最新七年级一元一次方程经典题型计算题100道
- 格式:doc
- 大小:344.00 KB
- 文档页数:7
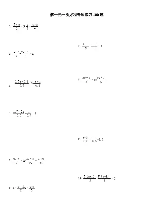
解一元一次方程专项练习100题1..2.=﹣2;3.﹣2=.4.5..6.x ﹣=2﹣.7.8..9.10.11. ﹣6x=﹣x+1;12. y ﹣(y﹣1)=(y﹣1);13. [(x ﹣)﹣8]=x+1;14..15.﹣=1.17.2﹣=﹣.18.﹣1=﹣.19..20..22..23.;24. .25..27..28. 2﹣=x ﹣;29. ﹣1=.30..32..33.34.35. ;37..38.39.40.42. x ﹣43.;44. .45.(x﹣1)﹣(3x+2)=﹣(x﹣1).47.;48. .49.+1=;50. 75%(x﹣1)﹣25%(x﹣4)=25%(x+6)52.53.54.55. 57. ;58. .59. 2x ﹣(x﹣3)=[x ﹣(3x+1)].60.62.x+=1﹣63..64.65. ﹣=.67.68.69.70.=;72. 2x ﹣73.74.[(﹣1)﹣2]﹣x=2.75.﹣1=.77..78.79.80. ;82.83.84.85. ﹣=.87.88..89..90..92. ;93..94..95.;96. .97..98. ;99. [(x﹣1)﹣3]=2x﹣5;100..解一元一次方程100题难题解析1.去分母得:3(2﹣x)﹣18=2x﹣(2x+3),去括号得: 6﹣3x﹣18=﹣3,移项归并得:﹣3x=9,∴x=﹣32.去分母得,3(x﹣1)=4(2x﹣1)﹣24,去括号得,3x﹣3=8x﹣4﹣24,移项、归并同类项得,5x=25,系数化为1得,x=5;3. 原方程变形为:﹣2=,去分母得,4(2x﹣1)﹣24=3(10x﹣10),去括号得,8x﹣4﹣24=30x﹣30,移项、归并同类项得,22x=2,系数化为1得,x=4.去分母得,7(1.7﹣2x)=3x﹣2.1去括号,11.9﹣14x=3x﹣2.1移项归并同类项得,﹣17x=﹣14系数化为1得,x=.5.原方程变形成5(3x+1)﹣20=3x﹣2﹣2(2x+3) 15x﹣15=﹣x﹣816x=7∴6.去分母得:6x﹣3(x﹣1)=12﹣2(x+2)去括号得:6x﹣3x+3=12﹣2x﹣4移项得:6x﹣3x+2x=12﹣4﹣3归并得:5x=5系数化为1得:x=1.7.去分母得:5(4﹣x)=3(x﹣3)﹣15,化简可得: 2x=11,系数化1得: x=8.原式可变形为:3(3y﹣1)﹣12=2(5y﹣7)去括号得: 9y﹣3﹣12=10y﹣14移项得: 9y﹣10y=﹣14+12+3归并得:﹣y=1系数化1得: y=﹣19.原方程分母化整得:去分母,得 5(x+4)﹣2(x﹣3)=1.6,去括号,得 5x+20﹣2x+6=1.6,移项、归并同类项,得 15x=﹣122,系数化1,得 x=10.去分母得:4(x+1)=5(x+1)﹣6,去括号得: 4x+4=5x+5﹣6,移项、归并得:﹣x=﹣5,系数化为1得: x=5.11. 移项,归并得x=,化系数为1,得x=;12. 去分母,得6y﹣3(y﹣1)=4(y﹣1),去括号,得 6y﹣3y+3=4y﹣4,移项,归并得 y=7;13. 去括号,得(x ﹣)﹣6=x+1,x ﹣﹣6=x+1,移项,归并得x=;14. 原方程变形为﹣1=,去分母,得2(2﹣10x)﹣6=3(1+10x),去括号,得 4﹣20x﹣6=3+30x,移项,归并得﹣50x=5,化系数为1,得 x=﹣.15.去分母得:3(x﹣7)+4(5x﹣6)=12,去括号得: 3x﹣21+20x﹣24=12,移项得: 3x+6x=12+21+24,归并同类项得: 9x=57,化系数为1得: x=16.去分母:6(x﹣3)+4(6﹣x)=12+3(1+2x),去括号:6x﹣18+24﹣4x=12+3+6x,移项:6x﹣4x﹣6x=12+3+18﹣24,化简:﹣4x=9,化系数为1:x=﹣.17.去分母得:12﹣2(2x﹣4)=﹣(x﹣7),去括号得: 12﹣4x+8=﹣x+7,移项得:﹣4x+x=7﹣20,归并得:﹣3x=﹣13,系数化为1得: x=.18.去分母得:3(2x+1)﹣12=4(2x﹣1)﹣(10x+1),去括号得: 6x+3﹣12=8x﹣4﹣10x﹣1,移项归并同类项得: 8x=4,系数化为得: x=19.去分母得:2(5x﹣7)+12=3(3x﹣1)去括号得: 10x﹣14+12=9x﹣3移项得: 10x﹣9x=﹣3+14﹣12系数化为1得: x=﹣120.去分母得:3(3x+4)﹣2(6x﹣1)=6去括号得: 9x+12﹣12x+2=6移项、归并同类项得:﹣3x=﹣8系数化为1得: x=21.去分母得:6(x+4)﹣30x+150=10(x+3)﹣15(x﹣2)去括号得: 6x+24﹣30x+150=10x+30﹣15x+30移项、归并得:﹣19x=﹣114化系数为1得: x=6.22.去分母得:4(2x﹣1)﹣3(3x﹣1)=24,去括号得: 8x﹣4﹣9x+3=24,移项归并得:﹣x=25,化系数为1得: x=﹣2523. 原方程能够变形为:5x﹣10﹣2(x+1)=3,5x﹣10﹣2x﹣2=3,3x=15,x=5;24. 原方程能够变形为[x ﹣(x ﹣x+)﹣]=x+,(x ﹣x+x ﹣﹣)=x+,(x ﹣)=x+,,,x=﹣25.﹣=﹣12(2x﹣1)﹣(5﹣x)=3(x+3)﹣62x=10x=526.去括号得:x ﹣﹣8=x,移项、归并同类项得:﹣x=8,系数化为1得: x=﹣8.27.,去分母得:2x﹣(3x+1)=6﹣3(x﹣1),去括号得: 2x﹣3x﹣1=6﹣3x+3,移项、归并同类项得:2x=10,系数化为1得: x=5 28. 12﹣(x+5)=6x﹣2(x﹣1)12﹣x﹣5=6x﹣2x+2﹣x﹣6x+2x=2﹣12+5﹣5x=﹣5x=1;29.4(10﹣20x)﹣12=3(7﹣10x)40﹣80x﹣12=21﹣30x﹣80x+30x=21﹣40+12﹣50x=﹣7.30.去分母得:3(2x+1)﹣12=12x﹣(10x+1),去括号得:6x﹣9=2x﹣1,归并得: 4x=8,化系数为1得: x=2.31.去分母得:5(x﹣1)=20﹣2(x+2),去括号得: 5x﹣5=20﹣2x﹣4,移项归并得: 7x=21,系数化为1得: x=3.32.原方程可化为:去分母得:40x+60=5(18﹣18x)﹣3(15﹣30x),去括号得:40x+60=90﹣90x﹣45+90x,移项、归并得: 40x=﹣15,系数化为1得: x=33.原方程变形为:50(0.1x﹣0.2)﹣2(x+1)=3,5x﹣10﹣2x﹣2=3,3x=15,x=5.34.去分母得:2(2x﹣1)=6﹣3x,去括号得: 4x﹣2=6﹣3x,移项得: 4x+3x=8,系数化为1得: x=35. 方程两边同乘15,得3(x﹣3)﹣5(x﹣4)=15,整理,得 3x﹣9﹣5x+20=15,解得﹣2x=4,x=﹣2.36. 方程两边同乘1,得50(0.1x﹣0.2)﹣2(x+1)=3,整理,得 5x﹣10﹣2x﹣2=3,解得: 3x=15,∴x=537.去分母得:3y﹣18=﹣5+2(1﹣y),去括号得:3y﹣18=﹣5+2﹣2y,移项归并得: 5y=15,系数化为1得: y=3.38..解:去括号得:12﹣2y﹣2﹣3y=2,移项得:﹣2y﹣3y=2﹣12+2,归并同类项得:﹣5y=﹣8,系数化为1得:.39. 解:去分母得:3(2﹣x)﹣18=2x﹣(2x+3),去括号得:6﹣3x﹣18=2x﹣2x﹣3,移项得:﹣3x﹣2x+2x=﹣3﹣6+18(或﹣3x=﹣3﹣6+18),归并同类项得:﹣3x=9,系数化为1得:x=﹣340.