A.8B.10C.12D.16E.以上都不是27.[x ]表示最大的不超过x 的整数.则[23×1101]+[23×2101]+[23×3101]+⋯+[23×100101]=().A.1000B.1050C.1080D.1090E.110028.令*为自然数的二元运算,其特点是对于所有的a ,b ,c 都有(a +b )∗c =(a ∗c )+(b ∗c )和a ∗(b +c )=(a ∗b )∗c .若5∗5=160,则7∗7的值为( ).A.343 B.689 C.896 D.960 E.102929.如图所示,10个不同的点被排列成一个圈,将这10个点两两配对,并保证连结点对的线段互不相交,则共有( )种配对方法.A.15B.20C.35D.40E.4230.黑板上写着两个数:11和17.允许你做两种操作:(1)把某个数重写一遍;(2)把两数相加,写上和数.则最大的不能在黑板上出现的数是().A.136B.137C.139D.158E.以上都不是。
人教版八年级下学期期末物理思维拓展试题含答案一、选择题1.下列物体受到的重力最接近2N的是( )A.两个鸡蛋B.一个苹果C.一枚大头针D.一把学生用的椅子2.小明在做“探究力的作用效果与哪些因素有关”的实验时将一个弹性较好的钢片固定在桌边,在钢片上用细线悬挂钩码(钩码的规格均相同),如图所示。
关于钩码对钢片的拉力,以下说法正确的是( )A.实验过程中,力的作用效果是通过钩码的数量来反映的B.由图甲、丙可以发现:力的作用效果与力的大小有关C.由图乙、丙可以发现:力的作用效果与力的作用点有关D.图甲中钩码对钢片有力的作用,而钢片对钩码无力的作用3.“五一”假期期间,小明一家乘坐高铁外出旅游,下列说法正确的是( )A.匀速运动的列车,若它所受的一切外力同时消失,列车会立即停下来B.车速越高,列车越难刹停,说明速度越大,惯性越大C.加速前进时,列车受到的牵引力大于受到的阻力D.站台相对于进站的列车是静止的4.生活中有许多现象都蕴含物理知识,下列说法正确的是( )A.鸭子的脚掌又扁又平,可以增大压力,从而在松软的泥地上行走自如B.人竖直向上匀速爬杆时,所受摩擦力方向竖直向上C.标枪运动员通过助跑提高成绩,利用了运动员自身的惯性D.盘上公路修的弯弯曲曲,目的是为了省功5.如图所示,放在水平桌面上的甲、乙、丙三个全相同的烧杯,将三个完全相同的长方体A、B、C分别放入装有不同液体的烧杯中,A在甲杯中沉底,B在乙杯中悬浮,C在丙杯中漂浮,且各杯液面相平。
下列判断不正确的是( )A.物体受到的浮力F A浮<F B浮=F C浮B.丙烧杯中液体的密度最大C.物体下表面受到液体的压力F A>F B=F C D.烧杯对桌面的压强p甲<p乙<p丙6.生活中许多工具都可看作是杠杆,下面几种工具在使用时属于费力杠杆的是( )A .羊角锤B .起子C .食品夹D .扳手7.如图所示,水平桌面上的柱形薄壁容器(图甲)重为G 、底面积为S ,高为h 。
八年级数学思维能力训练(快乐暑假补充训练之一)姓名一、选择题:1.如图,三个图形的周长相等,则()(A)c<a<b (B)a<b<c (C)a<c<b (D)c<b<a 2a2aa ac2.如图:AD与BE是△ABC的角平分线,D,E分别在BC,AC上,若AD=AB,BE=BC,则∠C=() A、69°(B)0)9623((C)0)13900((D)不能确定二、填空题: 3.若A22223,3yxyxByxyx+-=++=,则A—[B+2B—(A+B)]化简后的结果为(用含x、y的代数式表示).4.甲、乙、丙三种货物,若购甲3件,乙7件,丙1件,共需325元,若购甲4件,乙10件,丙1件共需410元,那么购甲、乙、丙各1件共需元.5.如图,在正方形ABCD中,E是BC的中点,△DEF的面积等于2,则此正方形ABCD的面积等于_____. 6. 19902-19892+19882-19872+…+22-1=八年级数学思维能力训练(快乐暑假补充训练之二)姓名一、选择题:1.等于().(A)62500 (B)1000 (C)500 (D)250 2.已知296—1可以被在60至70之间的两个整数整除,则它们是()(A)63,61 (B)61,65 (C)63,65 (D)63,673.满足方程的正整数解是().