去分母得:3x(x﹣1)﹣2(x+1)(x+6)﹣(x+1)(x﹣1)=6 去括号得:3x2﹣3x﹣2x2﹣14x﹣12﹣x2+1=6归并得:﹣17x=17化系数为1得:x=﹣141. 原式通分得:,整理得:,将其变形得:﹣x+3=6,∴x=﹣3.42. 原式变形为:x+3=,将其通分并整理得:10x﹣25+3x﹣6=15x+45,即﹣2x=76,∴x=﹣3843. 解:去分母得,3(x﹣7)﹣4(5x+8)=12,去括号得,3x﹣21﹣20x﹣32=12,移项归并同类项得,﹣17x=65,系数化为1得,x=;44. 解:去括号得,2x ﹣x+x ﹣=x ﹣,去分母得,24x﹣6x+3x﹣3=8x﹣8,移项归并同类项得,13x=﹣5,系数化为1得,x=﹣45.去分母得:15(x﹣1)﹣8(3x+2)=2﹣30(x﹣1),∴21x=63,∴x=346.去括号,得a ﹣﹣2﹣a=2,去分母,得a﹣4﹣6﹣3a=6,移项,归并得﹣2a=16,化系数为1,得a=﹣8;47. 去分母,得5(x﹣3)﹣2(4x+1)=10,去括号,得5x﹣15﹣8x﹣2=10,移项、归并得﹣3x=27,化系数为1,得x=﹣9;48. 把分母化为整数,得﹣=2,去分母,得5(10x+40)﹣2(10x﹣30)=20,去括号,得50x+200﹣20x+60=20,移项、归并得30x=﹣240,化系数为1,得x=﹣849. +1=解:去分母,得3x+6=2(2﹣x);去括号,得3x+6=4﹣2x移项,得3x+2x=4﹣6归并同类项,得5x=﹣2系数化成1,得x=﹣;50. 75%(x﹣1)﹣25%(x﹣4)=25%(x+6)解:将原方程等价为:0.75(x﹣1)﹣0.25(x﹣4)=0.25(x+6)去括号,得0.75x﹣0.75﹣0.25x+1=0.25x+1.5移项,得0.75x﹣0.25x﹣0.25x=1.5﹣1+0.75归并同类项,得0.25x=1.25系数化成1,得x=551. 去分母得:5(x﹣3)﹣2(4x+1)=10,去括号得:5x﹣15﹣8x﹣2=10,移项、归并得:﹣3x=27,系数化为1得:x=﹣9.52. 去括号得:2x﹣4﹣x+2=4,移项、归并得:x=6.53. 去分母得:12x﹣(2x+1)=12﹣3(3x﹣2),去括号得:12x﹣2x﹣1=12﹣9x+6,移项、归并得:19x=19,系数化为1得:x=154. 去括号得:x﹣1﹣3﹣x=2,移项,归并同类项得:﹣x=6,系数化为1得:x=﹣8.55 去分母得:18x+3(x﹣1)=18﹣2(2x﹣1),去括号得:18x+3x﹣3=18﹣4x+2,移项,归并得:25x=23,系数化为1得:x=.56. 去分母得:3x﹣7﹣2(5x+8)=4,去括号得:3x﹣7﹣10x﹣16=4,移项、归并得:﹣7x=27,系数化为1得:x=﹣.57. 去分母得:3(3x+5)=2(2x﹣1),去括号得:9x+15=4x﹣2,移项归并得:5x=﹣17,系数化为1得:;58. 去分母得:(5x+2)﹣2(x﹣3)=2,去括号得:5x﹣2x=﹣6+2﹣2,移项归并得:3x=﹣6,系数化为1得:x=﹣259.去小括号得:2x ﹣x+2=[x ﹣x ﹣],去中括号得:2x ﹣x+2=x ﹣x ﹣,去分母得:12x﹣4x+12=2x﹣3x﹣1,移项、归并得:9x=﹣13,系数化为1得:x=﹣60. ,去分母得3(x﹣15)=﹣15﹣5(x+7),∴3x﹣45=﹣15﹣5x﹣35,∴x=;61. ,方程变形为,去分母得20x﹣20x+30=﹣2x+6,∴x=﹣1262.去分母得:15x+5(x+2)=15﹣3(x﹣6)去括号得:15x+5x+10=15﹣3x+18移项得:15x+5x+3x=15+18﹣10归并得:23x=23系数化为1得:x=163.原方程可化为:﹣=,去分母得:4x+8﹣2(3x+4)=2(x﹣1),去括号得:4x+8﹣6x﹣8=2x﹣2,移项归并同类项得:﹣4x=﹣2,系数化为1得:x=64.原方程可化为:,去分母得:3(7x﹣1)=4(1﹣2x)﹣6(5x+1)去括号得:21x﹣3=4﹣8x﹣30x﹣6移项归并同类项得:59x=1 系数化为1得:x=65.去分母得:4(3x﹣2)﹣6=7x﹣4.去括号得:12x﹣8﹣6=7x﹣4.移项、归并同类项得:5x=10.系数化为1得:x=2.66.原方程能够化为:=+1去分母得: 2(2x﹣1)=3(x+2)+6去括号得: 4x﹣2=3x+6+6即 x=1467 去分母得:4(2x﹣1)﹣3(2x﹣3)=12,整理得:2x﹣7=0,解得:x=3.5.68. 去括号,,∴,∴x+1=2,解得:x=169.去分母得:6(4x+9)﹣15(x﹣5)=30+20x去括号得:24x+54﹣15x+75=30+20x移项,归并同类项得:﹣11x=﹣99化系数为1得:x=970. 去分母得:7(5﹣7x)=8(5x﹣2),去括号得:35﹣49x=40x﹣16,移项归并同类项得,﹣89x=﹣51,系数化为得:x=;71. 去括号得:3x+6﹣2x+3=5﹣4x,移项归并同类项得:5x=﹣4,系数化为得:x=﹣.72..去分母得:12x﹣2(5x﹣2)=24﹣3(3x+1),去括号得:12x﹣10x+4=24﹣9x﹣3,移项、归并得:11x=17,系数化为1得:x=.73.去分母得:6x﹣2(1﹣x)=(x+2)﹣6,去括号得:6x﹣2+2x=x+2﹣6,移项得:6x+2x﹣x=2﹣6+2,归并同类项得:7x=﹣2,系数化为得:x=74.去中括号得:(﹣1)﹣3﹣x=2,去括号、移项、归并得:﹣x=6,系数化为1得:x=﹣875. 去分母得:(2x+5)﹣24=3(3x﹣2),去括号得:8x+20﹣24=9x﹣6,移项得:8x﹣9x=﹣6﹣20+24,归并同类项得:﹣x=﹣2,系数化为1得:x=2.76.去括号得:x+++=1去分母得: x+1+6+56=64移项得: x=177.去分母得:3﹣(x﹣7)=12(x﹣10),去括号得:3﹣x+7=12x﹣120,移项、归并得:﹣13x=﹣130,系数化为1得:x=1078.去分母得:8﹣(7+3x)=2(3x﹣10)﹣8x 去括号得: 8﹣7﹣3x=6x﹣20﹣8x移项归并得:﹣x=﹣21系数化为1得: x=2179.去括号,得3(x ﹣)+1=5x,3x ﹣+1=5x,6x﹣3+2=10x,移项、归并同类项得:﹣4x=1,系数化为1得: x=80.4(2x﹣1)﹣12=3(5x﹣3)8x﹣4﹣12=15x﹣9﹣7x=7x=﹣1;81.5(3x﹣1)=2(4x+2)﹣1015x﹣5=8x+4﹣107x=﹣1x=﹣.82.去括号得,2(﹣1)﹣4﹣2x=3,x﹣2﹣4﹣2x=3,移项归并同类项得,﹣x=9,系数化为得, x=﹣983. 去括号得:x﹣2﹣3x+1=1﹣x,解得:x=﹣2.84. 原方程可化为:=﹣,去分母得:3(7x﹣1)=4(1﹣0.2x)﹣6(5x+1),去括号得:21x﹣1=4﹣0.8x﹣30x﹣6,移项、归并同类项得:51.8x=﹣1,系数化为1得:x=85.原方程化为:﹣=,整理得: 12x=6,解得: x=86.原式变形为:+=1,把小数化为分数、整理得:,去分母得:4(4﹣x)=12﹣(2x﹣6),去括号得16﹣4x=12﹣2x+6,移项、归并得:﹣2x=2,系数化为1得:x=﹣187.去大括号,得:,去中括号得:,去小括号得:=0,移项得:y=3,系数化1得:y=688..原方程化为:(1分)去分母得:3(5x+9)+5(x﹣5)=5(1+2x)化简得:10x=3解得:.89.去分母得:5(3x+2)﹣15=3(7x﹣3)+2(x﹣2)去括号得:15x+10﹣15=21x﹣9+2x﹣4移项归并得:﹣8x=﹣8系数化为1得:x=190.去分母得:2(2x﹣5)+3(3﹣x)=12,去括号得:4x﹣10+9﹣3x=12,移项、归并得:x=1391. 解:,,6x﹣3x+3=8x﹣8,6x﹣3x﹣8x=﹣8﹣3,﹣5x=﹣1,.92. 解:3(2x﹣1)=4(x﹣5)+12,6x﹣3=4x﹣20+12,6x﹣4x=﹣20+12+3,2x=﹣5,93.去分母得:4×3x﹣5(1.4﹣x)=2去括号得:12x﹣7+5x=0.2移项、归并得:17x=9系数化为1,得x=94.去分母得:2(3x﹣2)+10=5(x+3),去括号得:6x﹣4+10=5x+15,移项、归并同类项得:6x﹣5x=15﹣6,化系数为1得:x=995. 去分母,得3(x﹣3)﹣4(5x﹣4)=18,去括号,得3x﹣9﹣20x+16=18,移项、归并同类项,得﹣17x=11,系数化为1,得x=﹣;96. 去分母,得3(x+1)﹣12=2(2x﹣1),去括号,得3x+3﹣12=4x﹣2,移项、归并同类项,得﹣x=7,系数化为1,得x=﹣797.原方程可化为:(8x﹣3)﹣(25x﹣4)=12﹣10x,去括号得:8x﹣3﹣25x+4=12﹣10x,移项、归并同类项得:﹣7x=11,系数化为1得:x=98. 去分母得:4(2x+4)﹣6(4x﹣3)=3,去括号得:8x+16﹣24x+18=3,移项,归并同类项得:﹣16x=﹣31,系数化为1得:x=;99. 去中括号得:(x﹣1)﹣2=2x﹣5,去小括号得:x﹣1﹣2=2x﹣5,移项、归并同类项得:x=2100..把中分子,分母都乘以5得:5x﹣20,把中的分子、分母都乘以20得:20x﹣60.即原方程可化为:5x﹣20﹣2.5=20x﹣60.移项得:5x﹣20x=﹣60+20+2.5,归并同类项得:﹣15x=﹣37.5,化系数为1得:x=2.5。
七年级一元一次方程经典题型计算题100道解方程(等式的性质)1.x-2=3-2x2.3x-1.3x+5x-2.7x=-12*3-6*43.-x=1-2x4.5=5-3x5.x-5=16.5-3x=8x+17.7x=3+2x8.x-3x-1.2=4.8-5x9.3x-7+4x=6x-210.11x+64-2x=100-9x11.x-7+8x=9x-3-4x12.2x-x+3=1.5-2x13.0.5x-0.7=6.5-1.3x14.-4x+6x-0.5x=-315.-x=-2/5x+116.x-6=-3/5x+317.3/2x=2/318.x=1+x^2/2-x^4/8+1619.x^4/2-1/2=x^2/2+3/420.-x^2/3+x=1解方程(去括号)1.2x-2=42.10x-10=53.-x+3=5x+94.3x-6+1=x-2x+15.5x+10=10x-26.2x-2-x-2=12-3x7.4x+3=2x-2+18.4x+2x-4=12-x9.2x-4-24x+6=3-3x10.4x-8-15x+3=9-x11.1-4x-6=-6x-312.x+1-2x+2=1-3x13.4x-60-3x+21=6x-63-7x14.2x-4=-x-315.4x-8+2x=7+x16.2x-5x-16=3-6x+817.-3x+6+1=4x-2x+118.4x+2x-4=12-x-419.2x-4-12x+3=9-9x20.2y+4-12y+3=9-9y21.4x-60-3x+21=6x-63-7x22.2{3[4(5x-1)-8]-20}-7=123.x-2[x-3(x+4)-5]=3{2x-[x-8(x-4)]}-224.x-(x-1)/(2)=(x-1)/(2)25.2x-x-(x-1)=(x-1)/(2)26.(x-1)/3-2[x-1(1/4/5)]+4=127.(x-1)^(-1)=1/21、解方程:1128、6(x-4)+2x=7-(x-1) 化简得:8x-22=7移项得:8x=29解得:x=29/82、解方程:1/5x-(1/2)(3-2x)=1/23 化简得:2x+15=46-5x移项得:7x=31解得:x=31/73、解方程:2-(2/3)x=4化简得:(2/3)x=-2移项得:x=-34、解方程:|x+5|=5分两种情况讨论:当x+5=5时,解得:x=0当x+5=-5时,解得:x=-10 5、解方程:6(x-4)+2x=7-(x-1) 化简得:8x-22=7移项得:8x=29解得:x=29/86、解方程:(3x-6)/(2/5x-3)=1 化简得:(3x-6)/(2/5x-3)=1移项得:3x-6=2/5x-3移项得:13/5x=3解得:x=15/137、解方程:(x+1)/2-(x+1)/6=1 化简得:(3/6)x+1/2-1=1化简得:(3/6)x=1/2解得:x=18、解方程:2x-11/(0.5x-3)=-6 化简得:(2x-11)/(0.5x-3)=-6 移项得:2x-11=-3x+18移项得:5x=29解得:x=29/59、解方程:0.1x+0.2x/(1-0.3x)=1/0.5-0.2 化简得:0.1x+0.2x/(1-0.3x)=1.25移项得:0.1x(1-0.3x)+0.2x=1.25(1-0.3x) 化简得:0.1x+0.26x-0.375x^2=1.25移项得:-0.375x^2+0.36x-1.25=0解得:x=5/310、解方程:(5-3x)^2=3(3+5x)化简得:25-30x+9x^2=9+15x移项得:9x^2-45x+16=0解得:x=(45±√(45^2-4*9*16))/(2*9)化简得:x=(15±(33))/6解得:x=8/3或x=1/311、解方程:(x-3)/0.2-(2x+5)/0.3=1.6 化简得:1.5x-7.5-6.667x-11.667=1.6 移项得:-5.167x=20.767解得:x=-412、解方程:(2x+1)/4-(x+1)/2=2化简得:0.5x-0.25=2移项得:0.5x=2.25解得:x=4.513、解方程:(y+4)/3-y+5=2-(y-2)/2 化简得:(y+4)/3-y+5=2-(y-2)/2移项得:(y+4)/3+(y-2)/2=3化简得:(2y+8+3y-6)/6=3解得:y=214、解方程:(y-1)/2=2-(y+2)/5化简得:5(y-1)=2(10-3y-6)移项得:8y=33解得:y=33/815、解方程:(x-1)/4+1=2-(x+3)/6化简得:(x-1)/4+(x+3)/6=1化简得:3(x-1)+2(x+3)=12移项得:5x=13解得:x=13/516、解方程:(x-1)/3=(x+1)/5化简得:5(x-1)=3(x+1)移项得:2x=8解得:x=417、解方程:(x-1)/3+1=2-(x+1)/5 化简得:(x-1)/3+(x+1)/5=1化简得:5(x-1)+3(x+1)=15移项得:8x=28解得:x=7/218、解方程:(x-2)/3=(x+2)/4 化简得:4(x-2)=3(x+2)移项得:x=1419、解方程:(1-x^4)-1=(x+1)/2 化简得:-x^4+(x+3)/2=0移项得:x^4-(x+3)/2=0解得:x=-1或x=√220、解方程:(x-1)/3-1=3-(2-x)/2化简得:(x-1)/3+(2-x)/2=4化简得:2(x-1)+3(2-x)=24移项得:-x=5解得:x=-521、解方程:5x-13x^2/4=1/2-(2-x)/3 化简得:20x-39x^2=6-4+2x移项得:39x^2-18x=-2解得:x=2/3或x=-2/1322、解方程:5x+1/6=9x+1/8-(1-x)/3化简得:15x+2=72x+3-(8-24x)/3化简得:45x+6=216x+9+8-24x移项得:-24x=11解得:x=-11/2423、解方程:2x+1/3-(x+2)/6=1/4化简得:12x+4-2(x+2)=3移项得:10x=1解得:x=1/1024、解方程:3x+2(2x-1)/5-1=4-(x+1)/5 