(A)(4,2)(B)(2,4)(C)(6,2)(D)(5,3)4.计算等于().(A )(B )(C)0 (D )二、填空题:5.若,则n=146.计算:12-22+32-42+……+992-1002+1012= 51517.某工厂存煤)(吨Q,原计划平均每天耗)(吨a,如果实际每天节约煤)(吨x,那么存煤)(吨Q可以比原计划多用)(天y,写出y与x的关系式;8. 若222a b c a b ckc b a+++===,则k的值为.ABCDEB CD(第21题)三、解答题:7.已知a=1990x+1989,b=1990x+1990,c=1990x+1991,求a 2+b 2+c 2-ab-ac-bc 的值.8.如果(2a+2b+1)(2a+2b-1)=63,求a+b 的值.9、如图,某货船以20海里/时的速度将一批重要物资由A 处运往正西方向的B 处,经16小时的航行到达,到达后必须立即卸货,此时,接到气象部门的通知,一台风中心正以40海里/时的速度由A 处向北偏西60°的方向移动,距台风中心200海里的圆形区域(包括边界)均会受到影响问:(1)B 处是否会受到影响?请说明理由.(2)为避免受到台风的影响,该船应在多少小时内卸完货物?三、解答题: 9.化简(x+y)+(2x+21⨯y )+(3x+32⨯y )+…+(9x+98⨯y),并求当x=2,y=9时的值.10.若f(x)=2x-1(如f(-2)=2×(-2)-1,f(3)=2×3-1),求2003)2003()2()1(f f f +++ 的值.11.某商场用80000元在武汉购进一批T 恤衫,T 恤衫款式新,•很快就销售一空,采购员又在广州用元购进同种T 恤衫,数量是在武汉购进的2倍,•只是单价比武汉贵4元.两次T 恤衫商场都按每件58元销售,最后剩下150件按8折销售,•全部售完,问该商场在这笔生意中盈利多少元?一7、.解:∵a=1990x+1989,b=1990x+1990,c=1990x+1991,∴a-b=-1,b-c=-1,c-a=2. ∴a 2+b 2+c 2-ab-ac-be=21(2a 2+2b 2+2c 2=21[(a 2-2ab+b 2)+(b 2-2bc+c 2)+(c 2-2ac+a 2)] =21[(a-b 2)+(b-c)2+(c-a)2]=21[(-1)2+(-1)2+22] =21(1+1+4)=3. 一8、解:∵(2a+2b+1)(2a+2b-1)=63,∴[(2a+2b)+1][(2a+2b)-1]=63, ∴(2a+2b)2-1=63,∴(2a+2b)2=64,∴2a+2b=8或2a+2b=-8,∴a+b=4或a+b=-4∴a+b 的值为4或一4. 二9、原式=x+y+2x+21⨯y +3x+32⨯y +…+9x+98⨯y=(x+2x+3x+…+9x)+(y+21⨯y +32⨯y +…+98⨯y )=(1+2+3+…+9)x+(1+21⨯y +32⨯y +…+98⨯y)y=2)19(9+·x+(1+1-21+21-31+…+71-81+81-91)y=45x+(1-91)y=45x+917y.当x=2,y=9时,原式=45×2+917×9=107.二10、∵f(x)=2x-1,∴f(1)+f(2)+f(3)+…+f(2003)=(2×1-1)+(2×2-1)+(2×3-1)+…+(2×2003=(2×1+2×2+2×3+…+2×2003)-1×2003 =2(1+2+3+…+2003)-2003 =2×2)12003(2003+⨯-2003=20032+2003-2003 =20032 ∴原式=200320032=2003.八年级数学思维能力训练(快乐暑假补充训练之三) 姓名一、选择题: 1.设22211148()34441004A =⨯++---,则与A 最接近的正整数是() A.18 B.20 C.24 D.25 2、若的值为则2y -x 2,54,32==y x () A.53 B.