化简得:15x+4(2x-1)-5=20-x-1移项得:32x=31解得:x=31/3225、解方程:3x-(2x-1)^2/2=2-(x-2)/5 化简得:6x-(2x-1)^2=20-2(x-2)化简得:6x-4x^2+4x-1=20-2x+4移项得:4x^2-8x+15=0解得:无实数解26、解方程:x-(x-1)^2/2=2-(x+2)/3 化简得:6x-3(x-1)^2=12-(x+2)2化简得:6x-3x^2+6x-6=12-x^2-4x-4移项得:2x^2-16x+22=0解得:x=4-√6或x=4+√627、解方程:x-2=-2x+1/2化简得:3x=5/2解得:x=5/628、解方程:4x-1/3=5x+5/6化简得:3x=11/6解得:x=11/1829、解方程:3x+(x-1)/(x+1)=4-2(x-1) 化简得:3x+((x-1)(x+1))/(x+1)=4-2x+2化简得:3x+(x^2-1)/(x+1)=6-2x化简得:3x(x+1)+(x^2-1)=6x-2x(x+1)化简得:4x^2+5x-1=0解得:x=-1或x=1/430、解方程:x-2x/(x+5/3)=31/3化简得:(x^2+5x/3-2x)/x+5/3=31/3化简得:(x^2-1/3x-31)/x+5/3=0移项得:x^2-1/3x-31=0解得:x=(1/3+√397)/2或x=(1/3-√397)/2 31、解方程:2(x+2)/3-5(x+3)/6=2/3化简得:4(x+2)-5(x+3)=4移项得:-x=1解得:x=-132、解方程:x-2x/(x-2)=5/2化简得:(x^2-2x-5)/x-2=0移项得:x^2-2x-5=0解得:x=1+√6或x=1-√633、解方程:(0.8-9x)/(1.3-3x)+5x-0.4=1.3 化XXX:(0.8-9x)/(1.3-3x)+5x=1.7化简得:0.8-9x+5x(1.3-3x)=1.7(1.3-3x)化简得:-15x^2+10x+23=0解得:x=(-1±√(1-4*(-15)*23))/(2*(-15)) 化简得:x=(-1±√1381)/3034、解方程:(x-1)^2/4+(x-4)^3/27=2 化简得:27(x-1)^2+4(x-4)^3=216移项得:4(x-4)^3=216-27(x-1)^2解得:x=235、解方程:19x-2/x-6-2=0化简得:19x^2-2x-6=0解得:x=1/19或x=336、解方程:1.8-8x/1.2-1.3-3x/(5x-0.4)=1.3化简得:(1.8-8x)(5x-0.4)-(1.3-3x)(1.2-1.3)=1.3(1.2-1.3)(5x-0.4)化简得:-39x^2+31x+6=0解得:x=(1±√(1-4*(-39)*6))/(2*(-39))化简得:x=(1±√937))/7837、解方程:(x+1)^2/4+(x-4)^3/27=2化简得:27(x+1)^2+4(x-4)^3=216移项得:4(x-4)^3=216-27(x+1)^2解得:x=238、将分式化简:frac{0.1x-0.27x+0.18}{2.04}=\frac{x+4}{139}小幅度改写:化简分式得:frac{-0.17x+0.18}{2.04}=\frac{x+4}{139} 41、将方程移项并通分:frac{x^3-1}{2}+\frac{x-1}{2}=0小幅度改写:移项并通分得:frac{x^3+x-2}{2}=042、将方程通分并移项:frac{(y+1)^2}{2}=\frac{y(3-y)-3}{6}小幅度改写:通分并移项得:2y^2+2y-9=043、将方程通分并移项:frac{(x-2)^2}{2}-\frac{3(x-2)}{4}=-1小幅度改写:通分并移项得:2x^2-11x+12=044、将方程通分并移项:frac{x^5+112}{2}-\frac{6(x-4)}{3}=1小幅度改写:通分并移项得:2x^5-3x+70=045、将方程通分并移项:frac{x-4}{x-3}-\frac{2.5}{x-3000}=10\cdot\frac{60}{64}小幅度改写:通分并移项得:frac{-61x+}{64(x-3)(x-3000)}=7549、将方程通分并移项:frac{0.1x}{0.7}-\frac{0.03}{0.7}=\frac{0.9}{0.7}-0.2x-150小幅度改写:通分并移项得:14x+300=0。
七年级一元一次方程计算题一、简单的一元一次方程求解(1 - 10题)1. x + 5 = 12- 解析:方程两边同时减去5,得到x+5 - 5=12 - 5,即x = 7。
2. 2x-3 = 7- 解析:首先方程两边同时加上3,得到2x - 3+3=7 + 3,即2x=10。
然后方程两边同时除以2,2x÷2 = 10÷2,解得x = 5。
3. 3(x + 1)=18- 解析:先使用分配律将括号展开,得到3x+3 = 18。
方程两边同时减去3,3x+3 - 3=18 - 3,即3x = 15。
最后方程两边同时除以3,3x÷3=15÷3,解得x = 5。
4. (x)/(2)+1 = 3- 解析:方程两边同时减去1,得到(x)/(2)+1 - 1=3 - 1,即(x)/(2)=2。
然后方程两边同时乘以2,(x)/(2)×2 = 2×2,解得x = 4。
5. 4x-2x+3 = 7- 解析:先合并同类项,4x-2x = 2x,方程变为2x+3 = 7。
方程两边同时减去3,2x+3 - 3=7 - 3,即2x = 4。
最后方程两边同时除以2,2x÷2 = 4÷2,解得x = 2。
6. 5(x - 2)=3x- 解析:先展开括号,得到5x-10 = 3x。
方程两边同时减去3x,5x-3x - 10=3x - 3x,即2x-10 = 0。
方程两边同时加上10,2x-10 + 10=0 + 10,即2x = 10。
最后方程两边同时除以2,2x÷2 = 10÷2,解得x = 5。
7. (2x + 1)/(3)=3- 解析:方程两边同时乘以3,得到2x + 1=9。
方程两边同时减去1,2x+1 - 1=9 - 1,即2x = 8。
最后方程两边同时除以2,2x÷2 = 8÷2,解得x = 4。
8. 3x+5 = 2x - 1- 解析:方程两边同时减去2x,3x - 2x+5 = 2x - 2x-1,即x+5=-1。
新人教版七年级一元一次解方程计算题100道经典题型全部新人教版七年级一元一次解方程计算题100道经典题型(全部)一、解方程(移项与合并同类项)20分1、x-2=3-2x2、3x-1.3x+5x-2.7x=-12×3-6×43、-x=1-2x4、5=5-3x5、x-5=16、5-3x=8x+17、7x=3+2x8、x-3x-1.2=4.8-5x9、3x-7+4x=6x-210、11x+64-2x=100-9x11、x-7+8x=9x-3-4x12、2x-x+3=1.5-2x13、0.5x-0.7=6.5-1.3x14、-4x+6x-0.5x=-0.315、-x=-x+1/516、x-6=-x+3/517、(32/23)x=1/418、x=1+2/319、(x/3)+(1/x)=2/2420、x-2x=1-(2/3)x二、解方程(去括号)30分1、2(x-1)=42、10(x-1)=53、-(x-3)=5x+94、3(x-2)+1=x-(2x-1)5、5(x+2)=2(5x-1)6、2(x-1)-(x+2)=3(4-x)7、4x+3=2(x-1)+18、(x+1)-2(x-1)=1-3x9、2(x-2)-6(4x-1)=3(1-x)10、4(x-2)-3(5x-1)=9(1-x)11、1-2(2x+3)=-3(2x+1)12、(x+1)-2(x-1)=1-3x13、4x-3(20-x)=6x-7(9-x)14、2(x-2)=-(x+3)15、2(x-4)+2x=7-(x-1)16、2x-(5x+16)=3-2(3x-4)17、-3(x-2)+1=4x-(2x-1)18、4x+2(x-2)=12-(x+4)19、2(x-2)-3(4x-1)=9(1-x)20、2(y+2)-3(4y-1)=9(1-y)21、4x-3(20-x)=6x-7(9-x)22、2{3[4(5x-1)-8]-20}-7=123、x-(x-1)=(x-1)24、(2/3)x-1/2=1/225、(2/3)x-1/2=1/426、(1/3)[(x-1)/(4/5)]-6+4=127、(x-1)^2=228、6(x-4)+2x=7-(x-1)1.232.113.解方程(去分母)50分3x-6) = x-35y-17/63 = 2x+1)/x+1 = 132x-1)(10x+1) = -364x-2)/(x+2) = 2-55x^2)/(2x-3) = 262x)/(2x+1) = -17x-10)/(x-6) = 80.1x+0.2x)/(1-0.3x) = 195-3x)/(3-5x) = 10x-3)/(2x+5) = -1.6112x+1)/(x+1) = 212y+4)/(y-2) - (y+5)/(y-2) = 2-13 y-1)/(y+2) = 2-14x-1)/(x+3) + 1 = 2-15x-1)/(x+1) = 16x-1)/(x+1) + 1 = 2-17x-2)/(x+2) = 181-x)/(x+1) - 1 = 19x-1)/(2-x) - 1 = 3-205x-13)/(x+2) - 12/(x-1) = -215x+19)/(x+2) + 11/(x-1) = -222x+1)/(x+2) - 123 = 03x+2)/(2x-1) - 1 = -243x-2/(x-2) - 5/(x+3) = 2-25x-1)/(x+2) = 2-26x-2/(3x-2) = -(2x-3) - 274x-15/x+5 = 28x-1)/(x+1) - 2x-1/(x-1) = -293x+243/(x-2)(x+3) - (2x-3)/(2x-5) + 3 = 30 2/(x+2) - 5/(x+3) = 2317x-15/13x+2 = 2-320.8-9x/1.3-3x + 5x-1 = 33x+1)/(x-4) + 2 = 3419x-2 = 351.8-8x/1.3-3x + 5x-0.4 = 36x-4/(x-3)(x-1) = x-2/x = 3738.0.1x-0.27x+0.18 = 1x+4)/(x+3) - (x-5)/(x-2) = 532/41140.-7x = 341.x = -1/242.y+1/y-1 = -y/643.x-2/(3x-2) = -144.x^2+5x-4/(2x-4) = -145.x-4/x-3 = -2.5/2.051.题目未给出具体内容,无需改写。
一元一次方程练习题(一)1、2x-3=-22、1-(2x+3)= -311、7x+x+12=0 12、2x+4x+4=013、8x+3x+1=0 14、5x+3x+2=015、45x+3x+96 =0 16、4543+=-x x17、5x+3x=8 18、3x+1=2x19、x-7=6x+2 20、5x+1=9一元一次方程练习题(二)1、9x+8=262、55x+54=-13、23+58x=814、29x-66=215、0.4(x-1)+1.5=0.7x+0.56、30x-10(10-x)=1007、4(x+2)=5(x-2) 8、120-4(x+5)=259、15x+29-65x=54 10、()()12123--=+-x x x17、25211xx =-- 18、9x-6-18-x=2x19.2(x-2)+2=-4 20.(x-1)+(x-2)=-3一元一次方程练习题(三)1.今年母女二人年龄之和53,10年前母女二人年龄之和是 ,已知10年前母亲的年龄是女儿年龄的10倍,如果设10年前女儿的年龄为x ,则可列方程 。
2. 如果21m x -+8=0是一元一次方程,则m= 。
3. 若3x -的倒数等于12,则x-1= 。
4. 如果方程340x +=与方程3418x k +=是同解方程,则k= 。
5. 若52x +与29x -+是相反数,则x-2的值为 。
6. 一种药品现在售价56.10元,比原来降低了15%,问原售价为__________元.7. 有两桶水,甲桶有水180升,乙桶有水150升,要使甲桶水的体积是乙桶水的体积的两倍,则应由乙桶向甲桶倒 升水。
8. 小李在解方程5a-x=13(x 为未知数)时,误将-x 看+x ,解得方程的解x=-2,则原方程的解为___________________________.9.单项式-2xa-1与12x—a+1为同类项则a= .10. 有一棵树,刚移栽时,树高为2m ,假设以后平均每年长0.3m ,几年后树高为5m ?11. 环形跑道一周长400m ,沿跑道跑多少周,可以跑3000m?12.国庆期间,“重客隆”綦江店搞促销活动,小军买了一件衣服,按8折销售的售价为88元,问这件衣服的原价是多少元?13.甲种铅笔每枝0.3元,乙种铅笔每枝0.6元,用9元钱买了两种铅笔共20枝,两种铅笔各买了多少枝?14.x取什么数时,3x-2的是x-4的相反数?15.某工厂计划26小时生产一批零件,后因每小时多生产5件,用24小时,不但完成了任务,而且还比原计划多生产了60件,问原计划生产多少零件?16.甲、乙两车分别从相距360千米的两地相向开出,已知甲车速度60千米/时,乙车速度40千米/时,若甲车先开1个小时,问乙车开出多少小时后两车相遇?。
解一元一次方程专项练习100题1..2.=﹣2;3.﹣2=.4.5..6.x ﹣=2﹣.7.8..9.10.11.﹣6x=﹣x+1;12.y ﹣(y﹣1)=(y﹣1);13.[(x ﹣)﹣8]=x+1;14..15.﹣=1.16.17.2﹣=﹣.18.﹣1=﹣.19..20..21.22..23.;24..25..26.27..28.2﹣=x ﹣;29.﹣1=.30..31.(x﹣1)=2﹣(x+2).32..33.34.35.;36..37..38.39.40.41.42.x ﹣43.;44..45.(x﹣1)﹣(3x+2)=﹣(x﹣1).46.;47.;48..49.+1=;50.75%(x﹣1)﹣25%(x﹣4)=25%(x+6)51.52.53.54.55.56.57.;58..59.2x ﹣(x﹣3)=[x ﹣(3x+1)].60.61.62.x+=1﹣63..64.65.﹣=.66.=67.68.69.70.=;71.3(x+2)﹣2(x ﹣)=5﹣4x.72.2x ﹣73.74.[(﹣1)﹣2]﹣x=2.75.﹣1=.76.,77..78.79.80.;81..82.83.84.85.﹣=.86.=1﹣.87.88..89..90..91.92.;93..94..95.;96..97..98.;99.[(x﹣1)﹣3]=2x﹣5;100..解一元一次方程100题难题解析1.去分母得:3(2﹣x)﹣18=2x﹣(2x+3),去括号得:6﹣3x﹣18=﹣3,移项合并得:﹣3x=9,∴x=﹣32.去分母得,3(x﹣1)=4(2x﹣1)﹣24,去括号得,3x﹣3=8x﹣4﹣24,移项、合并同类项得,5x=25,系数化为1得,x=5;3.原方程变形为:﹣2=,去分母得,4(2x﹣1)﹣24=3(10x﹣10),去括号得,8x﹣4﹣24=30x﹣30,移项、合并同类项得,22x=2,系数化为1得,x=4.