-2 C.553 D.563、已知a -b=b -c= 52,a 2+b 2+c 2=1则ab +bc +ca 的值等于()A.2513 B.2512 C.53 D.52 二、填空题:4、将一些半径相同的小圆按如图所示的规律摆放: 第1个图形有6个小圆,第2个图形有10个小圆,第3个图形有16个小圆,第4个图形有24个小圆,……,依次规律,第6个图形有 个小圆.5、一串数1,1,1,2,2,3,4,5,7,9,12,16,21,……称为帕多瓦数列,请根据这个数列的一个规律,写出其中的第19个数是 .6、已知123112113114,,,...,1232323438345415a a a =+==+==+=⨯⨯⨯⨯⨯⨯依据上述规律,则99a = .八年级数学思维能力训练(快乐暑假补充训练之四) 姓名一、选择题:1.已知a 、b 、c 是三角形的三边,则代数式2222c b ab a -+-的值( ) A 、大于0 B 、等于0 C 、小于0 D 、不能确定2、如图,直线321l l l 、、表示三条相互交叉的公路,现要建一个货物中转站,要求它到三条公路的距离相等,则可供选择的地址有( )A 、1处; B 、2处; C 、3处;二、填空题:4、已知25350x x --=,则22152525x x x x --=-- .5、y =︱x +1︱+︱x -2︱+︱x -3︱的最小值是 .6、求︱x -1︱+︱x -2︱+︱x -3︱+……+︱x -1999︱的最小值为 . 第1个图第2个图第3个图第4个图…7、)83233)(527432(2353456-++--+-+-x x x x x x x x x 展开式中8x 的系数是 ; 8、若多项式2228171642070P a ab b a b =-+--+,那么P 的最小值是 . 7、 的值。
一、选择题(每题5分,共25分)1. 下列各数中,不是无理数的是()A. √2B. πC. √9D. 3答案:C解析:无理数是指不能表示为两个整数比的实数,而√9=3,是有理数,因此选C。
2. 若a,b是实数,且a+b=0,则下列各式中正确的是()A. a=0,b=0B. a=0,b≠0C. a≠0,b=0D. a≠0,b≠0答案:D解析:由于a+b=0,根据实数的加法交换律,可得b+a=0,因此a≠0,b≠0,选D。
3. 下列各式中,正确的是()A. (a+b)²=a²+b²B. (a+b)²=a²+2ab+b²C. (a-b)²=a²-b²D. (a-b)²=a²-2ab+b²答案:B解析:根据平方公式(a+b)²=a²+2ab+b²,因此选B。
4. 若a,b,c成等差数列,且a+b+c=15,则b的值为()A. 5B. 6C. 7D. 8答案:A解析:由等差数列的性质可知,a+b+c=3b,又a+b+c=15,解得b=5,选A。
5. 若a,b,c成等比数列,且abc=1,则下列各式中正确的是()A. a+b+c=0B. a²+b²+c²=3C. a²+b²+c²=1D. a²+b²+c²=0答案:B解析:由等比数列的性质可知,a²+b²+c²=(ab+bc+ac)²,又abc=1,可得a²+b²+c²=3,选B。
二、填空题(每题5分,共25分)1. 若x²-6x+9=0,则x的值为__________。
答案:3解析:将方程x²-6x+9=0进行因式分解,得(x-3)²=0,因此x=3。
初中二年级数学思维训练题(共四套)本文档为初中二年级学生提供了四套数学思维训练题,旨在帮助他们进一步培养和发展数学思维能力。
第一套数学思维训练题1. 计算下列各题:a) 72 ÷ 9b) 5 × 7c) 36 - 19d) 8²e) 20 ÷ 5 + 32. 填空题:a) 7 × __ = 63b) 24 ÷ __ = 6c) 10² = __d) __ - 8 = 5e) 4 × (__ + 3) = 283. 判断题:正确请写“√”,错误请写“×”。
a) 12 ÷ 3 = 4b) 5 × (8 + 2) = 60c) 15 + 7 = 22 - 4d) 6² = 12e) 18 ÷ 9 - 1 = 1第二套数学思维训练题1. 计算下列各题:a) 90 ÷ 10b) 4 × 9c) 53 - 37d) 6³e) 25 ÷ 5 + 62. 填空题:a) 8 × __ = 56b) 36 ÷ __ = 9c) 9² = __d) __ + 10 = 25e) 7 × (__ + 4) = 773. 判断题:正确请写“√”,错误请写“×”。