去分母得,7(1.7﹣2x)=3x﹣2.1 去括号,11.9﹣14x=3x﹣2.1移项合并同类项得,﹣17x=﹣14系数化为1得,x=.5.原方程变形成5(3x+1)﹣20=3x﹣2﹣2(2x+3)15x﹣15=﹣x﹣816x=7∴6.去分母得:6x﹣3(x﹣1)=12﹣2(x+2)去括号得:6x﹣3x+3=12﹣2x﹣4移项得:6x﹣3x+2x=12﹣4﹣3合并得:5x=5系数化为1得:x=1.7.去分母得:5(4﹣x)=3(x﹣3)﹣15,化简可得:2x=11,系数化1得:x=8.原式可变形为:3(3y﹣1)﹣12=2(5y﹣7)去括号得:9y﹣3﹣12=10y﹣14移项得:9y﹣10y=﹣14+12+3合并得:﹣y=1系数化1得:y=﹣19.原方程分母化整得:去分母,得5(x+4)﹣2(x﹣3)=1.6,去括号,得5x+20﹣2x+6=1.6,移项、合并同类项,得15x=﹣122,系数化1,得x=10.去分母得:4(x+1)=5(x+1)﹣6,去括号得:4x+4=5x+5﹣6,移项、合并得:﹣x=﹣5,系数化为1得:x=5.11.移项,合并得x=,化系数为1,得x=;12.去分母,得6y﹣3(y﹣1)=4(y﹣1),去括号,得6y﹣3y+3=4y﹣4,移项,合并得y=7;13.去括号,得(x ﹣)﹣6=x+1,x ﹣﹣6=x+1,移项,合并得x=;14.原方程变形为﹣1=,去分母,得2(2﹣10x)﹣6=3(1+10x),去括号,得4﹣20x﹣6=3+30x,移项,合并得﹣50x=5,化系数为1,得x=﹣.15.去分母得:3(x﹣7)+4(5x﹣6)=12,去括号得:3x﹣21+20x﹣24=12,移项得:3x+6x=12+21+24,合并同类项得:9x=57,化系数为1得:x=16.去分母:6(x﹣3)+4(6﹣x)=12+3(1+2x),去括号:6x﹣18+24﹣4x=12+3+6x,移项:6x﹣4x﹣6x=12+3+18﹣24,化简:﹣4x=9,化系数为1:x=﹣.17.去分母得:12﹣2(2x﹣4)=﹣(x﹣7),去括号得:12﹣4x+8=﹣x+7,移项得:﹣4x+x=7﹣20,合并得:﹣3x=﹣13,系数化为1得:x=.18.去分母得:3(2x+1)﹣12=4(2x﹣1)﹣(10x+1),去括号得:6x+3﹣12=8x﹣4﹣10x﹣1,移项合并同类项得:8x=4,系数化为得:x=19.去分母得:2(5x﹣7)+12=3(3x﹣1)去括号得:10x﹣14+12=9x﹣3移项得:10x﹣9x=﹣3+14﹣12系数化为1得:x=﹣120.去分母得:3(3x+4)﹣2(6x﹣1)=6 去括号得:9x+12﹣12x+2=6移项、合并同类项得:﹣3x=﹣8系数化为1得:x=21.去分母得:6(x+4)﹣30x+150=10(x+3)﹣15(x﹣2)去括号得:6x+24﹣30x+150=10x+30﹣15x+30移项、合并得:﹣19x=﹣114化系数为1得:x=6.22.去分母得:4(2x﹣1)﹣3(3x﹣1)=24,去括号得:8x﹣4﹣9x+3=24,移项合并得:﹣x=25,化系数为1得:x=﹣2523.原方程可以变形为:5x﹣10﹣2(x+1)=3,5x﹣10﹣2x﹣2=3,3x=15,x=5;24.原方程可以变形为[x ﹣(x ﹣x+)﹣]=x+,(x ﹣x+x ﹣﹣)=x+,(x ﹣)=x+,,,x=﹣25.﹣=﹣12(2x﹣1)﹣(5﹣x)=3(x+3)﹣6 2x=10x=526.去括号得:x ﹣﹣8=x,移项、合并同类项得:﹣x=8,系数化为1得:x=﹣8.27.,去分母得:2x﹣(3x+1)=6﹣3(x﹣1),去括号得:2x﹣3x﹣1=6﹣3x+3,移项、合并同类项得:2x=10,系数化为1得:x=528.12﹣(x+5)=6x﹣2(x﹣1)12﹣x﹣5=6x﹣2x+2﹣x﹣6x+2x=2﹣12+5 ﹣5x=﹣5x=1;29.4(10﹣20x)﹣12=3(7﹣10x)40﹣80x﹣12=21﹣30x﹣80x+30x=21﹣40+12﹣50x=﹣7.30.去分母得:3(2x+1)﹣12=12x﹣(10x+1),去括号得:6x﹣9=2x﹣1,合并得:4x=8,化系数为1得:x=2.31.去分母得:5(x﹣1)=20﹣2(x+2),去括号得:5x﹣5=20﹣2x﹣4,移项合并得:7x=21,系数化为1得:x=3.32.原方程可化为:去分母得:40x+60=5(18﹣18x)﹣3(15﹣30x),去括号得:40x+60=90﹣90x﹣45+90x,移项、合并得:40x=﹣15,系数化为1得:x=33.原方程变形为:50(0.1x﹣0.2)﹣2(x+1)=3,5x﹣10﹣2x﹣2=3,3x=15,x=5.34.去分母得:2(2x﹣1)=6﹣3x,去括号得:4x﹣2=6﹣3x,移项得:4x+3x=8,系数化为1得:x=35.方程两边同乘15,得3(x﹣3)﹣5(x﹣4)=15,整理,得3x﹣9﹣5x+20=15,解得﹣2x=4,x=﹣2.36.方程两边同乘1,得50(0.1x﹣0.2)﹣2(x+1)=3,整理,得5x﹣10﹣2x﹣2=3,解得:3x=15,∴x=537.去分母得:3y﹣18=﹣5+2(1﹣y),去括号得:3y﹣18=﹣5+2﹣2y,移项合并得:5y=15,系数化为1得:y=3.38..解:去括号得:12﹣2y﹣2﹣3y=2,移项得:﹣2y﹣3y=2﹣12+2,合并同类项得:﹣5y=﹣8,系数化为1得:.39.解:去分母得:3(2﹣x)﹣18=2x﹣(2x+3),去括号得:6﹣3x﹣18=2x﹣2x﹣3,移项得:﹣3x﹣2x+2x=﹣3﹣6+18(或﹣3x=﹣3﹣6+18),合并同类项得:﹣3x=9,系数化为1得:x=﹣340.去分母得:3x(x﹣1)﹣2(x+1)(x+6)﹣(x+1)(x﹣1)=6去括号得:3x2﹣3x﹣2x2﹣14x﹣12﹣x2+1=6合并得:﹣17x=17化系数为1得:x=﹣141.原式通分得:,整理得:,将其变形得:﹣x+3=6,∴x=﹣3.42.原式变形为:x+3=,将其通分并整理得:10x﹣25+3x﹣6=15x+45,即﹣2x=76,∴x=﹣3843.解:去分母得,3(x﹣7)﹣4(5x+8)=12,去括号得,3x﹣21﹣20x﹣32=12,移项合并同类项得,﹣17x=65,系数化为1得,x=;44.解:去括号得,2x﹣x+x﹣=x ﹣,去分母得,24x﹣6x+3x﹣3=8x﹣8,移项合并同类项得,13x=﹣5,系数化为1得,x=﹣45.去分母得:15(x﹣1)﹣8(3x+2)=2﹣30(x﹣1),∴21x=63,∴x=346.去括号,得a ﹣﹣2﹣a=2,去分母,得a﹣4﹣6﹣3a=6,移项,合并得﹣2a=16,化系数为1,得a=﹣8;47.去分母,得5(x﹣3)﹣2(4x+1)=10,去括号,得5x﹣15﹣8x﹣2=10,移项、合并得﹣3x=27,化系数为1,得x=﹣9;48.把分母化为整数,得﹣=2,去分母,得5(10x+40)﹣2(10x﹣30)=20,去括号,得50x+200﹣20x+60=20,移项、合并得30x=﹣240,化系数为1,得x=﹣849.+1=解:去分母,得3x+6=2(2﹣x);去括号,得3x+6=4﹣2x移项,得3x+2x=4﹣6合并同类项,得5x=﹣2系数化成1,得x=﹣;50.75%(x﹣1)﹣25%(x﹣4)=25%(x+6)解:将原方程等价为:0.75(x﹣1)﹣0.25(x﹣4)=0.25(x+6)去括号,得0.75x﹣0.75﹣0.25x+1=0.25x+1.5移项,得0.75x﹣0.25x﹣0.25x=1.5﹣1+0.75合并同类项,得0.25x=1.25系数化成1,得x=551.去分母得:5(x﹣3)﹣2(4x+1)=10,去括号得:5x﹣15﹣8x﹣2=10,移项、合并得:﹣3x=27,系数化为1得:x=﹣9.52.去括号得:2x﹣4﹣x+2=4,移项、合并得:x=6.53.去分母得:12x﹣(2x+1)=12﹣3(3x﹣2),去括号得:12x﹣2x﹣1=12﹣9x+6,移项、合并得:19x=19,系数化为1得:x=154.去括号得:x﹣1﹣3﹣x=2,移项,合并同类项得:﹣x=6,系数化为1得:x=﹣8.55去分母得:18x+3(x﹣1)=18﹣2(2x﹣1),去括号得:18x+3x﹣3=18﹣4x+2,移项,合并得:25x=23,系数化为1得:x=.56.去分母得:3x﹣7﹣2(5x+8)=4,去括号得:3x﹣7﹣10x﹣16=4,移项、合并得:﹣7x=27,系数化为1得:x=﹣.57.去分母得:3(3x+5)=2(2x﹣1),去括号得:9x+15=4x﹣2,移项合并得:5x=﹣17,系数化为1得:;58.去分母得:(5x+2)﹣2(x﹣3)=2,去括号得:5x﹣2x=﹣6+2﹣2,移项合并得:3x=﹣6,系数化为1得:x=﹣259.去小括号得:2x﹣x+2=[x ﹣x ﹣],去中括号得:2x﹣x+2=x﹣x ﹣,去分母得:12x﹣4x+12=2x﹣3x﹣1,移项、合并得:9x=﹣13,系数化为1得:x=﹣60.,去分母得3(x﹣15)=﹣15﹣5(x+7),∴3x﹣45=﹣15﹣5x﹣35,∴x=;61.,方程变形为,去分母得20x﹣20x+30=﹣2x+6,∴x=﹣1262.去分母得:15x+5(x+2)=15﹣3(x﹣6)去括号得:15x+5x+10=15﹣3x+18移项得:15x+5x+3x=15+18﹣10合并得:23x=23系数化为1得:x=163.原方程可化为:﹣=,去分母得:4x+8﹣2(3x+4)=2(x﹣1),去括号得:4x+8﹣6x﹣8=2x﹣2,移项合并同类项得:﹣4x=﹣2,系数化为1得:x=64.原方程可化为:,去分母得:3(7x﹣1)=4(1﹣2x)﹣6(5x+1)去括号得:21x﹣3=4﹣8x﹣30x﹣6移项合并同类项得:59x=1系数化为1得:x=65.去分母得:4(3x﹣2)﹣6=7x﹣4.去括号得:12x﹣8﹣6=7x﹣4.移项、合并同类项得:5x=10.系数化为1得:x=2.66.原方程可以化为:=+1去分母得:2(2x﹣1)=3(x+2)+6去括号得:4x﹣2=3x+6+6即x=1467去分母得:4(2x﹣1)﹣3(2x﹣3)=12,整理得:2x﹣7=0,解得:x=3.5.68.去括号,,∴,∴x+1=2,解得:x=169.去分母得:6(4x+9)﹣15(x﹣5)=30+20x 去括号得:24x+54﹣15x+75=30+20x移项,合并同类项得:﹣11x=﹣99化系数为1得:x=970.去分母得:7(5﹣7x)=8(5x﹣2),去括号得:35﹣49x=40x﹣16,移项合并同类项得,﹣89x=﹣51,系数化为得:x=;71.去括号得:3x+6﹣2x+3=5﹣4x,移项合并同类项得:5x=﹣4,系数化为得:x=﹣.72..去分母得:12x﹣2(5x﹣2)=24﹣3(3x+1),去括号得:12x﹣10x+4=24﹣9x﹣3,移项、合并得:11x=17,系数化为1得:x=.73.去分母得:6x﹣2(1﹣x)=(x+2)﹣6,去括号得:6x﹣2+2x=x+2﹣6,移项得:6x+2x﹣x=2﹣6+2,合并同类项得:7x=﹣2,系数化为得:x=74.去中括号得:(﹣1)﹣3﹣x=2,去括号、移项、合并得:﹣x=6,系数化为1得:x=﹣875.去分母得:(2x+5)﹣24=3(3x﹣2),去括号得:8x+20﹣24=9x﹣6,移项得:8x﹣9x=﹣6﹣20+24,合并同类项得:﹣x=﹣2,系数化为1得:x=2.76.去括号得:x+++=1去分母得:x+1+6+56=64移项得:x=177.去分母得:3﹣(x﹣7)=12(x﹣10),去括号得:3﹣x+7=12x﹣120,移项、合并得:﹣13x=﹣130,系数化为1得:x=1078.去分母得:8﹣(7+3x)=2(3x﹣10)﹣8x 去括号得:8﹣7﹣3x=6x﹣20﹣8x移项合并得:﹣x=﹣21系数化为1得:x=2179.去括号,得3(x﹣)+1=5x,3x﹣+1=5x,6x﹣3+2=10x,移项、合并同类项得:﹣4x=1,系数化为1得:x=80.4(2x﹣1)﹣12=3(5x﹣3)8x﹣4﹣12=15x﹣9﹣7x=7x=﹣1;81.5(3x﹣1)=2(4x+2)﹣10 15x﹣5=8x+4﹣107x=﹣1x=﹣.82.去括号得,2(﹣1)﹣4﹣2x=3,x﹣2﹣4﹣2x=3,移项合并同类项得,﹣x=9,系数化为得,x=﹣983.去括号得:x﹣2﹣3x+1=1﹣x,解得:x=﹣2.84.原方程可化为:=﹣,去分母得:3(7x﹣1)=4(1﹣0.2x)﹣6(5x+1),去括号得:21x﹣1=4﹣0.8x﹣30x﹣6,移项、合并同类项得:51.8x=﹣1,系数化为1得:x=85.原方程化为:﹣=,整理得:12x=6,解得:x=86.原式变形为:+=1,把小数化为分数、整理得:,去分母得:4(4﹣x)=12﹣(2x﹣6),去括号得16﹣4x=12﹣2x+6,移项、合并得:﹣2x=2,系数化为1得:x=﹣187.去大括号,得:,去中括号得:,去小括号得:=0,移项得:y=3,系数化1得:y=688..原方程化为:(1分)去分母得:3(5x+9)+5(x﹣5)=5(1+2x)化简得:10x=3解得:.89.去分母得:5(3x+2)﹣15=3(7x﹣3)+2(x﹣2)去括号得:15x+10﹣15=21x﹣9+2x﹣4移项合并得:﹣8x=﹣8系数化为1得:x=190.去分母得:2(2x﹣5)+3(3﹣x)=12,去括号得:4x﹣10+9﹣3x=12,移项、合并得:x=1391.解:,,6x﹣3x+3=8x﹣8,6x﹣3x﹣8x=﹣8﹣3,﹣5x=﹣1,.92.解:3(2x﹣1)=4(x﹣5)+12,6x﹣3=4x﹣20+12,6x﹣4x=﹣20+12+3,2x=﹣5,93.去分母得:4×3x﹣5(1.4﹣x)=2 去括号得:12x﹣7+5x=0.2移项、合并得:17x=9系数化为1,得x=94.去分母得:2(3x﹣2)+10=5(x+3),去括号得:6x﹣4+10=5x+15,移项、合并同类项得:6x﹣5x=15﹣6,化系数为1得:x=995.去分母,得3(x﹣3)﹣4(5x﹣4)=18,去括号,得3x﹣9﹣20x+16=18,移项、合并同类项,得﹣17x=11,系数化为1,得x=﹣;96.去分母,得3(x+1)﹣12=2(2x﹣1),去括号,得3x+3﹣12=4x﹣2,移项、合并同类项,得﹣x=7,系数化为1,得x=﹣797.原方程可化为:(8x﹣3)﹣(25x﹣4)=12﹣10x,去括号得:8x﹣3﹣25x+4=12﹣10x,移项、合并同类项得:﹣7x=11,系数化为1得:x=98.去分母得:4(2x+4)﹣6(4x﹣3)=3,去括号得:8x+16﹣24x+18=3,移项,合并同类项得:﹣16x=﹣31,系数化为1得:x=;99.去中括号得:(x﹣1)﹣2=2x﹣5,去小括号得:x﹣1﹣2=2x﹣5,移项、合并同类项得:x=2100..把中分子,分母都乘以5得:5x﹣20,把中的分子、分母都乘以20得:20x﹣60.即原方程可化为:5x﹣20﹣2.5=20x﹣60.移项得:5x﹣20x=﹣60+20+2.5,合并同类项得:﹣15x=﹣37.5,化系数为1得:x=2.5。
初一上册一元一次方程题一百道1、某数的 3 倍比它的一半大 2,求这个数。
2、一个数加上 5 的和比这个数的 2 倍少 3,求这个数。
3、某数的 4 倍减去 3 等于这个数加上 9,求这个数。
4、 7 减去某数的差等于这个数的 3 倍,求这个数。
5、一个数的 5 倍加上 8 等于这个数的 6 倍减去 1,求这个数。
6、某数的 2 倍加上 3 乘以这个数等于 15,求这个数。