a) 18 ÷ 3 = 6b) 8 × (5 + 3) = 40c) 9 + 5 = 14 - 3d) 3³ = 27e) 30 ÷ 5 - 2 = 2第三套数学思维训练题1. 计算下列各题:a) 64 ÷ 8b) 6 × 6c) 82 - 49d) 5⁴e) 14 ÷ 2 + 82. 填空题:a) 9 × __ = 81b) 48 ÷ __ = 6c) 8² = __d) __ + 5 = 14e) 5 × (__ + 7) = 603. 判断题:正确请写“√”,错误请写“×”。
原创思维试卷八年级【含答案】专业课原理概述部分一、选择题(每题1分,共5分)1. 下列哪种思维过程最能够体现原创性思维的特点?A. 模仿B. 分析C. 创造D. 回忆2. 原创性思维的核心是什么?A. 灵感B. 想象力C. 创造力D. 知识3. 以下哪项不是培养原创性思维的方法?A. 多读书B. 多思考C. 多交流D. 死记硬背4. 原创性思维与常规思维最大的区别是什么?A. 速度B. 效率C. 独创性D. 准确性5. 以下哪种情况最能够激发原创性思维?A. 机械重复B. 严格限制C. 自由探索D. 严格规范二、判断题(每题1分,共5分)1. 原创性思维是一种天生的能力,无法通过后天的努力培养。
()2. 原创性思维只适用于科学研究,与日常生活无关。
()3. 原创性思维是一种独立于其他思维方式的思维模式。
()4. 原创性思维是一种可以通过训练和学习得到提高的思维能力。
()5. 原创性思维与逻辑思维是相互排斥的。
()三、填空题(每题1分,共5分)1. 原创性思维是一种以______为核心,以______为基础的思维模式。
2. 培养原创性思维的方法有:多读书、多思考、多交流、______。
3. 原创性思维的特点有:独创性、______、______。
4. 原创性思维在科学研究、艺术创作、______等方面都有广泛的应用。
5. 原创性思维是一种可以______的思维能力,通过训练和学习可以得到提高。
四、简答题(每题2分,共10分)1. 简述原创性思维的定义和特点。
2. 简述培养原创性思维的方法。
3. 简述原创性思维在科学研究中的应用。
4. 简述原创性思维与逻辑思维的关系。
5. 简述原创性思维对个人发展的重要性。
五、应用题(每题2分,共10分)1. 请举例说明如何运用原创性思维解决一个实际问题。
2. 请举例说明如何运用原创性思维进行一项科学研究。
3. 请举例说明如何运用原创性思维进行一项艺术创作。
4. 请举例说明如何运用原创性思维进行一项商业创新。
人教版八年级下学期期末物理思维拓展试题【解析】一、选择题1.下列数据中,最接近生活实际的是()A.八年级物理课本的重力约为20N B.人步行速度约20m/sC.一名初中生质量大约为50kg D.一只一次性水杯的容积约是500mL2.关于平衡力,下列说法正确的是()A.天花板对线的拉力和灯所受的重力是一对平衡力B.天花板对线的拉力和线对天花板的拉力是一对平衡力C.线对灯的拉力和灯对线的拉力是一对平衡力D.线对灯的拉力和灯所受的重力是一对平衡力3.小雨同学通过绳子拉着一石块在水平桌面上做匀速圆周运动,假设它受到的力全部消失,则该石块将()A.继续做匀速圆周运动B.落到地面上C.做匀速直线运动D.立即停止运动4.生活中很多地方都涉及到物理知识,下列对一些做法的解释正确的是()A.在高山上要用高压锅做饭是因为高山上气压比较高B.汽车轮胎上刻有凹凸不平的花纹,是为了减小摩擦C.火车轨道铺在枕木上,是为了减小轨道对地面的压强D.大型飞机很多零件采用密度小的合金材料制成,是为了增加自身质量5.有两根相同的缠有铜丝的木棒,将它们分别放入装有不同液体的两个烧杯中,会竖直立在液体中,且静止时液面相平,如图所示。
下列说法正确的是()A.容器底部受到液体的压强p甲=p乙B.木棒在甲、乙中排开液体的质量m甲=m乙C.木棒在液体中受到的浮力F甲<F乙D.液体的密度ρ甲>ρ乙6.如图所示的工具或仪器中,属于费力杠杆的是()A.老虎钳B.铡刀C.镊子D.开瓶器7.如图所示,一质地均匀的圆柱形平底玻璃杯,杯内水中漂浮着一冰块.若冰熔化前后水对杯底的压强分别为p 1、p2,则下列关系式中正确的是A.p1< p2B.p1> p2C.p1= p2D.无法确定8.如图甲所示,用水平拉力F拉置于水平地面上的物体,在此过程中,拉力F的大小随时间t变化的情况如图乙所示,物体运动速度v的大小随时间t变化的情况如图丙所示,下列说法中()①0~1s物体受到的摩擦力为100N②1~3s物体受到的摩擦力为300N③5~6s物体受到的摩擦力为零④3~5s推力F对物体做的功是200JA.只有①正确B.只有①②正确C.只有②③④正确D.只有①②④正确二、填空题9.我们可以利用矿泉水瓶做很多小实验来说明一些物理知识。