7、 9 减去一个数的 2 倍等于这个数加上 6,求这个数。
8、某数的 3 倍减去 5 等于这个数的 2 倍加上 7,求这个数。
9、一个数的 4 倍加上 7 等于这个数的 5 倍减去 3,求这个数。
10、 6 加上某数的 3 倍等于这个数的 5 倍减去 9,求这个数。
11、某数的 7 倍减去 12 等于这个数的 4 倍加上 18,求这个数。
12、一个数的 8 倍加上 5 等于这个数的 9 倍减去 7,求这个数。
13、某数的 6 倍减去 8 等于这个数的 3 倍加上 12,求这个数。
14、 10 减去某数的 4 倍等于这个数的 2 倍加上 2,求这个数。
15、一个数的 7 倍加上 9 等于这个数的 8 倍减去 3,求这个数。
16、某数的 5 倍加上 6 乘以这个数等于 36,求这个数。
17、 8 减去一个数的 3 倍等于这个数加上 10,求这个数。
18、某数的 4 倍减去 7 等于这个数的 3 倍加上 9,求这个数。
19、一个数的 6 倍加上 8 等于这个数的 7 倍减去 4,求这个数。
20、 5 加上某数的 4 倍等于这个数的 6 倍减去 7,求这个数。
21、某数的 9 倍减去 15 等于这个数的 6 倍加上 21,求这个数。
22、一个数的 10 倍加上 7 等于这个数的 11 倍减去 5,求这个数。
23、某数的 8 倍减去 10 等于这个数的 5 倍加上 18,求这个数。
24、 12 减去某数的 5 倍等于这个数的 3 倍加上 2,求这个数。
经 典 题 型
一、解方程(等式的性质)20分
1、x x 232-=-
2、463127.253.13⨯-⨯-=-+-x x x x
3、x x 21-=-
4、x 355-=
5、15=-x
6、1835+=-x x
7、x x 237+=
8、x x x 58.42.13-=--
9、26473-=+-x x x
10、x x x 910026411-=-+
11、x x x x 43987--=+-
12、x x x 25.132-=+-
13、x x 3.15.67.05.0-=-
14、3.05.064-=-+-x x x
15、15
2+-=-x x 16、35
36+-=-x x 17、3
223=x 18、168421x x x x x ++-+
= 19、4
32214+=-x x 20、x x x 3
212-=-
二、解方程(去括号)30分
1、4)1(2=-x
2、5)1(10=-x
3、95)3(+=--x x
4、)12(1)2(3--=+-x x x
5、)15(2)2(5-=+x x
6、)4(3)2()1(2x x x -=+--
7、1)1(234+-=+x x
8、x x x 31)1(2)1(-=--+
9、)1(3)14(6)2(2x x x -=---
10、)1(9)15(3)2(4x x x -=---
11、)12(3)32(21+-=+-x x
12、x x x 31)1(2)1(-=--+
13、)9(76)20(34x x x x --=--
14、)3()2(2+-=-x x
15、)1(72)4(2--=+-x x x
16、)43(23)165(2--=+-x x x
17、)12(41)2(3--=+--x x x
18、)4(12)2(24+-=-+x x x
19、)1(9)14(3)2(2x x x -=---
20、)1(9)14(3)2(2y y y -=--+
21、)9(76)20(34x x x x --=--
22、17}20]8)15(4[3{2=----x
23、2)]}4(8[2{3]5)4(3[2----=-+--x x x x x x 24、)1(32)1(2121-=⎥⎦⎤⎢⎣⎡--x x x 25、1122(1)(1)223x x x x ⎡⎤---=-⎢⎥⎣⎦
26、⎭
⎬⎫⎩⎨⎧+⎥⎦⎤⎢⎣⎡-⎪⎭⎫ ⎝⎛-46151413121x =1
27、11)12
1(21=--x 28、)13
1(72)421(6--=+-x x x 29、1)23(2
151=--x x 30、2243x -
= 31、2
3|x +5|=5 三、解方程(去分母)50分
1、35
2)63(61-=-x x 2、3
7615=-y 3、16
1)1(21=+-+x x 4、14
126110312-+=+--x x x 5、3
2221+-=--x x x 6、25
3235=--x x 7、16
1232=+-x x 8、4
6310-=-x x 9、12
.03.015.02.01.0=--+x x x 10、3
53235x x +=-
11、6.13
.0522.03=+--x x 12、22
1412=+-+x x 13、222534--=+-+y y y 14、5
2221+-=-y y 15、6
32141+-=+-x x 16、5
131+=-x x 17、5
12131+-=+-x x ; 18、4
232+=-x x ; 19、2
1141+=--x x 20、2
23131x x --=-- 21、3
2213415x x x --+=- 22、3
1819615x x x --+=+ 23、16
2312=+-+x x 24、5124121223+--=-+x x x 25、5222123--=--
x x x 26、3
2221+-=--x x x
27、)2
12(22--=-x x 28、6
55314+=-x x 29、31241213--+=-+x x x x 30、033
5210352=+--+--x x x 31、26
)3(53)2(2=+-+x x 32、4232215417+-=+--x x x 33、3.0152.033.12.198.0+=---x x x 34、23
421=-++x x 35、026
2921=---x x 36、03
.04.05233.12.188.1=-----x x x 37、45234
x x x x =--
- 38、104.018.027.02.01.0=+-x x 39、2
233554--+=+-+x x x x 40、x x 2
113834-=- 41、2
113x x -=-
42、y y y y ---=+6
13321 43、14
2322-=---x x 44、342161152-+=+-x x x
45、05
.035.22.04-=--x x 46、
6010430006⨯=-+x x 47、()21.02.01.010544554-=-+⎥⎦⎤⎢⎣⎡-+-x x x x 48、22)5(54-=--+x x x 49、
0.10.03x --0.90.20.7
x -=1 50、460.01x ---6.5=0.0220.02x ---7.5 八年级下单词表 Unit 5 Topic 1
邀请,招待
向……道谢
担心的,烦恼的
微笑
无任何东西或人,无一人 失望的,沮丧的
有……味道;品尝,尝味;
没人缘的;不受欢迎的;不得人心的 傻的,愚蠢的
残暴的,残酷的
地主;房东
似乎,好像
电影;影片
感动人的;令人感动的
自豪的;骄傲的
骄傲,自豪
v. 发气味;闻到,嗅到;n. 气味 摆放餐具
心烦的,苦恼的
惊奇的,惊讶的,吃惊的
__________________________________________________
奥地利
哭,哭泣
孤独的,寂寞的;偏僻的
活泼的;充满生气的
使振作起来;使高兴起来
生气的;发疯的
开始,首先
泰坦尼克号
美国;美洲
落入
惊吓的;受惊的;害怕的
最后,终于
形成;成立
角色
面部的;面部用的
姿势,手势
文化
外国人;外地人
当今,现在
和平
与某人和解
感激的,感谢的
收集于网络,如有侵权请联系管理员删除。