凤台四中八年级物理思维训练1~6(五)一、填空题(每空1分,共22分;将答案直接写在横线上,不必写出解题过程)1.在国际单位制中,长度的基本单位是;某位同学用刻度尺测量一物体的长度,正确记录结果为2.345m,则他所用刻度尺的分度值为。
2.描述同一物体的运动情况时,如果选择的不同,其结论一般也不一样,这表明物体的运动和静止是。
3.一列火车在平直的轨道上匀速行驶,一名铁路巡道工站在火车前方某处路旁,火车第一次鸣笛经过3s 被他听到,第一次鸣笛之后过了10s火车再次鸣笛,经过2.5s被他听到。
若声速为340 m/s,则火车的度为 m/s4.请你完成下列单位换算(不必填写过程,只填结果):(1)80μm= m (2)0.5h = s (3)90km/h= m/s5.大量的实验表明:①声音是由物体产生的;②声音的传播需要,真空不能传声。
6.如图是一些测量仪器,相信你一定能够正确读数:(1)纸带上A、C两点间的距离是cm(2)体温计的示数为℃(3)速度表的示数为 km/h7.我们仅凭声音,也能识别是哪个熟悉的人在说话,这是由于讲话时每个人的不同;唱歌有高音、中音、低音的唱法,这取决于与声音振动频率有关的特性;除上述两个特性外,声音还有另一个特性是。
8.小华同学在研究玩具小车A的运动情况时,描绘出了如图所示的速度−时间图象。
通过查阅资料,得知速度−时间图象与坐标轴所包围部分(即图中阴影部分)的面积就是小车运动的距离。
根据图象可以计算出小车A在0~1s内的平均速度为 m/s。
9.液体温度计是根据液体的性质制成的。
夏天,在地上洒水感到凉快,这是利用了水的来降低气温的;被相同质量的100℃的水蒸气烫伤比被100℃的开水烫伤更加严重,这是由于水蒸气的缘故。
10.如图所示是几种声音输入到示波器上时显示的波形,其中音调相同的是;响度相同的是。
题号11 12 13 14 15 16 17 答案把符合题意的选项序号填入下面的表格内,未填入表格内的不能得分)11.小船往返于沿河的甲、乙两地,若河水不流动,往返一次需时间t1,若河水流动.住返一次需时间t2,则t1与t2的大小关系是:A.t1=t2 B.t1>t2C.t1<t2 D.由水的流速和船速的大小确定12.某同学先后四次测量同一物体的长度,测得的数据分别是2.57cm 、2.58 cm、2.58 cm,2.56cm,则测得该物体的长度应记为:A、2.5725cmB、 2.57cmC、2.573cmD、2.58 cm13.在校百米赛跑的比赛中,终点计时员听到枪声才开始计时,所记录的时间为12.71秒,该运动员实际成绩应该为:(设当天的气温为15℃)。
思维训练1学习是劳动,是充满思想的劳动。
——乌申斯基1,用锤子以相同的力将铁钉垂直钉入木块,随着铁钉的深入,铁钉所受的阻力也越来越大.当未进入木块的钉子长度足够时,每次钉入木块的钉子长度是前一次的12 .已知这个铁钉被敲击3次后全部进入木块(木块足够厚),且第一次敲击后铁钉进入木块的长度是2cm ,若铁钉总长度为acm ,则a 的取值范围是 .2.如图,已知函数y x b =+和3y ax =+的图象交点为P ,则不等式3x b ax +>+的解集为 .3.如图,直线y kx b =+经过(21)A ,,(12)B --,两点,则不等式122x kx b >+>-的解集为 .4.已知实数x,y 同时满足:(1)3x-2y=4-p ,(2)4x-3y=2+p,(3)x >y 求p 的取值范围。
(第2题图)5利用不等式解决下列问题:1.(1)若购买树苗资金不超过44000元,则最多可购买乙树苗多少棵?(2)若希望这批树苗成活率不低于90%,并使购买树苗的费用最低,应如何选购树苗?购买树苗的最低费用为多少?2.小杰到学校食堂买饭,看到A B ,两窗口前面排队的人一样多(设为a 人,8a ),就站到A窗口队伍的后面,过了2分钟,他发现A窗口每分钟有4人买了饭离开队伍,B窗口每分钟有6人买了饭离开队伍,且B 窗口队伍后面每分钟增加5人. (1)此时..,若小杰继续在A 窗口排队,则他到达窗口所花的时间是多少(用含a 的代数式表示)? (2)此时..,若小杰迅速从A 窗口队伍转移到B 窗口队伍后面重新排队,且到达B 窗口所花的时间比继续在A 窗口排队到达A 窗口所花的时间少,求a 的取值范围(不考虑其它因素).思维训练1答案学习是劳动,是充满思想的劳动。
——乌申斯基1,用锤子以相同的力将铁钉垂直钉入木块,随着铁钉的深入,铁钉所受的阻力也越来越大.当未进入木块的钉子长度足够时,每次钉入木块的钉子长度是前一次的12 .已知这个铁钉被敲击3次后全部进入木块(木块足够厚),且第一次敲击后铁钉进入木块的长度是2cm ,若铁钉总长度为acm ,则a 的取值范围是 3<a ≤3.5 .2.如图,已知函数y x b =+和3y ax =+的图象交点为P ,则不等式3x b ax +>+的解集为 x >1 .3.如图,直线y kx b =+经过(21)A ,,(12)B --,两点,则不等式122x kx b >+>-的解集为 -1<x <2 .4.已知实数x,y 同时满足:(1)3x-2y=4-p ,(2)4x-3y=2+p,(3)x >y 求p 的取值范围。
中学生思维能力训练活动初二年级试题
填空题:
1、计算:=___________________
2、已知,则a+b-10x+5y=_________。
3、在1,2,3…,2013这2013个自然数中,最多可以取到______________个数,使得其中任意两个数之和为160的倍数。
4、已知实数a、b满足a3+b3+3ab=1,且ab≠1,则a+b=____________
5、在△ABC中,AB=a,AC=b(b>a),∠ABC=3∠C,AD是∠BAC的平分线,BE⊥AD于F,则BE=____________(结果用a,b表示)=0,则x=_______________
6、已知正数x满足-4x2-10x-6+2(x+1)2=0,则x=_______________
7、如果一个数正写和逆写的值不变,那么我们称这样的数为回文数码比如12331或121,如果一个数不能表示为两个回文数之和,我们就称其为中环数。
则超过2013的最小中环数为_____________.
8、如图,在长方形ABCD中,AB=14cm,AD=10cm,在线段AB上取一点E,作CF⊥DE交DE于F,则△ABF面积的最小值为__________cm2
9、已知关于x的方程x2-2ax+9=0的两个实数根为α,β,则(α-1)2+(β-1)2的最小值为______________.
10、+++…+=_______(答案保留“!”符号)
11、如图,在Rt△ABC中,E为斜边AB的三等分点中靠近B的那个点,∠AEC=45°,则=__________。
(a≠0),则的最小值为________________。
13、定义n!=1×2×3×…×n,那么÷7的余数为__________________。
14、将编号为1-10的10本书放入编号为1-10的10个书架上,要求编号为k的书只能放在编号为k-1或k或k+1的书架上,例如:编号为1的书只能放在编号为1或2的书架上;编号为4的书只能放在编号为3或4或5的书架上;编号为10的书只能放在编号为9或10的书架上。
那么一共有______________种放法
17、+++…+,则S的整数部分为____________。
18、已知凸五边形ABCDE满足AB=BC,CD=DE,∠ABC=150°,∠CDE=30°,BD=2,则五边形ABCDE的面积为_________________。
19、已知正整数n>1,并且满足nn-1的所有质因数都是(nn-1)(n2-1)的质因数,则n有_______________个解。
20、在一个8×8的表格中,将1-12这12个数字填入表格中。
使得:
①每个格子中最多填入一个数字,并且这12个数字每个只能使用一次;
②两个填入数字的格子不会接触(没有公共点,也没有公共边)
③一些行、列外给出了一些数字,这些数字告诉我们这行、列中所含有的所有数字之和,没有给出数字的行、列中的数字之和未知(不是0)。